Some sample problems on F = ma.
Firstof, some units.
m = kg
a = m/s2
F = ma = kg m/s2
We call this beast a Newton (N)
A cart has an acceleration a = 10 m/s2
and a mass m = 30 kg.
What is the magnitude of the force acting on it?
1. 10 N
2. 30 N
3. 300 N
4. 3 N
Some examples of forces
Weight. Is it a force? Put an anvil on your chest and you will know.
Where does it come from?
I know that all bodies fall with the same acceleration, g.
Since there is an acceleration, there must be a force….
I call this force weight and indicate it with W.
g
W
Examples of weight
Consider a mass m = 1 kg. What is its weight?
I know that the mass, when left alone, would fall with an acceleration
which has a magnitude close to 10 m/s2
. The weight is
W = 1 x 10 = 10 N.
So, 10 N is the force with which Earth’s gravitation attracts a mass of 1 kg.
So, we write: W = mg
Let’s work the other way around…
A mass has a weight of 1 N. That is, Earth exerts a force of 1 N on this mass.
How big is the mass?
1. 1 kg.
2. 10 kg.
3. 0.1 kg.
Let’s compare with known things.
Typical mass of a person: 150 lb.
That makes 70 kg (give or take as usual).
What is the weight?
Misconception: weight is not mass!
W = mg = 70 x 10 = 700 N.
That is, the weight of a person with a mass of 70 kg is 700 N.
How big is a N?
Assume an object has a weight of 1 N.
What is the mass?
Since W = mg, m = W/g = 1/10 = 0.1 kg ~ 0.2 lb
So, 1 N is not a particularly big force.
How can I change g?
Not really easy, I have to change planet
Find the weight in Newtons of a 100 kilogram football player
on the Moon (where the acceleration due to gravity on the surface is about 1.5m/s).
W = mg = (100kg)(1.5m/s) = 150N
Notice that this is a lot less than his weight on Earth:
W = mg = (100kg)(10m/s) = 1000N.
Your weight depends on where you are. Your mass does not.
Assume to move the 100 kg guy to a planet where g = 1000 m/s2
.
What would be his weight there? Is this realistic?
W = mg = 100 * 10 = 1000 N on Earth
W = mg` = 100 * 1000 = 100,000 N on this planet.
Normal Force
Block on a desk.
W = mg
The block does not fall, therefore there must be another force supporting the block
N
We call this force the normal force and indicate it by N
The normal force is always perpendicular to the surface.
That is, on a horizontal surface the normal force is vertical and points up
Where does it come from?
W
The object wants to go through desk, but the atoms
are glued together
The surface bends a bit and the
net effect is to push upwards
N
Example.
Place a block with m = 10 kg on a desk. The block remains at rest on the desk.
What is the magnitude of the normal force?
The normal force is equal to the weight, only points the other way
W = mg
N
So, N = mg = 10 x 10 = 100 N
Wait a moment… Does this mean the normal depends on the block?
Yepp….
When the mass is bigger the desk bends a bit more, and the force is bigger.
If you do not believe it, start putting weights on a thin wooden rod.
The rod bends (and eventually breaks)
Friction
Things stop. Why?
v
initial
v = 0
final
Velocity change is positive or negative?
Positive axis
a
Where is the force pointing?
f
This is the force of friction
Where does friction come from?
Surfaces are rough, even flat ones
http://physweb.spec.warwick.ac.uk/~spsd/stmmisc.html
It turns out that the magnitude of friction is proportional to the weight.
Better said, the friction is proportional to the normal force.
f = µ N
Why? More weight will press those rough spots closer
and stronger together.
Friction is a force that always opposes motion
µ is called coefficient of friction, and depends on the material.
Example.
A block is sliding on a rough surface with coefficient of friction µ = 0.1.
The mass of the block is m = 10 kg, calculate the magnitude of the
force of friction.
I know that f = µ N. I need N.
I know that N = weight = mg.
Therefore: N = mg = 10 x 10 = 100 N.
So, f = 0.1 x 100 = 10 N.
When is friction useful?
