GROUP TRANSFER
POLYMERIZATION
SUBMITTED BY:
GOPI PRAMANIK
19POL206
INTRODUCTION
• Group transfer polymerization (GTP) is a “quasi-living” oxyanionic polymerization, appropriate for the
controlled polymerization of α,β-unsaturated carbonyl compounds, and employing silyl ketene acetal
initiators along with metal free nucleophilic catalysts.
• Group-transfer polymerization (GTP) was first reported in 1983 by Webster and his co-workers at DuPont,
and is most suitable for polymerization of methacrylates.
• Propagation involves reaction of a terminal silyl ketene acetal with monomer by Michael addition during
which the silyl group transfers to the added monomer thus creating a new terminal silyl ketene acetal
group.
• Polymerization is initiated by monomeric silyl ketene acetals and normally is catalysed by anions (e.g. F–,
HF2– , MeCO2– , PhCO2 – ) but also can be catalysed by Lewis acids (e.g. ZnBr2, AliBu2Cl),
MECHANISM
• propagation in GTP was believed to proceed via the
following associative mechanism in which the anion
(nucleophile, Nu–) activates transfer of the
trimethylsilyl group by association with the silicon
atom.
• However, as studies of GTP grew, it became clear that
this associative mechanism was inconsistent with
many of the observations (e.g. ester enolates,
C═C(OR)–O−, act as both initiators and catalysts for
GTP, and increasing the anion concentration does not
increase the rate of polymerization, but instead
eventually poisons the reaction). There is now a very
strong body of evidence for a dissociative mechanism
in which the free enolate ion is responsible for
propagation.
Fig-GTP mechanism for methacrylate polymerization
PRACTICAL CONSIDERATION
• GTP is terminated rapidly by compounds containing an active hydrogen and so must be performed under
dry conditions using reactants and solvents which have been rigorously dried and purified. If these
precautions are taken, then living polymers can be formed and in favourable cases the Poisson distribution
of molar mass is obtained.
• Monomers with active hydrogens (e.g. methacrylic acid, 2-hydroxyethyl methacrylate) can be protected
using trimethylsilyl derivatives (i.e. −CO2SiMe3, −OSiMe3), which can be displaced easily by hydrolysis
after the polymer is Formed. GTP usually is performed at 50–80 °C, i.e. at much higher temperatures than
for living anionic Polymerization.
• Backbiting also occurs via a similar process to produce a terminal cyclohexanone ring structure
• The backbiting reaction gives rise to loss of active centres in GTP of acrylates because the acidic tertiary
hydrogen atom in the cyclohexanone ring is abstracted by alkoxide to give an alcohol (ROH) and a stable
enolate which does not propagate.
• GTP can be terminated by addition of a proton source (e.g. water or dilute acid) or by
coupling of two active species (e.g. with a dihalide).
• Together with the use of initiators containing protected functional groups, these termination reactions
facilitate the preparation of terminally-functional polymers, e.g. poly(methyl methacrylate) with terminal
carboxylic acid groups may be prepared as follows:
MONOMERS
• GTP exhibits inertness to functional groups sensitive to free radicals such as the allyl (allyl methacrylate,
AMA) or the sorbyl groups, which may be present on the ester group of the monomer and remain
unreacted in the final polymer.
• The preparation of such polymers via conventional free radical polymerization produces insoluble, cross-
linked products.
• GTP also presents inertness to the glycidyl group at temperatures below 0◦C. Thus, glycidyl methacrylate
(GMA) can be smoothly polymerized by GTP in this temperature range, without involving the epoxy
group in the side chain, and giving soluble polymer products with no detectible cross-linking.
• Monomers (and any other compounds) bearing active hydrogens interfere with GTP and stop the chain
growth if present in amounts greater than the initiator concentration. Such monomers include methacrylic
acid (MAA) and 2- hydroxyethyl methacrylate (HEMA), whose GTP can be accomplished only after the
use of protective groups that can be readily removed after the polymerization.
• The trimethylsilyl group can be used for the protection of the pendent hydroxy in HEMA, whereas the 2-
(pyridin-2-yl)ethyl or the tetrahydro-2H-pyran-2-yl groups can be employed to protect the pendent
carboxy group in MAA.
• Acrylates can also be polymerized via GTP but the chains do not remain living for a long time because of
their much higher polymerization rate compared to methacrylate.
CONDITION
• GTP requires strict exclusion of active hydrogen compounds, but tolerates the presence of oxygen. Thus,
the polymerization must be conducted under anhydrous conditions.
• SOLVENTS
Tetrahydrofuran (THF), 1,2-dimethoxyethane, acetonitrile, toluene N,N-dimethylformamide, and propylene
carbonate for nucleophilic catalysis, and toluene, dichlomethane, and 1,2-dichloroethane for Lewis acid
catalysis.
