Department of Civil Engineering                                             viTüasßanCatiBhubec©keTskm<úCa



                            XV.   karKNnasMrab;kMlaMgrmYl
                                   Design for Torsion

1> esckþIepþIm Introduction
          kugRtaMgrmYlekItmanenAkñúgmuxkat;FñwmenAeBlEdlm:Um:g;manGMeBIRsbeTAnwgmuxkat;enaH.
m:Um:g;rmYleFVIeGayGgát;vil nigmansñameRbHenAelIépÞrbs;va CaTUeTAEtgekItmanenAelImuxkat;mUl.
edIm,IbgðajkugRtaMgrmYl eKGnuvtþkMlaMgrmYl T Fñwm cantilever muxkat;mUlEdleFVIBI elastic
homogenous material dUcbgðajkñúgrUbTI 15>1. kMlaMgrmYlnwgeFVIeGayFñwmvil. cMnuc B clt½eTA

cMnuc B' enAxagcugrbs;Fñwm b:uEnþcugmçageTotrbs;FñwmRtUv)anbgáb;. mMu θ RtUv)aneKehAfa mMurmYl
(angle of twist). bøg; AO' OB nwgdUrrageTACarag AO'OB' . edaysnμt;fa Ggát;enArkSaRbEvgrbs;

vadEdl enaH shear strain KW
               BB' rθ
         γ =      =
                L   L
        Edl L CaRbEvgrbs;Fñwm nig r CakaMrbs;muxkat;rgVg;.




        enAkñμúgeRKOgbgÁúMebtugGarem: Ggát;nwgrgm:Um:g;rmYlenAeBlGgát;enaHekagenAkñúgbøg;/ RT
cantilever slab/ mannaTICa spandrel beam (end beam)/ b¤CaEpñkrbs;CeNþIrvil.


Design for Torsion                                                                                    346
T.Chhay                                                                                  NPIC




         Ggát;eRKOgbgÁúMGacrgnUvEtkMlaMgrmYlsuT§ b¤enAkñúgkrNICaeRcIn vargCamYyKñakñúgeBlEtmYy
nUvkMlaMgkat;TTwg nigm:Um:g;Bt;. ]TahrN_TI15>1 bgðajBIkMlaMgepSg²EdlGacGnuvtþmkelImuxkat;
epSgKñaénFñwm cantilever.
]TahrN_TI15>1³
KNnakMlaMgEdlmanGMeBIenAmuxkat; !/ @ nig # énFñwm cantilever EdlbgðajenAkñúgrUbTI 15>2. Fñwm
rgnUvkMlaMgbBaÄr P1 = 67kN / kMlaMgedk P2 = 53.5kN EdleFVIGMeBIenAcMnuc C nigbnÞúkedk
 P3 = 89kN EdlGnuvtþenAcMnuc B nigEkgeTAnwgTisedArbs;kMlaMg P2 .




dMeNaHRsay³
yk N = kMlaMgEkg (normal force)/ V = kMlaMgkat; (shear force)/ M = m:Um:g;Bt; (bending
moment)/ T =m:Um:g;rmYl (torsional moment). kMlaMgTaMgGs;RtUv)anbgðajenAkñúgtaragxageRkam³

muxkat; N (kN )             M x (kN .m) M y (kN .m)    V x (kN )  V y (kN )      T (kN .m)
   !           0              − 180.9     144.45         53.5         67             0
   @ − 53.5 ¬sgát;¦              0        144.45           89         67          180.9
   # − 53.5 ¬sgát;¦ 241.2                 464.85           89         67          180.9


karKNnasMrab;kMlaMgrmYl                                                                   347
Department of Civil Engineering                                          viTüasßanCatiBhubec©keTskm<úCa


RbsinebI P1 / P2 nig P3 CabnÞúkemKuN ¬ Pu = 1.2PD + 1.6PL ¦ enaHral;tMélenAkñúgtaragCakMlaMg
KNnaemKuN.
2> m:Um:g;rmYlenAkñúgFñwm Torsional Moments in Beams
         dUcbgðajenAkñúgrUbTI 15>1 kMlaMgGacGnuvtþenAelIeRKagsMNg;GKar edayeFVIeGaymanm:Um:g;
rmYl. RbsinebIkMlaMgcMcMnuc P GnuvtþenARtg;cMnuc C enAelIeRKag ABC dUcbgðajenAkñúgrUb 15>3 a
vabegáItm:Um:g;rmYl T = PZ enAkñúgFñwm AB Rtg;cMnuc D . enAeBl D sßitenAkNþalElVgénFñwm AB
enaHm:Um:g;rmYlKNnaenAkñúgkMNat; AD esμInwgm:Um:g;rmYlKNnaenAkñúgkMNat; DB b¤esμInwg 1 T . Rb
                                                                                      2
sinebIkMral cantilever slab RtUv)anRTedayFñwm AB ¬rUbTI 15>3 b¦ enaHkMralxNнbegáItm:Um:g;rmYl
BRgayesμI mt tambeNþayFñwm AB . m:Um:g;rmYlBRgayesμIenH KWekItBIbnÞúkenAelIcMerokTTwkmYy
Éktþarbs;kMralxNн. RbsinebI S CaTTwgén cantilever slab nig w CabnÞúkenAelIkMralxNн
¬ kN / m 2 ¦ enaH mt = wS 2 / 2 ¬ kN .m / m ¦énFñwm AB . m:Um:g;rmYlKNnaGtibrmaenAkñúgFñwm AB KW
T = mt L / 2 EdlGnuvtþenARtg;cMnuc A nig B . krNIbnÞúkepSgeTotRtUv)anbgðajenAkñúgtarag

15>1. CaTUeTA düaRkamm:Um:g;rmYlenAkñúgFñwmmanrag nigmantMéldUcKñanwgdüaRkamkMlaMgkat;TTWgsM
rab;FñwmEdlrgnUvkMlaMg mt nig T .




Design for Torsion                                                                                 348
T.Chhay                   NPIC




karKNnasMrab;kMlaMgrmYl   349
Department of Civil Engineering                                        viTüasßanCatiBhubec©keTskm<úCa


3> kugRtaMgrmYl         Torsional Moments in Beams




          edayBicarNaelIFñwm cantilever Edlmanmuxkat;mUl ¬rUbTI15>1¦ enAeBlEdlm:Um:g;rmYl T
manGMeBIelIFñwm vanwgbegáIteGaymankMlaMgkat;TTwg dV EkgeTAnwgkaMrbs;muxkat;. BIlkçxNÐl<nwg
m:Um:g;rmYlxageRkARtUv)anTb;edaym:Um:g;rmYlxagkñúgEdlmantMél T esμIKñaEtTisedApÞúyKña . Rbsin
ebI dV CakMlaMgkat;TTwgeFVIGMeBIelIépÞ dA ¬rUbTI 15>4¦ enaHGaMgtg;sIueténkMlaMgrmYlKW
       T = ∫ rdV

edayyk v CakugRtaMgkMlaMgkat;TTWgenaH
        dV = vdA       nig T = ∫ rvdA
        kMlaMgkat;TTwgeGLasÞicGtibrmaekItmanenAépÞxageRkArbs;muxkat;rgVg;Rtg;kaM r CamYynwgkM
ras; dr enaHkMlaMgrmYlGacRtUv)ankMNt;edayKitm:Um:g;eFobnwgcMnuc 0 sMrab;RkLaépÞkg³
        dT = (2πrdr )vr
       Edl 2πrdr CaRkLaépÞkg nig v CakugRtaMgkMlaMgkat;TTwgenAkñúgkg. dUcenH
       T = ∫ (2πrdr )vr = ∫ 2πr 2 dr
             R
             0
                            R
                            0
                                                                                     ¬!%>!¦
       sMrab;muxkat;RbehagEdlmankaMxagkñúg R1 /
             R
       T = ∫ 2πr 2 dr
             R1
                                                                                     ¬!%>@¦
       sMrab;muxkat;tan; edayeRbIsmIkar ¬!%>!¦ nig v = vmax r / R
             R     ⎛v r⎞         ⎛ 2π ⎞      R 3
       T = ∫ 2πr 2 ⎜ max ⎟dr = ⎜      ⎟vmax ∫0 r dr
            0      ⎝ R ⎠         ⎝ R ⎠
           ⎛ 2π ⎞           ⎛π ⎞
                        4
                      R
         =⎜     ⎟vmax     = ⎜ ⎟vmax R 3
           ⎝ R ⎠       4 ⎝2⎠



Design for Torsion                                                                               350
T.Chhay                                                                                     NPIC




          vmax =
                    2T
                   πR 3
                                                                                     ¬!%>#¦
      m:Um:g;niclPaBb:UElrénmuxkat;rgVg;KW J = πR 4 / 2 . dUcenH kugRtaMgkMlaMgkat;GacRtUv)an
sresrCaGnuKmn_énm:Um:g;niclPaBb:UElrdUcxageRkam³
      vmax =
                TR
                 J
                                                                                     ¬!%>$¦
4> m:Um:g;rmYlenAkñúgmuxkat;ctuekaN Torsional Moments in Rectangular Sections
        karKNnakugRtaMgenAkñúgGgát;manmuxkat;minmUlEdlrgbnÞúkrmYlminsamBaØdUckarKNnasM
rab;muxkat;mUleT. b:uEnþ lT§plEdlTTYlBIRTwsþIeGLasÞic (theory of elasticity) bgðajfakugRtaMg
kMlaMgkat;TTwgGtibrmasMrab;muxkat;ctuekaNEkgGacRtUv)ankMNt;dUcxageRkam³
        vmax = 2
                 T
               αx y
                                                                                   ¬!%>%¦
          Edl      T=  kMlaMgrmYlEdlGnuvtþ
                   x = RCugxøIrbs;muxkat;ctuekaN

                   y = RCugEvgrbs;muxkat;ctuekaN

                   α = emKuNEdlGaRs½ynwgpleFobén y / x tMélrbs;vaRtUv)aneGayenAkñúgtarag
                       xageRkam.
    y/x              1 .0       1 .2         1 .5         2 .0          4 .0          10

     α              0.208      0.219       0.231         0.246         0.282        0.312
       kugRtaMgkMlaMgkat;TTwgGtibrmaekItmanenAtamGkS½énRCugEvg y ¬rUbTI 15>5¦.
       sMrab;Ggát;EdlekItBIkarpÁúMénmuxkat;ctuekaNEkg dUcCamuxkat;GkSr L / T nig I tMél α
GacRtUv)ansnμt;faesμInwg 1/ 3 ehIymuxkat;GacRtUv)anEckecjCamuxkat;ctuekaNCaeRcInEdlman
RCugEvg yi nigRCugxøI xi . kugRtaMgkMlaMgkat;TTwgGacRtUv)anKNnaBI
        vmax =
                   3T
                                                                                  ¬!%>^¦
               ∑ i ix2 y

          Edl ∑ xi2 y i CatMélEdl)anBIplbUkmuxkat;ctuekaNEkgtUc². enAeBlEdl         y / x ≤ 10   eK
GaceRbIsmIkarsMrYlxageRkam³



karKNnasMrab;kMlaMgrmYl                                                                     351
Department of Civil Engineering                                           viTüasßanCatiBhubec©keTskm<úCa


        v max =
                          3T
                                                                                        ¬!%>&¦
                         ⎛           x⎞
                  ∑ x 2 y⎜1 − 0.63
                         ⎜
                                      ⎟
                                     y⎟
                         ⎝            ⎠




5> kMlaMgpÁÜbrvagkMlaMgkat; nigkMlaMgrmYl             Combined Shear and Torsion




        enAkñúgkrNIGnuvtþn_CaeRcIn Ggát;eRKOgbgÁúMGacrgnUvTaMgkMlaMgkat; nigkMlaMgrmYlCamYyKña.
kugRtaMgkMlaMgkat;GacnwgekItmanenAkñúgmuxkat;CamYynwgkugRtaMgkMlaMgkat;mFüm = v1 enAkñúgTis
Design for Torsion                                                                                  352
T.Chhay                                                                                    NPIC




edAénkMlaMgkat; V ¬rUbTI 15>6 a¦. kMlaMgrmYl T begáItkugRtaMgrmYlenAelIRKb;RCugrbs;muxkat;
ctuekaN ABCD ¬ rUbTI 15>6 a¦ CamYynig v3 > v2 . karBRgaykugRtaMgcugeRkayRtUv)anTTYlBI
karbUkbBa©ÚlnUvT§iBlénkugRtaMgkMlaMgkat; nigkugRtaMgrmYl edIm,IbegáIttMélGtibrmaesμI v1 + v3 enA
elIRCug CD b:uEnþRCug AB nwgmankugRtaMgcugeRkayesμI v1 − v3 . RCug AD nig BC nwgrgEtkugRtaMg
rmYl v2 . muxkat;RtUvd)anKNnasMrab;kugRtaMgGtibrma v = (v1 + v3 ) .
6> RTwsþIkarrmYlsMrab;Ggát;ebtug Torsion Theories for Concrete Members
         eKmanviFICaeRcInsMrab;viPaKGgát;ebtugBRgwgedayEdkEdlrgkarrmYl b¤rgkarrmYl karBt;
nigkarkat;kñúgeBlEtmYy. CaTUeTAviFIKNnasMGageTAelIRTwsþIeKalBIrKW³ the skew bending theory
nig space truss analogy.
    6>1> Skew Bending Theory
         viFIeKalrbs; skew bending theory EdlENnaMeday Hsu CaviFIEdlsikSakar)ak;énmuxkat;
ctuekaNedaykarrmYlEdlekItedaykarBt;eFobGkS½RsbeTAnwgépÞénmuxkat; y FMCag nigeRTteday
mMu 45o eTAnwgGkS½EvgénFñwm ¬rUbTI 15>7¦. QrelIviFIsaRsþenH m:Um:g;rmYlGb,brma Tn GacRtUv)an
KNnadUcxageRkam³




               ⎛ x2 y ⎞
          Tn = ⎜
               ⎜ 3 ⎟ r
                      ⎟f                                                             ¬!%>*¦
               ⎝      ⎠
        Edl f r KWm:UDuldac;rbs;ebtug. f r RtUv)ansnμt;esμInwg 5 f 'c / 12 enAkñúgkrNIenH Edl
RtUv)aneRbobeFobCamYy 7.5 f 'c /12 EdlTTYleday ACI Code sMrab;KNnaPaBdabenAkñúgFñwm.

karKNnasMrab;kMlaMgrmYl                                                                       353
Department of Civil Engineering                                      viTüasßanCatiBhubec©keTskm<úCa


       kMlaMgrmYlTb;edayebtugsMEdgdUcxageRkam³
            ⎛ 1 ⎞ 2
       Tc = ⎜   ⎟ x y f 'c                                               ¬!%>(¦
            ⎝ x⎠
       nigkMlaMgTb;karrmYledayEdkTb;karrmYlKW
              α1 ( x1 y1 At f y )
       Ts =
                      s
                                                                                   ¬!%>!0¦
       dUcenH Tn = Tc + Ts Edl Tn lT§PaBTb;m:Um:g;rmYl nominal énmuxkat;.
  6>2> Space Truss Analogy




        viFIsaRsþén space truss analogy KWQrelIkarsnμt;falT§PaBTb;Tl;karrmYlrbs;ebtugGar
em:muxkat;ctuekaNRtUv)anKitecjEtBIEdknigebtugEdlBT§½CMuvijEdkb:ueNÑaH. kñúgkrNIenH muxkat;
thin-wall RtUv)ansnμt;mannaTICa space truss ¬rUbTI 15>8¦. cMerokebtugvNнeRTtcenøaHsñameRbH

Tb;kMlaMgsgát; b:uEnþEdkbeNþayenARCug nigEdkkgTb;nwgkMlaMgTajEdlekItedaym:Um:g;rmYl.
        kareFVIkarrbs;FñwmebtugGarem:EdlrgkarrmYlsuT§GacbgðajedayRkaPicénTMnak;TMngrvagkar
rmYlnigmMurmYl dUcbgðajenAkñúgrUbTI15>9. eyIgemIleXIjfa muxnwgeRbH ebtugTb;nwgkugRtaMgrmYl
nigEdkswgEtKμanrgkugRtaMg. eRkayeBleRbH kareFVIkarrbs;FñwmCalkçN³eGLasÞicminGacGnuvtþ)an
dUcenHmMurmYlekIteLIgPøam² EdlekIneLIgrhUtdl;lT§PaBTb;Tl;m:Um:g;rmYlekItman. karkMNt;Edl
manlkçN³Rbhak;RbEhlénlT§PaBTb;karrmYlsMrab;muxkat;eRbHGacnwgsMEdgdUcxageRkam³
                ⎛A f ⎞
          Tn = 2⎜ t s ⎟ x1 y1
                ⎝ s ⎠
                                                                                   ¬!%>!!¦
        Edl At = éneCIgmçagrbs;Edkkg

