Antihistaminic agents
OUTLINE:
•What is histamine ?
•What is allergy ?
•What is role of histamine in allergy ?
•What is an antihistamine ?
What is histamine ?
Synthesis of histamine :
•Formed from amino acid histidine in decarboxylation
reaction with enzyme histidine decarboxylase
•Occurs primarily in mast cell and basophiles
MOA and receptors
What is allergy?
Role of histamine in allergy?
What is antihistamine ?
•Drug that reduces or eliminates the effects
mediates by the chemical histamine
•The term antihistamine only refers to H1 receptor
antagonist
Clinical uses of antihistamines
Adverse side effects :
•Structurally this receptor contain 7 hydrophobic
transmembrane domain (G protein receptors )
•3rd intercellular loop of receptor is very large 212 AA
•Intercellular c terminal tail is relatively short 17 AA
•Site directed mutagenesis studies have provide evidence for
the binding domain of h1 agonist and antagonist
•TM3 and TM5 are responsible for binding histamine
•Signal transduction : receptor activate PLC , results in IP
accumulation and Ca mobilization in tissues
Aspartate (107) essential for histamine
and antagonist binding
asparagine (207) of TM5 interact with nitrogen of
imidazole ring of
histamine
Lysine (200) with nucleophilic N of
neutral legand
•H3 receptor is propose to function as neutral autoreceptor
•Serving to modulate histamine synthesis and release in CNS
•In gastric mucosa it regulate control gastric acid secretion
•Characterized as 390 AA
•Gi protein coupled with 40% identity to H3 receptor
•Helpful in regulating immune responses
A) Amino alkyl ethers (ethanolamines)
•Characterise by pre. Of CHO connecting moiety and 2/3 carbon atom
chain moiety between diaryl and tertiary amino grp.
•Most of amino alkyl ethers are optically active
•Mostly s enantiomer are more active
•Drugs in this grp. Posses anticholinergic activity by blocking H1 action
on exocrine secr. Thus cause drowsiness
•Can cross BBB and thus act on central H1 receptor
First generation H1 antagonist drug class
1) Diphenhydramine HCL USP
•White crystalline powder soluble in water alcohol chloroform
•pKa value : 9 and 1% aq. Solution has ph : 5
•It also have antidyskinetic, antiemetic, antitussive and sedative prop.
•Not highly active against H1 but its anticholinergic and sedative
•Recommended in allergic and antispasmodic condition
•Common side effect drowsiness and CNS depression
•Adult dose 25-50 mg IM or IV 10-50 mg (capsule, elixir, syrup, tablet
injection )
2) Bromodiphenhydraminie HCL USP
•Is more lipid soluble than diphenhydramine
•Effective in protecting guinea pigs against lethal effect of histamine
aerosols
•Adult dose 25mg/4-6 hrs (capsule, elixir)
3) Doxylamine succinate
•Replacement of one of the phenyl ring by 2 pyridyl grp. As in doxylamine
and acrbinoxamine enhance activity
•This compounds display oral activities 40 (doxylamine succinate) and 2
(carbinoxamine maleate)times greater respectively than diphenhydramine
•Carcinogenic – mouse
•Use of alcohol & other CNS
depressants are avoided
•Dose oral 12.5 – 25 mg/4-6 hrs
(syrup, tablet )
4) Carbinoxamine maleate USP
•Potent and available as racemic mixture (l isomer) (s)
•Oily lipid soluble free base of carbinoxamine
•1% solution pH: 4.6 to 5.1
•Dose 4- 8 mg t.i.d or q.i.d. (syrup, tablet)
5) Clemastine fumarate USP:
• Clemastine Fumarate is structurally related to chloro diphenhydramine with
the amino alkyl side chain incorporated in a pyrrolidine ring, and it has an
additional benzyl methyl group.
• This compound has two chiral centers, each of which is of the (R) absolute
configuration in the dextrorotatory product.
