Φυσική
Γ’ Λυκείου

             Κρούσεις


                   ΓΕΛΔΕ Σαπών
                   2011 - 2012
Τι είναι κρούση...
                 Στον μακρόκοσμο...
                 Όταν δύο μπάλες μπιλιάρδου συγκρούονται ,
                 έρχονται σε επαφή , δέχονται μεγάλες δυνάμεις
                 (δράση – αντίδραση ) σε πολύ μικρό χρονικό
                 διάστημα και οι ταχύτητές τους μεταβάλλονται.




Στον μικρόκοσμο ...
τα σώματα δεν έρχονται σε επαφή.
Εντούτοις πάλι δέχονται μεγάλες
δυνάμεις (δράση – αντίδραση ) σε
πολύ μικρό χρονικό διάστημα και οι
ταχύτητές τους μεταβάλλονται. Μιλάμε
για σκέδαση.
Ανάλογα με τις διευθύνσεις των ταχυτήτων των σωμάτων πριν και μετά την κρούση...


                         Κρούσεις
  Κεντρικές/
                                Έκκεντρες                      Πλάγιες
  Μετωπικές
  Οι ταχύτητες των
                               Οι ταχύτητες είναι         Οι ταχύτητες έχουν
  σωμάτων πριν και
                              παράλληλες.Έχουν               διαφορετικές
   μετά την κρούση
                            διαφορετικούς φορείς.             διευθύνσεις.
έχουν ίδια διεύθυνση.
Ανάλογα με το αν ισχύει ή όχι η αρχή διατήρησης της κινητικής
 ενέργειας :



                 Κρούσεις
    Ελαστικές                         Ανελαστικές

  Η κινητική ενέργεια του            Ένα μέρος της κινητικής
 συστήματος διατηρείται.           ενέργειας του συστήματος
Δεν παράγεται θερμότητα.           μετατρέπεται σε θερμότητα.
                                     Η κινητική ενέργεια του
   Καρχ = Κτελ                     συστήματος ΔΕ διατηρείται

                                       Καρχ = Κτελ + Q
                                       Q = Καρχ - Κτελ
Πλαστική κρούση

Είναι ειδική περίπτωση ανελαστικής
κρούσης.
Κατ’ αυτήν τα συγκρουόμενα σώματα
σχηματίζουν συσσωμάτωμα. ( κοινή
ταχύτητα. )
Η παραγόμενη θερμότητα είναι σημαντική.
Θυμόμαστε τι είναι η ορμή...
                                      r
  Έστω το σώμα που                 υ
  κινείται με ταχύτητα υ :
                                   u
                                   r
Ορίζεται ως ορμή το διανυσματικό
                                   P
μέγεθος :                   u
                            r     r
                            P = m.υ
Μέτρο :                P = m.υ
                kg .m
 Μονάδα :     1
                  s
Η διατήρηση της ορμής στις κρούσεις
Για να διατηρείται η ορμή, το σύστημα πρέπει να είναι
ΜΟΝΩΜΕΝΟ, δηλαδή να μην ασκούνται σ’αυτό εξωτερικές
δυνάμεις ή αν ασκούνται, να έχουν συνισταμένη ίση με το
μηδέν.
Επειδή η κρούση είναι φαινόμενο που διαρκεί ελάχιστο
χρονικό διάστημα, οι ωθήσεις των εξωτερικών δυνάμεων
μπορούν να θεωρηθούν αμελητέες και επομένως το
σύστημα μπορεί να θεωρηθεί μονωμένο.

               Επομένως σε όλες τις περιπτώσεις που
               έχουμε κρούση, ισχύει η
                ΑΡΧΗ ∆ΙΑΤΗΡΗΣΗΣ ΤΗΣ ΟΡΜΗΣ
Αρχή διατήρησης της ορμής
 Η ολική ορμή του συστήματος πριν την κρούση
  ισούται με την ολική ορμή του συστήματος μετά
                την κρούση, δηλαδή

