ANTICONVULSANTS
SYLLABUS
 SAR of anticonvulsants, Mechanism of anticonvulsants
 Barbiturates: Phenobarbitone, methabarbital
 Hydantoins: phenytoin, mephenytoin, ethotoin
 Oxazolidine diones: trimethadione, paramethadione
 Succinimides: phensuximide, Methsuximide, ethosuxicimide
 Urea and monoacylureas: Phenacemide, carbamazepine
 Benzodiazepines: clonazepam
 MISC: primidone, valproic acid, Gabapentin felbamate
ANTICONVULSANTS
 The terms anticonvulsant and antiepileptic drug (AED) are used interchangeably
 Epilepsies: These are a group of disorders of the CNS characterized by
paroxysmal cerebral dysrhythmia, manifesting as brief episodes (seizures) of loss or
disturbance of consciousness, with or without characteristic body movements
(convulsions), sensory or psychiatric phenomena.
 Seizures are classified, based on their initial signs and symptoms and the pattern
seen on the electroencephalogram (EEG), into two broad categories as generalized
seizures or as partial seizures.
 Each of the epilepsy types is characterized by an abnormal pattern in the EEG.The
EEG indicates sudden, excessive electrical activity in the brain.
 Most of the currently available AEDs work by preventing, stopping, or lessening
this electrical activity
PRIMARY GENERALIZED SEIZURES:
 Two major types of generalized seizures are the primarily generalized tonic–
clonic seizures (grand mal) and the absence (petit mal) seizures.
 The typical primarily generalized tonic– clonic seizure is often preceded by a series
of bilateral muscular jerks followed by loss of consciousness, which in turn is
followed by a series of tonic and then clonic spasms.
 The typical absence seizure (classic petit mal) consists of a sudden brief loss of
consciousness (10 seconds), sometimes with no motor activity, although often
some minor clonic motor activity exists.
PARTIAL SEIZURES
 Major types of partial seizure are simple partial seizures (focal) and
complex partial seizures (temporal lobe or psychomotor).
 Simple partial seizures (SPS, cortical focal epilepsy): lasts 1/2–1 min. Often
secondary. Convulsions are confined to a group of muscles or localized sensory
disturbance depending on the area of cortex involved in the seizure, without loss of
consciousness.
 The complex partial seizure is represented by the psychomotor or temporal lobe
seizure.There is an aura, then a confused or bizarre but seemingly purposeful
behavior lasting 2 to 3 minutes, often with no memory of the event.
Classification:
 Barbiturates: Phenobarbital, Methabarbital, Mephobarbital
 Hydantoin (Imidazoline-2,4-dione) derivative: Phenytoin, Phenylethyl hydantoin,
Mephenytoin, Ethotoin
 Oxazolidinedione derivatives:Trimethadione, Paramethadione,Aloxidone
 Succinimides: Phensuximide, Methsuximide, Ethosuximide
 Benzodiazepines: Clonazepam, Diazepam, Clorazepate
 Gamma amino butyric acid analogues: Progabide,Tigabin,Vigabatrin, Gabapentin
 Iminostilbene derivatives: Carbamazepine
HYDANTOINS: PHENYTOIN, MEPHENYTOIN,
ETHOTOIN
 The hydantoins have a five membered ring structure containing two nitrogens in an
ureide configuration.
 Phenytoin is the prototype and most commonly prescribed member of the
hydantoin family.
 MOA: Phenytoin binds to and stabilizes the inactivated state of sodium channels,
thus producing dose dependent blockade of repetitive firing and inhibition of the
spread of seizure activity to adjacent cortical areas
 Indicated for initial monotherapy or adjunct treatment of complex partial siezures
or tonic-clonic seizures, convulsive state epilepticus and prophylaxis.
 It is not used in the treatment of absence seizures, because it can increase their
frequency of occurrence.
MECHANISM OF ACTION:
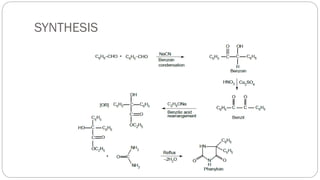
SYNTHESIS
Uses and adverse reactions: PHENYTOIN
 USES: Phenytoin is a first line antiepileptic drug for—
➢ Generalized tonic-clonic, simple and complex partial seizures. It is ineffective in
absence seizures.
