ANTINEOPLASTIC AGENTS
Dr. Pravin N. Khatale
Professor
Dept.of PharmaceuticalChemistry
Dr. RajendraGodeInstituteof Pharmacy, Amravati.
Email:pnkhatale@gmail.com
Anti-cancer compounds / Antineoplastic Agents
Neoplasm: New and diseased form of tissue growth
Benign (godartet) neoplasm: Easy to separate from surounding tissue,
no metastases
Malign (ondartet) neoplasm: Invassive to surounding tissue
Metastases Cancer
Metastase: Secondary tumors, different location
Malign cells separated from primary tumor
and spread by vascular- or lymph systh.
Terminology differents types of cancer confusing
Types of tumors
1.Carcinoma- Epithelial origin
2.Sarcoma- Mesenchymal origin
3.Undefferntiated malignant tumors
Classification of tumors
A. Carcinoma
1. Squamous cell carcinoma
2. Transitional cell carcinoma
3. Glandular epithelium –
Adenocarcinoma
4. Basal cell carcinoma
5. Melanoma
6. Hepatoma
7. Choriocarcinoma
B. Sarcoma
1. Adipose tissue- Liposarcoma
2. Adult fibrous tissue-
Fibrocarcinoma
3. Cartilage- Chondrosarcoma
4. Bone- Osteosarcoma
5. Haematopoietic cells- Leukaemias
6. Nerve cells- Neuroblastoma
7. Lymphoid tissue- Malignant
lymphomas
C. Mixed tumors
Salivary gland – Malignant mixed
salivary tumor
The cell life cycle
1. a phase that precedes DNA synthesis (G1)
2. a DNA synthetic phase (S)
3. an interval following the termination of
DNA synthesis (G2)
4. the mitotic phase (M) in which the cell,
containing a double complement of DNA,
divides into two daughter G1 cells
5. a probability of moving into a quiescent
state (G0) and failing to move forward for
long periods of time
Cell cycle: Proliferating cells
G1: Newly born cell
Short period proliferating cells
S: Replication of DNA
G2:
M: Mitosis
G0: Non-proliferating cell
Quiesence
Cell death
Mitosis: Step in the cell
cycle where newly
formed DNA is
separated and two new
cells are formed
Prophase
Metaphase
Anaphase Telophase
DNA and DNA replication
DNA bases
Double a-helix
HN
N
O
O
Thymin
N
N
NH2
O
Cytosin Adenine
N
N N
N
NH2
Guanine
HN
N N
N
O
H2N
Alkylating Agents
• Mechanism of Action
• Drugs contain alkyl group in their chemical structure.
The specific type of chemical bonding with DNA occurs
alkylation.
• The N7 of guanine is main target for alkylation in DNA
(alkylation of adenosine or cytosine also occurs to lesser
degree)
• Bifunctional agent= react with two groups cause intra-
or inter chain cross linking
• After alkylation, DNA is unable to replicate and therefore
can no longer synthesize proteins and other essential cell
metabolites.
Pharmacology ofAlkylating agent
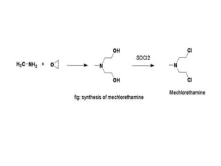
• Mechlorethamine
• Highly reactive, therefore nonselective, making it unsutaible for oral
administration and necessitating direct injection in to the tumor.
• Mechlorethamine
• In case of extravasation (Drug escapes from the tumor in to the
underlying tumor), the antidote sodium thiosulphate (Na2S2O3), a strong
nucleophile may be administered.
 The lack of selectivity of mechlorethamine leads to attempt
to improve on agent. One rationale was reduce the
reactivity by reducing nucleophilicity of nitrogen, thereby
slowing aziridium cation formation. This could be
accomplished by replacement of the weakly electron-
donating groups with groups that are electron
withdrawing. This is seen in case of Chlorambucil and
Mephalan by attachment of nitrogen to a phenyl ring.
Reactivity was reduced such that these compounds could
be administered orally.
Cyclophosphamide
Most commonly used alkylating agent
It is inactive until metabolized in the
liver by the P450 mixed function
oxidases.
It has a pronounced effect on
lymphocytes and can be used as an
immunosuppressant.
