Департамент освіти і науки, молоді та спорту
Кіровоградської обласної державної адміністрації
Знам’янська спеціальна загальноосвітня
школа – інтернат I –III ступенів
Степінь з цілим показником.
(урок алгебри, 8клас)
Підготувала
Коваль Галина Василівна,
вчитель математики,
спеціаліст вищої категорії,
старший вчитель
м.Знам’янка
2013р.
Урок №49
Дата 11. 03. 2013 р.
Вчитель Коваль Г.В.
Тема: Розв’язування типових вправ
Мета: узагальнити і систематизувати знання учнів з теми «Степінь з
цілим показником», виховувати самостійність під час розв’язання вправ,
розвивати увагу, логічне мислення, вміння та навички при виконанні дій зі
степенями, виховувати охайність при побудові графіків, розвивати вміння
правильного оформлення розв’язування вправ в зошиті та на дошці.
Тип уроку: узагальнення та систематизації знань.
Обладнання та наочність: креслярське приладдя, приладдя для
побудові графіків на дошці, завдання для усного рахунку на картках,
підручник.
Хід уроку
І. Організаційний момент
Перевірити готовність учнів до уроку, наявність підручників, зошитів,
роздати креслярське приладдя.
ІІ. Перевірка домашнього завдання
№538
Складіть таблицю значень функції x
y
12
= для натуральних значень х,
менших від 13. Запишіть кілька пропозицій із чисел цієї таблиці.
х 1 2 3 4 5 6 7 8 9 10 11 12
у 12 6 4 3 2,4 2 7
12
2
3
3
4
5
6
11
12
1
№545
Знайдіть область визначення функції:
а) x
y
5,0
= Розв’язок: всі значення крім 0.
б) 1
3
+
=
x
y Розв’язок: 1
01
−≠
≠+
x
x
, отже всі значення крім -1
в) 5
5
−
−=
x
y Розв’язок: 5
05
≠
≠−
x
x
, отже всі значення крім 5
г) 2
1
−=
x
y Розв’язок: всі значення крім 0.
ІІІ. Актуалізація опорних знань
1) Сформулюйте означення:
а) степеня з цілим від’ємним показником: n
n
a
a
−
=
1
б) стандартного вигляду числа: 101,10 ≤≤⋅ aдеa n
в) оберненої пропорційності: x
k
y =
2) Сформулюйте властивості степеня з цілим показником.
nnn
n
n
n
nmmn
mn
m
n
mnmn
baab
b
a
b
a
aa
a
aa
a
a
a
aaa
=
=
=
=
=
=
=⋅
−
+
)(
)(
1
)(
1
0
3) Які властивості функції x
k
y = ви знаєте?
4) Як називається фігура, яка є графіком функції x
k
y = ?
5) Завдання на картках. Розв’язавши завдання усно, встановити
відповідність.
35 3
105,3 ⋅
3500 1
105,3 −
⋅
0,0035 3
105,3 −
⋅
0,35 2
105,3 ⋅
0,035 105,3 ⋅
350 2
105,3 −
⋅
1-5, 2-1, 3-3, 4-2, 5-6, 6-4
2
)4( −
xy 22
16 yx
2
)4( xy
8
4
16x
y
42
)
2
1
( yx−
22
16
1
yx
42
)
2
1
( −−
yx 4
8
16
y
x
1-3, 2-1, 3-4, 4-2
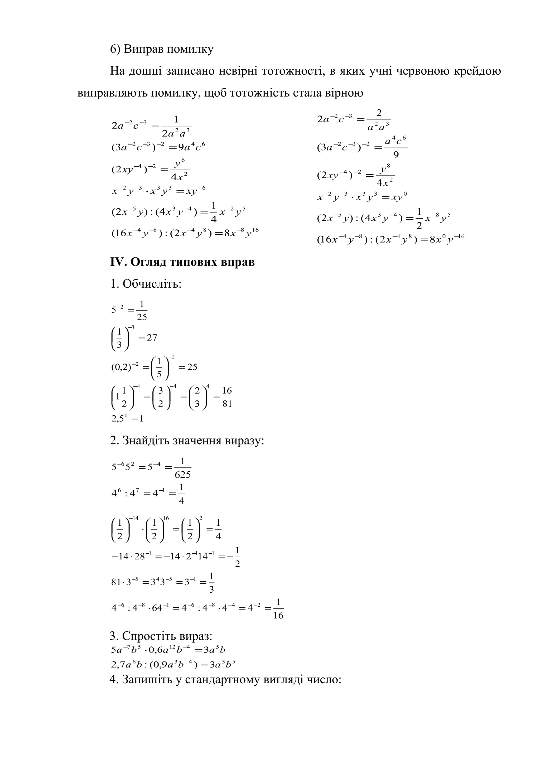
6) Виправ помилку
На дошці записано невірні тотожності, в яких учні червоною крейдою
виправляють помилку, щоб тотожність стала вірною
1688484
52435
63332
2
6
24
64232
32
32
8)2(:)16(
4
1
)4(:)2(
4
)2(
9)3(
2
1
2
yxyxyx
yxyxyx
xyyxyx
x
y
xy
caca
aa
ca
−−−−
−−−
−−−
−−
−−−
−−
=
=
=⋅
=
=
=
1608484
58435
03332
2
8
24
64
232
32
32
8)2(:)16(
2
1
)4(:)2(
4
)2(
9
)3(
2
2
−−−−
−−−
−−
−−
−−−
−−
=
=
=⋅
=
=
=
yxyxyx
yxyxyx
xyyxyx
x
y
xy
ca
ca
aa
ca
IV. Огляд типових вправ
1. Обчисліть:
15,2
81
16
3
2
2
3
2
1
1
25
5
1
)2,0(
27
3
1
25
1
5
0
444
2
2
3
2
=
=