➢ Trigeminal neuralgia: second choice drug to carbamazepine.
Mephenytoin
 Mephenytoin is N-methylated at position 3 with an ethyl group replacing one of
the phenyl substituetnts at position 5.
 Mephenytoin produces more sedation than phenytoin
 Should be used when safer drugs have failed.
 Produce serious toxicities such as severe rash, agranulocytosis and hepatitis
 Metabolism: N-desmethyl metabolite, 5-phenyl-5-ethylhydantoin contributes to
both efficacy and toxicity for mephenytoin.
 Use: Used in the treatment of tonic-clonic seizures
 Used to control partial seizures
 Used for treatment for those patient who are not responding to other agents
Ethotoin
 3-ethyl-5-phenylimidazolidin-2,4-dione
 Ethotoin differs from phenytoin in that one phenyl substituent at position 5 has
been replaced by hydrogen and the N-H at position 3 is replaced by an ethyl group.
 Considered to be less toxic and more sedating than phenytoin
 MOA: Similar to that of phenytoin
Use: Used in the treatment of tonic-clonic seizures and complex partial seizures.
Generally given in combination with other anticonvulsants.
SAR of hydantoins:
1. Hydantoin is imidazolidine-2,4-dione and somewhat related to barbiturates in its
structure as it has glycoureide structure
2. N- atom at first position must remain unsubstituted else the activity is
compromised.
3. A phenyl or aromatic substitution at C-5 is essential for activity. Eg. Phenytoin.
4. Alkyl substitution at position 5 may contribute to sedation.A property absent in
phenytoin. Eg. Mephenytoin
5. Among other hydantoins, like spirohydantoins, thiohydantoins, dithiohydantoins,
and 1, 3- disubstituted hydantoins, some exhibit activity against chemically
induced convulsions.
6. While remaining are ineffective against electroshock induced convulsions
Iminostilbene derivatives: Carbamazepine (CBZ)
 CBZ, 5H dibenz[b,f]lazepine 5 carboxamide is an iminostilbene derivative of tricyclic
antidepressants
 MOA: Inhibits voltage dependent-sodium channels (same as phenytoin)
 USE: One of the safest and most effective older anti-epileptic drugs
1. Indicated as initial or adjunct therapy for complex partial, tonic-clonic and mixed type
seizures.
2. Used in the treatment of trigeminal neuralgia
ADR: Common toxicities include blurred vision, dizziness, drowsiness and ataxia.
Tremor, depression, hyponatremia, and cardiac disturbances are seen at high serum
concentrations.
Severe idiosyncratic reactions including aplastic anemia, agranulocytosis, thrombocytopenia
and jaundice
Metabolism of carbamazepine
BARBITURATES: Phenobarbitone, Methabarbital
 Barbiturates are substituted pyrimidine derivatives with an ureide configuration.
 Are lipophilic weak acids (pka 7 to 8) and are well distributed in the brain.
 Although sedative–hypnotic barbiturates commonly display anticonvulsant properties,
only phenobarbital display enough anticonvulsant selectivity for use as antiepileptics.
 MOA: Inhibits seizures by blockade of sodium channels and enhancement of GABA
mediated inhibitory transmission.
➢ ADR:The major drawback of phenobarbitone as an antiepileptic is its sedative action.
Long term administration (as needed in epilepsy) may produce additional side effects
like—behavioral abnormalities, diminution of intelligence, impairment of learning and
memory, hyperactivity in children, mental confusion in older people.
➢ Rashes, megaloblastic anaemia and osteomalacia (similar to that with phenytoin) occur in
some patients on prolonged use.
Phenobarbital:
 USE: commonly used for convulsive disorders and is the drug of choice for
seizures in infants upto 2 months of age.
 Indicated for the treatment of partial and generalized tonic-clonic seizures in all
age groups.
 Ocassionally used as monotherapy and is usually combined with other AEDs
 Can be administered parenterally as its sodium salt for emergency control of acute
convulsive disorders associated with eclampsia, meningitis, tetanus and toxic
reactions to strychnine or local anesthetics.
SAR (Refer sedatives and hypnotics)
1. Optimum activity is observed when one of the substituents at C5 is phenyl. Eg:
Phenobarbitone.