               Pπριν = P μετά
Κεντρική ελαστική κρούση

                  υ1
                               υ2
        m1                              m2




Κεντρική     ίδιες διευθύνσεις ταχυτήτων πριν και μετά
              την κρούση
Ισχύουν : - Αρχή ∆ιατήρησης Ορμής
          - Αρχή ∆ιατήρησης Κινητικής Ενέργειας
Έστω τα σώματα του σχήματος :
                   r                  r
      m1          υ1        m2
                                      υ2
                                            r      r
       Για να συγκρουστούν πρέπει :         υ1 > υ 2
  Η εικόνα μετά την κρούση είναι :
                                       r΄         m2      r΄
                                      υ1                 υ2
                             m1




r    r
P =P
 αρχ  τελ
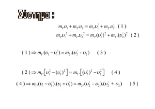
          ⇒ m1.υ1 + m2 .υ 2 = m1.υ1/ + m2 .υ 2
                                             /



Κ αρχ = Κ τελ ⇒ 1 m1.υ12 + 1 m2 .υ 2 2 = 1 m1.(υ1/ ) 2 + 1 m2 .(υ 2/ ) 2
                   2              2          2             2
m1.υ1 + m2 .υ 2 = m1.υ1/ + m2 .υ 2 ( 1 )
                                                           /


                         m1.υ12 + m2 .υ 2 2 = m1.(υ1/ ) 2 + m2 .(υ 2 ) 2 ( 2 )
                                                                   /




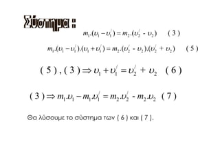
   ( 1 ) ⇒ m1.(υ1 − υ1/ ) = m2 .(υ 2 - υ 2 )
                                   /
                                                    (3)


   ( 2 ) ⇒ m1. ⎡υ12 − (υ1/ ) 2 ⎤ = m2 . ⎡(υ 2 ) 2 − υ 2 ⎤
               ⎣               ⎦        ⎣
                                            /         2
                                                        ⎦   (4)

( 4 ) ⇒ m1.(υ1 − υ1/ ).(υ1 + υ1/ ) = m2 .(υ 2 - υ 2 ).(υ 2 + υ 2 )
                                            /            /
                                                                       (5)
m1.(υ1 − υ1/ ) = m2 .(υ 2 - υ 2 )
                                              /
                                                            (3)

      m1.(υ1 − υ1/ ).(υ1 + υ1/ ) = m2 .(υ 2 - υ 2 ).(υ 2 + υ 2 )
                                          /            /
                                                                   (5)


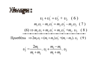
    ( 5 ) , ( 3 ) ⇒ υ1 + υ = υ + υ 2 ( 6 )
                                    /
                                    1
                                             /
                                             2



( 3 ) ⇒ m1.υ1 − m1.υ = m2 .υ - m2 .υ 2 ( 7 )
                            /
                            1
                                         /
                                         2


Θα λύσουμε το σύστημα των ( 6 ) και ( 7 ).
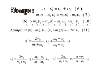
υ1 + υ = υ + υ 2 ( 6 )
                            /
                            1
                                    /
                                    2
                 m1.υ1 − m1.υ1/ = m2 .υ 2 - m2 .υ 2 ( 7 )
                                        /


          (6) ⇒ m1.υ1 + m1.υ = m1.υ +m1. υ 2 ( 8 )
                                /
                                1
                                        /
                                        2


Προσθέτω ⇒ 2m1.υ1 = (m1 + m2 ).υ2 +(m1 − m2 ). υ2 ( 9 )
                                /




             2m1           m2 − m1
        υ =
          /
          2         . υ1 +         . υ2
            m1 + m2        m1 + m2
υ1 + υ = υ + υ 2 ( 6 )
                                  /
                                  1
                                            /
                                            2
                    m1.υ1 − m1.υ = m2 .υ - m2 .υ 2 ( 7 )
                                      /
                                      1
                                                        /
                                                        2

         (6) ⇒ m2 .υ1 + m2 .υ = m2 .υ +m2 . υ 2 ( 10 )
                                  /
                                  1
                                                    /
                                                    2


Αφαιρώ ⇒ (m1 − m2 ). υ1 − (m1 + m2 ).υ = − 2m2 .υ2 ( 11 )
                                                /
                                                1


                2m2           m1 − m2
           υ =
            /
            1          . υ2 +         . υ1
               m1 + m2        m1 + m2

     2m1           m2 − m1                 2m2           m1 − m2
υ =
 /
            . υ1 +         . υ2       υ =
                                       /
                                       1          . υ2 +         . υ1
 2
    m1 + m2        m1 + m2                m1 + m2        m1 + m2
Τελικά, κάθε φορά που θα έχουμε άσκηση με κεντρική, ελαστική κρούση,
 από την αρχή διατήρησης της ορμής και την αρχή διατήρησης κινητικής
                         ενέργειας ισχύουν:




