Aljabar Boolean
Persamaan SOP dan POS
Peta Karnaugh
Aljabar Boolean:
1. Postulat Boolean
2. Teorema Aljabar Boolean
Ekspresi Boolean
Gerbang Logika
Hasil penyederhaan
DASAR ALJABAR BOOLEAN
Dalam mengembangkan sistem Aljabar Boolean Perlu memulainya
dengan asumsi – asumsi yakni Postulat Boolean dan Teorema
Aljabar Boolean.
Postulat Boolean :
1. 0 . 0 = 0
2. 0 . 1 = 0
3. 1 . 0 = 0
4. 1 . 1 = 1
5. 0 + 0 = 0
6. 0 + 1 = 1
7. 1 + 0 = 1
8. 1 + 1 = 1
9. 0 = 1
10. 1 = 0
di turunkan dari fungsi AND
di turunkan dari fungsi OR
diturunkan dari fungsi NOT
4
TEOREMA ALJABAR BOOLEAN
5
T1. COMMUTATIVE LAW :
a. A + B = B + A
b. A . B = B . A
T2. ASSOCIATIVE LAW :
a. ( A + B ) + C =A + ( B + C )
b. ( A . B) . C= A . ( B . C )
T3. DISTRIBUTIVE LAW :
a. A. ( B + C ) =A . B + A . C
b. A + ( B . C ) = ( A+B ) . ( A+C )
PEMBUKTIAN T3 b.:
Ingat!
TEOREMA ALJABAR BOOLEAN
6
T4. IDENTITY LAW:
a. A + A = A
b. A . A = A
T5. NEGATION LAW:
a.( A’) = A’
b. ( A’’) = A
T6. REDUNDANCE LAW :
a. A + A. B = A
b. A .( A + B) = A
PEMBUKTIAN T6 A.:
PEMBUKTIAN TEOREMA T6(a)
TABEL KEBENARAN UNTUK A + A . B = A
7
A B A . B A + A.B
0 0
0 1
1 0
1 1
0
0
0
1
0
0
1
1
T6. REDUNDANCE LAW :
a. A + A. B = A
b. A .( A + B) = A
T7. :
8
a. 0 + A = A
b. 1 . A = A
c. 1 + A = 1
d. 0 . A = 0
T8. :
a. A’+ A = 1
b. A’. A = 0
T9. :
a. A + A’. B = A + B
b. A.( A’+ B ) = A . B
10. DE MORGAN’S THEOREM:
a. (A + B ) = A . B
b. (A . B ) = A + B
A B A’ . B A + A’B A + B
0 0
0 1
1 0
1 1
0
1
0
0
0
1
1
1
0
1
1
1
TABEL KEBENARAN UNTUK A + A’ B = A+B
PEMBUKTIAN TEOREMA T9(a)
10. DE MORGAN’S THEOREM:
a. (A + B ) = A . B b. (A . B ) = A + B
Aplikasi soal Aljabar Boole
10
Dari Postulat dan Teorema Aljabar Boolean diatas tujuan utamanya
adalah untuk penyederhanaan :
- Ekspresi Logika
- Persamaan Logika
-Persamaan Boolean (Fungsi Boolean) yang intinya adalah untuk
mendapatkan Rangkaian Logika(Logic Diagram) yang paling
sederhana.
Contoh 1
Penyelesaian
Sederhanakan A . (A . B + C)
A . (A . B + C) = A . A . B + A . C (T3a)
= A . B + A . C (T4b)
= A . (B + C) (T3a)
Contoh 2
11
Sederhanakan A’. B + A . B + A’ . B’
Penyelesaian A’ . B + A . B + A’ . B’ = (A’ + A) . B + A’ . B’ (T3a)
= 1 . B + A’ . B’ (T8a)
= B + A’ . B’ (T7b)
= B + A’ (T9a)
Contoh 3 Sederhanakan A + A . B’ + A’ . B
Penyelesaian A + A . B’ + A’ . B = (A + A . B’ ) + A’ . B
= A + A’ . B (T6a)
= A + B (T9a)
Contoh 4
12
Sederhanakan
Contoh 5 Sederhanakan
13
Contoh 6
Sederhanakan
Persamaan SOP & POS
1. Duality, Lateral dan Term, Komplemen
2. Minterm dan Maxterm
3. Bentuk SOP dan POS
14
FUNGSI BOOLEAN
PERSAMAAN ( EKSPRESI ) ALJABAR YANG DIBENTUK DARI :
VARIABEL-VARIABEL BINER, OPERATOR BINER (OR DAN AND),
OPERATOR UNARY (NOT) , DAN TANDA SAMA DENGAN ( = ).
Contoh :
F = AB’C F : fungsi Boolean
F : bernilai 1 jika A , B dan C = 1 , dan F=0
pada A , B’dan C yang lain.
15
DUALITY :
METODE YANG BISA DILAKUKAN PADA PERSAMAAN BOOLEAN,
DENGAN MENGGANTI NILAI ATAU OPERATOR :
‘0’ MENJADI ‘1’ ATAU ‘1’ MENJADI ‘0’
‘AND’ MENJADI ‘OR’ ATAU ‘OR’ MENJADI ‘AND’
CONTOH :
X . 1 = X duality-nya X + 0 = X
X . (Y + Z) duality-nya X + (Y . Z)
16
LATERAL & TERM
17
Lateral = menyatakan input – input sebuah gerbang logika
Term = menyatakan operasi yang dilakukan dalam sebuah gerbang
Contoh :
F = ABC’ + A’DE
Persamaan Boolean di atas mempunyai 5 input (ada 5 lateral : A,
B, C,D dan E)
Ada 5 Term ( AND untuk ABC’, AND untuk A’DE, NOT untuk C, NOT
untuk A dan OR untuk F),
berarti ada 5 gerbang yang diperlukan.
Komplemen dari sebuah fungsi didasarkan pada aturan De Morgan dan
prinsip Duality, dimana Fungsi NAND mempunyai nilai yang sama dengan
fungsi OR dari komplemen variabel - variabelnya, dan Fungsi NOR
mempunyai nilai yang sama dengan fungsi AND dari komplemen variabel
– variabelnya.
contoh :
F = (A+B+C)
Maka
F’ = (A+B+C)’ = A’ . B’. C’
( A + B + C + D + ….. + Z )’ = A’ . B’ . C’ . D’… .Z’
( A . B . C . D…Z )’ =A’ + B’ + C’ + D’… +Z’
18
KOMPLEMEN
19
1. Cara pertama: menggunakan hukum De Morgan
Hukum De Morgan untuk dua buah peubah, x1 dan x2, adalah
Contoh. Misalkan f(x, y, z) = x(y’z’ + yz), maka
f ’(x, y, z) = (x(y’z’ + yz))’
= x’ + (y’z’ + yz)’
= x’ + (y’z’)’ (yz)’
= x’ + (y + z) (y’ + z’)
KOMPLEMEN
2. Cara kedua: menggunakan prinsip dualitas.
Tentukan dual dari ekspresi Boolean yang merepresentasikan f, lalu
komplemenkan setiap literal di dalam dual tersebut.
Contoh. Misalkan f(x, y, z) = x(y’z’ + yz), maka
1. Tentukan dual nya
f: x + (y’ + z’) (y + z)
2. komplemenkan tiap literalnya:
x’ + (y + z) (y’ + z’) = f ’
Jadi, f ‘(x, y, z) = x’ + (y + z)(y’ + z’)
20
KOMPLEMEN
MINTERM DAN MAXTERM
21
n variabel yang membentuk operasi AND menghasilkan suatu bentuk
persamaan yang disebut MINTERM atau standart product
contoh :
XYZ
A’BC
n variabel yang membentuk operasi OR menghasilkan suatu bentuk
persamaan yang disebut MAXTERM atau standart sum
Minterm (dgn 3 variabel)
contoh :
Maxterm (dgn 3 variabel) X + Y + Z’
A’ + B’ + C’
Map
Value A B C Y
0 0 0 0 1
1 0 0 1 1
2 0 1 0 0
3 0 1 1 0
4 1 0 0 0
5 1 0 1 1
6 1 1 0 0
7 1 1 1 1
A’B’C’
A’B’C
AB’C
ABC
(A+B’+C)
(A+B’+C’)
(A’+B+C)
(A’+B’+C)
MINTERM
MAXTERM
Tabel Kebenaran
22
MINTERM DAN MAXTERM
MINTERM adalah komplemen dari MAXTERM dan sebaliknya
Bentuk SOP (Sum of Product) dari Tabel diatas adalah :
C’
Y(A,B,C) = A’B’ + A’B’C + AB’C + ABC
atau
Y(A,B,C) = Σ ( 0, 1, 5, 7)
A
B’
C’
A’
B’
C
A
B’
C
A
B
C
Y
Rangkaian
Bentuk SOP
Persamaan
Bentuk SOP
23
SUM of PRODUCT (SOP) atau disebut juga SUM OF MINTERM
9
Bentuk POS (Product of Sum) dari Tabel diatas adalah :
Y(A,B,C) = (A+B’+C) . (A+B’+C’) . (A’+B+C) . (A’+B’+C)
atau
(A,B,C)
Y = π ( 2, 3, 4, 6)
B’
C’
A’
B
C
A’
B’
C
A
B’
C
A
Y
Rangkaian
Bentuk POS
Persamaan
Bentuk SOP
PRODUCT of SUM (POS) atau disebut juga PRODUCT of MAXTERM
Bentuk Kanonik
28
• Ada dua macam bentuk kanonik:
1. Penjumlahan dari hasil kali (sum-of-product atau SOP)
2. Perkalian dari hasil jumlah (product-of-sum atau POS)
Contoh: 1. f(x, y, z) = x’y’z + xy’z’ + xyz → SOP
Setiap suku (term) disebut minterm
2. g(x, y, z) = (x + y + z)(x + y’ + z)(x + y’ + z’)
(x’ + y + z’)(x’ + y’ + z) → POS
Setiap suku (term) disebut maxterm
• Setiap minterm/maxterm mengandung literal lengkap
29
Minterm Maxterm
x y Suku Lambang Suku Lambang
0
0
1
1
0
1
0
1
x’y’
x’y
xy’
x y
m0
m1
m2
m3
x + y
x + y’
x’ + y
x’ + y’
M0
M1
M2
M3
Minterm Maxterm
x y z Suku Lambang Suku Lambang
0
0
0
0
1
1
1
1
0
0
1
1
0
0
1
1
0
1
0
1
0
1
0
1
x’y’z’
x’y’z
x‘y z’
x’y z
x y’z’
x y’z
x y z’
x y z
m0
m1
m2
m3
m4
m5
m6
m7
x + y + z
x + y + z’
x + y’+z
x + y’+z’
x’+ y + z
x’+ y + z’
x’+ y’+ z
x’+ y’+ z’
M0
M1
M2
M3
M4
M5
M6
M7
Contoh:
1. Nyatakan tabel kebenaran dibawah ini dalam bentuk kanonik SOP
Contoh:
2. Nyatakan tabel kebenaran dibawah ini dalam bentuk kanonik POS
32
Contoh:
3. Nyatakan tabel kebenaran dibawah ini dalam bentuk kanonik SOP dan POS
33
Contoh:
4. Nyatakan tabel kebenaran dibawah ini dalam bentuk kanonik SOP dan POS
34
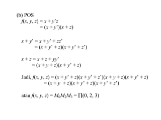
Contoh 7.11. Nyatakan fungsi Boolean f(x, y, z) = x + y’z dalam
bentuk kanonik SOP dan POS.
