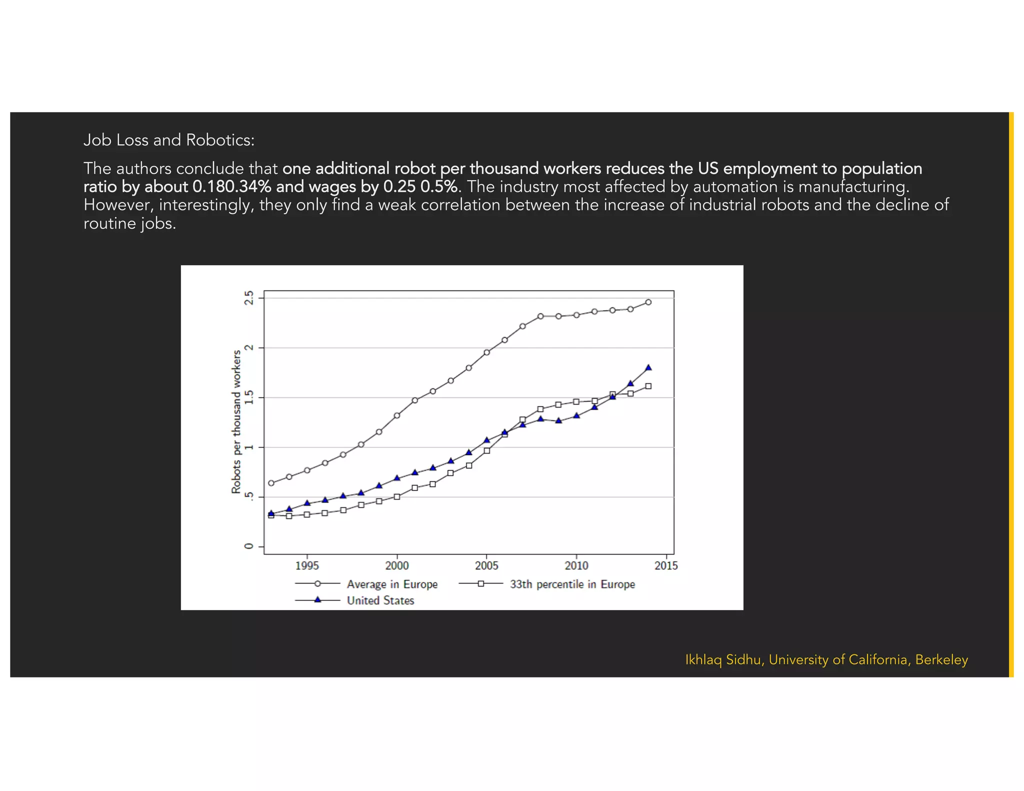
Ikhlaq Sidhu, University of California, Berkeley
JOB LOSS AND A.I.
AN ANALYSIS
IKHLAQ SIDHU
Founding Director
Sutardja Center for Entrepreneurship & Technology
IEOR Emerging Area Professor
Department of Industrial Engineering & Operations Research, UC
Berkeley
Ikhlaq Sidhu, University of California, Berkeley
AI and Jobs
Outline
and
Analytical Viewpoint
• Concerns of a Major Disruption in Employment
• Alternative and Optimistic Outlook
• Transient Effects and Displacement is Still a Factor
• Summary Narrative and Policy Options
Ikhlaq Sidhu, University of California, Berkeley
CONCERNS OF A MAJOR DISRUPTION IN EMPLOYMENT
AUTOMATION HAS BEEN
CHANGING THE JOB
LANDSCAPE FOR MANY YEARS
• Over many decades:
• Routine jobs (manual or
cognitive) have declined.
• Only non-routine jobs
have continued to grow.
(Source: Economist)
• Now: The most famous study
on Job Loss and AI, by Carl
Frey and Michael Osbourne,
predicts that 47% of the
workforce is in danger.
Automation and anxiety
Economist
WHAT JOBS ARE IN
DANGER
• Previous trends: high skill and low
skill were safe, mid skill has been
cut by automation.
• New Danger is regardless of level:
All logistics, transport, taxi, office
support, security people,
telemarketing, accounting,
auditors, tech writers.
• Industry Areas Most Effected:
Accommodation/Hospitality,
Food Service, Manufacturing,
Agriculture, Transportation,
Warehousing, Retail, Mining, and
Construction
Automation and anxiety
http://www.genre.com/knowledge/publications/iinapc1704-en.html
In the automotive and automobiles sector, over 60% of salaried workers in Indonesia and 73
in Thailand face a high risk from robotic automation.
In the electrical and electronics sector, over 60% of salaried workers in Indonesia, the
Philippines, Thailand and Vietnam were at high risk from robotic automation.
In the textile, clothing and footwear sectors, 88% of workers in Cambodia, 86% of workers i
Vietnam and 64% in Indonesia face job disruption due to body-scanning tech and 3D printin
 
A prediction by Forrester Research estimates that some 25% of all job tasks will be off-loaded to AI
robots by 2019.13
9/23/2017 The Speed of Disruption and Impact on Business - The Fourth Industrial Revolution Has Begun | Gen Re
Disruption in Speci c Classes of Business
The timing of any potential disruption is dif cult to estimate. The McKinsey report describe
scenarios: early adoption and late adoption. In their early adoption scenario, the disruption
2016. The late adoption scenario expects adoption beginning around 2030. Something clos
early scenario makes sense as adoption has already begun. Matthew Rendall, CEO of OTTO
division of Clearpath Robotics, made an important distinction, noting that “from 2000 to 20
Sources: Frey, Osbourne, and US Dept. of Labor
Ikhlaq Sidhu, University of California, Berkeley
World Economic Forum is among the most negative:
Five Million Jobs by 2020. The Real Challenge of the Fourth
Industrial Revolution
• Skills and job displacement will affect every industry and geographical region,
but losses can be offset by job growth in key areas.
