Aromatic Amines
Prepared by Mr. N. M. Jangade
Aromatic Amines
• Aromatic amines are derivatives of aromatic hydrocarbons
in which a hydrogen of the benzene ring has been replaced
by an amino group (-NH2).
• All such compounds in which an amino or substituted
amino group is bonded directly to an aromatic ring are
termed as Aromatic amines.
• e.g.
Prepared by Mr. N. M. Jangade
• The derivatives of Arenes in which -NH2 is bonded to a
side chain are to be regarded as aryl substituted
aliphatic amines.
Prepared by Mr. N. M. Jangade
IUPAC Nomenclature
1. C6H5NH2, is the simplest form of the aromatic amine.
2. Its simplest derivatives are named using the prefixes –o, -m
and –p or numbers to locate substituent’s.
Prepared by Mr. N. M. Jangade
Prepared by Mr. N. M. Jangade
Prepared by Mr. N. M. Jangade
3. Several derivatives of Aniline have common names
that are still widely used.
Prepared by Mr. N. M. Jangade
4. Prefixes placed like N- or N,N- depending on
Substituent’s present on the nitrogen atom.
Prepared by Mr. N. M. Jangade
Classification
1. Primary aromatic amines:
2. Secondary aromatic amines:
3. Tertiary aromatic amines:
Prepared by Mr. N. M. Jangade
Methods of Preparation
1. Reduction of Nitro compounds:
The reduction is carried out with
A. Hydrogen in presence of Ni, Pd or Pt as a catalyst.
Prepared by Mr. N. M. Jangade
B. Sn or Fe and HCl:
Prepared by Mr. N. M. Jangade
C. By using Lithium Aluminium Hydride (LiAlH4):
Prepared by Mr. N. M. Jangade
2. Aminolysis of Aryl chlorides:
Chlorobenzene on reaction with Ammonia in the presence
of Copper salts at high temperature and pressure forms
Aniline.
Prepared by Mr. N. M. Jangade
3. Hofmann Rearrangement:
Aryl amide on reaction with Bromine or Chlorine in an
alkaline solution yields Primary amine.
Prepared by Mr. N. M. Jangade
4. Reduction of Azo compounds:
Azo compounds when reduced with hydrogen in
presence of Nickel as a catalyst, gives Arylamines.
Prepared by Mr. N. M. Jangade
Physical properties
1. Aromatic amines in general are colourless liquids / Solids,
having characteristic odour (Not Pleasant).
2. They turn brown in air owing to oxidation.
3. Hydrogen bonding leads to increase Melting and Boiling
point.
4. They are soluble in water but more in organic solvents.
5. They are steam volatile so they can be purified by steam
distillation. Prepared by Mr. N. M. Jangade
Chemical reactions of Aniline
• Salt formation:
• Aromatic amines on reaction with mineral acids such
as HCl or H2SO4 forms Aryl ammonium salt.
Prepared by Mr. N. M. Jangade
• Alkylation / Reaction with Alkyl halide:
Aromatic amines on reaction with alkyl halide they form 20
or 30 amines which on further reaction with Hydrogen
halide (HX) to form salt. These salts on reaction with aq.
NaOH to give free 20 or 30 amines.
Prepared by Mr. N. M. Jangade
• Acylation:
Aromatic amines on reaction with acid halides/
anhydrides forms N-aryl amides.
Prepared by Mr. N. M. Jangade
• Reaction with Aldehydes:
Aromatic amines on reaction with Aldehydes forms
Imines.
Prepared by Mr. N. M. Jangade
• Reaction with Nitrous acid:
10 Aromatic amine on diazotiazation with Sodium
Nitrite and Hydrochloric acid at 0-50C to give Diazonium
salt.
Prepared by Mr. N. M. Jangade
Coupling reaction:
Aniline reacts with Benzene diazonium chloride to give
p-aminoazobenzene.
Prepared by Mr. N. M. Jangade
Halogenation:
Bromine water with the Aniline at room temperature
reacts vigorously to form a white precipitate of 2,4,6-
Tribromoaniline.
Prepared by Mr. N. M. Jangade
• Sulfonation:
Aniline on sulfonation with fuming sulfuric acid forms
p-Aminobenzene sulfonic acid.
Prepared by Mr. N. M. Jangade
• Nitration:
Aniline on reaction with a mixture of Conc. HNO3 and
Conc. H2SO4 to give m-Nitroaniline.
Prepared by Mr. N. M. Jangade
Why meta Product?