Penyelesaian:
(a) SOP
x = x(y + y’)
= xy + xy’
= xy (z + z’) + xy’(z + z’)
= xyz + xyz’ + xy’z + xy’z’
y’z = y’z (x + x’)
= xy’z + x’y’z
Jadi f(x, y, z) = x + y’z
= xyz + xyz’ + xy’z + xy’z’ + xy’z + x’y’z
= x’y’z + xy’z’ + xy’z + xyz’ + xyz
atau f(x, y, z) = m1 + m4 + m5 + m6 + m7 =  (1,4,5,6,7)
Contoh:
5.
35
(b) POS
f(x, y, z) = x + y’z
= (x + y’)(x + z)
x + y’ = x + y’ + zz’
= (x + y’ + z)(x + y’ + z’)
x + z = x + z + yy’
= (x + y + z)(x + y’ + z)
Jadi, f(x, y, z) = (x + y’ + z)(x + y’ + z’)(x + y + z)(x + y’ + z)
= (x + y + z)(x + y’ + z)(x + y’ + z’)
atau f(x, y, z) = M0M2M3 = (0, 2, 3)
10
6. Buat Tabel Kebenaran dari fungsi di bawah ini dan ekspresikan setiap fungsi
menjadi SOP dan POS :
F = ( xy + z ).( y + xz )
Jawab :
F = Σ ( 3, 5, 6, 7 )
atau
F = x’yz + xy’z + xyz’ + xyz
F = π ( 0, 1, 2, 4 )
atau
F = (x+y+z)(x+y+z’)(x+y’+z)(x’+y+z)
`
SOP POS
x y z (xy + z) F (y + xz)
0 0 0 0 0 0 0 0 0 0
0 0 1 0 1 1 0 0 0 0
0 1 0 0 0 0 0 1 1 0
0 1 1 0 1 1 1 1 1 0
1 0 0 0 0 0 0 0 0 0
1 0 1 0 1 1 1 0 1 1
1 1 0 1 1 0 1 1 1 0
1 1 1 1 1 1 1 1 1 1
7. Ekspresikan persamaan dibawah ini menjadi Sum of Product ( SOP ) dan
Product of Sum ( POS )
37
F(A, B, C, D ) = B’D + A’D + BD
Jawab :
Persamaan diatas bernilai ‘1’ untuk nilai BD = 01, AD = 01, BD = 11.
Berdasarkan Tabel Kebenaran 4 variabel ( A, B, C, D ) maka output
‘1’ berlaku untuk minterm-minterm :
A’B’C’D, A’B’CD, A’BC’D, A’BCD, AB’C’D, AB’CD, ABC’D, ABCD
SOP : F ( A, B, C, D ) = Σ( 1, 3, 5, 7, 9, 11, 13, 15 )
= A’B’C’D + A’B’CD + A’BC’D + A’BCD + AB’C’D +
AB’CD + ABC’D + ABCD
POS : F ( A, B, C, D ) = π( 0, 2, 4, 6, 8, 10, 12, 14 )
= ( A+B+C+D)(A+B+C’+D)(A+B’+C+D)(A+B’+C+D’)
(A’+B+C+D)(A’+B+C’+D)(A’+B’+C’+D)
LANGKAH - LANGKAH DI DALAM PROSES DISAIN :
1.Buat Tabel Kebenarannya
2.Tulis minterm-minterm pada output yang bernilai ‘1’
3.Tulis persamaan SOP untuk output
f = u’xy + ux’y + uxy’ + uxy
f = u’xy + ux’y + uxy’ + uxy
= u’xy + uxy + ux’y + uxy + uxy’ + uxy
= xy(u’ + u) + uy(x’ + x) + ux(y’ + y)
= xy + uy + ux
5. Implementasikan dalam bentuk rangkaian
4. Sederhanakan persamaan output
DISAIN RANGKAIAN LOGIKA KOMBINASIONAL
38
Cara konversi non-kanonik ke kanonik
39
Step rubah non-kanonik ke kanonik:
1. Masukkan persamaan/istilah yang hilang
2. Perluas ekspresi
3. Hapus istilah yang berlebihan setelah di perluas
Contoh:
1) Ubah persamaan non-kanonik SOP dibawah ini menjadi persamaan kanonik SOP
Contoh:
2) Ubah persamaan non-kanonik SOP dibawah ini menjadi persamaan kanonik SOP
Contoh:
3) Ubah persamaan non-kanonik POS dibawah ini menjadi persamaan kanonik POS
Karnaugh MAP (K-Map)
Pokok Bahasan :
1. K-map 2 variabel
2. K-map 3 variabel
3. K-map 4 variabel
4. Penyederhanaan rangkaian dengan k-map
4
3
Karnaugh Map (K-Map)
•Suatu peralatan grafis yang digunakan untuk menyederhanakan
persamaan logika atau mengkonversikan sebuah tabel kebenaran
menjadi sebuah rangkaian logika.
•Salah satu metode yang paling mudah untuk penyederhanaan
Rangkaian Logika.
4
4
Map
Value A B Y
0 0 0 A’B’
1 0 1 A’B
2 1 0 AB’
3 1 1 AB
Tabel Kebenaran
A
A’B’
0
AB’
2
A’B
1
AB
3
0
1
1
B
0
Model II
A’B’
0
A’B
1
AB’
2
AB
3
0
1
1
A
0
Karnaugh Map 2 Variabel :
( A dan B )
B
Model I
Map Value
4
5
Desain Pemetaan K- Map 2
Variabel
0
1
0
1
A
B
A’ A
B’
B
4
6
A
A’B’
0
AB’
2
A’B
1
AB
3
0
1
1
B
0
Model II
Karnaugh Map 2 Variabel :
dengan minterm-mintermnya
x y F
0 0 1
0 1 1
1 0 0
1 1 0
0 1
x
y
0
1
1 1
0 0
y
0 1
x
y
0
1
x’y’ x’y
xy’ xy
x
F = Σ(m0,m1) = x’y + x’y’
4
7
0 1
1 0
B
A 0 1
0
1
F=AB +A’B 0 1
1 1
B
A 0 1
0
1
F=AB +AB +AB 
0 1
1 0
B
A 0 1
0
1
F=AB +A’B 0
1 1
1
B
A 0 1
0
1 F=A+B
F=AB +AB +AB 
48
Contoh : 1
0
1
2
0
0 1
1 3
B
A
0
0
Tabel Kebenaran 1
Map
Value A B Y
0 0 0 1
1 0 1 0
2 1 0 0
3 1 1 1
1
A’B’
A’B’
0
0
1
0 AB
2 3
1
A
0
B 0
1
AB
Jadi Y = A’B’ + AB
49
Contoh : 2
0
1
1
1
0 0
2 3
B
A
0
0
Tabel Kebenaran 1
Map
Value A B Y
0 0 0 1
1 0 1 1
2 1 0 0
3 1 1 0
1
A’B’
A’B
A’B’
0 1
A’B
0 0
2 3
1
A
0
B 0
1
Jadi Y = A’
5
0
• 0 kotak terlingkupi = “0” (Low)
• 1 kotak terlingkupi = 2 variabel output
• 2 kotak terlingkupi = 1 variabel output
• 4 kotak terlingkupi = “1” (High)
• Melingkupinya harus posisi “Horisontal “
atau “vertikal” , yang dilingkupi digit ”1” dan
jumlah digit “1” yang dilingkupi 2n (1,
2,4,8,16, ...)