2. The 5, 5-diphenyl derivatives have less activity than phenobarbitone.
3. N2 and N3 substituents, in some cases also results in an increased activity.
4. 5, 5-dibenzyl barbituric acid causes convulsions
Methabarbital
 5,5-diethyl—methyl-1,3-diazinane-2,4,6-trione
 MOA: Binds to the GABA receptor and increases the duration of time for Cl-
channel opening. It potentiates the inhibitory action of GABA
 Use: Used in the treatment of Grandmal epilepsy
Benzodiazepines:
 These class of drugs have been widely used as sedative-
hypnotics and antianxiety drug
 MOA: Benzodiazepines acts by enhancing pre and
postsynaptic inhibition through benzodiazepine receptor,
which is an integral part of GABA-A receptor Cl–
channel. It opens the Cl– channel through GABA
facilitatory action.These drugs also induce hyper-
polarization and decrease firing rate of neurons.
 The benzodiazepines diazepam, lorazepam, clonazepam ,
clorzepate dipotassium and midazolam are effective
against seizures.
SAR of benzodiazepines
1. The electron withdrawing atom or group at position 7 increases the anti-
epileptic activity while electron donating substituents at 7, 8 or 9 positions
decrease it.
2. A phenyl group at position 5 is necessary for activity. But only halogen
substituents are allowed in the ortho position.
3. The electron withdrawing groups at ortho or diortho positions at 5-phenyl
increase the activity while any substituents on meta or para position at 5-
phenyl decreases the activity.
4. Methyl substitution at position 1 confirms high activity.
Clonazepam
 Duration of action for clonazepam is 24hours
 Ineffective for the treatment of generalized tonic-clonic seizures.
 USE: Clonazepam has been primarily employed in absence seizures.
 It is also useful as an adjuvant in myoclonic and akinetic epilepsy and may afford
some
 benefit in infantile spasms.
 ADR: The most important side effect of clonazepam is sedation and dullness.
 Lack of concentration, irritability, temper and other behavioral abnormalities may
 occur in children.
 Motor disturbances and ataxia are dose related adverse effects.
Gamma amino butyric acid analogues (GABA):
Gabapentin
 Gabapentin and its closely related analog pregabalin, (S)-3-isobutyl-GABA are
broad-spectrum anticonvulsants with multiple mechanisms of action.
 This lipophilic GABA derivative crosses to the brain and enhances GABA release,
but does not act as agonist at GABAA receptor.
Mechanism of action:
 MOA 1: GABA, the major inhibitory neurotransmitter in the brain, is
biosynthesized at the GABAergic neurons by the decarboxylation of the amino
acid, L-glutamic acid (itself an excitatory amino acid neurotransmitter in the
brain).
 The rate-limiting enzyme that catalyzes this conversion is L-glutamic acid
decarboxylase (GAD).
 Being a 3-substituted GABA, gabapentin and especially pregabalin, may have the
ability to activate GAD
MOA 2: GABAPENTIN
 The voltage-gated calcium channels (VGCCs) are essential in regulating Ca2
signaling, which is associated with many important cellular events such as the
release of excitatory glutamate neurotransmitters, the plasticity changes of long-
term potentiation in learning and memory, and the maintenance of homeostasis of
nerve cells.
 It has been suggested that excessive influx of Ca2+ plays a critical role in the
induction and progression of epileptic seizures
 The high-threshold L-type Ca2 channels in the presynaptic glutaminergic receptors
require strong depolarization for activation and are the primary molecular targets
of gabapentin and pregabalin, both of which are effective in refractory partial
seizures
USE and ADR
 Indicated as an adjunct for use against partial seizures with or without secondary
generalization in patients older than 12 years
 As an adjunct for the treatment of partial seizures in children 3 to 12 years
 Gabapentin is considered to be a first line drug for pain due to diabetic neuropathy
and postherpetic neuralgia; has some prophylactic effect in migraine also.
 Side effects are mild sedation, tiredness, dizziness and unsteadiness.
Drugs effective against absence seizures
 Drugs that are effective against absence seizures include the five-membered
ureides, the oxazolidinediones and the succinimides
 A small structural difference between the ring N (hydantoins), ring O
(Oxazolidinediones) and ring CH2 (methylene and succinimides) results in
switching fromAEDs effective against partial and generalized tonic-clonic seizures
to those effective against absence seizures.