• “Over the next five years is such that as many as 7.1 million jobs could be lost
through redundancy, automation or disintermediation, with the greatest losses
in white-collar office and administrative roles. This loss is predicted to be
partially offset by the creation of 2.1 million new jobs, mainly in more
specialized ‘job families’, such as Computer and Mathematical or Architecture
and Engineering.“
Cann, O. (2016, January 18). Five Million Jobs by 2020: the Real Challenge of the Fourth Industrial Revolution [Web log post]. Retrieved September 23, 2017,
from https://www.weforum.org/press/2016/01/five-million-jobs-by-2020-the-real-challenge-of-the-fourth-industrial-revolution/
Ikhlaq Sidhu, University of California, Berkeley
ALTERNATIVE AND MORE OPTIMISTIC OUTLOOK
THE ERRORS IN JOB
REPLACEMENT LOGIC
• Every machine that replaces a job
also creates new work.
• In many cases, we need AI to
scale productivity to efficiently
meet needs, like healthcare.
• Displaced jobs cause economic
growth which creates new
demands that are hard to predict.
• Historically, those places that
automated increased their
efficiency, and actually had very
low unemployment rates
A MODIFIED ARGUMENT
• The First Industrial Revolution already
replaced repetitive “manual” functions
• Now AI can replace all repetitive
“cognitive” functions
• Compare with historic job destruction:
• Average worker was replaced.
• New job functions were to “design” the machine, and
operate the “machine”
• Most places that automated had higher
employment than before.
• Safest jobs*: (simplest argument)
• Creating the AI machines
• Operating and developing/designing the process for
them to run.
• Any managing function of people becomes managing of
AI tools. *Jobs least likely to be replaced by AI.
Ikhlaq Sidhu, University of California, Berkeley
With this logic, these job examples are actually safer*
(because they manage the new machines)
HR managers, sales managers, marketing managers, PR managers, CEOs,
event planners, writers, SW developers, editors, graphic designers.
Still, other workers are not safe because they are replaced
by the new machines:
Telemarketing, book-keeping, compensation/benefits mangers,
receptionists, couriers, proofreaders, computer support specialists, market
research analyst, advertising sales people, retail sales people.
*Safer = less likely to be replaced by AI.
Reference: Sophia Bernazzani, Will Robots Take My Job
Ikhlaq Sidhu, University of California, Berkeley
Textile vs Hand weaving: During the 19th century, amount of
cloth a single weaver in America could produce = 50X gain.
Labor required fell by 98%. Result: cloth became cheaper,
demand greater, 4X more jobs were created in the same
sector.
Economists and
historians claim
that job disruption
actually helped
the economies
that participated. Auto vs Horse-based transportation: This led to a decline in
horse-related jobs. However, the automobile industry itself
grew fast. Jobs were also created in different sectors, e.g.
motel and fast-food industries that arose to serve motorists
and truck drivers.
ATM Machines at Banks: Automated teller machines (ATMs)
reduce the number of bank clerks (20/bank in 1988 to
13/bank in 2004) by taking over some of their routine tasks.
However, bank branches grew in numbers by 43% and total
employees grew.Reference: Do we understand
the impact of artificial
intelligence on employment? |
Bruegel
One Caveat: The McKinsey
Global Institute estimates that,
compared with the Industrial
Revolution of the late 18th and
early 19th centuries, AI’s
disruption of society is
happening ten times faster and
at 300 times the scale.
Ikhlaq Sidhu, University of California, Berkeley
The economy will grow dramatically (2017 PWC Report)
• AI will contribute as much as $15.7 trillion to the world economy by 2030, according to a
PwC report Wednesday. That’s more than the current combined output of China and
India. 6.6T in productivity gain and 9.1T in consumption. (June 2017)
• Machines to work with people and augment their capabilities and productivity.
• Global GDP, which stood at about $74 trillion in 2015, will be 14 percent higher in 2030 as a result of AI, according to
PwC’s projections.
• Mixed results for the labor market, according to Tom Mitchell, CMU
• Elimination: Some jobs are being eliminated, many routine clerical jobs, toll booth operators, etc.
• Gain Effectiveness: like doctor jobs, where AI is not replacing them but making them better by augmenting their
capabilities.
• Context: Uber and Biz model innovation - No one yet has predicted if it will be a gain or loss?
• AI also involves risk. Regulators are wary of rapidly developing systems that they have little oversight of. And, there
are lingering suspicions about erosion of privacy.
See Bloomberg
Ikhlaq Sidhu, University of California, Berkeley
Half the Studies are Pessimistic while the other Half are Optimistic
• Bowles (2014) repeated Frey and Osborne’s empirical exercise for Europe, concluding that 54% of European jobs
are at risk because of automation.
• Chui, Manyika and Miremadi (2015) estimate that 45% of work activities could be automated using already
demonstrated technology. If AI systems were to reach the median level of human performance, an additional 13%
of work activities in the US economy could be automated. The study also finds that even the highest-paid
occupations in the economy, such as financial managers, physicians, and senior executives, including CEOs, have
a significant amount of activity that can be automated.
• There are also studies that find a much smaller displacement effect of automation on employment. Arntz, Gregory
and Zierahn (2016) predict that on average across the 21 OECD countries, only 9% of jobs are automatable.