Design for Torsion                                                                             354
T.Chhay                                                                                        NPIC




                    s=KMlatEdkkg
          x1 nig y1 = RbEvgxøI nigRbEvgEvg KitBIGkS½eTAGkS½énEdkkgbiTCit b¤BIEdkenARCug.




       smIkarmunecalnUvlT§PaBTb;karrmYlrbs;ebtug. Mitchell nig Collins ENnaMnUvsmIkarxag
eRkamedIm,IKNnamMurmYlkñúgmYyÉktþaRbEvg ψ ³
            ⎛ P ⎞ ⎡⎛ ε ⎞ ⎛ P (ε tan α ) ⎞ 2ε d ⎤
       ψ = ⎜ o ⎟ ⎢⎜ l ⎟ + ⎜ h h
            ⎜ 2 A ⎟ tan α    ⎜            ⎟+
                                          ⎟ sin α ⎥                           ¬!%>!@¦
                ⎝    o    ⎠ ⎣⎝      P ⎠ ⎝       o    ⎠         ⎦
          Edl       εl = bMErbMrYlrageFob (strain) enAkñúgEdkbeNþay (longitudinal reinforcing steel)
                    ε h = bMErbMrYlrageFobenAkñúgEdkkg (hoop steel)
                    ε d = bMErbMrYlrageFobebtugGgát;RTUgenARtg;TItaMgénkMlaMgpÁÜbénFarkMlaMgkat;
                                 (shear flow)
                    Ph = brimaRtrbs;EdkkgKitRtwmGkS½Edk
                                                                   ⎡          ⎛ P ⎞⎤
                    α = mMuénkMlaMgsgát;Ggát;RTUg = (ε d + ε l ) / ⎢ε d + ε h ⎜ h ⎟⎥
                                                                              ⎜P ⎟
                                                                   ⎣        ⎝   o   ⎠⎦
                    Ao =RkLaépÞEdlBT§½CMuvijedaykMlaMgkat; b¤
                      = torque / 2q ¬Edl q = FarkMlaMgkat;¦

                 Po = brimaRténKnøgFarkMlaMgkat; ¬brimaRtrbs; Ao ¦

          smIkarmMurmYlxagelImanlkçN³RsedogKñanwgsmIkarmMukMeNagkñúgkarBt; ¬rUbTI 15>10¦
                                   ε + εs
                 φ = curvature = c
                                     d
                                                                                   ¬!%>!#¦


karKNnasMrab;kMlaMgrmYl                                                                         355
Department of Civil Engineering                                         viTüasßanCatiBhubec©keTskm<úCa


        Edl ε c nig ε s CabMErbMrYlrageFobenAkñúgebtug nigEdk erogKña. smIkard¾samBaØRtUv)anbk
Rsayeday Solanki edIm,IkMNt;lT§PaBTb;nwgkarrmYlsuT§rbs;FñwmebtugGarem: edayQrelI space
truss analogy dUcxageRkam³
                                                      1
                   ⎡⎛ ∑ As f sy       ⎞ ⎛ Ah f hy   ⎞⎤ 2
       Tu = (2 Ao )⎢⎜
                    ⎜
                                      ⎟×⎜
                                      ⎟ ⎜
                                                    ⎟⎥
                                                    ⎟                                 ¬!%>!$¦
                   ⎢⎝ Po
                   ⎣                  ⎠ ⎝ s         ⎠⎥⎦
       Edl           / nig s RtUv)anBnül;BIxagelI
                 Ao Po

                 ∑ As f sy = kMlaMg yield énEdkbeNþayTaMgGs;
                 Ah f hy = kMlaMg yield énEdkkg

       ACI Code )anTTYlykRTwsþIenHedIm,IKNnaGgát;eRKOgbgÁúMebtugEdlrgkarrmYl b¤karrmYl

nigkarkat; enAkúñgviFIsaRsþd¾sMrYl.




7> ersIusþg;rmYlénGgát;ebtugsuT§ Torsional Strength of Plain Concrete Memgers
        Ggát;ebtugrgkarrmYlCaTUeTARtUv)anBRgwgedayEdkTb;nwgkarrmYlBiess. kñúgkrNIEdlkug
RtaMgrmYlmantMéltUc nigRtUvkarKNnasMrab;Ggát;ebtugsuT§ kugRtaMgkMlaMgkat; vtc GacRtUv)ankMNt;
edayeRbIsmIkar !%>^³
                  3T           f 'c
        vtc =              ≤
                φ∑ x y 2       2




Design for Torsion                                                                                356
T.Chhay                                                                                      NPIC




        nigmMurmYlKW θ = 3TL / x3 yG / Edl T Cam:Um:g;rmYlEdlGnuvtþmkelImuxkat; ¬tUcCagm:Um:g;
rmYlEdleFVIeGayeRbH¦ nig G KWCam:UDulkMlaMgkat; nigGacRtUv)ansnμt;esμInwg 0.45 dgénm:UDuleG-
LasÞicrbs;ebtug Ec Edl G = 2135 f 'c . kMlaMgkat;TTwgeFVIeGayeRbHedaysarkarrmYl
(torsional cracking shear) vc enAkñúgebtugsuT§GacRtUv)ansnμt;esμI 0.5 f 'c . dUcenH sMrab;muxkat;

ctuekaNebtugsuT§
               φ 2
        Tc =
               12
                  x y f 'c                                                           ¬!%>!%¦
nigsMrab;muxkat;EdlpSMeLIgedayctuekaNEkgeRcIn
               φ
        Tc =
               12
                    f 'c ∑ x 2 y                                                     ¬!%>!^¦
8> karrmYlenAkñúgGgát;ebtugBRgwgedayEdk              Torsion in Reinforced Concrete
Memebers (ACI Code Procedure)
  8>1> sBaØaNTUeTA General
         dMeNIrkarKNnasMrab;karrmYlmanlkçN³RsedogKñaeTAnwgkMlaMgkat;TTwgedaykarBt;. enA
eBlEdlm:Um:g;rmYlemKuNGnuvtþenAelImuxkat;FMCaglT§PaBTb;m:Um:g;rmYlkñúgrbs;ebtugGacTb;)an
enaHsñameRbHEdlekItedaykarrmYl (torsional crack) ekIteLIg dUcenHEdkTb;karrmYl (torsional
reinforcement) kñúgTMrg;CaEdkkgbiTCit (closed stirrup or hoop reinforcement) RtUv)andak;.

bEnßmBIelIEdkkgbiTCit EdkbeNþayk¾RtUv)andak;enAtamRCugrbs;Edkkg nigRtUv)anBRgayy:ag
l¥enACMuvijmuxkat;. TaMgEdkkgbiTCit nigEdkbeNþaymansarsMxan;Nas;kñúgkarTb;nwgkMlaMgTaj
Ggát;RTUgEdlbNþaymkBIkMlaMgrmYl EdkEtmYyRbePTnwgKμanRbsiT§PaBeTebIKμanEdkmYyRbePT
eTot. EdkkgRtUvEtbiTCit edaysarkugRtaMgrmYlekItmanenARKb;RCugrbs;muxkat;.
         EdkcaM)ac;sMrab;karrmYlRtUv)anbEnßmelIEdkcaM)ac;sMrab;kMlaMgkat;/ sMrab;karBt; nigkMlaMg
tamGkS½. EdkEdkcaM)ac;sMrab;karrmYlRtUv)andak;edIm,IeFVIeGayersIusþg;m:Um:g;rmYlrbs;muxkat; φTn
FMCagb¤esμInwgm:Um:g;rmYlemKuN Tu EdlRtUv)anKNnaBIbnÞúkemKuN.
          φTn ≥ Tu                                                                      ¬!%>!&¦
         enAeBleKRtUvkarEdkTb;karrmYl ersIusþg;m:Um:g;rmYl φTn RtUv)anKNnaedaysnμt;kMlaMg
rmYl Tu TaMgGs; RtUv)anTb;edayEdkkg nigEdkbeNþayCamYynwgersIusþg;Tb;karrmYlrbs;ebtug


karKNnasMrab;kMlaMgrmYl                                                                       357
Department of Civil Engineering                                      viTüasßanCatiBhubec©keTskm<úCa


Tc = 0 . kñúgeBlCamYyKña ersIusþg;kMlaMgkat;EdlTb;edayebtug vc RtUv)ansnμt;enAdEdledayKμan
karERbRbYledaysarvtþmanrbs;ersIusþg;rmYl.
  8>2> )a:ra:Em:RtFrNImaRténkarrmYl Torsional Geometric Parameters




       enAkñúg ACI Code, Section 11.6 karKNnasMrab;karrmYlKWQrenAelI space truss analogy
dUcbgðajenAkñúgrUbTI 15>8. eRkayeBlEdlsñameRbHedaykarrmYlekIteLIg karrmYlRtUv)anTb;
edayEdkkgbiTCit EdkbeNþay nigersIusþg;kMlaMgsgát;Ggát;RTUgrbs;ebtug. sac;ebtugenAxageRkA
EdkkgkøayeTACaKμanRbsiT§PaB nigRtUv)anecalenAkñúgkarKNna. RkLaépÞBT§½CMuvijedayGkS½énEdk

Design for Torsion                                                                             358
T.Chhay                                                                                      NPIC




kgbiTCitxageRkAbMput RtUv)ankMNt;eday Aoh ¬épÞqUtenAkñúgrUbTI 15>11¦. edaysarGgÁdéTeTot
RtUv)aneRbIenAkñúgsmIkarKNna vak¾RtUv)anENnaMCadMbUgenATIenHedIm,ICYyeGaykaryl;nUvsmIkarman
lkçN³gayRsYl. BIrUbTI 15>11 GgÁEdleGayRtUv)ankMNt;dUcxageRkam³
    Acp = RkLaépÞmuxkat;ebtugEdlBT§½CMuvijedaybrimaRtxageRkAénmuxkat;ebtug

    Pcp = brimaRténmuxkat;ebtugTaMgmUl Acp

    Aoh = RkLaépÞEdlBT§½CMuvijedayGkS½énEdkrgkarrmYlTTwgbiTCitxageRkAbMput ¬épÞqUtkñúgrUbTI

15>11¦
    Ao = RkLaépÞEdlBT§½CMuvijedayKnøgFarkMlaMgkat;TTwg nigGacykesμInwg 0.85 Aoh

    Ph = brimaRtebtugrbs;EdkrgkarrmYlTTwgbiTCitxageRkAbMput

   θ = mMuénkMlaMgsgát;Ggát;RTUgcenøaH 30 o eTA 60 o ¬b¤GacykesμInwg 45o sMrab;Ggát;ebtugGarem:¦
          sMrab;muxkat;GkSr T nig L TTwgRbsiT§PaBénsøabmçag²RtUv)ankMNt;esμInwgkMBs;FñwmEdl
sßitenABIelI b¤BIeRkamkMralxNн edayykmYyNaEdlFMCag b:uEnþminRtUvFMCag 4 dgkMras;kMralxNнeT
¬ACI Code, Sections 11.6.1 and 13.2.4¦.
   8>3> m:Um:g;rmYleFVIeGayeRbH Tcr Cracking Torsional Moment Tcr
          m:Um:g;eFVIeGayeRbHeRkamm:Um:g;rmYlsuT§ Tcr GacRtUv)anTajecjedayCMnYsmuxkat;BitR)akd
munnwgeRbH CamYynwg thin-walled tube smmUl t = 0.75 Acp / Pcp / CamYynwgRkLaépÞEdlBT§½CMuvij
edayGkS½CBa¢aMg A0 = 2 Acp / 3 . enAeBlEdl kugRtaMgTajGtibrma ¬kugRtaMgem¦ mantMélesμI
   f 'c / 3 sñameRbHnwgekItman ehIyCaTUeTAm:Um:g;rmYl T esμInwg

           T = 2 Aoτt                                                                 ¬!%>!*¦
   Edl τ = kugRtaMgkMlaMgkat;edaykarrmYl = f 'c / 3 sMrab;sñameRbHedaykarrmYl.
          CMnYs τ eday f 'c / 3
                      f 'c ⎛ Acp ⎞
                              2
           Tcr =
                      3
                           ⎜
                           ⎜P ⎟ n
                                 ⎟ =T       nig Tu = φTcr                             ¬!%>!(¦
                          ⎝   cp   ⎠
        edaysnμt;fam:Um:g;rmYltUcCagb¤esμInwg Tcr / 4
nwgmineFVIeGaymankarkat;bnßyersIusþg;Tb;karBt; b¤Tb;kMlaMgkat;enAkñúgGgát;énrcnasm<n§½ ACI
Code, Section 11.6.1
GnuBaØateGayecalnUvT§iBlm:Um:g;rmYlenAkñúgGgát;ebtugGarem:enAeBlEdlm:Um:g;rmYlemKuN
Tu ≤ φTcr / 4 b¤


karKNnasMrab;kMlaMgrmYl                                                                      359
Department of Civil Engineering                                          viTüasßanCatiBhubec©keTskm<úCa


                   f 'c ⎛ Acp ⎞
                           2
         Tu ≤ φ
                  12
                        ⎜     ⎟=T
                        ⎜ Pcp ⎟  a                                                     ¬!%>@0¦
                        ⎝     ⎠
       enAeBlEdl Tu FMCagtMélenAkñúgsmIkar !%>@0 Tu TaMgGs;RtUv)anTb;edayEdkkgbiTCit
nigEdkbeNþay. m:Um:g;rmYl Tu RtUv)anKNnaBImuxkat;EdlmanTItaMgRtg;cMgay d BIépÞénTMr nig
Tu = φTn Edl φ = 0.75 .

]TahrN_TI15>1³
sMrab;muxkat;bIEdlbgðajenAkñúgrUbTI 15>12 nigQrelIkarkMNt; ACI Code cUrkMNt;
    a. m:Um:g;eFVIeGayeRbH φTcr

    b. m:Um:g;rmYlemKuNGtibrma φTn EdlGacGnuvtþelImuxkat;nImYy²edaymineRbIEdkRTnugTb;kar

        rmYl.
        snμt; f 'c = 28MPa / f y = 400MPa / kMras;ebtugkarBarEdk 40mm nigeRbIEdkkg DB12 .




dMeNaHRsay³
    1>        muxkat; !
         a.      mU:m:g;eFVIeGayeRbH φTcr GacRtUv)anKNnaBIsmIkar !%>!(
                             f 'c ⎛ Acp ⎞
                                     2
                  φTcr = φ        ⎜     ⎟
                             3 ⎜ Pcp ⎟
                                  ⎝     ⎠




Design for Torsion                                                                                 360
T.Chhay                                                                                    NPIC




                   sMrab;muxkat;enH Acp = xo yo RkLaépÞmuxkat;TaMgmUl Edl xo = 400mm nig
                   yo = 610mm
                   Acp = 400 × 610 = 244000mm 2

                   Pcp =   brimaRténmuxkat;ebtugTaMgmUl
                          = 2( xo + yo ) = 2(400 + 610 ) = 2020mm
                                      28 ⎛ 244000 2 ⎞
                                         ⎜          ⎟ = 39kN .m
                   φTcr = 0.75
                                      3 ⎜ 2020 ⎟
                                         ⎝          ⎠
          b.       φTn    GnuBaØatEdlGacGnuvtþedaymineRbIEdkTb;karrmYlRtUv)anKNnaBIsmIkar !%>@0
                           φTcr       39
                   Ta =           =      = 9.75kN .m
                            4          4
     2>        muxkat; @
          a.      dMbUgKNna Acp nig Pcp sMrab;muxkat;enH nigGnuvtþsmIkarTI !%>!( edIm,IKNna φTcr .
                   edaysnμt;søabRtUv)andak;CamYyEdkkgbiTCit enaHsøabRbsiT§PaBEdlRtUveRbIenA
                   RCugmçag²énRTnugesμInwg $dgkMras;søab b¤ 4(100) = 400mm = hw = 400mm
                   Acp = web area + area of effective flanges

                   Acp = 500 × 350 + 2 ×100 × 400 = 255000mm 2

                   Pcp = 2(b + h ) = 2(350 + 2 × 400 + 500) = 3300mm
                               28 ⎛ 255000 2 ⎞
                                  ⎜          ⎟ = 26kN .m
                   φTcr = 0.75
                               3 ⎜ 3300 ⎟
                                  ⎝          ⎠
                   cMNaM³ RbsinebIsøabRtUv)anecal ehIyEdkTb;karrmYlRtUv)andak;EtenAkñúgRTnug
                   enaH
                   Acp = 350 × 500 = 175000mm 2

