Rola Ajjawi & Karen Barton 
Centre for Medical Education 
Gwyneth Hughes, Institute of Education, London.
If you wanted to make sure your students did NOT receive and act on your feedback what would you do?
Overview of session 
•JISC project introductions 
•Why analyse feedback? 
•2 Tools for analysing feedback from the IOE and Dundee 
•Applying each tool at the IOE and Dundee 
•Resulting feedback profiles and audits 
•Benefits of feedback profiling and some challenges
Project Introductions 
•Assessment Careers-Institute of Education http://www.ioe.ac.uk/assessmentcareers 
•http://youtu.be/VSaGbPoXPh0 
•Interactive Assessment and Collaboration via Technology (InterACT) http://blog.dundee.ac.uk/interact/ 
•http://www.youtube.com/watch?v=S5bBFEbXDD0
Why analyse feedback? 
Which is the main reason why you might analyse feedback? 
A Widely inconsistent practice in feedback 
B Lack of learner engagement with and understanding of feedback 
C High teacher effort - low efficiency 
D Transmitted feedback creates dependency on teacher 
E NSS scores Result of the poll:
Feedback categories 
•Giving praise (P1) 
•Recognising progress or ipsative feedback (P2) 
•Criticisms 
•Correction of errors (C1) 
•Factual criticisms (C2) 
•Criticism of approach (C3) 
•Giving advice 
•Specific (current assignment)(A1) 
•General (current assignment) (A2) 
•For future assignments (A3) 
•Clarifications (Q) 
•Unclassified statements (O) 
http://assessmentcareers.jiscinvolve.org/wp/about/ 
1. Focus of feedback? 
•Content 
•Style, format and language 
•Sources and references 2. Level of Feedback (Hattie & Timperley 2007) 
•Task 
•Process 
•Self-regulation 
•Self 3. Depth of feedback (Brown & Glover 2006) 
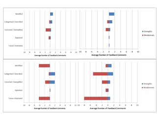
•Identified 
•Categorised/Described 
•Corrected/Exemplified 
•Explained 
•Future oriented http://blog.dundee.ac.uk/interact/ 
IOE 
Dundee
•Which categories are most helpful for student learning? 
•Giving praise (P1) 
•Recognising progress or ipsative feedback (P2) 
•Criticisms 
•Correction of errors (C1) 
•Factual criticisms (C2) 
•Criticism of approach (C3) 
•Giving advice 
•Specific (A1) 
•General (A2) 
•For future assignments (A3) 
•Clarifications (Q) 
•Unclassified statements (O) 
http://assessmentcareers.jiscinvolve.org/wp/about/ 
IOE 
Dundee 
1. Focus of feedback? 
•Content 
•Style, format and language 
•Sources and references 2. Level of Feedback (Hattie & Timperley 2007) 
•Task 
•Process 
•Self-regulation 
•Self 3. Depth of feedback (Brown & Glover 2006) 
•Identified 
•Categorised/Described 
•Corrected/Exemplified 
•Explained 
•Future oriented http://blog.dundee.ac.uk/interact/
•Giving praise (P1) 
•Recognising progress or ipsative feedback (P2) 
•Criticisms 
•Correction of errors (C1) 
•Factual criticisms (C2) 
•Criticism of approach (C3) 
•Giving advice 
•Specific (A1) 
•General (A2) 
•For future assignments (A3) 
•Clarifications (Q) 
•Unclassified statements (O) 
http://assessmentcareers.jiscinvolve.org/wp/about/ 
IOE 
Dundee 
•Does the context matter? 
1. Focus of feedback? 
•Content 
•Style, format and language 
•Sources and references 2. Level of Feedback (Hattie & Timperley 2007) 
•Task 
•Process 
•Self-regulation 
•Self 3. Depth of feedback (Brown & Glover 2006) 
•Identified 
•Categorised/Described 
•Corrected/Exemplified 
•Explained 
•Future oriented http://blog.dundee.ac.uk/interact/
Coding framework 
•The score is the number of times a classification appears in the feedback 
•The default unit for analysis was the sentence 
•Where a sentence contains clauses that make distinct points, it was split into separate clauses, each of which was classified separately. 