Atkinson (2016) agrees with this estimate, looking at the next 20 years, as he said at a recent Bruegel event about
AI.
• The big difference between this 9% estimate and 47% reported by Frey and Osborne (2013) is explained as
follows: Frey and Osborne focus on whole occupations rather than single job-tasks (occupation based approach)
when they estimate the risk of automation.
• Manyika et al (2017) estimate that only a fraction of less than 5% of tasks consist of activities that are 100%
automatable, suggesting that a task-based approach can better capture the impact of automation. They also
report that about 60% of occupations have at least 30% of their activities that are automatable.
A Mixed Message:
• Half (48%) envision a future in which robots and digital agents will have displaced significant numbers of both
blue- and white-collar workers—with many expressing concern that this will lead to vast increases in income
inequality, masses of people who are effectively unemployable, and breakdowns in social order.
• The other half of (52%) expects that technology will not displace more jobs than it creates by 2025.
Ikhlaq Sidhu, University of California, Berkeley
TRANSIENT EFFECTS AND DISPLACEMENT
ARE STILL A FACTOR
Ikhlaq Sidhu, University of California, Berkeley
Many consider this to be a natural transition to
different types of work in a future economy
• In 1970, 14 percent of men held four year
college degrees, and 8 percent of women did.
By 2015, that was up to 32 percent of men
and women. So over time, we took hundreds
of thousands of people out of the pool of
those who might want a gas station attendant
job and pushed them up, toward the
professional job market, adding a lot of value
to society and their wallets.
• The Rational Optimist, in 1900, the average
American spent $76 out of every $100 on
food, clothing and shelter; today, he or she
spends $37. To buy a Model T in 1908 took
about 4,700 hours of work; today, the average
person has to work about 1,000 hours to buy
a car that’s a thousand times better than a
Model T.
Source: Kevin Maney, How Artificial
Intelligence and Robots will Radically
Transform the Economy, Newsweek
https://qz.com/904285/the-optimists-guide-to-the-robot-apocalypse/ 5/13
As automation kills some jobs, it creates others
Share
Employment in agriculture has fallen to less than 2% of workers
1859 1879 1899 1919 1939 1959 1979 1999
0
20
40
60
80
100
Agriculture Manufacturing Rest of economy
Data: McKinsey
more money with the same number of workers, they can theoretically pay those
workers better. If the price of goods drops, those workers can buy more without a
raise.
As the Industrial Revolution ended, about half of American workers were still
employed in agriculture jobs, and almost all of those jobs were about to be lost to
machines.
Weekend edition—Trust at the UN, chess on Wall Street, mastiff mania. All this and more in today's
https://qz.com/904285/the-optimists-guide-to-the-robot-apocalypse/
PWC: Defining AI
- varying models of AI emulating and
replacing human judgement
- early value from productivity (2017-2024)
- later value from increased consumption
(2024+)
intelligence:
• Automated intelligence: Automation of
manual, routine tasks
• Assisted intelligence: Helping to perform
tasks faster and better
• Augmented intelligence: Helping people
to make better decisions
• Autonomous intelligence: Automating
decision-making processes without human
intervention
Figure 1: The scope of artificial intelligence
Hardwired/
specific
systems
Adaptive
systems
PwC Data &
Analytics
Human-in-the-loop No Human-in-the-loop
Assisted intelligence
AI systems that assist humans in making decisions or
taking actions. Hard-wired systems that do not learn
from their interactions.
Automation
Automation of manual and cognitive tasks that are
routine. This does not involve new ways of doing things
– automates existing tasks.
Augmented intelligence
AI systems that augment human decision making
continuously learn from their interactions with humans
and the environment.
Automation intelligence
AI systems that can adapt to different situations and
can act autonomously without human assistance.
6 The economic impact of artificial intelligence on the UK economy
Figure 3: Where will the value gains come from with AI?
During the first phase of the impact (2017-2024),
productivity growth could account for a relatively
larger share of the gains than the period that
follows, when the consumption-side impacts are
likely to dominate. This is due to the fact that it
takes time for firms to enter the marketplace and
supply new varieties of AI-enhanced products to
consumers following the stimulation in consumer
spending from higher real wages and initial product
improvements. As this takes place, competition
The potential for artificial intelligence to impact the
UK economy is slightly higher compared to the
potential in Northern Europe more generally. Our
recent report5
assesses the global potential for AI
and the likely impact for regional economies. The
analysis concludes that GDP in Northern Europe
could be up to 9.9% higher in 2030. The UK could
see larger gains as a result of having stronger
foundations in technology already – many
technology companies have their EMEA
Phase 1: Productivity-driven impact Phase 2: Consumption-side impacts dominate
£billion
0
50
100
150
200
250
2017 2018 2019 2020 2021 2022 2023 2024 2025 2026 2027 2028 2029 2030
Labour productivity Personalisation Time saved Utility
The transition timing is still a big factor
This time, it will be 10X faster and scale of 300Xthan the last
industrial revolution. We have not seen this level of
displacement before. Source McKinsey
Ikhlaq Sidhu, University of California, Berkeley
POLICY CONSIDERATIONS
AND
ARGUMENT NARRATIVE
Ikhlaq Sidhu, University of California, Berkeley
Argument Narrative I
• Could you have stopped the first industrial revolution? No, if you chose to
not participate, you would become irrelevant:
• Who benefited: i) people/governments who created the tools. ii)
people who learned to “operate the machine”, iii) those that invent or
design the use-case or process.
• Who suffered: displaced workers
• Mass displacement also means there will be a lack of spending, but so far
no economists have validated this concern.