Catatan untuk K-Map
2 Variabel
1
1 1
0 1
1
0
A
B
B’ A
0 1
1
0
A
1
1 AB
A’B’
Y = AB + A’B’
5
1
Y = B’ + A
10
Contoh 3:
Dari Tabel Kebenaran dibawah, tulis persamaan
logikanya dengan menggunakan K-map :
1
1 1
0
1
0
1
A
B
A’ A
B’
B
Map
Value A B Y
0 0 0 1
1 0 1 1
2 1 0 0
3 1 1 1 0
1
0
1
A
B
A’ A
B’
B
1
1 1
Jadi Y = A’ + B
Sederhanakan persamaan logika :
Y = A + AB’ + A’B
Menggunakan K- map :
Contoh 4 :
0
1
0
1
A
B
A’ A
B’
B
1
1
1
1
1 1
0
1
0
1
A
B
A’ A
B’
B
Jadi Y = A + B
53
Karnaugh Map 3 Variabel :
( A, B dan C )
Map
Value A B C Y
0 0 0 0
1 0 0 1
2 0 1 0
3 0 1 1
4 1 0 0
5 1 0 1
6 1 1 0
7 1 1 1
Tabel Kebenaran
A
00 01 11
A’B’C’
0
A’BC’
2
ABC’
6
AB’C’
4
A’B’C
1
A’BC
3
ABC
7
AB’C
5
Model II
AB
00 01 11
A’B’C’
0
A’B’C
1
A’BC
3
A’BC’
2
AB’C’
4
AB’C
5
ABC
7
ABC’
6
10
0
1
10
0
1
Model I
BC
C
Map Value
54
Tabel Kebenaran
Map
Value A B C Y
0 0 0 0
1 0 0 1
2 0 1 0
3 0 1 1
4 1 0 0
5 1 0 1
6 1 1 0
7 1 1 1
Model III Model IV
A’B’C’
0
A’B’C
1
A’BC’
2
A’BC
3
ABC’
6
ABC
7
AB’C’
4
AB’C
5
0 1
00
01
10
11
A B
C
A’B’C’
0
AB’C’
4
A’B’C
1
AB’C
5
A’BC
3
ABC
7
A’BC’
2
ABC’
6
0 1
00
01
10
11
B C
A
Map Value
55
Desain Pemetaan K- Map 3
Variabel
00 01 11
1
A
0
10
BC
C’
C
B
B’
A
A’
56
• 0 kotak terlingkupi = “0” (Low)
• 1 kotak terlingkupi = 3 variabel output
• 2 kotak terlingkupi = 2 variabel output
• 4 kotak terlingkupi = 1 variabel output
• 8 kotak terlingkupi = “1” (High)
• Melingkupinya harus posisi “Horisontal “
atau “vertikal” , yang dilingkupi digit ”1” dan
jumlah digit “1” yang dilingkupi 2n (1, 2, 4,
8, ... )
Catatan untuk K- Map
3 Variabel
00 01 11
0
1
1 1
1 1
10
01 11
1
1
1
1
0 1
10
A
A BC00
A
B’
00 01 11
0
1
1
1
1
10
A
+ A’BC’
+ A’BC
Y = AB’C’
57
Contoh pengcoveran
AB
C
0
C 1
A
00 0111
10
B
c
ab
00 01 11 10
0
1
0 0 1 0
0 1 1 1
cout = ab + bc + ac
F(A,B,C) = m(0,4,5,7)= AC + B’C’
G(A,B,C) = A
0 0 1 1
0 0 1 1
C
B
A
1 0 0 1
0 0 1 1
C
B
A
ab
c 00 01 11 10
0
1
0 0 1 1
0 0 1 1
f = a
58
A
0
1
BC
0 1 0 1
1 1 1 1
00 01 11 10
F=AB’C’ +AB C +ABC +ABC  + A’B’C + A’BC’
A B C F
0 0 0 0
0 0 1 1
0 1 0 1
0 1 1 0
1 0 0 1
1 0 1 1
1 1 0 1
1 1 1 1
+
F=A+B C +BC 
A
1
0
1
BC
1
1 1
0 1 0 1
00 01 11 10
F=AB’C’ +AB C +ABC +ABC  + A’B’C + A’BC’
59
Contoh 1 :
Tabel Kebenaran Diketahui Tabel Kebenaran seperti disamping :
Cari persamaan logikanya :
Map
Value A B C Y
0 0 0 0 1
1 0 0 1 1
2 0 1 0 0
3 0 1 1 0
4 1 0 0 0
5 1 0 1 1
6 1 1 0 1
7 1 1 1 1
00 01 11
1
1 1
1 1 1
10
60
BC
A
0 A’B’
AB
AC
Jadi Y = AC + AB + A’B’
Contoh 2 :
Diketahui Persamaan Boolean :
D = A’BC + A’BC’ + ABC’ + ABC + AB’C
Sederhanakan dengan metode K-map
00 01 11
A
0
1
1 1
1 1 1
10
BC
A’BC
A’BC’
ABC’
ABC
AB’C
00 01 11
1
1 1
1 1 1
A
0
10
BC
B
61
AC
Jadi D = B + AC
A’B’C’D’
0
A’BC’D’
4
ABC’D’
12
AB’C’D’
8
A’B’C’D
1
A’BC’D
5
ABC’D
13
AB’C’D
9
A’B’CD
3
A’BCD
7
ABCD
15
AB’CD
11
A’B’CD’
2
A’BCD’
6
ABCD’
14
AB’CD’
10
00 01 11 10
CD
00
11
10
AB
01
Model 2
11
10
A’B’C’D’
0
A’B’C’D
1
A’B’CD
3
A’B’CD’
2
A’BC’D’
4
A’BC’D
5
A’BCD
7
A’BCD’
6
ABC’D’
12
ABC’D
13
ABCD
15
ABCD’
14
AB’C’D’
8
AB’C’D
9
AB’CD
11
AB’CD’
10
CD
62
11 10
AB 00 01
00
01
Map
Valu
e
A B C D Y
0 0 0 0 0
1 0 0 0 1
2 0 0 1 0
3 0 0 1 1
4 0 1 0 0
5 0 1 0 1
6 0 1 1 0
7 0 1 1 1
8 1 0 0 0
9 1 0 0 1
10 1 0 1 0
11 1 0 1 1
12 1 1 0 0
13 1 1 0 1
14 1 1 1 0
15 1 1 1 1
Model 1
Tabel Kebenaran
Karnaugh Map 4 Variabel :
( A, B, C dan D )
Dengan wxyz input
63
Desain Pemetaan K- Map 4
Variabel
AB
00 10
CD
00
01
11
10
D
C
C’
D’
A’ A
01 11
64
B
B’
23
Catatan untuk K-Map
4 Variabel
• 0 kotak terlingkupi = “0” (Low)
• 1 kotak terlingkupi = 4 variabel output
• 2 kotak terlingkupi = 3 variabel output
• 4 kotak terlingkupi = 2 variabel output
• 8 kotak terlingkupi = 1 variabel output
• 16 kotak terlingkupi = “1” (High)
• Melingkupinya harus posisi “Horisontal “
atau “vertikal” , yang dilingkupi digit ”1” dan
jumlah digit “1” yang dilingkupi 2n ( 1,2, 4, 8,
16, ... )
AB
CD 00 01 11 10
00 1 1 1 1
01 1 1 1 1
11 1 1
10 1 1 1 1
1
1
1
1
1
1
AB
CD 00 01 11 10
00
01
11
10
AC’
A’
ACD’
B’C’
ABCD’
A’BCD
Contoh pengcoveran
:
LT = A' B' D + A' C + B' C D
EQ = A'B'C'D' + A'BC'D + ABCD + AB'CD’
GT = B C' D' + A C' + A B D'
K-map untuk LT K-map untuk EQ K-map untuk GT
D
A
0 0 0 0
1 0 0 0
1 1 0 1
1 1 0 0
B
C
D
A
1 0 0 0
0 1 0 0
0 0 1 0
0 0 0 1
B
C
D
A
0 1 1 1
0 0 1 1
0 0 0 0
0 0 1 0
B
C
66
Contoh pengcoveran
:
F= ABC +ACD +ABC
+AB CD +ABC +AB C
CD
0
AB
1 1
0
00
01
0
0 1
1
00 01 11 10
1
1 0
1
11
10
1
1 1
1
F=BC +CD + AC+ AD 
67
27
1 1
1
1 1
1
1
AB
00 01 11 10
00
01
11
10
CD
D
C
B
A’C
ABC’D’
AB’D
A B
Contoh 2 : Diketahui Tabel Kebenaran ,
cari persamaan logikanya.