• Neutral comments that for example describe the piece of work, but do not make any judgement are unclassified 
IOE & Dundee
Dundee: Coding Examples 
-ve 
+ve 
Identified 
Poor 
Good 
Categorised / Described 
In which country? 
This is a good way of structuring a session 
Corrected / Exemplified 
This is not accurate – you may choose to read this article rather than rely on personal experience alone to support your teaching … 
A safe, supportive and challenging environment is important to get open and active dialogue and discussion 
Explained 
One of the problems with this type of format is that the respondent can easily look up the correct answers 
The pilot will allow you to see if the items are understood and the data is what you are looking for 
Future-orientated 
Do you encourage self and peer assessment? What would be the advantages and potential dangers of peer assessment in inter- professional learning? 
Agree – how easy is this in a self- orientated patient-centred health provider?
Samples tested 
•Formative and summative feedback for modules on 4 postgraduate programmes in Education and Psychology (171 samples) 
•Recorded the total number in each category and the average per script 
•Ranked the categories to obtain a feedback profile at programme level as well as an aggregate profile of the 4 programmes. 
Dundee 
IOE 
•Access database built to provide a simple interface for data entry which can be easily exported for further data manipulation 
•Random 5% sample of all summative assignments marked in 2011 (by assignment and tutor) was selected (140 samples) 
•Assignments retrieved from Blackboard 
•Recorded the total number in each category and average per tutor
Feedback analysis All assessments (n=171) 
No of occurrences 
Per script 
Rank 
P1 
Praise 
725 
4.2 
1 
P2 
Progress 
4 
0.0 
C1 
Criticism 
382 
2.2 
3 
C2 
263 
1.5 
4 
C3 
215 
1.3 
5 
A1 
Advice 
474 
2.8 
2 
A2 
182 
1.1 
7 
A3 
28 
0.2 
Q 
Clarification 
215 
1.3 
5 
O 
66 
0.4 
Results from the IOE 
Results from the poll:
Vote on whether or not this is expected 
No of occurrences 
Per script 
Rank 
P1 
Praise 
725 
4.2 
1 
P2 
Progress 
4 
0.0 
C1 
Criticism 
382 
2.2 
3 
C2 
263 
1.5 
4 
C3 
215 
1.3 
5 
A1 
Advice 
474 
2.8 
2 
A2 
182 
1.1 
7 
A3 
28 
0.2 
Q 
Clarification 
215 
1.3 
5 
O 
66 
0.4 
Results from the IOE
Feedback analysis All assessments (n=171) 
No of occurrences 
Per script 
Rank 
P1 
Praise 
725 
4.2 
1 
P2 
Progress 
4 
0.0 
C1 
Criticism 
382 
2.2 
3 
C2 
263 
1.5 
4 
C3 
215 
1.3 
5 
A1 
Advice 
474 
2.8 
2 
A2 
182 
1.1 
7 
A3 
28 
0.2 
Q 
Clarification 
215 
1.3 
5 
O 
66 
0.4
Feedback analysis All assessments (n=171) 
No of occurrences 
Per script 
Rank 
P1 
Praise 
725 
4.2 
1 
P2 
Progress 
4 
0.0 
C1 
Criticism 
382 
2.2 
3 
C2 
263 
1.5 
4 
C3 
215 
1.3 
5 
A1 
Advice 
474 
2.8 
2 
A2 
182 
1.1 
7 
A3 
For future assignments 
28 
0.2 
Q 
Clarification 
215 
1.3 
5 
O 
66 
0.4
Vote: Is this the profile you would want? 
