Prepared by Balaram Das, EE Dept., GIET, Gunupur Page 1
Chapter-05
Load Frequency Control, Control Area Concept
Introduction
Automatic Load frequency control (ALFC) in a power system regulates the power
flow between different areas while holding frequency constant. It divide the load
between the generators and control the tie line interchange schedules. The ALFC
loop will maintain control only during small and slow changes in load and
frequency. It will not provide adequate control during emergency situation when
large megawatt imbalance occurs. (Drawback of ALFC)
We shall first study as it applies to a single generator supplying power to a local
service area. The Real power control mechanism of a generator is shown in the fig.
The main parts are:
1) Speed changer
2) Speed governor
3) Hydraulic amplifier
Prepared by Balaram Das, EE Dept., GIET, Gunupur Page 2
4) Control valve.
They are connected by linkage mechanism. Their incremental movements are in
vertical direction. In reality these movements are measured in millimeters; but in
our analysis we shall rather express them as power increments expressed in MW or
p.u. The movements are assumed positive in the directions of arrows.
When speed raises, linkage movements will be: “A” moves downwards; “C” moves
upwards; “D” moves upwards; “E” moves downwards. This allows more steam or
water flow into the turbine resulting incremental increase in generator output
power.
When the speed drops, linkage movements will be: “A” moves upwards ; “B”
moves upwards “C” moves downwards; “D” moves downwards; “E” moves upwards.
This allows less steam or water flow into the turbine resulting decrease in
generator output power.
Speed governing system:
The output command of speed governor is ΔPg which corresponds to movement
ΔXC. The speed governor has two inputs: (i) Change in the reference power setting,
ΔPref (ii) Change in the speed of frequency of the generator, Δf, as measured by ΔXB.
It is to be noted that a positive ΔPref will result in positive ΔPg.
If Δf= change in frequency
ΔP= Change in load
Then slope of the curve,
Prepared by Balaram Das, EE Dept., GIET, Gunupur Page 3
The slope of the curve is also called as the regulation or drop.
Generally governors have a speed regulation of 5.6% from zero to full load.
Unit of R is Hz/MW. The output of speed governor mechanism (ΔPg) is the
difference between the reference power (ΔPref) and change in load.
Taking Laplace transform of eq.(2) yields
Hydraulic valve actuator (or, Hydraulic amplifier)
The input position of the valve actuator(ΔXd) is the difference between governor
outputs (ΔPg) and the hydraulic actuator output (ΔPv)
Taking Laplace on both sides of eq(4)
For a small change in ΔPv, the oil flow into the hydraulic motor is proportional to
the position ΔXd of the pilot valve.
Prepared by Balaram Das, EE Dept., GIET, Gunupur Page 4
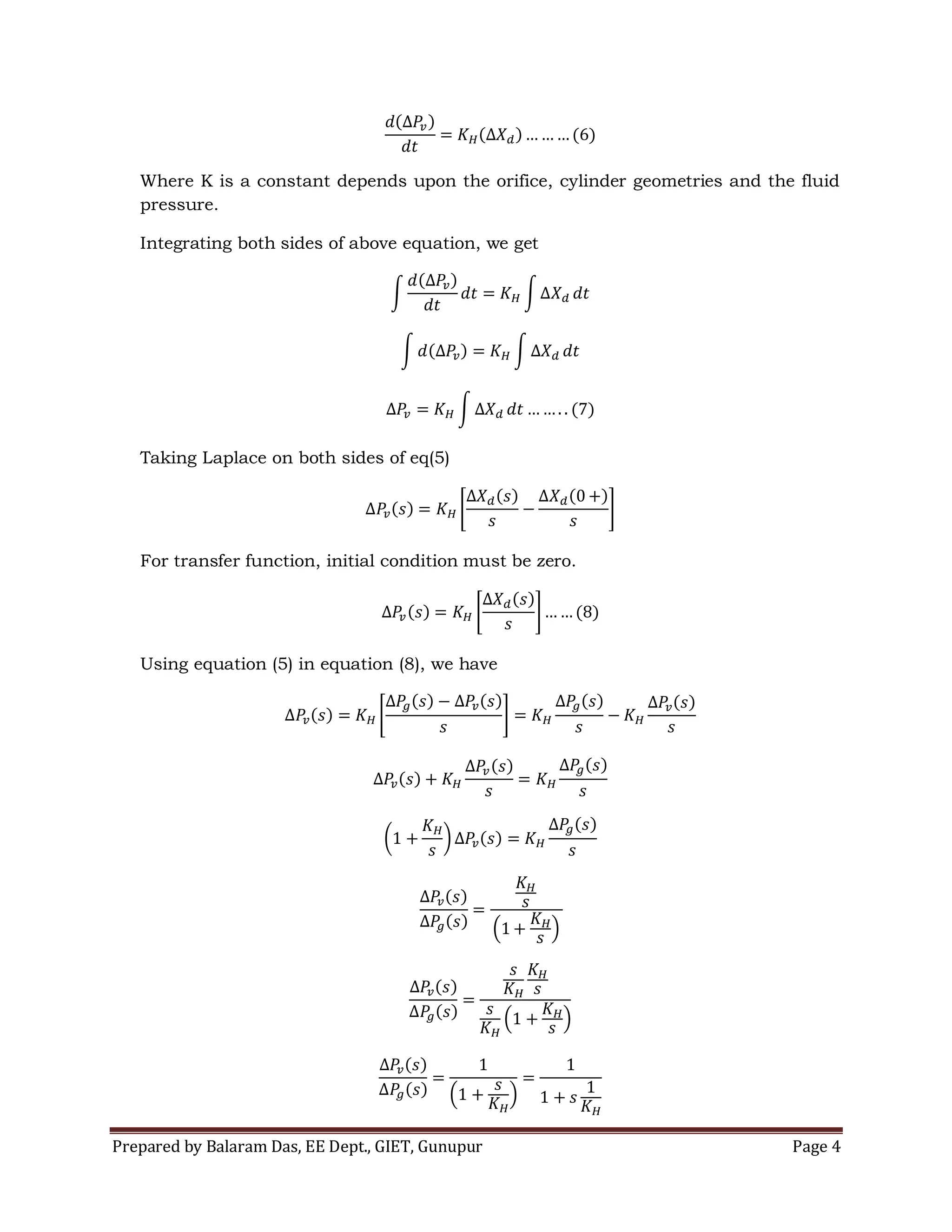
Where K is a constant depends upon the orifice, cylinder geometries and the fluid
pressure.
Integrating both sides of above equation, we get
Taking Laplace on both sides of eq(5)
For transfer function, initial condition must be zero.
Using equation (5) in equation (8), we have
Prepared by Balaram Das, EE Dept., GIET, Gunupur Page 5
Turbine generator
In normal steady state, the turbine power PT keeps zero acceleration and a
constant speed and frequency.
During transient state, let the change in turbine power be ΔPT and the
corresponding change in generator power be ΔPG
The accelerating power in turbine generator unit
Thus accelerating power
If ΔPT - ΔPG is negative, it will decelerate.