• TEMPERATURE
• Polymerization temperatures for methacrylates may range from 0 to 50◦C. However, caution must be
exercised when using GTP at different temperatures, because a particular catalyst may be useful within a
certain temperature range but not within another. For example, bioxyanions successfully catalyze GTP at
• relatively high temperature, for example, 80◦C, but not at temperatures much below the ambient
temperature. The preferred temperature range for the GTP of methacrylates is between 0 and 50◦C. For
acrylates, temperatures of 0◦C or below give best results. Polymerization is generally very fast and can be
controlled by the addition rate of the monomer. The heat of polymerization is, of course, the same as that
generated by other methods, and it may be removed by refluxing the solvent.
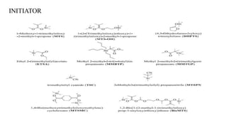
INITIATOR
CATALYST
The GTP catalyst also plays an important role
because it activates the initiator in nucleophilic
catalysis, and the monomer in electrophilic
catalysis. Nucleophilic catalysts are preferred
because only small amounts, ∼0.1% based on
initiator, are needed, whereas 10% of
electrophilic catalyst based on monomer is
required.
Numerous nucleophilic catalysts have been used
for GTP, including soluble fluorides, bifluorides,
azides, cyanides, oxyanions, and bioxyanions.
MOLECULAR WEIGHT
• As in all living polymerizations, the ratio of monomer to initiator determines the
molecular weight of the polymers obtained via GTP.
• GTP can readily afford the preparation of polymers with molecular weight in the range
of 1000–20,000 g mol−1, but polymers with higher molecular weights, that is, in the
100,000–200,000 g mol−1 range, are also possible to prepare, provided monomers,
solvents, catalysts, and initiators are highly pure.
TACTICITY
The tacticity of final product depends upon the temperature and nature of catalyst used for synthesis and is
independent on the type of polymerization solvent used.
When polymers are made by an anion-catalyzed GTP at ambient temperature, the produced polymers
possess only syndiotactic and atactic sequences in the ratio of 55:45, without a measurable isotactic
component.
When the temperature of the polymerization decreases, syndioselectivity increases with syndiotactic: atactic
ratios reaching the value of 4:1 at −80◦C.
For Lewis acid-catalyzed GTP, syndiotactic:atactic ratios greater than 2:1 are obtained regardless of the
solvent and temperature.
POLYMER ARCHITECTURE
RANDOM COPYMERS
Random copolymers are made by adding a mixture of monomers of the same family, that is, all methacrylate
or all acrylate, to the mixture of the initiator, the catalyst, and the solvent. When the monomers exhibit large
difference in reactivity toward GTP, their random copolymerization is not possible.
BLOCK COPOLYMERS
A block copolymer is formed upon the addition of a new monomer after the first monomer is consumed
entirely.
An AB deblock copolymer with a methacrylate and an acrylate segment can be prepared by first
polymerizing the less reactive methacrylate monomer, followed by the acrylate because the chain ends of
the methacrylates are sufficiently reactive for the initiation of the acrylate monomer. With the modern NHC-
catalyzed GTP systems, diblock copolymers can be successfully prepared regardless of the order of addition
of the two comonomers and yield diblock copolymers with controlled molecular weight and narrow
molecular weight dispersities.
• GTP also allows the preparation of linear ABA triblock copolymers and ABC triblock terpolymers. ABC
triblock terpolymers can be synthesized with the use of a monofunctional initiator and the sequential
feeding of three different monomers.
• In the case of ABA triblock copolymers, the use of a bifunctional GTP initiator is preferred, allowing the
preparation to be completed in two rather than three steps required when a monofunctional initiator is
employed.
• when the first “B” monomer is added, a linear homopolymer is formed with both living chain ends. When
the second “A” monomer is added during the second polymerization step, two similar segments grow
from the two chain ends of the original homopolymer, resulting in an ABA triblock copolymer.
APPLICATIONS
• GTP is used to manufacture dispersing agents for water-based printing ink for jet printers.
• In the late 1980s, DuPont started making pigmented inks for jet printers. These inks are more stable to
sunlight and do not wick as badly as the dye based inks then in use.
• These GTP-prepared dispersing agents are low molecular weight ABC triblock terpolymer surfactants,
bearing one anchoring hydrophobic block, one nonionic hydrophilic block for steric stabilization in water,
and one ionizable block for electrostatic stabilization.
• Previously considered applications included the preparation of high performance finishes (high
concentration, high temperature use, and long-life resulting coatings).
REFERENCE
• M. Chen-Wishart, 解剖列车中文第三版 Third Edition, no. January
2010. 2014.