=





=





=





=
=





=
−−
−
−
−
−
2. Знайдіть значення виразу:
4
1
44:4
625
1
555
176
426
==
==
−
−−
16
1
444:4644:4
3
1
333381
2
1
142142814
4
1
2
1
2
1
2
1
2486186
1545
111
21614
==⋅=⋅
===⋅
−=⋅−=⋅−
=





=





⋅





−−−−−−−
−−−
−−−
−
3. Спростіть вираз:
53436
541257
3)9,0(:7,2
36,05
bababa
bababa
=
=⋅
−
−−
4. Запишіть у стандартному вигляді число:
5
1
7
107,1000017,0
104,664,0
10901,901,99
10083,63,608
1007,67,60
10880000
−
−
⋅=
⋅=
⋅=
⋅=
⋅=
⋅=
5. Які з наведених функцій є оберненою пропорційністю:
x
yд
x
yг
x
yв
x
yб
x
yа
8
);
3
5
);
3
);
5
);
3
) −=====
а,б,д
6. Які з наведених точок належать графіку функції x
y
8
= ?
а)A(-4;2) б)B(-4;-2) в)C(0,2;40) г)D(0,16;500)
ні
так
так
ні
16,0
8
500
2,0
8
40
4
8
2
4
8
2
=
=
−
=−
−
=
7. При якому значенні k графік функції x
k
y = проходить через точку
А(-12;4)?
48
12
4
−=
−
=
k
k
V. Підведення підсумків
VІ. Домашнє завдання
В-1 №1,№3 ст.121, підготуватись до контрольної роботи
5
1
7
107,1000017,0
104,664,0
10901,901,99
10083,63,608
1007,67,60
10880000
−
−
⋅=
⋅=
⋅=
⋅=
⋅=
⋅=
5. Які з наведених функцій є оберненою пропорційністю:
x
yд
x
yг
x
yв
x
yб
x
yа
8
);
3
5
);
3
);
5
);
3
) −=====
а,б,д
6. Які з наведених точок належать графіку функції x
y
8
= ?
а)A(-4;2) б)B(-4;-2) в)C(0,2;40) г)D(0,16;500)
ні
так
так
ні
16,0
8
500
2,0
8
40
4
8
2
4
8
2
=
=
−
=−
−
=
7. При якому значенні k графік функції x
k
y = проходить через точку
А(-12;4)?
48
12
4
−=
−
=
k
k
V. Підведення підсумків
VІ. Домашнє завдання
В-1 №1,№3 ст.121, підготуватись до контрольної роботи