The turbine power increment ΔPT depends entirely upon the valve power increment
ΔPv and the characteristic of the turbine.
Prepared by Balaram Das, EE Dept., GIET, Gunupur Page 6
Different type of turbines will have different characteristics.
Taking transfer function with single time constant for the turbine, we can write
The generator power increment ΔPG depends entirely upon the change in the load
ΔPD being fed from the generator.
The generator always adjusts its output so as to meet the demand changes ΔPD.
We can therefore set
accelerating power
Static performance of speed governor:
The control loop shown in Fig. is open, No information can be obtained about the
static performance of the speed governor.
Prepared by Balaram Das, EE Dept., GIET, Gunupur Page 7
The static performance can be obtained by letting s = 0.
From Fig.
Substituting GH=1, we get
Again substituting GT =1 in equation (13),
Using eq.(18) in Eq(17) we have
Using Eq.(19) in eq.(2) we have
Using subscript 0 for static signas, Eq.(20) becomes
For study of static performance, three cases arise. These are
Case-A: The generator is synchronized to a network of very large size and the
frequency will be independent of any changes in the power output of this individual
generator(infinite network).
Since the frequency is independent of any changes of power output,
Substituting the value in eq.(21) becomes
Prepared by Balaram Das, EE Dept., GIET, Gunupur Page 8
From equation (22), it is clear that for a generator operated at a constant speed ,
the turbine power is proportional to the reference power setting.
Case-B: Consider a finite network. (Frequency variable)
If the speed changer setting is constant, then
Substituting Eq.(24) in Eq.(21), we have
It is clear from equation (20), that for a constant setting of the speed changes, the
static increase in turbine power output is directly proportional to the static
frequency drop.
Case-C: In general case, changes may occur in both the speed changer (reference
power) setting and frequency. In frequency generation graph, equation (21) represents
a family of sloping lines as shown in fig. Each line corresponds to a specific reference
power setting. It is clear from fig that the generators working in parallel on the same
network should have the same regulation in order to share load changes in proportion
to size.
Example 1
A 100-MW, 50-Hz generator is connected to “infinite” network. How would you
increase its turbine power by 5 MW?
Prepared by Balaram Das, EE Dept., GIET, Gunupur Page 9
Solution
Its turbine power can be increased by 5 MW by simply giving a “raise” signal of 5 MW
to the speed changer motor.
Prepared by Balaram Das, EE Dept., GIET, Gunupur Page 10
Prepared by Balaram Das, EE Dept., GIET, Gunupur Page 11
Prepared by Balaram Das, EE Dept., GIET, Gunupur Page 12
1. A 300 MW turbo generator has a speed regulation of 0.045pu on its own rated
capacity as base. Determine the increase in power output when the frequency
drops from normal 50Hz to a steady state value of 49.95 Hz. (2015) [5]
Solution:
Given the generator power, = 100 MW
Speed regulation = 0.045 pu.
Drop in frequency, Δf = -0.05Hz
Increase in turbine power = ?
Regulation parameter,
Increase in turbine power at the frequency drop of -0.05Hz
Closing the ALFC Loop
The “old” load is a function of voltage magnitude and frequency. The old area load
depends on the frequency given by
For area power balance, the increase in turbine power is equal to the sum of old and
new load changes plus the rate of change of kinetic energy.
Therefore area power balance is given by
Turbine power = old load change + new load change + rate of change of kinetic energy
If Δf = change in frequency relative to f0
f0 = frequency at normal state
The new frequency, f = f0 + Δf
Substituting the value of f, we get
Prepared by Balaram Das, EE Dept., GIET, Gunupur Page 13
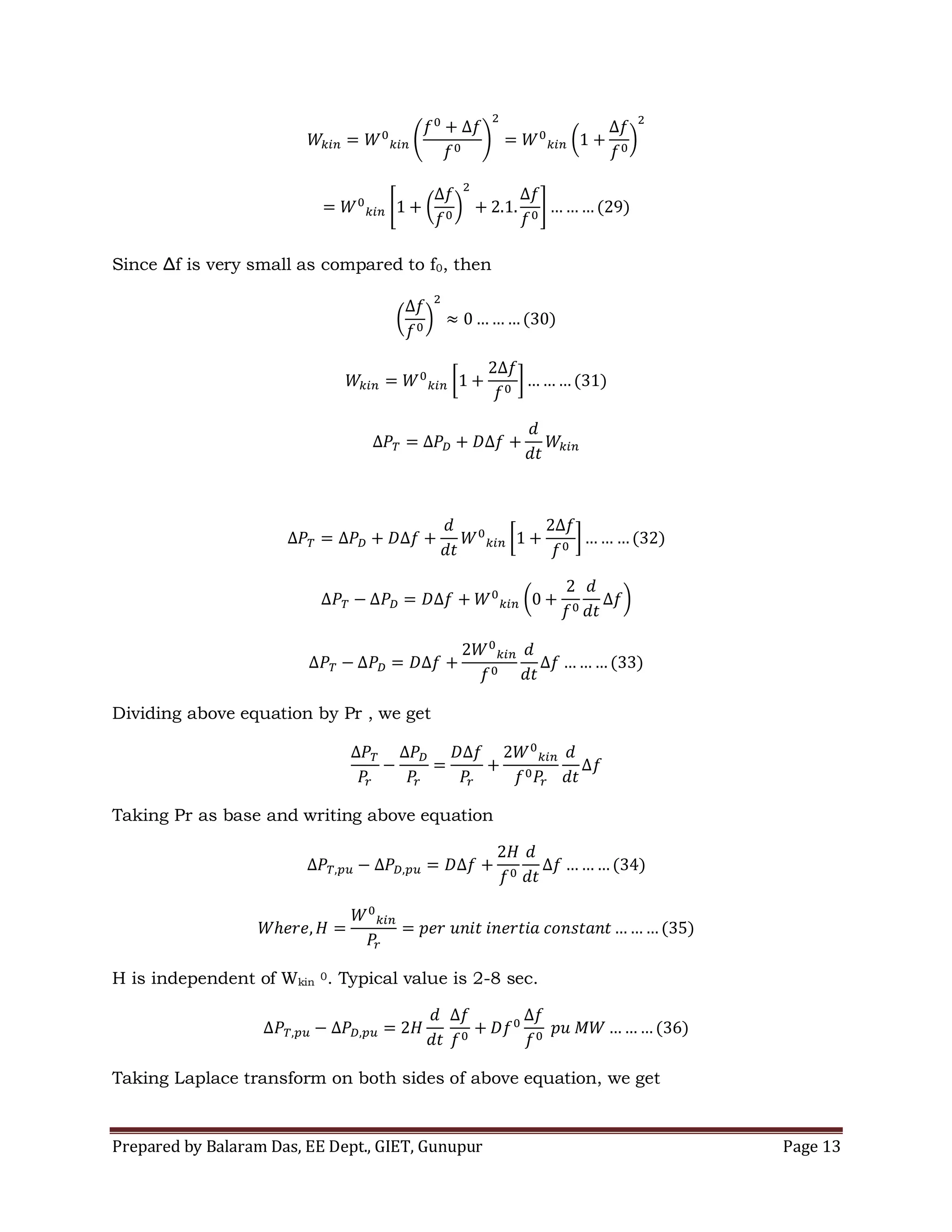
Since Δf is very small as compared to f0, then
Dividing above equation by Pr , we get
Taking Pr as base and writing above equation
H is independent of Wkin
0. Typical value is 2-8 sec.
Taking Laplace transform on both sides of above equation, we get
Prepared by Balaram Das, EE Dept., GIET, Gunupur Page 14
Equation (40) represents the missing link Δf(s) in the control loop of fig. the open loop
can be closed by adding a summing junction and a transfer block as shown in fig.