•A comparison of the activities of the antipodes indicates that the
asymmetric center close to the side chain nitrogen is of lesser importance to
antihistaminic activity. This member of the ethanolamine series is
characterized by a long duration of action.
B) Ethylenediamine
• first useful antihistamines
• All compounds in this series are simple diarylethylenediamines except
for antazoline
•Phenbenzamine first clinically useful member of this class
• Replacement of the phenyl moiety of phenbenzamine with a 2-pyridyl system
yielded tripelennamine, a significantly more effective histamine receptor blocker.
•1% solution pH: 4.25
•Dose : oral 25-50 mg/4-6 hrs (elixir)
30-20
1) Tripelenamine HCL or citrate
2) Pyrilamine maleate
•White crystalline powder with faint odour and bitter test
• Substitution of a Para methoxy (pyrilamine or mepyramine), chloro
(chloropyramine) or bromo (bromtripelennamine) results in a further
enhancement in activity.
•10% solution pH: 5 (at pH 7.5 - precipitate)
•Thy are highly potent and induce histamine induce guinea pig ileum
•Becoz of pronounced local anesthetic action it taken with food and not chewed
•Dose :oral 25-50 mg /6-8 hrs (tablet)
3) Methapyrilene HCL
• Replacement of the benzyl group of tripelennamine with a 2- thiophene ring provided
methapyrilene,
•In 1979 FDA declare it to cause cancer so it is recalled
4) Thonzylamine HCL
•replacement of tripelennamine’s 2-pyridyl group with a pyrimidinyl moiety
(along with p-methoxy substitution) yielded thonzylamine, which function as
potent H1receptor antagonists.
•2% solution pH: 5.5
•Less toxic
•Dose 50 mg 4 times daily.
•the aliphatic or terminal amino group is significantly more basic than the
nitrogen atom bonded to the diaryl moiety
• Thus the aliphatic amino group in the ethylenediamines is sufficiently basic
for the formation of pharmaceutically useful salts.
•Metabolism :
• Tripelennamine is known to metabolized in man by N-glucuronidation,
N-oxidation and pyridyl oxidation followed by phenol glucuronidation.
• It is anticipated that other members of this series are similarly
metabolized
General points
C) Piperazines (Cyclizines):
• considered to be ethylenediamine derivatives or cyclic
ethylenediamines (cyclizines)
• however in this series the connecting moiety (X) is a CHN group and
the carbon chain, terminal amine functionality as well as the nitrogen
atom of the connecting group are all part of a piperazine moiety
•The primary structural differences within this series involves the nature
of the para aromatic ring substituent (H or Cl) and, more importantly,
the nature of the terminal piperazine nitrogen substituent.
•
1) Cyclizine HCL USP
•Cyclize and chlorcyclizine are simple N-methylpiperazines Cyclizine HCl
is used primarily in the prophylaxis and treatment of motion sickness.
• The lactate salt (Cyclizine Lactate Injection is used for intramuscular
injection because of the limited water solubility of the hydrochloride.
•Dose: 50mg 4-6 hrs.= oral and IM
tablet (HCL) and injection (lactate)
2) Chlorcyclizine HCL USP
•Chlorcyclizine HCl has an additional ring Cl substituent which reduces activity.
•Chlorcyclizine is indicated in the symptomatic relief of urticaria, hay fever, and
certain other allergic conditions.
•1% solution pH: 4.8 to5.5
3)Meclizine HCl
•Meclizine HCl and Buclizine HCl are N-benzyl substituted piperazines.
•Meclizine HCL
•Although it is a moderately potent antihistaminic, meclizine is used
primarily as an antinauseant in the prevention and treatment of motion
sickness and in the treatment of nausea and vomiting associated with
vertigo and radiation sickness.
•Dose : oral 25-50mg (tablet, chewable tablet)
• Buclizine HCL,
•Insoluble in water, is highly lipid-soluble and has central nervous system
depressant, antiemetic, and antihistaminic properties.
•Central cholinergic and act on CTZ
•Dose: oral 50mg/4-6 hrs (tablet)
4)Buclizine
•The piperazines are moderately potent antihistaminic with a lower
incidence of drowsiness.