Given by orally, i.v, im
Uses
Used in treatment of
lymphomas, ,
In Burkitt’s lymphoma, myeloma,
chronic leukemias.
ADR:‐ Nausea ,vomiting, bone
marrow depression and
haemorrhagic cystitis
(inflammation of urinary bladder)
Thiotepa
 The early success of nitrogen mustards led
researcher to investigate other compounds that
contain preformed aziridine ring, and Thiotepa
resulted from this work.
 Thiotepa containing the thiophosporamide
functionality was found more stable than oxa
analog (TEPA) but is metabolically converted to
TEPA by desulfuration in vivo.
 The adjacent thiophosphoryl is electron
withdrawing and therefore, reduces the reactivity
of aziridium ring system.
Busulfan
 As an alternative to utilizing aziridium as
electrophile species, it was found that simply
utilizing a carbon chain terminated at both ends by
leaving groups gave compounds capable of acting
as cross-linking agents.
 Busulfan utilizes two sulfonate functionalities as
leaving groups separated by a four carbon chain
that reacts with DNS primarily form intrastrand
cross link at 5’-GA-3’ sequences.
 The sulfonates are subject to displacement by the
sulfhydrl functions found in cysteine and
glutathione
Busulphan
It has selective effect on bone marrow, depresses the
formation of granulocytes and platelets in low dosage and
red cells in higher dosage. In high doses, it produces a rare
but sometimes fatal pulmonary fibrosis, ”busulfan lung”.
No effect on lymphoid tissue or the gastrointestinal tract.
It is used in chronic granulocytic leukemia.
 Metabolized in liver to mainly methane sulfonic acid by the
action of glutathione-S-transferase
Metabolites are excreted primarily in the urine
 CISPLATIN
.
 After administration dichloro species is maintained in the
blood stream as a result of relatively high chloride
concentration.
 Once inside the tumor cell , the drug encounters the low
chloride concentration and one choro group is substituted
with water molecule in a process known as aquation
Pharmacokinetics
Cisplatin is given by slow
intravenous injection or
infusion.
Clinical uses (solid tumors)
Lung cancer, esophageal &
gastric cancer, head & neck
cancer & genitourinary
cancers (testicular, ovarian &
bladder)
Adverse Effects
It is seriously nephrotoxic
It has low myelotoxicity , very severe nausea and
vomiting.
Ondansetron (5HT3 antagonist)=effective to reduce
nausea & vomiting
Tinnitus and hearing loss in the high frequency
range, peripheral neuropathies, hyperuricaemia
and anaphylactic reactions.
• Antimetabolites are compounds closely related in
structure to a cellular precursor molecule to
interact with the normal cellular process but differ
in a manner sufficient to alter the outcomes of that
pathway.
• Most antimetabolites are effective cancer
chemotherapeutic agent via interaction with the
biosynthesis of nucleic acid.
• Therefore, several of the drugs used in
antimetabolite therapy are purines, pyrimidines,
folates and related compounds.
Antimetabolites
Classification of Antimetabolites
a)Folic acid antagonists e.g. Methotrexate
b)Pyrimidine Analogues e.g. 5-Fluorouracil, Cytarabine &
Floxuridine
a)Purine Analogues e.g., 6-mercaptopurine & Thioguanine
Purine and pyrimidine antimetabolites are often
compounds incorporated into nucleic acids and the nucleic
acid polymers (DNA, RNA, etc.)
Antifolates are compounds designed to interact at cofactor
sites for enzymes involved in the biosynthesis of nucleic acid
bases.
Methotrexate (Mtx)
1. Methotrexate is an inhibitor of dihydrofolate reductase
(DHFR).
2. Methotrexate inhibits the binding of the substrate folic acid to
the enzyme DHFR, resulting in reductions in the synthesis of
nucleic acid bases.
Methotrexate
Folic acid
Uses
1.Methotrexate is effective in choriocarcinoma, acute leukemias,
non-Hodgkin's and primary central nervous system lymphomas,
and a number of solid tumors, including breast cancer, head and
neck cancer, and bladder cancer.
2.Methotrexate is used also in rheumatoid arthritis psoriasis and
ectopic pregnancy. Methotrexate enhances, 5-FU antitumor
effects given 24 hours prior.
The majority of drug dosage is excreted unchanged in the urine.