• Innovative people with entrepreneurial behaviors are best suited to survive
transition. Retraining will be essential. Psychology is the biggest factor.
We should consider how to best re-train for this change.
Ikhlaq Sidhu, University of California, Berkeley
Policy Logic I – Short Term
• Industry vs Government Have Competing Viewpoints:
• Industry needs to be competitive – works for shareholders not employees
• Government must protect its local population.
• Too little AI adoption means non competitive industry (i.e. unemployment)
• Too much AI means faster pace of job loss and change
• In the past, efficiency created new opportunity and growth. Is it different this time?
• New opportunity is still displacement.
• We do not know the new opportunities, but they will not be in repetitive functions
• Having a cognitively flexible population is critical to surviving this next phase of
technology evolution
• Most countries currently seek a balanced policy of human centered AI, in which AI
helps people or assists people scale their work
Ikhlaq Sidhu, University of California, Berkeley
Policy Logic II: A possible View of the Long Term.
The Brookings Institute is starting to consider a world
where human work is not in significant demand.
Potential Policy Models:
• Separating the dispersion of health care, disability, and pension benefits outside of employment,
offering workers with limited skills social benefits on a universal basis.
• Mandating a basic income guarantee for a reasonable standard of living to combat persistent
unemployment or underemployment posed by the automation economy.
• Revamping the Earned Income Tax Credit (EITC) to allow the benefit to support households in the
grips of high unemployment.
• Providing activity accounts for lifetime learning and job retraining to motivate the workforce to keep
pace with innovation.
• Offering incentives for volunteerism—beneficial for many people who in the future may not be able
to provide for their families through regular employment but may still wish enrich their communities.
• Encouraging corporate profit sharing to spread the benefits of improved productivity to the broader
workforce.
• Reforming the education curriculum to reflect the high premium STEM skills will offer employees in
the future. Expanding arts and culture for leisure time, ensuring that reduction in work will not
eliminate chances for cultural pursuits.
Ikhlaq Sidhu, University of California, Berkeley
Data and AI Effects Everything We Know
Every Business: Will be deconstructed by Data, AI, and
Automated Decisions
Society: Danger of even larger gap between the highly skilled
and the less skilled
Government: Must adapt to a new level of transparency and
efficiency or face trouble from their people
People: Will change their behaviors. Work life balance, social
structure, and allow the use of hybrid human machines.
Ikhlaq Sidhu, University of California, Berkeley
References:• Bernazzani, S. (2017, June 1). 10 Jobs Artificial Intelligence Will Replace (and 10 That Are Safe). Retrieved September 6, 2017, from
https://blog.hubspot.com/marketing/jobs-artificial-intelligence-will-replace
• Cameron, E., Andrews, J., & Gillham, J. (2017). The economic impact of artificial intelligence on the UK economy. PWC,1-16. Retrieved
September 6, 2017, from https://www.pwc.co.uk/services/economics-policy/insights/the-impact-of-artificial-intelligence-on-the-uk-
economy.html.
• Cann, O. (2016, January 18). Five Million Jobs by 2020: the Real Challenge of the Fourth Industrial Revolution [Web log post]. Retrieved
September 23, 2017, from https://www.weforum.org/press/2016/01/five-million-jobs-by-2020-the-real-challenge-of-the-fourth-industrial-
revolution/
• Curran, E., & Pi, X. (2017, June 28). AI Will Add $15.7 Trillion to the Global Economy. Bloomberg News.
• Karsten, J., & West, D. M. (2016, July 29). How robots, artificial intelligence, and machine learning will affect employment and public policy.
Retrieved September 23, 2017, from Brookings https://www.brookings.edu/blog/techtank/2015/10/26/how-robots-artificial-intelligence-and-
machine-learning-will-affect-employment-and-public-policy/
• Kessler, S. (2017, March 09). The optimist’s guide to the robot apocalypse. Retrieved September 23, 2017, from Quartz
https://qz.com/904285/the-optimists-guide-to-the-robot-apocalypse/
• Khan, M. (2016, May 13). Robots won’t just take jobs, they’ll create them. Retrieved September 23, 2017, from TechCrunch
https://techcrunch.com/2016/05/13/robots-wont-just-take-jobs-theyll-create-them/
• Kingdollar, C. (2017, April). The Speed of Disruption and Impact on Business - The Fourth Industrial Revolution Has Begun (Publication).
Retrieved September 23, 2017, from GenRe website: http://www.genre.com/knowledge/publications/iinapc1704-en.html
• Maney, K. (2016, November 30). HOW ARTIFICIAL INTELLIGENCE AND ROBOTS WILL RADICALLY TRANSFORM THE
ECONOMY. Newsweek, 1-17. Retrieved September 23, 2017, from http://www.newsweek.com/2016/12/09/robot-economy-artificial-
intelligence-jobs-happy-ending-526467.html
• Morgenstern, M. (2016, June 25). Automation and Anxiety; the Impact on Jobs. The Economist (US). Special Report: Will smarter machines
cause mass unemployment?