                   Pcp = 2(350 + 500) = 1700mm

                   φTcr = 23.8kN .m
          b.       φTn    GnuBaØatEdlGacGnuvtþedaymineRbIEdkTb;karrmYl
                           φTcr       26
                   Ta =           =      = 6.5kN .m
                            4         4
     3>        muxkat; 3


karKNnasMrab;kMlaMgrmYl                                                                     361
Department of Civil Engineering                                         viTüasßanCatiBhubec©keTskm<úCa


        a.      snμt;søabRtUv)andak;EdkkgbiTCit RbEcgRbsiT§PaBesμInwg
                hw = 370mm < 4 ×150 = 600mm
                Acp = 350 × 520 + 370 ×150 = 237500mm 2

               Pcp = 2(b + h) = 2(350 + 370 + 520) = 2480mm
                             28 ⎛ 237500 2 ⎞
                                ⎜          ⎟ = 30kN .m
               φTcr = 0.75
                             3 ⎜ 2480 ⎟
                                ⎝          ⎠
               cMNaM³ RbsinebIsøabRtUv)anecal enaH
                Acp = 350 × 520 = 182000mm 2

               Pcp = 2(350 + 520) = 1740mm

               φTcr = 25.2kN .m
        b.     φTn    GnuBaØat φTn = φTcr = 30 = 7.5kN.m
                                          4    4
   8>4> m:Um:g;rmYllMnwg nwgm:Um:g;rmYlRtUvKña Equilibrium Torsion and Compatibility Torsion
         kñúgkarviPaKeRKOgbgÁáúMGgát;ebtug kMlaMgepSg²EdlGnuvtþrYmman kMlaMgEkg (normal force)/
m:Um:g;Bt; (bending moment)/ kMlaMgkat; (shear force) nigm:Um:g;rmYl Edl)anBnül;enAkñúg]TahrN_
TI 15>1. karKNnaGgát;ebtugGarem:KWQrelIkar)ak;rbs;Ggát;GMeBIrbs;bnÞúkemKuN. sMrab;Ggát;sþa
TicminkMNt; (statically indeterminate member) karEbgEckm:Um:g;mþgeTot (redistribution of
moments) ekItmanmuneBl)ak; dUcenHm:Um:g;KNnaGacnwgRtUv)ankat;bnßy b:uEnþ sMrab;Ggát;sþaTickM

Nt; (statically determinate member) dUcCaFñwmsamBaØ (simple beam) b¤Fñwm cantilever Kμankar
EbgEckm:Um:g;mþgeTotekIteLIgeT.
         enAkñúgkarKNnaGgát;Edlrgm:Um:g;rmYl eKmanBIrkrNIEdlGacGnuvtþbnÞab;BIkareRbH.
         !> krNIm:Um:g;rmYllMnwg (equilibrium torsion case) ekItmanenAeBlm:Um:g;rmYlEdlRtUvkar
              sMrab;eRKOgbgÁúMsßitkñúgsßanPaBlMnwg ehIy Tu minGacRtUv)ankat;bnßyedaykarEbg
              EckeLIgvijrbs;m:Um:g;eT dUckrNIFñwmTMrsamBaØ. kñúgkrNIenHEdkTb;rmYlRtUv)andak;
              edIm,ITb;RKb; Tu . rUbTI 15>13 FñwmEdlenAEKmRTkMralxNн cantilever EdlKμankar
              EbgEckm:Um:g;mþgeTotekItman.
         @> krNIm:Um:g;rmYlRtUvKña (compatibility torsion case) ekItmanenAeBlm:Um:g;rmYl Tu Gac
              RtUv)ankat;bnßyedaykarEbgEckkMlaMgkñúgmþgeTotbnÞab;BIeRbH enAeBlEdlPaBRtUvKña

Design for Torsion                                                                                362
T.Chhay                                                                                   NPIC




            énkMhUcRTg;RTay (compatibility of deformation) RtUv)anrkSa enAkñúgGgát;eRKOgbgÁúM.
            rUbTI 15>14 bgðajBI]TahrN_sMrab;krNIenH EdlFñwmTTwgBIrmanGMeBIelIFñwmEKmbegáIt
            m:Um:g;rmYl. mMurmYlFMekItman enAeBlsñameRbHedaykarrmYlelcecj Edlpþl;nUvkar
            bgEckbnÞúkd¾FMenAkñúgeRKOgbgÁúM. vanwgeTAdl;m:Um:g;rmYlEdleFVIeGayeRbH Tcr eRkamGM
            eBIénbnSM karBt; karkat; nigkarrmYl enAeBlEdlkugRtaMgem (principle stress) mantM
            élRbEhl f 'c / 3 . enAeBlEdl Tu > Tcr m:Um:g;rmYlesμInwg Tcr ¬smIkar !%>!(¦
            EdlGacsnμt;ekItmanenARtg;muxkat;eRKaHfñak;enACitépÞénTMr.
       ACI Code kMNt;m:Um:g;rmYlKNnaesμInwgtMéltUcCageKén Tu Edl)anBIbnÞúkemKuN b¤ φTcr

BIsmIkar !%>!(.




  8>5> karkMNt;énersIusþg;m:Um:g;rmYl Limitation of Tortional Moment Strength
       ACI Code,Section 11.6.3 kMNt;TMhMmuxkat;edaysmIkarxageRkamBIr³

       !> sMrab;muxkat;tan;


karKNnasMrab;kMlaMgrmYl                                                                    363
Department of Civil Engineering                                            viTüasßanCatiBhubec©keTskm<úCa

                  2                  2
            ⎛ Vu ⎞ ⎛ Tu Ph ⎞         ⎡⎛      ⎞                      ⎤
            ⎜     ⎟ +⎜         ⎟ ≤ φ ⎢⎜ Vc ⎟ + 2
            ⎜ b d ⎟ ⎜ 1 .7 A 2 ⎟      ⎜      ⎟                 f 'c ⎥                    ¬!%>@!¦
            ⎝ w ⎠ ⎝         oh ⎠     ⎣⎝ bw d ⎠ 3                    ⎦
       @> sMrab;muxkat;Rbehag
        ⎛ Vu ⎞ ⎛ Tu Ph ⎞        ⎡⎛    ⎞                    ⎤
        ⎜     ⎟+⎜
        ⎜ b d ⎟ ⎜ 1.7 A2 ⎟
                          ⎟ ≤ φ ⎢⎜ Vc ⎟ + 2
                                 ⎜b d ⎟ 3             f 'c ⎥                             ¬!%>@@¦
        ⎝ w ⎠ ⎝        oh ⎠     ⎣⎝ w ⎠                     ⎦
         Edl Vc = f 'c bwd / 6 = ersIusþg;kMlaMgkat;sMrab;ebtugTMgn;Fmμta. GgÁdéTeTotRtUv)ankM
Nt;enAkñúgEpñk 8>2.
         karkMNt;enHKWQrelIPaBCak;EsþgEdlfaplbUkénkugRtaMgEdlbNþalBIkMlaMgkat; nigm:Um:g;
rmYl ¬GgÁxageqVg¦ minRtUvFMCagkugRtaMgEdleFVIeGayeRbHbUknwg 2 f 'c / 3 . krNIdUcKñaRtUv)an
GnuvtþedIm,IKNnakMlaMgkat;edayKμanm:Um:g;rmYlenAkñúgemeronTI 8. eKRtUvkarkarkMNt; (limitation)
edIm,Ikat;bnßysñameRbH nigedIm,IkarBarEbképÞebtugEdlbNþalmkBIkugRtaMgkMlaMgkat;TTwgeRTt
nigm:Um:g;rmYleRTt.
   8>6> muxkat;Rbehag            Hollow Section

         bnSMénkugRtaMgkMlaMgkat; nigkugRtaMgm:Um:g;rmYlenAkñúgmuxkat;RbehagRtUv)anbgðajenAkñúgrUb
15>6 EdlkMras;CBa¢aMgRtUvOansnμt;faefr. enAkñúgmuxkat;RbehagxøH kMras;CBa¢aMgGacERbRbYlCMuvij
brimaRt. sMrab;krNIenH smIkar !%>@@ RtUv)ankMNt;enATItaMgEdlGgÁxageqVgmantMélGtibrma. cM
NaMfa enAnwgsøabxagelI nigsøabxageRkam CaTUeTAkugRtaMgkMlaMgkat;RtUv)anecal. CaTUeTA Rbsin
ebIkMras;CBa¢aMgénmuxkat;Rbehag t tUcCag Aoh / Ph enaHsmIkar !%>@@ køayCa
          ⎛ Vu ⎞ ⎛ Tu Ph ⎞        ⎡⎛ V ⎞ 2            ⎤
          ⎜     ⎟+⎜⎜
          ⎜ b d ⎟ 1.7 A t ⎟ ⎟ ≤ φ ⎢⎜ c ⎟ +
                                   ⎜b d ⎟ 3      f 'c ⎥                                ¬!%>@#¦
        ⎝   w   ⎠ ⎝     oh   ⎠           ⎣⎝   w   ⎠       ⎦
(ACI Code, Section 11.6.3)       .
   8>7> EdkRTnug Web Reinforcement
          dUcEdl)anBnül;rYcehIy viFI ACI Code sMrab;KNnaGgát;Edlrgm:Um:g;rmYlKWQrelI space
truss analogy enAkñúgrUbTI 15>8. bnÞab;BIkareRbHedaykarrmYl eKRtUvkarEdkBIrRbePTedIm,ITb;nwg

m:Um:g;rmYlEdlGnuvtþ Tu KW EdkTTwg (transverse reinforcement) At enAkñúgTMrg;CaEdkkgbiTCit nig
EdkbeNþay (longitudinal reinforcement) Al . ACI Code )anbgðajnUvsmIkarxageRkamedIm,I
KNna At nig Al ³
          !> EdkkgbiTCit At EdlGacKNnadUcxageRkam³

Design for Torsion                                                                                   364
T.Chhay                                                                                           NPIC



                 2 Ao At f yt cot θ
          Tn =
                          s
                                                                                             ¬!%>@$¦
  Edl Tn = Tφu           nig φ = 0.75
        At = RkLaépÞéneCIgmYyrbs;EdkkgbiTCit

        f yt = ersIusþg;yal (yield strength) rbs; At At ≤ 400MPa

        s = KMlatEdkkg

   Ao nig θ RtUv)ankMNt;enAkñúgEpñk 8>2. smIkar !%>@$ GacRtUv)ansresrdUcxageRkam
        At
             =
                     Tn
         s 2 A f cot θ
                                                                              ¬!%>@%¦
                     o yt

  RbsinebI θ = 45o enaH cot θ = 1.0 nigRbsinebI               enaHsmIkar !%>@% køayCa
                                                               f yt = 400MPa
        At
           =
        s 800 Ao
                Tn
                                                                               ¬!%>@^¦
   Edl Tn KitCa N .mm . KMlatEdkkg s minRtUvFMCagéntMéltUcCageKkñúgcMeNam Ph / 8 nig
300mm . sMrab;muxkat; RbehagrgkarrmYl

cMgayEdlvas;BIGkS½énEdkkgeTAépÞxagkñúgrbs;CBa¢aMgminRtUvtUcCag 0.5 Aoh / Ph .
       @> EdkbeNþaybEnßm Al EdlcaM)ac;sMrab;karrmYlminKYrtUcCagtMélxageRkam³
             ⎛ A ⎞ ⎛ f yt ⎞ 2
       Al = ⎜ t ⎟ Ph ⎜
                     ⎜ f ⎟
                          ⎟ cot θ                                              ¬!%>@&¦
               s ⎝    ⎠     ⎝   y   ⎠
      Rbsin θ = 45 nig      o
                                        f yt = f y = 400MPa   sMrab;TaMgEdkkg nigEdkbeNþay
enaHsmIkar !%>@& køayCa
               ⎛A ⎞        ⎛A ⎞
          Al = ⎜ t ⎟ Ph = 2⎜ t ⎟( x1 + y1 )                                            ¬!%>@*¦
               ⎝ s ⎠       ⎝ s ⎠
       Ph RtUv)ankMNt;enAkñúgEpñk 8>2. cMNaMfa EdkEdlcaM)ac;sMrab;karrmYlKYrRtUv)anbEnßmBIelI

EdlEdlcaM)ac;sMrab;kMlaMgkat; m:Um:g;Bt; nigkMlaMgtamGkS½EdleFVIGMeBIrYmKñaCamYykMlaMgrmYl. kar
kMNt;epSgeTotsMrab;EdkbeNþay Al mandUcxageRkam³
       a.   Ggát;p©itEdktUcbMputsMrab;EdkbeNþayKW DB10 b¤KMlatEdkkgelI 24 b¤ s / 24
            edayykmYyNaEdlmantMéltUcCageK.
       b.    EdkbeNþayKYrRtUv)anBRgayCMuvijbrimaRtrrbs;EdkkgCamYyKMlatGtibrma 300mm .


karKNnasMrab;kMlaMgrmYl                                                                            365
Department of Civil Engineering                                                   viTüasßanCatiBhubec©keTskm<úCa


       c.    EdkbeNþayKYrEtdak;enAkñúgEdkkg y:agehacNas;k¾dak;EdkenARKb;mMurbs;Edkkg.
             EdkEdldak;enAnwgmMurbs;EdkkgRtUv)aneKrkeXIjfamanRbsiT§PaBkñúgkarbegáItersIu
             sþg;m:Um:g;rmYl nigkñúgkarkarBarsñameRbH.
       d.    EdkTb;m:Um:g;rmYlRtUvdak;enAcMgay (bt + d ) BIcMnucEdlRTwsþIRtUvkar Edl bt CaTTwgén
             Epñkrbs;muxkat;EdlmanEdkkgTb;kMlaMgrmYl.
  8>8> EdkTb;karrmYlGb,brma              Minimum Torsional Reinforcement

       enAkEnøgNaEdlEdkTb;karrmYlGb,brmaRtUvkar EdkTb;karrmYlGb,brmaRtUv)ankMNt;dUc
xageRkam (ACI Code, Section 11.6.5) ³
       !> EdkkgbiTCitGb,brmasMrab;bnSMénkMlaMgkat;TTwg nigkarrmYl ¬emIlEpñk 8>6¦³
               Av + 2 At ≥
                             0.35bw s
                                f
                                                       ¬sMrab; f 'c < 31MPa ¦
                                  yt

                                       ⎛b s⎞
                Av + 2 At ≥ 0.063 f 'c ⎜ w ⎟
                                       ⎜ f yt ⎟
                                                              ¬sMrab;   f 'c ≤ 31MPa   ¦        ¬!%>@(¦
                                       ⎝      ⎠
       Edl      Av =  RkLaépÞeCIgTaMgBIrrbs;EdkkgEdlkMNt;)anBIkMlaMgkat;
                At = RkLaépÞeCIgEtmYyrbs;EdkkgEdlkMNt;BIm:Um:g;rmYl

                s = KMlatEdkkg

                f yt = ersIusþg;yal (yield strength) rbs;Edkkg ≤ 400 MPa

        KMlatEdkkg s minKYrFMCagtMéltUcCagkñúgcMeNam Ph / 8 nig 300mm . KMlatenHRtUvkar
edIm,IRKb;RKgsñameRbH.
        @> RkLaépÞEdksrubGb,brmarbs;EdkbeNþayTb;karrmYl³
                          5 f 'c Acp ⎛ At ⎞ ⎛ f yt ⎞
                Al min =             − ⎜ ⎟ Ph ⎜
                                               ⎜ f ⎟
                                                    ⎟                         ¬!%>#0¦
                              yf       ⎝ s ⎠      ⎝   y   ⎠
       Edl At / s minRtUvyktUcCag 173bw / f yt .
        Al Gb,brmaenAkñúgsmIkar !%>#0 RtUv)ankMNt;edIm,Ipþl;nUvGRtaGb,brmaénmaDEdkTb;kM

laMgrmYlelImaDebtug mantMélRbEhl 1% sMrab;ebtugGarem:EdlrgkMlaMgrmYlsuT§.
9> segçbviFIsaRsþKNnaeday ACI Code Summary of ACI Code Procedures
     viFIsaRsþKNnasMrab;bnSMkMlaMgkat;TTwg nigkMlaMgrmYlGacRtUv)ansegçbdUcxageRkam³

Design for Torsion                                                                                          366
T.Chhay                                                                                     NPIC