Prepared by Mr. N. M. Jangade
Prepared by Mr. N. M. Jangade
Two effect for –NH2:
•Electron donating by resonance
•Electron withdrawing by inductive effect
One effect for –NH3:
•Electron withdrawing by inductive effect
•( No resonance effect)
Prepared by Mr. N. M. Jangade
• Oxidation:
Aromatic amine on oxidation with Potassium dichromate
and sulfuric acid gives p-benzoquinone.
Prepared by Mr. N. M. Jangade
Basicity of Aromatic Amines
Prepared by Mr. N. M. Jangade
• Nitrogen in aniline have lone pair of electrons which
are available to accept protons.
• But in Aniline lone pair of electrons can delocalize
over Benzene ring this decreases the electron
density on Nitrogen and makes it weak basic in
nature.
Prepared by Mr. N. M. Jangade
Prepared by Mr. N. M. Jangade
1. Nitrogen in Aniline and Ethylamine have lone pair of
electrons which are available to accept protons.
2. But if we compare basicity of Aniline and Ethylamine then
in Aniline lone pair of electrons can delocalize over
Benzene ring this decreases the electron density on
Nitrogen and makes it weak basic in nature, while in
Ethylamine lone pair of electrons localize over Nitrogen
atom (As no resonance possible in Ethylamine) this
increases the electron density on Nitrogen and makes it
more basic in nature than Aniline
Prepared by Mr. N. M. Jangade
Effect of the substituent’s on the basicity of Aromatic
amines
Anything that withdraws
electron density from
nitrogen atom decreases
basicity.
Prepared by Mr. N. M. Jangade
Prepared by Mr. N. M. Jangade
Anything that donates
electron density to nitrogen
atom increases basicity.
Prepared by Mr. N. M. Jangade
Prepared by Mr. N. M. Jangade
Prepared by Mr. N. M. Jangade
Uses of Aniline
1. Preparation of dye and dye intermediates.
2. Manufacturing of Antioxidants.
3. Vulcanization accelerator in rubber industry.
4. Synthesis of drugs notably Sulfa drugs.
5. For making Isocynates required for Polyurethane
plastics used for insulation.
Prepared by Mr. N. M. Jangade
Aryl diazonium ion
Prepared by Mr. N. M. Jangade
Aryl diazonium salt
Prepared by Mr. N. M. Jangade
• Aryldiazonium salt is an important class of
compound having (diazonium ion)
bonded to an aryl group.
• This (diazonium ion) forms salt with
anions such as Cl-, Br-, HSO4-, BF4- etc these salts
are called Aryldiazonium salt.
Prepared by Mr. N. M. Jangade
Preparation of Arenediazonium salt
Diazotiazation:
The process of converting an amine into the diazonium salt is
called diazotization.
Benzene diazonium chloride is prepared by treating a
solution of Aniline in dil. HCl with Sodium nitrite
solution at 0-50C.
Prepared by Mr. N. M. Jangade
Prepared by Mr. N. M. Jangade
Physical Properties of Aryldiazonium salt
• Colourless, crystalline and solid which turn
brown on exposure to air.
• Unstable, explode on warming.
• Soluble in water, sparingly soluble in ethanol
and glacial Acetic acid.
• Insoluble in Ether.
Prepared by Mr. N. M. Jangade
Reactions of Arenediazonium salt
• Two types of reactions
1. Reactions in which N2+X- is replaced
2. Reactions in which N-atoms are retained.
Prepared by Mr. N. M. Jangade
Reactions in which N2+X- is replaced
Reduction to Arene’s / Replacement of N2+X- by H
A diazonium salt on reduction with Hypophosperous acid
to give the respective Arene.
Prepared by Mr. N. M. Jangade
• Synthesis of Phenols/ Replacement of N2+X-
by OH
Aqueous solution Benzenediazonium salt is acidified
and heated to form Phenol.
Prepared by Mr. N. M. Jangade
• Synthesis of Aryl Bromide, Aryl Chloride or Aryl
nitrile (Replacement of N2+X- by Br, Cl and CN) :
• When cold diazonium salt solution is treated with cuprous
bromide, cuprous chloride or Cuprous cyanide results in
the formation of Aryl bromide, Aryl chloride or Aryl
cyanide. This reaction is known as Sandmayer’s reaction.