No of occurrences 
Per script 
Rank 
P1 
Praise 
725 
4.2 
1 
P2 
Progress 
4 
0.0 
C1 
Criticism 
382 
2.2 
3 
C2 
263 
1.5 
4 
C3 
215 
1.3 
5 
A1 
Advice 
474 
2.8 
2 
A2 
182 
1.1 
7 
A3 
For future assignments 
28 
0.2 
Q 
Clarification 
215 
1.3 
5 
O 
66 
0.4
Dundee: Feedback audit results 
•140 assignments assessed 
–Main focus of feedback was content related (95%) 
–Main level of feedback was on the task (72%) 
–Positive and negative feedback was equal (51% vs. 49%) 
•Confirmed the wide variety in quantity and nature of feedback provided by tutors
Focus of feedback
Level of feedback
•Is this the profile you would want? 
•As programme leader or director would you expect this diversity?
Benefits of doing the audit 
•Raises awareness of quantity and quality of feedback provided individually and across the centre 
•Opportunity for faculty development 
•Objective measure of changes in feedback culture
Enablers and Challenges 
•Success factors 
–Workshop 
–Easy to use 
•Challenges 
–Categories overlap 
–Shift from grading to feedback 
Success factors 
•Discussion of codes 
•Double coding and negotiation of codes – establish inter-rater reliability 
•Having examples of codes Challenges 
•Difficulty in interpretation of codes and feedback 
•Workload 
What are other factors in other institutions? 
How could feedback profiling be implemented without funding? 
IOE 
Dundee
Why analyse feedback? 
Which is the main reason why you might analyse feedback? 
A Widely inconsistent practice in feedback 
B Lack of learner engagement with and understanding of feedback 
C High teacher effort - low efficiency 
D Transmitted feedback creates dependency on teacher 
E NSS scores
Any other questions?
References 
1.Brown, E. & Glover, C. (2006) Evaluating written feedback. in: B. C. & K. Klegg (Eds) Innovative assessment in higher education. London, Routledge), 81-91. 
2.Hattie, J. & Timperley, H. (2007) The Power of Feedback. Review of Educational Research, 77, 81-112. 
3.Hughes, G. (2011) Aiming for Personal Best: a Case for Introducing Ipsative Assessment in Higher Education Studies in Higher Education 36 (3): 353 – 367. 
4.Orsmond, P. & Merry, S. (2011) Feedback alignment: effective and ineffective links between tutors’ and students’ understanding of coursework feedback. Assessment & Evaluation in Higher Education. 36(2): 125-126.

Analysing feedback

  • 1.
    Rola Ajjawi &Karen Barton Centre for Medical Education Gwyneth Hughes, Institute of Education, London.
  • 2.
    If you wantedto make sure your students did NOT receive and act on your feedback what would you do?
  • 3.
    Overview of session •JISC project introductions •Why analyse feedback? •2 Tools for analysing feedback from the IOE and Dundee •Applying each tool at the IOE and Dundee •Resulting feedback profiles and audits •Benefits of feedback profiling and some challenges
  • 4.
    Project Introductions •AssessmentCareers-Institute of Education http://www.ioe.ac.uk/assessmentcareers •http://youtu.be/VSaGbPoXPh0 •Interactive Assessment and Collaboration via Technology (InterACT) http://blog.dundee.ac.uk/interact/ •http://www.youtube.com/watch?v=S5bBFEbXDD0
  • 5.
    Why analyse feedback? Which is the main reason why you might analyse feedback? A Widely inconsistent practice in feedback B Lack of learner engagement with and understanding of feedback C High teacher effort - low efficiency D Transmitted feedback creates dependency on teacher E NSS scores Result of the poll:
  • 6.