Toxicity: Myelosuppression, mucosistis, nausea, vomiting,
severe headache, renal toxicity, skin rash & hyperpignentation
Dose: 50, 100, 200 & 1000 ml vials for IV use.
Pyrimidine Drugs
5-Fluorouracil
Cytarabine
Floxuridine
5-Flurouracil-Mechanism of action
 5-Flurouracil is activated by conversion to the
corresponding nucleotide species, 5-fluoro-2-
deoxyuridylic acid monophosphate . The resulting 5-
fluoro-2-deoxyuridylic acid monophosphate (5-FdUMP) is
a powerful inhibitor of thymidylate synthetase (TS), the
enzyme that converts 2-deoxyuridylic acid to thimidilyc
acid.
 Thus 5-FU blocks conversion of uridine to thymidine.
 Incorporation of (5-FdUMP) into DNA inhibits DNA
synthesis and function .
 While incorporation of 5-fluorouridine-5'-triphosphate
(FUTP), another 5-FU metabolite, into RNA interferes with
RNA processing and function.
TS is responsible for the reductive methylation of deoxyuridine
monophosphate (dUMP) by 5, 10- methylene tetrahydrofolate to yield
deoxythymidine monophosphate (dTMP) & dihydrofolate.
TS enzyme plays important role in replication and cell division
Fluorouracil is usually
given parenterally.
Clinical uses:‐
combination regimens
in the treatment of
breast cancer, palliative
treatment of
gastrointestinal
adenocarcinomas.
ADR:‐ GIT epithelial
damage , myelotoxicity.
Purine Drugs
6-Mercaptopurine Thioguanine
The design of antimetabolite based on purine structure began
with isosteric thiol/sulfhydryl Group to replace the 6-hydroxyl
group of hypoxanthine and guanine. One of the early success
was 6-mercaptopurine (6-MP), the thiol analog of
hypoxanthine.
Mechanism of action of 6-mercaptopurine
 The mechanism of action includes incorporation
of mercaptopurine into DNA and RNA via the
triphosphate metabolite.
 This incorporation inhibits synyhesis and function
of the resulting modified DNA or RNA.
 Activated 6-MP is a potent inhibitor of an early
step in basic purine biosynthesis.
IMPDH: Inosine Monophosphate
Dehydrogenase
• 6-MP requires bioactivation to its ribonucleotide, 6-
thioinosinate (6-MPMP) by the enzyme Hypoxanthine-
guanine phosphoribosyltransferase (HGPRT).
• Allopurinol can enhance the potency 0f mercaptopurine
inhibiting xanthine oxidase
• Primary use in treatment of lymphoblastic leukemia and
Crohn disease. Available as 50 mg tablet for oral use
– The mechanism of action involves, incorporation of the
triphosphate in to DNA and RNA, resulting in inhibition of
processing and function. Intracellular phosphorylation is required
for activity and inhibition of purine biosynthesis.
– Thioguanine is used to treat acute nonlymphocytic leukemia.
– The drug is available in 40mg tablet for oral use.
– Major metabolic pathway involve deamination or methylation.
– Thioguanine is not substrate for Xanthine oxidase in contrast to 6-
MP
– Toxicity include myelosuppression, imunosupression, nausea,
vomiting, mucositis, and diarrhea.
Thioguanine
Antibiotics
• Both antibiotics and natural product
classes have multiple inhibitory effects
on cell growth; however they primarily
act to disrupt DNA function and cell
division.
• These agents target DNA by several
mechanism, including intercalation,
alkylation and strand breakage either
directly or as a result of enzyme
inhibition.
• Intercalation: Is a process by which a
planar molecule of the appropriate size
inserts itself between adjacent base pair of
DNA and in so doing, it causes a local
unwinding that may disrupt the normal
template function of DNA.
• Intercalation occurs by the overlap of p-
orbitals of the intercalator and the base pair.
• Intercalator result in inhibition of
topoisomerase enzyme responsible for the
unwinding and relaxation of DNA so that
transcription may occur
ACTINOMYCINS
The actinomycins are group of compounds
that are isolated from various species of
Streptomyces, all of which contain the same
phenoxazone chromophore but differs in
attached peptide portion.