Prepared by Mr. N. M. Jangade
Prepared by Mr. N. M. Jangade
Synthesis of Aryl fluoride
(Replacement of N2+X- by F) :
The diazonium salt is treated with Fluoroboric acid (HBF4)
forms precipitates of diazonium fluoroborate. This is isolated,
dried and heated to give aryl fluoride. This reaction is called
as Schiemann reaction.
Prepared by Mr. N. M. Jangade
Synthesis of Aryl Iodide
(Replacement of N2+X- by I) :
• Aqueous solution of diazonium salt on heating with
excess of Potassium iodide results in formation of Aryl
iodide.
Prepared by Mr. N. M. Jangade
Synthesis of Thiophenols
(Replacement of N2+X- by SH) :
• diazonium salt on reaction with Potassium
hydrosulfide results in formation of
Thiophenols.
Prepared by Mr. N. M. Jangade
Synthesis of Nitro compounds
(Replacement of N2+X- by NO2) :
• diazonium salt on reaction with Sodium nitrite in
presence of Cu powder results in formation of
Nitrobenzene.
Prepared by Mr. N. M. Jangade
Reactions in which N-atoms are retained
• Reduction to Arylhydrazine:
Aryldiazonium salt on reduction with Sodium bisulfite
(NaHSO3) or Stannous chloride yields Arylhydrazines.
Prepared by Mr. N. M. Jangade
• Azo Coupling:
Diazonium salt on reaction with aromatic compound
that contains a strong electron donating group, the two
ring joins together to form an azo compound, a
compound with nitrogen nitrogen double bond.
Prepared by Mr. N. M. Jangade
Prepared by Mr. N. M. Jangade
Application
• Diazonium group can be replaced by OH, I, SH,
Cl, I, Br, CN, F, NO2, H and Ar.
• Diazonium compounds used for the synthesis
of aromatic compounds.
• Example:
Prepared by Mr. N. M. Jangade
Prepared by Mr. N. M. Jangade
Problems
• How to Synthesize 3,5-dichlorophenol from
Benzene?
Prepared by Mr. N. M. Jangade
Prepared by Mr. N. M. Jangade
Problems
• How to Synthesize m-Bromoiodobenzene from
Benzene?
Prepared by Mr. N. M. Jangade
Prepared by Mr. N. M. Jangade
Problems
• How to Synthesize 1,3,5-tribromobenzene
from Benzene?
Prepared by Mr. N. M. Jangade
Prepared by Mr. N. M. Jangade
Problems
• How to Synthesize m-Cyanobenzoic acid from
Toluene?
Prepared by Mr. N. M. Jangade
Prepared by Mr. N. M. Jangade
Prepared by Mr. N. M. Jangade
Problems
• How to Synthesize m-hydroxybenzoic acid
from Toluene?
Prepared by Mr. N. M. Jangade
Prepared by Mr. N. M. Jangade
Problems
• How to Synthesize o-dinitrobenzene from
Benzene?
Prepared by Mr. N. M. Jangade
Prepared by Mr. N. M. Jangade
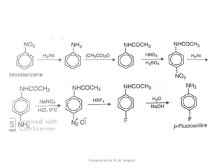
Problems
• How to Synthesize p-fluoroaniline from
Nitroenzene?
Prepared by Mr. N. M. Jangade
Prepared by Mr. N. M. Jangade
Problems
• How to Synthesize m-Nitroaniline from
Toluene?
Prepared by Mr. N. M. Jangade
Prepared by Mr. N. M. Jangade
Effect of same substituent on different
positions (o, m, p) on the basicity of Aromatic
amines.
Prepared by Mr. N. M. Jangade
Prepared by Mr. N. M. Jangade
Hyperconjugation effect:
Prepared by Mr. N. M. Jangade
Ortho effect
It refers mainly to the set of steric effects and some bonding interactions
along with polar effects which are altering its chemical properties and
physical properties.
Ortho effect in substituted aniline
Ortho-substituted anilines are weaker bases than their meta and para
isomers, regardless of the nature of the substituent
Prepared by Mr. N. M. Jangade
Prepared by Mr. N. M. Jangade
Prepared by Mr. N. M. Jangade
Prepared by Mr. N. M. Jangade
THANK YOU

Aromatic amines

  • 1.
    Aromatic Amines Prepared byMr. N. M. Jangade
  • 2.
    Aromatic Amines • Aromaticamines are derivatives of aromatic hydrocarbons in which a hydrogen of the benzene ring has been replaced by an amino group (-NH2). • All such compounds in which an amino or substituted amino group is bonded directly to an aromatic ring are termed as Aromatic amines. • e.g. Prepared by Mr. N. M. Jangade
  • 3.
