Unit 4
Automatic Generation
Control
Power System Operation and Control
By: Prof. M.R. Rade
Introduction
 In Power System, the active and reactive power never Steady. It is time varying
quantity.
 When reactive power increase, the voltage starts dropping and when the demand of active
power increases, the frequency of supply decreases.
 To compensate frequency the steam input to turbo generator (or water input to hydro
generator) must be continuously regulated.
 Due to change in frequency causes change in speed of consumers plant affecting production
processes and due to change in voltage the equipment will not functioning properly.
 To operate all motors at desired speed and to operate all generators of power system in
parallel the entire system must be functioned properly.
 So adequate frequency and voltage control devices should be provide on each generator
(AGC and AVR)
Controlling of
Hydro generator
Speed of Machine
controlled
Control of active
power
Block diagram representation of load frequency
and excitation control
 Frequency and Voltage sensor sense frequency and voltage of output supply
respectively.
 The controllers are set for particular operating conditions and they take care of
small changes in load demand without frequency and voltage exceeding
prescribed limits.
 The change in active power demand is dependent on internal machine angle 𝜹 and
is independent on machine voltages, while bus voltage depended on machine
excitation and is independent on machine angle 𝜹
 But change in active power is less depends on change in voltage and change in
reactive power is less depends on change in machine angle, So equation becomes
 Change in active power demand causes change in angle 𝛿 and thus causes
the change in speed of machine.
 The excitation control is much faster than the frequency control.
 The major time constant encountered in excitation control is generator field
time constant and major time constant encountered in frequency control is
contributed by the turbine and moment of inertia of generator.
 It was observed that response time of frequency control is slower as much
mechanical equipment is involved in controller.
 The change in load demand is of Two type
a) Slow varying around mean demand
b) Fast random variation around mean demand
The frequency controller must be designed for slow varying demand. If it is
designed for fast random variations then the system will be prone to hunting
resulting in excessive wear and tear of rotating machines and control
equipment
Load Frequency Control of Single Area
 The block diagram of single area load frequency control loop is as shown in
fig.
 Consider single area in which we have to maintain scheduled frequency.
 All the generators in such area constitute a coherent group. A coherent
group of generators in which all generators are speed up and slow down
together maintaining their relative power angles. Such an area of coherent
group of generators is defined as a control area.
 The boundaries of a control area will generally coincides with that of an
individual Electricity Board Company.
Turbine Speed Governing System
 Speed governing system of a steam turbine consist of following components
 Fly ball Speed governor: This is the heart of the system which senses the change
in speed or frequency. As the speed increases the fly ball moves outwards and
the point B on the linkage mechanism moves downwards. The reverse happens
when the speed decreases.
 Hydraulic amplifier: It comprises a pilot valve and main piston arrangement.
Lower power level pilot valve movement is converted into high power level
piston valve movement. This is necessary in order to open or close the steam
valve against high pressure steam.
 Linkage mechanism: ABC is a rigid link pivoted at B and CDE is another rigid
link pivoted at D. This link mechanism provides a movement to the control
valve in proportional to change in speed. It also provides a feedback from steam
valve movement
 Speed Changer: It provides a steady state power output setting for the turbine.
Its downwards movement opens the upper pilot valve so that more steam is
admitted to the turbine steady conditions. The reverse happens for upward
movement of steam changer.
Assume that the system is initially operating under steady conditions, linkage mechanism
stationary and pilot valve closed, steam valve opened by a definite magnitude, turbine
running at constant speed with turbine power output balancing the generating load.
Let the operating conditions be characterized by
𝑓0 = System frequency (speed)
𝑃𝐺
0
= Generator output = turbine output (Neglecting generator loss)
𝑦 𝐸
0
= Steam Valve Setting.
Mathematical Model of governing System:
Let the Point A on the linkage mechanism be moved downwards by a small amount ∆ 𝑦 𝐴. It
is commanded which causes the turbine power output to change and can therefore be
written as
∆𝑦 𝐴 = 𝑘 𝑐 ∆𝑃𝑐 .....1)
Where ∆𝑃𝑐 is commanded increase in power.
The commanded signal ∆𝑃𝑐 sets into a sequence of events : The pilot valves moves upwards,
high pressure oil flows on to top of the main piston moving it downwards, the steam valve
opening consequently increases, the turbine generator speed increases i.e the frequency
goes up.
1) A point A, the change is ∆𝑦 𝐴. If we
assume B is fixed point then movement
will be as shown.
In triangle AA’B and CC’B
𝐴𝐴′
𝐴′ 𝐵
=
𝐶𝐶′
𝐶′ 𝐵
=
∆𝑦 𝐴
𝑙1
=
−∆𝑦 𝐶
𝑙2
∴ ∆𝑦 𝐶 = -
𝑙2
𝑙1
∆𝑦 𝐴
= -𝑘1∆𝑦 𝐴 .....2)
Therefore from equation 1)
∆𝑦 𝐶 = -𝑘1 𝑘 𝑐 ∆𝑃𝑐 ....... 3)
2) Increase in ∆𝑓 causes the fly ball move outwards so
the B moves downward by proportional amount as
∆ 𝑦 𝐵= 𝑘′2 ∆𝑓 ....... 4)
With A remaining fixed. The movement at point C can
be calculated from diagram
In triangle AB’B and AC’C
𝐵𝐵′
𝐶𝐶′
=
𝐴𝐵′
𝐴𝐶′
=
∆𝑦 𝐵
∆𝑦 𝐶
=
𝑙1
𝑙1+𝑙2
∴ ∆𝑦 𝐶 =
𝑙1+𝑙2
𝑙1
∆𝑦 𝐵
∴ ∆𝑦 𝐶 = 𝑘′′2∆𝑦 𝐵 .....5)
Therefore from equation 4) & 5)
∆𝑦 𝐶 =𝑘′2 𝑘′′2∆𝑓 = 𝑘2∆𝑓....... 6)
Net change at point C can be obtained by adding eq. 2
and 6
∆𝑦 𝐶 = - 𝑘1 𝑘 𝐶 ∆𝑃𝑐 + 𝑘2∆𝑓....... 7)
 The movement of point D ∆𝑦 𝐷 is the
amount by which the pilot valve opens.
It is contributed by ∆𝑦 𝐶 and ∆𝑦 𝐸.
 The movement ∆𝑦 𝐷 due to ∆𝑦 𝐶 can be
obtained from diagram
In triangle EC’C and ED’D
𝐶𝐶′
𝐷𝐷′
=
𝐶′ 𝐸
𝐷′ 𝐸
=
∆𝑦 𝐶
∆𝑦 𝐷
=
𝑙3+𝑙4
𝑙4
∴ ∆𝑦 𝐷 =
𝑙4
𝑙3+𝑙4
∆𝑦 𝐶
∴ ∆𝑦 𝐷 = 𝑘3∆𝑦 𝐶 .....8)
 The movement of ∆𝑦 𝐷 due to ∆𝑦 𝐸 can be
obtained from
 In triangle CE’E and CD’D
𝐸𝐸′
𝐷𝐷′
=
𝐶𝐸′
𝐷′ 𝐶
=
∆𝑦 𝐸
∆𝑦 𝐷
=
𝑙3+𝑙4
𝑙3
∴ ∆𝑦 𝐷 =
𝑙3
𝑙3+𝑙4
∆𝑦 𝐸
∴ ∆𝑦 𝐷 = 𝑘4∆𝑦 𝐸 .....9)
So the net movement at point D is
∆𝑦 𝐷 = 𝑘3∆𝑦 𝐶 + 𝑘4∆𝑦 𝐸 ....... 10)
 The movement ∆𝑦 𝐷 depending upon its sign opens one of the port of the pilot
valve admitting high pressure oil into the cylinder thereby moving the main
piston and opening the steam valve by ∆𝑦 𝐸. Certain justifiable simplifying
assumptions, which can be made at this stage
1) Inertial reaction forces of main piston and steam valve are negligible
compared to the forces exerted on the piston by high pressure oil.
