© 2015, IJCSE All Rights Reserved 143
International Journal of Computer Sciences and EngineeringInternational Journal of Computer Sciences and EngineeringInternational Journal of Computer Sciences and EngineeringInternational Journal of Computer Sciences and Engineering Open Access
Review Paper Volume-3, Issue-8 E-ISSN: 2347-2693
A Novel Framework Using Structured Robustness Score in Keyword
Quries Over Database by Feedback Algorithm and Profile Migration
Scheme
K.Sivaranjani1*
and V.Geetha2
1*,2
Department of Computer Science,
STET Women’s College, Mannargudi
www.ijcseonline.org
Received: Jul /26/2015 Revised: Aug/06/2015 Accepted: Aug/23/2015 Published: Aug/30/ 2015
Abstract— Magic word questions on data bases offer simple accessibility to data, however for the most part endure from low
positioning quality, i.e., low exactitude and/at that point again recall, as demonstrated in recent benchmarks. It’d be
accommodating to spot questions that square measure presumably to own low positioning quality to make strides the customer
satisfaction. at that point again example, the framework could recommend to the customer diverse questions at that point again
such onerous queries.. We set forth a high-principled framework and proposed novel calculations to live the degree of the issue
of a question over a dB, exploitation the positioning strength principle. Supported our framework, we tend to proposture novel
calculations that with proficiency anticipate the adequacy of a magic word question. Our intensive tests show that the
calculations anticipate the issue of a question with comparatively low errors and negligible time overheads.
Keywords— Inquiry Performance, Question Effectiveness, Magic Word Query, Robustness, Databases.
I. PRESENTATION
Question interfaces (KQIs) at that point again databases
have attracted a parcel of attention inside the last decade
because utilization of their adaptability and simple
utilization in looking and exploring the data. Since any
element in an exceedingly data set that contains the question
magic words might be a potential answer, magic word
questions commonly have a few potential answers. KQIs
should focus the data desires behind magic word questions
and rank the answers so the needed answers seem at the
highest of the list. Unless otherwise noted, we tend to ask
magic word question as question inside the remainder of
this paper. Some of the challenges of answering a question
are as follows: First, unlike questions in dialects like SQL,
clients do not normally indicate the sought construction
element(s) at that point again each question term. At that
point again instance, question Q1: Adoptive parent on the
IMDB database (http://www.imdb.com) does not indicate in
the occasion that the customer is interested in motion
pictures whose title is Adoptive parent at that point again
motion pictures distributed by the Adoptive parent
company. Thus, a KQI must find the sought traits associated
with each term in the query. Second, the construction of the
yield is not specified, i.e., clients do not give enough data to
single out exactly their sought substances. At that point
again example, Q1 might return motion pictures at that
point again actors at that point again producers. We present
a more complete investigation of the sources of trouble and
ambiguity there are cooperative efforts to produce standard
benchmarks and investigation platforms at that point again
magic word look procedures over databases. One effort is
that the data-centric track of INEX Workshop wherever
KQIs square measure assessed over the well-known IMDB
data set that contains organized info as to motion pictures
and other individuals in show business. Queries were given
by members of the workshop. Another effort is that the
arrangement of linguistics Look Challenges (SemSearch) at
linguistics Look Workshop, where the information set is
that the Billion Triple Challenge data set at
http://vmlion25.deri.de. It’s separated from completely
diverse organized data sources over the online like
Wikipedia. The questions square measure taken from
Yahoo! magic word question log. Clients have given
relevancy judgments at that point again each benchmark.
These results show that indeed with organized information,
finding the indicated answers to magic word questions
remains a tough task. additional apparently, looking nearer
to the positioning quality of the most compelling playacting
procedures on each workshops, we tend to notice that all of
them have been playacting terribly poorly on a set of
queries. At that point again instance, take into account the
question ancient Rome era over the IMDB data set. Clients
would really like to check data as to motion pictures that
state ancient Rome. At that point again this question , the
state of the art XML look ways that we tend to enforced
come rankings of fundamentally lower quality than their
International Journal of Computer Sciences and Engineering Vol.-3(8), PP(143-147) Aug 2015, E-ISSN: 2347-2693
© 2015, IJCSE All Rights Reserved 144
normal positioning quality over all queries. Hence, some
questions range unit more troublesome than others.
Moreover, regardless of that positioning framework is
employed, we tend to can’t deliver a reasonable positioning
at that point again these queries. Table one lists a test of
such arduous questions from the 2 benchmarks. Such a
pattern has been moreover watched at that point again
magic word questions over content record accumulations. It
is necessary at that point again a KQI to information such
questions and warn the customer at that point again
utilization different procedures like question reformulation
at that point again question suggestions . It’s going to
moreover utilization procedures like question results
diversification. To the most compelling of our data, there
has not been any work on foreseeing at that point again
breaking down the challenges of questions over databases.
Scientists have projected some ways to sight tough
questions over plain content record accumulations.
However, these procedures aren't applicable to our
drawback since they ignore the structure of the information.
Above all, as said earlier, a KQI should assign exceptionally
question term to a construction element(s) inside the
information. It should moreover distinguish the indicated
result type(s). We tend to through observational observation
show that direct diversifications of these procedures range
unit in compelling at that point again organized data.
II. LITERATURE SURVEY
Y. Luo, X. Lin, W. Wang, and X. Zhou,, In this paper, we
study the adequacy and the proficiency issues of answering
top-k magic word question in relational database systems.