• characterized by a slow onset and long duration of action.
• These agents exhibit peripheral and central antimuscarinic activity and
this may be responsible for the antiemetic (CTZ) and antivertigo (diminish
vestibular stimulation) effects.
•Thus as a group, these agents are probably more useful as antiemetic and
antinauseants and in the treatment of motion sickness.
• Some members of this series have exhibited a strong teratogenic
potential, inducing a number of malformations in rats.
•Norchlorcyclizine, a metabolite was proposed to be responsible for the
teratogenic effects of the parent drugs.
• Metabolic studies in this series of compounds have focused primarily on
cyclizine and chlorcyclizine, and these compounds undergo similar
biotransformation. The primary pathways involve N-oxidation and N-
demethylation, and both of these metabolites are devoid of antihistaminic
activity.
General points
D) Propylamines (Monoaminopropyl Derivatives):
•characterized structurally by an sp3 or sp2 carbon
connecting atom with a carbon chain of two additional
carbons linking the key tertiary amino and diaryl
pharmacophore moieties
•These compounds differ only in the phenyl substituent at the para-
position; H (pheniramine), Cl (chlorpheniramine) and Br
(brompheniramine)
• antihistaminic activity resides almost exclusively in the S-stereoisomers.
•halogenated pheniramines are significantly more potent (20-50 times)
and have a longer duration of action than the parent pheniramine
1)Pheniramine :
•Those propylamines with an unsaturated connecting moiety
include:
• the open derivatives: pyrrobutamine and triprolidine
•Long acting with slow onset
• For pyrrobutamine and triprilidine the E-geometric isomers
(shown) are active.
3) Pyrobutamine phosphate:
4) Triprolidine HCL:
4) Phenindamine :
•can be regarded as an unsaturated
propylamine derivative in that the rigid ring
system contains a distorted, trans alkenes.
5) Dimethindene:
• is marketed as a racemate and its
antihistaminic activity resides mainly in the
levorotatory isomer.
the cyclic analogues: dimethindene and phenindamine
General points and metabolism
•This are among the most active H1-antagonists.
• The agents of this class also produce less sedation that the other
classical antihistamines and have little antiemetic action.
• They exhibit significant degree of anticholinergic activity, albeit less
than the amino alkyl ethers and phenothiazines.
• In the propylamine series the pharmacokinetics of chlorpheniramine
have been studied most extensively in humans.
• Oral bioavailability is relatively low (30-50%) and may be limited by first
pass metabolism.
• The primary metabolites for this compound, and other members of this
series, are the mono- and di-N-de alkylation products.
• metabolism: Complete oxidation of the terminal amino moiety
followed by glycine conjugation has also been reported for
brompheniramine.
•Chlorpheniramine plasma half-lives range from about 12 hours to 28
hours, depending on the route of administration (oral versus IV).
E. Phenothiazines:
• useful antihistaminic actions contain a two or
three carbon atom, branched alkyl chain
between the ring system and terminal nitrogen
atom
• The phenothiazines with a three carbon bridge
between nitrogen atoms are more potent in
vitro
1) Promethazine HCL USP
In general, lengthening of the side chain and
substitution of lipophilic groups in the 2-
position of the aromatic ring results in
compounds with decreased antihistaminic
activity and increased psychotherapeutic
properties.
3) Trimeprazine tartrate USP
4) Methdilazine HCL USP
•Its action reportd to be from 1.5
to 5 times that of promethazine
•Pronounced antipruritic action
•Dose : 2.5 mg q i d (syrup, tablets)
•Some local anaesthesia of buccal
mucosa
•Adm. orally for antipuritic effect
•This compound undergoes mono and di-N-dealkylation, sulfur
oxidation, aromatic oxidation at the 3-position to yield the phenol and
N-oxidation.