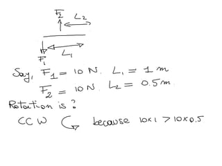
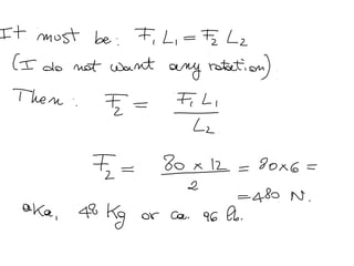
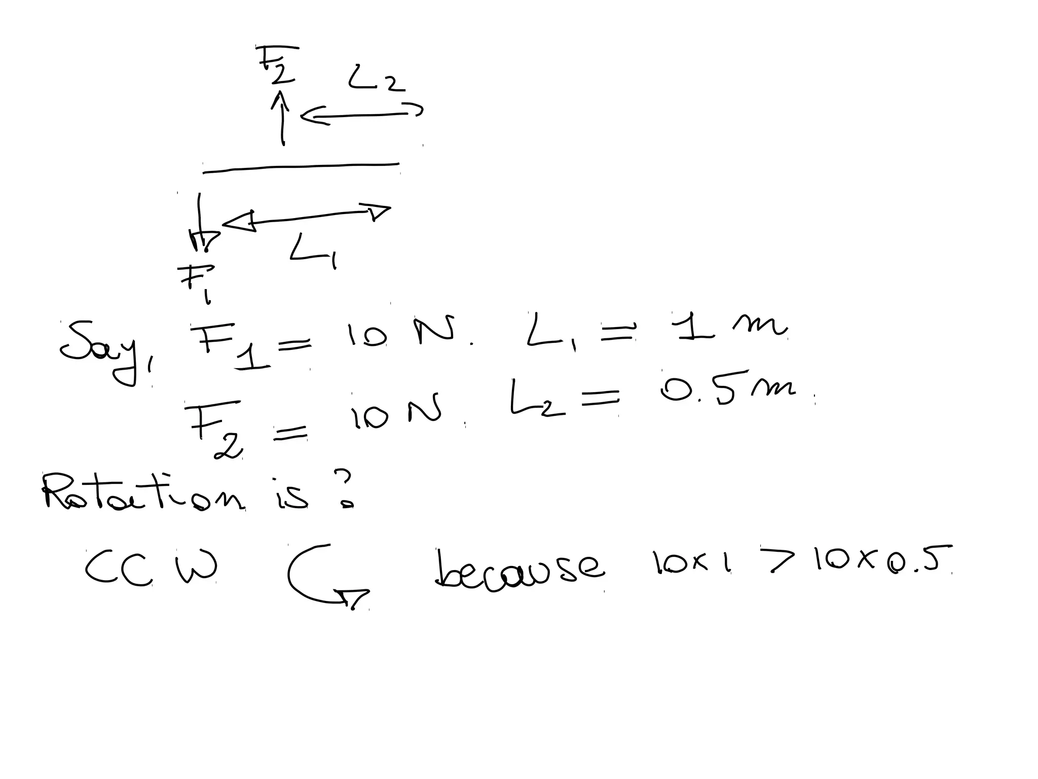
Torque
Biceps and forearm
FM
Load
TM
TR
Muscle Torque
FM
TM
Load Torque
Load
TR
(simplified example)
More examples and exercises
1) Forward curls emphasize the Biceps Brachii (A
primary flexor of the elbow when the forearm is
supinated )
2) Reverse Curls
• Emphasize the Brachialis (A primary flexor for all
positions of the forearm)
3) Hammer Curls
• Emphasize the Brachioradialis (A primary flexor
when the forearm is halfway between full
supination and full pronation)
Clavicular Head
Sternal Head
Example
Calculate the force that your Pec. Maj. Has to apply to win a 1 N
Resistance applied at the center of your hand.
Use figures from your own body.
Tension
Tie a rope to the ceiling, hang a block to it.
The block has a mass, gravitation will attract it.
i.e., there is a weight pulling down…
The block does not fall, therefore there must be an upward force
equal and opposite to the weight.
The force is exerted by the rope, and we call this force tension, T.
T
W
For a block hanging from a rope in an inertial frame of reference,
That is, a frame without any acceleration,
T = W = mg. Once again, magnitude.
This is how some scales work.
They measure the tension to measure the weight.
T
W
Now, assume that a rope is holding a block.
If the weight does not move,
T = W = mg, and a = 0.