Ikhlaq Sidhu, University of California, Berkeley
References continued:• Perez-Breva, L. (n.d.). 5 things everyone gets wrong about artificial intelligence and what it means for our future. Business Insider. Retrieved
September 6, 2017, from 9/6/2017 Artificial intelligence and jobs myths - Business Insider http://www.businessinsider.com/artificial-
intelligence-and-jobs-myths-2017-7
• Petropoulos, G. (2017, April 27). Do we understand the impact of artificial intelligence on employment? [Web blog post]. Retrieved
September 23, 2017, from 9/23/2017| Bruegel http://bruegel.org/2017/04/do-we-understand-the-impact-of-artificial-intelligence-on-
employment/. Innovation & Competition Policy
• Purdy, M., & Daugherty, P. (2016, September 28). Artificial Intelligence the Future of Growth (Rep.). Retrieved September 23, 2017, from
Accenture website: https://www.accenture.com/dk-en/insight-artificial-intelligence-future-growth
• Stark, H. (2017, April 28). As Robots Rise, How Artificial Intelligence Will Impact Jobs. Forbes. Retrieved September 6, 2017, from 9/6/2017
https://www.forbes.com/sites/haroldstark/2017/04/28/as-robots-rise-how-artificial-intelligence-will-impact-jobs/#3435baeb7687
• Statt, N. (2017, March 15). America may miss out on the next industrial revolution. Retrieved September 23, 2017, from
https://www.theverge.com/2017/3/15/14935360/automation-robots-ai-manufacturing-future-sxsw-2017. Preparing for automation means
investing in robotics.
• Technological unemployment. (2017, September 19). In Wikipedia. Retrieved September 23, 2017, from 9/23/2017 Technological
unemployment – Wikipedia https://en.wikipedia.org/wiki/Technological_unemployment
• West, D. M. (2015, October 26). What happens if robots take the jobs? The impact of emerging technologies on employment and public
policy. Retrieved September 23, 2017, from Brookings https://www.brookings.edu/research/what-happens-if-robots-take-the-jobs-the-
impact-of-emerging-technologies-on-employment-and-public-policy/
Ikhlaq Sidhu, University of California, Berkeley
END OF SECTION

Artificial Intelligence (AI) and Job Loss

  • 1.
    Ikhlaq Sidhu, Universityof California, Berkeley JOB LOSS AND A.I. AN ANALYSIS IKHLAQ SIDHU Founding Director Sutardja Center for Entrepreneurship & Technology IEOR Emerging Area Professor Department of Industrial Engineering & Operations Research, UC Berkeley
  • 2.
    Ikhlaq Sidhu, Universityof California, Berkeley AI and Jobs Outline and Analytical Viewpoint • Concerns of a Major Disruption in Employment • Alternative and Optimistic Outlook • Transient Effects and Displacement is Still a Factor • Summary Narrative and Policy Options
  • 3.
    Ikhlaq Sidhu, Universityof California, Berkeley CONCERNS OF A MAJOR DISRUPTION IN EMPLOYMENT
  • 4.
    AUTOMATION HAS BEEN CHANGINGTHE JOB LANDSCAPE FOR MANY YEARS • Over many decades: • Routine jobs (manual or cognitive) have declined. • Only non-routine jobs have continued to grow. (Source: Economist) • Now: The most famous study on Job Loss and AI, by Carl Frey and Michael Osbourne, predicts that 47% of the workforce is in danger. Automation and anxiety Economist
  • 5.
    WHAT JOBS AREIN DANGER • Previous trends: high skill and low skill were safe, mid skill has been cut by automation. • New Danger is regardless of level: All logistics, transport, taxi, office support, security people, telemarketing, accounting, auditors, tech writers. • Industry Areas Most Effected: Accommodation/Hospitality, Food Service, Manufacturing, Agriculture, Transportation, Warehousing, Retail, Mining, and Construction Automation and anxiety http://www.genre.com/knowledge/publications/iinapc1704-en.html In the automotive and automobiles sector, over 60% of salaried workers in Indonesia and 73 in Thailand face a high risk from robotic automation. In the electrical and electronics sector, over 60% of salaried workers in Indonesia, the Philippines, Thailand and Vietnam were at high risk from robotic automation. In the textile, clothing and footwear sectors, 88% of workers in Cambodia, 86% of workers i Vietnam and 64% in Indonesia face job disruption due to body-scanning tech and 3D printin   A prediction by Forrester Research estimates that some 25% of all job tasks will be off-loaded to AI robots by 2019.13 9/23/2017 The Speed of Disruption and Impact on Business - The Fourth Industrial Revolution Has Begun | Gen Re Disruption in Speci c Classes of Business The timing of any potential disruption is dif cult to estimate. The McKinsey report describe scenarios: early adoption and late adoption. In their early adoption scenario, the disruption 2016. The late adoption scenario expects adoption beginning around 2030. Something clos early scenario makes sense as adoption has already begun. Matthew Rendall, CEO of OTTO division of Clearpath Robotics, made an important distinction, noting that “from 2000 to 20 Sources: Frey, Osbourne, and US Dept. of Labor
  • 6.
    Ikhlaq Sidhu, Universityof California, Berkeley World Economic Forum is among the most negative: Five Million Jobs by 2020. The Real Challenge of the Fourth Industrial Revolution • Skills and job displacement will affect every industry and geographical region, but losses can be offset by job growth in key areas. • “Over the next five years is such that as many as 7.1 million jobs could be lost through redundancy, automation or disintermediation, with the greatest losses in white-collar office and administrative roles. This loss is predicted to be partially offset by the creation of 2.1 million new jobs, mainly in more specialized ‘job families’, such as Computer and Mathematical or Architecture and Engineering.“ Cann, O. (2016, January 18). Five Million Jobs by 2020: the Real Challenge of the Fourth Industrial Revolution [Web log post]. Retrieved September 23, 2017, from https://www.weforum.org/press/2016/01/five-million-jobs-by-2020-the-real-challenge-of-the-fourth-industrial-revolution/
  • 7.
    Ikhlaq Sidhu, Universityof California, Berkeley ALTERNATIVE AND MORE OPTIMISTIC OUTLOOK
  • 8.