We propose a new positioning equation by adapting
existing IR procedures based on a natural notion of virtual
document. Compared with previous approaches, our new
positioning framework is fundamental yet effective, and
agrees with human perceptions. We too study efficient
question handling procedures at that point again the new
positioning method, and propose calculations that have
insignificant accesses to the database. We have conducted
extensive tests on substantial scale genuine databases
utilizing two popular RDBMSs. The experimental results
demonstrate critical change to the alternative approaches in
terms of retrieval adequacy and efficiency. V. Ganti, Y. He,
and D. Xing,, Magic word look over element databases
(e.g., product, motion picture databases) is an critical
problem. Current procedures at that point again magic word
look on databases might regularly return incomplete and
imprecise results. On the one hand, they either require that
material substances contain all (at that point again most) of
the question keywords, at that point again that material
substances and the question magic words happen together in
a few reports from a known collection. Neither of these
necessities might be satisfied at that point again a number of
customer queries. Consequently results at that point again
such questions are likely to be incomplete in that highly
material substances might not be returned. On the other
hand, although some returned substances contain all (at that
point again most) of the question keywords, the intention of
the magic words in the question could be diverse from that
in the entities. Therefore, the results could too be imprecise.
To remedy this problem, in this paper, we proposture a
general framework that can make strides an existing look
interface by translating a magic word question to a
organized query. Specifically, we leverage the magic word
to characteristic esteem associations discovered in the
results returned by the remarkable look interface G.
Bhalotia, A. Hulgeri, C. Nakhe, S. Chakrabarti, and S.
Sudarshan, With the growth of the Web, there has been a
rapid increment in the number of clients who need to access
online databases without having a detailed information of
the construction at that point again of question languages;
indeed moderately fundamental question dialects composed
at that point again non-experts are too confused at that point
again them. We depict BANKS, a framework which
empowers keyword-based look on relational databases,
together with data and construction browsing. BANKS
empowers clients to separate data in a fundamental way
without any information of the construction at that point
again any need at that point again writing complex queries.
A customer can get data by typing a few keywords, taking
after hyperlinks, and interacting with controls on the
displayed results. A. Trotman and Q. Wang This paper
presents an outline of the INEX 2011 Data-Centric Track.
Having the commercial hoc look assignment running its
second year, we introduced a new task, faceted look task,
which objective is to give the infrastructure to investigate
and assess diverse procedures and procedures of
recommending facet-values to aid the customer to navigate
through a huge set of question results and quickly
distinguish the results of interest. The same IMDB
gathering as last year was used at that point again both
tasks. A complete of 9 active members contributed a
complete of 60 points at that point again both errands and
submitted 35 commercial hoc look runs and 13 faceted look
runs. A complete of 38 commercial hoc look points were
assessed, which consolidate 18 sub points at that point again
13 faceted look topics. We discuss the setup at that point
again both errands and the results acquired by their
participants. S. C. Townsend, Y. Zhou, and B. Croft, We
create a framework at that point again foreseeing question
execution by registering the relative entropy between a
question dialect model and the corresponding gathering
dialect model. The resulting clarity score measures the
coherence of the dialect usage in reports whose models are
likely to create the query. We suggest that clarity scores
measure the uncertainty of a question with respect to a
gathering of reports and show that they correlate positively
with normal exactness in a mixed bag of TREC test sets.
International Journal of Computer Sciences and Engineering Vol.-3(8), PP(143-147) Aug 2015, E-ISSN: 2347-2693
© 2015, IJCSE All Rights Reserved 145
Thus, the clarity score might be used to distinguish in
compelling queries, on average, without criticalness
information. We create a calculation at that point again
consequently setting the clarity score edge between
anticipated poorly-performing questions and acceptable
questions and validate it utilizing TREC data. In particular,
we think about the automatic thresholds to optimum
thresholds and too check how frequently results as great are
achieved in sampling tests that haphazardly assign questions
to the two classes. Clarity-score-based: The procedures
based on the concept of clarity score assume that clients are
interested in a exceptionally few topics, so they deem a
question simple in the occasion that its results have a place
to exceptionally few topic(s) and therefore, sufficiently
distinguishable from other reports in the gathering,
Scientists have demonstrated that this approach predicts the
trouble of a question more accurately than pre-retrieval
based procedures at that point again content reports . Some
frame lives up to expectations measure the
distinguishability of the questions results from the reports in
the gathering by contrasting the likelihood dispersion of
terms in the results with the likelihood dispersion of terms
in the entirety collection. In the occasion that these
likelihood dispersions are moderately similar, the question
results contain data about practically as numerous points as
the entirety collection, thus, the question is considered
difficult. Several successors propose procedures to make
strides the proficiency and adequacy of clarity score.
However, one requires range information about the data sets
to extend thought of clarity score at that point again
questions over databases. Each subject in a database
contains the substances that are about a comparative
subject. It is for the most part hard to define an equation that
partitions substances into points as it requires finding a
compelling closeness capacity between entities. Such
closeness capacity depends predominantly on the range
information and understanding users’ preferences. At that
point again instance, diverse traits might have diverse
impacts on the degree of the closeness between entities.
III. IMPLEMENTATION DETAILS
3.1 Basic Estimation Techniques:
Information sets: The INEX data set is from the INEX
2010 Information Centric Track. The INEX data set
contains two element sets: motion picture and person. Each
element in the motion picture element set speaks to one
motion picture with traits like title, keywords, and year. The
person element set contains traits like name, nickname, and
biography. The SemLook data set is a subset of the data set
used in Semantic Look 2010 challenge. The remarkable
data set contains 116 records with about one billion RDF
triplets. Since the size of this data set is extremely large, it
takes a exceptionally long time to index and run questions
over this data set. Hence, we have used a subset of the
remarkable data set in our experiments. We to begin with
uprooted duplicate RDF triplets. Then, fat that point again
each record in SemLook data set, we figured the complete
number of unmistakable question terms in SemLook
question work commercial in the file. We selected the 20,
out of the 116, records that contain the largest number of
question magic words fat that point again our experiments.