    Feedback categories •Givingpraise (P1) •Recognising progress or ipsative feedback (P2) •Criticisms •Correction of errors (C1) •Factual criticisms (C2) •Criticism of approach (C3) •Giving advice •Specific (current assignment)(A1) •General (current assignment) (A2) •For future assignments (A3) •Clarifications (Q) •Unclassified statements (O) http://assessmentcareers.jiscinvolve.org/wp/about/ 1. Focus of feedback? •Content •Style, format and language •Sources and references 2. Level of Feedback (Hattie & Timperley 2007) •Task •Process •Self-regulation •Self 3. Depth of feedback (Brown & Glover 2006) •Identified •Categorised/Described •Corrected/Exemplified •Explained •Future oriented http://blog.dundee.ac.uk/interact/ IOE Dundee
  • 7.
    •Which categories aremost helpful for student learning? •Giving praise (P1) •Recognising progress or ipsative feedback (P2) •Criticisms •Correction of errors (C1) •Factual criticisms (C2) •Criticism of approach (C3) •Giving advice •Specific (A1) •General (A2) •For future assignments (A3) •Clarifications (Q) •Unclassified statements (O) http://assessmentcareers.jiscinvolve.org/wp/about/ IOE Dundee 1. Focus of feedback? •Content •Style, format and language •Sources and references 2. Level of Feedback (Hattie & Timperley 2007) •Task •Process •Self-regulation •Self 3. Depth of feedback (Brown & Glover 2006) •Identified •Categorised/Described •Corrected/Exemplified •Explained •Future oriented http://blog.dundee.ac.uk/interact/
  • 8.
    •Giving praise (P1) •Recognising progress or ipsative feedback (P2) •Criticisms •Correction of errors (C1) •Factual criticisms (C2) •Criticism of approach (C3) •Giving advice •Specific (A1) •General (A2) •For future assignments (A3) •Clarifications (Q) •Unclassified statements (O) http://assessmentcareers.jiscinvolve.org/wp/about/ IOE Dundee •Does the context matter? 1. Focus of feedback? •Content •Style, format and language •Sources and references 2. Level of Feedback (Hattie & Timperley 2007) •Task •Process •Self-regulation •Self 3. Depth of feedback (Brown & Glover 2006) •Identified •Categorised/Described •Corrected/Exemplified •Explained •Future oriented http://blog.dundee.ac.uk/interact/
  • 9.
    Coding framework •Thescore is the number of times a classification appears in the feedback •The default unit for analysis was the sentence •Where a sentence contains clauses that make distinct points, it was split into separate clauses, each of which was classified separately. • Neutral comments that for example describe the piece of work, but do not make any judgement are unclassified IOE & Dundee
  • 10.
    Dundee: Coding Examples -ve +ve Identified Poor Good Categorised / Described In which country? This is a good way of structuring a session Corrected / Exemplified This is not accurate – you may choose to read this article rather than rely on personal experience alone to support your teaching … A safe, supportive and challenging environment is important to get open and active dialogue and discussion Explained One of the problems with this type of format is that the respondent can easily look up the correct answers The pilot will allow you to see if the items are understood and the data is what you are looking for Future-orientated Do you encourage self and peer assessment? What would be the advantages and potential dangers of peer assessment in inter- professional learning? Agree – how easy is this in a self- orientated patient-centred health provider?
  • 11.
    Samples tested •Formativeand summative feedback for modules on 4 postgraduate programmes in Education and Psychology (171 samples) •Recorded the total number in each category and the average per script •Ranked the categories to obtain a feedback profile at programme level as well as an aggregate profile of the 4 programmes. Dundee IOE •Access database built to provide a simple interface for data entry which can be easily exported for further data manipulation •Random 5% sample of all summative assignments marked in 2011 (by assignment and tutor) was selected (140 samples) •Assignments retrieved from Blackboard •Recorded the total number in each category and average per tutor
  • 12.