    THE ERRORS INJOB REPLACEMENT LOGIC • Every machine that replaces a job also creates new work. • In many cases, we need AI to scale productivity to efficiently meet needs, like healthcare. • Displaced jobs cause economic growth which creates new demands that are hard to predict. • Historically, those places that automated increased their efficiency, and actually had very low unemployment rates A MODIFIED ARGUMENT • The First Industrial Revolution already replaced repetitive “manual” functions • Now AI can replace all repetitive “cognitive” functions • Compare with historic job destruction: • Average worker was replaced. • New job functions were to “design” the machine, and operate the “machine” • Most places that automated had higher employment than before. • Safest jobs*: (simplest argument) • Creating the AI machines • Operating and developing/designing the process for them to run. • Any managing function of people becomes managing of AI tools. *Jobs least likely to be replaced by AI.
  • 9.
    Ikhlaq Sidhu, Universityof California, Berkeley With this logic, these job examples are actually safer* (because they manage the new machines) HR managers, sales managers, marketing managers, PR managers, CEOs, event planners, writers, SW developers, editors, graphic designers. Still, other workers are not safe because they are replaced by the new machines: Telemarketing, book-keeping, compensation/benefits mangers, receptionists, couriers, proofreaders, computer support specialists, market research analyst, advertising sales people, retail sales people. *Safer = less likely to be replaced by AI. Reference: Sophia Bernazzani, Will Robots Take My Job
  • 10.
    Ikhlaq Sidhu, Universityof California, Berkeley Textile vs Hand weaving: During the 19th century, amount of cloth a single weaver in America could produce = 50X gain. Labor required fell by 98%. Result: cloth became cheaper, demand greater, 4X more jobs were created in the same sector. Economists and historians claim that job disruption actually helped the economies that participated. Auto vs Horse-based transportation: This led to a decline in horse-related jobs. However, the automobile industry itself grew fast. Jobs were also created in different sectors, e.g. motel and fast-food industries that arose to serve motorists and truck drivers. ATM Machines at Banks: Automated teller machines (ATMs) reduce the number of bank clerks (20/bank in 1988 to 13/bank in 2004) by taking over some of their routine tasks. However, bank branches grew in numbers by 43% and total employees grew.Reference: Do we understand the impact of artificial intelligence on employment? | Bruegel One Caveat: The McKinsey Global Institute estimates that, compared with the Industrial Revolution of the late 18th and early 19th centuries, AI’s disruption of society is happening ten times faster and at 300 times the scale.
  • 11.
    Ikhlaq Sidhu, Universityof California, Berkeley The economy will grow dramatically (2017 PWC Report) • AI will contribute as much as $15.7 trillion to the world economy by 2030, according to a PwC report Wednesday. That’s more than the current combined output of China and India. 6.6T in productivity gain and 9.1T in consumption. (June 2017) • Machines to work with people and augment their capabilities and productivity. • Global GDP, which stood at about $74 trillion in 2015, will be 14 percent higher in 2030 as a result of AI, according to PwC’s projections. • Mixed results for the labor market, according to Tom Mitchell, CMU • Elimination: Some jobs are being eliminated, many routine clerical jobs, toll booth operators, etc. • Gain Effectiveness: like doctor jobs, where AI is not replacing them but making them better by augmenting their capabilities. • Context: Uber and Biz model innovation - No one yet has predicted if it will be a gain or loss? • AI also involves risk. Regulators are wary of rapidly developing systems that they have little oversight of. And, there are lingering suspicions about erosion of privacy. See Bloomberg
  • 12.
    Ikhlaq Sidhu, Universityof California, Berkeley Half the Studies are Pessimistic while the other Half are Optimistic • Bowles (2014) repeated Frey and Osborne’s empirical exercise for Europe, concluding that 54% of European jobs are at risk because of automation. • Chui, Manyika and Miremadi (2015) estimate that 45% of work activities could be automated using already demonstrated technology. If AI systems were to reach the median level of human performance, an additional 13% of work activities in the US economy could be automated. The study also finds that even the highest-paid occupations in the economy, such as financial managers, physicians, and senior executives, including CEOs, have a significant amount of activity that can be automated. • There are also studies that find a much smaller displacement effect of automation on employment. Arntz, Gregory and Zierahn (2016) predict that on average across the 21 OECD countries, only 9% of jobs are automatable. Atkinson (2016) agrees with this estimate, looking at the next 20 years, as he said at a recent Bruegel event about AI. • The big difference between this 9% estimate and 47% reported by Frey and Osborne (2013) is explained as follows: Frey and Osborne focus on whole occupations rather than single job-tasks (occupation based approach) when they estimate the risk of automation. • Manyika et al (2017) estimate that only a fraction of less than 5% of tasks consist of activities that are 100% automatable, suggesting that a task-based approach can better capture the impact of automation. They also report that about 60% of occupations have at least 30% of their activities that are automatable. A Mixed Message: • Half (48%) envision a future in which robots and digital agents will have displaced significant numbers of both blue- and white-collar workers—with many expressing concern that this will lead to vast increases in income inequality, masses of people who are effectively unemployable, and breakdowns in social order. • The other half of (52%) expects that technology will not displace more jobs than it creates by 2025.
  • 13.
    Ikhlaq Sidhu, Universityof California, Berkeley TRANSIENT EFFECTS AND DISPLACEMENT ARE STILL A FACTOR
  • 14.