• E. Station, “Group transfer polymerization,” no. 22, 2013.
GROUP TRANSFER POLYMERIZATION

GROUP TRANSFER POLYMERIZATION

  • 1.
  • 2.
    INTRODUCTION • Group transferpolymerization (GTP) is a “quasi-living” oxyanionic polymerization, appropriate for the controlled polymerization of α,β-unsaturated carbonyl compounds, and employing silyl ketene acetal initiators along with metal free nucleophilic catalysts. • Group-transfer polymerization (GTP) was first reported in 1983 by Webster and his co-workers at DuPont, and is most suitable for polymerization of methacrylates. • Propagation involves reaction of a terminal silyl ketene acetal with monomer by Michael addition during which the silyl group transfers to the added monomer thus creating a new terminal silyl ketene acetal group. • Polymerization is initiated by monomeric silyl ketene acetals and normally is catalysed by anions (e.g. F–, HF2– , MeCO2– , PhCO2 – ) but also can be catalysed by Lewis acids (e.g. ZnBr2, AliBu2Cl),
  • 3.
    MECHANISM • propagation inGTP was believed to proceed via the following associative mechanism in which the anion (nucleophile, Nu–) activates transfer of the trimethylsilyl group by association with the silicon atom. • However, as studies of GTP grew, it became clear that this associative mechanism was inconsistent with many of the observations (e.g. ester enolates, C═C(OR)–O−, act as both initiators and catalysts for GTP, and increasing the anion concentration does not increase the rate of polymerization, but instead eventually poisons the reaction). There is now a very strong body of evidence for a dissociative mechanism in which the free enolate ion is responsible for propagation. Fig-GTP mechanism for methacrylate polymerization
  • 4.
    PRACTICAL CONSIDERATION • GTPis terminated rapidly by compounds containing an active hydrogen and so must be performed under dry conditions using reactants and solvents which have been rigorously dried and purified. If these precautions are taken, then living polymers can be formed and in favourable cases the Poisson distribution of molar mass is obtained. • Monomers with active hydrogens (e.g. methacrylic acid, 2-hydroxyethyl methacrylate) can be protected using trimethylsilyl derivatives (i.e. −CO2SiMe3, −OSiMe3), which can be displaced easily by hydrolysis after the polymer is Formed. GTP usually is performed at 50–80 °C, i.e. at much higher temperatures than for living anionic Polymerization.
  • 5.
    • Backbiting alsooccurs via a similar process to produce a terminal cyclohexanone ring structure • The backbiting reaction gives rise to loss of active centres in GTP of acrylates because the acidic tertiary hydrogen atom in the cyclohexanone ring is abstracted by alkoxide to give an alcohol (ROH) and a stable enolate which does not propagate.
  • 6.
    • GTP canbe terminated by addition of a proton source (e.g. water or dilute acid) or by coupling of two active species (e.g. with a dihalide).
  • 7.
    • Together withthe use of initiators containing protected functional groups, these termination reactions facilitate the preparation of terminally-functional polymers, e.g. poly(methyl methacrylate) with terminal carboxylic acid groups may be prepared as follows:
  • 8.
    MONOMERS • GTP exhibitsinertness to functional groups sensitive to free radicals such as the allyl (allyl methacrylate, AMA) or the sorbyl groups, which may be present on the ester group of the monomer and remain unreacted in the final polymer. • The preparation of such polymers via conventional free radical polymerization produces insoluble, cross- linked products. • GTP also presents inertness to the glycidyl group at temperatures below 0◦C. Thus, glycidyl methacrylate (GMA) can be smoothly polymerized by GTP in this temperature range, without involving the epoxy group in the side chain, and giving soluble polymer products with no detectible cross-linking. • Monomers (and any other compounds) bearing active hydrogens interfere with GTP and stop the chain growth if present in amounts greater than the initiator concentration. Such monomers include methacrylic acid (MAA) and 2- hydroxyethyl methacrylate (HEMA), whose GTP can be accomplished only after the use of protective groups that can be readily removed after the polymerization. • The trimethylsilyl group can be used for the protection of the pendent hydroxy in HEMA, whereas the 2- (pyridin-2-yl)ethyl or the tetrahydro-2H-pyran-2-yl groups can be employed to protect the pendent carboxy group in MAA. • Acrylates can also be polymerized via GTP but the chains do not remain living for a long time because of their much higher polymerization rate compared to methacrylate.
  • 9.