Oxazoilidinedione derivatives:
Trimethadione, Paramethadione
 Replacement of the -NH group at position 1 of the hydantoin systems with oxygen
atom yields the oxazolidine-2,4-dione system, trimethadione is only clinically
used.
SAR
➢ Replacement of the -NH group at position 1 of the hydantoin system with an
oxygen atom yields the oxazolidine-2,4-dione system.
➢ 3,5,5-Trimethadione (tridione) was the first drug introduced specifically for
treating absence seizures. It is also important as a prototype structure.
➢ The nature of the substituent on C-5 is important, example, lower alkyl
substituents towards antipetitmal activity while acyl substituents towards
antigrandmal activity.
➢ The N-alkyl substituent does not alter or afford the activity since all the clinically
used agents from this class undergo N-dealkylation in metabolism.
Trimethadione
 It is first drug introduced specifically for treating absence seizures. It is important
as a prototype structure for anti absence seizure compounds.
 Trimethadione is a prodrug and is metabolized by N-demethylation to
dimethadione
 It is used as an antipetitmal agent.
 ADR: It causes nephrosis, aplastic anaemia and bone marrow depression.
Paramethadione
Succinimides: Ethosuximide
 Drug of choice for treatment of absence seizures.
 Not effective against partial complex or tonic clonic seizures and can increase the
frequency of grandmal attacks.
 ADR: Dose-related side effects are gastrointestinal intolerance, tiredness, mood
changes, agitation,headache, drowsiness and inability to concentrate.
 Hypersensitivity reactions like rashes, Discoid Lupus Erythmatosus and blood
dyscrasias are rare.
Methsuximide and Phensuccimide
SAR: Succinimides
 The activity of antiepileptic agents, such as the oxazolidine 2,4-dione with
substituted succinamides (CH2 replace O) was logical choice for synthesis and
evaluation.
 N-demethylation occurs to yield the active metabolite.
 Both phensuximide and theN-demethyl metabolite are inactivated by p-
hydroxylation and conjugation.
Urea: Phenacemide
1.Among aliphatic acetyl ureas the highest anticonvulsant activity is found in those derived from the
branched chain acids of about 7-carbon atoms.
2.With a further increase in molecular weight the anticonvulsant activity gradually terminates and hypnotic
effect predominates.
3. Phenacemide is a most active agent among the aromatic acetyl urea.
4.Any substitution in nitrogen of phenacemide does not increase further the anticonvulsant activity.
5.The activity decreases with aromatic substituents of phenacemide with a gradual increase in
hypnotic activity.
Phenacemide
 Used mainly in psychomotor epilepsy.
Misc: Primidone, Valproic acid
 Primidone A deoxybarbiturate, converted by liver to phenobarbitone and
phenylethyl malonamide (PEMA).
 Primidone is the 2-deoxy derivative of phenobarbital
 Used for initial or adjunctive treatment of simple partial, complex partial, and
tonic clonic seizures.
 Shares antisedative and sedative actions of phenobarbital.
Valproic acid
 It is a branched chain aliphatic carboxylic acid with a broad spectrum anticonvulsant
action. It is more potent in blocking PTZ seizures
 Generally well tolerated, but its use is limited by two rare but significant toxic side effects
(hepatotoxicity and teratogenicity) that can be dose-dependent or idiosyncratic in nature
 It is effective in partial seizures as well as absence seizures.Valproic acid is the drug of
choice for absence seizures.
 Mode of action: Valproate produces reduction in calcium channel influx and it also
prolongs the transient activation time of inactivated sodium channels.Another potential
mechanism contributed is to involve in the metabolism of GABA, which is an inhibitory
neurotransmitter, by stimulating the GABA synthetic enzyme glutamic acid decarboxylase
and inhibits the GABA degradative enzyme GABA transaminase
Felbamate
❑Felbamate, potent and effective AED with a broad spectrum of action, is a
carbamate ester of 2-phenyl-1, 3- propanediol, structurally similar to the anxiolytic
drug meprobamate.
❑The carbamate ester is stable to esterases and therefore provides good oral
bioavailability.