                   2m2           m1 − m2
              υ =
                /
                1         . υ2 +         . υ1
                  m1 + m2        m1 + m2


                  2m1           m2 − m1
             υ =
               /
               2         . υ1 +         . υ2
                 m1 + m2        m1 + m2
Μερικές περιπτώσεις
 ελαστικής κρούσης
Α. Σώματα ίδιων μαζών
      2m2            m1 − m 2
 υ =
  1
   /
              . υ2 +          . υ1
     m1 + m 2        m1 + m 2
     2 m1           m 2 − m1
υ =
  /
  2          . υ1 +          . υ2
    m1 + m 2        m1 + m 2
                            2m         m−m
Αν m1 = m2 , τότε :   υ =
                       1
                        /
                                . υ2 +     . υ1 = υ 2
                           m+m         m+m
           και              2m        m−m
                      υ2 =
                       /
                               . υ1 +     . υ 2 = υ1
                           m+m        m+m


  Έχουμε δηλαδή ανταλλαγή ταχυτήτων.
Β. To ένα σώμα είναι αρχικά ακίνητο υ2=0

           r           r
          υ1          υ2 = 0
                                    Τι συμβαίνει αν
           r΄              r΄       m1>m2 και τι αν
          υ1               υ2       m1<m2 ;

      2m2         m1 − m2        m1 − m2
 υ = /
     1       . 0+         . υ1 =         . υ1
     m1 + m2      m1 + m2        m1 + m2
     2m1           m2 − m1      2m1
υ =
 /
 2          . υ1 +         .0=         . υ1
    m1 + m2        m1 + m2     m1 + m2
Β1. Κινούμενο σώμα προσπίπτει σε ακίνητο πολύ
μεγαλύτερης μάζας. (υ2=0 και m2>>m1)

       m1 − m2        0 − m2
   υ = /
       1       . υ1 ≈        . υ1 = −υ1
       m1 + m2        0 + m2

 « Το σώμα μικρής μάζας ανακλάται με αντίθετη ταχύτητα »

      2m1             2.0
 υ =
   /
   2         . υ1 ≈        . υ1 = 0
     m1 + m2        0 + m2

   « Το σώμα μεγάλης μάζας m2
   παραμένει ακίνητο»
Β1. Κινούμενο σώμα προσπίπτει σε ακίνητο
πολύ μικρότερης μάζας. (υ2=0 και m1>>m2)

      m1 − m2        m1 − 0
  υ = /
      1       . υ1 ≈        . υ1 = υ1
      m1 + m2        m1 + 0

  « Το σώμα μεγάλης μάζας συνεχίζει ακάθεκτο. »

     2m1            2m1
υ =
  /
  2         . υ1 ≈        . υ1 = 2υ1
    m1 + m2        m1 + 0
Πρόσπτωση υπό γωνία
Αν η σφαίρα προσκρούσει ελαστικά και πλάγια σε τοίχο,
αναλύουμε την ταχύτητά της σε δύο συνιστώσες, μια
κάθετη στον τοίχο υχ και μία παράλληλη σ’αυτόν υψ.

Θα ισχύει :          υχ΄ = - υχ
                     υy΄ = υy
Άρα για τη συνολική ταχύτητα μετά την κρούση
θα ισχύει :

     υ΄ = υ x΄ + υ y΄ = υ x + υ y = υ
                     2       2         2        2


                                  ∆ηλαδή το μέτρο της ταχύτητας δεν αλλάζει.
Για τις γωνίες....
                       υy
                 ημπ =                 υ = υ΄
                       υ                                  ∆ηλαδή η γωνία
                                                    π=α   πρόσπτωσης ισούται με τη
                       υ y΄            υy = υy΄
                 ημα =                                    γωνία ανάκλασης.
                       υ΄
Παρατηρήσεις
        Στις ανελαστικές κρούσεις:
1.      Απώλεια ενέργειας :                     Εαπωλ= Q = Κολ,αρχ - Κολ,τελ
2.      Κλάσμα απώλειας ενέργειας
                                               E aπ       Κ ολ ,αρχ − Κ ολ ,τελ
                                           a=           =
                                              Κ ολ ,αρχ         Κ ολ ,αρχ
3.      Ποσοστό % απώλειας ενέργειας
                                   Κ ολ ,αρχ − Κ ολ ,τελ
                            a% =                           ⋅100%
                                        Κ ολ ,αρχ
         Θεώρημα Μεταβολής Κινητικής Ενέργειας
     Η μεταβολή της κινητικής ενέργειας του σώματος ισούται με το άθροισμα των
     έργων όλων των δύνάμεων που ασκούνται στο σώμα.
                   ∆Κ = ΣW     Κτελ - Καρχ = W1 + W2 + W3 + …..
      To έργο W μιας δύναμης είναι θετικό όταν η δύναμη είναι ομόρροπη της
      μετατόπισης και αρνητικό όταν είναι αντίρροπη.
Παράδειγμα 5.1
Παράδειγμα 5.2