Jadi Y = A’C + AB’D + ABC’D’
C
0 1
1 1
3 1 1 1
2 1 1
AB
00 01 11 10
00
01
11
10
CD
A
D
Map
Value
A B C D Y
0 0 0 0 0 0
1 0 0 0 1 0
2 0 0 1 0 1
3 0 0 1 1 1
4 0 1 0 0 0
5 0 1 0 1 0
6 0 1 1 0 1
7 0 1 1 1 1
8 1 0 0 0 0
9 1 0 0 1 1
10 1 0 1 0 0
11 1 0 1 1 1
12 1 1 0 0 1
13 1 1 0 1 0
14 1 1 1 0 0
15 1 1 1 1 0
28
1 1
1
1 1 1 1
1
WX
00 01 11
YZ
00
01
11
Y
10
Z
1
1 1 1 1
1
1
1
WX
00 01 11 10
YZ
00
01
11
10
W
Y
Z
X
W
10
W’X’Y’Z’
YZ
WXZ’
WX’Z
Y
Jadi M = W’X’Y’Z’ + WXZ’ + WXX’Z + YZ
Contoh 3 : Lingkarilah dan
Tulis Persamaan Logikanya.
29
Physical Implementasi
A B C D
EQ
° Step 1: Truth table
° Step 2: K-map
° Step 3: Minimized sum-of-
products
° Step 4: Implementasi dengan
gates
K-map untuk EQ
D
A
1 0 0 0
0 1 0 0
0 0 1 0
0 0 0 1
C
B
Poin-poin penggunaan K-map
72
• Tulis persamaan
logika hasil peng-
coveran.
• Buat persamaan ke bentuk SOP
(melalui tabel kebenaran).
• Minterm-mintermnya masukkan ke k-
map ( sesuaikan jumlah kotak atau
variabel input).
• Lingkari (pe-ngcover- an) yang
benar.
Don’t Care
73
• Kondisi don’t care merupakan kondisi dimana ada beberapa
kombinasi variable input yang tidak selalu dapat dinyatakan nilai
outputnya.
• Keadaan dimana nilai outputnya tersebut bisa berlogic ‘1’ atau
berlogic ‘0’ yang disimbulkan dengan “X” atau “d”.
• Kegunaan dari kondisi don’t care pada penyederhanaan fungsi
dapat dinyatakan pada fakta bahwa dapat diset dengan logic ‘1’
atau logic ‘0’, berdasar kegunaannya untuk format kelompok
logic ‘1’ yang lebih besar.
Karnaugh maps: don’t cares (cont’d)
• f(A,B,C,D) =  m(1,3,5,7,9) + d(6,12,13)
– f = A'D + B'C'D
– f = A’D + C’D
tanpa don't cares
dengan don't cares
D
A
0 0 X 0
1 1 X 1
1 1 0 0
0 X 0 0
B
C
0
1
0
1
0
1
X
1
0
1
0
0
X
X
0
0
+
A B C D f
0 0 0 0
0 0 0 1
0 0 1 0
0 0 1 1
0 1 0 0
0 1 0 1
0 1 1 0
0 +
1 1 1
1 0 0 0
1 0 0 1
1 0 1 0
1 0 1 1
1 1 0 0
1 1 0 1
1 1 1 0
1 1 1 1
74
Pengcoveran dengan Don’t Cares
CD
AB
00
01
11
10
00 01 11 10
0 1 0 0
x x x 1
1 1 1 x
x 0 1 1
F=ACD+B+AC
75
34
Bentuk ilustrasi pengkoveran
D
A
0 X 1 0
1 1 1 0
1 0 1 1
0 0 1 1
B
C
6 prime implicants:
A'B'D, BC', AC, A'C'D, AB, B'CD
essential
minimum cover: 3 essential implicants
minimum cover: AC + BC' + A'B'D
0 0 1 0
1 1 1 0
D
A
0 1 1 1
0 1 0 0
B
C
5 prime implicants:
BD, ABC', ACD, A'BC, A'C'D
essential
minimum cover: 4 essential implicants
minimum cover: ABC’+ACD+A’BC+A’C’D
Aplikasi K-map
Pada Rangkaian Full Adder
Adder
Cin
Cout
S
A
B
+
S = A’B’Cin + A’BCin’ + A’BCin + ABCin
Cout = A’BCin + A B’Cin + ABCin’ + ABCin
= A’BCin + ABCin + AB’Cin + ABCin + ABCin’ + ABCin
= (A’ + A)BCin + (B’ + B)ACin + (Cin’ + Cin)AB
= 1·BCin + 1· ACin + 1· AB
= BCin + ACin + AB
A B Cin S Cout
0 0 0 0 0
0 0 1 1 0
0 1 0 1 0
0 1 1 0 1
1 0 0 1 0
1 0 1 0 1 Metode Aljabar Boole
1 1 0 0 1
1 1 1 1 1
77
Aplikasi K-map
Pada Rangkaian Full Adder
Adder
Cin
Cout
S
A
B
A B Cin S Cout
0 0 0 0 0
0 0 1 1 0
0 1 0 1 0
0 1 1 0 1
1 0 0 1 0
1 0 1 0 1
1 1 0 0 1
1 1 1 1 1
+
A
B
Cin
Karnaugh Map for Cout
0 0 1 0
0 1 1 1
Pengisiaan digit 1 ke K-map
78
Aplikasi K-map
Pada Rangkaian Full Adder
A
B
Cin
Karnaugh Map untuk Cout
0 0 1 0
0 1 1 1
Adder
Cin
Cout
S
A
B
A B Cin S Cout
0 0 0 0 0
0 0 1 1 0
0 1 0 1 0
0 1 1 0 1
1 0 0 1 0
1 0 1 0 1
1 1 0 0 1
1 1 1 1 1
+
Pengcoveran pertama.
Cout = ACin
79
Aplikasi K-map
Pada Rangkaian Full Adder
Cin
A
B
A B Cin S Cout
0 0 0 0 0
0 0 1 1 0
0 1 0 1 0
Adder S 0 1 1 0 1
1 0 0 1 0
1 0 1 0 1
1 1 0 0 1
Cout
A
1
+
1 1 1 1
0 0 1 0
Pengcoveran kedua.
B 0 1 1 1
Cin
Karnaugh Map for Cout
38
Cout = Acin + AB
Aplikasi K-map
Pada Rangkaian Full Adder
A
B
Adder
Cin
Cout
S
A
B
0
0
0
A B Cin S Cout
0 0 0 0 0
0 0 1 1 0
0 1 0 1 0
0 1 1 0 1
1 0 0 1 0
1 0 1 0 1
1 1 0 0 1
1 1 1 1 1
+
0
1
1 1 1
Cin
Karnaugh Map untuk Cout
Pengcoveran ketiga (seluruhnya)
81
Cout = ACin + AB + BCin
Aplikasi K-map
Pada Rangkaian Full Adder
A
B
Cin
Karnaugh Map untuk S
0 1 0 1
1 0 1 0
Adder
Cin
Cout
S
A
B
A B Cin S Cout
0 0 0 0 0
0 0 1 1 0
0 1 0 1 0
0 1 1 0 1
1 0 0 1 0
1 0 1 0 1
1 1 0 0 1
1 1 1 1 1
+
S = A’BCin’
82
Aplikasi K-map
Pada Rangkaian Full Adder
A
B
0 1 0 1
1 0 1 0
Adder
Cin
Cout
S
A
B
A B Cin S Cout
0 0 0 0 0
0 0 1 1 0
0 1 0 1 0
0 1 1 0 1
1 0 0 1 0
1 0 1 0 1
1 1 0 0 1
1 1 1 1 1
+
Cin
Karnaugh Map untuk S
S = A’BCin’ + A’B’Cin
83
Aplikasi K-map
Pada Rangkaian Full Adder
A
B
Cin
Karnaugh Map untuk S
0 1 0 1
1 0 1 0
Adder
Cin
Cout
S
A
B
A B Cin S Cout
0 0 0 0 0
0 0 1 1 0
0 1 0 1 0
0 1 1 0 1
1 0 0 1 0
1 0 1 0 1
1 1 0 0 1
1 1 1 1 1
+
S = A’BCin’ + A’B’Cin + ABCin
42
Aplikasi K-map
Pada Rangkaian Full Adder
Coba anda gambar rangkaian diagramnya ?
A
B
Cin
Karnaugh untuk S
0 1 0 1
1 0 1 0
Adder
Cin
Cout
S
A
B
A B Cin S Cout
0 0 0 0 0
0 0 1 1 0
0 1 0 1 0
0 1 1 0 1
1 0 0 1 0
1 0 1 0 1
1 1 0 0 1
1 1 1 1 1
+
S = A’BCin’ + A’B’Cin + ABCin + AB’Cin’
85
Tidak bisa direduksi
Latihan Soal :
86
1. BUATLAH TABEL KEBENARAN DARI PERSAMAAN LOGIKA
DIBAWAH:
X . Y + X’ . Y + X’ . Y’ = X’ + Y
2. Sederhanakan ekspresi logika dibawah dengan Aljabar Boolean :
AB’ + BC + C’A
3. Buat ekspresi logika dibawah kedalam bentuk SOP
dan bentuk POS, serta gambar rangkaian logikanya :
F(a, b, c, d ) = AC’ + C’D + B’D’
Latihan Soal :
87
4. Buat Tabel Kebenaran dari fungsi di bawah ini dan ekspresikan setiap
fungsi menjadi SOP dan POS , serta rangkaian logikanya:
F1=A(C’D+BD’).D(A’C+BD’)
5. Gambarlah K-map untuk setiap ekspresi logika dibawah serta
sederhanakan dengan pengcoveran yang benar :
1. A(BC’ + C) + B(A + A’C)
2. (AC + AC’B). (BC + B’C’)
Catatan : cari minterm-mintermnya dulu (rubah kebentuk SOP)
Terimakasih ☺

Aljabar Boolean, SOP&POS, Peta Karnaugh.pdf

  • 1.