❑Used for severe refractory seizures, either partial, myoclonic or atonic or in
Lennox-Gastaut syndrome
❑Toxicity– Rare occurrence of aplastic anemia and severe hepatotoxicity.

ANTICONVULSANTS (1) (1).pdf

  • 1.
  • 2.
    SYLLABUS  SAR ofanticonvulsants, Mechanism of anticonvulsants  Barbiturates: Phenobarbitone, methabarbital  Hydantoins: phenytoin, mephenytoin, ethotoin  Oxazolidine diones: trimethadione, paramethadione  Succinimides: phensuximide, Methsuximide, ethosuxicimide  Urea and monoacylureas: Phenacemide, carbamazepine  Benzodiazepines: clonazepam  MISC: primidone, valproic acid, Gabapentin felbamate
  • 3.
    ANTICONVULSANTS  The termsanticonvulsant and antiepileptic drug (AED) are used interchangeably  Epilepsies: These are a group of disorders of the CNS characterized by paroxysmal cerebral dysrhythmia, manifesting as brief episodes (seizures) of loss or disturbance of consciousness, with or without characteristic body movements (convulsions), sensory or psychiatric phenomena.
  • 4.
     Seizures areclassified, based on their initial signs and symptoms and the pattern seen on the electroencephalogram (EEG), into two broad categories as generalized seizures or as partial seizures.  Each of the epilepsy types is characterized by an abnormal pattern in the EEG.The EEG indicates sudden, excessive electrical activity in the brain.  Most of the currently available AEDs work by preventing, stopping, or lessening this electrical activity
  • 5.
    PRIMARY GENERALIZED SEIZURES: Two major types of generalized seizures are the primarily generalized tonic– clonic seizures (grand mal) and the absence (petit mal) seizures.  The typical primarily generalized tonic– clonic seizure is often preceded by a series of bilateral muscular jerks followed by loss of consciousness, which in turn is followed by a series of tonic and then clonic spasms.  The typical absence seizure (classic petit mal) consists of a sudden brief loss of consciousness (10 seconds), sometimes with no motor activity, although often some minor clonic motor activity exists.
  • 7.
    PARTIAL SEIZURES  Majortypes of partial seizure are simple partial seizures (focal) and complex partial seizures (temporal lobe or psychomotor).  Simple partial seizures (SPS, cortical focal epilepsy): lasts 1/2–1 min. Often secondary. Convulsions are confined to a group of muscles or localized sensory disturbance depending on the area of cortex involved in the seizure, without loss of consciousness.  The complex partial seizure is represented by the psychomotor or temporal lobe seizure.There is an aura, then a confused or bizarre but seemingly purposeful behavior lasting 2 to 3 minutes, often with no memory of the event.
  • 10.
    Classification:  Barbiturates: Phenobarbital,Methabarbital, Mephobarbital  Hydantoin (Imidazoline-2,4-dione) derivative: Phenytoin, Phenylethyl hydantoin, Mephenytoin, Ethotoin  Oxazolidinedione derivatives:Trimethadione, Paramethadione,Aloxidone  Succinimides: Phensuximide, Methsuximide, Ethosuximide  Benzodiazepines: Clonazepam, Diazepam, Clorazepate  Gamma amino butyric acid analogues: Progabide,Tigabin,Vigabatrin, Gabapentin  Iminostilbene derivatives: Carbamazepine
  • 12.
  • 13.
     The hydantoinshave a five membered ring structure containing two nitrogens in an ureide configuration.  Phenytoin is the prototype and most commonly prescribed member of the hydantoin family.  MOA: Phenytoin binds to and stabilizes the inactivated state of sodium channels, thus producing dose dependent blockade of repetitive firing and inhibition of the spread of seizure activity to adjacent cortical areas  Indicated for initial monotherapy or adjunct treatment of complex partial siezures or tonic-clonic seizures, convulsive state epilepticus and prophylaxis.  It is not used in the treatment of absence seizures, because it can increase their frequency of occurrence.
  • 14.
  • 16.
  • 17.
    Uses and adversereactions: PHENYTOIN  USES: Phenytoin is a first line antiepileptic drug for— ➢ Generalized tonic-clonic, simple and complex partial seizures. It is ineffective in absence seizures. ➢ Trigeminal neuralgia: second choice drug to carbamazepine.
  • 18.