Prepared by Balaram Das, EE Dept., GIET, Gunupur Page 15
Static response of Primary ALFC loop
The basic objective of the primary ALFC loop is to maintain constant frequency in
spite of changing loads. The primary ALFC loop as shown in the fig. has one output
and two inputs. ΔPref(s) and ΔPD(s)
From Fig., at the left hand summing point,
Again at right hand summing point, we get,
Substituting eq(29) in eq(30) we get,
But if reference input is constant, then ΔPref (s)=0
Therefore,
Prepared by Balaram Das, EE Dept., GIET, Gunupur Page 16
For a step load change of constant magnitude,
Taking Laplace transform on both side of equation, we get
Substituting the value in above equation
Applying final value theorem to above equation
The static frequency drop is given by,
But
Substituting the values in above equation
Prepared by Balaram Das, EE Dept., GIET, Gunupur Page 17
Where,
From the static response, frequency accuracy is obtained.
Dynamic Response of ALFC Loop
Dynamic response of ALFC loop gives information about tracking ability and stability
of the loop.
In eq(36), GH(s), GT(s) and GP(s) contains atleast one time constant each. Therefore,
the denominator will be of 3rd order and the analysis will be complex. To simplify the
analysis, it is to be assumed that the action of speed governor plus the turbine
generator is instantaneous. Since the action of speed governor and turbine generator
is instantaneous the time constant for speed governor (TH) and the time constant for
turbine generator TT is equal to zero.
Substituting equation (52),(53) and (54) in equation (47), we get
Prepared by Balaram Das, EE Dept., GIET, Gunupur Page 18
On solving
Using eq.(63) and (64) in eq.(62) we have,
Taking inverse Laplace transform,
Fig shows the dynamic response of the primary ALFC loop to a step load increase.
Prepared by Balaram Das, EE Dept., GIET, Gunupur Page 19
It is clear that
The system can be made faster by reducing the value of R i.e. by increasing the value
of the static loop again.
Reduction of R reduces the static frequency error.
If the response of the turbine is not disregarded then the response will not be purely
exponential as shown in fig. above.
Physical Interpretation of Results
When the load is suddenly increased by 1% (20 MW), where did this power come from?
Certainly it must have come from somewhere as the load increase of 20 MW has been
met with instantaneously. In the milliseconds following the closure of the switch, the
frequency has not changed a measureable amount, speed governor would not have
acted and hence turbine power would not have increased. In those first instants the
total additional load demand of 20 MW is obtained from the stored kinetic energy,
which therefore will decrease at an initial rate of 20 MW. Release of KE will result in
speed and frequency reduction. As seen in eq.(66),
Initially frequency reduces. The frequency reduction causes the steam valve to open
and result in increased turbine power. In conclusion, the contribution to the load
increase of 20 MW is made up of three components:
• Rate of decrease of kinetic energy from the rotating system
• Increased turbine power
• “Released” old customer load
Initially the components 2 and 3 are zero. Finally, the frequency and hence the KE
settle at a lower value and the component 1 becomes zero. In between, component 1
keeps decreasing and components 2 and 3 keep increasing.
The Secondary (“Reset”) ALFC Loop:
It is seen from the previous discussion for a given speed changer setting, there is
considerable frequency drop for increased system load. So much change in frequency
cannot be tolerated. In fact, it is expected that the steady state frequency change must
be zero. In order to maintain the frequency at the scheduled value, the speed changer
setting must be adjusted automatically by monitoring the frequency changes.For this
purpose, INTEGRAL CONTROLLER is included. In this case, the speed changer is
Prepared by Balaram Das, EE Dept., GIET, Gunupur Page 20
commanded by a signal obtained by first amplifying and then integrating the
frequency error.
Where K1 is integral control constant.
Negative sign in integral controller is choosen so as to cause a positive frequency error.
The gain constant k controls the rate of integration and the speed of response of the
loop.
Area Control Error(ACE): the signal fed into the integrator is referred to as area
control error(ACE) i.e. ACE=Δf.
When frequency error is reduced to zero, then the integrator output and the speed
changer position attains a constant value.
Taking Laplace transform,
The gain constant K1 controls the rate of integration and thus the speed of response of
the loop. For this signal ΔF(s) is fed to an integrator whose output controls the speed
changer position resulting in the block diagram configuration shown in fig.
As long as an error remains, the integrator output will increase, causing the speed
changer to move. When the frequency error has been reduced to zero, the integrator
output ceases and the speed changer position attains a constant value. Integral
controller will give rise to ZERO STEADY STATE FREQUENCY ERROR following a step
load change because of the reason stated above.
Prepared by Balaram Das, EE Dept., GIET, Gunupur Page 21
Referring to the block diagram of single control area with integral controller shown in
fig. input to GHT is
Using this equation the block diagram in fig can be reduced as shown in fig.
Economic Dispatch Control
The primary ALFC loop makes the initial coarse readjustment of frequency. The
secondary ALFC loop takes over the fine adjustment of the frequency by resetting
through integral action, the frequency error to zero. Economic dispatch control can be
viewed as an additional tertiary control loop. As the control decisions in this loop are
based upon the solutions of the ODE’s it is necessary to incorporate a digital computer
as part of this control loop. This computer is placed in “energy control centre” and this
is linked to the various power plants via communication channel. Periodically every
five minutes the computer is provided with the megawatt setting in the power plants.
Prepared by Balaram Das, EE Dept., GIET, Gunupur Page 22
Short Questions
1. What is meant by Load frequency control?
The frequency is closely related to the real power balance in the overall network.
The basic role of ALFC is to maintain desired megawatt output of a generator unit
and assist in controlling the frequency of the larger interconnection. The ALFC also
helps to keep the net interchange of power between pool members at
predetermined values.
Or
Load frequency control, as the name signifies, regulates the power flow
between different areas while holding the frequency constant.
2. What is the role of Hydraulic amplifier in load frequency control model?
Hydraulic amplifier consists of a main piston and pilot valve. Low power level pilot
valve movement is converted into high power level piston valve movement which is
necessary to open or close the steam valve against high pressure steam.
3. What is area control error?
Area control error (ACE) is the difference between scheduled and actual electrical
generation within a control area on the power grid, taking frequency bias into
account.