    Aljabar Boolean Persamaan SOPdan POS Peta Karnaugh
  • 2.
    Aljabar Boolean: 1. PostulatBoolean 2. Teorema Aljabar Boolean
  • 3.
  • 4.
    DASAR ALJABAR BOOLEAN Dalammengembangkan sistem Aljabar Boolean Perlu memulainya dengan asumsi – asumsi yakni Postulat Boolean dan Teorema Aljabar Boolean. Postulat Boolean : 1. 0 . 0 = 0 2. 0 . 1 = 0 3. 1 . 0 = 0 4. 1 . 1 = 1 5. 0 + 0 = 0 6. 0 + 1 = 1 7. 1 + 0 = 1 8. 1 + 1 = 1 9. 0 = 1 10. 1 = 0 di turunkan dari fungsi AND di turunkan dari fungsi OR diturunkan dari fungsi NOT 4
  • 5.
    TEOREMA ALJABAR BOOLEAN 5 T1.COMMUTATIVE LAW : a. A + B = B + A b. A . B = B . A T2. ASSOCIATIVE LAW : a. ( A + B ) + C =A + ( B + C ) b. ( A . B) . C= A . ( B . C ) T3. DISTRIBUTIVE LAW : a. A. ( B + C ) =A . B + A . C b. A + ( B . C ) = ( A+B ) . ( A+C ) PEMBUKTIAN T3 b.: Ingat!
  • 6.
    TEOREMA ALJABAR BOOLEAN 6 T4.IDENTITY LAW: a. A + A = A b. A . A = A T5. NEGATION LAW: a.( A’) = A’ b. ( A’’) = A T6. REDUNDANCE LAW : a. A + A. B = A b. A .( A + B) = A PEMBUKTIAN T6 A.:
  • 7.
    PEMBUKTIAN TEOREMA T6(a) TABELKEBENARAN UNTUK A + A . B = A 7 A B A . B A + A.B 0 0 0 1 1 0 1 1 0 0 0 1 0 0 1 1 T6. REDUNDANCE LAW : a. A + A. B = A b. A .( A + B) = A
  • 8.
    T7. : 8 a. 0+ A = A b. 1 . A = A c. 1 + A = 1 d. 0 . A = 0 T8. : a. A’+ A = 1 b. A’. A = 0 T9. : a. A + A’. B = A + B b. A.( A’+ B ) = A . B 10. DE MORGAN’S THEOREM: a. (A + B ) = A . B b. (A . B ) = A + B A B A’ . B A + A’B A + B 0 0 0 1 1 0 1 1 0 1 0 0 0 1 1 1 0 1 1 1 TABEL KEBENARAN UNTUK A + A’ B = A+B PEMBUKTIAN TEOREMA T9(a)
  • 9.
    10. DE MORGAN’STHEOREM: a. (A + B ) = A . B b. (A . B ) = A + B
  • 10.
    Aplikasi soal AljabarBoole 10 Dari Postulat dan Teorema Aljabar Boolean diatas tujuan utamanya adalah untuk penyederhanaan : - Ekspresi Logika - Persamaan Logika -Persamaan Boolean (Fungsi Boolean) yang intinya adalah untuk mendapatkan Rangkaian Logika(Logic Diagram) yang paling sederhana. Contoh 1 Penyelesaian Sederhanakan A . (A . B + C) A . (A . B + C) = A . A . B + A . C (T3a) = A . B + A . C (T4b) = A . (B + C) (T3a)
  • 11.
    Contoh 2 11 Sederhanakan A’.B + A . B + A’ . B’ Penyelesaian A’ . B + A . B + A’ . B’ = (A’ + A) . B + A’ . B’ (T3a) = 1 . B + A’ . B’ (T8a) = B + A’ . B’ (T7b) = B + A’ (T9a) Contoh 3 Sederhanakan A + A . B’ + A’ . B Penyelesaian A + A . B’ + A’ . B = (A + A . B’ ) + A’ . B = A + A’ . B (T6a) = A + B (T9a)
  • 12.
  • 13.
  • 14.
    Persamaan SOP &POS 1. Duality, Lateral dan Term, Komplemen 2. Minterm dan Maxterm 3. Bentuk SOP dan POS 14
  • 15.
    FUNGSI BOOLEAN PERSAMAAN (EKSPRESI ) ALJABAR YANG DIBENTUK DARI : VARIABEL-VARIABEL BINER, OPERATOR BINER (OR DAN AND), OPERATOR UNARY (NOT) , DAN TANDA SAMA DENGAN ( = ). Contoh : F = AB’C F : fungsi Boolean F : bernilai 1 jika A , B dan C = 1 , dan F=0 pada A , B’dan C yang lain. 15
  • 16.
    DUALITY : METODE YANGBISA DILAKUKAN PADA PERSAMAAN BOOLEAN, DENGAN MENGGANTI NILAI ATAU OPERATOR : ‘0’ MENJADI ‘1’ ATAU ‘1’ MENJADI ‘0’ ‘AND’ MENJADI ‘OR’ ATAU ‘OR’ MENJADI ‘AND’ CONTOH : X . 1 = X duality-nya X + 0 = X X . (Y + Z) duality-nya X + (Y . Z) 16
  • 17.
    LATERAL & TERM 17 Lateral= menyatakan input – input sebuah gerbang logika Term = menyatakan operasi yang dilakukan dalam sebuah gerbang Contoh : F = ABC’ + A’DE Persamaan Boolean di atas mempunyai 5 input (ada 5 lateral : A, B, C,D dan E) Ada 5 Term ( AND untuk ABC’, AND untuk A’DE, NOT untuk C, NOT untuk A dan OR untuk F), berarti ada 5 gerbang yang diperlukan.
  • 18.
    Komplemen dari sebuahfungsi didasarkan pada aturan De Morgan dan prinsip Duality, dimana Fungsi NAND mempunyai nilai yang sama dengan fungsi OR dari komplemen variabel - variabelnya, dan Fungsi NOR mempunyai nilai yang sama dengan fungsi AND dari komplemen variabel – variabelnya. contoh : F = (A+B+C) Maka F’ = (A+B+C)’ = A’ . B’. C’ ( A + B + C + D + ….. + Z )’ = A’ . B’ . C’ . D’… .Z’ ( A . B . C . D…Z )’ =A’ + B’ + C’ + D’… +Z’ 18 KOMPLEMEN
  • 19.
    19 1. Cara pertama:menggunakan hukum De Morgan Hukum De Morgan untuk dua buah peubah, x1 dan x2, adalah Contoh. Misalkan f(x, y, z) = x(y’z’ + yz), maka f ’(x, y, z) = (x(y’z’ + yz))’ = x’ + (y’z’ + yz)’ = x’ + (y’z’)’ (yz)’ = x’ + (y + z) (y’ + z’) KOMPLEMEN
  • 20.
    2. Cara kedua:menggunakan prinsip dualitas. Tentukan dual dari ekspresi Boolean yang merepresentasikan f, lalu komplemenkan setiap literal di dalam dual tersebut. Contoh. Misalkan f(x, y, z) = x(y’z’ + yz), maka 1. Tentukan dual nya f: x + (y’ + z’) (y + z) 2. komplemenkan tiap literalnya: x’ + (y + z) (y’ + z’) = f ’ Jadi, f ‘(x, y, z) = x’ + (y + z)(y’ + z’) 20 KOMPLEMEN
  • 21.
    MINTERM DAN MAXTERM 21 nvariabel yang membentuk operasi AND menghasilkan suatu bentuk persamaan yang disebut MINTERM atau standart product contoh : XYZ A’BC n variabel yang membentuk operasi OR menghasilkan suatu bentuk persamaan yang disebut MAXTERM atau standart sum Minterm (dgn 3 variabel) contoh : Maxterm (dgn 3 variabel) X + Y + Z’ A’ + B’ + C’
  • 22.
    Map Value A BC Y 0 0 0 0 1 1 0 0 1 1 2 0 1 0 0 3 0 1 1 0 4 1 0 0 0 5 1 0 1 1 6 1 1 0 0 7 1 1 1 1 A’B’C’ A’B’C AB’C ABC (A+B’+C) (A+B’+C’) (A’+B+C) (A’+B’+C) MINTERM MAXTERM Tabel Kebenaran 22 MINTERM DAN MAXTERM MINTERM adalah komplemen dari MAXTERM dan sebaliknya
  • 23.
    Bentuk SOP (Sumof Product) dari Tabel diatas adalah : C’ Y(A,B,C) = A’B’ + A’B’C + AB’C + ABC atau Y(A,B,C) = Σ ( 0, 1, 5, 7) A B’ C’ A’ B’ C A B’ C A B C Y Rangkaian Bentuk SOP Persamaan Bentuk SOP 23 SUM of PRODUCT (SOP) atau disebut juga SUM OF MINTERM
  • 25.
    9 Bentuk POS (Productof Sum) dari Tabel diatas adalah : Y(A,B,C) = (A+B’+C) . (A+B’+C’) . (A’+B+C) . (A’+B’+C) atau (A,B,C) Y = π ( 2, 3, 4, 6) B’ C’ A’ B C A’ B’ C A B’ C A Y Rangkaian Bentuk POS Persamaan Bentuk SOP PRODUCT of SUM (POS) atau disebut juga PRODUCT of MAXTERM
  • 28.
