Embed presentation
Downloaded 14 times






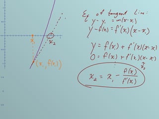
Newton's Method is an iterative method for finding zeros of a function by starting with an initial guess and using the function's derivative to generate a sequence of improved approximations that converge on a zero, with each new approximation determined by the previous one. The steps are to make an initial guess, determine a new approximation using the formula provided, and repeat until the desired accuracy is reached.