          !> KNnakMlaMgkat;TTwgemKuN Vu nigm:Um:g;rmYlemKuN Tu BIkMlaMgEdlGnuvtþmkelIeRKOg
             bgÁúM. tMéleRKaHfñak;sMrab;kMlaMgkat;TTwg nigkMlaMgrmYlKWsßitenARtg;muxkat;EdlmancM
             gay d BIépÞrbs;TMr.
          @> a. eKRtUvkarEdkkMlaMgkat;TTwgenAeBl Vu > φVc / 2 Edl Vc = f 'c bwd / 6 .
             b. EdkTb;karrmYlRtUvkarenAeBlEdl
                            f 'c ⎛ Acp ⎞
                                    2
                    Tu > φ
                           12
                                 ⎜
                                 ⎜P ⎟
                                       ⎟                                          ¬!%>@0¦
                                   ⎝   cp   ⎠
                 RbsinebIEdkRTnugRtUvkar GnuvtþviFIsaRsþxageRkam.
          #> KNnasMrab;kMlaMgkat;TTwg
             a. KNnaersIuisþg;kMlaMgkat; nominal Edlpþl;edayebtug Vc . kMNt;kMlaMgkat;TTwg

                EdlTb;edayEdkRTnug³
                                             V − φVc
                 Vu = φVc + Vs b¤        Vs = u
                                                 φ
             b. eRbobeFob Vs Edl)anKNnaCamYynwgtMélGnuBaØatGtibrma 2 f 'c bw d / 3 eyag

                tam ACI Code. RbsinebI Vs tUcbnþkarKNna EtpÞúymkvijtMeLIgTMhMmuxkat;rbs;
                ebtug.
             c. EdkRTnugkMlaMgkat;TTwgRtUv)anKNnadUcxageRkam³
                          Vs s
                   Av =
                          f yt d

                   Edl      Av =RkLaépÞéneCIgTaMgBIrrbs;Edkkg
                          s = KMlatEdkkg

                   EdkkMlaMgkat;TTwgkñúgmYyÉktþaRbEvgKW
                    Av   V
                       = s
                    s   f yt d

             d.   RtYtBinitü Av / s Edl)anKNnaCamYynwg Av / s Gb,brma³
                    Av                    ⎛b       ⎞       ⎛        ⎞
                       (min) = 0.063 f 'c ⎜ w      ⎟ ≥ 0.35⎜ bw     ⎟
                    s                     ⎜ f yt   ⎟       ⎜ f yt   ⎟
                                          ⎝        ⎠       ⎝        ⎠
                   Av Gb,brma RtUv)ankMNt;edaybTdæaneRkambnSMénGMeBIrbs;kMlaMgkat;TTwg nigkM
                  laMgrmYlRtUv)aneGayenAkñúgCMhanTI5

karKNnasMrab;kMlaMgrmYl                                                                      367
Department of Civil Engineering                                           viTüasßanCatiBhubec©keTskm<úCa


       $> KNnasMrab;karrmYl³
          a. RtYtBinitüfaetIm:Um:g;rmYlemKuN Tu begáItm:Um:g;rmYllMnwg (equilibrium torsion)

             b¤m:Um:g;rmYlRtUvKña (compatibility torsion). sMrab; equilibrium torsion eRbI Tu .
             sMrab; compatibility torsion m:Um:g;rmYlKNnaKWtMéltUcCageKén Tu BIbnÞúkemKuN
             nig
                          f 'c ⎛ Acp ⎞
                                   2
              Tu 2 = φ
                          3
                               ⎜
                               ⎜P ⎟
                                     ⎟                                                 ¬!%>!(¦
                                 ⎝       cp   ⎠
          b.   RtYtBinitüfaetITMhMénmuxkat;RKb;RKan;b¤Gt;. vaTTYl)anedayeRbIsmIkar !%>@! sMrab;
               muxkat;tan; b¤smIkar !%>@@ sMrab;muxkat;Rbehag. RbsinebItMélenAGgÁxageqVgFM
               Cag φ (Vc / bwd + 2 f 'c / 3) enaHbegáInmuxkat; pÞúymkvijKNnabnþ. sMrab;muxkat;
               Rbehag RtYtBinitüfaetIkMras;CBa¢aMg t tUcCag Aoh / Ph b¤Gt;. RbsinebIvatUcCageRbI
               smIkar !%>@# pÞúymkvijeRbIsmIkar !%>@@.
          c.   kMNt;EdkkgbiTCitcaM)ac;BIsmIkar !%>@%
                 At
                    =
                            Tn
                 s 2 A f cot θ
                                                                                     ¬!%>@%¦
                         o yt

                At / s minRtUvtUcCag 173bw / f yt . ehIy mMu θ Gacsnμt;esμI 45o / Tn = Tu / φ nig
                φ = 0.75 .
               snμt; Ao = 0.85 Aoh = 0.85(x1 y1 )
               Edl x1 nig y1 CaTTwg nigkMBs;rbs;muxkat;KitBIGkS½eTAGkS½Edkkg ¬emIlrUb
               TI !%>!!¦. sMrab; θ = 45o nig f y = 400MPa
                At
                    =
                 s 800 Ao
                         Tn
                                                                                      ¬!%>@^¦
               KMlatGnuBaØatGtibrma s KWtMéltUcCageKén 300mm b¤ Ph / 8 .
          d.   kMNt;EdkbeNþaybEnßmBIsmIkar !%>@&³
                     ⎛ A ⎞ ⎛ f yt ⎞ 2
               Al = ⎜ t ⎟ Ph ⎜
                             ⎜ f ⎟
                                  ⎟ cot θ                                             ¬!%>@& a ¦
                     ⎝ s ⎠   ⎝       y   ⎠
               EtminRtUvtUcCag
                        ⎛ 5 f 'c Acp          ⎞ ⎛ A ⎞ ⎛ f yt ⎞
               Al min = ⎜
                        ⎜ 12 f y
                                              ⎟ − ⎜ t ⎟P ⎜
                                              ⎟ ⎝ s ⎠ h⎜ fy ⎟
                                                             ⎟                          ¬!%>@& b ¦
                        ⎝                     ⎠          ⎝   ⎠


Design for Torsion                                                                                  368
T.Chhay                                                                                  NPIC




                sMrab; θ = 45o nig f yt = 400MPa enaH Al = ( At / s )Ph          ¬!%>@*¦
                EdkbeNþayTb;karrmYlKYrmanGgát;p©ity:agticesμIKMlatEdkkgelI 24 b¤ s / 24 b:uEnþ
                minRtUvtUcCag DB10 . EdkbeNþayRtUvdak;enAkñúgEdkkgbiTCitCamYyKMlatGtibrma
                esμI 300mm . y:agehaceKRtUvdak;EdkmYyedImenARKb;mMurbs;Edkkg. CaTUeTAmYy
                PaKbIén Edk Al RtUv)anbEnßmeTAelIEdkTaj mYyPaKbIenABak;kNþalkMBs;rbs; mux
                kat; nigmYyPaKbIeTotenAEpñksgát;.
          %> kMNt;RkLaépÞsrubénEdkkgbiTCitEdlbNþalBI Vu nig Tu .
                 Avt = ( Av + 2 At ) ≥
                                       0.35bw s
                                          f
                                                                                 ¬!%>@(¦
                                       yt

             eRCIserIsEdkkgbiTCitsmrmüCamYyKMlat s EdlmantMéltUcCageKkñúgcMeNam 300mm
             nig Ph / 8 .
             EdkkgKYrRtUv)andak;enAcMgay (bt + d ) eRkaycMnucEdlRTwsþIRtUvkar Edl bt = TTwgén
             muxkat;EdlTb;nwgkMlaMgrmYl.
]TahrN_15>3³ (Equilibrium Torsion)
kMNt;brimaNEdkRTnugcaM)ac;sMrab;muxkat;ctuekaNEkgdUcbgðajenAkñúgrUbTI 15>15. muxkat;rgnUvkM
laMgkat;emKuN Vu = 213.5kN nigkMlaMgrmYllMnwg (equilibrium torsion) Tu = 41kN .m enATItaMg
EdlmancMgay d BIépÞénTMr. eKeGay f 'c = 28MPa nig f y = 400MPa .




karKNnasMrab;kMlaMgrmYl                                                                   369
Department of Civil Engineering                                               viTüasßanCatiBhubec©keTskm<úCa


dMeNaHRsay³
CMhanxageRkambgðajBIviFIsaRsþkñúgkarKNna
    1> kMlaMgKNnaKW Vu = 213.5kN nig Tu = 41kN .m
    2> a. EdkTb;kMlaMgkat;RtUvkarenAeBl Vu > φVc / 2 .
                      φ
                                  28 (400 )(520) ⋅10 − 3 = 137.6kN
                             0.75
             φVc =          f 'c bd =
                   6          6
                           φV
             Vu = 213.5kN > c = 68.8kN
                            2
             eKRtUvkarEdkTb;kMlaMgkat;.
       b.    eKRtUvkarEdkTb;karrmYlenAeBl
                           f 'c ⎛ Acp   ⎞
                                   2
             Tu > φ             ⎜       ⎟ =T
                          12 ⎜ Pcp      ⎟ a
                                ⎝       ⎠
              Acp = xo yo = 400 × 580 = 232000mm 2

              Pcp = 2( xo yo ) = 2(400 + 520) = 1840mm
                    0.75 28 (232000 )2 − 6
             Ta =                     10 = 9.7 kN .m
                        12 × 1840
             Tu = 41kN .m > 9.7kN .m
            EdkTb;kMlaMgrmYlRtUvkarcaM)ac;. cMNaMfa RbsinebI Tu tUcCag 9.7kN.m enaHEdkTb;kar
    rmYlnwgminRtUvkar b:uEnþEdkTb;kMlaMgkat;RtUvkar.
    3> KNnakMlaMgkat;TTwg³
        a. Vu = φVc + φVs / Vs = 101.2kN

                                              28 (400)(520 ) = 733.8kN > Vs
                            2               2
        b. Vs (max) =           f 'c bd =
                            3               3
                       101.2 ⋅10 3
        c.
             Av
             s
                 V
                = s =
                 f y d 400 × 520
                                   = 0.5mm 2 / m             ¬eCIgBIr¦
              Av
              2s
                 = 0.25mm 2 / m                              ¬eCIgmYy¦
    4> KNnasMrab;karrmYl
        a. kMlaMgrmYlKNna Tu = 41kN .m . KNnalkçN³muxkat; edaysnμt;kMras;ebtugkarBar

           Edk 40mm nigeRbIEdkkg DB12 ³
              x1 = 400 − 2(40 + 6 ) = 308mm



Design for Torsion                                                                                      370
T.Chhay                                                                                                 NPIC




               y1 = 580 − 2(40 + 6 ) = 488mm
               CakarGnuvtþn_ eKGacsnμt; x1 = b − 90mm nig y1 = h − 90mm
               Aoh = x1 y1 = 308 × 488 = 150304mm 2

               Ao = 0.85 Aoh = 127758.4mm 2

               Ph = 2(x1 + y1 ) = 2(308 + 488) = 1592mm
               θ = 45o   nig cot θ = 1.0
          b.   RtYtBinitüPaBRKb;RKan;rbs;muxkat;edayeRbIsmIkar !%>@!³
                        2                       2
                 ⎛ Vu ⎞ ⎛ Tu Ph ⎞      ⎡⎛    ⎞                           ⎤
                 ⎜        ⎜      ⎟ ≤ φ ⎢⎜ Vc ⎟ + 2
                 ⎜b d ⎟ +⎜
                      ⎟       2 ⎟       ⎜b d ⎟ 3                    f 'c ⎥
                 ⎝ w ⎠ ⎝ 1.7 Aoh ⎠     ⎣⎝ w ⎠                            ⎦
               φVc = 137.6kN             nig Vc = 183.5kN
                                                          2                        2
                                   ⎛ 137600 ⎞ ⎛ 41000000 × 1592 ⎞
               Left − hand side = ⎜            ⎟ +⎜               ⎟ = 1.82 MPa
                                   ⎝ 400 × 520 ⎠ ⎝ 1.7 × 150304 2 ⎠
                                       ⎛ 183500     2    ⎞
               Right − hand side = 0.75⎜          +   28 ⎟ = 3.3MPa > 1.82MPa
                                       ⎝ 400 × 520 3     ⎠
               muxkat;RKb;RKan;
          c.   kMNt;EdkkgbiTCitcaM)ac;EdlbNþalBIkarrmYlBIsmIkar !%>@%³
                 At     Tn
                    =
                 s 2 Ao f yt cot θ
                          Tu        41
                Tn =           =        = 54.7 kN .m       cot θ = 1.0       Ao = 127758.4mm 2
                          φ        0.75
                        54.7 ⋅10 6
                 At
                    =
                 s 2 × 127758.4 × 400
                                      = 0.535mm 2 / m                ¬eCIgmYy¦
          d.   kMNt;EdkbeNþaybEnßmBIsmIkarTI !%>@&³
                      ⎛A       ⎞ ⎛ f yt       ⎞ 2
                 Al = ⎜ t      ⎟ Ph ⎜         ⎟ cot θ
                      ⎝ s      ⎠ ⎜ fy
                                    ⎝
                                              ⎟
                                              ⎠
                 At
                    = 0.535               Ph = 1592mm               f yt = f y = 400MPa   cot θ = 1.0
                 s
                 Al = 0.535 × 1592 = 851.72mm 2
                                   5 f 'c Acp      ⎛ A ⎞ ⎛ f yt ⎞
                 Al (min) =                      − ⎜ t ⎟ Ph ⎜   ⎟
                                     12 f y        ⎝ s ⎠ ⎜ fy ⎟
                                                            ⎝   ⎠
                                                     At
                 Acp = 232000mm 2                       = 0.535     f yt = f y = 400MPa
                                                     s


karKNnasMrab;kMlaMgrmYl                                                                                 371
Department of Civil Engineering                                        viTüasßanCatiBhubec©keTskm<úCa


                           5 28 (232000)
              Al (min) =                 − (0.535)(1592) = 427mm 2
                             12 × 400
              Al = 851.72mm 2 lb;
    5> kMNt;RkLaépÞEdkkgsrub
       a. sMrab;eCIgmYyrbs;Edkkg
                                     Avt At Av
                                         =   +
                                      s     s 2s
          EdkkgEdlcaM)ac; Avt = 0.535 + 0.25 = 0.785mm 2 / m ¬eCIgmYy¦
          eRbIEdk DB12 RkLaépÞmuxkat;rbs;EdkkgsMrab;eCIgmYyKW 113mm 2
                                      = 144mm yk 140mm
                                 113
          spacing of stirrups =
                                0.785
       b. KMlatGtibrma s = h =          = 199mm b¤ 300mm mYyNaEdltUcCag.
                             P 1592
                              8     8
          KMlatEdleRbIKW 140mm < 199mm
                              0.35bw 0.35 × 400
       c. Avt / s Gb,brma =           =          = 0.35mm 2 / m < 0.785mm 2 / m
                                f    yt    400

    6> edIm,IrkkarBRgayEdkbeNþay cMNaMfa Al srub = 851.72mm 2 . eRbImYyPaKbIenAEpñkxag
       elI b¤ 851.72 / 3 = 283.9mm 2 edIm,IbEnßmenAkñúgEdkrgkarsgát; A's . eRbImYyPaKbIdak;enA
       EpñkxageRkam edIm,IbEnßmBIelIEdkrgkarTaj nigEdkmYyPaKbIeTotdak;enAkMBs;Bak;kNþal.
       a. RkLaépÞEdksrubenAEpñkxagelIesμI 226 + 283.9 = 509.9mm 2 . eRbI 3DB16

           ¬ As = 603mm 2 ¦
       b. RkLaépÞEdksrubenAEpñkxageRkamesμI 3078.8 + 283.9 = 3362.7 mm 2 . eRbI 3DB 28

           nig 2DB32 enARCugmMu ¬ As srub = 3455.8mm 2 ¦
             Al srubEdleRbI = (603 − 226 ) + (3455.8 − 3078.8) = 754mm 2

       c. enAkMBs;Bak;kNþal eRbIEdk 2DB12 ¬ As = 226mm 2 ¦

           bøg;srésEdklMGitRtUv)anbgðajenAkñúgrUbTI 15>15. KMlatEdkbeNþayesμInwg
        230mm EdltUcCagKMlatEdkGtibrmaEdlRtUvkar 300mm 2 . Ggát;p©itEdkkg DB12 Edl

       eRbIFMCagGgát;p©itGb,brma DB10 b¤KMlatEdkkgelI 24 ¬ s / 24 = 5.8mm ¦.
]TahrN_15>4³ (Compatibility Torsion)
edaHRsay]TahrN_TI 15>3 eLIgvij RbsinebIkMlaMgrmYlemKuNCa compatibility torsion.
dMeNaHRsay³

Design for Torsion                                                                               372
T.Chhay                                                                                  NPIC




eyagtamdMeNaHRsaykñúg]TahrNITI 15>3
   !> kMlaMgKNnaKW V u = 213.5kN nig compatibility torsion Tu = 41kN .m
   @> CMhan (a) nig (b) dUcKñaenAkñúg]TahrN_TI 15>3. eKRtUvkarEdkRTnug.
   #> CMhan (c) KWdUcKña.
   $> KNnasMrab;kMlaMgrmYl³
       edaysar compatibility torsion Tu = 41kN .m enaH Tu KNnaRtUvtUvCag 41kN .m b¤ φTcr
       RtUv)aneGayenAkñúgsmIkar !%>!(
                          f 'c ⎛ Acp ⎞ 0.75 28 ⎛ 232000 2 ⎞ − 6
                                  2
          φTcr = φ             ⎜     ⎟=        ⎜          ⎟ ⋅10 = 38.7 kN .m
                          3 ⎜ Pcp ⎟        3   ⎜ 1840 ⎟
                               ⎝     ⎠         ⎝          ⎠
          edaysarEt φTcr < Tu / eRbI Tu = 38.7kN .m . GnuvtþeLIgvijRKb;CMhanenAkñúg]TahrN_TI
          15>3 edayeRbI Tu = 38.7kN .m edIm,IkMNt;famuxkat;RKb;RKan;.
                 At
                 s
                    = 0.5mm 2 / m       ¬eCIgmYy¦
                   Al = 0.5 × 1592 = 796mm 2
                eRbI Al = 852mm 2 > Al (min)
     %> Avt caM)ac; = 025 + 0.5 = 0.75mm 2 / m ¬eCIgmYy¦
                       .