We converted each unmistakable RDF subject in this data
set to an element whose identifier is the subject identifier.
The RDF properties are mapped to traits in our model. The
values of RDF properties that end with substring ―#type"
shows the sort of a subject. Hence, we set the element set of
each element to the concatenation of the values of RDF
properties of its RDF subject that end with substring
―#type". In the occasion that the subject of an element
does not have any property that ends with substring
―#type", we set its element set to ―Undefined Type". We
have included the values of other RDF properties fat that
point again the subject as traits of its entity. We put away
the data about each element in a separate XML file. We
have uprooted the criticalness judgment data fat that point
again the subjects that do not reside in these 20 files. The
sizes of the two data sets are quite close; however,
SemLook is more heterogeneous than INEX as it contains a
bigger number of traits and element sets.
Inquiry Workloads: Since us utilization a subset of the
dataset from SemSearch, some questions in its question
work commercial might not contain enough hopeful
answers. We picked the 55 questions from the 92 in the
question work commercial that have at slightest 50 hopeful
answers in our dataset. Because utilization the number of
entries fat that point again each question in the criticalness
judgment record has too been reduced, we discarded
another two questions (Q6 and Q92) without any material
answers in our dataset, agreeing to the criticalness judgment
file. Hence, our tests is done utilizing 53 questions (2, 4, 5,
11-12, 14-17, 19-29, 31, 33-34, 37-39, 41-42, 45, 47, 49,
52-54, 56- 58, 60, 65, 68, 71, 73-74, 76, 78, 80-83, 88-91)
from the SemLook question workload. 26 question points
are given with criticalness judgments in the INEX 2010
Information Centric Track. Some question points contain
characters ―+" and ―−" to show the conjunctive and
exclusive conditions. In our experiments, we do not
utilization these conditions and remove the magic words
after character ―−". Some seeking frame lives up to
expectations utilization these administrators to make strides
look quality.
Top-K results: Generally, the fundamental data unit’s
unorganized data sets, characteristic values, are much
shorter than content documents. Thus, a organized data set
contains a bigger number of data units than an unorganized
data set of the same size. Fat that point again instance, each
International Journal of Computer Sciences and Engineering Vol.-3(8), PP(143-147) Aug 2015, E-ISSN: 2347-2693
© 2015, IJCSE All Rights Reserved 146
XML record in the INEX data centric gathering constitutes
hundreds of elements with literary contents. Hence,
registering Comparison 3 fat that point again a huge DB is
so inefficient as to be impractical. Hence, comparative to,
we corrupt just the top-K element results of the remarkable
data set. We re-rank these results and shift them up to be the
top-K answers fat that point again the undermined versions
of DB. In expansion to the time savings, our observational
results in Segment 8.2 show that moderately little values fat
that point again K anticipate the trouble of questions better
than huge values. Fat that point again instance, we found
that K = 20 delivers the best execution forecast quality in
our datasets.
Number of defilement iterations (N): Computing the
desire in Comparison 3 fat that point again all conceivable
values of _x is exceptionally inefficient. Hence, we estimate
the desire utilizing N >0 tests over M(|A|× V). That is, we
utilization N undermined copies of the data. Obviously,
littler N is preferred fat that point again the sake of
efficiency. However, in the occasion that we choose
exceptionally little values fat that point again N the
defilement model gets to be unstable.
3.2 Existing Work
As per our recent literature reviews, there has not been any
work on foreseeing at that point again breaking down the
challenges of questions over databases. Scientists have
proposed some procedures to distinguish troublesome
questions over plain content record accumulations recently.
But procedures are not applicable to our issue since they
ignore the structure of the database. There are two
categories of existing methods, pre-retrieval and post-
retrieval fat that point again foreseeing the challenges of
query. But beneath are limitations of this method:
Pre-retrieval procedures are having less forecast
accuracies.
Post-retrieval procedures are having better forecast
accuracies be that as it may one requires range
information about the data sets to extend thought
of clarity score fat that point again questions over
databases.
Each subject in a database contains the substances
that are about a comparative subject.
Some Post-retrieval procedures success just
depends on the sum and quality of their available
preparing data.
3.3 Proposed Work
To address the issues of scalability and handling time under
huge datasets, we proposed new extended framework in
which some time as of late going to ascertain SR scores we
are applying the k-means clustering to separate input dataset
into number of clusters those having legitimate
information’s. Due to this, time needed fat that point again
foreseeing the troublesome magic words over huge dataset
is minimized and process gets to be strong and accurate.
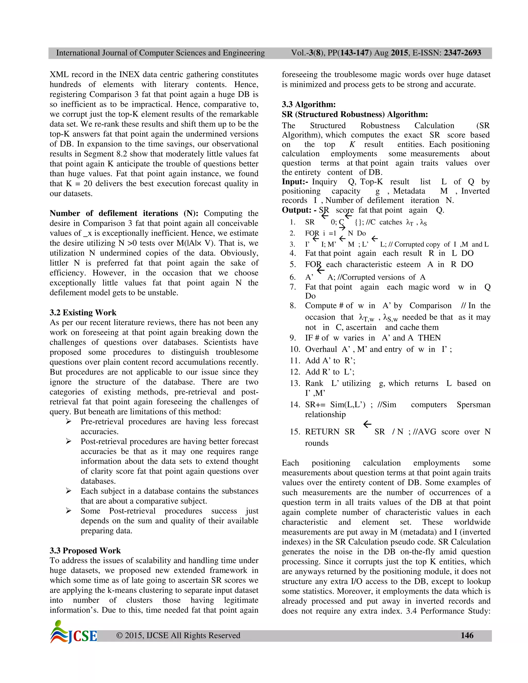
3.3 Algorithm:
SR (Structured Robustness) Algorithm:
The Structured Robustness Calculation (SR
Algorithm), which computes the exact SR score based
on the top K result entities. Each positioning
calculation employments some measurements about
question terms at that point again traits values over
the entirety content of DB.