    Bentuk Kanonik 28 • Adadua macam bentuk kanonik: 1. Penjumlahan dari hasil kali (sum-of-product atau SOP) 2. Perkalian dari hasil jumlah (product-of-sum atau POS) Contoh: 1. f(x, y, z) = x’y’z + xy’z’ + xyz → SOP Setiap suku (term) disebut minterm 2. g(x, y, z) = (x + y + z)(x + y’ + z)(x + y’ + z’) (x’ + y + z’)(x’ + y’ + z) → POS Setiap suku (term) disebut maxterm • Setiap minterm/maxterm mengandung literal lengkap
  • 29.
    29 Minterm Maxterm x ySuku Lambang Suku Lambang 0 0 1 1 0 1 0 1 x’y’ x’y xy’ x y m0 m1 m2 m3 x + y x + y’ x’ + y x’ + y’ M0 M1 M2 M3 Minterm Maxterm x y z Suku Lambang Suku Lambang 0 0 0 0 1 1 1 1 0 0 1 1 0 0 1 1 0 1 0 1 0 1 0 1 x’y’z’ x’y’z x‘y z’ x’y z x y’z’ x y’z x y z’ x y z m0 m1 m2 m3 m4 m5 m6 m7 x + y + z x + y + z’ x + y’+z x + y’+z’ x’+ y + z x’+ y + z’ x’+ y’+ z x’+ y’+ z’ M0 M1 M2 M3 M4 M5 M6 M7
  • 30.
    Contoh: 1. Nyatakan tabelkebenaran dibawah ini dalam bentuk kanonik SOP
  • 31.
    Contoh: 2. Nyatakan tabelkebenaran dibawah ini dalam bentuk kanonik POS
  • 32.
    32 Contoh: 3. Nyatakan tabelkebenaran dibawah ini dalam bentuk kanonik SOP dan POS
  • 33.
    33 Contoh: 4. Nyatakan tabelkebenaran dibawah ini dalam bentuk kanonik SOP dan POS
  • 34.
    34 Contoh 7.11. Nyatakanfungsi Boolean f(x, y, z) = x + y’z dalam bentuk kanonik SOP dan POS. Penyelesaian: (a) SOP x = x(y + y’) = xy + xy’ = xy (z + z’) + xy’(z + z’) = xyz + xyz’ + xy’z + xy’z’ y’z = y’z (x + x’) = xy’z + x’y’z Jadi f(x, y, z) = x + y’z = xyz + xyz’ + xy’z + xy’z’ + xy’z + x’y’z = x’y’z + xy’z’ + xy’z + xyz’ + xyz atau f(x, y, z) = m1 + m4 + m5 + m6 + m7 =  (1,4,5,6,7) Contoh: 5.
  • 35.
    35 (b) POS f(x, y,z) = x + y’z = (x + y’)(x + z) x + y’ = x + y’ + zz’ = (x + y’ + z)(x + y’ + z’) x + z = x + z + yy’ = (x + y + z)(x + y’ + z) Jadi, f(x, y, z) = (x + y’ + z)(x + y’ + z’)(x + y + z)(x + y’ + z) = (x + y + z)(x + y’ + z)(x + y’ + z’) atau f(x, y, z) = M0M2M3 = (0, 2, 3)
  • 36.
    10 6. Buat TabelKebenaran dari fungsi di bawah ini dan ekspresikan setiap fungsi menjadi SOP dan POS : F = ( xy + z ).( y + xz ) Jawab : F = Σ ( 3, 5, 6, 7 ) atau F = x’yz + xy’z + xyz’ + xyz F = π ( 0, 1, 2, 4 ) atau F = (x+y+z)(x+y+z’)(x+y’+z)(x’+y+z) ` SOP POS x y z (xy + z) F (y + xz) 0 0 0 0 0 0 0 0 0 0 0 0 1 0 1 1 0 0 0 0 0 1 0 0 0 0 0 1 1 0 0 1 1 0 1 1 1 1 1 0 1 0 0 0 0 0 0 0 0 0 1 0 1 0 1 1 1 0 1 1 1 1 0 1 1 0 1 1 1 0 1 1 1 1 1 1 1 1 1 1
  • 37.
    7. Ekspresikan persamaandibawah ini menjadi Sum of Product ( SOP ) dan Product of Sum ( POS ) 37 F(A, B, C, D ) = B’D + A’D + BD Jawab : Persamaan diatas bernilai ‘1’ untuk nilai BD = 01, AD = 01, BD = 11. Berdasarkan Tabel Kebenaran 4 variabel ( A, B, C, D ) maka output ‘1’ berlaku untuk minterm-minterm : A’B’C’D, A’B’CD, A’BC’D, A’BCD, AB’C’D, AB’CD, ABC’D, ABCD SOP : F ( A, B, C, D ) = Σ( 1, 3, 5, 7, 9, 11, 13, 15 ) = A’B’C’D + A’B’CD + A’BC’D + A’BCD + AB’C’D + AB’CD + ABC’D + ABCD POS : F ( A, B, C, D ) = π( 0, 2, 4, 6, 8, 10, 12, 14 ) = ( A+B+C+D)(A+B+C’+D)(A+B’+C+D)(A+B’+C+D’) (A’+B+C+D)(A’+B+C’+D)(A’+B’+C’+D)
  • 38.
    LANGKAH - LANGKAHDI DALAM PROSES DISAIN : 1.Buat Tabel Kebenarannya 2.Tulis minterm-minterm pada output yang bernilai ‘1’ 3.Tulis persamaan SOP untuk output f = u’xy + ux’y + uxy’ + uxy f = u’xy + ux’y + uxy’ + uxy = u’xy + uxy + ux’y + uxy + uxy’ + uxy = xy(u’ + u) + uy(x’ + x) + ux(y’ + y) = xy + uy + ux 5. Implementasikan dalam bentuk rangkaian 4. Sederhanakan persamaan output DISAIN RANGKAIAN LOGIKA KOMBINASIONAL 38
  • 39.
  • 40.
    Step rubah non-kanonikke kanonik: 1. Masukkan persamaan/istilah yang hilang 2. Perluas ekspresi 3. Hapus istilah yang berlebihan setelah di perluas Contoh: 1) Ubah persamaan non-kanonik SOP dibawah ini menjadi persamaan kanonik SOP
  • 41.
    Contoh: 2) Ubah persamaannon-kanonik SOP dibawah ini menjadi persamaan kanonik SOP
  • 42.
    Contoh: 3) Ubah persamaannon-kanonik POS dibawah ini menjadi persamaan kanonik POS
  • 43.
    Karnaugh MAP (K-Map) PokokBahasan : 1. K-map 2 variabel 2. K-map 3 variabel 3. K-map 4 variabel 4. Penyederhanaan rangkaian dengan k-map 4 3
  • 44.
    Karnaugh Map (K-Map) •Suatuperalatan grafis yang digunakan untuk menyederhanakan persamaan logika atau mengkonversikan sebuah tabel kebenaran menjadi sebuah rangkaian logika. •Salah satu metode yang paling mudah untuk penyederhanaan Rangkaian Logika. 4 4
  • 45.
    Map Value A BY 0 0 0 A’B’ 1 0 1 A’B 2 1 0 AB’ 3 1 1 AB Tabel Kebenaran A A’B’ 0 AB’ 2 A’B 1 AB 3 0 1 1 B 0 Model II A’B’ 0 A’B 1 AB’ 2 AB 3 0 1 1 A 0 Karnaugh Map 2 Variabel : ( A dan B ) B Model I Map Value 4 5
  • 46.
    Desain Pemetaan K-Map 2 Variabel 0 1 0 1 A B A’ A B’ B 4 6 A A’B’ 0 AB’ 2 A’B 1 AB 3 0 1 1 B 0 Model II
  • 47.
    Karnaugh Map 2Variabel : dengan minterm-mintermnya x y F 0 0 1 0 1 1 1 0 0 1 1 0 0 1 x y 0 1 1 1 0 0 y 0 1 x y 0 1 x’y’ x’y xy’ xy x F = Σ(m0,m1) = x’y + x’y’ 4 7
  • 48.
    0 1 1 0 B A0 1 0 1 F=AB +A’B 0 1 1 1 B A 0 1 0 1 F=AB +AB +AB  0 1 1 0 B A 0 1 0 1 F=AB +A’B 0 1 1 1 B A 0 1 0 1 F=A+B F=AB +AB +AB  48
  • 49.
    Contoh : 1 0 1 2 0 01 1 3 B A 0 0 Tabel Kebenaran 1 Map Value A B Y 0 0 0 1 1 0 1 0 2 1 0 0 3 1 1 1 1 A’B’ A’B’ 0 0 1 0 AB 2 3 1 A 0 B 0 1 AB Jadi Y = A’B’ + AB 49
  • 50.
    Contoh : 2 0 1 1 1 00 2 3 B A 0 0 Tabel Kebenaran 1 Map Value A B Y 0 0 0 1 1 0 1 1 2 1 0 0 3 1 1 0 1 A’B’ A’B A’B’ 0 1 A’B 0 0 2 3 1 A 0 B 0 1 Jadi Y = A’ 5 0
  • 51.