DACTINOMYCIN
• Dactinomycin contains identical
pentapeptides bound through an linkage
amide utilizing the amino group of L-
threonine with carbonyls at position 1 &9
MOA of Dactinomycin
• Dactinomycin binds noncovalently to
double-stranded DNA by partial
intercalation between adjacent guanine-
cytosine bases resulting in inhibition of
DNA function.
• Planar phenoxazone facilitates intercalation
between DNA base pairs.
• The primary effect of this interaction is the
inhibition of DNA-directed RNA synthesis
and specifically RNA polymerase
Intercalation By Dactinomycin
Dactinomycin
• Dactinomycin is available in vials containing
0.5 mg of drug.
• Most effective in the treatment of
rhabdomyosarcoma and Wilms tumor in
children as well as in the treatment of
choriocarcinoma, Ewing sarcoma, Kaposi
sarcoma and testicular sarcoma.
• Excreted unchanged in urine and bile.
• Side effect: Myelosuppression, nausea,
vomiting, mucositis, diarrhea & hair loss
Anthracyclines
• The anthracyclines antibiotics are
characterized by a planer oxidized
anthracene nucleus fused to a cyclohexane
ring that is subsequently connected via
glyosidic linkage to an amino sugar.
• Initially discovered in 1960, isolated from
Streptomyces peucetius.
• E.g. Doxorubicin, Daunorubicin.
Doxorubicin
Daunorubicin
MOA of Doxorubicin & Daunorubicin
• Accepted mechanism involves
intercalation followed by inhibition of
topoisomerase II resulting in strand
breakage leading to apoptosis.
• The anthracyclines are considered specific
for S phase of the cell cycle.
• Doxorubicin and Daunorubicin forms
hydrogen bonding between O-9 of the
anthracyclines and N-2 & N-3 of guanine.
DOXORUBICIN
• Used in treatment of leukemia, soft and bone
tissue sarcoma, Wilms tumor, neuroblastoma,
small cell lung cancer, ovarian and testicular
cancer.
• Metabolism involves reduction of C-13 ketone
to yield doxorubicinol (active) along with
cleavage of amino sugar to give the aglycone.
• The primary route of elimination is bile and
faces
• Toxicity: Cardiotoxicity & Myelosuppression.
DAUNORUBICIN
• Used in treatment of acute nonlymphocytic &
lymphocytic leukemia.
• Metabolism involves reduction of C-13 ketone
to yield daunorubicinol (active) along with
cleavage of amino sugar to give the aglycone.
• The primary route of elimination is bile and
faces
• Toxicity: Cardiotoxicity & Myelosuppression.
Bleomycin
• Bleomycin is a glycopeptide antibiotic complex
isolated from Streptomyces verticillus.
• Bleomycin binds Fe+2 through multiple
interactions with amino terminal end of the
peptide chain.
• The drug then binds to guanosine-cytosine-
rich portions of DNA via association of the
"S" tripeptide and by partial intercalation of
the bithiazole rings.
• DNA- Bleomycin-Fe+2 complex undergo
oxidation, the release electrons react with
oxygen to form hydroxyl radicals which
attack phosphodiesterase bond causing
chain fragmentation & release of bases.
• BLEOMYCIN
• Used in treatment of squamous cell
carcinoma of head, neck, cervix and vulva.
It is used in Hodgkin's and non-Hodgkin's
lymphoma.
• The majority of metabolite results from
hydrolysis of the amide at C-1 to give the
inactive carboxylic acid.
• The drug is primarily eliminated in the
kidneys with 60% to 70% of the drug
recovered in the urine unchanged
VINCAALKALOIDS
• The vinca alkaloids are extracted from the leaves
of Catharanthus roseus (Periwinkle) .
• The alkaloids are
composed of
catharanthine moiety
containing the indole
subunit and the
vindoline moiety containing the dihydroindole
subunit joined by a carbon-carbon bond.
Vincristine
Vincristine works partly by
binding to the tubulin protein,
stopping the tubulin dimers from
polymerizing to form
microtubules, causing the cell to
be unable to separate
its chromosomes during
the metaphase.
The cell then
undergoes apoptos
is
.