    Ikhlaq Sidhu, Universityof California, Berkeley Many consider this to be a natural transition to different types of work in a future economy • In 1970, 14 percent of men held four year college degrees, and 8 percent of women did. By 2015, that was up to 32 percent of men and women. So over time, we took hundreds of thousands of people out of the pool of those who might want a gas station attendant job and pushed them up, toward the professional job market, adding a lot of value to society and their wallets. • The Rational Optimist, in 1900, the average American spent $76 out of every $100 on food, clothing and shelter; today, he or she spends $37. To buy a Model T in 1908 took about 4,700 hours of work; today, the average person has to work about 1,000 hours to buy a car that’s a thousand times better than a Model T. Source: Kevin Maney, How Artificial Intelligence and Robots will Radically Transform the Economy, Newsweek https://qz.com/904285/the-optimists-guide-to-the-robot-apocalypse/ 5/13 As automation kills some jobs, it creates others Share Employment in agriculture has fallen to less than 2% of workers 1859 1879 1899 1919 1939 1959 1979 1999 0 20 40 60 80 100 Agriculture Manufacturing Rest of economy Data: McKinsey more money with the same number of workers, they can theoretically pay those workers better. If the price of goods drops, those workers can buy more without a raise. As the Industrial Revolution ended, about half of American workers were still employed in agriculture jobs, and almost all of those jobs were about to be lost to machines. Weekend edition—Trust at the UN, chess on Wall Street, mastiff mania. All this and more in today's https://qz.com/904285/the-optimists-guide-to-the-robot-apocalypse/
  • 15.
    PWC: Defining AI -varying models of AI emulating and replacing human judgement - early value from productivity (2017-2024) - later value from increased consumption (2024+) intelligence: • Automated intelligence: Automation of manual, routine tasks • Assisted intelligence: Helping to perform tasks faster and better • Augmented intelligence: Helping people to make better decisions • Autonomous intelligence: Automating decision-making processes without human intervention Figure 1: The scope of artificial intelligence Hardwired/ specific systems Adaptive systems PwC Data & Analytics Human-in-the-loop No Human-in-the-loop Assisted intelligence AI systems that assist humans in making decisions or taking actions. Hard-wired systems that do not learn from their interactions. Automation Automation of manual and cognitive tasks that are routine. This does not involve new ways of doing things – automates existing tasks. Augmented intelligence AI systems that augment human decision making continuously learn from their interactions with humans and the environment. Automation intelligence AI systems that can adapt to different situations and can act autonomously without human assistance. 6 The economic impact of artificial intelligence on the UK economy Figure 3: Where will the value gains come from with AI? During the first phase of the impact (2017-2024), productivity growth could account for a relatively larger share of the gains than the period that follows, when the consumption-side impacts are likely to dominate. This is due to the fact that it takes time for firms to enter the marketplace and supply new varieties of AI-enhanced products to consumers following the stimulation in consumer spending from higher real wages and initial product improvements. As this takes place, competition The potential for artificial intelligence to impact the UK economy is slightly higher compared to the potential in Northern Europe more generally. Our recent report5 assesses the global potential for AI and the likely impact for regional economies. The analysis concludes that GDP in Northern Europe could be up to 9.9% higher in 2030. The UK could see larger gains as a result of having stronger foundations in technology already – many technology companies have their EMEA Phase 1: Productivity-driven impact Phase 2: Consumption-side impacts dominate £billion 0 50 100 150 200 250 2017 2018 2019 2020 2021 2022 2023 2024 2025 2026 2027 2028 2029 2030 Labour productivity Personalisation Time saved Utility The transition timing is still a big factor This time, it will be 10X faster and scale of 300Xthan the last industrial revolution. We have not seen this level of displacement before. Source McKinsey
  • 16.
    Ikhlaq Sidhu, Universityof California, Berkeley POLICY CONSIDERATIONS AND ARGUMENT NARRATIVE
  • 17.
    Ikhlaq Sidhu, Universityof California, Berkeley Argument Narrative I • Could you have stopped the first industrial revolution? No, if you chose to not participate, you would become irrelevant: • Who benefited: i) people/governments who created the tools. ii) people who learned to “operate the machine”, iii) those that invent or design the use-case or process. • Who suffered: displaced workers • Mass displacement also means there will be a lack of spending, but so far no economists have validated this concern. • Innovative people with entrepreneurial behaviors are best suited to survive transition. Retraining will be essential. Psychology is the biggest factor. We should consider how to best re-train for this change.
  • 18.
    Ikhlaq Sidhu, Universityof California, Berkeley Policy Logic I – Short Term • Industry vs Government Have Competing Viewpoints: • Industry needs to be competitive – works for shareholders not employees • Government must protect its local population. • Too little AI adoption means non competitive industry (i.e. unemployment) • Too much AI means faster pace of job loss and change • In the past, efficiency created new opportunity and growth. Is it different this time? • New opportunity is still displacement. • We do not know the new opportunities, but they will not be in repetitive functions • Having a cognitively flexible population is critical to surviving this next phase of technology evolution • Most countries currently seek a balanced policy of human centered AI, in which AI helps people or assists people scale their work
  • 19.
    Ikhlaq Sidhu, Universityof California, Berkeley Policy Logic II: A possible View of the Long Term. The Brookings Institute is starting to consider a world where human work is not in significant demand. Potential Policy Models: • Separating the dispersion of health care, disability, and pension benefits outside of employment, offering workers with limited skills social benefits on a universal basis. • Mandating a basic income guarantee for a reasonable standard of living to combat persistent unemployment or underemployment posed by the automation economy. • Revamping the Earned Income Tax Credit (EITC) to allow the benefit to support households in the grips of high unemployment. • Providing activity accounts for lifetime learning and job retraining to motivate the workforce to keep pace with innovation. • Offering incentives for volunteerism—beneficial for many people who in the future may not be able to provide for their families through regular employment but may still wish enrich their communities. • Encouraging corporate profit sharing to spread the benefits of improved productivity to the broader workforce. • Reforming the education curriculum to reflect the high premium STEM skills will offer employees in the future. Expanding arts and culture for leisure time, ensuring that reduction in work will not eliminate chances for cultural pursuits.