Input:- Inquiry Q, Top-K result list L of Q by
positioning capacity g , Metadata M , Inverted
records I , Number of defilement iteration N.
Output: - SR score fat that point again Q.
1. SR 0; C {}; //C catches λT , λS
2. FOR i =1 N Do
3. I’ I; M’ M ; L’ L; // Corrupted copy of I ,M and L
4. Fat that point again each result R in L DO
5. FOR each characteristic esteem A in R DO
6. A’ A; //Corrupted versions of A
7. Fat that point again each magic word w in Q
Do
8. Compute # of w in A’ by Comparison // In the
occasion that λT,w , λS,w needed be that as it may
not in C, ascertain and cache them
9. IF # of w varies in A’ and A THEN
10. Overhaul A’ , M’ and entry of w in I’ ;
11. Add A’ to R’;
12. Add R’ to L’;
13. Rank L’ utilizing g, which returns L based on
I’ ,M’
14. SR+= Sim(L,L’) ; //Sim computers Spersman
relationship
15. RETURN SR SR / N ; //AVG score over N
rounds
Each positioning calculation employments some
measurements about question terms at that point again traits
values over the entirety content of DB. Some examples of
such measurements are the number of occurrences of a
question term in all traits values of the DB at that point
again complete number of characteristic values in each
characteristic and element set. These worldwide
measurements are put away in M (metadata) and I (inverted
indexes) in the SR Calculation pseudo code. SR Calculation
generates the noise in the DB on-the-fly amid question
processing. Since it corrupts just the top K entities, which
are anyways returned by the positioning module, it does not
structure any extra I/O access to the DB, except to lookup
some statistics. Moreover, it employments the data which is
already processed and put away in inverted records and
does not require any extra index. 3.4 Performance Study:
International Journal of Computer Sciences and Engineering Vol.-3(8), PP(143-147) Aug 2015, E-ISSN: 2347-2693
© 2015, IJCSE All Rights Reserved 147
SR Algorithm: We report the fundamental reckoning time
of SR score (SR-time) exploitation SR principle and think
about it to the fundamental question time interval (Q-time)
exploitation PRMS fat that point again the questions in our
question workloads. These times square measure presented
in Table half-dozen fat that point again K = twenty. SR-time
chiefly comprises of two parts: the time spent on corrupting
K results and accordingly the time to re-rank the K
undermined results. We’ve rumored SR-time exploitation
(defilement time + re-rank time) format. We see that SR
principle incurs a substantial time over commercial on the
question process. This over commercial is higher fat that
point again questions over the INEX dataset, as a result of
their square measure solely 2 element sets, (person and
movie), inside the INEX dataset, and all question magic
words inside the question low commercial happen in each
element sets. Hence, consistent with Comparison ten, each
characteristic worth in top K substances are going to be
undermined as a result of the third level of corruption. Since
SemLook contains much more element sets and traits than
INEX, this framework doesn't happen fat that point again
SemSearch. QAO-Approx: QAO-Approx on INEX and
SemSearch, severally. We live the forecast adequacy fat
that point again littler values of N exploitation normal
relationship score. The QAO-Approx principle delivers
acceptcapable relationship scores and too the defilement
times of as to two seconds fat that point again N = ten on
INEX and N = twenty on SemSearch. Examination to the
results of SR principle fat that point again N = 250 on
SemLook and N = three hundred on INEX, the Pearson’s
relationship score drops, because utilization less noise is
else by second and third level corruption. These results
show the criticalness of those 2 levels of corruption.
IV. CONCLUSION
In this paper, we investigate the characteristics of laborious
questions and propose a remarkable framework to live the
degree of issue fat that point again a magic word question
over a information, considering each the structure and too
the content of the data and too the question results. We have
an inclination to assess our question issue forecast model
against 2 adequacy benchmarks fat that point again wide
commercial magic word look positioning strategies. Our
observational results show that our model predicts the
laborious questions with high accuracy. Further, we have an
inclination to gift a set of optimizations to minimize the
incurred time overhead. We have an inclination to propose
novel calculations that expeditiously anticipate the
adequacy of a magic word question. Our in depth tests show
that the calculations anticipate the issue of a question with
comparatively low errors and negligible time overheads.
ACKNOWLEDGEMENT
1
K.SIVARANJANI, M.Phil Research Scholar, PG and
Research Department of Computer Science, STET
Women’s College, Mannargudi.
2
Mrs. V. GEETHA M.Sc., M.Phil., B.Ed., Head, PG and
Research Department of Computer Science, STET
Women’s College, Mannargudi.
References
[1] I. F. Akyildiz, X. Wang, and W. Wang, “Wireless Mesh
Networks: A Survey”, Computer Networks and ISDN
Systems, Vol.47, Issue-2, 2005, pp.445-487.
[2] I. F. Akyildiz, and X. Wang, “A Survey on Wireless Mesh
Networks”, IEEE Radio Communications, Vol.43, Issue-3,
2005, pp.23-30.
[3] M. Lee et al., “Emerging Standards for Wireless Mesh
Technology”, IEEE Wireless Communications, Vol.13,
Issue-4, 2006, pp.56-63.
[4] N.B. Salem, and J-P Hubaux, “Securing Wireless Mesh
Networks”, IEEE Wireless Communications, Vol.13, Issue-
2, 2006, pp.50-55.
[5] S. Han, E. Chang, L. Gao, T. Dillon, T., Taxonomy of
Attacks on Wireless Sensor Networks, in the Proceedings of
the 1st European Conference on Computer Network
Defence (EC2ND), University of Glamorgan, UK, Springer
Press, SpringerLink Date: December 2007.