Vincristine & Vinblastine
• Vincristine is delivered
via intravenous infusion for use in various
types of chemotherapy regimens.[3] Its main
uses are in non-Hodgkin's lymphoma
• The main side effects of vincristine
are chemotherapy-induced peripheral
neuropathy, hyponatremia, constipation,
and hair loss

Anticancer compounds.ppt

  • 1.
    ANTINEOPLASTIC AGENTS Dr. PravinN. Khatale Professor Dept.of PharmaceuticalChemistry Dr. RajendraGodeInstituteof Pharmacy, Amravati. Email:pnkhatale@gmail.com
  • 2.
    Anti-cancer compounds /Antineoplastic Agents Neoplasm: New and diseased form of tissue growth Benign (godartet) neoplasm: Easy to separate from surounding tissue, no metastases Malign (ondartet) neoplasm: Invassive to surounding tissue Metastases Cancer Metastase: Secondary tumors, different location Malign cells separated from primary tumor and spread by vascular- or lymph systh. Terminology differents types of cancer confusing
  • 5.
    Types of tumors 1.Carcinoma-Epithelial origin 2.Sarcoma- Mesenchymal origin 3.Undefferntiated malignant tumors Classification of tumors A. Carcinoma 1. Squamous cell carcinoma 2. Transitional cell carcinoma 3. Glandular epithelium – Adenocarcinoma 4. Basal cell carcinoma 5. Melanoma 6. Hepatoma 7. Choriocarcinoma B. Sarcoma 1. Adipose tissue- Liposarcoma 2. Adult fibrous tissue- Fibrocarcinoma 3. Cartilage- Chondrosarcoma 4. Bone- Osteosarcoma 5. Haematopoietic cells- Leukaemias 6. Nerve cells- Neuroblastoma 7. Lymphoid tissue- Malignant lymphomas C. Mixed tumors Salivary gland – Malignant mixed salivary tumor
  • 6.
    The cell lifecycle 1. a phase that precedes DNA synthesis (G1) 2. a DNA synthetic phase (S) 3. an interval following the termination of DNA synthesis (G2) 4. the mitotic phase (M) in which the cell, containing a double complement of DNA, divides into two daughter G1 cells 5. a probability of moving into a quiescent state (G0) and failing to move forward for long periods of time
  • 7.
    Cell cycle: Proliferatingcells G1: Newly born cell Short period proliferating cells S: Replication of DNA G2: M: Mitosis G0: Non-proliferating cell Quiesence Cell death Mitosis: Step in the cell cycle where newly formed DNA is separated and two new cells are formed
  • 9.
  • 10.
    DNA and DNAreplication DNA bases Double a-helix HN N O O Thymin N N NH2 O Cytosin Adenine N N N N NH2 Guanine HN N N N O H2N
  • 17.
    Alkylating Agents • Mechanismof Action • Drugs contain alkyl group in their chemical structure. The specific type of chemical bonding with DNA occurs alkylation. • The N7 of guanine is main target for alkylation in DNA (alkylation of adenosine or cytosine also occurs to lesser degree) • Bifunctional agent= react with two groups cause intra- or inter chain cross linking • After alkylation, DNA is unable to replicate and therefore can no longer synthesize proteins and other essential cell metabolites.
  • 19.
  • 21.
    • Mechlorethamine • Highlyreactive, therefore nonselective, making it unsutaible for oral administration and necessitating direct injection in to the tumor.
  • 22.
    • Mechlorethamine • Incase of extravasation (Drug escapes from the tumor in to the underlying tumor), the antidote sodium thiosulphate (Na2S2O3), a strong nucleophile may be administered.
  • 23.
     The lackof selectivity of mechlorethamine leads to attempt to improve on agent. One rationale was reduce the reactivity by reducing nucleophilicity of nitrogen, thereby slowing aziridium cation formation. This could be accomplished by replacement of the weakly electron- donating groups with groups that are electron withdrawing. This is seen in case of Chlorambucil and Mephalan by attachment of nitrogen to a phenyl ring. Reactivity was reduced such that these compounds could be administered orally.
  • 24.