               113
          s=        = 150.6mm
               0.75
          eRbI 150mm . eRCIserIsEdkbeNþay nigEdkkgdUckñúg]TahrN_TI 15>3.
]TahrN_15>5³ (L-section with Equilibrium Torsion)
FñwmxagénRbBn§½kMralxNнrbs;GKardUcbgðajenAkñúgrUbTI 15>16. muxkat;enAcMgay d BIépÞénTMrrg
nUv Vu = 235kN nig equilibrium torque Tu = 27kN .m . KNnaEdkRTnugcaM)ac;edayeRbI
 f 'c = 28MPa nig f y = 400MPa sMrab;RKb;EdkEdleRbIenAkñúgFñwm.

dMeNaHRsay³
     1> kMlaMgKNnaKW Vu = 235kN nig Tu = 27kN .m
     2> a. EdkTb;kMlaMgkat;RtUvkarenAeBl Vu > φVc / 2
                          φ f 'c            0.75 28
               φVc =               bw d =           350 × 455 ⋅10 − 3 = 105.3kN
                              6                 6
                      φVc
               Vu >           = 52.65kN
                          2


karKNnasMrab;kMlaMgrmYl                                                                   373
Department of Civil Engineering                                           viTüasßanCatiBhubec©keTskm<úCa


            eKRtUvkarEdkkMlaMgkat;TTwg
       b. RtYtBinitüfaetIEdkTb;karrmYlRtUvkarb¤Gt;. snμt;fasøabcUlrYmkñúgkarTb;karrmYl RbEvg

            søabRbsiT§PaBKW hw = 380mm < 150 × 4 = 600mm .
             xo = 350mm       nig yo = 530mm
            Acp = (350 × 530) + (150 × 380 ) = 242500mm 2

            Pcp = 2(730 + 530) = 2520mm
                                               ⎛ 242500 2 ⎞ − 6
            BIsmIkar !%>@0     Ta =
                                       0.75
                                        12
                                            28 ⎜
                                               ⎜ 2520 ⎟
                                                          ⎟ ⋅10 = 7.7kN .m
                                               ⎝          ⎠
            Tu > Ta
         muxkat;RtUvkarEdkTb;karrmYl.
    3> KNnaEdkTb;kMlaMgkat;TTwg³
       a.   Vu = φVc + φVs

            235 = 105.3 + 0.75Vs

            Vs = 173kN
                       2
       b.   Vs (max) =    f 'c bw d = 561.8kN > Vs
                       3
       c.
            Av
             s
                  V
                = s =
                         173000
                  f y d 400 × 455
                                    = 0.95mm 2 / m            ¬eCIgBIr¦
            Av 0.95
               =    = 0.475mm 2 / m
            2s   2
    4> KNnaEdkTb;karrmYl³ Tu = 27kN .m
        a. KNnalkçN³muxkat;edaysnμt; kMras;ebtugkarBarEdk 40mm nigEdkkg DB12 .

           RTnug x1 = 350 − (2 × 40) − 12 = 258mm y1 = 530 − (2 × 40) − 12 = 438mm
           søab x1 = 380mm ¬EdkkghYscUleTAkñúgRTnug¦
                         y1 = 150 − 92 = 58mm
                Aoh = (58 × 380) + (258 × 438) = 135044mm 2

                Ao = 0.85 Aoh = 114787.4mm 2

               Ph = 2(58 + 380) + 2(258 + 438) = 2268mm

               θ = 45o            cot θ = 1.0




Design for Torsion                                                                                  374
T.Chhay                                                                                       NPIC




          b.   RtYtBinitüPaBRKb;RKan;rbs;muxkat;edayeRbIsmIkarTI !%>@!³ Vu = 235kN /
                φVc = 105.3kN / Vc = 140.4kN / Tu = 27kN .m

                                   ⎛ 235000 ⎞ ⎛ 27 ⋅10 × 2268 ⎞
                                                2         6
               Left − hand side = ⎜            ⎟ +⎜               ⎟ = 2.47 MPa
                                   ⎝ 350 × 455 ⎠ ⎜ 1.7 × 135044 2 ⎟
                                                  ⎝               ⎠
                                       ⎛ 140400     2      ⎞
               Right − hand side = 0.75⎜          +    28 ⎟ = 3.3MPa
                                       ⎝ 350 × 455 3       ⎠
               muxkat;manlkçN³RKb;RKan;
          c.   kMNt;EdkkgbiTCitedIm,ITb;karrmYl At / s BIsmIkar !%>@%³
                                              27 ⋅ 10 6
                At
                s
                   =
                           Tn
                                    =
                     2 Ao f yt cot θ 0.75 × 2 × 114787.4 × 400
                                                               = 0.392mm 2 / m         ¬eCIgmYy¦
          d.   KNnaEdkbeNþaybEnßmBIsmIkar !%>@* ¬sMrab;      f 'c = 400 MPa   nig cot θ = 1.0 ¦
                    ⎛A ⎞
               Al = ⎜ t ⎟ Ph = 0.392 × 2268 = 889mm 2
                    ⎝ s ⎠
               Al min     ¬BIsmIkar !%>#0¦ KW
                           5 28 × 242500
               Al min =                  − 889 = 447.7mm 2
                             12 × 400
            karcUlrYmrbs;søabRtUv)anecaledaysarTTYl)anlT§plxusKñatictYc nigtMélBlkmμ
            ticCag.
     5> kMNt;RkLaépÞmuxkat;EdkkgbiTCit
         a. sMrab;eCIgmYy vt = t + v
                            A      A A
                              s     s 2s
                muxkat;cM)ac; Avt = 0.392 + 0.475 = 0.867mm 2 / m ¬eCIgmYy¦
                eRCIserIsEdk DB12 ¬ As = 113mm 2 ¦
                KMlatEdkkg = 0113 = 130mm eRbI 125mm
                                  .867
         b. KMlatEdkGtibrma s max = h =             = 283.5mm . eRbI s = 125mm dUckarKNna.
                                        P     2268
                                         8      8
             Avt 0.35bw 0.35 × 350
         c.       =          =            = 0.31mm 2 / m < 0.867mm 2 / m dUcenHeRbI
              s       f      yt   400

                DB12 @125
     6> kMNt;karBRgayrbs;EdkbeNþay. Al srubKW 889mm 2 . eRbImYyPaKbI b¤
         889 / 3 = 296.3mm 2 enAEpñkxagelI EpñkkNþal nigEpñkxageRkam.



karKNnasMrab;kMlaMgrmYl                                                                           375
Department of Civil Engineering                                      viTüasßanCatiBhubec©keTskm<úCa


        a.   brimaNEdksrubenAEpñkxagelI = 628.3 + 296.3 = 924.6mm 2 eRbI 3DB20
             ¬ As = 942.5mm 2 ¦
        b.   brimaNEdksrubenAEpñkxagelI = 2463 + 296.3 = 2759.3mm 2 eRbI 5DB28
             ¬ As = 3078.8mm 2 ¦
                  Al srubEdleRbI = (942.5 − 628.3) + (3078.8 − 2463) = 930mm 2

        c.   eRbIEdk 2DB12 enABak;kNþalkMBs; ¬ As = 226mm 2 ¦. bøg;EdklMGitRtUv)anbgðajenA
             kñúgrUbTI 15>16. KMlatEdkbeNþayKW 190mm < 300mm . Ggát;p©itrbs;EdkkgKW
             12mm EdlFMCagGgát;p©itEdk DB10 b¤KMlatEdkkgelI 24 ¬ s / 24 = 5.2mm ¦.

             bEnßmEdkbeNþay DB12 enARKb;mMurbs;EdkkgenAkñúgRTnugFñwm nigsøabFñwm.




Design for Torsion                                                                             376
T.Chhay                   NPIC