2) Because of 1), the rate of oil admitted to the cylinder is proportional to port
opening ∆𝑦 𝐷.
The volume of oil admitted to the cylinder is thus proportional to the time
integral of ∆𝑦 𝐷.
The movement of ∆𝑦 𝐸 is obtained by dividing the oil volume by the area of cross
section of the piston. Thus
∆𝑦 𝐸 = 𝑘5 −∆𝑦 𝐷 dt ........ 11)
It can be verified from the schematic diagram that positive movement of ∆𝑦 𝐷
causes negative movement of ∆𝑦 𝐸 accounting for negative sign
Taking Laplace transform of equation eq 7), 10) and 11)
∆𝑌𝐶(s) = - 𝑘1 𝑘 𝐶 ∆𝑃𝑐 𝑠 + 𝑘2∆𝐹(𝑠) ...... 12)
∆𝑌𝐷(s) = 𝑘3∆𝑌𝐶(s) + 𝑘4∆𝑌𝐸(s) ....... 13)
∆𝑌𝐸=
−𝑘5
𝑠
∆𝑌𝐷(s)........ 14)
Substituting values of ∆𝑌𝐷(s) and ∆𝑌𝐶(s) in equation 14)
∆𝑌𝐸(s)=
−𝑘5
𝑠
(𝑘3∆𝑌𝐶(s) + 𝑘4∆𝑌𝐸(s))
∆𝑌𝐸(s) =
−𝑘5 𝑘3∆𝑌 𝐶(s)
𝑠
-
−𝑘5 𝑘4∆𝑌 𝐸(s)
𝑠
∆𝑌𝐸(s)=
−𝑘5 𝑘3(− 𝑘1 𝑘 𝐶 ∆𝑃𝑐 𝑠 +𝑘2∆𝐹 𝑠 )
𝑠
-
−𝑘5 𝑘4∆𝑌 𝐸(s)
𝑠
∆𝑌𝐸(s) +
𝑘5 𝑘4∆𝑌 𝐸(s)
𝑠
=
𝑘1 𝑘3 𝑘5 𝑘 𝐶 ∆𝑃𝑐 𝑠 −𝑘2 𝑘3 𝑘5∆𝐹 𝑠 )
𝑠
∆𝑌𝐸(s) 1 +
𝑘5 𝑘4
𝑠
=
𝑘1 𝑘3 𝑘5 𝑘 𝐶 ∆𝑃𝑐 𝑠 −𝑘2 𝑘3 𝑘5∆𝐹 𝑠 )
𝑠
∆𝑌𝐸(s) =
𝑘5 ( 𝑘1 𝑘3 𝑘 𝐶 ∆𝑃𝑐 𝑠 −𝑘2 𝑘3∆𝐹 𝑠 )
𝑠 1+
𝑘5 𝑘4
𝑠
∆𝑌𝐸(s) =
( 𝑘1 𝑘3 𝑘 𝐶 ∆𝑃𝑐 𝑠 −𝑘2 𝑘3∆𝐹 𝑠 )
𝑠
𝑘5
+ 𝑘4
∆𝑌𝐸(s)=
𝑘1 𝑘3 𝑘 𝐶
𝑘4
(∆𝑃𝑐 𝑠 −
𝑘2
𝑘1 𝑘 𝐶
∆𝐹 𝑠 )
𝑠
𝑘5 𝑘4
+1
∆𝑌𝐸(s)= ∆𝑃𝑐 𝑠 −
1
𝑅
∆𝐹 𝑠
𝐾𝑠𝑔
1+ 𝑇𝑠𝑔 𝑆
....15)
Where 𝐾𝑠𝑔 =
𝑘1 𝑘3 𝑘 𝐶
𝑘4
= Steam governor
gain
𝑇𝑠𝑔=
1
𝑘5 𝑘4
= Steam governor time constant
and R =
𝑘1 𝑘 𝐶
𝑘2
= Regulation of generator
 from equation 15) the block diagram for the
model of speed governor can be drawn
Turbine Model
Fig. Two stage Steam Turbine
 The dynamic response is largely
influenced by two factors,
(1) Entrained steam between the inlet
steam valve and first stage of the turbine
(2) The storage action in the reheater
which causes the output of the low
pressure to lag behind that of the high
pressure stage
Continued….
 Thus, the turbine transfer function is characterized by two-time constants. For easy
analysis it will be assumed here that the turbine can be modeled to have a single
equivalent time constant.
 Typically the time constant Tt lies in the range 0.2 to 2.5 sec
Fig: Model of Steam Turbine
Generator Load Model (Power System Model):
Under steady State operating condition the synchronous angular
frequency is given by:
𝜔𝑠 = 2𝜋𝑓𝑠 ------------1)
Where 𝑓𝑠 is the synchronous or rated frequency
Let the angular position of a generator rotor is increased by ∆𝛿 due
to the change in demand power ∆𝑃 𝐷. So the new operating angle is
𝛿 = 𝛿0 + ∆𝛿
But 𝜔 =
𝑑
𝑑𝑡
(𝛿) =
𝑑
𝑑𝑡
(𝛿0 + ∆𝛿) = 𝜔𝑠 +
𝑑
𝑑𝑡
∆𝛿 ------------2)
So the change in angular frequency is
𝜔 = 𝜔𝑠 + ∆𝜔 ------------3)
So the change in frequency is
𝑓 = 𝑓𝑠 + ∆𝑓 −−−−−−−−−−−−4)
Where, ∆𝑓 =
1
2𝜋
𝑑
𝑑𝑡
∆𝛿 −−−−−−−−5)
The kinetic energy stored in the machine is
𝑊 =
1
2
𝐽 𝜔2 =
1
2
𝐽 (2𝜋𝑓)2 𝑀𝐽 −−−−−−−−−6)
Where 𝐽 is rotor inertia
The kinetic energy stored in the machine at synchronous speed is
𝑊𝑠 =
1
2
𝐽 𝜔2
=
1
2
𝐽 (2𝜋𝑓𝑠)2
𝑀𝐽 −−−−−−−−−7)
Taking ration of equation 6) & 7)
𝑊 = 𝑊𝑠
𝑓
𝑓𝑠
2
𝑀𝐽 −−−−−−−−−8)
Then from equation 4)
𝑊 = 𝑊𝑠
𝑓𝑠+ ∆𝑓
𝑓𝑠
2
𝑀𝐽 −−−−−−−−−9)
By Taylor series expansion and neglecting higher order terms
𝑊 = 𝑊𝑠
1+ 2∆𝑓
𝑓𝑠
𝑀𝐽−−−−−−−−−10)
The rate of change of kinetic energy is the increase in power
𝑑
𝑑𝑡
𝑊 =
2𝑊𝑠
𝑓𝑠
𝑑
𝑑𝑡
∆𝑓 −−−−−−−−−11)
Defining per unit inertia constant 𝐻 =
𝑊𝑠
𝐺
if G=1 pu, equation 11)
becomes
𝑑
𝑑𝑡
𝑊 =
2𝐻
𝑓𝑠
𝑑
𝑑𝑡
∆𝑓 𝑝𝑢 −−−−−−−−−12)
Further, all types of composite loads experience a change in power
consumption with frequency. Defining the load damping factor is
𝐷 =
𝜕𝑃 𝐷
𝜕𝑓
𝑝𝑢 −−−−−−−−−13)
For small change in load demand by ∆𝑃 𝐷 the power balance equation
can be written as
∆𝑃𝐺 − ∆𝑃 𝐷 = 𝐷∆𝑓 +
2𝐻
𝑓𝑠
𝑑
𝑑𝑡
∆𝑓 −−−−−−−−−14)
Taking Laplace transform of above equation
∆𝑃𝐺 𝑠 − ∆𝑃 𝐷 𝑠 = 𝐷∆𝐹 𝑠 +
2𝐻
𝑓𝑠
𝑠. ∆𝐹 𝑠
∆𝑃𝐺 𝑠 − ∆𝑃 𝐷 𝑠 = 𝐷 +
2𝐻
𝑓𝑠
𝑠 ∆𝐹(𝑠)
∆𝐹 𝑠 =
∆𝑃𝐺 𝑠 − ∆𝑃 𝐷 𝑠
𝐷 +
2𝐻
𝑓𝑠
𝑠
∆𝐹 𝑠 = ∆𝑃𝐺 𝑠 − ∆𝑃 𝐷 𝑠
1
𝐷
1+
2𝐻
𝐷𝑓 𝑠
𝑠
−−−−−−−15)
∆𝐹 𝑠 = ∆𝑃𝐺 𝑠 − ∆𝑃 𝐷 𝑠
𝐾 𝑝𝑠
1+ 𝑇𝑝𝑠 𝑠
−−−−−−−16)
Where, 𝐾𝑝𝑠 = 1
𝐷 = Power System Gain
And 𝑇𝑝𝑠 =
2𝐻
𝐷𝑓𝑠
= Power system time Constant
The Model of generator load or power system is
Fig: Generator load model or power System model
Complete block diagram representation of LFC of
an isolated power system:
A Complete block diagram representation of an isolated power system can be
obtained by combining individual blocks of speed governor, turbine, generator &
load
Fig: Complete model of single area LFC
Steady State Analysis:
There are two important incremental inputs to the load frequency
control system.