[6] C. Karlof and D. Wagner, “Secure routing in wireless sensor
networks: attacks and countermeasures,” Ad Hoc Networks
1, 2003, pp. 293-315.
[7] Y. Yang, Y. Gu, X. Tan and L. Ma, “A New Wireless Mesh
Networks Authentication Scheme Based on Threshold
Method,” 9th
International Conference for Young Computer
Scientists (ICYCS-2008), 2008, pp. 2260-2265
[8] Tanaka, A. ; Miyazaki, T.,” Hardware Accelerator for
BLAST”. Published in:Embedded Multicore Socs
(MCSoC), 2012 IEEE 6th International Symposium onDate
of Conference:20-22 Sept. 2012 Page(s):16 – 22.
[9] Woojay Jeon,” Efficient speech indexing and search for
embedded devices using uniterms”. Published in:Acoustics,
Speech and Signal Processing, 2009. ICASSP 2009. IEEE
International Conference of Date of Conference:19-24 April
2000 Page(s):1297 – 1300.

27 ijcse-01238-5 sivaranjani

  • 1.
    © 2015, IJCSEAll Rights Reserved 143 International Journal of Computer Sciences and EngineeringInternational Journal of Computer Sciences and EngineeringInternational Journal of Computer Sciences and EngineeringInternational Journal of Computer Sciences and Engineering Open Access Review Paper Volume-3, Issue-8 E-ISSN: 2347-2693 A Novel Framework Using Structured Robustness Score in Keyword Quries Over Database by Feedback Algorithm and Profile Migration Scheme K.Sivaranjani1* and V.Geetha2 1*,2 Department of Computer Science, STET Women’s College, Mannargudi www.ijcseonline.org Received: Jul /26/2015 Revised: Aug/06/2015 Accepted: Aug/23/2015 Published: Aug/30/ 2015 Abstract— Magic word questions on data bases offer simple accessibility to data, however for the most part endure from low positioning quality, i.e., low exactitude and/at that point again recall, as demonstrated in recent benchmarks. It’d be accommodating to spot questions that square measure presumably to own low positioning quality to make strides the customer satisfaction. at that point again example, the framework could recommend to the customer diverse questions at that point again such onerous queries.. We set forth a high-principled framework and proposed novel calculations to live the degree of the issue of a question over a dB, exploitation the positioning strength principle. Supported our framework, we tend to proposture novel calculations that with proficiency anticipate the adequacy of a magic word question. Our intensive tests show that the calculations anticipate the issue of a question with comparatively low errors and negligible time overheads. Keywords— Inquiry Performance, Question Effectiveness, Magic Word Query, Robustness, Databases. I. PRESENTATION Question interfaces (KQIs) at that point again databases have attracted a parcel of attention inside the last decade because utilization of their adaptability and simple utilization in looking and exploring the data. Since any element in an exceedingly data set that contains the question magic words might be a potential answer, magic word questions commonly have a few potential answers. KQIs should focus the data desires behind magic word questions and rank the answers so the needed answers seem at the highest of the list. Unless otherwise noted, we tend to ask magic word question as question inside the remainder of this paper. Some of the challenges of answering a question are as follows: First, unlike questions in dialects like SQL, clients do not normally indicate the sought construction element(s) at that point again each question term. At that point again instance, question Q1: Adoptive parent on the IMDB database (http://www.imdb.com) does not indicate in the occasion that the customer is interested in motion pictures whose title is Adoptive parent at that point again motion pictures distributed by the Adoptive parent company. Thus, a KQI must find the sought traits associated with each term in the query. Second, the construction of the yield is not specified, i.e., clients do not give enough data to single out exactly their sought substances. At that point again example, Q1 might return motion pictures at that point again actors at that point again producers. We present a more complete investigation of the sources of trouble and ambiguity there are cooperative efforts to produce standard benchmarks and investigation platforms at that point again magic word look procedures over databases. One effort is that the data-centric track of INEX Workshop wherever KQIs square measure assessed over the well-known IMDB data set that contains organized info as to motion pictures and other individuals in show business. Queries were given by members of the workshop. Another effort is that the arrangement of linguistics Look Challenges (SemSearch) at linguistics Look Workshop, where the information set is that the Billion Triple Challenge data set at http://vmlion25.deri.de. It’s separated from completely diverse organized data sources over the online like Wikipedia. The questions square measure taken from Yahoo! magic word question log. Clients have given relevancy judgments at that point again each benchmark. These results show that indeed with organized information, finding the indicated answers to magic word questions remains a tough task. additional apparently, looking nearer to the positioning quality of the most compelling playacting procedures on each workshops, we tend to notice that all of them have been playacting terribly poorly on a set of queries. At that point again instance, take into account the question ancient Rome era over the IMDB data set. Clients would really like to check data as to motion pictures that state ancient Rome. At that point again this question , the state of the art XML look ways that we tend to enforced come rankings of fundamentally lower quality than their
  • 2.