karKNnasMrab;kMlaMgrmYl   377

Xv design for torsion

  • 1.
    Department of CivilEngineering viTüasßanCatiBhubec©keTskm<úCa XV. karKNnasMrab;kMlaMgrmYl Design for Torsion 1> esckþIepþIm Introduction kugRtaMgrmYlekItmanenAkñúgmuxkat;FñwmenAeBlEdlm:Um:g;manGMeBIRsbeTAnwgmuxkat;enaH. m:Um:g;rmYleFVIeGayGgát;vil nigmansñameRbHenAelIépÞrbs;va CaTUeTAEtgekItmanenAelImuxkat;mUl. edIm,IbgðajkugRtaMgrmYl eKGnuvtþkMlaMgrmYl T Fñwm cantilever muxkat;mUlEdleFVIBI elastic homogenous material dUcbgðajkñúgrUbTI 15>1. kMlaMgrmYlnwgeFVIeGayFñwmvil. cMnuc B clt½eTA cMnuc B' enAxagcugrbs;Fñwm b:uEnþcugmçageTotrbs;FñwmRtUv)anbgáb;. mMu θ RtUv)aneKehAfa mMurmYl (angle of twist). bøg; AO' OB nwgdUrrageTACarag AO'OB' . edaysnμt;fa Ggát;enArkSaRbEvgrbs; vadEdl enaH shear strain KW BB' rθ γ = = L L Edl L CaRbEvgrbs;Fñwm nig r CakaMrbs;muxkat;rgVg;. enAkñμúgeRKOgbgÁúMebtugGarem: Ggát;nwgrgm:Um:g;rmYlenAeBlGgát;enaHekagenAkñúgbøg;/ RT cantilever slab/ mannaTICa spandrel beam (end beam)/ b¤CaEpñkrbs;CeNþIrvil. Design for Torsion 346
  • 2.
    T.Chhay NPIC Ggát;eRKOgbgÁúMGacrgnUvEtkMlaMgrmYlsuT§ b¤enAkñúgkrNICaeRcIn vargCamYyKñakñúgeBlEtmYy nUvkMlaMgkat;TTwg nigm:Um:g;Bt;. ]TahrN_TI15>1 bgðajBIkMlaMgepSg²EdlGacGnuvtþmkelImuxkat; epSgKñaénFñwm cantilever. ]TahrN_TI15>1³ KNnakMlaMgEdlmanGMeBIenAmuxkat; !/ @ nig # énFñwm cantilever EdlbgðajenAkñúgrUbTI 15>2. Fñwm rgnUvkMlaMgbBaÄr P1 = 67kN / kMlaMgedk P2 = 53.5kN EdleFVIGMeBIenAcMnuc C nigbnÞúkedk P3 = 89kN EdlGnuvtþenAcMnuc B nigEkgeTAnwgTisedArbs;kMlaMg P2 . dMeNaHRsay³ yk N = kMlaMgEkg (normal force)/ V = kMlaMgkat; (shear force)/ M = m:Um:g;Bt; (bending moment)/ T =m:Um:g;rmYl (torsional moment). kMlaMgTaMgGs;RtUv)anbgðajenAkñúgtaragxageRkam³ muxkat; N (kN ) M x (kN .m) M y (kN .m) V x (kN ) V y (kN ) T (kN .m) ! 0 − 180.9 144.45 53.5 67 0 @ − 53.5 ¬sgát;¦ 0 144.45 89 67 180.9 # − 53.5 ¬sgát;¦ 241.2 464.85 89 67 180.9 karKNnasMrab;kMlaMgrmYl 347
  • 3.
    Department of CivilEngineering viTüasßanCatiBhubec©keTskm<úCa RbsinebI P1 / P2 nig P3 CabnÞúkemKuN ¬ Pu = 1.2PD + 1.6PL ¦ enaHral;tMélenAkñúgtaragCakMlaMg KNnaemKuN. 2> m:Um:g;rmYlenAkñúgFñwm Torsional Moments in Beams dUcbgðajenAkñúgrUbTI 15>1 kMlaMgGacGnuvtþenAelIeRKagsMNg;GKar edayeFVIeGaymanm:Um:g; rmYl. RbsinebIkMlaMgcMcMnuc P GnuvtþenARtg;cMnuc C enAelIeRKag ABC dUcbgðajenAkñúgrUb 15>3 a vabegáItm:Um:g;rmYl T = PZ enAkñúgFñwm AB Rtg;cMnuc D . enAeBl D sßitenAkNþalElVgénFñwm AB enaHm:Um:g;rmYlKNnaenAkñúgkMNat; AD esμInwgm:Um:g;rmYlKNnaenAkñúgkMNat; DB b¤esμInwg 1 T . Rb 2 sinebIkMral cantilever slab RtUv)anRTedayFñwm AB ¬rUbTI 15>3 b¦ enaHkMralxNнbegáItm:Um:g;rmYl BRgayesμI mt tambeNþayFñwm AB . m:Um:g;rmYlBRgayesμIenH KWekItBIbnÞúkenAelIcMerokTTwkmYy Éktþarbs;kMralxNн. RbsinebI S CaTTwgén cantilever slab nig w CabnÞúkenAelIkMralxNн ¬ kN / m 2 ¦ enaH mt = wS 2 / 2 ¬ kN .m / m ¦énFñwm AB . m:Um:g;rmYlKNnaGtibrmaenAkñúgFñwm AB KW T = mt L / 2 EdlGnuvtþenARtg;cMnuc A nig B . krNIbnÞúkepSgeTotRtUv)anbgðajenAkñúgtarag 15>1. CaTUeTA düaRkamm:Um:g;rmYlenAkñúgFñwmmanrag nigmantMéldUcKñanwgdüaRkamkMlaMgkat;TTWgsM rab;FñwmEdlrgnUvkMlaMg mt nig T . Design for Torsion 348
  • 4.
    T.Chhay NPIC karKNnasMrab;kMlaMgrmYl 349
  • 5.
    Department of CivilEngineering viTüasßanCatiBhubec©keTskm<úCa 3> kugRtaMgrmYl Torsional Moments in Beams edayBicarNaelIFñwm cantilever Edlmanmuxkat;mUl ¬rUbTI15>1¦ enAeBlEdlm:Um:g;rmYl T manGMeBIelIFñwm vanwgbegáIteGaymankMlaMgkat;TTwg dV EkgeTAnwgkaMrbs;muxkat;. BIlkçxNÐl<nwg m:Um:g;rmYlxageRkARtUv)anTb;edaym:Um:g;rmYlxagkñúgEdlmantMél T esμIKñaEtTisedApÞúyKña . Rbsin ebI dV CakMlaMgkat;TTwgeFVIGMeBIelIépÞ dA ¬rUbTI 15>4¦ enaHGaMgtg;sIueténkMlaMgrmYlKW T = ∫ rdV edayyk v CakugRtaMgkMlaMgkat;TTWgenaH dV = vdA nig T = ∫ rvdA kMlaMgkat;TTwgeGLasÞicGtibrmaekItmanenAépÞxageRkArbs;muxkat;rgVg;Rtg;kaM r CamYynwgkM ras; dr enaHkMlaMgrmYlGacRtUv)ankMNt;edayKitm:Um:g;eFobnwgcMnuc 0 sMrab;RkLaépÞkg³ dT = (2πrdr )vr Edl 2πrdr CaRkLaépÞkg nig v CakugRtaMgkMlaMgkat;TTwgenAkñúgkg. dUcenH T = ∫ (2πrdr )vr = ∫ 2πr 2 dr R 0 R 0 ¬!%>!¦ sMrab;muxkat;RbehagEdlmankaMxagkñúg R1 / R T = ∫ 2πr 2 dr R1 ¬!%>@¦ sMrab;muxkat;tan; edayeRbIsmIkar ¬!%>!¦ nig v = vmax r / R R ⎛v r⎞ ⎛ 2π ⎞ R 3 T = ∫ 2πr 2 ⎜ max ⎟dr = ⎜ ⎟vmax ∫0 r dr 0 ⎝ R ⎠ ⎝ R ⎠ ⎛ 2π ⎞ ⎛π ⎞ 4 R =⎜ ⎟vmax = ⎜ ⎟vmax R 3 ⎝ R ⎠ 4 ⎝2⎠ Design for Torsion 350
  • 6.
    T.Chhay NPIC vmax = 2T πR 3 ¬!%>#¦ m:Um:g;niclPaBb:UElrénmuxkat;rgVg;KW J = πR 4 / 2 . dUcenH kugRtaMgkMlaMgkat;GacRtUv)an sresrCaGnuKmn_énm:Um:g;niclPaBb:UElrdUcxageRkam³ vmax = TR J ¬!%>$¦ 4> m:Um:g;rmYlenAkñúgmuxkat;ctuekaN Torsional Moments in Rectangular Sections karKNnakugRtaMgenAkñúgGgát;manmuxkat;minmUlEdlrgbnÞúkrmYlminsamBaØdUckarKNnasM rab;muxkat;mUleT. b:uEnþ lT§plEdlTTYlBIRTwsþIeGLasÞic (theory of elasticity) bgðajfakugRtaMg kMlaMgkat;TTwgGtibrmasMrab;muxkat;ctuekaNEkgGacRtUv)ankMNt;dUcxageRkam³ vmax = 2 T αx y ¬!%>%¦ Edl T= kMlaMgrmYlEdlGnuvtþ x = RCugxøIrbs;muxkat;ctuekaN y = RCugEvgrbs;muxkat;ctuekaN α = emKuNEdlGaRs½ynwgpleFobén y / x tMélrbs;vaRtUv)aneGayenAkñúgtarag xageRkam. y/x 1 .0 1 .2 1 .5 2 .0 4 .0 10 α 0.208 0.219 0.231 0.246 0.282 0.312 kugRtaMgkMlaMgkat;TTwgGtibrmaekItmanenAtamGkS½énRCugEvg y ¬rUbTI 15>5¦. sMrab;Ggát;EdlekItBIkarpÁúMénmuxkat;ctuekaNEkg dUcCamuxkat;GkSr L / T nig I tMél α GacRtUv)ansnμt;faesμInwg 1/ 3 ehIymuxkat;GacRtUv)anEckecjCamuxkat;ctuekaNCaeRcInEdlman RCugEvg yi nigRCugxøI xi . kugRtaMgkMlaMgkat;TTwgGacRtUv)anKNnaBI vmax = 3T ¬!%>^¦ ∑ i ix2 y Edl ∑ xi2 y i CatMélEdl)anBIplbUkmuxkat;ctuekaNEkgtUc². enAeBlEdl y / x ≤ 10 eK GaceRbIsmIkarsMrYlxageRkam³ karKNnasMrab;kMlaMgrmYl 351
  • 7.
    Department of CivilEngineering viTüasßanCatiBhubec©keTskm<úCa v max = 3T ¬!%>&¦ ⎛ x⎞ ∑ x 2 y⎜1 − 0.63 ⎜ ⎟ y⎟ ⎝ ⎠ 5> kMlaMgpÁÜbrvagkMlaMgkat; nigkMlaMgrmYl Combined Shear and Torsion enAkñúgkrNIGnuvtþn_CaeRcIn Ggát;eRKOgbgÁúMGacrgnUvTaMgkMlaMgkat; nigkMlaMgrmYlCamYyKña. kugRtaMgkMlaMgkat;GacnwgekItmanenAkñúgmuxkat;CamYynwgkugRtaMgkMlaMgkat;mFüm = v1 enAkñúgTis Design for Torsion 352
  • 8.
    T.Chhay NPIC edAénkMlaMgkat; V ¬rUbTI 15>6 a¦. kMlaMgrmYl T begáItkugRtaMgrmYlenAelIRKb;RCugrbs;muxkat; ctuekaN ABCD ¬ rUbTI 15>6 a¦ CamYynig v3 > v2 . karBRgaykugRtaMgcugeRkayRtUv)anTTYlBI karbUkbBa©ÚlnUvT§iBlénkugRtaMgkMlaMgkat; nigkugRtaMgrmYl edIm,IbegáIttMélGtibrmaesμI v1 + v3 enA elIRCug CD b:uEnþRCug AB nwgmankugRtaMgcugeRkayesμI v1 − v3 . RCug AD nig BC nwgrgEtkugRtaMg rmYl v2 . muxkat;RtUvd)anKNnasMrab;kugRtaMgGtibrma v = (v1 + v3 ) . 6> RTwsþIkarrmYlsMrab;Ggát;ebtug Torsion Theories for Concrete Members eKmanviFICaeRcInsMrab;viPaKGgát;ebtugBRgwgedayEdkEdlrgkarrmYl b¤rgkarrmYl karBt; nigkarkat;kñúgeBlEtmYy. CaTUeTAviFIKNnasMGageTAelIRTwsþIeKalBIrKW³ the skew bending theory nig space truss analogy. 6>1> Skew Bending Theory viFIeKalrbs; skew bending theory EdlENnaMeday Hsu CaviFIEdlsikSakar)ak;énmuxkat; ctuekaNedaykarrmYlEdlekItedaykarBt;eFobGkS½RsbeTAnwgépÞénmuxkat; y FMCag nigeRTteday mMu 45o eTAnwgGkS½EvgénFñwm ¬rUbTI 15>7¦. QrelIviFIsaRsþenH m:Um:g;rmYlGb,brma Tn GacRtUv)an KNnadUcxageRkam³ ⎛ x2 y ⎞ Tn = ⎜ ⎜ 3 ⎟ r ⎟f ¬!%>*¦ ⎝ ⎠ Edl f r KWm:UDuldac;rbs;ebtug. f r RtUv)ansnμt;esμInwg 5 f 'c / 12 enAkñúgkrNIenH Edl RtUv)aneRbobeFobCamYy 7.5 f 'c /12 EdlTTYleday ACI Code sMrab;KNnaPaBdabenAkñúgFñwm. karKNnasMrab;kMlaMgrmYl 353
  • 9.
    Department of CivilEngineering viTüasßanCatiBhubec©keTskm<úCa kMlaMgrmYlTb;edayebtugsMEdgdUcxageRkam³ ⎛ 1 ⎞ 2 Tc = ⎜ ⎟ x y f 'c ¬!%>(¦ ⎝ x⎠ nigkMlaMgTb;karrmYledayEdkTb;karrmYlKW α1 ( x1 y1 At f y ) Ts = s ¬!%>!0¦ dUcenH Tn = Tc + Ts Edl Tn lT§PaBTb;m:Um:g;rmYl nominal énmuxkat;. 6>2> Space Truss Analogy viFIsaRsþén space truss analogy KWQrelIkarsnμt;falT§PaBTb;Tl;karrmYlrbs;ebtugGar em:muxkat;ctuekaNRtUv)anKitecjEtBIEdknigebtugEdlBT§½CMuvijEdkb:ueNÑaH. kñúgkrNIenH muxkat; thin-wall RtUv)ansnμt;mannaTICa space truss ¬rUbTI 15>8¦. cMerokebtugvNнeRTtcenøaHsñameRbH Tb;kMlaMgsgát; b:uEnþEdkbeNþayenARCug nigEdkkgTb;nwgkMlaMgTajEdlekItedaym:Um:g;rmYl. kareFVIkarrbs;FñwmebtugGarem:EdlrgkarrmYlsuT§GacbgðajedayRkaPicénTMnak;TMngrvagkar rmYlnigmMurmYl dUcbgðajenAkñúgrUbTI15>9. eyIgemIleXIjfa muxnwgeRbH ebtugTb;nwgkugRtaMgrmYl nigEdkswgEtKμanrgkugRtaMg. eRkayeBleRbH kareFVIkarrbs;FñwmCalkçN³eGLasÞicminGacGnuvtþ)an dUcenHmMurmYlekIteLIgPøam² EdlekIneLIgrhUtdl;lT§PaBTb;Tl;m:Um:g;rmYlekItman. karkMNt;Edl manlkçN³Rbhak;RbEhlénlT§PaBTb;karrmYlsMrab;muxkat;eRbHGacnwgsMEdgdUcxageRkam³ ⎛A f ⎞ Tn = 2⎜ t s ⎟ x1 y1 ⎝ s ⎠ ¬!%>!!¦ Edl At = éneCIgmçagrbs;Edkkg Design for Torsion 354
  • 10.
    T.Chhay NPIC s=KMlatEdkkg x1 nig y1 = RbEvgxøI nigRbEvgEvg KitBIGkS½eTAGkS½énEdkkgbiTCit b¤BIEdkenARCug. smIkarmunecalnUvlT§PaBTb;karrmYlrbs;ebtug. Mitchell nig Collins ENnaMnUvsmIkarxag eRkamedIm,IKNnamMurmYlkñúgmYyÉktþaRbEvg ψ ³ ⎛ P ⎞ ⎡⎛ ε ⎞ ⎛ P (ε tan α ) ⎞ 2ε d ⎤ ψ = ⎜ o ⎟ ⎢⎜ l ⎟ + ⎜ h h ⎜ 2 A ⎟ tan α ⎜ ⎟+ ⎟ sin α ⎥ ¬!%>!@¦ ⎝ o ⎠ ⎣⎝ P ⎠ ⎝ o ⎠ ⎦ Edl εl = bMErbMrYlrageFob (strain) enAkñúgEdkbeNþay (longitudinal reinforcing steel) ε h = bMErbMrYlrageFobenAkñúgEdkkg (hoop steel) ε d = bMErbMrYlrageFobebtugGgát;RTUgenARtg;TItaMgénkMlaMgpÁÜbénFarkMlaMgkat; (shear flow) Ph = brimaRtrbs;EdkkgKitRtwmGkS½Edk ⎡ ⎛ P ⎞⎤ α = mMuénkMlaMgsgát;Ggát;RTUg = (ε d + ε l ) / ⎢ε d + ε h ⎜ h ⎟⎥ ⎜P ⎟ ⎣ ⎝ o ⎠⎦ Ao =RkLaépÞEdlBT§½CMuvijedaykMlaMgkat; b¤ = torque / 2q ¬Edl q = FarkMlaMgkat;¦ Po = brimaRténKnøgFarkMlaMgkat; ¬brimaRtrbs; Ao ¦ smIkarmMurmYlxagelImanlkçN³RsedogKñanwgsmIkarmMukMeNagkñúgkarBt; ¬rUbTI 15>10¦ ε + εs φ = curvature = c d ¬!%>!#¦ karKNnasMrab;kMlaMgrmYl 355