    • The derivativesof Arenes in which -NH2 is bonded to a side chain are to be regarded as aryl substituted aliphatic amines. Prepared by Mr. N. M. Jangade
  • 4.
    IUPAC Nomenclature 1. C6H5NH2,is the simplest form of the aromatic amine. 2. Its simplest derivatives are named using the prefixes –o, -m and –p or numbers to locate substituent’s. Prepared by Mr. N. M. Jangade
  • 5.
    Prepared by Mr.N. M. Jangade
  • 6.
    Prepared by Mr.N. M. Jangade
  • 7.
    3. Several derivativesof Aniline have common names that are still widely used. Prepared by Mr. N. M. Jangade
  • 8.
    4. Prefixes placedlike N- or N,N- depending on Substituent’s present on the nitrogen atom. Prepared by Mr. N. M. Jangade
  • 9.
    Classification 1. Primary aromaticamines: 2. Secondary aromatic amines: 3. Tertiary aromatic amines: Prepared by Mr. N. M. Jangade
  • 10.
    Methods of Preparation 1.Reduction of Nitro compounds: The reduction is carried out with A. Hydrogen in presence of Ni, Pd or Pt as a catalyst. Prepared by Mr. N. M. Jangade
  • 11.
    B. Sn orFe and HCl: Prepared by Mr. N. M. Jangade
  • 12.
    C. By usingLithium Aluminium Hydride (LiAlH4): Prepared by Mr. N. M. Jangade
  • 13.
    2. Aminolysis ofAryl chlorides: Chlorobenzene on reaction with Ammonia in the presence of Copper salts at high temperature and pressure forms Aniline. Prepared by Mr. N. M. Jangade
  • 14.
    3. Hofmann Rearrangement: Arylamide on reaction with Bromine or Chlorine in an alkaline solution yields Primary amine. Prepared by Mr. N. M. Jangade
  • 15.
    4. Reduction ofAzo compounds: Azo compounds when reduced with hydrogen in presence of Nickel as a catalyst, gives Arylamines. Prepared by Mr. N. M. Jangade
  • 16.
    Physical properties 1. Aromaticamines in general are colourless liquids / Solids, having characteristic odour (Not Pleasant). 2. They turn brown in air owing to oxidation. 3. Hydrogen bonding leads to increase Melting and Boiling point. 4. They are soluble in water but more in organic solvents. 5. They are steam volatile so they can be purified by steam distillation. Prepared by Mr. N. M. Jangade
  • 17.
    Chemical reactions ofAniline • Salt formation: • Aromatic amines on reaction with mineral acids such as HCl or H2SO4 forms Aryl ammonium salt. Prepared by Mr. N. M. Jangade
  • 18.
    • Alkylation /Reaction with Alkyl halide: Aromatic amines on reaction with alkyl halide they form 20 or 30 amines which on further reaction with Hydrogen halide (HX) to form salt. These salts on reaction with aq. NaOH to give free 20 or 30 amines. Prepared by Mr. N. M. Jangade
  • 19.
    • Acylation: Aromatic amineson reaction with acid halides/ anhydrides forms N-aryl amides. Prepared by Mr. N. M. Jangade
  • 20.
    • Reaction withAldehydes: Aromatic amines on reaction with Aldehydes forms Imines. Prepared by Mr. N. M. Jangade
  • 21.
    • Reaction withNitrous acid: 10 Aromatic amine on diazotiazation with Sodium Nitrite and Hydrochloric acid at 0-50C to give Diazonium salt. Prepared by Mr. N. M. Jangade
  • 22.
    Coupling reaction: Aniline reactswith Benzene diazonium chloride to give p-aminoazobenzene. Prepared by Mr. N. M. Jangade
  • 23.
    Halogenation: Bromine water withthe Aniline at room temperature reacts vigorously to form a white precipitate of 2,4,6- Tribromoaniline. Prepared by Mr. N. M. Jangade
  • 24.
    • Sulfonation: Aniline onsulfonation with fuming sulfuric acid forms p-Aminobenzene sulfonic acid. Prepared by Mr. N. M. Jangade
  • 25.
    • Nitration: Aniline onreaction with a mixture of Conc. HNO3 and Conc. H2SO4 to give m-Nitroaniline. Prepared by Mr. N. M. Jangade
  • 26.
    Why meta Product? Preparedby Mr. N. M. Jangade
  • 27.
