5. FIREFLY ALGORITHM
OPTIMIZATION
• FA is one of the recent swarm intelligence methods developed by
Yang in 2008 and is a kind of stochastic, nature-inspired, meta-
heuristic algorithm that can be applied for solving the hardest
optimization problems (also NP-hard problems). This algorithm
belongs to stochastic algorithms. This means, it uses a kind of
randomization by searching for a set of solutions. It is inspired by the
flashing lights of fireflies in nature. Heuristic means ‘to find’ or ‘to
discover solutions by trial and error’. There is no guarantee that the
optimal solution will be found in a reasonable amount of time
In the firefly algorithm, concentrates on the generation of new
solutions within a search space and thus, selects the best solution for
survival. Search process depends on balancing between two major
components: exploration and exploitation
One of the three rules used to construct the algorithm is that all
fireflies are unisex, which means any firefly can be attracted to any
other brighter one. The second rule is that the brightness of a firefly is
determined from the encoded objective function. The last rule is that
attractiveness is directly proportional to brightness but decreases with
distance, and a firefly will move towards the brighter one, and if there
is no brighter one, it will move randomly.
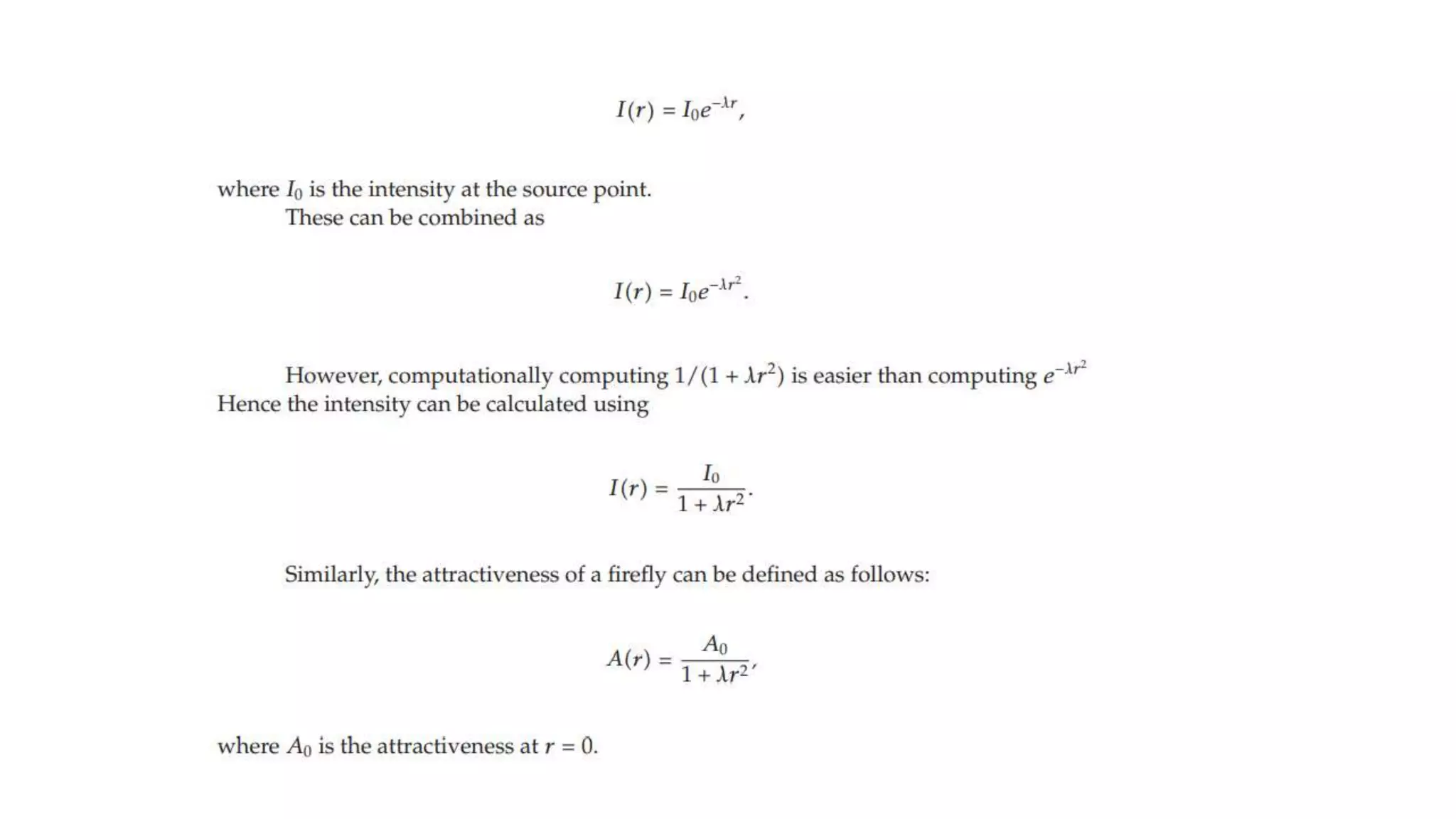
• From elementary physics it is clear that the intensity of light is
inversely proportional to the square of the distance r, from the
source. Furthermore when light passes through a medium with light
absorption coefficient of λ the light intensity, I varies with distance r
Firefly Algorithm Flowchart
5. FIREFLY ALGORITHM OPTIMIZATION.pptx
5. FIREFLY ALGORITHM OPTIMIZATION.pptx
5. FIREFLY ALGORITHM OPTIMIZATION.pptx
5. FIREFLY ALGORITHM OPTIMIZATION.pptx
5. FIREFLY ALGORITHM OPTIMIZATION.pptx
5. FIREFLY ALGORITHM OPTIMIZATION.pptx
5. FIREFLY ALGORITHM OPTIMIZATION.pptx
5. FIREFLY ALGORITHM OPTIMIZATION.pptx
5. FIREFLY ALGORITHM OPTIMIZATION.pptx