T
W
Now cut the rope. T = 0, and
the block will fall with acceleration
g = 10 m/s2
T= 0
W
10 m/s2
Now, let’s go to an intermediate case.
We lower down the block with a constant acceleration.
The magnitude of this acceleration is less than 10 m/s2
.
Call the magnitude of this acceleration a.
What happens to T?
When a = 0, T = mg.
When a = g, T = 0.
So, T will be smaller than mg, but larger than zero.
T?
W
a
T?
W
a
Now, let’s make the block go up with constant
acceleration a.
What happens to T?
a. T is zero.
b. T = mg.
c. T is larger than mg.
d. The problem cannot be solved.
Explanation: put a short-sighted bug sitting on the block.
The bug sees only the rope from which the block hangs.
Since the block is moving upwards, this means that the rope is pulling up
with a force larger than the weight. (if the force were equal to the weight,
the block would remain at rest).
T>mg!
W = mg
a
You weigh an object by hanging it from a rope which works by
reading the amount of tension. You do this on a moving elevator.
Under which of the following circumstances
would you expect the scale to read more than the actual weight.
(A) Elevator moving upward at constant velocity.
(B) Elevator moving upward with constant acceleration.
(C) Elevator moving downward at constant velocity.
(D) Elevator moving downward with constant acceleration.
Now let’s put the block on the floor of an elevator.
When the elevator is at rest, the floor exerts an upward normal force
equal to the weight.
When the elevator accelerates upwards, the normal force
is larger than the weight.
When it accelerates downwards, the force is smaller.
a = 0
W
N
a
W
N
W
N
a

7 forces-examples

  • 1.
    Some sample problemson F = ma. Firstof, some units. m = kg a = m/s2 F = ma = kg m/s2 We call this beast a Newton (N) A cart has an acceleration a = 10 m/s2 and a mass m = 30 kg. What is the magnitude of the force acting on it? 1. 10 N 2. 30 N 3. 300 N 4. 3 N
  • 2.
    Some examples offorces Weight. Is it a force? Put an anvil on your chest and you will know. Where does it come from? I know that all bodies fall with the same acceleration, g. Since there is an acceleration, there must be a force…. I call this force weight and indicate it with W. g W
  • 3.
    Examples of weight Considera mass m = 1 kg. What is its weight? I know that the mass, when left alone, would fall with an acceleration which has a magnitude close to 10 m/s2 . The weight is W = 1 x 10 = 10 N. So, 10 N is the force with which Earth’s gravitation attracts a mass of 1 kg. So, we write: W = mg
  • 4.
    Let’s work theother way around… A mass has a weight of 1 N. That is, Earth exerts a force of 1 N on this mass. How big is the mass? 1. 1 kg. 2. 10 kg. 3. 0.1 kg.
  • 5.
    Let’s compare withknown things. Typical mass of a person: 150 lb. That makes 70 kg (give or take as usual). What is the weight? Misconception: weight is not mass! W = mg = 70 x 10 = 700 N. That is, the weight of a person with a mass of 70 kg is 700 N.
  • 6.
    How big isa N? Assume an object has a weight of 1 N. What is the mass? Since W = mg, m = W/g = 1/10 = 0.1 kg ~ 0.2 lb So, 1 N is not a particularly big force.
  • 7.
    How can Ichange g? Not really easy, I have to change planet Find the weight in Newtons of a 100 kilogram football player on the Moon (where the acceleration due to gravity on the surface is about 1.5m/s). W = mg = (100kg)(1.5m/s) = 150N Notice that this is a lot less than his weight on Earth: W = mg = (100kg)(10m/s) = 1000N. Your weight depends on where you are. Your mass does not.
  • 8.
    Assume to movethe 100 kg guy to a planet where g = 1000 m/s2 . What would be his weight there? Is this realistic? W = mg = 100 * 10 = 1000 N on Earth W = mg` = 100 * 1000 = 100,000 N on this planet.
  • 9.
    Normal Force Block ona desk. W = mg The block does not fall, therefore there must be another force supporting the block N We call this force the normal force and indicate it by N
  • 10.
    The normal forceis always perpendicular to the surface. That is, on a horizontal surface the normal force is vertical and points up Where does it come from? W The object wants to go through desk, but the atoms are glued together The surface bends a bit and the net effect is to push upwards N
  • 11.