• A number of these metabolites, particularly the phenol, may yield
glucuronide conjugates. It is expected that the phenothiazine
antihistamines would display similar metabolic profiles.
metabolism
F. Dibenzocycloheptenes/heptanes:
• Cyproheptadine HCl possesses both an antihistamine and an anti
serotonin activity and is used as an antipruritic agent.
• Sedation is the most prominent side effect, and this is usually brief,
disappearing after three or four days of treatment.
•Azatadine maleate: A potent, long-acting antihistaminic with
antiserotonin activity.
•This diaryl substitution pattern present in both 1st and 2 nd
generation and is essential for H1 affinity .
•Two aryl moiety must be able to adopt a non coplanar
conformation relative to each other for optimal interaction
with H1 receptor.
•Two aromatic system may be linked as in tricyclic
antihistamine but they should have to be non coplanar for
effective receptor interaction.
•Substitution in one of the aryl ring this influence potency , bio
disposition.
SAR for histamine antagonist
General antihistamine structure
•In many 1st generation antihistamine terminal nitrogen atom
is simple dimethylamino moiety
•Amine may also be part of hetrocycle
•In all cases AA is basic with pKa 8.5 to10 thus get protonated
when bound to receptor
•Also helpful in form of salt formation
•Carbon chain mainly consist of 2 or 3 atoms
•And the distance between aryl ring and terminal nitrogen
atom is 5 to6 angstroms similar distance is require for
antihistamines with less conformational freedom
•Branching of carban chain decr. Activity
•The X connecting moiety may be C=O or C=N
•this grp. Serves as a spacer for desire action many drugs
contain chiral carbon for streoselective receptor binding
eg. Pheniramine series and carbinoxamine
•1st and 2nd generation antihistamine are more lipophilic than
endogenous histamine
•Lipophilicity due to aryl grp. Substituted amino moiety
•Ability of this drugs to give pharmacological action is becoz.
They contain basic pharmacophore require for binding
muscarinic , adrenergic and serotonergic receptor
Antihistaminic agents
Antihistaminic agents

Antihistaminic agents

  • 1.
  • 2.
    OUTLINE: •What is histamine? •What is allergy ? •What is role of histamine in allergy ? •What is an antihistamine ?
  • 3.
  • 7.
    Synthesis of histamine: •Formed from amino acid histidine in decarboxylation reaction with enzyme histidine decarboxylase •Occurs primarily in mast cell and basophiles
  • 8.
  • 10.
  • 13.
    Role of histaminein allergy?
  • 14.
    What is antihistamine? •Drug that reduces or eliminates the effects mediates by the chemical histamine •The term antihistamine only refers to H1 receptor antagonist
  • 15.
    Clinical uses ofantihistamines
  • 16.
  • 18.
    •Structurally this receptorcontain 7 hydrophobic transmembrane domain (G protein receptors ) •3rd intercellular loop of receptor is very large 212 AA •Intercellular c terminal tail is relatively short 17 AA •Site directed mutagenesis studies have provide evidence for the binding domain of h1 agonist and antagonist •TM3 and TM5 are responsible for binding histamine •Signal transduction : receptor activate PLC , results in IP accumulation and Ca mobilization in tissues
  • 19.
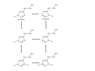
    Aspartate (107) essentialfor histamine and antagonist binding asparagine (207) of TM5 interact with nitrogen of imidazole ring of histamine Lysine (200) with nucleophilic N of neutral legand
  • 20.
    •H3 receptor ispropose to function as neutral autoreceptor •Serving to modulate histamine synthesis and release in CNS •In gastric mucosa it regulate control gastric acid secretion
  • 21.
    •Characterized as 390AA •Gi protein coupled with 40% identity to H3 receptor •Helpful in regulating immune responses
  • 22.
    A) Amino alkylethers (ethanolamines) •Characterise by pre. Of CHO connecting moiety and 2/3 carbon atom chain moiety between diaryl and tertiary amino grp. •Most of amino alkyl ethers are optically active •Mostly s enantiomer are more active •Drugs in this grp. Posses anticholinergic activity by blocking H1 action on exocrine secr. Thus cause drowsiness •Can cross BBB and thus act on central H1 receptor First generation H1 antagonist drug class
  • 23.