  • 20.
    Ikhlaq Sidhu, Universityof California, Berkeley Data and AI Effects Everything We Know Every Business: Will be deconstructed by Data, AI, and Automated Decisions Society: Danger of even larger gap between the highly skilled and the less skilled Government: Must adapt to a new level of transparency and efficiency or face trouble from their people People: Will change their behaviors. Work life balance, social structure, and allow the use of hybrid human machines.
  • 21.
    Ikhlaq Sidhu, Universityof California, Berkeley References:• Bernazzani, S. (2017, June 1). 10 Jobs Artificial Intelligence Will Replace (and 10 That Are Safe). Retrieved September 6, 2017, from https://blog.hubspot.com/marketing/jobs-artificial-intelligence-will-replace • Cameron, E., Andrews, J., & Gillham, J. (2017). The economic impact of artificial intelligence on the UK economy. PWC,1-16. Retrieved September 6, 2017, from https://www.pwc.co.uk/services/economics-policy/insights/the-impact-of-artificial-intelligence-on-the-uk- economy.html. • Cann, O. (2016, January 18). Five Million Jobs by 2020: the Real Challenge of the Fourth Industrial Revolution [Web log post]. Retrieved September 23, 2017, from https://www.weforum.org/press/2016/01/five-million-jobs-by-2020-the-real-challenge-of-the-fourth-industrial- revolution/ • Curran, E., & Pi, X. (2017, June 28). AI Will Add $15.7 Trillion to the Global Economy. Bloomberg News. • Karsten, J., & West, D. M. (2016, July 29). How robots, artificial intelligence, and machine learning will affect employment and public policy. Retrieved September 23, 2017, from Brookings https://www.brookings.edu/blog/techtank/2015/10/26/how-robots-artificial-intelligence-and- machine-learning-will-affect-employment-and-public-policy/ • Kessler, S. (2017, March 09). The optimist’s guide to the robot apocalypse. Retrieved September 23, 2017, from Quartz https://qz.com/904285/the-optimists-guide-to-the-robot-apocalypse/ • Khan, M. (2016, May 13). Robots won’t just take jobs, they’ll create them. Retrieved September 23, 2017, from TechCrunch https://techcrunch.com/2016/05/13/robots-wont-just-take-jobs-theyll-create-them/ • Kingdollar, C. (2017, April). The Speed of Disruption and Impact on Business - The Fourth Industrial Revolution Has Begun (Publication). Retrieved September 23, 2017, from GenRe website: http://www.genre.com/knowledge/publications/iinapc1704-en.html • Maney, K. (2016, November 30). HOW ARTIFICIAL INTELLIGENCE AND ROBOTS WILL RADICALLY TRANSFORM THE ECONOMY. Newsweek, 1-17. Retrieved September 23, 2017, from http://www.newsweek.com/2016/12/09/robot-economy-artificial- intelligence-jobs-happy-ending-526467.html • Morgenstern, M. (2016, June 25). Automation and Anxiety; the Impact on Jobs. The Economist (US). Special Report: Will smarter machines cause mass unemployment?
  • 22.
    Ikhlaq Sidhu, Universityof California, Berkeley References continued:• Perez-Breva, L. (n.d.). 5 things everyone gets wrong about artificial intelligence and what it means for our future. Business Insider. Retrieved September 6, 2017, from 9/6/2017 Artificial intelligence and jobs myths - Business Insider http://www.businessinsider.com/artificial- intelligence-and-jobs-myths-2017-7 • Petropoulos, G. (2017, April 27). Do we understand the impact of artificial intelligence on employment? [Web blog post]. Retrieved September 23, 2017, from 9/23/2017| Bruegel http://bruegel.org/2017/04/do-we-understand-the-impact-of-artificial-intelligence-on- employment/. Innovation & Competition Policy • Purdy, M., & Daugherty, P. (2016, September 28). Artificial Intelligence the Future of Growth (Rep.). Retrieved September 23, 2017, from Accenture website: https://www.accenture.com/dk-en/insight-artificial-intelligence-future-growth • Stark, H. (2017, April 28). As Robots Rise, How Artificial Intelligence Will Impact Jobs. Forbes. Retrieved September 6, 2017, from 9/6/2017 https://www.forbes.com/sites/haroldstark/2017/04/28/as-robots-rise-how-artificial-intelligence-will-impact-jobs/#3435baeb7687 • Statt, N. (2017, March 15). America may miss out on the next industrial revolution. Retrieved September 23, 2017, from https://www.theverge.com/2017/3/15/14935360/automation-robots-ai-manufacturing-future-sxsw-2017. Preparing for automation means investing in robotics. • Technological unemployment. (2017, September 19). In Wikipedia. Retrieved September 23, 2017, from 9/23/2017 Technological unemployment – Wikipedia https://en.wikipedia.org/wiki/Technological_unemployment • West, D. M. (2015, October 26). What happens if robots take the jobs? The impact of emerging technologies on employment and public policy. Retrieved September 23, 2017, from Brookings https://www.brookings.edu/research/what-happens-if-robots-take-the-jobs-the- impact-of-emerging-technologies-on-employment-and-public-policy/
  • 23.
    Ikhlaq Sidhu, Universityof California, Berkeley END OF SECTION