    Prepared by Mr.N. M. Jangade Two effect for –NH2: •Electron donating by resonance •Electron withdrawing by inductive effect One effect for –NH3: •Electron withdrawing by inductive effect •( No resonance effect)
  • 28.
    Prepared by Mr.N. M. Jangade
  • 29.
    • Oxidation: Aromatic amineon oxidation with Potassium dichromate and sulfuric acid gives p-benzoquinone. Prepared by Mr. N. M. Jangade
  • 30.
    Basicity of AromaticAmines Prepared by Mr. N. M. Jangade
  • 31.
    • Nitrogen inaniline have lone pair of electrons which are available to accept protons. • But in Aniline lone pair of electrons can delocalize over Benzene ring this decreases the electron density on Nitrogen and makes it weak basic in nature. Prepared by Mr. N. M. Jangade
  • 32.
    Prepared by Mr.N. M. Jangade
  • 33.
    1. Nitrogen inAniline and Ethylamine have lone pair of electrons which are available to accept protons. 2. But if we compare basicity of Aniline and Ethylamine then in Aniline lone pair of electrons can delocalize over Benzene ring this decreases the electron density on Nitrogen and makes it weak basic in nature, while in Ethylamine lone pair of electrons localize over Nitrogen atom (As no resonance possible in Ethylamine) this increases the electron density on Nitrogen and makes it more basic in nature than Aniline Prepared by Mr. N. M. Jangade
  • 34.
    Effect of thesubstituent’s on the basicity of Aromatic amines Anything that withdraws electron density from nitrogen atom decreases basicity. Prepared by Mr. N. M. Jangade
  • 35.
    Prepared by Mr.N. M. Jangade
  • 36.
    Anything that donates electrondensity to nitrogen atom increases basicity. Prepared by Mr. N. M. Jangade
  • 37.
    Prepared by Mr.N. M. Jangade
  • 38.
    Prepared by Mr.N. M. Jangade
  • 39.
    Uses of Aniline 1.Preparation of dye and dye intermediates. 2. Manufacturing of Antioxidants. 3. Vulcanization accelerator in rubber industry. 4. Synthesis of drugs notably Sulfa drugs. 5. For making Isocynates required for Polyurethane plastics used for insulation. Prepared by Mr. N. M. Jangade
  • 40.
    Aryl diazonium ion Preparedby Mr. N. M. Jangade
  • 41.
    Aryl diazonium salt Preparedby Mr. N. M. Jangade
  • 42.
    • Aryldiazonium saltis an important class of compound having (diazonium ion) bonded to an aryl group. • This (diazonium ion) forms salt with anions such as Cl-, Br-, HSO4-, BF4- etc these salts are called Aryldiazonium salt. Prepared by Mr. N. M. Jangade
  • 43.
    Preparation of Arenediazoniumsalt Diazotiazation: The process of converting an amine into the diazonium salt is called diazotization. Benzene diazonium chloride is prepared by treating a solution of Aniline in dil. HCl with Sodium nitrite solution at 0-50C. Prepared by Mr. N. M. Jangade
  • 44.
    Prepared by Mr.N. M. Jangade
  • 45.
    Physical Properties ofAryldiazonium salt • Colourless, crystalline and solid which turn brown on exposure to air. • Unstable, explode on warming. • Soluble in water, sparingly soluble in ethanol and glacial Acetic acid. • Insoluble in Ether. Prepared by Mr. N. M. Jangade
  • 46.
    Reactions of Arenediazoniumsalt • Two types of reactions 1. Reactions in which N2+X- is replaced 2. Reactions in which N-atoms are retained. Prepared by Mr. N. M. Jangade
  • 47.
    Reactions in whichN2+X- is replaced Reduction to Arene’s / Replacement of N2+X- by H A diazonium salt on reduction with Hypophosperous acid to give the respective Arene. Prepared by Mr. N. M. Jangade
  • 48.
    • Synthesis ofPhenols/ Replacement of N2+X- by OH Aqueous solution Benzenediazonium salt is acidified and heated to form Phenol. Prepared by Mr. N. M. Jangade
  • 49.
    • Synthesis ofAryl Bromide, Aryl Chloride or Aryl nitrile (Replacement of N2+X- by Br, Cl and CN) : • When cold diazonium salt solution is treated with cuprous bromide, cuprous chloride or Cuprous cyanide results in the formation of Aryl bromide, Aryl chloride or Aryl cyanide. This reaction is known as Sandmayer’s reaction. Prepared by Mr. N. M. Jangade
  • 50.