урок 2013 конспект

  • 1.
    Департамент освіти інауки, молоді та спорту Кіровоградської обласної державної адміністрації Знам’янська спеціальна загальноосвітня школа – інтернат I –III ступенів Степінь з цілим показником. (урок алгебри, 8клас) Підготувала Коваль Галина Василівна, вчитель математики, спеціаліст вищої категорії, старший вчитель м.Знам’янка 2013р.
  • 2.
    Урок №49 Дата 11.03. 2013 р. Вчитель Коваль Г.В. Тема: Розв’язування типових вправ Мета: узагальнити і систематизувати знання учнів з теми «Степінь з цілим показником», виховувати самостійність під час розв’язання вправ, розвивати увагу, логічне мислення, вміння та навички при виконанні дій зі степенями, виховувати охайність при побудові графіків, розвивати вміння правильного оформлення розв’язування вправ в зошиті та на дошці. Тип уроку: узагальнення та систематизації знань. Обладнання та наочність: креслярське приладдя, приладдя для побудові графіків на дошці, завдання для усного рахунку на картках, підручник. Хід уроку І. Організаційний момент Перевірити готовність учнів до уроку, наявність підручників, зошитів, роздати креслярське приладдя. ІІ. Перевірка домашнього завдання №538 Складіть таблицю значень функції x y 12 = для натуральних значень х, менших від 13. Запишіть кілька пропозицій із чисел цієї таблиці. х 1 2 3 4 5 6 7 8 9 10 11 12 у 12 6 4 3 2,4 2 7 12 2 3 3 4 5 6 11 12 1 №545 Знайдіть область визначення функції: а) x y 5,0 = Розв’язок: всі значення крім 0. б) 1 3 + = x y Розв’язок: 1 01 −≠ ≠+ x x , отже всі значення крім -1 в) 5 5 − −= x y Розв’язок: 5 05 ≠ ≠− x x , отже всі значення крім 5
  • 3.
    г) 2 1 −= x y Розв’язок:всі значення крім 0. ІІІ. Актуалізація опорних знань 1) Сформулюйте означення: а) степеня з цілим від’ємним показником: n n a a − = 1 б) стандартного вигляду числа: 101,10 ≤≤⋅ aдеa n в) оберненої пропорційності: x k y = 2) Сформулюйте властивості степеня з цілим показником. nnn n n n nmmn mn m n mnmn baab b a b a aa a aa a a a aaa = = = = = = =⋅ − + )( )( 1 )( 1 0 3) Які властивості функції x k y = ви знаєте? 4) Як називається фігура, яка є графіком функції x k y = ? 5) Завдання на картках. Розв’язавши завдання усно, встановити відповідність. 35 3 105,3 ⋅ 3500 1 105,3 − ⋅ 0,0035 3 105,3 − ⋅ 0,35 2 105,3 ⋅ 0,035 105,3 ⋅ 350 2 105,3 − ⋅ 1-5, 2-1, 3-3, 4-2, 5-6, 6-4 2 )4( − xy 22 16 yx 2 )4( xy 8 4 16x y 42 ) 2 1 ( yx− 22 16 1 yx 42 ) 2 1 ( −− yx 4 8 16 y x 1-3, 2-1, 3-4, 4-2
  • 4.
    6) Виправ помилку Надошці записано невірні тотожності, в яких учні червоною крейдою виправляють помилку, щоб тотожність стала вірною 1688484 52435 63332 2 6 24 64232 32 32 8)2(:)16( 4 1 )4(:)2( 4 )2( 9)3( 2 1 2 yxyxyx yxyxyx xyyxyx x y xy caca aa ca −−−− −−− −−− −− −−− −− = = =⋅ = = = 1608484 58435 03332 2 8 24 64 232 32 32 8)2(:)16( 2 1 )4(:)2( 4 )2( 9 )3( 2 2 −−−− −−− −− −− −−− −− = = =⋅ = = = yxyxyx yxyxyx xyyxyx x y xy ca ca aa ca IV. Огляд типових вправ 1. Обчисліть: 15,2 81 16 3 2 2 3 2 1 1 25 5 1 )2,0( 27 3 1 25 1 5 0 444 2 2 3 2 = =      =      =      =      = =      = −− − − − − 2. Знайдіть значення виразу: 4 1 44:4 625 1 555 176 426 == == − −− 16 1 444:4644:4 3 1 333381 2 1 142142814 4 1 2 1 2 1 2 1 2486186 1545 111 21614 ==⋅=⋅ ===⋅ −=⋅−=⋅− =      =      ⋅      −−−−−−− −−− −−− − 3. Спростіть вираз: 53436 541257 3)9,0(:7,2 36,05 bababa bababa = =⋅ − −− 4. Запишіть у стандартному вигляді число:
  • 5.
    5 1 7 107,1000017,0 104,664,0 10901,901,99 10083,63,608 1007,67,60 10880000 − − ⋅= ⋅= ⋅= ⋅= ⋅= ⋅= 5. Які знаведених функцій є оберненою пропорційністю: x yд x yг x yв x yб x yа 8 ); 3 5 ); 3 ); 5 ); 3 ) −===== а,б,д 6. Які з наведених точок належать графіку функції x y 8 = ? а)A(-4;2) б)B(-4;-2) в)C(0,2;40) г)D(0,16;500) ні так так ні 16,0 8 500 2,0 8 40 4 8 2 4 8 2 = = − =− − = 7. При якому значенні k графік функції x k y = проходить через точку А(-12;4)? 48 12 4 −= − = k k V. Підведення підсумків VІ. Домашнє завдання В-1 №1,№3 ст.121, підготуватись до контрольної роботи
  • 6.
    5 1 7 107,1000017,0 104,664,0 10901,901,99 10083,63,608 1007,67,60 10880000 − − ⋅= ⋅= ⋅= ⋅= ⋅= ⋅= 5. Які знаведених функцій є оберненою пропорційністю: x yд x yг x yв x yб x yа 8 ); 3 5 ); 3 ); 5 ); 3 ) −===== а,б,д 6. Які з наведених точок належать графіку функції x y 8 = ? а)A(-4;2) б)B(-4;-2) в)C(0,2;40) г)D(0,16;500) ні так так ні 16,0 8 500 2,0 8 40 4 8 2 4 8 2 = = − =− − = 7. При якому значенні k графік функції x k y = проходить через точку А(-12;4)? 48 12 4 −= − = k k V. Підведення підсумків VІ. Домашнє завдання В-1 №1,№3 ст.121, підготуватись до контрольної роботи