ACE = Pactual - Pscheduled
Whenever the ACE is greater than zero, it means that the area is over generating
and thus needs either to decrease generation or to sell more. Likewise, whenever
the ACE is less than zero, the area is under generating and thus needs either to
increase generation or to buy more. AGC works to keep the ACE close to zero.
4. What is the major control loops used in large generators?
(i) Automatic load frequency control loop: To maintain the frequency constant.
(ii) Automatic voltage regulator: To maintain the voltage constant.
Prepared by Balaram Das, EE Dept., GIET, Gunupur Page 23
5. What is the function of speed changer in a turbine speed governing system
of power system?
The speed changer provides a steady state power output setting for the turbine.
The downward movement of the speed changer opens the upper pilot valve so that
more steam is admitted to the turbine under steady condition. The reverse
happens when the speed changer moves upward.
6. what is the function of load frequency control?
The basic role of ALFC is to maintain desired megawatt output of a generator unit
and assist in controlling the frequency of the larger interconnection. The ALFC also
helps to keep the net interchange of power between pool members at
predetermined values. Control should be applied in such a fashion that highly
differing response characteristics of units of various type (hydro, nuclear, fossil,
etc.) are recognized. Also, unnecessary power output changes should be kept to a
minimum in order to reduce wear of control values.
7. Explain the need of fly ball speed governor.
It is purely mechanical speed sensitive device coupled directly to the hydraulic
amplifier which adjusts the control valve opening via the linkage mechanism.
8. What do you understand by Tie line bias control in a power system?
Tie line bias control in a power system is the control of power flow between two
areas.
9. What is tie line in a power system?
The transmission lines that connect an area to its neighboring area are called tie-lines.
Power sharing between two areas occurs through these tie-lines.
10. What are the components used for the automatic load frequency control of a
single area system.
11. What are typical conditions needed to be taken care of while distributing
loads among the plants of a system?
12. Why frequency should remain constant? Explain in brief.
Reasons for the need of maintaining constant frequency:
(i) The speed of a.c. motors are directly related to the frequency.
(ii) If the normal operating frequency is 50 Hz and the turbines run at speeds
corresponding to frequencies less than 47.5 Hz or above 52.5 Hz, then the
blades of the turbines may get damaged.
(iii) The operation of a transformer below the rated frequency is not desirable.
When frequency goes below rated frequency at constant system voltage then the
flux in the core increases and then the transformer core goes into the
saturation region.
Prepared by Balaram Das, EE Dept., GIET, Gunupur Page 24
(iv) With reduced frequency the blast by ID fans and FD fans decrease, and so
the generation decreases and thus it becomes a multiplying effect and may
result in shut down of the plant.
13. What is meant by p-f control of power system?
p-f control deals with the control of loading of the generating units for the system at
normal frequency. The load in a power system is never constant and the system
frequency remain at its nominal value only when there is a match between the active
power generation and the active power demand.
14. What are the typical conditions needed to be taken care of while distributing
loads within the units of a plant and the same among plants?
15. Draw the static response characteristics of the primary ALFC loop.
16. Differentiate static and dynamic response of an ALFC loop.
(i) Static response of an ALFC loop will inform about frequency accuracy.
(ii) The dynamic response of an ALFC loop will inform about the stability of the
loop.
17. State the functions of AVR.
The function of AVR excitation control is to regulate generator voltage and
relative power output. As the terminal voltage varies the excitation control, it
maintains the terminal voltage to the required standard and the demand of the
reactive power is also met by the excitation control unit.
18. List the various components in AVR loop.
Exciter, comparator, amplifier, rectifier, synchronous generator.
19. What is the need for compensator in the AVR loop?
Stability compensation improves the dynamic response characteristics without
affecting the static loop gain.
20. Define (i) Load factor (ii) Diversity factor.
Load factor:
The ratio of average load to the maximum demand during a given period is
known as load factor.
Load factor = (average load) / (maximum demand)
Diversity factor:
The ratio of the sum of individual maximum demand on power station is known
as diversity factor.
Diversity factor = (sum of individual maximum demand) / (maximum demand).
21. What is meant by free governor operation?
Only governor control is called as free governor action. It can be obtained by
deactivating the integral controller.
22. Compare the functions of speed governor and speed changer of a turbine-
generator set.
Prepared by Balaram Das, EE Dept., GIET, Gunupur Page 25
23. How the ALFC loop is affected by AVR loop?
AVR affect the magnitude of generated emf Eg, This generated emf affects the
generated real power. Therefore changes in AVR loop affect ALFC loop.
24. What is the use of secondary loop?
A slower secondary loop maintains the fine adjustment of the frequency, and also by
‘reset’ action maintains proper megawatt interchange with other pool members.
This loop is insensitive to rapid load and frequency changes but focuses instead on
drift like changes which take place over periods of minutes.
25. What is the advantage of AVR loop over ALFC loop? AVR loop is much faster
than the ALFD loop and therefore there is a tendency, for the AVR dynamics to
settle down before they can make themselves felt in the slower load –frequency
control channel.
26. What is the function of AVR?
The basic role of the AVR is to provide constancy of the generator terminal voltage
during normal, small and slow changes in the load.
27. Specify the disadvantages of ALFC loop?
The ALFC loop will maintain control only during normal (small and slow) changes in
load and frequency. It is typically unable to provide adequate control during
emergency situations, when large megawatt imbalances occur. Then more drastic
‘emergency’.
28. What is the control area?
Most power systems normally control their generators in unison. The individual
control loops have the same regulation parameters. The individual generator
turbines tend to have the same response characteristics then it is possible to let
the control loop in the whole system which then would be referred to as a control
area.
29. Specify the use of static and dynamic response of the ALFC loop.
Prepared by Balaram Das, EE Dept., GIET, Gunupur Page 26
The static response of the ALFC loop yielded important information about frequency
accuracy. The dynamic response of the loop will inform about ‘tracking’ ability and
stability of the loop.
30. What is the basic principle in pool operation?
A basic guiding principle in pool operation must be that each area, in normal steady
state, absorbs its own load.
31. What are the sources of reactive power? How it is controlled?
The sources of reactive power are generators, capacitors, and reactors. These are
controlled by field excitation.
32. Write about static VAR compensator (SVC).
These comprise capacitor bank fixed or switched or fixed capacitor bank and switched
reactor bank in parallel. These compensators draw reactive (loading or lagging)
power from the line thereby regulating voltage, improves stability (steady-state and
dynamic), control over voltage and reduce voltage and current unbalances. In
HVDC application these compensators provide the required reactive power and
damp out sub harmonic oscillation.
33. List the advantages of series compensation.
The advantages of series compensation are, a. Series capacitors are inherently self-
regulating and a control system is not required. b. For voltage stability, series
capacitors lower the critical c. Series capacitors possess adequate time-overload
capability. d. For the same performance, series capacitors are often less costly than
SVCs and losses are very low.
34. What are the parts of speed governing system?
The parts of speed governing system are, a. Speed governor, b. Linkage mechanism c.
Hydraulic amplifier, d. Speed changer
Numerical:
Example-1
Two generators rated 200MW and 400MW are operating in parallel. The drop
characteristics of their governors are 4% and 5% respectively from no load to
full load. Assuming that the governors are operating at 50Hz at no load, how
would a load of 600MW be shared between them? What will be the system
frequency at this load? Assume free governor operation.