    1) Diphenhydramine HCLUSP •White crystalline powder soluble in water alcohol chloroform •pKa value : 9 and 1% aq. Solution has ph : 5 •It also have antidyskinetic, antiemetic, antitussive and sedative prop. •Not highly active against H1 but its anticholinergic and sedative •Recommended in allergic and antispasmodic condition •Common side effect drowsiness and CNS depression •Adult dose 25-50 mg IM or IV 10-50 mg (capsule, elixir, syrup, tablet injection )
  • 24.
    2) Bromodiphenhydraminie HCLUSP •Is more lipid soluble than diphenhydramine •Effective in protecting guinea pigs against lethal effect of histamine aerosols •Adult dose 25mg/4-6 hrs (capsule, elixir)
  • 26.
    3) Doxylamine succinate •Replacementof one of the phenyl ring by 2 pyridyl grp. As in doxylamine and acrbinoxamine enhance activity •This compounds display oral activities 40 (doxylamine succinate) and 2 (carbinoxamine maleate)times greater respectively than diphenhydramine •Carcinogenic – mouse •Use of alcohol & other CNS depressants are avoided •Dose oral 12.5 – 25 mg/4-6 hrs (syrup, tablet )
  • 27.
    4) Carbinoxamine maleateUSP •Potent and available as racemic mixture (l isomer) (s) •Oily lipid soluble free base of carbinoxamine •1% solution pH: 4.6 to 5.1 •Dose 4- 8 mg t.i.d or q.i.d. (syrup, tablet)
  • 28.
    5) Clemastine fumarateUSP: • Clemastine Fumarate is structurally related to chloro diphenhydramine with the amino alkyl side chain incorporated in a pyrrolidine ring, and it has an additional benzyl methyl group. • This compound has two chiral centers, each of which is of the (R) absolute configuration in the dextrorotatory product. •A comparison of the activities of the antipodes indicates that the asymmetric center close to the side chain nitrogen is of lesser importance to antihistaminic activity. This member of the ethanolamine series is characterized by a long duration of action.
  • 29.
    B) Ethylenediamine • firstuseful antihistamines • All compounds in this series are simple diarylethylenediamines except for antazoline
  • 30.
    •Phenbenzamine first clinicallyuseful member of this class • Replacement of the phenyl moiety of phenbenzamine with a 2-pyridyl system yielded tripelennamine, a significantly more effective histamine receptor blocker. •1% solution pH: 4.25 •Dose : oral 25-50 mg/4-6 hrs (elixir) 30-20 1) Tripelenamine HCL or citrate
  • 31.
    2) Pyrilamine maleate •Whitecrystalline powder with faint odour and bitter test • Substitution of a Para methoxy (pyrilamine or mepyramine), chloro (chloropyramine) or bromo (bromtripelennamine) results in a further enhancement in activity. •10% solution pH: 5 (at pH 7.5 - precipitate) •Thy are highly potent and induce histamine induce guinea pig ileum •Becoz of pronounced local anesthetic action it taken with food and not chewed •Dose :oral 25-50 mg /6-8 hrs (tablet)
  • 32.
    3) Methapyrilene HCL •Replacement of the benzyl group of tripelennamine with a 2- thiophene ring provided methapyrilene, •In 1979 FDA declare it to cause cancer so it is recalled
  • 33.
    4) Thonzylamine HCL •replacementof tripelennamine’s 2-pyridyl group with a pyrimidinyl moiety (along with p-methoxy substitution) yielded thonzylamine, which function as potent H1receptor antagonists. •2% solution pH: 5.5 •Less toxic •Dose 50 mg 4 times daily.
  • 34.