    Cyclophosphamide Most commonly usedalkylating agent It is inactive until metabolized in the liver by the P450 mixed function oxidases. It has a pronounced effect on lymphocytes and can be used as an immunosuppressant. Given by orally, i.v, im Uses Used in treatment of lymphomas, , In Burkitt’s lymphoma, myeloma, chronic leukemias. ADR:‐ Nausea ,vomiting, bone marrow depression and haemorrhagic cystitis (inflammation of urinary bladder)
  • 26.
    Thiotepa  The earlysuccess of nitrogen mustards led researcher to investigate other compounds that contain preformed aziridine ring, and Thiotepa resulted from this work.  Thiotepa containing the thiophosporamide functionality was found more stable than oxa analog (TEPA) but is metabolically converted to TEPA by desulfuration in vivo.  The adjacent thiophosphoryl is electron withdrawing and therefore, reduces the reactivity of aziridium ring system.
  • 28.
    Busulfan  As analternative to utilizing aziridium as electrophile species, it was found that simply utilizing a carbon chain terminated at both ends by leaving groups gave compounds capable of acting as cross-linking agents.  Busulfan utilizes two sulfonate functionalities as leaving groups separated by a four carbon chain that reacts with DNS primarily form intrastrand cross link at 5’-GA-3’ sequences.  The sulfonates are subject to displacement by the sulfhydrl functions found in cysteine and glutathione
  • 30.
    Busulphan It has selectiveeffect on bone marrow, depresses the formation of granulocytes and platelets in low dosage and red cells in higher dosage. In high doses, it produces a rare but sometimes fatal pulmonary fibrosis, ”busulfan lung”. No effect on lymphoid tissue or the gastrointestinal tract. It is used in chronic granulocytic leukemia.  Metabolized in liver to mainly methane sulfonic acid by the action of glutathione-S-transferase Metabolites are excreted primarily in the urine
  • 31.
     CISPLATIN .  Afteradministration dichloro species is maintained in the blood stream as a result of relatively high chloride concentration.  Once inside the tumor cell , the drug encounters the low chloride concentration and one choro group is substituted with water molecule in a process known as aquation
  • 32.
    Pharmacokinetics Cisplatin is givenby slow intravenous injection or infusion. Clinical uses (solid tumors) Lung cancer, esophageal & gastric cancer, head & neck cancer & genitourinary cancers (testicular, ovarian & bladder)
  • 33.
    Adverse Effects It isseriously nephrotoxic It has low myelotoxicity , very severe nausea and vomiting. Ondansetron (5HT3 antagonist)=effective to reduce nausea & vomiting Tinnitus and hearing loss in the high frequency range, peripheral neuropathies, hyperuricaemia and anaphylactic reactions.
  • 34.
    • Antimetabolites arecompounds closely related in structure to a cellular precursor molecule to interact with the normal cellular process but differ in a manner sufficient to alter the outcomes of that pathway. • Most antimetabolites are effective cancer chemotherapeutic agent via interaction with the biosynthesis of nucleic acid. • Therefore, several of the drugs used in antimetabolite therapy are purines, pyrimidines, folates and related compounds. Antimetabolites
  • 35.
    Classification of Antimetabolites a)Folicacid antagonists e.g. Methotrexate b)Pyrimidine Analogues e.g. 5-Fluorouracil, Cytarabine & Floxuridine a)Purine Analogues e.g., 6-mercaptopurine & Thioguanine Purine and pyrimidine antimetabolites are often compounds incorporated into nucleic acids and the nucleic acid polymers (DNA, RNA, etc.) Antifolates are compounds designed to interact at cofactor sites for enzymes involved in the biosynthesis of nucleic acid bases.
  • 36.
    Methotrexate (Mtx) 1. Methotrexateis an inhibitor of dihydrofolate reductase (DHFR). 2. Methotrexate inhibits the binding of the substrate folic acid to the enzyme DHFR, resulting in reductions in the synthesis of nucleic acid bases. Methotrexate Folic acid
  • 38.
    Uses 1.Methotrexate is effectivein choriocarcinoma, acute leukemias, non-Hodgkin's and primary central nervous system lymphomas, and a number of solid tumors, including breast cancer, head and neck cancer, and bladder cancer. 2.Methotrexate is used also in rheumatoid arthritis psoriasis and ectopic pregnancy. Methotrexate enhances, 5-FU antitumor effects given 24 hours prior. The majority of drug dosage is excreted unchanged in the urine. Toxicity: Myelosuppression, mucosistis, nausea, vomiting, severe headache, renal toxicity, skin rash & hyperpignentation Dose: 50, 100, 200 & 1000 ml vials for IV use.