    Feedback analysis Allassessments (n=171) No of occurrences Per script Rank P1 Praise 725 4.2 1 P2 Progress 4 0.0 C1 Criticism 382 2.2 3 C2 263 1.5 4 C3 215 1.3 5 A1 Advice 474 2.8 2 A2 182 1.1 7 A3 28 0.2 Q Clarification 215 1.3 5 O 66 0.4 Results from the IOE Results from the poll:
  • 13.
    Vote on whetheror not this is expected No of occurrences Per script Rank P1 Praise 725 4.2 1 P2 Progress 4 0.0 C1 Criticism 382 2.2 3 C2 263 1.5 4 C3 215 1.3 5 A1 Advice 474 2.8 2 A2 182 1.1 7 A3 28 0.2 Q Clarification 215 1.3 5 O 66 0.4 Results from the IOE
  • 14.
    Feedback analysis Allassessments (n=171) No of occurrences Per script Rank P1 Praise 725 4.2 1 P2 Progress 4 0.0 C1 Criticism 382 2.2 3 C2 263 1.5 4 C3 215 1.3 5 A1 Advice 474 2.8 2 A2 182 1.1 7 A3 28 0.2 Q Clarification 215 1.3 5 O 66 0.4
  • 15.
    Feedback analysis Allassessments (n=171) No of occurrences Per script Rank P1 Praise 725 4.2 1 P2 Progress 4 0.0 C1 Criticism 382 2.2 3 C2 263 1.5 4 C3 215 1.3 5 A1 Advice 474 2.8 2 A2 182 1.1 7 A3 For future assignments 28 0.2 Q Clarification 215 1.3 5 O 66 0.4
  • 16.
    Vote: Is thisthe profile you would want? No of occurrences Per script Rank P1 Praise 725 4.2 1 P2 Progress 4 0.0 C1 Criticism 382 2.2 3 C2 263 1.5 4 C3 215 1.3 5 A1 Advice 474 2.8 2 A2 182 1.1 7 A3 For future assignments 28 0.2 Q Clarification 215 1.3 5 O 66 0.4
  • 17.
    Dundee: Feedback auditresults •140 assignments assessed –Main focus of feedback was content related (95%) –Main level of feedback was on the task (72%) –Positive and negative feedback was equal (51% vs. 49%) •Confirmed the wide variety in quantity and nature of feedback provided by tutors
  • 18.
  • 19.
  • 22.
    •Is this theprofile you would want? •As programme leader or director would you expect this diversity?
  • 23.
    Benefits of doingthe audit •Raises awareness of quantity and quality of feedback provided individually and across the centre •Opportunity for faculty development •Objective measure of changes in feedback culture
  • 24.
    Enablers and Challenges •Success factors –Workshop –Easy to use •Challenges –Categories overlap –Shift from grading to feedback Success factors •Discussion of codes •Double coding and negotiation of codes – establish inter-rater reliability •Having examples of codes Challenges •Difficulty in interpretation of codes and feedback •Workload What are other factors in other institutions? How could feedback profiling be implemented without funding? IOE Dundee
  • 25.
    Why analyse feedback? Which is the main reason why you might analyse feedback? A Widely inconsistent practice in feedback B Lack of learner engagement with and understanding of feedback C High teacher effort - low efficiency D Transmitted feedback creates dependency on teacher E NSS scores
  • 26.
  • 27.
    References 1.Brown, E.& Glover, C. (2006) Evaluating written feedback. in: B. C. & K. Klegg (Eds) Innovative assessment in higher education. London, Routledge), 81-91. 2.Hattie, J. & Timperley, H. (2007) The Power of Feedback. Review of Educational Research, 77, 81-112. 3.Hughes, G. (2011) Aiming for Personal Best: a Case for Introducing Ipsative Assessment in Higher Education Studies in Higher Education 36 (3): 353 – 367. 4.Orsmond, P. & Merry, S. (2011) Feedback alignment: effective and ineffective links between tutors’ and students’ understanding of coursework feedback. Assessment & Evaluation in Higher Education. 36(2): 125-126.