Solution:
Since the generators are operating in parallel, they will operate at the same
frequency at steady load.
Let load on generator-1 = x MW
Load on generator-2 = 600 – x MW.
Reduction in frequency = Δf
Prepared by Balaram Das, EE Dept., GIET, Gunupur Page 27
From equation(1),
From equation(2),
Comparing equation (2) and (3), we have
Therefore load on generator-1 is 231 MW
Load on generator-2 is 600-x = 600-231 = 369MW
System frequency =
Example-2:
Two generators rated with 221MW and 429MW are operating in Parallel. The
drop characteristics of their governors are 4.15% and 5.35% respectively
from no-load to full load. The speed changers are so set that the generators
operate at 50 Hz sharing the full load of 650MW in the ratio of their ratings.
If the load reduces to 550 MW, what will be the load shared by each
generator? Also find out the system frequency under this condition. 2016 [5]
Solution:
Since the generators are operating in parallel, they will operate at the same
frequency at steady load.
Let load on generator-1(221MW) = x MW
Load on generator-2(429MW) = 550 – x MW.
Reduction in frequency = Δf
Prepared by Balaram Das, EE Dept., GIET, Gunupur Page 28
From equation(1),
From equation(2),
Comparing equation (2) and (3), we have
Therefore load on generator-1 is 219.493 MW
Load on generator-2 is 600-x = 550-219.493 = 330.506 MW
System frequency =
Example-03
Prepared by Balaram Das, EE Dept., GIET, Gunupur Page 29
Example-04
Example-05
Prepared by Balaram Das, EE Dept., GIET, Gunupur Page 30
Example-06
Prepared by Balaram Das, EE Dept., GIET, Gunupur Page 31
Example-07
Example-08
Prepared by Balaram Das, EE Dept., GIET, Gunupur Page 32
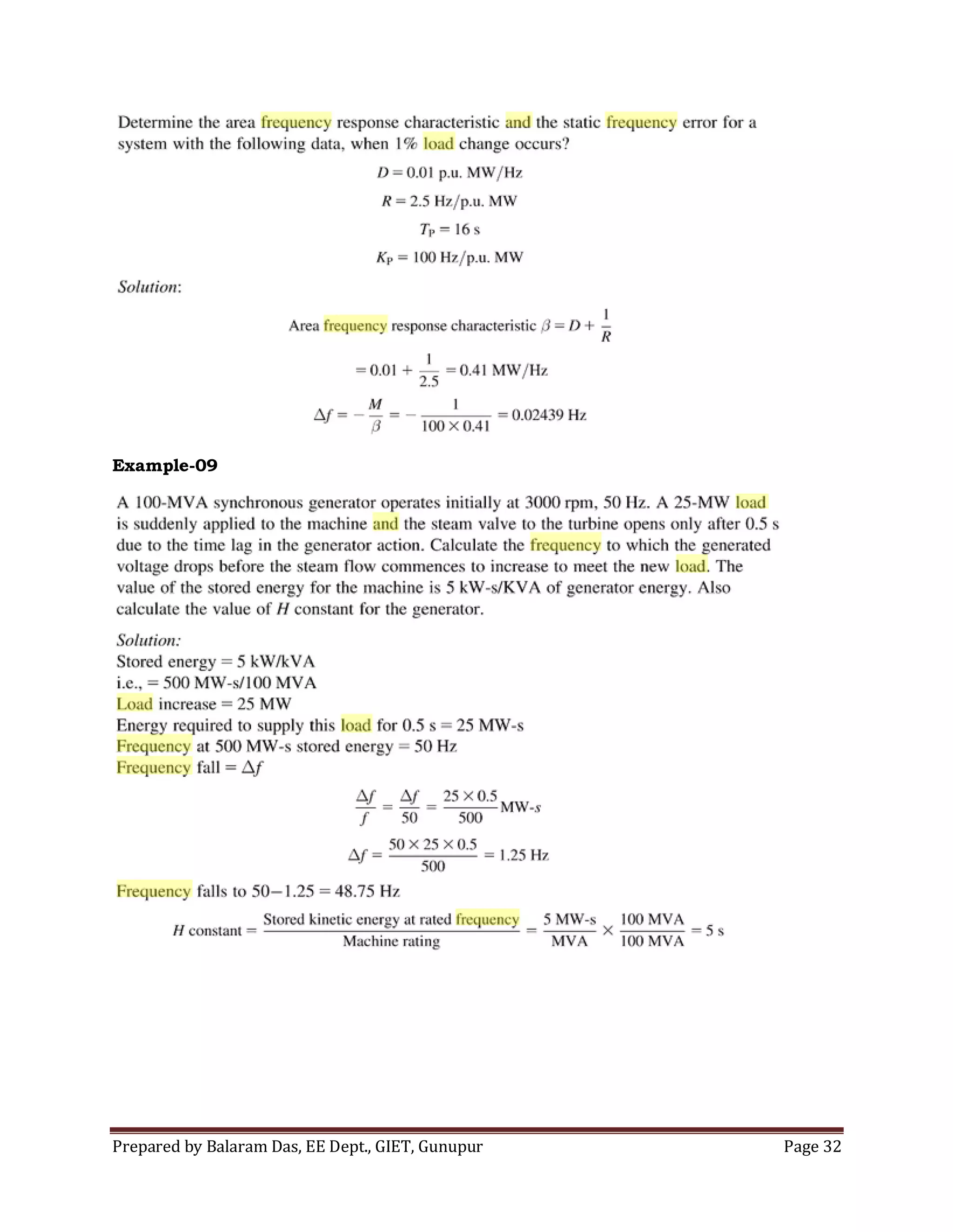
Example-09

Automatic load frequency control

  • 1.
    Prepared by BalaramDas, EE Dept., GIET, Gunupur Page 1 Chapter-05 Load Frequency Control, Control Area Concept Introduction Automatic Load frequency control (ALFC) in a power system regulates the power flow between different areas while holding frequency constant. It divide the load between the generators and control the tie line interchange schedules. The ALFC loop will maintain control only during small and slow changes in load and frequency. It will not provide adequate control during emergency situation when large megawatt imbalance occurs. (Drawback of ALFC) We shall first study as it applies to a single generator supplying power to a local service area. The Real power control mechanism of a generator is shown in the fig. The main parts are: 1) Speed changer 2) Speed governor 3) Hydraulic amplifier
  • 2.