  • 40.
  • 41.
    5-Flurouracil-Mechanism of action 5-Flurouracil is activated by conversion to the corresponding nucleotide species, 5-fluoro-2- deoxyuridylic acid monophosphate . The resulting 5- fluoro-2-deoxyuridylic acid monophosphate (5-FdUMP) is a powerful inhibitor of thymidylate synthetase (TS), the enzyme that converts 2-deoxyuridylic acid to thimidilyc acid.  Thus 5-FU blocks conversion of uridine to thymidine.  Incorporation of (5-FdUMP) into DNA inhibits DNA synthesis and function .  While incorporation of 5-fluorouridine-5'-triphosphate (FUTP), another 5-FU metabolite, into RNA interferes with RNA processing and function.
  • 42.
    TS is responsiblefor the reductive methylation of deoxyuridine monophosphate (dUMP) by 5, 10- methylene tetrahydrofolate to yield deoxythymidine monophosphate (dTMP) & dihydrofolate. TS enzyme plays important role in replication and cell division
  • 45.
    Fluorouracil is usually givenparenterally. Clinical uses:‐ combination regimens in the treatment of breast cancer, palliative treatment of gastrointestinal adenocarcinomas. ADR:‐ GIT epithelial damage , myelotoxicity.
  • 46.
    Purine Drugs 6-Mercaptopurine Thioguanine Thedesign of antimetabolite based on purine structure began with isosteric thiol/sulfhydryl Group to replace the 6-hydroxyl group of hypoxanthine and guanine. One of the early success was 6-mercaptopurine (6-MP), the thiol analog of hypoxanthine.
  • 47.
    Mechanism of actionof 6-mercaptopurine  The mechanism of action includes incorporation of mercaptopurine into DNA and RNA via the triphosphate metabolite.  This incorporation inhibits synyhesis and function of the resulting modified DNA or RNA.  Activated 6-MP is a potent inhibitor of an early step in basic purine biosynthesis.
  • 48.
  • 49.
    • 6-MP requiresbioactivation to its ribonucleotide, 6- thioinosinate (6-MPMP) by the enzyme Hypoxanthine- guanine phosphoribosyltransferase (HGPRT). • Allopurinol can enhance the potency 0f mercaptopurine inhibiting xanthine oxidase • Primary use in treatment of lymphoblastic leukemia and Crohn disease. Available as 50 mg tablet for oral use
  • 50.
    – The mechanismof action involves, incorporation of the triphosphate in to DNA and RNA, resulting in inhibition of processing and function. Intracellular phosphorylation is required for activity and inhibition of purine biosynthesis. – Thioguanine is used to treat acute nonlymphocytic leukemia. – The drug is available in 40mg tablet for oral use. – Major metabolic pathway involve deamination or methylation. – Thioguanine is not substrate for Xanthine oxidase in contrast to 6- MP – Toxicity include myelosuppression, imunosupression, nausea, vomiting, mucositis, and diarrhea. Thioguanine
  • 53.
    Antibiotics • Both antibioticsand natural product classes have multiple inhibitory effects on cell growth; however they primarily act to disrupt DNA function and cell division. • These agents target DNA by several mechanism, including intercalation, alkylation and strand breakage either directly or as a result of enzyme inhibition.
  • 54.
    • Intercalation: Isa process by which a planar molecule of the appropriate size inserts itself between adjacent base pair of DNA and in so doing, it causes a local unwinding that may disrupt the normal template function of DNA. • Intercalation occurs by the overlap of p- orbitals of the intercalator and the base pair. • Intercalator result in inhibition of topoisomerase enzyme responsible for the unwinding and relaxation of DNA so that transcription may occur
  • 55.
    ACTINOMYCINS The actinomycins aregroup of compounds that are isolated from various species of Streptomyces, all of which contain the same phenoxazone chromophore but differs in attached peptide portion.
  • 56.
    DACTINOMYCIN • Dactinomycin containsidentical pentapeptides bound through an linkage amide utilizing the amino group of L- threonine with carbonyls at position 1 &9
  • 57.