        Α∆Ο σε άξονες

03 κρούσεις

  • 1.
    Φυσική Γ’ Λυκείου Κρούσεις ΓΕΛΔΕ Σαπών 2011 - 2012
  • 2.
    Τι είναι κρούση... Στον μακρόκοσμο... Όταν δύο μπάλες μπιλιάρδου συγκρούονται , έρχονται σε επαφή , δέχονται μεγάλες δυνάμεις (δράση – αντίδραση ) σε πολύ μικρό χρονικό διάστημα και οι ταχύτητές τους μεταβάλλονται. Στον μικρόκοσμο ... τα σώματα δεν έρχονται σε επαφή. Εντούτοις πάλι δέχονται μεγάλες δυνάμεις (δράση – αντίδραση ) σε πολύ μικρό χρονικό διάστημα και οι ταχύτητές τους μεταβάλλονται. Μιλάμε για σκέδαση.
  • 3.
    Ανάλογα με τιςδιευθύνσεις των ταχυτήτων των σωμάτων πριν και μετά την κρούση... Κρούσεις Κεντρικές/ Έκκεντρες Πλάγιες Μετωπικές Οι ταχύτητες των Οι ταχύτητες είναι Οι ταχύτητες έχουν σωμάτων πριν και παράλληλες.Έχουν διαφορετικές μετά την κρούση διαφορετικούς φορείς. διευθύνσεις. έχουν ίδια διεύθυνση.
  • 4.
    Ανάλογα με τοαν ισχύει ή όχι η αρχή διατήρησης της κινητικής ενέργειας : Κρούσεις Ελαστικές Ανελαστικές Η κινητική ενέργεια του Ένα μέρος της κινητικής συστήματος διατηρείται. ενέργειας του συστήματος Δεν παράγεται θερμότητα. μετατρέπεται σε θερμότητα. Η κινητική ενέργεια του Καρχ = Κτελ συστήματος ΔΕ διατηρείται Καρχ = Κτελ + Q Q = Καρχ - Κτελ
  • 5.
    Πλαστική κρούση Είναι ειδικήπερίπτωση ανελαστικής κρούσης. Κατ’ αυτήν τα συγκρουόμενα σώματα σχηματίζουν συσσωμάτωμα. ( κοινή ταχύτητα. ) Η παραγόμενη θερμότητα είναι σημαντική.
  • 6.
    Θυμόμαστε τι είναιη ορμή... r Έστω το σώμα που υ κινείται με ταχύτητα υ : u r Ορίζεται ως ορμή το διανυσματικό P μέγεθος : u r r P = m.υ Μέτρο : P = m.υ kg .m Μονάδα : 1 s
  • 7.
    Η διατήρηση τηςορμής στις κρούσεις Για να διατηρείται η ορμή, το σύστημα πρέπει να είναι ΜΟΝΩΜΕΝΟ, δηλαδή να μην ασκούνται σ’αυτό εξωτερικές δυνάμεις ή αν ασκούνται, να έχουν συνισταμένη ίση με το μηδέν. Επειδή η κρούση είναι φαινόμενο που διαρκεί ελάχιστο χρονικό διάστημα, οι ωθήσεις των εξωτερικών δυνάμεων μπορούν να θεωρηθούν αμελητέες και επομένως το σύστημα μπορεί να θεωρηθεί μονωμένο. Επομένως σε όλες τις περιπτώσεις που έχουμε κρούση, ισχύει η ΑΡΧΗ ∆ΙΑΤΗΡΗΣΗΣ ΤΗΣ ΟΡΜΗΣ
  • 8.