    Prepared by BalaramDas, EE Dept., GIET, Gunupur Page 2 4) Control valve. They are connected by linkage mechanism. Their incremental movements are in vertical direction. In reality these movements are measured in millimeters; but in our analysis we shall rather express them as power increments expressed in MW or p.u. The movements are assumed positive in the directions of arrows. When speed raises, linkage movements will be: “A” moves downwards; “C” moves upwards; “D” moves upwards; “E” moves downwards. This allows more steam or water flow into the turbine resulting incremental increase in generator output power. When the speed drops, linkage movements will be: “A” moves upwards ; “B” moves upwards “C” moves downwards; “D” moves downwards; “E” moves upwards. This allows less steam or water flow into the turbine resulting decrease in generator output power. Speed governing system: The output command of speed governor is ΔPg which corresponds to movement ΔXC. The speed governor has two inputs: (i) Change in the reference power setting, ΔPref (ii) Change in the speed of frequency of the generator, Δf, as measured by ΔXB. It is to be noted that a positive ΔPref will result in positive ΔPg. If Δf= change in frequency ΔP= Change in load Then slope of the curve,
  • 3.
    Prepared by BalaramDas, EE Dept., GIET, Gunupur Page 3 The slope of the curve is also called as the regulation or drop. Generally governors have a speed regulation of 5.6% from zero to full load. Unit of R is Hz/MW. The output of speed governor mechanism (ΔPg) is the difference between the reference power (ΔPref) and change in load. Taking Laplace transform of eq.(2) yields Hydraulic valve actuator (or, Hydraulic amplifier) The input position of the valve actuator(ΔXd) is the difference between governor outputs (ΔPg) and the hydraulic actuator output (ΔPv) Taking Laplace on both sides of eq(4) For a small change in ΔPv, the oil flow into the hydraulic motor is proportional to the position ΔXd of the pilot valve.
  • 4.
    Prepared by BalaramDas, EE Dept., GIET, Gunupur Page 4 Where K is a constant depends upon the orifice, cylinder geometries and the fluid pressure. Integrating both sides of above equation, we get Taking Laplace on both sides of eq(5) For transfer function, initial condition must be zero. Using equation (5) in equation (8), we have
  • 5.
    Prepared by BalaramDas, EE Dept., GIET, Gunupur Page 5 Turbine generator In normal steady state, the turbine power PT keeps zero acceleration and a constant speed and frequency. During transient state, let the change in turbine power be ΔPT and the corresponding change in generator power be ΔPG The accelerating power in turbine generator unit Thus accelerating power If ΔPT - ΔPG is negative, it will decelerate. The turbine power increment ΔPT depends entirely upon the valve power increment ΔPv and the characteristic of the turbine.
  • 6.
    Prepared by BalaramDas, EE Dept., GIET, Gunupur Page 6 Different type of turbines will have different characteristics. Taking transfer function with single time constant for the turbine, we can write The generator power increment ΔPG depends entirely upon the change in the load ΔPD being fed from the generator. The generator always adjusts its output so as to meet the demand changes ΔPD. We can therefore set accelerating power Static performance of speed governor: The control loop shown in Fig. is open, No information can be obtained about the static performance of the speed governor.
  • 7.
    Prepared by BalaramDas, EE Dept., GIET, Gunupur Page 7 The static performance can be obtained by letting s = 0. From Fig. Substituting GH=1, we get Again substituting GT =1 in equation (13), Using eq.(18) in Eq(17) we have Using Eq.(19) in eq.(2) we have Using subscript 0 for static signas, Eq.(20) becomes For study of static performance, three cases arise. These are Case-A: The generator is synchronized to a network of very large size and the frequency will be independent of any changes in the power output of this individual generator(infinite network). Since the frequency is independent of any changes of power output, Substituting the value in eq.(21) becomes
  • 8.
    Prepared by BalaramDas, EE Dept., GIET, Gunupur Page 8 From equation (22), it is clear that for a generator operated at a constant speed , the turbine power is proportional to the reference power setting. Case-B: Consider a finite network. (Frequency variable) If the speed changer setting is constant, then Substituting Eq.(24) in Eq.(21), we have It is clear from equation (20), that for a constant setting of the speed changes, the static increase in turbine power output is directly proportional to the static frequency drop. Case-C: In general case, changes may occur in both the speed changer (reference power) setting and frequency. In frequency generation graph, equation (21) represents a family of sloping lines as shown in fig. Each line corresponds to a specific reference power setting. It is clear from fig that the generators working in parallel on the same network should have the same regulation in order to share load changes in proportion to size. Example 1 A 100-MW, 50-Hz generator is connected to “infinite” network. How would you increase its turbine power by 5 MW?
  • 9.
    Prepared by BalaramDas, EE Dept., GIET, Gunupur Page 9 Solution Its turbine power can be increased by 5 MW by simply giving a “raise” signal of 5 MW to the speed changer motor.
  • 10.
    Prepared by BalaramDas, EE Dept., GIET, Gunupur Page 10
  • 11.
    Prepared by BalaramDas, EE Dept., GIET, Gunupur Page 11
  • 12.
    Prepared by BalaramDas, EE Dept., GIET, Gunupur Page 12 1. A 300 MW turbo generator has a speed regulation of 0.045pu on its own rated capacity as base. Determine the increase in power output when the frequency drops from normal 50Hz to a steady state value of 49.95 Hz. (2015) [5] Solution: Given the generator power, = 100 MW Speed regulation = 0.045 pu. Drop in frequency, Δf = -0.05Hz Increase in turbine power = ? Regulation parameter, Increase in turbine power at the frequency drop of -0.05Hz Closing the ALFC Loop The “old” load is a function of voltage magnitude and frequency. The old area load depends on the frequency given by For area power balance, the increase in turbine power is equal to the sum of old and new load changes plus the rate of change of kinetic energy. Therefore area power balance is given by Turbine power = old load change + new load change + rate of change of kinetic energy If Δf = change in frequency relative to f0 f0 = frequency at normal state The new frequency, f = f0 + Δf Substituting the value of f, we get
  • 13.
    Prepared by BalaramDas, EE Dept., GIET, Gunupur Page 13 Since Δf is very small as compared to f0, then Dividing above equation by Pr , we get Taking Pr as base and writing above equation H is independent of Wkin 0. Typical value is 2-8 sec. Taking Laplace transform on both sides of above equation, we get
  • 14.
    Prepared by BalaramDas, EE Dept., GIET, Gunupur Page 14 Equation (40) represents the missing link Δf(s) in the control loop of fig. the open loop can be closed by adding a summing junction and a transfer block as shown in fig.
  • 15.
    Prepared by BalaramDas, EE Dept., GIET, Gunupur Page 15 Static response of Primary ALFC loop The basic objective of the primary ALFC loop is to maintain constant frequency in spite of changing loads. The primary ALFC loop as shown in the fig. has one output and two inputs. ΔPref(s) and ΔPD(s) From Fig., at the left hand summing point, Again at right hand summing point, we get, Substituting eq(29) in eq(30) we get, But if reference input is constant, then ΔPref (s)=0 Therefore,
  • 16.
    Prepared by BalaramDas, EE Dept., GIET, Gunupur Page 16 For a step load change of constant magnitude, Taking Laplace transform on both side of equation, we get Substituting the value in above equation Applying final value theorem to above equation The static frequency drop is given by, But Substituting the values in above equation
  • 17.