    •the aliphatic orterminal amino group is significantly more basic than the nitrogen atom bonded to the diaryl moiety • Thus the aliphatic amino group in the ethylenediamines is sufficiently basic for the formation of pharmaceutically useful salts. •Metabolism : • Tripelennamine is known to metabolized in man by N-glucuronidation, N-oxidation and pyridyl oxidation followed by phenol glucuronidation. • It is anticipated that other members of this series are similarly metabolized General points
  • 35.
    C) Piperazines (Cyclizines): •considered to be ethylenediamine derivatives or cyclic ethylenediamines (cyclizines) • however in this series the connecting moiety (X) is a CHN group and the carbon chain, terminal amine functionality as well as the nitrogen atom of the connecting group are all part of a piperazine moiety •The primary structural differences within this series involves the nature of the para aromatic ring substituent (H or Cl) and, more importantly, the nature of the terminal piperazine nitrogen substituent. •
  • 36.
    1) Cyclizine HCLUSP •Cyclize and chlorcyclizine are simple N-methylpiperazines Cyclizine HCl is used primarily in the prophylaxis and treatment of motion sickness. • The lactate salt (Cyclizine Lactate Injection is used for intramuscular injection because of the limited water solubility of the hydrochloride. •Dose: 50mg 4-6 hrs.= oral and IM tablet (HCL) and injection (lactate)
  • 37.
    2) Chlorcyclizine HCLUSP •Chlorcyclizine HCl has an additional ring Cl substituent which reduces activity. •Chlorcyclizine is indicated in the symptomatic relief of urticaria, hay fever, and certain other allergic conditions. •1% solution pH: 4.8 to5.5
  • 38.
    3)Meclizine HCl •Meclizine HCland Buclizine HCl are N-benzyl substituted piperazines. •Meclizine HCL •Although it is a moderately potent antihistaminic, meclizine is used primarily as an antinauseant in the prevention and treatment of motion sickness and in the treatment of nausea and vomiting associated with vertigo and radiation sickness. •Dose : oral 25-50mg (tablet, chewable tablet) • Buclizine HCL, •Insoluble in water, is highly lipid-soluble and has central nervous system depressant, antiemetic, and antihistaminic properties. •Central cholinergic and act on CTZ •Dose: oral 50mg/4-6 hrs (tablet) 4)Buclizine
  • 39.
    •The piperazines aremoderately potent antihistaminic with a lower incidence of drowsiness. • characterized by a slow onset and long duration of action. • These agents exhibit peripheral and central antimuscarinic activity and this may be responsible for the antiemetic (CTZ) and antivertigo (diminish vestibular stimulation) effects. •Thus as a group, these agents are probably more useful as antiemetic and antinauseants and in the treatment of motion sickness. • Some members of this series have exhibited a strong teratogenic potential, inducing a number of malformations in rats. •Norchlorcyclizine, a metabolite was proposed to be responsible for the teratogenic effects of the parent drugs. • Metabolic studies in this series of compounds have focused primarily on cyclizine and chlorcyclizine, and these compounds undergo similar biotransformation. The primary pathways involve N-oxidation and N- demethylation, and both of these metabolites are devoid of antihistaminic activity. General points
  • 40.
    D) Propylamines (MonoaminopropylDerivatives): •characterized structurally by an sp3 or sp2 carbon connecting atom with a carbon chain of two additional carbons linking the key tertiary amino and diaryl pharmacophore moieties
  • 41.
    •These compounds differonly in the phenyl substituent at the para- position; H (pheniramine), Cl (chlorpheniramine) and Br (brompheniramine) • antihistaminic activity resides almost exclusively in the S-stereoisomers. •halogenated pheniramines are significantly more potent (20-50 times) and have a longer duration of action than the parent pheniramine 1)Pheniramine :
  • 42.
    •Those propylamines withan unsaturated connecting moiety include: • the open derivatives: pyrrobutamine and triprolidine •Long acting with slow onset • For pyrrobutamine and triprilidine the E-geometric isomers (shown) are active. 3) Pyrobutamine phosphate: 4) Triprolidine HCL:
  • 43.