i) ∆𝑃𝐶, the change in speed changer setting
ii) ∆𝑃 𝐷, the change in load demand.
Let us consider a simple situation in which the speed changer has
fixed setting (i.e ∆𝑃𝐶 = 0) and load demand changes. This is known as
free governor operation.
For such an operation the steady change in system frequency for a
sudden change in load demand by amount ∆𝑃 𝐷 (i.e ∆𝑃 𝐷(s) = ∆𝑃 𝐷
𝑠) is
obtained as follows:
Fig: Block diagram for steady state analysis for change in load demand
∆𝐹 𝑠 │∆𝑃 𝐶=0 = −
𝐾 𝑝𝑠
1 + 𝑇𝑝𝑠 𝑆 +
𝐾𝑠𝑔 𝐾𝑡 𝐾 𝑝𝑠 𝑅
1 + 𝑇𝑠𝑔 𝑆 1 + 𝑇𝑡 𝑆
∆𝑃 𝐷
𝑆
∆𝑓│ 𝑆𝑡𝑒𝑎𝑑𝑦 𝑠𝑡𝑎𝑡𝑒
∆𝑃 𝐶=0
= −𝑠.
𝐾 𝑝𝑠
1 +
𝐾 𝑠𝑔 𝐾 𝑡 𝐾 𝑝𝑠 𝑅
1 1
∆𝑃 𝐷/s
∆𝑓│ 𝑆𝑡𝑒𝑎𝑑𝑦 𝑠𝑡𝑎𝑡𝑒
∆𝑃 𝐶=0
= −
𝐾 𝑝𝑠
1+ 𝐾𝑠𝑔 𝐾𝑡 𝐾 𝑝𝑠 𝑅
∆𝑃 𝐷 ------1)
While the gain 𝐾𝑡 is fixed for the turbine and 𝐾 𝑝𝑠 is fixed for the
power system, 𝐾𝑠𝑔, the speed governor gain is easily adjustable
by changing lengths, for various links.
Let it be assumed for simplicity that 𝐾𝑠𝑔 is so adjusted that
𝐾𝑠𝑔. 𝐾𝑡 ≅ 1 (substituting in equation 1)
∆𝑓│ 𝑆𝑡𝑒𝑎𝑑𝑦 𝑠𝑡𝑎𝑡𝑒
∆𝑃 𝐶=0
= −
𝐾 𝑝𝑠
1+ 𝐾 𝑝𝑠 𝑅
∆𝑃 𝐷
∆𝑓 = −
1
1
𝐾 𝑝𝑠
+
1
𝑅
∆𝑃 𝐷 = −
1
𝐷+
1
𝑅
∆𝑃 𝐷 -------- 2)
As 𝐾 𝑝𝑠 = 𝐷 =
𝜕𝑃 𝐷
𝜕𝑓
in pu MW/unit change in frequency
 Eq. 2 gives the steady state changes
in frequency due to changes in load
demand.
 Speed regulation R is naturally so
adjusted that changes in frequency
are small (of order of 5% from no
load to full load). Therefore linear
relationship can be applied from no
load to full load.
 Linear relationship between
frequency and load for free governing
operation with speed changer set to
give scheduled frequency of 100% at
full load.
Steady state load frequency characteristics of speed
governor
The Slope or droop of this
relationship is −
1
𝐷+
1
𝑅
.
 Power System parameter D is so much smaller than 1/R so that D can be neglected
in comparison so slope can be given as
∆𝑓 = −𝑅∆𝑃 𝐷
Thus the droop of load frequency curve is mainly determined by R, the speed governor
regulation.
Consider now the steady effect of change in speed changer (i.e ∆𝑃𝐶(𝑆) = ∆𝑃𝑐
𝑠)
with load demand remaining fixed i.e (∆𝑃 𝐷 𝑆 = 0)
The steady state change in frequency is obtained by
𝐹 𝑠 │∆𝑃 𝐷=0 =
𝐾𝑠𝑔 𝐾𝑡 𝐾 𝑝𝑠
1+ 𝑇𝑝𝑠 𝑆 1+ 𝑇𝑠𝑔 𝑆 1+ 𝑇𝑡 𝑆 +
𝐾 𝑠𝑔 𝐾 𝑡 𝐾 𝑝𝑠
𝑅
∆𝑃 𝐶
𝑆
---1)
∆𝑓│ 𝑆𝑡𝑒𝑎𝑑𝑦 𝑠𝑡𝑎𝑡𝑒
∆𝑃 𝐷=0
= 𝑠.
𝐾𝑠𝑔 𝐾𝑡 𝐾 𝑝𝑠
1 (1)(1)+
𝐾 𝑠𝑔 𝐾 𝑡 𝐾 𝑝𝑠
𝑅
∆𝑃 𝐶
𝑆
∆𝑓│ 𝑆𝑡𝑒𝑎𝑑𝑦 𝑠𝑡𝑎𝑡𝑒
∆𝑃 𝐷=0
=
𝐾𝑠𝑔 𝐾𝑡 𝐾 𝑝𝑠
1+
𝐾 𝑠𝑔 𝐾 𝑡 𝐾 𝑝𝑠
𝑅
∆𝑃𝐶 ----2)
If 𝐾𝑠𝑔. 𝐾𝑡 ≅ 1
∆𝑓 =
𝐾 𝑝𝑠
1+ 𝐾 𝑝𝑠 𝑅
∆𝑃𝐶
∆𝑓 =
1
1
𝐾 𝑝𝑠
+
1
𝑅
∆𝑃𝐶 =
1
𝐷+
1
𝑅
∆𝑃𝑐
If the speed changer setting is changed by ∆𝑃𝑐 while load demand is changed by
∆𝑃 𝐷, the steady state change in frequency is obtained by superposition.