    Prepared by BalaramDas, EE Dept., GIET, Gunupur Page 17 Where, From the static response, frequency accuracy is obtained. Dynamic Response of ALFC Loop Dynamic response of ALFC loop gives information about tracking ability and stability of the loop. In eq(36), GH(s), GT(s) and GP(s) contains atleast one time constant each. Therefore, the denominator will be of 3rd order and the analysis will be complex. To simplify the analysis, it is to be assumed that the action of speed governor plus the turbine generator is instantaneous. Since the action of speed governor and turbine generator is instantaneous the time constant for speed governor (TH) and the time constant for turbine generator TT is equal to zero. Substituting equation (52),(53) and (54) in equation (47), we get
  • 18.
    Prepared by BalaramDas, EE Dept., GIET, Gunupur Page 18 On solving Using eq.(63) and (64) in eq.(62) we have, Taking inverse Laplace transform, Fig shows the dynamic response of the primary ALFC loop to a step load increase.
  • 19.
    Prepared by BalaramDas, EE Dept., GIET, Gunupur Page 19 It is clear that The system can be made faster by reducing the value of R i.e. by increasing the value of the static loop again. Reduction of R reduces the static frequency error. If the response of the turbine is not disregarded then the response will not be purely exponential as shown in fig. above. Physical Interpretation of Results When the load is suddenly increased by 1% (20 MW), where did this power come from? Certainly it must have come from somewhere as the load increase of 20 MW has been met with instantaneously. In the milliseconds following the closure of the switch, the frequency has not changed a measureable amount, speed governor would not have acted and hence turbine power would not have increased. In those first instants the total additional load demand of 20 MW is obtained from the stored kinetic energy, which therefore will decrease at an initial rate of 20 MW. Release of KE will result in speed and frequency reduction. As seen in eq.(66), Initially frequency reduces. The frequency reduction causes the steam valve to open and result in increased turbine power. In conclusion, the contribution to the load increase of 20 MW is made up of three components: • Rate of decrease of kinetic energy from the rotating system • Increased turbine power • “Released” old customer load Initially the components 2 and 3 are zero. Finally, the frequency and hence the KE settle at a lower value and the component 1 becomes zero. In between, component 1 keeps decreasing and components 2 and 3 keep increasing. The Secondary (“Reset”) ALFC Loop: It is seen from the previous discussion for a given speed changer setting, there is considerable frequency drop for increased system load. So much change in frequency cannot be tolerated. In fact, it is expected that the steady state frequency change must be zero. In order to maintain the frequency at the scheduled value, the speed changer setting must be adjusted automatically by monitoring the frequency changes.For this purpose, INTEGRAL CONTROLLER is included. In this case, the speed changer is
  • 20.
    Prepared by BalaramDas, EE Dept., GIET, Gunupur Page 20 commanded by a signal obtained by first amplifying and then integrating the frequency error. Where K1 is integral control constant. Negative sign in integral controller is choosen so as to cause a positive frequency error. The gain constant k controls the rate of integration and the speed of response of the loop. Area Control Error(ACE): the signal fed into the integrator is referred to as area control error(ACE) i.e. ACE=Δf. When frequency error is reduced to zero, then the integrator output and the speed changer position attains a constant value. Taking Laplace transform, The gain constant K1 controls the rate of integration and thus the speed of response of the loop. For this signal ΔF(s) is fed to an integrator whose output controls the speed changer position resulting in the block diagram configuration shown in fig. As long as an error remains, the integrator output will increase, causing the speed changer to move. When the frequency error has been reduced to zero, the integrator output ceases and the speed changer position attains a constant value. Integral controller will give rise to ZERO STEADY STATE FREQUENCY ERROR following a step load change because of the reason stated above.
  • 21.
    Prepared by BalaramDas, EE Dept., GIET, Gunupur Page 21 Referring to the block diagram of single control area with integral controller shown in fig. input to GHT is Using this equation the block diagram in fig can be reduced as shown in fig. Economic Dispatch Control The primary ALFC loop makes the initial coarse readjustment of frequency. The secondary ALFC loop takes over the fine adjustment of the frequency by resetting through integral action, the frequency error to zero. Economic dispatch control can be viewed as an additional tertiary control loop. As the control decisions in this loop are based upon the solutions of the ODE’s it is necessary to incorporate a digital computer as part of this control loop. This computer is placed in “energy control centre” and this is linked to the various power plants via communication channel. Periodically every five minutes the computer is provided with the megawatt setting in the power plants.
  • 22.
    Prepared by BalaramDas, EE Dept., GIET, Gunupur Page 22 Short Questions 1. What is meant by Load frequency control? The frequency is closely related to the real power balance in the overall network. The basic role of ALFC is to maintain desired megawatt output of a generator unit and assist in controlling the frequency of the larger interconnection. The ALFC also helps to keep the net interchange of power between pool members at predetermined values. Or Load frequency control, as the name signifies, regulates the power flow between different areas while holding the frequency constant. 2. What is the role of Hydraulic amplifier in load frequency control model? Hydraulic amplifier consists of a main piston and pilot valve. Low power level pilot valve movement is converted into high power level piston valve movement which is necessary to open or close the steam valve against high pressure steam. 3. What is area control error? Area control error (ACE) is the difference between scheduled and actual electrical generation within a control area on the power grid, taking frequency bias into account. ACE = Pactual - Pscheduled Whenever the ACE is greater than zero, it means that the area is over generating and thus needs either to decrease generation or to sell more. Likewise, whenever the ACE is less than zero, the area is under generating and thus needs either to increase generation or to buy more. AGC works to keep the ACE close to zero. 4. What is the major control loops used in large generators? (i) Automatic load frequency control loop: To maintain the frequency constant. (ii) Automatic voltage regulator: To maintain the voltage constant.
  • 23.
    Prepared by BalaramDas, EE Dept., GIET, Gunupur Page 23 5. What is the function of speed changer in a turbine speed governing system of power system? The speed changer provides a steady state power output setting for the turbine. The downward movement of the speed changer opens the upper pilot valve so that more steam is admitted to the turbine under steady condition. The reverse happens when the speed changer moves upward. 6. what is the function of load frequency control? The basic role of ALFC is to maintain desired megawatt output of a generator unit and assist in controlling the frequency of the larger interconnection. The ALFC also helps to keep the net interchange of power between pool members at predetermined values. Control should be applied in such a fashion that highly differing response characteristics of units of various type (hydro, nuclear, fossil, etc.) are recognized. Also, unnecessary power output changes should be kept to a minimum in order to reduce wear of control values. 7. Explain the need of fly ball speed governor. It is purely mechanical speed sensitive device coupled directly to the hydraulic amplifier which adjusts the control valve opening via the linkage mechanism. 8. What do you understand by Tie line bias control in a power system? Tie line bias control in a power system is the control of power flow between two areas. 9. What is tie line in a power system? The transmission lines that connect an area to its neighboring area are called tie-lines. Power sharing between two areas occurs through these tie-lines. 10. What are the components used for the automatic load frequency control of a single area system. 11. What are typical conditions needed to be taken care of while distributing loads among the plants of a system? 12. Why frequency should remain constant? Explain in brief. Reasons for the need of maintaining constant frequency: (i) The speed of a.c. motors are directly related to the frequency. (ii) If the normal operating frequency is 50 Hz and the turbines run at speeds corresponding to frequencies less than 47.5 Hz or above 52.5 Hz, then the blades of the turbines may get damaged. (iii) The operation of a transformer below the rated frequency is not desirable. When frequency goes below rated frequency at constant system voltage then the flux in the core increases and then the transformer core goes into the saturation region.
