Agenda Tuesday, Nov. 17 homework  6 p. 244 # 1 - 27 ?questions on project?  Create a Thanksgiving Day folder and share with me all at once. Any interest in peer tutors?  correct homework 5-2 fractions - decimals
 
 
 
 
 
 
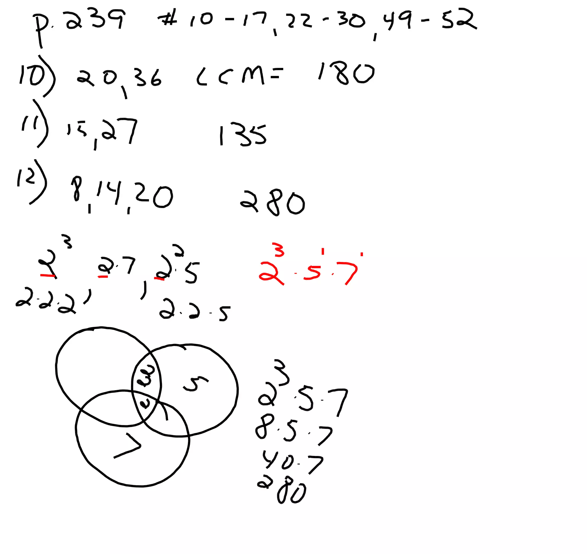
Least common multiple is the same as lowest common denominator
To express a fraction as a decimal, divide the numerator by the denominator. Write  as a decimal. means 3 ÷ 4.  The fraction  can be written as 0.75, since 3 ÷ 4 = 0.75. Next
Denominator and the numerator. 3 Numerator 4 Denominator 3 4
1 Write each fraction as a decimal. 2 / 5
2 Write each fraction as a decimal.  Round to the nearest ten thousandths if necessary. - 4 3 / 1 0
Converting a Decimal to a Fraction. .35 35 100 35 100 5 5 7 20 .325 325 100 325 100 25 25 13 40
3 Write each decimal as a fraction in simplest form. 0.8
4 Write each decimal as a fraction in simplest form. -0.625
5 Write each fraction as a decimal.  If necessary round to the nearest ten thousandths - 2 / 3
TERMINATING AND REPEATING DECIMALS TERMINATING DECIMAL R EPEATING DECIMAL A decimal that ends or terminates. EXAMPLE:  0.5  0.814  1.03 Pull Pull Pull Pull A  decimal that ends with a repeating digit or block of digits _  __ EXAMPLE:  0.333  0.1212
0.4 4.3 0.81 0.375 0.1 Terminating decimals Repeating decimals 0.125 Repeating or terminating decimals 0.111... 4.333... 0.8181...
Writing a repeating decimal as a fraction. 1.  Identify how many digits repeat. 2. Place the repeating digits over the same number of 9's. 3.  Simplify. Example 1.  0.3 3  1 9   3 Example 2. 0.45 45  5 99 11 = =
 
 
 
Match fractions and decimals 4 9 1 10 5 11 11 20 4 5 5 8 0.8 0.45 0.1 0.55 0.625 0.4 0.8 0.45 0.1 0.55 0.625 0.4 4 9 1 10 5 11 11 20 4 5 5 8
Click the die to roll it.  Write the fraction for that decimal in the fraction maker.  Then click the arrow.
Attachments

Ch. 5 2 Triangles

  • 1.
    Agenda Tuesday, Nov.17 homework 6 p. 244 # 1 - 27 ?questions on project? Create a Thanksgiving Day folder and share with me all at once. Any interest in peer tutors? correct homework 5-2 fractions - decimals
  • 2.
  • 3.
  • 4.
  • 5.
  • 6.
  • 7.
  • 8.
    Least common multipleis the same as lowest common denominator
  • 9.
    To express afraction as a decimal, divide the numerator by the denominator. Write as a decimal. means 3 ÷ 4. The fraction can be written as 0.75, since 3 ÷ 4 = 0.75. Next
  • 10.
    Denominator and thenumerator. 3 Numerator 4 Denominator 3 4
  • 11.
    1 Write eachfraction as a decimal. 2 / 5
  • 12.
    2 Write eachfraction as a decimal. Round to the nearest ten thousandths if necessary. - 4 3 / 1 0
  • 13.
    Converting a Decimalto a Fraction. .35 35 100 35 100 5 5 7 20 .325 325 100 325 100 25 25 13 40
  • 14.
    3 Write eachdecimal as a fraction in simplest form. 0.8
  • 15.
    4 Write eachdecimal as a fraction in simplest form. -0.625
  • 16.
    5 Write eachfraction as a decimal. If necessary round to the nearest ten thousandths - 2 / 3
  • 17.
    TERMINATING AND REPEATINGDECIMALS TERMINATING DECIMAL R EPEATING DECIMAL A decimal that ends or terminates. EXAMPLE: 0.5 0.814 1.03 Pull Pull Pull Pull A decimal that ends with a repeating digit or block of digits _ __ EXAMPLE: 0.333 0.1212
  • 18.
    0.4 4.3 0.810.375 0.1 Terminating decimals Repeating decimals 0.125 Repeating or terminating decimals 0.111... 4.333... 0.8181...
  • 19.
    Writing a repeatingdecimal as a fraction. 1. Identify how many digits repeat. 2. Place the repeating digits over the same number of 9's. 3. Simplify. Example 1. 0.3 3 1 9 3 Example 2. 0.45 45 5 99 11 = =
  • 20.
  • 21.
  • 22.
  • 23.
    Match fractions anddecimals 4 9 1 10 5 11 11 20 4 5 5 8 0.8 0.45 0.1 0.55 0.625 0.4 0.8 0.45 0.1 0.55 0.625 0.4 4 9 1 10 5 11 11 20 4 5 5 8
  • 24.
    Click the dieto roll it. Write the fraction for that decimal in the fraction maker. Then click the arrow.
  • 25.