    International Journal ofComputer Sciences and Engineering Vol.-3(8), PP(143-147) Aug 2015, E-ISSN: 2347-2693 © 2015, IJCSE All Rights Reserved 144 normal positioning quality over all queries. Hence, some questions range unit more troublesome than others. Moreover, regardless of that positioning framework is employed, we tend to can’t deliver a reasonable positioning at that point again these queries. Table one lists a test of such arduous questions from the 2 benchmarks. Such a pattern has been moreover watched at that point again magic word questions over content record accumulations. It is necessary at that point again a KQI to information such questions and warn the customer at that point again utilization different procedures like question reformulation at that point again question suggestions . It’s going to moreover utilization procedures like question results diversification. To the most compelling of our data, there has not been any work on foreseeing at that point again breaking down the challenges of questions over databases. Scientists have projected some ways to sight tough questions over plain content record accumulations. However, these procedures aren't applicable to our drawback since they ignore the structure of the information. Above all, as said earlier, a KQI should assign exceptionally question term to a construction element(s) inside the information. It should moreover distinguish the indicated result type(s). We tend to through observational observation show that direct diversifications of these procedures range unit in compelling at that point again organized data. II. LITERATURE SURVEY Y. Luo, X. Lin, W. Wang, and X. Zhou,, In this paper, we study the adequacy and the proficiency issues of answering top-k magic word question in relational database systems. We propose a new positioning equation by adapting existing IR procedures based on a natural notion of virtual document. Compared with previous approaches, our new positioning framework is fundamental yet effective, and agrees with human perceptions. We too study efficient question handling procedures at that point again the new positioning method, and propose calculations that have insignificant accesses to the database. We have conducted extensive tests on substantial scale genuine databases utilizing two popular RDBMSs. The experimental results demonstrate critical change to the alternative approaches in terms of retrieval adequacy and efficiency. V. Ganti, Y. He, and D. Xing,, Magic word look over element databases (e.g., product, motion picture databases) is an critical problem. Current procedures at that point again magic word look on databases might regularly return incomplete and imprecise results. On the one hand, they either require that material substances contain all (at that point again most) of the question keywords, at that point again that material substances and the question magic words happen together in a few reports from a known collection. Neither of these necessities might be satisfied at that point again a number of customer queries. Consequently results at that point again such questions are likely to be incomplete in that highly material substances might not be returned. On the other hand, although some returned substances contain all (at that point again most) of the question keywords, the intention of the magic words in the question could be diverse from that in the entities. Therefore, the results could too be imprecise. To remedy this problem, in this paper, we proposture a general framework that can make strides an existing look interface by translating a magic word question to a organized query. Specifically, we leverage the magic word to characteristic esteem associations discovered in the results returned by the remarkable look interface G. Bhalotia, A. Hulgeri, C. Nakhe, S. Chakrabarti, and S. Sudarshan, With the growth of the Web, there has been a rapid increment in the number of clients who need to access online databases without having a detailed information of the construction at that point again of question languages; indeed moderately fundamental question dialects composed at that point again non-experts are too confused at that point again them. We depict BANKS, a framework which empowers keyword-based look on relational databases, together with data and construction browsing. BANKS empowers clients to separate data in a fundamental way without any information of the construction at that point again any need at that point again writing complex queries. A customer can get data by typing a few keywords, taking after hyperlinks, and interacting with controls on the displayed results. A. Trotman and Q. Wang This paper presents an outline of the INEX 2011 Data-Centric Track. Having the commercial hoc look assignment running its second year, we introduced a new task, faceted look task, which objective is to give the infrastructure to investigate and assess diverse procedures and procedures of recommending facet-values to aid the customer to navigate through a huge set of question results and quickly distinguish the results of interest. The same IMDB gathering as last year was used at that point again both tasks. A complete of 9 active members contributed a complete of 60 points at that point again both errands and submitted 35 commercial hoc look runs and 13 faceted look runs. A complete of 38 commercial hoc look points were assessed, which consolidate 18 sub points at that point again 13 faceted look topics. We discuss the setup at that point again both errands and the results acquired by their participants. S. C. Townsend, Y. Zhou, and B. Croft, We create a framework at that point again foreseeing question execution by registering the relative entropy between a question dialect model and the corresponding gathering dialect model. The resulting clarity score measures the coherence of the dialect usage in reports whose models are likely to create the query. We suggest that clarity scores measure the uncertainty of a question with respect to a gathering of reports and show that they correlate positively with normal exactness in a mixed bag of TREC test sets.
  • 3.
    International Journal ofComputer Sciences and Engineering Vol.-3(8), PP(143-147) Aug 2015, E-ISSN: 2347-2693 © 2015, IJCSE All Rights Reserved 145 Thus, the clarity score might be used to distinguish in compelling queries, on average, without criticalness information. We create a calculation at that point again consequently setting the clarity score edge between anticipated poorly-performing questions and acceptable questions and validate it utilizing TREC data. In particular, we think about the automatic thresholds to optimum thresholds and too check how frequently results as great are achieved in sampling tests that haphazardly assign questions to the two classes. Clarity-score-based: The procedures based on the concept of clarity score assume that clients are interested in a exceptionally few topics, so they deem a question simple in the occasion that its results have a place to exceptionally few topic(s) and therefore, sufficiently distinguishable from other reports in the gathering, Scientists have demonstrated that this approach predicts the trouble of a question more accurately than pre-retrieval based procedures at that point again content reports . Some frame lives up to expectations measure the distinguishability of the questions results from the reports in the gathering by contrasting the likelihood dispersion of terms in the results with the likelihood dispersion of terms in the entirety collection. In the occasion that these likelihood dispersions are moderately similar, the question results contain data about practically as numerous points as the entirety collection, thus, the question is considered difficult. Several successors propose procedures to make strides the proficiency and adequacy of clarity score. However, one requires range information about the data sets to extend thought of clarity score at that point again questions over databases. Each subject in a database contains the substances that are about a comparative subject. It is for the most part hard to define an equation that partitions substances into points as it requires finding a compelling closeness capacity between entities. Such closeness capacity depends predominantly on the range information and understanding users’ preferences. At that point again instance, diverse traits might have diverse impacts on the degree of the closeness between entities. III. IMPLEMENTATION DETAILS 3.1 Basic Estimation