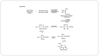
    Mephenytoin  Mephenytoin isN-methylated at position 3 with an ethyl group replacing one of the phenyl substituetnts at position 5.  Mephenytoin produces more sedation than phenytoin  Should be used when safer drugs have failed.  Produce serious toxicities such as severe rash, agranulocytosis and hepatitis  Metabolism: N-desmethyl metabolite, 5-phenyl-5-ethylhydantoin contributes to both efficacy and toxicity for mephenytoin.  Use: Used in the treatment of tonic-clonic seizures  Used to control partial seizures  Used for treatment for those patient who are not responding to other agents
  • 19.
    Ethotoin  3-ethyl-5-phenylimidazolidin-2,4-dione  Ethotoindiffers from phenytoin in that one phenyl substituent at position 5 has been replaced by hydrogen and the N-H at position 3 is replaced by an ethyl group.  Considered to be less toxic and more sedating than phenytoin  MOA: Similar to that of phenytoin Use: Used in the treatment of tonic-clonic seizures and complex partial seizures. Generally given in combination with other anticonvulsants.
  • 21.
    SAR of hydantoins: 1.Hydantoin is imidazolidine-2,4-dione and somewhat related to barbiturates in its structure as it has glycoureide structure 2. N- atom at first position must remain unsubstituted else the activity is compromised. 3. A phenyl or aromatic substitution at C-5 is essential for activity. Eg. Phenytoin. 4. Alkyl substitution at position 5 may contribute to sedation.A property absent in phenytoin. Eg. Mephenytoin 5. Among other hydantoins, like spirohydantoins, thiohydantoins, dithiohydantoins, and 1, 3- disubstituted hydantoins, some exhibit activity against chemically induced convulsions. 6. While remaining are ineffective against electroshock induced convulsions
  • 22.
    Iminostilbene derivatives: Carbamazepine(CBZ)  CBZ, 5H dibenz[b,f]lazepine 5 carboxamide is an iminostilbene derivative of tricyclic antidepressants  MOA: Inhibits voltage dependent-sodium channels (same as phenytoin)  USE: One of the safest and most effective older anti-epileptic drugs 1. Indicated as initial or adjunct therapy for complex partial, tonic-clonic and mixed type seizures. 2. Used in the treatment of trigeminal neuralgia ADR: Common toxicities include blurred vision, dizziness, drowsiness and ataxia. Tremor, depression, hyponatremia, and cardiac disturbances are seen at high serum concentrations. Severe idiosyncratic reactions including aplastic anemia, agranulocytosis, thrombocytopenia and jaundice
  • 24.
  • 25.
    BARBITURATES: Phenobarbitone, Methabarbital Barbiturates are substituted pyrimidine derivatives with an ureide configuration.  Are lipophilic weak acids (pka 7 to 8) and are well distributed in the brain.  Although sedative–hypnotic barbiturates commonly display anticonvulsant properties, only phenobarbital display enough anticonvulsant selectivity for use as antiepileptics.  MOA: Inhibits seizures by blockade of sodium channels and enhancement of GABA mediated inhibitory transmission. ➢ ADR:The major drawback of phenobarbitone as an antiepileptic is its sedative action. Long term administration (as needed in epilepsy) may produce additional side effects like—behavioral abnormalities, diminution of intelligence, impairment of learning and memory, hyperactivity in children, mental confusion in older people. ➢ Rashes, megaloblastic anaemia and osteomalacia (similar to that with phenytoin) occur in some patients on prolonged use.
  • 26.
    Phenobarbital:  USE: commonlyused for convulsive disorders and is the drug of choice for seizures in infants upto 2 months of age.  Indicated for the treatment of partial and generalized tonic-clonic seizures in all age groups.  Ocassionally used as monotherapy and is usually combined with other AEDs  Can be administered parenterally as its sodium salt for emergency control of acute convulsive disorders associated with eclampsia, meningitis, tetanus and toxic reactions to strychnine or local anesthetics.
  • 27.
    SAR (Refer sedativesand hypnotics) 1. Optimum activity is observed when one of the substituents at C5 is phenyl. Eg: Phenobarbitone. 2. The 5, 5-diphenyl derivatives have less activity than phenobarbitone. 3. N2 and N3 substituents, in some cases also results in an increased activity. 4. 5, 5-dibenzyl barbituric acid causes convulsions
  • 28.