∆𝑓 =
1
𝐷+
1
𝑅
(∆𝑃𝑐 − ∆𝑃 𝐷) -----3)
According to eq. 4 the frequency changed
caused by load demand can be compensated by
changing the setting of speed changer i.e
∆𝑃𝑐 = ∆𝑃 𝐷 for ∆𝑓 = 0
Dynamic Response
Dynamic response due to the change in frequency is a function of
time for a step change in load.
The characteristics equation of complete block diagram is third order.
For dynamic response it can be approximated as first order.
 Dynamic response considering total system:
Case 1 : Speed changer has fixed setting (i.e ∆𝑃𝐶=0) and load demand
changing
The change in system frequency can be given by
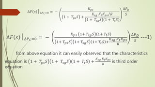
∆𝐹 𝑠 │∆𝑃 𝐶=0 = −
𝐾 𝑝𝑠
1 + 𝑇𝑝𝑠 𝑆 +
𝐾𝑠𝑔 𝐾𝑡 𝐾 𝑝𝑠 𝑅
1 + 𝑇𝑠𝑔 𝑆 1 + 𝑇𝑡 𝑆
∆𝑃 𝐷
𝑆
∆𝐹 𝑠 │∆𝑃 𝐶=0 = −
𝐾 𝑝𝑠 1+ 𝑇𝑠𝑔 𝑆 1+ 𝑇𝑡 𝑆
1+ 𝑇𝑝𝑠 𝑆 1+ 𝑇𝑠𝑔 𝑆 1+ 𝑇𝑡 𝑆 +
𝐾 𝑠𝑔 𝐾 𝑡 𝐾 𝑝𝑠
𝑅
∆𝑃 𝐷
𝑆
---1)
from above equation it can easily observed that the characteristics
equation is 1 + 𝑇𝑝𝑠 𝑆 1 + 𝑇𝑠𝑔 𝑆 1 + 𝑇𝑡 𝑆 +
𝐾𝑠𝑔 𝐾𝑡 𝐾 𝑝𝑠
𝑅
is third order
equation
Dynamic response considering first order system:
 The characteristics equation can be converted into first order equation by
considering
𝑇𝑠𝑔 ≪ 𝑇𝑡 ≪ 𝑇𝑝𝑠
That is typical values of time constants of speed governor and turbine is
equivalently considering one or neglected
Fig: Block diagram for dynamic response with first order approximation
Let 𝑇𝑠𝑔=0.4 sec, 𝑇𝑡=0.5 sec, 𝑇𝑝𝑠=20 sec, 𝐾 𝑝𝑠=100, 𝐾𝑠𝑔 𝐾𝑡=1 and R=3, the
dynamic response with exact system and first order approximation with
change in load demand ∆𝑃 𝐷 = 0.01
 First order approximation is obviously gives poor response
Fig: Dynamic response of exact and first order approximation
Load frequency control with proportional plus integral
control
 With the speed governing system installed on each machine, the steady
load frequency characteristics for a given speed changer setting has
considerable droop.
 System frequency specifications are rather stringent (i.e should be
precise) and therefore, so much change in frequency can not be
tolerated.
 It is expected that change in frequency will be zero.
 Steady state frequency can be brought back to the scheduled value by
adjusting speed changer setting.
 This speed changer setting should be adjusted automatically by
monitoring the frequency changes
This can be done by signal from ∆𝑓 is fed through an
integrator to the speed changer
From control system theory it is well known that adding PI
controller in feedback loop steady state error reduces to zero.
The signal ∆𝑃𝑐(s) generated by integral controller must be of
opposite sign to ∆𝐹(s) which accounts for negative sign in
block for integral controller
Fig: LFC with PI Controller
 From the block diagram:
𝐻 𝑠 = −
1
𝑅
+
𝐾𝑖
𝑠
𝐾𝑠𝑔 𝐾𝑡
1 + 𝑇𝑠𝑔 𝑆 1 + 𝑇𝑡 𝑆
Forward path gain is
𝐺 𝑠 =
𝐾𝑝𝑠
1 + 𝑇𝑝𝑠 𝑠
So the change in frequency for the change in load demand ∆𝑃 𝐷(s) = ∆𝑃 𝐷
𝑠 is
∆𝐹 𝑠 = −
𝐾𝑝𝑠
1 + 𝑇𝑝𝑠 𝑆 +
1
𝑅
+
𝐾𝑖
𝑠
+
𝐾𝑠𝑔 𝐾𝑡 𝐾𝑝𝑠
1 + 𝑇𝑠𝑔 𝑆 1 + 𝑇𝑡 𝑆
∆𝑃 𝐷
𝑆
∆𝐹 𝑠 = −
𝑠𝐾𝑝𝑠 𝑅 1 + 𝑇𝑠𝑔 𝑆 1 + 𝑇𝑡 𝑆
𝑠𝑅 1 + 𝑇𝑝𝑠 𝑆 1 + 𝑇𝑠𝑔 𝑆 1 + 𝑇𝑡 𝑆 + 𝐾𝑠𝑔 𝐾𝑡 𝐾𝑝𝑠 𝐾𝑖 𝑅 + 𝑆
∆𝑃 𝐷
𝑆
∆𝐹 𝑠 = −
𝐾𝑝𝑠 𝑅 1 + 𝑇𝑠𝑔 𝑆 1 + 𝑇𝑡 𝑆
𝑠𝑅 1 + 𝑇𝑝𝑠 𝑆 1 + 𝑇𝑠𝑔 𝑆 1 + 𝑇𝑡 𝑆 + 𝐾𝑠𝑔 𝐾𝑡 𝐾𝑝𝑠 𝐾𝑖 𝑅 + 𝑆
∆𝑃 𝐷
 Then Steady State error can be calculated as
∆𝑓│ 𝑆𝑡𝑒𝑎𝑑𝑦 𝑠𝑡𝑎𝑡𝑒
∆𝑃 𝐶=0
= −𝑠.
𝐾 𝑝𝑠 𝑅 1+ 𝑇𝑠𝑔 𝑆 1+ 𝑇𝑡 𝑆
𝑠𝑅 1+ 𝑇𝑝𝑠 𝑆 1+ 𝑇𝑠𝑔 𝑆 1+ 𝑇𝑡 𝑆 +𝐾𝑠𝑔 𝐾𝑡 𝐾 𝑝𝑠 𝐾𝑖 𝑅+𝑆
∆𝑃 𝐷
∆𝑓│ 𝑆𝑡𝑒𝑎𝑑𝑦 𝑠𝑡𝑎𝑡𝑒
∆𝑃 𝐶=0
= 0
 Let 𝑇𝑠𝑔=0.4 sec, 𝑇𝑡=0.5 sec, 𝑇𝑝𝑠=20 sec,
𝐾 𝑝𝑠=100, 𝐾𝑠𝑔 𝐾𝑡=1 and R=3, the dynamic
response with PI Control of gain 𝐾𝑖=0.09 with
change in load demand ∆𝑃 𝐷 = 0.01
 Steady state change in frequency has been
reduced to zero by addition of integral
controller.
 Change in frequency can be reduced to
zero (∆𝑓 = 0) only when the change in ∆𝑃𝐶
= ∆𝑃 𝐷. Because of integral action it is
possible
 In central load frequency control of a given
control area, the error or change in
frequency is known as Area Control error
(ACE)
 For steady condition ACE is zero

Automatic Generation Control

  • 1.
    Unit 4 Automatic Generation Control PowerSystem Operation and Control By: Prof. M.R. Rade
  • 2.