    CONDITION • GTP requiresstrict exclusion of active hydrogen compounds, but tolerates the presence of oxygen. Thus, the polymerization must be conducted under anhydrous conditions. • SOLVENTS Tetrahydrofuran (THF), 1,2-dimethoxyethane, acetonitrile, toluene N,N-dimethylformamide, and propylene carbonate for nucleophilic catalysis, and toluene, dichlomethane, and 1,2-dichloroethane for Lewis acid catalysis. • TEMPERATURE • Polymerization temperatures for methacrylates may range from 0 to 50◦C. However, caution must be exercised when using GTP at different temperatures, because a particular catalyst may be useful within a certain temperature range but not within another. For example, bioxyanions successfully catalyze GTP at • relatively high temperature, for example, 80◦C, but not at temperatures much below the ambient temperature. The preferred temperature range for the GTP of methacrylates is between 0 and 50◦C. For acrylates, temperatures of 0◦C or below give best results. Polymerization is generally very fast and can be controlled by the addition rate of the monomer. The heat of polymerization is, of course, the same as that generated by other methods, and it may be removed by refluxing the solvent.
  • 10.
  • 11.
    CATALYST The GTP catalystalso plays an important role because it activates the initiator in nucleophilic catalysis, and the monomer in electrophilic catalysis. Nucleophilic catalysts are preferred because only small amounts, ∼0.1% based on initiator, are needed, whereas 10% of electrophilic catalyst based on monomer is required. Numerous nucleophilic catalysts have been used for GTP, including soluble fluorides, bifluorides, azides, cyanides, oxyanions, and bioxyanions.
  • 12.
    MOLECULAR WEIGHT • Asin all living polymerizations, the ratio of monomer to initiator determines the molecular weight of the polymers obtained via GTP. • GTP can readily afford the preparation of polymers with molecular weight in the range of 1000–20,000 g mol−1, but polymers with higher molecular weights, that is, in the 100,000–200,000 g mol−1 range, are also possible to prepare, provided monomers, solvents, catalysts, and initiators are highly pure.
  • 13.
    TACTICITY The tacticity offinal product depends upon the temperature and nature of catalyst used for synthesis and is independent on the type of polymerization solvent used. When polymers are made by an anion-catalyzed GTP at ambient temperature, the produced polymers possess only syndiotactic and atactic sequences in the ratio of 55:45, without a measurable isotactic component. When the temperature of the polymerization decreases, syndioselectivity increases with syndiotactic: atactic ratios reaching the value of 4:1 at −80◦C. For Lewis acid-catalyzed GTP, syndiotactic:atactic ratios greater than 2:1 are obtained regardless of the solvent and temperature.
  • 14.
    POLYMER ARCHITECTURE RANDOM COPYMERS Randomcopolymers are made by adding a mixture of monomers of the same family, that is, all methacrylate or all acrylate, to the mixture of the initiator, the catalyst, and the solvent. When the monomers exhibit large difference in reactivity toward GTP, their random copolymerization is not possible. BLOCK COPOLYMERS A block copolymer is formed upon the addition of a new monomer after the first monomer is consumed entirely. An AB deblock copolymer with a methacrylate and an acrylate segment can be prepared by first polymerizing the less reactive methacrylate monomer, followed by the acrylate because the chain ends of the methacrylates are sufficiently reactive for the initiation of the acrylate monomer. With the modern NHC- catalyzed GTP systems, diblock copolymers can be successfully prepared regardless of the order of addition of the two comonomers and yield diblock copolymers with controlled molecular weight and narrow molecular weight dispersities.
  • 15.
    • GTP alsoallows the preparation of linear ABA triblock copolymers and ABC triblock terpolymers. ABC triblock terpolymers can be synthesized with the use of a monofunctional initiator and the sequential feeding of three different monomers. • In the case of ABA triblock copolymers, the use of a bifunctional GTP initiator is preferred, allowing the preparation to be completed in two rather than three steps required when a monofunctional initiator is employed. • when the first “B” monomer is added, a linear homopolymer is formed with both living chain ends. When the second “A” monomer is added during the second polymerization step, two similar segments grow from the two chain ends of the original homopolymer, resulting in an ABA triblock copolymer.
  • 16.
    APPLICATIONS • GTP isused to manufacture dispersing agents for water-based printing ink for jet printers. • In the late 1980s, DuPont started making pigmented inks for jet printers. These inks are more stable to sunlight and do not wick as badly as the dye based inks then in use. • These GTP-prepared dispersing agents are low molecular weight ABC triblock terpolymer surfactants, bearing one anchoring hydrophobic block, one nonionic hydrophilic block for steric stabilization in water, and one ionizable block for electrostatic stabilization. • Previously considered applications included the preparation of high performance finishes (high concentration, high temperature use, and long-life resulting coatings).
  • 17.
    REFERENCE • M. Chen-Wishart,解剖列车中文第三版 Third Edition, no. January 2010. 2014. • E. Station, “Group transfer polymerization,” no. 22, 2013.