    Methabarbital  5,5-diethyl—methyl-1,3-diazinane-2,4,6-trione  MOA:Binds to the GABA receptor and increases the duration of time for Cl- channel opening. It potentiates the inhibitory action of GABA  Use: Used in the treatment of Grandmal epilepsy
  • 29.
    Benzodiazepines:  These classof drugs have been widely used as sedative- hypnotics and antianxiety drug  MOA: Benzodiazepines acts by enhancing pre and postsynaptic inhibition through benzodiazepine receptor, which is an integral part of GABA-A receptor Cl– channel. It opens the Cl– channel through GABA facilitatory action.These drugs also induce hyper- polarization and decrease firing rate of neurons.  The benzodiazepines diazepam, lorazepam, clonazepam , clorzepate dipotassium and midazolam are effective against seizures.
  • 30.
    SAR of benzodiazepines 1.The electron withdrawing atom or group at position 7 increases the anti- epileptic activity while electron donating substituents at 7, 8 or 9 positions decrease it. 2. A phenyl group at position 5 is necessary for activity. But only halogen substituents are allowed in the ortho position. 3. The electron withdrawing groups at ortho or diortho positions at 5-phenyl increase the activity while any substituents on meta or para position at 5- phenyl decreases the activity. 4. Methyl substitution at position 1 confirms high activity.
  • 31.
    Clonazepam  Duration ofaction for clonazepam is 24hours  Ineffective for the treatment of generalized tonic-clonic seizures.  USE: Clonazepam has been primarily employed in absence seizures.  It is also useful as an adjuvant in myoclonic and akinetic epilepsy and may afford some  benefit in infantile spasms.  ADR: The most important side effect of clonazepam is sedation and dullness.  Lack of concentration, irritability, temper and other behavioral abnormalities may  occur in children.  Motor disturbances and ataxia are dose related adverse effects.
  • 32.
    Gamma amino butyricacid analogues (GABA): Gabapentin  Gabapentin and its closely related analog pregabalin, (S)-3-isobutyl-GABA are broad-spectrum anticonvulsants with multiple mechanisms of action.  This lipophilic GABA derivative crosses to the brain and enhances GABA release, but does not act as agonist at GABAA receptor.
  • 33.
    Mechanism of action: MOA 1: GABA, the major inhibitory neurotransmitter in the brain, is biosynthesized at the GABAergic neurons by the decarboxylation of the amino acid, L-glutamic acid (itself an excitatory amino acid neurotransmitter in the brain).  The rate-limiting enzyme that catalyzes this conversion is L-glutamic acid decarboxylase (GAD).  Being a 3-substituted GABA, gabapentin and especially pregabalin, may have the ability to activate GAD
  • 34.
    MOA 2: GABAPENTIN The voltage-gated calcium channels (VGCCs) are essential in regulating Ca2 signaling, which is associated with many important cellular events such as the release of excitatory glutamate neurotransmitters, the plasticity changes of long- term potentiation in learning and memory, and the maintenance of homeostasis of nerve cells.  It has been suggested that excessive influx of Ca2+ plays a critical role in the induction and progression of epileptic seizures  The high-threshold L-type Ca2 channels in the presynaptic glutaminergic receptors require strong depolarization for activation and are the primary molecular targets of gabapentin and pregabalin, both of which are effective in refractory partial seizures
  • 35.
    USE and ADR Indicated as an adjunct for use against partial seizures with or without secondary generalization in patients older than 12 years  As an adjunct for the treatment of partial seizures in children 3 to 12 years  Gabapentin is considered to be a first line drug for pain due to diabetic neuropathy and postherpetic neuralgia; has some prophylactic effect in migraine also.  Side effects are mild sedation, tiredness, dizziness and unsteadiness.
  • 37.
    Drugs effective againstabsence seizures  Drugs that are effective against absence seizures include the five-membered ureides, the oxazolidinediones and the succinimides  A small structural difference between the ring N (hydantoins), ring O (Oxazolidinediones) and ring CH2 (methylene and succinimides) results in switching fromAEDs effective against partial and generalized tonic-clonic seizures to those effective against absence seizures.
  • 38.