  • 11.
    Department of CivilEngineering viTüasßanCatiBhubec©keTskm<úCa Edl ε c nig ε s CabMErbMrYlrageFobenAkñúgebtug nigEdk erogKña. smIkard¾samBaØRtUv)anbk Rsayeday Solanki edIm,IkMNt;lT§PaBTb;nwgkarrmYlsuT§rbs;FñwmebtugGarem: edayQrelI space truss analogy dUcxageRkam³ 1 ⎡⎛ ∑ As f sy ⎞ ⎛ Ah f hy ⎞⎤ 2 Tu = (2 Ao )⎢⎜ ⎜ ⎟×⎜ ⎟ ⎜ ⎟⎥ ⎟ ¬!%>!$¦ ⎢⎝ Po ⎣ ⎠ ⎝ s ⎠⎥⎦ Edl / nig s RtUv)anBnül;BIxagelI Ao Po ∑ As f sy = kMlaMg yield énEdkbeNþayTaMgGs; Ah f hy = kMlaMg yield énEdkkg ACI Code )anTTYlykRTwsþIenHedIm,IKNnaGgát;eRKOgbgÁúMebtugEdlrgkarrmYl b¤karrmYl nigkarkat; enAkúñgviFIsaRsþd¾sMrYl. 7> ersIusþg;rmYlénGgát;ebtugsuT§ Torsional Strength of Plain Concrete Memgers Ggát;ebtugrgkarrmYlCaTUeTARtUv)anBRgwgedayEdkTb;nwgkarrmYlBiess. kñúgkrNIEdlkug RtaMgrmYlmantMéltUc nigRtUvkarKNnasMrab;Ggát;ebtugsuT§ kugRtaMgkMlaMgkat; vtc GacRtUv)ankMNt; edayeRbIsmIkar !%>^³ 3T f 'c vtc = ≤ φ∑ x y 2 2 Design for Torsion 356
  • 12.
    T.Chhay NPIC nigmMurmYlKW θ = 3TL / x3 yG / Edl T Cam:Um:g;rmYlEdlGnuvtþmkelImuxkat; ¬tUcCagm:Um:g; rmYlEdleFVIeGayeRbH¦ nig G KWCam:UDulkMlaMgkat; nigGacRtUv)ansnμt;esμInwg 0.45 dgénm:UDuleG- LasÞicrbs;ebtug Ec Edl G = 2135 f 'c . kMlaMgkat;TTwgeFVIeGayeRbHedaysarkarrmYl (torsional cracking shear) vc enAkñúgebtugsuT§GacRtUv)ansnμt;esμI 0.5 f 'c . dUcenH sMrab;muxkat; ctuekaNebtugsuT§ φ 2 Tc = 12 x y f 'c ¬!%>!%¦ nigsMrab;muxkat;EdlpSMeLIgedayctuekaNEkgeRcIn φ Tc = 12 f 'c ∑ x 2 y ¬!%>!^¦ 8> karrmYlenAkñúgGgát;ebtugBRgwgedayEdk Torsion in Reinforced Concrete Memebers (ACI Code Procedure) 8>1> sBaØaNTUeTA General dMeNIrkarKNnasMrab;karrmYlmanlkçN³RsedogKñaeTAnwgkMlaMgkat;TTwgedaykarBt;. enA eBlEdlm:Um:g;rmYlemKuNGnuvtþenAelImuxkat;FMCaglT§PaBTb;m:Um:g;rmYlkñúgrbs;ebtugGacTb;)an enaHsñameRbHEdlekItedaykarrmYl (torsional crack) ekIteLIg dUcenHEdkTb;karrmYl (torsional reinforcement) kñúgTMrg;CaEdkkgbiTCit (closed stirrup or hoop reinforcement) RtUv)andak;. bEnßmBIelIEdkkgbiTCit EdkbeNþayk¾RtUv)andak;enAtamRCugrbs;Edkkg nigRtUv)anBRgayy:ag l¥enACMuvijmuxkat;. TaMgEdkkgbiTCit nigEdkbeNþaymansarsMxan;Nas;kñúgkarTb;nwgkMlaMgTaj Ggát;RTUgEdlbNþaymkBIkMlaMgrmYl EdkEtmYyRbePTnwgKμanRbsiT§PaBeTebIKμanEdkmYyRbePT eTot. EdkkgRtUvEtbiTCit edaysarkugRtaMgrmYlekItmanenARKb;RCugrbs;muxkat;. EdkcaM)ac;sMrab;karrmYlRtUv)anbEnßmelIEdkcaM)ac;sMrab;kMlaMgkat;/ sMrab;karBt; nigkMlaMg tamGkS½. EdkEdkcaM)ac;sMrab;karrmYlRtUv)andak;edIm,IeFVIeGayersIusþg;m:Um:g;rmYlrbs;muxkat; φTn FMCagb¤esμInwgm:Um:g;rmYlemKuN Tu EdlRtUv)anKNnaBIbnÞúkemKuN. φTn ≥ Tu ¬!%>!&¦ enAeBleKRtUvkarEdkTb;karrmYl ersIusþg;m:Um:g;rmYl φTn RtUv)anKNnaedaysnμt;kMlaMg rmYl Tu TaMgGs; RtUv)anTb;edayEdkkg nigEdkbeNþayCamYynwgersIusþg;Tb;karrmYlrbs;ebtug karKNnasMrab;kMlaMgrmYl 357
  • 13.
    Department of CivilEngineering viTüasßanCatiBhubec©keTskm<úCa Tc = 0 . kñúgeBlCamYyKña ersIusþg;kMlaMgkat;EdlTb;edayebtug vc RtUv)ansnμt;enAdEdledayKμan karERbRbYledaysarvtþmanrbs;ersIusþg;rmYl. 8>2> )a:ra:Em:RtFrNImaRténkarrmYl Torsional Geometric Parameters enAkñúg ACI Code, Section 11.6 karKNnasMrab;karrmYlKWQrenAelI space truss analogy dUcbgðajenAkñúgrUbTI 15>8. eRkayeBlEdlsñameRbHedaykarrmYlekIteLIg karrmYlRtUv)anTb; edayEdkkgbiTCit EdkbeNþay nigersIusþg;kMlaMgsgát;Ggát;RTUgrbs;ebtug. sac;ebtugenAxageRkA EdkkgkøayeTACaKμanRbsiT§PaB nigRtUv)anecalenAkñúgkarKNna. RkLaépÞBT§½CMuvijedayGkS½énEdk Design for Torsion 358
  • 14.
    T.Chhay NPIC kgbiTCitxageRkAbMput RtUv)ankMNt;eday Aoh ¬épÞqUtenAkñúgrUbTI 15>11¦. edaysarGgÁdéTeTot RtUv)aneRbIenAkñúgsmIkarKNna vak¾RtUv)anENnaMCadMbUgenATIenHedIm,ICYyeGaykaryl;nUvsmIkarman lkçN³gayRsYl. BIrUbTI 15>11 GgÁEdleGayRtUv)ankMNt;dUcxageRkam³ Acp = RkLaépÞmuxkat;ebtugEdlBT§½CMuvijedaybrimaRtxageRkAénmuxkat;ebtug Pcp = brimaRténmuxkat;ebtugTaMgmUl Acp Aoh = RkLaépÞEdlBT§½CMuvijedayGkS½énEdkrgkarrmYlTTwgbiTCitxageRkAbMput ¬épÞqUtkñúgrUbTI 15>11¦ Ao = RkLaépÞEdlBT§½CMuvijedayKnøgFarkMlaMgkat;TTwg nigGacykesμInwg 0.85 Aoh Ph = brimaRtebtugrbs;EdkrgkarrmYlTTwgbiTCitxageRkAbMput θ = mMuénkMlaMgsgát;Ggát;RTUgcenøaH 30 o eTA 60 o ¬b¤GacykesμInwg 45o sMrab;Ggát;ebtugGarem:¦ sMrab;muxkat;GkSr T nig L TTwgRbsiT§PaBénsøabmçag²RtUv)ankMNt;esμInwgkMBs;FñwmEdl sßitenABIelI b¤BIeRkamkMralxNн edayykmYyNaEdlFMCag b:uEnþminRtUvFMCag 4 dgkMras;kMralxNнeT ¬ACI Code, Sections 11.6.1 and 13.2.4¦. 8>3> m:Um:g;rmYleFVIeGayeRbH Tcr Cracking Torsional Moment Tcr m:Um:g;eFVIeGayeRbHeRkamm:Um:g;rmYlsuT§ Tcr GacRtUv)anTajecjedayCMnYsmuxkat;BitR)akd munnwgeRbH CamYynwg thin-walled tube smmUl t = 0.75 Acp / Pcp / CamYynwgRkLaépÞEdlBT§½CMuvij edayGkS½CBa¢aMg A0 = 2 Acp / 3 . enAeBlEdl kugRtaMgTajGtibrma ¬kugRtaMgem¦ mantMélesμI f 'c / 3 sñameRbHnwgekItman ehIyCaTUeTAm:Um:g;rmYl T esμInwg T = 2 Aoτt ¬!%>!*¦ Edl τ = kugRtaMgkMlaMgkat;edaykarrmYl = f 'c / 3 sMrab;sñameRbHedaykarrmYl. CMnYs τ eday f 'c / 3 f 'c ⎛ Acp ⎞ 2 Tcr = 3 ⎜ ⎜P ⎟ n ⎟ =T nig Tu = φTcr ¬!%>!(¦ ⎝ cp ⎠ edaysnμt;fam:Um:g;rmYltUcCagb¤esμInwg Tcr / 4 nwgmineFVIeGaymankarkat;bnßyersIusþg;Tb;karBt; b¤Tb;kMlaMgkat;enAkñúgGgát;énrcnasm<n§½ ACI Code, Section 11.6.1 GnuBaØateGayecalnUvT§iBlm:Um:g;rmYlenAkñúgGgát;ebtugGarem:enAeBlEdlm:Um:g;rmYlemKuN Tu ≤ φTcr / 4 b¤ karKNnasMrab;kMlaMgrmYl 359
  • 15.
    Department of CivilEngineering viTüasßanCatiBhubec©keTskm<úCa f 'c ⎛ Acp ⎞ 2 Tu ≤ φ 12 ⎜ ⎟=T ⎜ Pcp ⎟ a ¬!%>@0¦ ⎝ ⎠ enAeBlEdl Tu FMCagtMélenAkñúgsmIkar !%>@0 Tu TaMgGs;RtUv)anTb;edayEdkkgbiTCit nigEdkbeNþay. m:Um:g;rmYl Tu RtUv)anKNnaBImuxkat;EdlmanTItaMgRtg;cMgay d BIépÞénTMr nig Tu = φTn Edl φ = 0.75 . ]TahrN_TI15>1³ sMrab;muxkat;bIEdlbgðajenAkñúgrUbTI 15>12 nigQrelIkarkMNt; ACI Code cUrkMNt; a. m:Um:g;eFVIeGayeRbH φTcr b. m:Um:g;rmYlemKuNGtibrma φTn EdlGacGnuvtþelImuxkat;nImYy²edaymineRbIEdkRTnugTb;kar rmYl. snμt; f 'c = 28MPa / f y = 400MPa / kMras;ebtugkarBarEdk 40mm nigeRbIEdkkg DB12 . dMeNaHRsay³ 1> muxkat; ! a. mU:m:g;eFVIeGayeRbH φTcr GacRtUv)anKNnaBIsmIkar !%>!( f 'c ⎛ Acp ⎞ 2 φTcr = φ ⎜ ⎟ 3 ⎜ Pcp ⎟ ⎝ ⎠ Design for Torsion 360
  • 16.
    T.Chhay NPIC sMrab;muxkat;enH Acp = xo yo RkLaépÞmuxkat;TaMgmUl Edl xo = 400mm nig yo = 610mm Acp = 400 × 610 = 244000mm 2 Pcp = brimaRténmuxkat;ebtugTaMgmUl = 2( xo + yo ) = 2(400 + 610 ) = 2020mm 28 ⎛ 244000 2 ⎞ ⎜ ⎟ = 39kN .m φTcr = 0.75 3 ⎜ 2020 ⎟ ⎝ ⎠ b. φTn GnuBaØatEdlGacGnuvtþedaymineRbIEdkTb;karrmYlRtUv)anKNnaBIsmIkar !%>@0 φTcr 39 Ta = = = 9.75kN .m 4 4 2> muxkat; @ a. dMbUgKNna Acp nig Pcp sMrab;muxkat;enH nigGnuvtþsmIkarTI !%>!( edIm,IKNna φTcr . edaysnμt;søabRtUv)andak;CamYyEdkkgbiTCit enaHsøabRbsiT§PaBEdlRtUveRbIenA RCugmçag²énRTnugesμInwg $dgkMras;søab b¤ 4(100) = 400mm = hw = 400mm Acp = web area + area of effective flanges Acp = 500 × 350 + 2 ×100 × 400 = 255000mm 2 Pcp = 2(b + h ) = 2(350 + 2 × 400 + 500) = 3300mm 28 ⎛ 255000 2 ⎞ ⎜ ⎟ = 26kN .m φTcr = 0.75 3 ⎜ 3300 ⎟ ⎝ ⎠ cMNaM³ RbsinebIsøabRtUv)anecal ehIyEdkTb;karrmYlRtUv)andak;EtenAkñúgRTnug enaH Acp = 350 × 500 = 175000mm 2 Pcp = 2(350 + 500) = 1700mm φTcr = 23.8kN .m b. φTn GnuBaØatEdlGacGnuvtþedaymineRbIEdkTb;karrmYl φTcr 26 Ta = = = 6.5kN .m 4 4 3> muxkat; 3 karKNnasMrab;kMlaMgrmYl 361
  • 17.
    Department of CivilEngineering viTüasßanCatiBhubec©keTskm<úCa a. snμt;søabRtUv)andak;EdkkgbiTCit RbEcgRbsiT§PaBesμInwg hw = 370mm < 4 ×150 = 600mm Acp = 350 × 520 + 370 ×150 = 237500mm 2 Pcp = 2(b + h) = 2(350 + 370 + 520) = 2480mm 28 ⎛ 237500 2 ⎞ ⎜ ⎟ = 30kN .m φTcr = 0.75 3 ⎜ 2480 ⎟ ⎝ ⎠ cMNaM³ RbsinebIsøabRtUv)anecal enaH Acp = 350 × 520 = 182000mm 2 Pcp = 2(350 + 520) = 1740mm φTcr = 25.2kN .m b. φTn GnuBaØat φTn = φTcr = 30 = 7.5kN.m 4 4 8>4> m:Um:g;rmYllMnwg nwgm:Um:g;rmYlRtUvKña Equilibrium Torsion and Compatibility Torsion kñúgkarviPaKeRKOgbgÁáúMGgát;ebtug kMlaMgepSg²EdlGnuvtþrYmman kMlaMgEkg (normal force)/ m:Um:g;Bt; (bending moment)/ kMlaMgkat; (shear force) nigm:Um:g;rmYl Edl)anBnül;enAkñúg]TahrN_ TI 15>1. karKNnaGgát;ebtugGarem:KWQrelIkar)ak;rbs;Ggát;GMeBIrbs;bnÞúkemKuN. sMrab;Ggát;sþa TicminkMNt; (statically indeterminate member) karEbgEckm:Um:g;mþgeTot (redistribution of moments) ekItmanmuneBl)ak; dUcenHm:Um:g;KNnaGacnwgRtUv)ankat;bnßy b:uEnþ sMrab;Ggát;sþaTickM Nt; (statically determinate member) dUcCaFñwmsamBaØ (simple beam) b¤Fñwm cantilever Kμankar EbgEckm:Um:g;mþgeTotekIteLIgeT. enAkñúgkarKNnaGgát;Edlrgm:Um:g;rmYl eKmanBIrkrNIEdlGacGnuvtþbnÞab;BIkareRbH. !> krNIm:Um:g;rmYllMnwg (equilibrium torsion case) ekItmanenAeBlm:Um:g;rmYlEdlRtUvkar sMrab;eRKOgbgÁúMsßitkñúgsßanPaBlMnwg ehIy Tu minGacRtUv)ankat;bnßyedaykarEbg EckeLIgvijrbs;m:Um:g;eT dUckrNIFñwmTMrsamBaØ. kñúgkrNIenHEdkTb;rmYlRtUv)andak; edIm,ITb;RKb; Tu . rUbTI 15>13 FñwmEdlenAEKmRTkMralxNн cantilever EdlKμankar EbgEckm:Um:g;mþgeTotekItman. @> krNIm:Um:g;rmYlRtUvKña (compatibility torsion case) ekItmanenAeBlm:Um:g;rmYl Tu Gac RtUv)ankat;bnßyedaykarEbgEckkMlaMgkñúgmþgeTotbnÞab;BIeRbH enAeBlEdlPaBRtUvKña Design for Torsion 362