  • 24.
    Prepared by BalaramDas, EE Dept., GIET, Gunupur Page 24 (iv) With reduced frequency the blast by ID fans and FD fans decrease, and so the generation decreases and thus it becomes a multiplying effect and may result in shut down of the plant. 13. What is meant by p-f control of power system? p-f control deals with the control of loading of the generating units for the system at normal frequency. The load in a power system is never constant and the system frequency remain at its nominal value only when there is a match between the active power generation and the active power demand. 14. What are the typical conditions needed to be taken care of while distributing loads within the units of a plant and the same among plants? 15. Draw the static response characteristics of the primary ALFC loop. 16. Differentiate static and dynamic response of an ALFC loop. (i) Static response of an ALFC loop will inform about frequency accuracy. (ii) The dynamic response of an ALFC loop will inform about the stability of the loop. 17. State the functions of AVR. The function of AVR excitation control is to regulate generator voltage and relative power output. As the terminal voltage varies the excitation control, it maintains the terminal voltage to the required standard and the demand of the reactive power is also met by the excitation control unit. 18. List the various components in AVR loop. Exciter, comparator, amplifier, rectifier, synchronous generator. 19. What is the need for compensator in the AVR loop? Stability compensation improves the dynamic response characteristics without affecting the static loop gain. 20. Define (i) Load factor (ii) Diversity factor. Load factor: The ratio of average load to the maximum demand during a given period is known as load factor. Load factor = (average load) / (maximum demand) Diversity factor: The ratio of the sum of individual maximum demand on power station is known as diversity factor. Diversity factor = (sum of individual maximum demand) / (maximum demand). 21. What is meant by free governor operation? Only governor control is called as free governor action. It can be obtained by deactivating the integral controller. 22. Compare the functions of speed governor and speed changer of a turbine- generator set.
  • 25.
    Prepared by BalaramDas, EE Dept., GIET, Gunupur Page 25 23. How the ALFC loop is affected by AVR loop? AVR affect the magnitude of generated emf Eg, This generated emf affects the generated real power. Therefore changes in AVR loop affect ALFC loop. 24. What is the use of secondary loop? A slower secondary loop maintains the fine adjustment of the frequency, and also by ‘reset’ action maintains proper megawatt interchange with other pool members. This loop is insensitive to rapid load and frequency changes but focuses instead on drift like changes which take place over periods of minutes. 25. What is the advantage of AVR loop over ALFC loop? AVR loop is much faster than the ALFD loop and therefore there is a tendency, for the AVR dynamics to settle down before they can make themselves felt in the slower load –frequency control channel. 26. What is the function of AVR? The basic role of the AVR is to provide constancy of the generator terminal voltage during normal, small and slow changes in the load. 27. Specify the disadvantages of ALFC loop? The ALFC loop will maintain control only during normal (small and slow) changes in load and frequency. It is typically unable to provide adequate control during emergency situations, when large megawatt imbalances occur. Then more drastic ‘emergency’. 28. What is the control area? Most power systems normally control their generators in unison. The individual control loops have the same regulation parameters. The individual generator turbines tend to have the same response characteristics then it is possible to let the control loop in the whole system which then would be referred to as a control area. 29. Specify the use of static and dynamic response of the ALFC loop.
  • 26.
    Prepared by BalaramDas, EE Dept., GIET, Gunupur Page 26 The static response of the ALFC loop yielded important information about frequency accuracy. The dynamic response of the loop will inform about ‘tracking’ ability and stability of the loop. 30. What is the basic principle in pool operation? A basic guiding principle in pool operation must be that each area, in normal steady state, absorbs its own load. 31. What are the sources of reactive power? How it is controlled? The sources of reactive power are generators, capacitors, and reactors. These are controlled by field excitation. 32. Write about static VAR compensator (SVC). These comprise capacitor bank fixed or switched or fixed capacitor bank and switched reactor bank in parallel. These compensators draw reactive (loading or lagging) power from the line thereby regulating voltage, improves stability (steady-state and dynamic), control over voltage and reduce voltage and current unbalances. In HVDC application these compensators provide the required reactive power and damp out sub harmonic oscillation. 33. List the advantages of series compensation. The advantages of series compensation are, a. Series capacitors are inherently self- regulating and a control system is not required. b. For voltage stability, series capacitors lower the critical c. Series capacitors possess adequate time-overload capability. d. For the same performance, series capacitors are often less costly than SVCs and losses are very low. 34. What are the parts of speed governing system? The parts of speed governing system are, a. Speed governor, b. Linkage mechanism c. Hydraulic amplifier, d. Speed changer Numerical: Example-1 Two generators rated 200MW and 400MW are operating in parallel. The drop characteristics of their governors are 4% and 5% respectively from no load to full load. Assuming that the governors are operating at 50Hz at no load, how would a load of 600MW be shared between them? What will be the system frequency at this load? Assume free governor operation. Solution: Since the generators are operating in parallel, they will operate at the same frequency at steady load. Let load on generator-1 = x MW Load on generator-2 = 600 – x MW. Reduction in frequency = Δf
  • 27.
    Prepared by BalaramDas, EE Dept., GIET, Gunupur Page 27 From equation(1), From equation(2), Comparing equation (2) and (3), we have Therefore load on generator-1 is 231 MW Load on generator-2 is 600-x = 600-231 = 369MW System frequency = Example-2: Two generators rated with 221MW and 429MW are operating in Parallel. The drop characteristics of their governors are 4.15% and 5.35% respectively from no-load to full load. The speed changers are so set that the generators operate at 50 Hz sharing the full load of 650MW in the ratio of their ratings. If the load reduces to 550 MW, what will be the load shared by each generator? Also find out the system frequency under this condition. 2016 [5] Solution: Since the generators are operating in parallel, they will operate at the same frequency at steady load. Let load on generator-1(221MW) = x MW Load on generator-2(429MW) = 550 – x MW. Reduction in frequency = Δf
  • 28.
    Prepared by BalaramDas, EE Dept., GIET, Gunupur Page 28 From equation(1), From equation(2), Comparing equation (2) and (3), we have Therefore load on generator-1 is 219.493 MW Load on generator-2 is 600-x = 550-219.493 = 330.506 MW System frequency = Example-03
  • 29.
    Prepared by BalaramDas, EE Dept., GIET, Gunupur Page 29 Example-04 Example-05
  • 30.
    Prepared by BalaramDas, EE Dept., GIET, Gunupur Page 30 Example-06
  • 31.
    Prepared by BalaramDas, EE Dept., GIET, Gunupur Page 31 Example-07 Example-08
  • 32.
    Prepared by BalaramDas, EE Dept., GIET, Gunupur Page 32 Example-09