    • 0 kotakterlingkupi = “0” (Low) • 1 kotak terlingkupi = 2 variabel output • 2 kotak terlingkupi = 1 variabel output • 4 kotak terlingkupi = “1” (High) • Melingkupinya harus posisi “Horisontal “ atau “vertikal” , yang dilingkupi digit ”1” dan jumlah digit “1” yang dilingkupi 2n (1, 2,4,8,16, ...) Catatan untuk K-Map 2 Variabel 1 1 1 0 1 1 0 A B B’ A 0 1 1 0 A 1 1 AB A’B’ Y = AB + A’B’ 5 1 Y = B’ + A
  • 52.
    10 Contoh 3: Dari TabelKebenaran dibawah, tulis persamaan logikanya dengan menggunakan K-map : 1 1 1 0 1 0 1 A B A’ A B’ B Map Value A B Y 0 0 0 1 1 0 1 1 2 1 0 0 3 1 1 1 0 1 0 1 A B A’ A B’ B 1 1 1 Jadi Y = A’ + B
  • 53.
    Sederhanakan persamaan logika: Y = A + AB’ + A’B Menggunakan K- map : Contoh 4 : 0 1 0 1 A B A’ A B’ B 1 1 1 1 1 1 0 1 0 1 A B A’ A B’ B Jadi Y = A + B 53
  • 54.
    Karnaugh Map 3Variabel : ( A, B dan C ) Map Value A B C Y 0 0 0 0 1 0 0 1 2 0 1 0 3 0 1 1 4 1 0 0 5 1 0 1 6 1 1 0 7 1 1 1 Tabel Kebenaran A 00 01 11 A’B’C’ 0 A’BC’ 2 ABC’ 6 AB’C’ 4 A’B’C 1 A’BC 3 ABC 7 AB’C 5 Model II AB 00 01 11 A’B’C’ 0 A’B’C 1 A’BC 3 A’BC’ 2 AB’C’ 4 AB’C 5 ABC 7 ABC’ 6 10 0 1 10 0 1 Model I BC C Map Value 54
  • 55.
    Tabel Kebenaran Map Value AB C Y 0 0 0 0 1 0 0 1 2 0 1 0 3 0 1 1 4 1 0 0 5 1 0 1 6 1 1 0 7 1 1 1 Model III Model IV A’B’C’ 0 A’B’C 1 A’BC’ 2 A’BC 3 ABC’ 6 ABC 7 AB’C’ 4 AB’C 5 0 1 00 01 10 11 A B C A’B’C’ 0 AB’C’ 4 A’B’C 1 AB’C 5 A’BC 3 ABC 7 A’BC’ 2 ABC’ 6 0 1 00 01 10 11 B C A Map Value 55
  • 56.
    Desain Pemetaan K-Map 3 Variabel 00 01 11 1 A 0 10 BC C’ C B B’ A A’ 56
  • 57.
    • 0 kotakterlingkupi = “0” (Low) • 1 kotak terlingkupi = 3 variabel output • 2 kotak terlingkupi = 2 variabel output • 4 kotak terlingkupi = 1 variabel output • 8 kotak terlingkupi = “1” (High) • Melingkupinya harus posisi “Horisontal “ atau “vertikal” , yang dilingkupi digit ”1” dan jumlah digit “1” yang dilingkupi 2n (1, 2, 4, 8, ... ) Catatan untuk K- Map 3 Variabel 00 01 11 0 1 1 1 1 1 10 01 11 1 1 1 1 0 1 10 A A BC00 A B’ 00 01 11 0 1 1 1 1 10 A + A’BC’ + A’BC Y = AB’C’ 57
  • 58.
    Contoh pengcoveran AB C 0 C 1 A 000111 10 B c ab 00 01 11 10 0 1 0 0 1 0 0 1 1 1 cout = ab + bc + ac F(A,B,C) = m(0,4,5,7)= AC + B’C’ G(A,B,C) = A 0 0 1 1 0 0 1 1 C B A 1 0 0 1 0 0 1 1 C B A ab c 00 01 11 10 0 1 0 0 1 1 0 0 1 1 f = a 58
  • 59.
    A 0 1 BC 0 1 01 1 1 1 1 00 01 11 10 F=AB’C’ +AB C +ABC +ABC  + A’B’C + A’BC’ A B C F 0 0 0 0 0 0 1 1 0 1 0 1 0 1 1 0 1 0 0 1 1 0 1 1 1 1 0 1 1 1 1 1 + F=A+B C +BC  A 1 0 1 BC 1 1 1 0 1 0 1 00 01 11 10 F=AB’C’ +AB C +ABC +ABC  + A’B’C + A’BC’ 59
  • 60.
    Contoh 1 : TabelKebenaran Diketahui Tabel Kebenaran seperti disamping : Cari persamaan logikanya : Map Value A B C Y 0 0 0 0 1 1 0 0 1 1 2 0 1 0 0 3 0 1 1 0 4 1 0 0 0 5 1 0 1 1 6 1 1 0 1 7 1 1 1 1 00 01 11 1 1 1 1 1 1 10 60 BC A 0 A’B’ AB AC Jadi Y = AC + AB + A’B’
  • 61.
    Contoh 2 : DiketahuiPersamaan Boolean : D = A’BC + A’BC’ + ABC’ + ABC + AB’C Sederhanakan dengan metode K-map 00 01 11 A 0 1 1 1 1 1 1 10 BC A’BC A’BC’ ABC’ ABC AB’C 00 01 11 1 1 1 1 1 1 A 0 10 BC B 61 AC Jadi D = B + AC
  • 62.
    A’B’C’D’ 0 A’BC’D’ 4 ABC’D’ 12 AB’C’D’ 8 A’B’C’D 1 A’BC’D 5 ABC’D 13 AB’C’D 9 A’B’CD 3 A’BCD 7 ABCD 15 AB’CD 11 A’B’CD’ 2 A’BCD’ 6 ABCD’ 14 AB’CD’ 10 00 01 1110 CD 00 11 10 AB 01 Model 2 11 10 A’B’C’D’ 0 A’B’C’D 1 A’B’CD 3 A’B’CD’ 2 A’BC’D’ 4 A’BC’D 5 A’BCD 7 A’BCD’ 6 ABC’D’ 12 ABC’D 13 ABCD 15 ABCD’ 14 AB’C’D’ 8 AB’C’D 9 AB’CD 11 AB’CD’ 10 CD 62 11 10 AB 00 01 00 01 Map Valu e A B C D Y 0 0 0 0 0 1 0 0 0 1 2 0 0 1 0 3 0 0 1 1 4 0 1 0 0 5 0 1 0 1 6 0 1 1 0 7 0 1 1 1 8 1 0 0 0 9 1 0 0 1 10 1 0 1 0 11 1 0 1 1 12 1 1 0 0 13 1 1 0 1 14 1 1 1 0 15 1 1 1 1 Model 1 Tabel Kebenaran Karnaugh Map 4 Variabel : ( A, B, C dan D )
  • 63.
  • 64.
    Desain Pemetaan K-Map 4 Variabel AB 00 10 CD 00 01 11 10 D C C’ D’ A’ A 01 11 64 B B’
  • 65.
    23 Catatan untuk K-Map 4Variabel • 0 kotak terlingkupi = “0” (Low) • 1 kotak terlingkupi = 4 variabel output • 2 kotak terlingkupi = 3 variabel output • 4 kotak terlingkupi = 2 variabel output • 8 kotak terlingkupi = 1 variabel output • 16 kotak terlingkupi = “1” (High) • Melingkupinya harus posisi “Horisontal “ atau “vertikal” , yang dilingkupi digit ”1” dan jumlah digit “1” yang dilingkupi 2n ( 1,2, 4, 8, 16, ... ) AB CD 00 01 11 10 00 1 1 1 1 01 1 1 1 1 11 1 1 10 1 1 1 1 1 1 1 1 1 1 AB CD 00 01 11 10 00 01 11 10 AC’ A’ ACD’ B’C’ ABCD’ A’BCD
  • 66.
    Contoh pengcoveran : LT =A' B' D + A' C + B' C D EQ = A'B'C'D' + A'BC'D + ABCD + AB'CD’ GT = B C' D' + A C' + A B D' K-map untuk LT K-map untuk EQ K-map untuk GT D A 0 0 0 0 1 0 0 0 1 1 0 1 1 1 0 0 B C D A 1 0 0 0 0 1 0 0 0 0 1 0 0 0 0 1 B C D A 0 1 1 1 0 0 1 1 0 0 0 0 0 0 1 0 B C 66
  • 67.
    Contoh pengcoveran : F= ABC+ACD +ABC +AB CD +ABC +AB C CD 0 AB 1 1 0 00 01 0 0 1 1 00 01 11 10 1 1 0 1 11 10 1 1 1 1 F=BC +CD + AC+ AD  67
  • 69.
    27 1 1 1 1 1 1 1 AB 0001 11 10 00 01 11 10 CD D C B A’C ABC’D’ AB’D A B Contoh 2 : Diketahui Tabel Kebenaran , cari persamaan logikanya. Jadi Y = A’C + AB’D + ABC’D’ C 0 1 1 1 3 1 1 1 2 1 1 AB 00 01 11 10 00 01 11 10 CD A D Map Value A B C D Y 0 0 0 0 0 0 1 0 0 0 1 0 2 0 0 1 0 1 3 0 0 1 1 1 4 0 1 0 0 0 5 0 1 0 1 0 6 0 1 1 0 1 7 0 1 1 1 1 8 1 0 0 0 0 9 1 0 0 1 1 10 1 0 1 0 0 11 1 0 1 1 1 12 1 1 0 0 1 13 1 1 0 1 0 14 1 1 1 0 0 15 1 1 1 1 0
  • 70.