    Introduction  In PowerSystem, the active and reactive power never Steady. It is time varying quantity.  When reactive power increase, the voltage starts dropping and when the demand of active power increases, the frequency of supply decreases.  To compensate frequency the steam input to turbo generator (or water input to hydro generator) must be continuously regulated.  Due to change in frequency causes change in speed of consumers plant affecting production processes and due to change in voltage the equipment will not functioning properly.  To operate all motors at desired speed and to operate all generators of power system in parallel the entire system must be functioned properly.  So adequate frequency and voltage control devices should be provide on each generator (AGC and AVR) Controlling of Hydro generator Speed of Machine controlled Control of active power
  • 3.
    Block diagram representationof load frequency and excitation control
  • 4.
     Frequency andVoltage sensor sense frequency and voltage of output supply respectively.  The controllers are set for particular operating conditions and they take care of small changes in load demand without frequency and voltage exceeding prescribed limits.  The change in active power demand is dependent on internal machine angle 𝜹 and is independent on machine voltages, while bus voltage depended on machine excitation and is independent on machine angle 𝜹  But change in active power is less depends on change in voltage and change in reactive power is less depends on change in machine angle, So equation becomes
  • 5.
     Change inactive power demand causes change in angle 𝛿 and thus causes the change in speed of machine.  The excitation control is much faster than the frequency control.  The major time constant encountered in excitation control is generator field time constant and major time constant encountered in frequency control is contributed by the turbine and moment of inertia of generator.  It was observed that response time of frequency control is slower as much mechanical equipment is involved in controller.  The change in load demand is of Two type a) Slow varying around mean demand b) Fast random variation around mean demand The frequency controller must be designed for slow varying demand. If it is designed for fast random variations then the system will be prone to hunting resulting in excessive wear and tear of rotating machines and control equipment
  • 6.
    Load Frequency Controlof Single Area  The block diagram of single area load frequency control loop is as shown in fig.  Consider single area in which we have to maintain scheduled frequency.  All the generators in such area constitute a coherent group. A coherent group of generators in which all generators are speed up and slow down together maintaining their relative power angles. Such an area of coherent group of generators is defined as a control area.  The boundaries of a control area will generally coincides with that of an individual Electricity Board Company.
  • 7.
  • 8.
     Speed governingsystem of a steam turbine consist of following components  Fly ball Speed governor: This is the heart of the system which senses the change in speed or frequency. As the speed increases the fly ball moves outwards and the point B on the linkage mechanism moves downwards. The reverse happens when the speed decreases.  Hydraulic amplifier: It comprises a pilot valve and main piston arrangement. Lower power level pilot valve movement is converted into high power level piston valve movement. This is necessary in order to open or close the steam valve against high pressure steam.  Linkage mechanism: ABC is a rigid link pivoted at B and CDE is another rigid link pivoted at D. This link mechanism provides a movement to the control valve in proportional to change in speed. It also provides a feedback from steam valve movement  Speed Changer: It provides a steady state power output setting for the turbine. Its downwards movement opens the upper pilot valve so that more steam is admitted to the turbine steady conditions. The reverse happens for upward movement of steam changer.
  • 9.
    Assume that thesystem is initially operating under steady conditions, linkage mechanism stationary and pilot valve closed, steam valve opened by a definite magnitude, turbine running at constant speed with turbine power output balancing the generating load. Let the operating conditions be characterized by 𝑓0 = System frequency (speed) 𝑃𝐺 0 = Generator output = turbine output (Neglecting generator loss) 𝑦 𝐸 0 = Steam Valve Setting. Mathematical Model of governing System: Let the Point A on the linkage mechanism be moved downwards by a small amount ∆ 𝑦 𝐴. It is commanded which causes the turbine power output to change and can therefore be written as ∆𝑦 𝐴 = 𝑘 𝑐 ∆𝑃𝑐 .....1) Where ∆𝑃𝑐 is commanded increase in power. The commanded signal ∆𝑃𝑐 sets into a sequence of events : The pilot valves moves upwards, high pressure oil flows on to top of the main piston moving it downwards, the steam valve opening consequently increases, the turbine generator speed increases i.e the frequency goes up.
  • 10.
    1) A pointA, the change is ∆𝑦 𝐴. If we assume B is fixed point then movement will be as shown. In triangle AA’B and CC’B 𝐴𝐴′ 𝐴′ 𝐵 = 𝐶𝐶′ 𝐶′ 𝐵 = ∆𝑦 𝐴 𝑙1 = −∆𝑦 𝐶 𝑙2 ∴ ∆𝑦 𝐶 = - 𝑙2 𝑙1 ∆𝑦 𝐴 = -𝑘1∆𝑦 𝐴 .....2) Therefore from equation 1) ∆𝑦 𝐶 = -𝑘1 𝑘 𝑐 ∆𝑃𝑐 ....... 3)
  • 11.
    2) Increase in∆𝑓 causes the fly ball move outwards so the B moves downward by proportional amount as ∆ 𝑦 𝐵= 𝑘′2 ∆𝑓 ....... 4) With A remaining fixed. The movement at point C can be calculated from diagram In triangle AB’B and AC’C 𝐵𝐵′ 𝐶𝐶′ = 𝐴𝐵′ 𝐴𝐶′ = ∆𝑦 𝐵 ∆𝑦 𝐶 = 𝑙1 𝑙1+𝑙2 ∴ ∆𝑦 𝐶 = 𝑙1+𝑙2 𝑙1 ∆𝑦 𝐵 ∴ ∆𝑦 𝐶 = 𝑘′′2∆𝑦 𝐵 .....5) Therefore from equation 4) & 5) ∆𝑦 𝐶 =𝑘′2 𝑘′′2∆𝑓 = 𝑘2∆𝑓....... 6) Net change at point C can be obtained by adding eq. 2 and 6 ∆𝑦 𝐶 = - 𝑘1 𝑘 𝐶 ∆𝑃𝑐 + 𝑘2∆𝑓....... 7)
  • 12.
     The movementof point D ∆𝑦 𝐷 is the amount by which the pilot valve opens. It is contributed by ∆𝑦 𝐶 and ∆𝑦 𝐸.  The movement ∆𝑦 𝐷 due to ∆𝑦 𝐶 can be obtained from diagram In triangle EC’C and ED’D 𝐶𝐶′ 𝐷𝐷′ = 𝐶′ 𝐸 𝐷′ 𝐸 = ∆𝑦 𝐶 ∆𝑦 𝐷 = 𝑙3+𝑙4 𝑙4 ∴ ∆𝑦 𝐷 = 𝑙4 𝑙3+𝑙4 ∆𝑦 𝐶 ∴ ∆𝑦 𝐷 = 𝑘3∆𝑦 𝐶 .....8)
  • 13.
     The movementof ∆𝑦 𝐷 due to ∆𝑦 𝐸 can be obtained from  In triangle CE’E and CD’D 𝐸𝐸′ 𝐷𝐷′ = 𝐶𝐸′ 𝐷′ 𝐶 = ∆𝑦 𝐸 ∆𝑦 𝐷 = 𝑙3+𝑙4 𝑙3 ∴ ∆𝑦 𝐷 = 𝑙3 𝑙3+𝑙4 ∆𝑦 𝐸 ∴ ∆𝑦 𝐷 = 𝑘4∆𝑦 𝐸 .....9) So the net movement at point D is ∆𝑦 𝐷 = 𝑘3∆𝑦 𝐶 + 𝑘4∆𝑦 𝐸 ....... 10)
  • 14.