    Oxazoilidinedione derivatives: Trimethadione, Paramethadione Replacement of the -NH group at position 1 of the hydantoin systems with oxygen atom yields the oxazolidine-2,4-dione system, trimethadione is only clinically used.
  • 39.
    SAR ➢ Replacement ofthe -NH group at position 1 of the hydantoin system with an oxygen atom yields the oxazolidine-2,4-dione system. ➢ 3,5,5-Trimethadione (tridione) was the first drug introduced specifically for treating absence seizures. It is also important as a prototype structure. ➢ The nature of the substituent on C-5 is important, example, lower alkyl substituents towards antipetitmal activity while acyl substituents towards antigrandmal activity. ➢ The N-alkyl substituent does not alter or afford the activity since all the clinically used agents from this class undergo N-dealkylation in metabolism.
  • 40.
    Trimethadione  It isfirst drug introduced specifically for treating absence seizures. It is important as a prototype structure for anti absence seizure compounds.  Trimethadione is a prodrug and is metabolized by N-demethylation to dimethadione  It is used as an antipetitmal agent.  ADR: It causes nephrosis, aplastic anaemia and bone marrow depression.
  • 41.
  • 42.
    Succinimides: Ethosuximide  Drugof choice for treatment of absence seizures.  Not effective against partial complex or tonic clonic seizures and can increase the frequency of grandmal attacks.  ADR: Dose-related side effects are gastrointestinal intolerance, tiredness, mood changes, agitation,headache, drowsiness and inability to concentrate.  Hypersensitivity reactions like rashes, Discoid Lupus Erythmatosus and blood dyscrasias are rare.
  • 44.
  • 45.
    SAR: Succinimides  Theactivity of antiepileptic agents, such as the oxazolidine 2,4-dione with substituted succinamides (CH2 replace O) was logical choice for synthesis and evaluation.  N-demethylation occurs to yield the active metabolite.  Both phensuximide and theN-demethyl metabolite are inactivated by p- hydroxylation and conjugation.
  • 46.
    Urea: Phenacemide 1.Among aliphaticacetyl ureas the highest anticonvulsant activity is found in those derived from the branched chain acids of about 7-carbon atoms. 2.With a further increase in molecular weight the anticonvulsant activity gradually terminates and hypnotic effect predominates. 3. Phenacemide is a most active agent among the aromatic acetyl urea. 4.Any substitution in nitrogen of phenacemide does not increase further the anticonvulsant activity. 5.The activity decreases with aromatic substituents of phenacemide with a gradual increase in hypnotic activity.
  • 47.
    Phenacemide  Used mainlyin psychomotor epilepsy.
  • 48.
    Misc: Primidone, Valproicacid  Primidone A deoxybarbiturate, converted by liver to phenobarbitone and phenylethyl malonamide (PEMA).  Primidone is the 2-deoxy derivative of phenobarbital  Used for initial or adjunctive treatment of simple partial, complex partial, and tonic clonic seizures.  Shares antisedative and sedative actions of phenobarbital.
  • 49.
    Valproic acid  Itis a branched chain aliphatic carboxylic acid with a broad spectrum anticonvulsant action. It is more potent in blocking PTZ seizures  Generally well tolerated, but its use is limited by two rare but significant toxic side effects (hepatotoxicity and teratogenicity) that can be dose-dependent or idiosyncratic in nature  It is effective in partial seizures as well as absence seizures.Valproic acid is the drug of choice for absence seizures.  Mode of action: Valproate produces reduction in calcium channel influx and it also prolongs the transient activation time of inactivated sodium channels.Another potential mechanism contributed is to involve in the metabolism of GABA, which is an inhibitory neurotransmitter, by stimulating the GABA synthetic enzyme glutamic acid decarboxylase and inhibits the GABA degradative enzyme GABA transaminase
  • 50.
    Felbamate ❑Felbamate, potent andeffective AED with a broad spectrum of action, is a carbamate ester of 2-phenyl-1, 3- propanediol, structurally similar to the anxiolytic drug meprobamate. ❑The carbamate ester is stable to esterases and therefore provides good oral bioavailability. ❑Used for severe refractory seizures, either partial, myoclonic or atonic or in Lennox-Gastaut syndrome ❑Toxicity– Rare occurrence of aplastic anemia and severe hepatotoxicity.