    28 1 1 1 1 11 1 1 WX 00 01 11 YZ 00 01 11 Y 10 Z 1 1 1 1 1 1 1 1 WX 00 01 11 10 YZ 00 01 11 10 W Y Z X W 10 W’X’Y’Z’ YZ WXZ’ WX’Z Y Jadi M = W’X’Y’Z’ + WXZ’ + WXX’Z + YZ Contoh 3 : Lingkarilah dan Tulis Persamaan Logikanya.
  • 71.
    29 Physical Implementasi A BC D EQ ° Step 1: Truth table ° Step 2: K-map ° Step 3: Minimized sum-of- products ° Step 4: Implementasi dengan gates K-map untuk EQ D A 1 0 0 0 0 1 0 0 0 0 1 0 0 0 0 1 C B
  • 72.
    Poin-poin penggunaan K-map 72 •Tulis persamaan logika hasil peng- coveran. • Buat persamaan ke bentuk SOP (melalui tabel kebenaran). • Minterm-mintermnya masukkan ke k- map ( sesuaikan jumlah kotak atau variabel input). • Lingkari (pe-ngcover- an) yang benar.
  • 73.
    Don’t Care 73 • Kondisidon’t care merupakan kondisi dimana ada beberapa kombinasi variable input yang tidak selalu dapat dinyatakan nilai outputnya. • Keadaan dimana nilai outputnya tersebut bisa berlogic ‘1’ atau berlogic ‘0’ yang disimbulkan dengan “X” atau “d”. • Kegunaan dari kondisi don’t care pada penyederhanaan fungsi dapat dinyatakan pada fakta bahwa dapat diset dengan logic ‘1’ atau logic ‘0’, berdasar kegunaannya untuk format kelompok logic ‘1’ yang lebih besar.
  • 74.
    Karnaugh maps: don’tcares (cont’d) • f(A,B,C,D) =  m(1,3,5,7,9) + d(6,12,13) – f = A'D + B'C'D – f = A’D + C’D tanpa don't cares dengan don't cares D A 0 0 X 0 1 1 X 1 1 1 0 0 0 X 0 0 B C 0 1 0 1 0 1 X 1 0 1 0 0 X X 0 0 + A B C D f 0 0 0 0 0 0 0 1 0 0 1 0 0 0 1 1 0 1 0 0 0 1 0 1 0 1 1 0 0 + 1 1 1 1 0 0 0 1 0 0 1 1 0 1 0 1 0 1 1 1 1 0 0 1 1 0 1 1 1 1 0 1 1 1 1 74
  • 75.
    Pengcoveran dengan Don’tCares CD AB 00 01 11 10 00 01 11 10 0 1 0 0 x x x 1 1 1 1 x x 0 1 1 F=ACD+B+AC 75
  • 76.
    34 Bentuk ilustrasi pengkoveran D A 0X 1 0 1 1 1 0 1 0 1 1 0 0 1 1 B C 6 prime implicants: A'B'D, BC', AC, A'C'D, AB, B'CD essential minimum cover: 3 essential implicants minimum cover: AC + BC' + A'B'D 0 0 1 0 1 1 1 0 D A 0 1 1 1 0 1 0 0 B C 5 prime implicants: BD, ABC', ACD, A'BC, A'C'D essential minimum cover: 4 essential implicants minimum cover: ABC’+ACD+A’BC+A’C’D
  • 77.
    Aplikasi K-map Pada RangkaianFull Adder Adder Cin Cout S A B + S = A’B’Cin + A’BCin’ + A’BCin + ABCin Cout = A’BCin + A B’Cin + ABCin’ + ABCin = A’BCin + ABCin + AB’Cin + ABCin + ABCin’ + ABCin = (A’ + A)BCin + (B’ + B)ACin + (Cin’ + Cin)AB = 1·BCin + 1· ACin + 1· AB = BCin + ACin + AB A B Cin S Cout 0 0 0 0 0 0 0 1 1 0 0 1 0 1 0 0 1 1 0 1 1 0 0 1 0 1 0 1 0 1 Metode Aljabar Boole 1 1 0 0 1 1 1 1 1 1 77
  • 78.
    Aplikasi K-map Pada RangkaianFull Adder Adder Cin Cout S A B A B Cin S Cout 0 0 0 0 0 0 0 1 1 0 0 1 0 1 0 0 1 1 0 1 1 0 0 1 0 1 0 1 0 1 1 1 0 0 1 1 1 1 1 1 + A B Cin Karnaugh Map for Cout 0 0 1 0 0 1 1 1 Pengisiaan digit 1 ke K-map 78
  • 79.
    Aplikasi K-map Pada RangkaianFull Adder A B Cin Karnaugh Map untuk Cout 0 0 1 0 0 1 1 1 Adder Cin Cout S A B A B Cin S Cout 0 0 0 0 0 0 0 1 1 0 0 1 0 1 0 0 1 1 0 1 1 0 0 1 0 1 0 1 0 1 1 1 0 0 1 1 1 1 1 1 + Pengcoveran pertama. Cout = ACin 79
  • 80.
    Aplikasi K-map Pada RangkaianFull Adder Cin A B A B Cin S Cout 0 0 0 0 0 0 0 1 1 0 0 1 0 1 0 Adder S 0 1 1 0 1 1 0 0 1 0 1 0 1 0 1 1 1 0 0 1 Cout A 1 + 1 1 1 1 0 0 1 0 Pengcoveran kedua. B 0 1 1 1 Cin Karnaugh Map for Cout 38 Cout = Acin + AB
  • 81.
    Aplikasi K-map Pada RangkaianFull Adder A B Adder Cin Cout S A B 0 0 0 A B Cin S Cout 0 0 0 0 0 0 0 1 1 0 0 1 0 1 0 0 1 1 0 1 1 0 0 1 0 1 0 1 0 1 1 1 0 0 1 1 1 1 1 1 + 0 1 1 1 1 Cin Karnaugh Map untuk Cout Pengcoveran ketiga (seluruhnya) 81 Cout = ACin + AB + BCin
  • 82.
    Aplikasi K-map Pada RangkaianFull Adder A B Cin Karnaugh Map untuk S 0 1 0 1 1 0 1 0 Adder Cin Cout S A B A B Cin S Cout 0 0 0 0 0 0 0 1 1 0 0 1 0 1 0 0 1 1 0 1 1 0 0 1 0 1 0 1 0 1 1 1 0 0 1 1 1 1 1 1 + S = A’BCin’ 82
  • 83.
    Aplikasi K-map Pada RangkaianFull Adder A B 0 1 0 1 1 0 1 0 Adder Cin Cout S A B A B Cin S Cout 0 0 0 0 0 0 0 1 1 0 0 1 0 1 0 0 1 1 0 1 1 0 0 1 0 1 0 1 0 1 1 1 0 0 1 1 1 1 1 1 + Cin Karnaugh Map untuk S S = A’BCin’ + A’B’Cin 83
  • 84.
    Aplikasi K-map Pada RangkaianFull Adder A B Cin Karnaugh Map untuk S 0 1 0 1 1 0 1 0 Adder Cin Cout S A B A B Cin S Cout 0 0 0 0 0 0 0 1 1 0 0 1 0 1 0 0 1 1 0 1 1 0 0 1 0 1 0 1 0 1 1 1 0 0 1 1 1 1 1 1 + S = A’BCin’ + A’B’Cin + ABCin 42
  • 85.
    Aplikasi K-map Pada RangkaianFull Adder Coba anda gambar rangkaian diagramnya ? A B Cin Karnaugh untuk S 0 1 0 1 1 0 1 0 Adder Cin Cout S A B A B Cin S Cout 0 0 0 0 0 0 0 1 1 0 0 1 0 1 0 0 1 1 0 1 1 0 0 1 0 1 0 1 0 1 1 1 0 0 1 1 1 1 1 1 + S = A’BCin’ + A’B’Cin + ABCin + AB’Cin’ 85 Tidak bisa direduksi
  • 86.
    Latihan Soal : 86 1.BUATLAH TABEL KEBENARAN DARI PERSAMAAN LOGIKA DIBAWAH: X . Y + X’ . Y + X’ . Y’ = X’ + Y 2. Sederhanakan ekspresi logika dibawah dengan Aljabar Boolean : AB’ + BC + C’A 3. Buat ekspresi logika dibawah kedalam bentuk SOP dan bentuk POS, serta gambar rangkaian logikanya : F(a, b, c, d ) = AC’ + C’D + B’D’
  • 87.
    Latihan Soal : 87 4.Buat Tabel Kebenaran dari fungsi di bawah ini dan ekspresikan setiap fungsi menjadi SOP dan POS , serta rangkaian logikanya: F1=A(C’D+BD’).D(A’C+BD’) 5. Gambarlah K-map untuk setiap ekspresi logika dibawah serta sederhanakan dengan pengcoveran yang benar : 1. A(BC’ + C) + B(A + A’C) 2. (AC + AC’B). (BC + B’C’) Catatan : cari minterm-mintermnya dulu (rubah kebentuk SOP)
  • 88.