     The movement∆𝑦 𝐷 depending upon its sign opens one of the port of the pilot valve admitting high pressure oil into the cylinder thereby moving the main piston and opening the steam valve by ∆𝑦 𝐸. Certain justifiable simplifying assumptions, which can be made at this stage 1) Inertial reaction forces of main piston and steam valve are negligible compared to the forces exerted on the piston by high pressure oil. 2) Because of 1), the rate of oil admitted to the cylinder is proportional to port opening ∆𝑦 𝐷. The volume of oil admitted to the cylinder is thus proportional to the time integral of ∆𝑦 𝐷. The movement of ∆𝑦 𝐸 is obtained by dividing the oil volume by the area of cross section of the piston. Thus ∆𝑦 𝐸 = 𝑘5 −∆𝑦 𝐷 dt ........ 11) It can be verified from the schematic diagram that positive movement of ∆𝑦 𝐷 causes negative movement of ∆𝑦 𝐸 accounting for negative sign
  • 15.
    Taking Laplace transformof equation eq 7), 10) and 11) ∆𝑌𝐶(s) = - 𝑘1 𝑘 𝐶 ∆𝑃𝑐 𝑠 + 𝑘2∆𝐹(𝑠) ...... 12) ∆𝑌𝐷(s) = 𝑘3∆𝑌𝐶(s) + 𝑘4∆𝑌𝐸(s) ....... 13) ∆𝑌𝐸= −𝑘5 𝑠 ∆𝑌𝐷(s)........ 14) Substituting values of ∆𝑌𝐷(s) and ∆𝑌𝐶(s) in equation 14) ∆𝑌𝐸(s)= −𝑘5 𝑠 (𝑘3∆𝑌𝐶(s) + 𝑘4∆𝑌𝐸(s)) ∆𝑌𝐸(s) = −𝑘5 𝑘3∆𝑌 𝐶(s) 𝑠 - −𝑘5 𝑘4∆𝑌 𝐸(s) 𝑠 ∆𝑌𝐸(s)= −𝑘5 𝑘3(− 𝑘1 𝑘 𝐶 ∆𝑃𝑐 𝑠 +𝑘2∆𝐹 𝑠 ) 𝑠 - −𝑘5 𝑘4∆𝑌 𝐸(s) 𝑠 ∆𝑌𝐸(s) + 𝑘5 𝑘4∆𝑌 𝐸(s) 𝑠 = 𝑘1 𝑘3 𝑘5 𝑘 𝐶 ∆𝑃𝑐 𝑠 −𝑘2 𝑘3 𝑘5∆𝐹 𝑠 ) 𝑠 ∆𝑌𝐸(s) 1 + 𝑘5 𝑘4 𝑠 = 𝑘1 𝑘3 𝑘5 𝑘 𝐶 ∆𝑃𝑐 𝑠 −𝑘2 𝑘3 𝑘5∆𝐹 𝑠 ) 𝑠
  • 16.
    ∆𝑌𝐸(s) = 𝑘5 (𝑘1 𝑘3 𝑘 𝐶 ∆𝑃𝑐 𝑠 −𝑘2 𝑘3∆𝐹 𝑠 ) 𝑠 1+ 𝑘5 𝑘4 𝑠 ∆𝑌𝐸(s) = ( 𝑘1 𝑘3 𝑘 𝐶 ∆𝑃𝑐 𝑠 −𝑘2 𝑘3∆𝐹 𝑠 ) 𝑠 𝑘5 + 𝑘4 ∆𝑌𝐸(s)= 𝑘1 𝑘3 𝑘 𝐶 𝑘4 (∆𝑃𝑐 𝑠 − 𝑘2 𝑘1 𝑘 𝐶 ∆𝐹 𝑠 ) 𝑠 𝑘5 𝑘4 +1 ∆𝑌𝐸(s)= ∆𝑃𝑐 𝑠 − 1 𝑅 ∆𝐹 𝑠 𝐾𝑠𝑔 1+ 𝑇𝑠𝑔 𝑆 ....15) Where 𝐾𝑠𝑔 = 𝑘1 𝑘3 𝑘 𝐶 𝑘4 = Steam governor gain 𝑇𝑠𝑔= 1 𝑘5 𝑘4 = Steam governor time constant and R = 𝑘1 𝑘 𝐶 𝑘2 = Regulation of generator  from equation 15) the block diagram for the model of speed governor can be drawn
  • 17.
    Turbine Model Fig. Twostage Steam Turbine  The dynamic response is largely influenced by two factors, (1) Entrained steam between the inlet steam valve and first stage of the turbine (2) The storage action in the reheater which causes the output of the low pressure to lag behind that of the high pressure stage
  • 18.
    Continued….  Thus, theturbine transfer function is characterized by two-time constants. For easy analysis it will be assumed here that the turbine can be modeled to have a single equivalent time constant.  Typically the time constant Tt lies in the range 0.2 to 2.5 sec Fig: Model of Steam Turbine
  • 19.
    Generator Load Model(Power System Model): Under steady State operating condition the synchronous angular frequency is given by: 𝜔𝑠 = 2𝜋𝑓𝑠 ------------1) Where 𝑓𝑠 is the synchronous or rated frequency Let the angular position of a generator rotor is increased by ∆𝛿 due to the change in demand power ∆𝑃 𝐷. So the new operating angle is 𝛿 = 𝛿0 + ∆𝛿 But 𝜔 = 𝑑 𝑑𝑡 (𝛿) = 𝑑 𝑑𝑡 (𝛿0 + ∆𝛿) = 𝜔𝑠 + 𝑑 𝑑𝑡 ∆𝛿 ------------2) So the change in angular frequency is 𝜔 = 𝜔𝑠 + ∆𝜔 ------------3)
  • 20.
    So the changein frequency is 𝑓 = 𝑓𝑠 + ∆𝑓 −−−−−−−−−−−−4) Where, ∆𝑓 = 1 2𝜋 𝑑 𝑑𝑡 ∆𝛿 −−−−−−−−5) The kinetic energy stored in the machine is 𝑊 = 1 2 𝐽 𝜔2 = 1 2 𝐽 (2𝜋𝑓)2 𝑀𝐽 −−−−−−−−−6) Where 𝐽 is rotor inertia The kinetic energy stored in the machine at synchronous speed is 𝑊𝑠 = 1 2 𝐽 𝜔2 = 1 2 𝐽 (2𝜋𝑓𝑠)2 𝑀𝐽 −−−−−−−−−7) Taking ration of equation 6) & 7) 𝑊 = 𝑊𝑠 𝑓 𝑓𝑠 2 𝑀𝐽 −−−−−−−−−8)
  • 21.
    Then from equation4) 𝑊 = 𝑊𝑠 𝑓𝑠+ ∆𝑓 𝑓𝑠 2 𝑀𝐽 −−−−−−−−−9) By Taylor series expansion and neglecting higher order terms 𝑊 = 𝑊𝑠 1+ 2∆𝑓 𝑓𝑠 𝑀𝐽−−−−−−−−−10) The rate of change of kinetic energy is the increase in power 𝑑 𝑑𝑡 𝑊 = 2𝑊𝑠 𝑓𝑠 𝑑 𝑑𝑡 ∆𝑓 −−−−−−−−−11) Defining per unit inertia constant 𝐻 = 𝑊𝑠 𝐺 if G=1 pu, equation 11) becomes 𝑑 𝑑𝑡 𝑊 = 2𝐻 𝑓𝑠 𝑑 𝑑𝑡 ∆𝑓 𝑝𝑢 −−−−−−−−−12)
  • 22.