    Prepared by Mr.N. M. Jangade
  • 51.
    Synthesis of Arylfluoride (Replacement of N2+X- by F) : The diazonium salt is treated with Fluoroboric acid (HBF4) forms precipitates of diazonium fluoroborate. This is isolated, dried and heated to give aryl fluoride. This reaction is called as Schiemann reaction. Prepared by Mr. N. M. Jangade
  • 52.
    Synthesis of ArylIodide (Replacement of N2+X- by I) : • Aqueous solution of diazonium salt on heating with excess of Potassium iodide results in formation of Aryl iodide. Prepared by Mr. N. M. Jangade
  • 53.
    Synthesis of Thiophenols (Replacementof N2+X- by SH) : • diazonium salt on reaction with Potassium hydrosulfide results in formation of Thiophenols. Prepared by Mr. N. M. Jangade
  • 54.
    Synthesis of Nitrocompounds (Replacement of N2+X- by NO2) : • diazonium salt on reaction with Sodium nitrite in presence of Cu powder results in formation of Nitrobenzene. Prepared by Mr. N. M. Jangade
  • 55.
    Reactions in whichN-atoms are retained • Reduction to Arylhydrazine: Aryldiazonium salt on reduction with Sodium bisulfite (NaHSO3) or Stannous chloride yields Arylhydrazines. Prepared by Mr. N. M. Jangade
  • 56.
    • Azo Coupling: Diazoniumsalt on reaction with aromatic compound that contains a strong electron donating group, the two ring joins together to form an azo compound, a compound with nitrogen nitrogen double bond. Prepared by Mr. N. M. Jangade
  • 57.
    Prepared by Mr.N. M. Jangade
  • 58.
    Application • Diazonium groupcan be replaced by OH, I, SH, Cl, I, Br, CN, F, NO2, H and Ar. • Diazonium compounds used for the synthesis of aromatic compounds. • Example: Prepared by Mr. N. M. Jangade
  • 59.
    Prepared by Mr.N. M. Jangade
  • 60.
    Problems • How toSynthesize 3,5-dichlorophenol from Benzene? Prepared by Mr. N. M. Jangade
  • 61.
    Prepared by Mr.N. M. Jangade
  • 62.
    Problems • How toSynthesize m-Bromoiodobenzene from Benzene? Prepared by Mr. N. M. Jangade
  • 63.
    Prepared by Mr.N. M. Jangade
  • 64.
    Problems • How toSynthesize 1,3,5-tribromobenzene from Benzene? Prepared by Mr. N. M. Jangade
  • 65.
    Prepared by Mr.N. M. Jangade
  • 66.
    Problems • How toSynthesize m-Cyanobenzoic acid from Toluene? Prepared by Mr. N. M. Jangade
  • 67.
    Prepared by Mr.N. M. Jangade
  • 68.
    Prepared by Mr.N. M. Jangade
  • 69.
    Problems • How toSynthesize m-hydroxybenzoic acid from Toluene? Prepared by Mr. N. M. Jangade
  • 70.
    Prepared by Mr.N. M. Jangade
  • 71.
    Problems • How toSynthesize o-dinitrobenzene from Benzene? Prepared by Mr. N. M. Jangade
  • 72.
    Prepared by Mr.N. M. Jangade
  • 73.
    Problems • How toSynthesize p-fluoroaniline from Nitroenzene? Prepared by Mr. N. M. Jangade
  • 74.
    Prepared by Mr.N. M. Jangade
  • 75.
    Problems • How toSynthesize m-Nitroaniline from Toluene? Prepared by Mr. N. M. Jangade
  • 76.
    Prepared by Mr.N. M. Jangade
  • 77.
    Effect of samesubstituent on different positions (o, m, p) on the basicity of Aromatic amines. Prepared by Mr. N. M. Jangade
  • 78.
    Prepared by Mr.N. M. Jangade
  • 79.
  • 80.
    Ortho effect It refersmainly to the set of steric effects and some bonding interactions along with polar effects which are altering its chemical properties and physical properties. Ortho effect in substituted aniline Ortho-substituted anilines are weaker bases than their meta and para isomers, regardless of the nature of the substituent Prepared by Mr. N. M. Jangade
  • 81.
    Prepared by Mr.N. M. Jangade
  • 82.
    Prepared by Mr.N. M. Jangade
  • 83.
    Prepared by Mr.N. M. Jangade
  • 84.