    Αρχή διατήρησης τηςορμής Η ολική ορμή του συστήματος πριν την κρούση ισούται με την ολική ορμή του συστήματος μετά την κρούση, δηλαδή Pπριν = P μετά
  • 9.
    Κεντρική ελαστική κρούση υ1 υ2 m1 m2 Κεντρική ίδιες διευθύνσεις ταχυτήτων πριν και μετά την κρούση Ισχύουν : - Αρχή ∆ιατήρησης Ορμής - Αρχή ∆ιατήρησης Κινητικής Ενέργειας
  • 10.
    Έστω τα σώματατου σχήματος : r r m1 υ1 m2 υ2 r r Για να συγκρουστούν πρέπει : υ1 > υ 2 Η εικόνα μετά την κρούση είναι : r΄ m2 r΄ υ1 υ2 m1 r r P =P αρχ τελ ⇒ m1.υ1 + m2 .υ 2 = m1.υ1/ + m2 .υ 2 / Κ αρχ = Κ τελ ⇒ 1 m1.υ12 + 1 m2 .υ 2 2 = 1 m1.(υ1/ ) 2 + 1 m2 .(υ 2/ ) 2 2 2 2 2
  • 11.
    m1.υ1 + m2.υ 2 = m1.υ1/ + m2 .υ 2 ( 1 ) / m1.υ12 + m2 .υ 2 2 = m1.(υ1/ ) 2 + m2 .(υ 2 ) 2 ( 2 ) / ( 1 ) ⇒ m1.(υ1 − υ1/ ) = m2 .(υ 2 - υ 2 ) / (3) ( 2 ) ⇒ m1. ⎡υ12 − (υ1/ ) 2 ⎤ = m2 . ⎡(υ 2 ) 2 − υ 2 ⎤ ⎣ ⎦ ⎣ / 2 ⎦ (4) ( 4 ) ⇒ m1.(υ1 − υ1/ ).(υ1 + υ1/ ) = m2 .(υ 2 - υ 2 ).(υ 2 + υ 2 ) / / (5)
  • 12.
    m1.(υ1 − υ1/) = m2 .(υ 2 - υ 2 ) / (3) m1.(υ1 − υ1/ ).(υ1 + υ1/ ) = m2 .(υ 2 - υ 2 ).(υ 2 + υ 2 ) / / (5) ( 5 ) , ( 3 ) ⇒ υ1 + υ = υ + υ 2 ( 6 ) / 1 / 2 ( 3 ) ⇒ m1.υ1 − m1.υ = m2 .υ - m2 .υ 2 ( 7 ) / 1 / 2 Θα λύσουμε το σύστημα των ( 6 ) και ( 7 ).
  • 13.
    υ1 + υ= υ + υ 2 ( 6 ) / 1 / 2 m1.υ1 − m1.υ1/ = m2 .υ 2 - m2 .υ 2 ( 7 ) / (6) ⇒ m1.υ1 + m1.υ = m1.υ +m1. υ 2 ( 8 ) / 1 / 2 Προσθέτω ⇒ 2m1.υ1 = (m1 + m2 ).υ2 +(m1 − m2 ). υ2 ( 9 ) / 2m1 m2 − m1 υ = / 2 . υ1 + . υ2 m1 + m2 m1 + m2
  • 14.
    υ1 + υ= υ + υ 2 ( 6 ) / 1 / 2 m1.υ1 − m1.υ = m2 .υ - m2 .υ 2 ( 7 ) / 1 / 2 (6) ⇒ m2 .υ1 + m2 .υ = m2 .υ +m2 . υ 2 ( 10 ) / 1 / 2 Αφαιρώ ⇒ (m1 − m2 ). υ1 − (m1 + m2 ).υ = − 2m2 .υ2 ( 11 ) / 1 2m2 m1 − m2 υ = / 1 . υ2 + . υ1 m1 + m2 m1 + m2 2m1 m2 − m1 2m2 m1 − m2 υ = / . υ1 + . υ2 υ = / 1 . υ2 + . υ1 2 m1 + m2 m1 + m2 m1 + m2 m1 + m2
  • 15.
    Τελικά, κάθε φοράπου θα έχουμε άσκηση με κεντρική, ελαστική κρούση, από την αρχή διατήρησης της ορμής και την αρχή διατήρησης κινητικής ενέργειας ισχύουν: 2m2 m1 − m2 υ = / 1 . υ2 + . υ1 m1 + m2 m1 + m2 2m1 m2 − m1 υ = / 2 . υ1 + . υ2 m1 + m2 m1 + m2
  • 16.
  • 17.