    MOA of Dactinomycin •Dactinomycin binds noncovalently to double-stranded DNA by partial intercalation between adjacent guanine- cytosine bases resulting in inhibition of DNA function. • Planar phenoxazone facilitates intercalation between DNA base pairs. • The primary effect of this interaction is the inhibition of DNA-directed RNA synthesis and specifically RNA polymerase
  • 58.
  • 59.
    Dactinomycin • Dactinomycin isavailable in vials containing 0.5 mg of drug. • Most effective in the treatment of rhabdomyosarcoma and Wilms tumor in children as well as in the treatment of choriocarcinoma, Ewing sarcoma, Kaposi sarcoma and testicular sarcoma. • Excreted unchanged in urine and bile. • Side effect: Myelosuppression, nausea, vomiting, mucositis, diarrhea & hair loss
  • 60.
    Anthracyclines • The anthracyclinesantibiotics are characterized by a planer oxidized anthracene nucleus fused to a cyclohexane ring that is subsequently connected via glyosidic linkage to an amino sugar. • Initially discovered in 1960, isolated from Streptomyces peucetius. • E.g. Doxorubicin, Daunorubicin.
  • 61.
  • 62.
    MOA of Doxorubicin& Daunorubicin • Accepted mechanism involves intercalation followed by inhibition of topoisomerase II resulting in strand breakage leading to apoptosis. • The anthracyclines are considered specific for S phase of the cell cycle. • Doxorubicin and Daunorubicin forms hydrogen bonding between O-9 of the anthracyclines and N-2 & N-3 of guanine.
  • 64.
    DOXORUBICIN • Used intreatment of leukemia, soft and bone tissue sarcoma, Wilms tumor, neuroblastoma, small cell lung cancer, ovarian and testicular cancer. • Metabolism involves reduction of C-13 ketone to yield doxorubicinol (active) along with cleavage of amino sugar to give the aglycone. • The primary route of elimination is bile and faces • Toxicity: Cardiotoxicity & Myelosuppression.
  • 65.
    DAUNORUBICIN • Used intreatment of acute nonlymphocytic & lymphocytic leukemia. • Metabolism involves reduction of C-13 ketone to yield daunorubicinol (active) along with cleavage of amino sugar to give the aglycone. • The primary route of elimination is bile and faces • Toxicity: Cardiotoxicity & Myelosuppression.
  • 66.
    Bleomycin • Bleomycin isa glycopeptide antibiotic complex isolated from Streptomyces verticillus.
  • 67.
    • Bleomycin bindsFe+2 through multiple interactions with amino terminal end of the peptide chain. • The drug then binds to guanosine-cytosine- rich portions of DNA via association of the "S" tripeptide and by partial intercalation of the bithiazole rings. • DNA- Bleomycin-Fe+2 complex undergo oxidation, the release electrons react with oxygen to form hydroxyl radicals which attack phosphodiesterase bond causing chain fragmentation & release of bases.
  • 69.
    • BLEOMYCIN • Usedin treatment of squamous cell carcinoma of head, neck, cervix and vulva. It is used in Hodgkin's and non-Hodgkin's lymphoma. • The majority of metabolite results from hydrolysis of the amide at C-1 to give the inactive carboxylic acid. • The drug is primarily eliminated in the kidneys with 60% to 70% of the drug recovered in the urine unchanged
  • 70.
    VINCAALKALOIDS • The vincaalkaloids are extracted from the leaves of Catharanthus roseus (Periwinkle) . • The alkaloids are composed of catharanthine moiety containing the indole subunit and the vindoline moiety containing the dihydroindole subunit joined by a carbon-carbon bond.
  • 71.
  • 72.
    Vincristine works partlyby binding to the tubulin protein, stopping the tubulin dimers from polymerizing to form microtubules, causing the cell to be unable to separate its chromosomes during the metaphase. The cell then undergoes apoptos is .
  • 73.
    Vincristine & Vinblastine •Vincristine is delivered via intravenous infusion for use in various types of chemotherapy regimens.[3] Its main uses are in non-Hodgkin's lymphoma • The main side effects of vincristine are chemotherapy-induced peripheral neuropathy, hyponatremia, constipation, and hair loss