    4) Phenindamine : •canbe regarded as an unsaturated propylamine derivative in that the rigid ring system contains a distorted, trans alkenes. 5) Dimethindene: • is marketed as a racemate and its antihistaminic activity resides mainly in the levorotatory isomer. the cyclic analogues: dimethindene and phenindamine
  • 44.
    General points andmetabolism •This are among the most active H1-antagonists. • The agents of this class also produce less sedation that the other classical antihistamines and have little antiemetic action. • They exhibit significant degree of anticholinergic activity, albeit less than the amino alkyl ethers and phenothiazines. • In the propylamine series the pharmacokinetics of chlorpheniramine have been studied most extensively in humans. • Oral bioavailability is relatively low (30-50%) and may be limited by first pass metabolism. • The primary metabolites for this compound, and other members of this series, are the mono- and di-N-de alkylation products. • metabolism: Complete oxidation of the terminal amino moiety followed by glycine conjugation has also been reported for brompheniramine. •Chlorpheniramine plasma half-lives range from about 12 hours to 28 hours, depending on the route of administration (oral versus IV).
  • 45.
    E. Phenothiazines: • usefulantihistaminic actions contain a two or three carbon atom, branched alkyl chain between the ring system and terminal nitrogen atom • The phenothiazines with a three carbon bridge between nitrogen atoms are more potent in vitro 1) Promethazine HCL USP In general, lengthening of the side chain and substitution of lipophilic groups in the 2- position of the aromatic ring results in compounds with decreased antihistaminic activity and increased psychotherapeutic properties.
  • 46.
    3) Trimeprazine tartrateUSP 4) Methdilazine HCL USP •Its action reportd to be from 1.5 to 5 times that of promethazine •Pronounced antipruritic action •Dose : 2.5 mg q i d (syrup, tablets) •Some local anaesthesia of buccal mucosa •Adm. orally for antipuritic effect
  • 47.
    •This compound undergoesmono and di-N-dealkylation, sulfur oxidation, aromatic oxidation at the 3-position to yield the phenol and N-oxidation. • A number of these metabolites, particularly the phenol, may yield glucuronide conjugates. It is expected that the phenothiazine antihistamines would display similar metabolic profiles. metabolism
  • 48.
    F. Dibenzocycloheptenes/heptanes: • CyproheptadineHCl possesses both an antihistamine and an anti serotonin activity and is used as an antipruritic agent. • Sedation is the most prominent side effect, and this is usually brief, disappearing after three or four days of treatment. •Azatadine maleate: A potent, long-acting antihistaminic with antiserotonin activity.
  • 49.
    •This diaryl substitutionpattern present in both 1st and 2 nd generation and is essential for H1 affinity . •Two aryl moiety must be able to adopt a non coplanar conformation relative to each other for optimal interaction with H1 receptor. •Two aromatic system may be linked as in tricyclic antihistamine but they should have to be non coplanar for effective receptor interaction. •Substitution in one of the aryl ring this influence potency , bio disposition. SAR for histamine antagonist General antihistamine structure
  • 50.
    •In many 1stgeneration antihistamine terminal nitrogen atom is simple dimethylamino moiety •Amine may also be part of hetrocycle •In all cases AA is basic with pKa 8.5 to10 thus get protonated when bound to receptor •Also helpful in form of salt formation •Carbon chain mainly consist of 2 or 3 atoms •And the distance between aryl ring and terminal nitrogen atom is 5 to6 angstroms similar distance is require for antihistamines with less conformational freedom •Branching of carban chain decr. Activity
  • 51.
    •The X connectingmoiety may be C=O or C=N •this grp. Serves as a spacer for desire action many drugs contain chiral carbon for streoselective receptor binding eg. Pheniramine series and carbinoxamine •1st and 2nd generation antihistamine are more lipophilic than endogenous histamine •Lipophilicity due to aryl grp. Substituted amino moiety •Ability of this drugs to give pharmacological action is becoz. They contain basic pharmacophore require for binding muscarinic , adrenergic and serotonergic receptor