    Α. Σώματα ίδιωνμαζών 2m2 m1 − m 2 υ = 1 / . υ2 + . υ1 m1 + m 2 m1 + m 2 2 m1 m 2 − m1 υ = / 2 . υ1 + . υ2 m1 + m 2 m1 + m 2 2m m−m Αν m1 = m2 , τότε : υ = 1 / . υ2 + . υ1 = υ 2 m+m m+m και 2m m−m υ2 = / . υ1 + . υ 2 = υ1 m+m m+m Έχουμε δηλαδή ανταλλαγή ταχυτήτων.
  • 18.
    Β. To ένασώμα είναι αρχικά ακίνητο υ2=0 r r υ1 υ2 = 0 Τι συμβαίνει αν r΄ r΄ m1>m2 και τι αν υ1 υ2 m1<m2 ; 2m2 m1 − m2 m1 − m2 υ = / 1 . 0+ . υ1 = . υ1 m1 + m2 m1 + m2 m1 + m2 2m1 m2 − m1 2m1 υ = / 2 . υ1 + .0= . υ1 m1 + m2 m1 + m2 m1 + m2
  • 19.
    Β1. Κινούμενο σώμαπροσπίπτει σε ακίνητο πολύ μεγαλύτερης μάζας. (υ2=0 και m2>>m1) m1 − m2 0 − m2 υ = / 1 . υ1 ≈ . υ1 = −υ1 m1 + m2 0 + m2 « Το σώμα μικρής μάζας ανακλάται με αντίθετη ταχύτητα » 2m1 2.0 υ = / 2 . υ1 ≈ . υ1 = 0 m1 + m2 0 + m2 « Το σώμα μεγάλης μάζας m2 παραμένει ακίνητο»
  • 20.
    Β1. Κινούμενο σώμαπροσπίπτει σε ακίνητο πολύ μικρότερης μάζας. (υ2=0 και m1>>m2) m1 − m2 m1 − 0 υ = / 1 . υ1 ≈ . υ1 = υ1 m1 + m2 m1 + 0 « Το σώμα μεγάλης μάζας συνεχίζει ακάθεκτο. » 2m1 2m1 υ = / 2 . υ1 ≈ . υ1 = 2υ1 m1 + m2 m1 + 0
  • 21.
    Πρόσπτωση υπό γωνία Ανη σφαίρα προσκρούσει ελαστικά και πλάγια σε τοίχο, αναλύουμε την ταχύτητά της σε δύο συνιστώσες, μια κάθετη στον τοίχο υχ και μία παράλληλη σ’αυτόν υψ. Θα ισχύει : υχ΄ = - υχ υy΄ = υy Άρα για τη συνολική ταχύτητα μετά την κρούση θα ισχύει : υ΄ = υ x΄ + υ y΄ = υ x + υ y = υ 2 2 2 2 ∆ηλαδή το μέτρο της ταχύτητας δεν αλλάζει. Για τις γωνίες.... υy ημπ = υ = υ΄ υ ∆ηλαδή η γωνία π=α πρόσπτωσης ισούται με τη υ y΄ υy = υy΄ ημα = γωνία ανάκλασης. υ΄
  • 22.
    Παρατηρήσεις Στις ανελαστικές κρούσεις: 1. Απώλεια ενέργειας : Εαπωλ= Q = Κολ,αρχ - Κολ,τελ 2. Κλάσμα απώλειας ενέργειας E aπ Κ ολ ,αρχ − Κ ολ ,τελ a= = Κ ολ ,αρχ Κ ολ ,αρχ 3. Ποσοστό % απώλειας ενέργειας Κ ολ ,αρχ − Κ ολ ,τελ a% = ⋅100% Κ ολ ,αρχ Θεώρημα Μεταβολής Κινητικής Ενέργειας Η μεταβολή της κινητικής ενέργειας του σώματος ισούται με το άθροισμα των έργων όλων των δύνάμεων που ασκούνται στο σώμα. ∆Κ = ΣW Κτελ - Καρχ = W1 + W2 + W3 + ….. To έργο W μιας δύναμης είναι θετικό όταν η δύναμη είναι ομόρροπη της μετατόπισης και αρνητικό όταν είναι αντίρροπη.
  • 23.
  • 24.
    Παράδειγμα 5.2 Α∆Ο σε άξονες