    Further, all typesof composite loads experience a change in power consumption with frequency. Defining the load damping factor is 𝐷 = 𝜕𝑃 𝐷 𝜕𝑓 𝑝𝑢 −−−−−−−−−13) For small change in load demand by ∆𝑃 𝐷 the power balance equation can be written as ∆𝑃𝐺 − ∆𝑃 𝐷 = 𝐷∆𝑓 + 2𝐻 𝑓𝑠 𝑑 𝑑𝑡 ∆𝑓 −−−−−−−−−14) Taking Laplace transform of above equation ∆𝑃𝐺 𝑠 − ∆𝑃 𝐷 𝑠 = 𝐷∆𝐹 𝑠 + 2𝐻 𝑓𝑠 𝑠. ∆𝐹 𝑠 ∆𝑃𝐺 𝑠 − ∆𝑃 𝐷 𝑠 = 𝐷 + 2𝐻 𝑓𝑠 𝑠 ∆𝐹(𝑠)
  • 23.
    ∆𝐹 𝑠 = ∆𝑃𝐺𝑠 − ∆𝑃 𝐷 𝑠 𝐷 + 2𝐻 𝑓𝑠 𝑠 ∆𝐹 𝑠 = ∆𝑃𝐺 𝑠 − ∆𝑃 𝐷 𝑠 1 𝐷 1+ 2𝐻 𝐷𝑓 𝑠 𝑠 −−−−−−−15) ∆𝐹 𝑠 = ∆𝑃𝐺 𝑠 − ∆𝑃 𝐷 𝑠 𝐾 𝑝𝑠 1+ 𝑇𝑝𝑠 𝑠 −−−−−−−16) Where, 𝐾𝑝𝑠 = 1 𝐷 = Power System Gain And 𝑇𝑝𝑠 = 2𝐻 𝐷𝑓𝑠 = Power system time Constant
  • 24.
    The Model ofgenerator load or power system is Fig: Generator load model or power System model
  • 25.
    Complete block diagramrepresentation of LFC of an isolated power system: A Complete block diagram representation of an isolated power system can be obtained by combining individual blocks of speed governor, turbine, generator & load Fig: Complete model of single area LFC
  • 26.
    Steady State Analysis: Thereare two important incremental inputs to the load frequency control system. i) ∆𝑃𝐶, the change in speed changer setting ii) ∆𝑃 𝐷, the change in load demand. Let us consider a simple situation in which the speed changer has fixed setting (i.e ∆𝑃𝐶 = 0) and load demand changes. This is known as free governor operation. For such an operation the steady change in system frequency for a sudden change in load demand by amount ∆𝑃 𝐷 (i.e ∆𝑃 𝐷(s) = ∆𝑃 𝐷 𝑠) is obtained as follows:
  • 27.
    Fig: Block diagramfor steady state analysis for change in load demand ∆𝐹 𝑠 │∆𝑃 𝐶=0 = − 𝐾 𝑝𝑠 1 + 𝑇𝑝𝑠 𝑆 + 𝐾𝑠𝑔 𝐾𝑡 𝐾 𝑝𝑠 𝑅 1 + 𝑇𝑠𝑔 𝑆 1 + 𝑇𝑡 𝑆 ∆𝑃 𝐷 𝑆
  • 28.
    ∆𝑓│ 𝑆𝑡𝑒𝑎𝑑𝑦 𝑠𝑡𝑎𝑡𝑒 ∆𝑃𝐶=0 = −𝑠. 𝐾 𝑝𝑠 1 + 𝐾 𝑠𝑔 𝐾 𝑡 𝐾 𝑝𝑠 𝑅 1 1 ∆𝑃 𝐷/s ∆𝑓│ 𝑆𝑡𝑒𝑎𝑑𝑦 𝑠𝑡𝑎𝑡𝑒 ∆𝑃 𝐶=0 = − 𝐾 𝑝𝑠 1+ 𝐾𝑠𝑔 𝐾𝑡 𝐾 𝑝𝑠 𝑅 ∆𝑃 𝐷 ------1)
  • 29.
    While the gain𝐾𝑡 is fixed for the turbine and 𝐾 𝑝𝑠 is fixed for the power system, 𝐾𝑠𝑔, the speed governor gain is easily adjustable by changing lengths, for various links. Let it be assumed for simplicity that 𝐾𝑠𝑔 is so adjusted that 𝐾𝑠𝑔. 𝐾𝑡 ≅ 1 (substituting in equation 1) ∆𝑓│ 𝑆𝑡𝑒𝑎𝑑𝑦 𝑠𝑡𝑎𝑡𝑒 ∆𝑃 𝐶=0 = − 𝐾 𝑝𝑠 1+ 𝐾 𝑝𝑠 𝑅 ∆𝑃 𝐷 ∆𝑓 = − 1 1 𝐾 𝑝𝑠 + 1 𝑅 ∆𝑃 𝐷 = − 1 𝐷+ 1 𝑅 ∆𝑃 𝐷 -------- 2) As 𝐾 𝑝𝑠 = 𝐷 = 𝜕𝑃 𝐷 𝜕𝑓 in pu MW/unit change in frequency
  • 30.
     Eq. 2gives the steady state changes in frequency due to changes in load demand.  Speed regulation R is naturally so adjusted that changes in frequency are small (of order of 5% from no load to full load). Therefore linear relationship can be applied from no load to full load.  Linear relationship between frequency and load for free governing operation with speed changer set to give scheduled frequency of 100% at full load. Steady state load frequency characteristics of speed governor The Slope or droop of this relationship is − 1 𝐷+ 1 𝑅 .
  • 31.
     Power Systemparameter D is so much smaller than 1/R so that D can be neglected in comparison so slope can be given as ∆𝑓 = −𝑅∆𝑃 𝐷 Thus the droop of load frequency curve is mainly determined by R, the speed governor regulation. Consider now the steady effect of change in speed changer (i.e ∆𝑃𝐶(𝑆) = ∆𝑃𝑐 𝑠) with load demand remaining fixed i.e (∆𝑃 𝐷 𝑆 = 0) The steady state change in frequency is obtained by
  • 32.
    𝐹 𝑠 │∆𝑃𝐷=0 = 𝐾𝑠𝑔 𝐾𝑡 𝐾 𝑝𝑠 1+ 𝑇𝑝𝑠 𝑆 1+ 𝑇𝑠𝑔 𝑆 1+ 𝑇𝑡 𝑆 + 𝐾 𝑠𝑔 𝐾 𝑡 𝐾 𝑝𝑠 𝑅 ∆𝑃 𝐶 𝑆 ---1) ∆𝑓│ 𝑆𝑡𝑒𝑎𝑑𝑦 𝑠𝑡𝑎𝑡𝑒 ∆𝑃 𝐷=0 = 𝑠. 𝐾𝑠𝑔 𝐾𝑡 𝐾 𝑝𝑠 1 (1)(1)+ 𝐾 𝑠𝑔 𝐾 𝑡 𝐾 𝑝𝑠 𝑅 ∆𝑃 𝐶 𝑆 ∆𝑓│ 𝑆𝑡𝑒𝑎𝑑𝑦 𝑠𝑡𝑎𝑡𝑒 ∆𝑃 𝐷=0 = 𝐾𝑠𝑔 𝐾𝑡 𝐾 𝑝𝑠 1+ 𝐾 𝑠𝑔 𝐾 𝑡 𝐾 𝑝𝑠 𝑅 ∆𝑃𝐶 ----2)
  • 33.