    Example. Place a blockwith m = 10 kg on a desk. The block remains at rest on the desk. What is the magnitude of the normal force? The normal force is equal to the weight, only points the other way W = mg N So, N = mg = 10 x 10 = 100 N
  • 12.
    Wait a moment…Does this mean the normal depends on the block? Yepp…. When the mass is bigger the desk bends a bit more, and the force is bigger. If you do not believe it, start putting weights on a thin wooden rod. The rod bends (and eventually breaks)
  • 13.
    Friction Things stop. Why? v initial v= 0 final Velocity change is positive or negative? Positive axis a Where is the force pointing? f This is the force of friction
  • 14.
    Where does frictioncome from? Surfaces are rough, even flat ones http://physweb.spec.warwick.ac.uk/~spsd/stmmisc.html
  • 15.
    It turns outthat the magnitude of friction is proportional to the weight. Better said, the friction is proportional to the normal force. f = µ N Why? More weight will press those rough spots closer and stronger together. Friction is a force that always opposes motion µ is called coefficient of friction, and depends on the material.
  • 16.
    Example. A block issliding on a rough surface with coefficient of friction µ = 0.1. The mass of the block is m = 10 kg, calculate the magnitude of the force of friction. I know that f = µ N. I need N. I know that N = weight = mg. Therefore: N = mg = 10 x 10 = 100 N. So, f = 0.1 x 100 = 10 N.
  • 17.
  • 19.
  • 24.
  • 25.
  • 26.
  • 27.
  • 31.
    More examples andexercises 1) Forward curls emphasize the Biceps Brachii (A primary flexor of the elbow when the forearm is supinated )
  • 32.
    2) Reverse Curls •Emphasize the Brachialis (A primary flexor for all positions of the forearm)
  • 33.
    3) Hammer Curls •Emphasize the Brachioradialis (A primary flexor when the forearm is halfway between full supination and full pronation)
  • 34.
  • 35.
    Example Calculate the forcethat your Pec. Maj. Has to apply to win a 1 N Resistance applied at the center of your hand. Use figures from your own body.
  • 36.
    Tension Tie a ropeto the ceiling, hang a block to it. The block has a mass, gravitation will attract it. i.e., there is a weight pulling down… The block does not fall, therefore there must be an upward force equal and opposite to the weight. The force is exerted by the rope, and we call this force tension, T. T W
  • 37.
    For a blockhanging from a rope in an inertial frame of reference, That is, a frame without any acceleration, T = W = mg. Once again, magnitude. This is how some scales work. They measure the tension to measure the weight. T W
  • 38.
    Now, assume thata rope is holding a block. If the weight does not move, T = W = mg, and a = 0. T W Now cut the rope. T = 0, and the block will fall with acceleration g = 10 m/s2 T= 0 W 10 m/s2
  • 39.
    Now, let’s goto an intermediate case. We lower down the block with a constant acceleration. The magnitude of this acceleration is less than 10 m/s2 . Call the magnitude of this acceleration a. What happens to T? When a = 0, T = mg. When a = g, T = 0. So, T will be smaller than mg, but larger than zero. T? W a
  • 40.
    T? W a Now, let’s makethe block go up with constant acceleration a. What happens to T? a. T is zero. b. T = mg. c. T is larger than mg. d. The problem cannot be solved.
  • 41.
    Explanation: put ashort-sighted bug sitting on the block. The bug sees only the rope from which the block hangs. Since the block is moving upwards, this means that the rope is pulling up with a force larger than the weight. (if the force were equal to the weight, the block would remain at rest). T>mg! W = mg a
  • 42.
    You weigh anobject by hanging it from a rope which works by reading the amount of tension. You do this on a moving elevator. Under which of the following circumstances would you expect the scale to read more than the actual weight. (A) Elevator moving upward at constant velocity. (B) Elevator moving upward with constant acceleration. (C) Elevator moving downward at constant velocity. (D) Elevator moving downward with constant acceleration.
  • 43.
    Now let’s putthe block on the floor of an elevator. When the elevator is at rest, the floor exerts an upward normal force equal to the weight. When the elevator accelerates upwards, the normal force is larger than the weight. When it accelerates downwards, the force is smaller. a = 0 W N a W N W N a