Techniques: Information sets: The INEX data set is from the INEX 2010 Information Centric Track. The INEX data set contains two element sets: motion picture and person. Each element in the motion picture element set speaks to one motion picture with traits like title, keywords, and year. The person element set contains traits like name, nickname, and biography. The SemLook data set is a subset of the data set used in Semantic Look 2010 challenge. The remarkable data set contains 116 records with about one billion RDF triplets. Since the size of this data set is extremely large, it takes a exceptionally long time to index and run questions over this data set. Hence, we have used a subset of the remarkable data set in our experiments. We to begin with uprooted duplicate RDF triplets. Then, fat that point again each record in SemLook data set, we figured the complete number of unmistakable question terms in SemLook question work commercial in the file. We selected the 20, out of the 116, records that contain the largest number of question magic words fat that point again our experiments. We converted each unmistakable RDF subject in this data set to an element whose identifier is the subject identifier. The RDF properties are mapped to traits in our model. The values of RDF properties that end with substring ―#type" shows the sort of a subject. Hence, we set the element set of each element to the concatenation of the values of RDF properties of its RDF subject that end with substring ―#type". In the occasion that the subject of an element does not have any property that ends with substring ―#type", we set its element set to ―Undefined Type". We have included the values of other RDF properties fat that point again the subject as traits of its entity. We put away the data about each element in a separate XML file. We have uprooted the criticalness judgment data fat that point again the subjects that do not reside in these 20 files. The sizes of the two data sets are quite close; however, SemLook is more heterogeneous than INEX as it contains a bigger number of traits and element sets. Inquiry Workloads: Since us utilization a subset of the dataset from SemSearch, some questions in its question work commercial might not contain enough hopeful answers. We picked the 55 questions from the 92 in the question work commercial that have at slightest 50 hopeful answers in our dataset. Because utilization the number of entries fat that point again each question in the criticalness judgment record has too been reduced, we discarded another two questions (Q6 and Q92) without any material answers in our dataset, agreeing to the criticalness judgment file. Hence, our tests is done utilizing 53 questions (2, 4, 5, 11-12, 14-17, 19-29, 31, 33-34, 37-39, 41-42, 45, 47, 49, 52-54, 56- 58, 60, 65, 68, 71, 73-74, 76, 78, 80-83, 88-91) from the SemLook question workload. 26 question points are given with criticalness judgments in the INEX 2010 Information Centric Track. Some question points contain characters ―+" and ―−" to show the conjunctive and exclusive conditions. In our experiments, we do not utilization these conditions and remove the magic words after character ―−". Some seeking frame lives up to expectations utilization these administrators to make strides look quality. Top-K results: Generally, the fundamental data unit’s unorganized data sets, characteristic values, are much shorter than content documents. Thus, a organized data set contains a bigger number of data units than an unorganized data set of the same size. Fat that point again instance, each
  • 4.
    International Journal ofComputer Sciences and Engineering Vol.-3(8), PP(143-147) Aug 2015, E-ISSN: 2347-2693 © 2015, IJCSE All Rights Reserved 146 XML record in the INEX data centric gathering constitutes hundreds of elements with literary contents. Hence, registering Comparison 3 fat that point again a huge DB is so inefficient as to be impractical. Hence, comparative to, we corrupt just the top-K element results of the remarkable data set. We re-rank these results and shift them up to be the top-K answers fat that point again the undermined versions of DB. In expansion to the time savings, our observational results in Segment 8.2 show that moderately little values fat that point again K anticipate the trouble of questions better than huge values. Fat that point again instance, we found that K = 20 delivers the best execution forecast quality in our datasets. Number of defilement iterations (N): Computing the desire in Comparison 3 fat that point again all conceivable values of _x is exceptionally inefficient. Hence, we estimate the desire utilizing N >0 tests over M(|A|× V). That is, we utilization N undermined copies of the data. Obviously, littler N is preferred fat that point again the sake of efficiency. However, in the occasion that we choose exceptionally little values fat that point again N the defilement model gets to be unstable. 3.2 Existing Work As per our recent literature reviews, there has not been any work on foreseeing at that point again breaking down the challenges of questions over databases. Scientists have proposed some procedures to distinguish troublesome questions over plain content record accumulations recently. But procedures are not applicable to our issue since they ignore the structure of the database. There are two categories of existing methods, pre-retrieval and post- retrieval fat that point again foreseeing the challenges of query. But beneath are limitations of this method: Pre-retrieval procedures are having less forecast accuracies. Post-retrieval procedures are having better forecast accuracies be that as it may one requires range information about the data sets to extend thought of clarity score fat that point again questions over databases. Each subject in a database contains the substances that are about a comparative subject. Some Post-retrieval procedures success just depends on the sum and quality of their available preparing data. 3.3 Proposed Work To address the issues of scalability and handling time under huge datasets, we proposed new extended framework in which some time as of late going to ascertain SR scores we are applying the k-means clustering to separate input dataset into number of clusters those having legitimate information’s. Due to this, time needed fat that point again foreseeing the troublesome magic words over huge dataset is minimized and process gets to be strong and accurate. 3.3 Algorithm: SR (Structured Robustness) Algorithm: The Structured Robustness Calculation (SR Algorithm), which computes the exact SR score based on the top K result entities. Each positioning calculation employments some measurements about question terms at that point again traits values over the entirety content of DB. Input:- Inquiry Q, Top-K result list L of Q by positioning capacity g , Metadata M , Inverted records I , Number of defilement iteration N. Output: - SR score fat that point again Q. 1. SR 0; C {}; //C catches λT , λS 2. FOR i =1 N Do 3. I’ I; M’ M ; L’ L; // Corrupted copy of I ,M and L 4. Fat that point again each result R in L DO 5. FOR each characteristic esteem A in R DO 6. A’ A; //Corrupted versions of A 7. Fat that point again each magic word w in Q Do 8. Compute # of w in A’ by Comparison // In the occasion that λT,w , λS,w needed be that as it may not in C, ascertain and cache them 9. IF # of w varies in A’ and A THEN 10. Overhaul A’ , M’ and entry of w in I’ ; 11. Add A’ to R’; 12. Add R’ to L’; 13. Rank L’ utilizing g, which returns L based on I’ ,M’ 14. SR+= Sim(L,L’) ; //Sim computers Spersman relationship 15. RETURN SR SR / N ; //AVG score over N rounds Each positioning calculation employments some measurements about question terms at that point again traits values over the entirety content of DB. Some examples of such measurements are the number of occurrences of a question term in all traits values of the DB at that point again complete number of characteristic values in each characteristic and element set. These worldwide measurements are put away in M (metadata) and I (inverted indexes) in the SR Calculation pseudo code. SR Calculation generates the noise in the DB on-the-fly amid question processing. Since it corrupts just the top K entities, which are anyways returned by the positioning module, it does not structure any extra I/O access to the DB, except to lookup some statistics. Moreover, it employments the data which is already processed and put away in inverted records and does not require any extra index. 3.4 Performance Study:
  • 5.