    If 𝐾𝑠𝑔. 𝐾𝑡≅ 1 ∆𝑓 = 𝐾 𝑝𝑠 1+ 𝐾 𝑝𝑠 𝑅 ∆𝑃𝐶 ∆𝑓 = 1 1 𝐾 𝑝𝑠 + 1 𝑅 ∆𝑃𝐶 = 1 𝐷+ 1 𝑅 ∆𝑃𝑐 If the speed changer setting is changed by ∆𝑃𝑐 while load demand is changed by ∆𝑃 𝐷, the steady state change in frequency is obtained by superposition. ∆𝑓 = 1 𝐷+ 1 𝑅 (∆𝑃𝑐 − ∆𝑃 𝐷) -----3)
  • 34.
    According to eq.4 the frequency changed caused by load demand can be compensated by changing the setting of speed changer i.e ∆𝑃𝑐 = ∆𝑃 𝐷 for ∆𝑓 = 0
  • 35.
    Dynamic Response Dynamic responsedue to the change in frequency is a function of time for a step change in load. The characteristics equation of complete block diagram is third order. For dynamic response it can be approximated as first order.  Dynamic response considering total system: Case 1 : Speed changer has fixed setting (i.e ∆𝑃𝐶=0) and load demand changing The change in system frequency can be given by
  • 36.
    ∆𝐹 𝑠 │∆𝑃𝐶=0 = − 𝐾 𝑝𝑠 1 + 𝑇𝑝𝑠 𝑆 + 𝐾𝑠𝑔 𝐾𝑡 𝐾 𝑝𝑠 𝑅 1 + 𝑇𝑠𝑔 𝑆 1 + 𝑇𝑡 𝑆 ∆𝑃 𝐷 𝑆 ∆𝐹 𝑠 │∆𝑃 𝐶=0 = − 𝐾 𝑝𝑠 1+ 𝑇𝑠𝑔 𝑆 1+ 𝑇𝑡 𝑆 1+ 𝑇𝑝𝑠 𝑆 1+ 𝑇𝑠𝑔 𝑆 1+ 𝑇𝑡 𝑆 + 𝐾 𝑠𝑔 𝐾 𝑡 𝐾 𝑝𝑠 𝑅 ∆𝑃 𝐷 𝑆 ---1) from above equation it can easily observed that the characteristics equation is 1 + 𝑇𝑝𝑠 𝑆 1 + 𝑇𝑠𝑔 𝑆 1 + 𝑇𝑡 𝑆 + 𝐾𝑠𝑔 𝐾𝑡 𝐾 𝑝𝑠 𝑅 is third order equation
  • 37.
    Dynamic response consideringfirst order system:  The characteristics equation can be converted into first order equation by considering 𝑇𝑠𝑔 ≪ 𝑇𝑡 ≪ 𝑇𝑝𝑠 That is typical values of time constants of speed governor and turbine is equivalently considering one or neglected Fig: Block diagram for dynamic response with first order approximation
  • 38.
    Let 𝑇𝑠𝑔=0.4 sec,𝑇𝑡=0.5 sec, 𝑇𝑝𝑠=20 sec, 𝐾 𝑝𝑠=100, 𝐾𝑠𝑔 𝐾𝑡=1 and R=3, the dynamic response with exact system and first order approximation with change in load demand ∆𝑃 𝐷 = 0.01  First order approximation is obviously gives poor response Fig: Dynamic response of exact and first order approximation
  • 39.
    Load frequency controlwith proportional plus integral control  With the speed governing system installed on each machine, the steady load frequency characteristics for a given speed changer setting has considerable droop.  System frequency specifications are rather stringent (i.e should be precise) and therefore, so much change in frequency can not be tolerated.  It is expected that change in frequency will be zero.  Steady state frequency can be brought back to the scheduled value by adjusting speed changer setting.  This speed changer setting should be adjusted automatically by monitoring the frequency changes
  • 40.
    This can bedone by signal from ∆𝑓 is fed through an integrator to the speed changer From control system theory it is well known that adding PI controller in feedback loop steady state error reduces to zero. The signal ∆𝑃𝑐(s) generated by integral controller must be of opposite sign to ∆𝐹(s) which accounts for negative sign in block for integral controller
  • 41.
    Fig: LFC withPI Controller  From the block diagram: 𝐻 𝑠 = − 1 𝑅 + 𝐾𝑖 𝑠 𝐾𝑠𝑔 𝐾𝑡 1 + 𝑇𝑠𝑔 𝑆 1 + 𝑇𝑡 𝑆 Forward path gain is 𝐺 𝑠 = 𝐾𝑝𝑠 1 + 𝑇𝑝𝑠 𝑠
  • 42.
    So the changein frequency for the change in load demand ∆𝑃 𝐷(s) = ∆𝑃 𝐷 𝑠 is ∆𝐹 𝑠 = − 𝐾𝑝𝑠 1 + 𝑇𝑝𝑠 𝑆 + 1 𝑅 + 𝐾𝑖 𝑠 + 𝐾𝑠𝑔 𝐾𝑡 𝐾𝑝𝑠 1 + 𝑇𝑠𝑔 𝑆 1 + 𝑇𝑡 𝑆 ∆𝑃 𝐷 𝑆 ∆𝐹 𝑠 = − 𝑠𝐾𝑝𝑠 𝑅 1 + 𝑇𝑠𝑔 𝑆 1 + 𝑇𝑡 𝑆 𝑠𝑅 1 + 𝑇𝑝𝑠 𝑆 1 + 𝑇𝑠𝑔 𝑆 1 + 𝑇𝑡 𝑆 + 𝐾𝑠𝑔 𝐾𝑡 𝐾𝑝𝑠 𝐾𝑖 𝑅 + 𝑆 ∆𝑃 𝐷 𝑆 ∆𝐹 𝑠 = − 𝐾𝑝𝑠 𝑅 1 + 𝑇𝑠𝑔 𝑆 1 + 𝑇𝑡 𝑆 𝑠𝑅 1 + 𝑇𝑝𝑠 𝑆 1 + 𝑇𝑠𝑔 𝑆 1 + 𝑇𝑡 𝑆 + 𝐾𝑠𝑔 𝐾𝑡 𝐾𝑝𝑠 𝐾𝑖 𝑅 + 𝑆 ∆𝑃 𝐷
  • 43.
     Then SteadyState error can be calculated as ∆𝑓│ 𝑆𝑡𝑒𝑎𝑑𝑦 𝑠𝑡𝑎𝑡𝑒 ∆𝑃 𝐶=0 = −𝑠. 𝐾 𝑝𝑠 𝑅 1+ 𝑇𝑠𝑔 𝑆 1+ 𝑇𝑡 𝑆 𝑠𝑅 1+ 𝑇𝑝𝑠 𝑆 1+ 𝑇𝑠𝑔 𝑆 1+ 𝑇𝑡 𝑆 +𝐾𝑠𝑔 𝐾𝑡 𝐾 𝑝𝑠 𝐾𝑖 𝑅+𝑆 ∆𝑃 𝐷 ∆𝑓│ 𝑆𝑡𝑒𝑎𝑑𝑦 𝑠𝑡𝑎𝑡𝑒 ∆𝑃 𝐶=0 = 0
  • 44.
     Let 𝑇𝑠𝑔=0.4sec, 𝑇𝑡=0.5 sec, 𝑇𝑝𝑠=20 sec, 𝐾 𝑝𝑠=100, 𝐾𝑠𝑔 𝐾𝑡=1 and R=3, the dynamic response with PI Control of gain 𝐾𝑖=0.09 with change in load demand ∆𝑃 𝐷 = 0.01  Steady state change in frequency has been reduced to zero by addition of integral controller.  Change in frequency can be reduced to zero (∆𝑓 = 0) only when the change in ∆𝑃𝐶 = ∆𝑃 𝐷. Because of integral action it is possible  In central load frequency control of a given control area, the error or change in frequency is known as Area Control error (ACE)  For steady condition ACE is zero