5. FIREFLY ALGORITHM OPTIMIZATION.pptx
5. FIREFLY ALGORITHM OPTIMIZATION.pptx
5. FIREFLY ALGORITHM OPTIMIZATION.pptx
5. FIREFLY ALGORITHM OPTIMIZATION.pptx
5. FIREFLY ALGORITHM OPTIMIZATION.pptx
5. FIREFLY ALGORITHM OPTIMIZATION.pptx
5. FIREFLY ALGORITHM OPTIMIZATION.pptx
5. FIREFLY ALGORITHM OPTIMIZATION.pptx
5. FIREFLY ALGORITHM OPTIMIZATION.pptx

5. FIREFLY ALGORITHM OPTIMIZATION.pptx

  • 1.
  • 2.
    • FA isone of the recent swarm intelligence methods developed by Yang in 2008 and is a kind of stochastic, nature-inspired, meta- heuristic algorithm that can be applied for solving the hardest optimization problems (also NP-hard problems). This algorithm belongs to stochastic algorithms. This means, it uses a kind of randomization by searching for a set of solutions. It is inspired by the flashing lights of fireflies in nature. Heuristic means ‘to find’ or ‘to discover solutions by trial and error’. There is no guarantee that the optimal solution will be found in a reasonable amount of time
  • 3.
    In the fireflyalgorithm, concentrates on the generation of new solutions within a search space and thus, selects the best solution for survival. Search process depends on balancing between two major components: exploration and exploitation One of the three rules used to construct the algorithm is that all fireflies are unisex, which means any firefly can be attracted to any other brighter one. The second rule is that the brightness of a firefly is determined from the encoded objective function. The last rule is that attractiveness is directly proportional to brightness but decreases with distance, and a firefly will move towards the brighter one, and if there is no brighter one, it will move randomly.
  • 4.
    • From elementaryphysics it is clear that the intensity of light is inversely proportional to the square of the distance r, from the source. Furthermore when light passes through a medium with light absorption coefficient of λ the light intensity, I varies with distance r
  • 8.