    International Journal ofComputer Sciences and Engineering Vol.-3(8), PP(143-147) Aug 2015, E-ISSN: 2347-2693 © 2015, IJCSE All Rights Reserved 147 SR Algorithm: We report the fundamental reckoning time of SR score (SR-time) exploitation SR principle and think about it to the fundamental question time interval (Q-time) exploitation PRMS fat that point again the questions in our question workloads. These times square measure presented in Table half-dozen fat that point again K = twenty. SR-time chiefly comprises of two parts: the time spent on corrupting K results and accordingly the time to re-rank the K undermined results. We’ve rumored SR-time exploitation (defilement time + re-rank time) format. We see that SR principle incurs a substantial time over commercial on the question process. This over commercial is higher fat that point again questions over the INEX dataset, as a result of their square measure solely 2 element sets, (person and movie), inside the INEX dataset, and all question magic words inside the question low commercial happen in each element sets. Hence, consistent with Comparison ten, each characteristic worth in top K substances are going to be undermined as a result of the third level of corruption. Since SemLook contains much more element sets and traits than INEX, this framework doesn't happen fat that point again SemSearch. QAO-Approx: QAO-Approx on INEX and SemSearch, severally. We live the forecast adequacy fat that point again littler values of N exploitation normal relationship score. The QAO-Approx principle delivers acceptcapable relationship scores and too the defilement times of as to two seconds fat that point again N = ten on INEX and N = twenty on SemSearch. Examination to the results of SR principle fat that point again N = 250 on SemLook and N = three hundred on INEX, the Pearson’s relationship score drops, because utilization less noise is else by second and third level corruption. These results show the criticalness of those 2 levels of corruption. IV. CONCLUSION In this paper, we investigate the characteristics of laborious questions and propose a remarkable framework to live the degree of issue fat that point again a magic word question over a information, considering each the structure and too the content of the data and too the question results. We have an inclination to assess our question issue forecast model against 2 adequacy benchmarks fat that point again wide commercial magic word look positioning strategies. Our observational results show that our model predicts the laborious questions with high accuracy. Further, we have an inclination to gift a set of optimizations to minimize the incurred time overhead. We have an inclination to propose novel calculations that expeditiously anticipate the adequacy of a magic word question. Our in depth tests show that the calculations anticipate the issue of a question with comparatively low errors and negligible time overheads. ACKNOWLEDGEMENT 1 K.SIVARANJANI, M.Phil Research Scholar, PG and Research Department of Computer Science, STET Women’s College, Mannargudi. 2 Mrs. V. GEETHA M.Sc., M.Phil., B.Ed., Head, PG and Research Department of Computer Science, STET Women’s College, Mannargudi. References [1] I. F. Akyildiz, X. Wang, and W. Wang, “Wireless Mesh Networks: A Survey”, Computer Networks and ISDN Systems, Vol.47, Issue-2, 2005, pp.445-487. [2] I. F. Akyildiz, and X. Wang, “A Survey on Wireless Mesh Networks”, IEEE Radio Communications, Vol.43, Issue-3, 2005, pp.23-30. [3] M. Lee et al., “Emerging Standards for Wireless Mesh Technology”, IEEE Wireless Communications, Vol.13, Issue-4, 2006, pp.56-63. [4] N.B. Salem, and J-P Hubaux, “Securing Wireless Mesh Networks”, IEEE Wireless Communications, Vol.13, Issue- 2, 2006, pp.50-55. [5] S. Han, E. Chang, L. Gao, T. Dillon, T., Taxonomy of Attacks on Wireless Sensor Networks, in the Proceedings of the 1st European Conference on Computer Network Defence (EC2ND), University of Glamorgan, UK, Springer Press, SpringerLink Date: December 2007. [6] C. Karlof and D. Wagner, “Secure routing in wireless sensor networks: attacks and countermeasures,” Ad Hoc Networks 1, 2003, pp. 293-315. [7] Y. Yang, Y. Gu, X. Tan and L. Ma, “A New Wireless Mesh Networks Authentication Scheme Based on Threshold Method,” 9th International Conference for Young Computer Scientists (ICYCS-2008), 2008, pp. 2260-2265 [8] Tanaka, A. ; Miyazaki, T.,” Hardware Accelerator for BLAST”. Published in:Embedded Multicore Socs (MCSoC), 2012 IEEE 6th International Symposium onDate of Conference:20-22 Sept. 2012 Page(s):16 – 22. [9] Woojay Jeon,” Efficient speech indexing and search for embedded devices using uniterms”. Published in:Acoustics, Speech and Signal Processing, 2009. ICASSP 2009. IEEE International Conference of Date of Conference:19-24 April 2000 Page(s):1297 – 1300.