  • 18.
    T.Chhay NPIC énkMhUcRTg;RTay (compatibility of deformation) RtUv)anrkSa enAkñúgGgát;eRKOgbgÁúM. rUbTI 15>14 bgðajBI]TahrN_sMrab;krNIenH EdlFñwmTTwgBIrmanGMeBIelIFñwmEKmbegáIt m:Um:g;rmYl. mMurmYlFMekItman enAeBlsñameRbHedaykarrmYlelcecj Edlpþl;nUvkar bgEckbnÞúkd¾FMenAkñúgeRKOgbgÁúM. vanwgeTAdl;m:Um:g;rmYlEdleFVIeGayeRbH Tcr eRkamGM eBIénbnSM karBt; karkat; nigkarrmYl enAeBlEdlkugRtaMgem (principle stress) mantM élRbEhl f 'c / 3 . enAeBlEdl Tu > Tcr m:Um:g;rmYlesμInwg Tcr ¬smIkar !%>!(¦ EdlGacsnμt;ekItmanenARtg;muxkat;eRKaHfñak;enACitépÞénTMr. ACI Code kMNt;m:Um:g;rmYlKNnaesμInwgtMéltUcCageKén Tu Edl)anBIbnÞúkemKuN b¤ φTcr BIsmIkar !%>!(. 8>5> karkMNt;énersIusþg;m:Um:g;rmYl Limitation of Tortional Moment Strength ACI Code,Section 11.6.3 kMNt;TMhMmuxkat;edaysmIkarxageRkamBIr³ !> sMrab;muxkat;tan; karKNnasMrab;kMlaMgrmYl 363
  • 19.
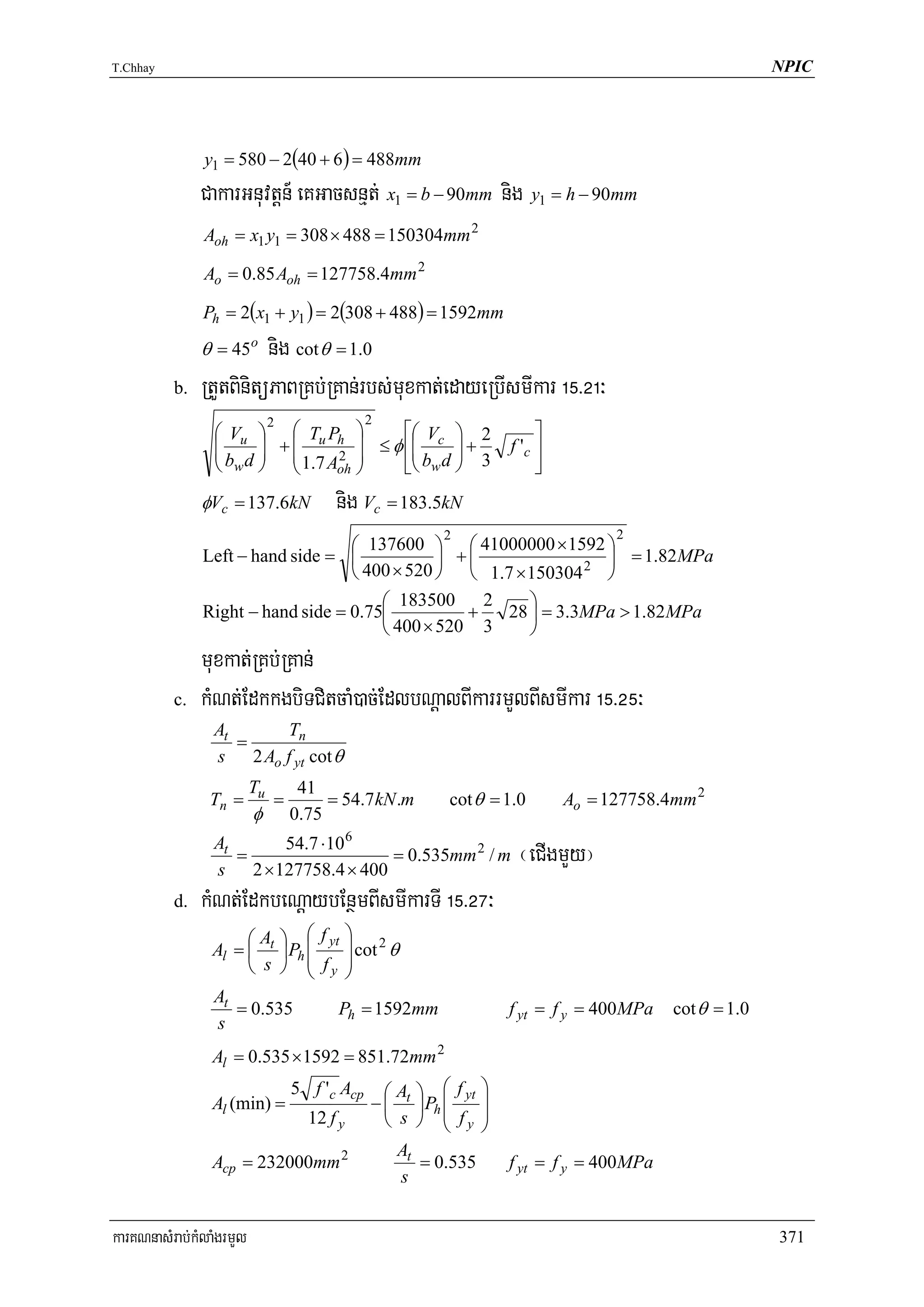
    Department of CivilEngineering viTüasßanCatiBhubec©keTskm<úCa 2 2 ⎛ Vu ⎞ ⎛ Tu Ph ⎞ ⎡⎛ ⎞ ⎤ ⎜ ⎟ +⎜ ⎟ ≤ φ ⎢⎜ Vc ⎟ + 2 ⎜ b d ⎟ ⎜ 1 .7 A 2 ⎟ ⎜ ⎟ f 'c ⎥ ¬!%>@!¦ ⎝ w ⎠ ⎝ oh ⎠ ⎣⎝ bw d ⎠ 3 ⎦ @> sMrab;muxkat;Rbehag ⎛ Vu ⎞ ⎛ Tu Ph ⎞ ⎡⎛ ⎞ ⎤ ⎜ ⎟+⎜ ⎜ b d ⎟ ⎜ 1.7 A2 ⎟ ⎟ ≤ φ ⎢⎜ Vc ⎟ + 2 ⎜b d ⎟ 3 f 'c ⎥ ¬!%>@@¦ ⎝ w ⎠ ⎝ oh ⎠ ⎣⎝ w ⎠ ⎦ Edl Vc = f 'c bwd / 6 = ersIusþg;kMlaMgkat;sMrab;ebtugTMgn;Fmμta. GgÁdéTeTotRtUv)ankM Nt;enAkñúgEpñk 8>2. karkMNt;enHKWQrelIPaBCak;EsþgEdlfaplbUkénkugRtaMgEdlbNþalBIkMlaMgkat; nigm:Um:g; rmYl ¬GgÁxageqVg¦ minRtUvFMCagkugRtaMgEdleFVIeGayeRbHbUknwg 2 f 'c / 3 . krNIdUcKñaRtUv)an GnuvtþedIm,IKNnakMlaMgkat;edayKμanm:Um:g;rmYlenAkñúgemeronTI 8. eKRtUvkarkarkMNt; (limitation) edIm,Ikat;bnßysñameRbH nigedIm,IkarBarEbképÞebtugEdlbNþalmkBIkugRtaMgkMlaMgkat;TTwgeRTt nigm:Um:g;rmYleRTt. 8>6> muxkat;Rbehag Hollow Section bnSMénkugRtaMgkMlaMgkat; nigkugRtaMgm:Um:g;rmYlenAkñúgmuxkat;RbehagRtUv)anbgðajenAkñúgrUb 15>6 EdlkMras;CBa¢aMgRtUvOansnμt;faefr. enAkñúgmuxkat;RbehagxøH kMras;CBa¢aMgGacERbRbYlCMuvij brimaRt. sMrab;krNIenH smIkar !%>@@ RtUv)ankMNt;enATItaMgEdlGgÁxageqVgmantMélGtibrma. cM NaMfa enAnwgsøabxagelI nigsøabxageRkam CaTUeTAkugRtaMgkMlaMgkat;RtUv)anecal. CaTUeTA Rbsin ebIkMras;CBa¢aMgénmuxkat;Rbehag t tUcCag Aoh / Ph enaHsmIkar !%>@@ køayCa ⎛ Vu ⎞ ⎛ Tu Ph ⎞ ⎡⎛ V ⎞ 2 ⎤ ⎜ ⎟+⎜⎜ ⎜ b d ⎟ 1.7 A t ⎟ ⎟ ≤ φ ⎢⎜ c ⎟ + ⎜b d ⎟ 3 f 'c ⎥ ¬!%>@#¦ ⎝ w ⎠ ⎝ oh ⎠ ⎣⎝ w ⎠ ⎦ (ACI Code, Section 11.6.3) . 8>7> EdkRTnug Web Reinforcement dUcEdl)anBnül;rYcehIy viFI ACI Code sMrab;KNnaGgát;Edlrgm:Um:g;rmYlKWQrelI space truss analogy enAkñúgrUbTI 15>8. bnÞab;BIkareRbHedaykarrmYl eKRtUvkarEdkBIrRbePTedIm,ITb;nwg m:Um:g;rmYlEdlGnuvtþ Tu KW EdkTTwg (transverse reinforcement) At enAkñúgTMrg;CaEdkkgbiTCit nig EdkbeNþay (longitudinal reinforcement) Al . ACI Code )anbgðajnUvsmIkarxageRkamedIm,I KNna At nig Al ³ !> EdkkgbiTCit At EdlGacKNnadUcxageRkam³ Design for Torsion 364
  • 20.
    T.Chhay NPIC 2 Ao At f yt cot θ Tn = s ¬!%>@$¦ Edl Tn = Tφu nig φ = 0.75 At = RkLaépÞéneCIgmYyrbs;EdkkgbiTCit f yt = ersIusþg;yal (yield strength) rbs; At At ≤ 400MPa s = KMlatEdkkg Ao nig θ RtUv)ankMNt;enAkñúgEpñk 8>2. smIkar !%>@$ GacRtUv)ansresrdUcxageRkam At = Tn s 2 A f cot θ ¬!%>@%¦ o yt RbsinebI θ = 45o enaH cot θ = 1.0 nigRbsinebI enaHsmIkar !%>@% køayCa f yt = 400MPa At = s 800 Ao Tn ¬!%>@^¦ Edl Tn KitCa N .mm . KMlatEdkkg s minRtUvFMCagéntMéltUcCageKkñúgcMeNam Ph / 8 nig 300mm . sMrab;muxkat; RbehagrgkarrmYl cMgayEdlvas;BIGkS½énEdkkgeTAépÞxagkñúgrbs;CBa¢aMgminRtUvtUcCag 0.5 Aoh / Ph . @> EdkbeNþaybEnßm Al EdlcaM)ac;sMrab;karrmYlminKYrtUcCagtMélxageRkam³ ⎛ A ⎞ ⎛ f yt ⎞ 2 Al = ⎜ t ⎟ Ph ⎜ ⎜ f ⎟ ⎟ cot θ ¬!%>@&¦ s ⎝ ⎠ ⎝ y ⎠ Rbsin θ = 45 nig o f yt = f y = 400MPa sMrab;TaMgEdkkg nigEdkbeNþay enaHsmIkar !%>@& køayCa ⎛A ⎞ ⎛A ⎞ Al = ⎜ t ⎟ Ph = 2⎜ t ⎟( x1 + y1 ) ¬!%>@*¦ ⎝ s ⎠ ⎝ s ⎠ Ph RtUv)ankMNt;enAkñúgEpñk 8>2. cMNaMfa EdkEdlcaM)ac;sMrab;karrmYlKYrRtUv)anbEnßmBIelI EdlEdlcaM)ac;sMrab;kMlaMgkat; m:Um:g;Bt; nigkMlaMgtamGkS½EdleFVIGMeBIrYmKñaCamYykMlaMgrmYl. kar kMNt;epSgeTotsMrab;EdkbeNþay Al mandUcxageRkam³ a. Ggát;p©itEdktUcbMputsMrab;EdkbeNþayKW DB10 b¤KMlatEdkkgelI 24 b¤ s / 24 edayykmYyNaEdlmantMéltUcCageK. b. EdkbeNþayKYrRtUv)anBRgayCMuvijbrimaRtrrbs;EdkkgCamYyKMlatGtibrma 300mm . karKNnasMrab;kMlaMgrmYl 365
  • 21.
    Department of CivilEngineering viTüasßanCatiBhubec©keTskm<úCa c. EdkbeNþayKYrEtdak;enAkñúgEdkkg y:agehacNas;k¾dak;EdkenARKb;mMurbs;Edkkg. EdkEdldak;enAnwgmMurbs;EdkkgRtUv)aneKrkeXIjfamanRbsiT§PaBkñúgkarbegáItersIu sþg;m:Um:g;rmYl nigkñúgkarkarBarsñameRbH. d. EdkTb;m:Um:g;rmYlRtUvdak;enAcMgay (bt + d ) BIcMnucEdlRTwsþIRtUvkar Edl bt CaTTwgén Epñkrbs;muxkat;EdlmanEdkkgTb;kMlaMgrmYl. 8>8> EdkTb;karrmYlGb,brma Minimum Torsional Reinforcement enAkEnøgNaEdlEdkTb;karrmYlGb,brmaRtUvkar EdkTb;karrmYlGb,brmaRtUv)ankMNt;dUc xageRkam (ACI Code, Section 11.6.5) ³ !> EdkkgbiTCitGb,brmasMrab;bnSMénkMlaMgkat;TTwg nigkarrmYl ¬emIlEpñk 8>6¦³ Av + 2 At ≥ 0.35bw s f ¬sMrab; f 'c < 31MPa ¦ yt ⎛b s⎞ Av + 2 At ≥ 0.063 f 'c ⎜ w ⎟ ⎜ f yt ⎟ ¬sMrab; f 'c ≤ 31MPa ¦ ¬!%>@(¦ ⎝ ⎠ Edl Av = RkLaépÞeCIgTaMgBIrrbs;EdkkgEdlkMNt;)anBIkMlaMgkat; At = RkLaépÞeCIgEtmYyrbs;EdkkgEdlkMNt;BIm:Um:g;rmYl s = KMlatEdkkg f yt = ersIusþg;yal (yield strength) rbs;Edkkg ≤ 400 MPa KMlatEdkkg s minKYrFMCagtMéltUcCagkñúgcMeNam Ph / 8 nig 300mm . KMlatenHRtUvkar edIm,IRKb;RKgsñameRbH. @> RkLaépÞEdksrubGb,brmarbs;EdkbeNþayTb;karrmYl³ 5 f 'c Acp ⎛ At ⎞ ⎛ f yt ⎞ Al min = − ⎜ ⎟ Ph ⎜ ⎜ f ⎟ ⎟ ¬!%>#0¦ yf ⎝ s ⎠ ⎝ y ⎠ Edl At / s minRtUvyktUcCag 173bw / f yt . Al Gb,brmaenAkñúgsmIkar !%>#0 RtUv)ankMNt;edIm,Ipþl;nUvGRtaGb,brmaénmaDEdkTb;kM laMgrmYlelImaDebtug mantMélRbEhl 1% sMrab;ebtugGarem:EdlrgkMlaMgrmYlsuT§. 9> segçbviFIsaRsþKNnaeday ACI Code Summary of ACI Code Procedures viFIsaRsþKNnasMrab;bnSMkMlaMgkat;TTwg nigkMlaMgrmYlGacRtUv)ansegçbdUcxageRkam³ Design for Torsion 366
  • 22.
    T.Chhay NPIC !> KNnakMlaMgkat;TTwgemKuN Vu nigm:Um:g;rmYlemKuN Tu BIkMlaMgEdlGnuvtþmkelIeRKOg bgÁúM. tMéleRKaHfñak;sMrab;kMlaMgkat;TTwg nigkMlaMgrmYlKWsßitenARtg;muxkat;EdlmancM gay d BIépÞrbs;TMr. @> a. eKRtUvkarEdkkMlaMgkat;TTwgenAeBl Vu > φVc / 2 Edl Vc = f 'c bwd / 6 . b. EdkTb;karrmYlRtUvkarenAeBlEdl f 'c ⎛ Acp ⎞ 2 Tu > φ 12 ⎜ ⎜P ⎟ ⎟ ¬!%>@0¦ ⎝ cp ⎠ RbsinebIEdkRTnugRtUvkar GnuvtþviFIsaRsþxageRkam. #> KNnasMrab;kMlaMgkat;TTwg a. KNnaersIuisþg;kMlaMgkat; nominal Edlpþl;edayebtug Vc . kMNt;kMlaMgkat;TTwg EdlTb;edayEdkRTnug³ V − φVc Vu = φVc + Vs b¤ Vs = u φ b. eRbobeFob Vs Edl)anKNnaCamYynwgtMélGnuBaØatGtibrma 2 f 'c bw d / 3 eyag tam ACI Code. RbsinebI Vs tUcbnþkarKNna EtpÞúymkvijtMeLIgTMhMmuxkat;rbs; ebtug. c. EdkRTnugkMlaMgkat;TTwgRtUv)anKNnadUcxageRkam³ Vs s Av = f yt d Edl Av =RkLaépÞéneCIgTaMgBIrrbs;Edkkg s = KMlatEdkkg EdkkMlaMgkat;TTwgkñúgmYyÉktþaRbEvgKW Av V = s s f yt d d. RtYtBinitü Av / s Edl)anKNnaCamYynwg Av / s Gb,brma³ Av ⎛b ⎞ ⎛ ⎞ (min) = 0.063 f 'c ⎜ w ⎟ ≥ 0.35⎜ bw ⎟ s ⎜ f yt ⎟ ⎜ f yt ⎟ ⎝ ⎠ ⎝ ⎠ Av Gb,brma RtUv)ankMNt;edaybTdæaneRkambnSMénGMeBIrbs;kMlaMgkat;TTwg nigkM laMgrmYlRtUv)aneGayenAkñúgCMhanTI5 karKNnasMrab;kMlaMgrmYl 367
  • 23.
    Department of CivilEngineering viTüasßanCatiBhubec©keTskm<úCa $> KNnasMrab;karrmYl³ a. RtYtBinitüfaetIm:Um:g;rmYlemKuN Tu begáItm:Um:g;rmYllMnwg (equilibrium torsion) b¤m:Um:g;rmYlRtUvKña (compatibility torsion). sMrab; equilibrium torsion eRbI Tu . sMrab; compatibility torsion m:Um:g;rmYlKNnaKWtMéltUcCageKén Tu BIbnÞúkemKuN nig f 'c ⎛ Acp ⎞ 2 Tu 2 = φ 3 ⎜ ⎜P ⎟ ⎟ ¬!%>!(¦ ⎝ cp ⎠ b. RtYtBinitüfaetITMhMénmuxkat;RKb;RKan;b¤Gt;. vaTTYl)anedayeRbIsmIkar !%>@! sMrab; muxkat;tan; b¤smIkar !%>@@ sMrab;muxkat;Rbehag. RbsinebItMélenAGgÁxageqVgFM Cag φ (Vc / bwd + 2 f 'c / 3) enaHbegáInmuxkat; pÞúymkvijKNnabnþ. sMrab;muxkat; Rbehag RtYtBinitüfaetIkMras;CBa¢aMg t tUcCag Aoh / Ph b¤Gt;. RbsinebIvatUcCageRbI smIkar !%>@# pÞúymkvijeRbIsmIkar !%>@@. c. kMNt;EdkkgbiTCitcaM)ac;BIsmIkar !%>@% At = Tn s 2 A f cot θ ¬!%>@%¦ o yt At / s minRtUvtUcCag 173bw / f yt . ehIy mMu θ Gacsnμt;esμI 45o / Tn = Tu / φ nig φ = 0.75 . snμt; Ao = 0.85 Aoh = 0.85(x1 y1 ) Edl x1 nig y1 CaTTwg nigkMBs;rbs;muxkat;KitBIGkS½eTAGkS½Edkkg ¬emIlrUb TI !%>!!¦. sMrab; θ = 45o nig f y = 400MPa At = s 800 Ao Tn ¬!%>@^¦ KMlatGnuBaØatGtibrma s KWtMéltUcCageKén 300mm b¤ Ph / 8 . d. kMNt;EdkbeNþaybEnßmBIsmIkar !%>@&³ ⎛ A ⎞ ⎛ f yt ⎞ 2 Al = ⎜ t ⎟ Ph ⎜ ⎜ f ⎟ ⎟ cot θ ¬!%>@& a ¦ ⎝ s ⎠ ⎝ y ⎠ EtminRtUvtUcCag ⎛ 5 f 'c Acp ⎞ ⎛ A ⎞ ⎛ f yt ⎞ Al min = ⎜ ⎜ 12 f y ⎟ − ⎜ t ⎟P ⎜ ⎟ ⎝ s ⎠ h⎜ fy ⎟ ⎟ ¬!%>@& b ¦ ⎝ ⎠ ⎝ ⎠ Design for Torsion 368
  • 24.
    T.Chhay NPIC sMrab; θ = 45o nig f yt = 400MPa enaH Al = ( At / s )Ph ¬!%>@*¦ EdkbeNþayTb;karrmYlKYrmanGgát;p©ity:agticesμIKMlatEdkkgelI 24 b¤ s / 24 b:uEnþ minRtUvtUcCag DB10 . EdkbeNþayRtUvdak;enAkñúgEdkkgbiTCitCamYyKMlatGtibrma esμI 300mm . y:agehaceKRtUvdak;EdkmYyedImenARKb;mMurbs;Edkkg. CaTUeTAmYy PaKbIén Edk Al RtUv)anbEnßmeTAelIEdkTaj mYyPaKbIenABak;kNþalkMBs;rbs; mux kat; nigmYyPaKbIeTotenAEpñksgát;. %> kMNt;RkLaépÞsrubénEdkkgbiTCitEdlbNþalBI Vu nig Tu . Avt = ( Av + 2 At ) ≥ 0.35bw s f ¬!%>@(¦ yt eRCIserIsEdkkgbiTCitsmrmüCamYyKMlat s EdlmantMéltUcCageKkñúgcMeNam 300mm nig Ph / 8 . EdkkgKYrRtUv)andak;enAcMgay (bt + d ) eRkaycMnucEdlRTwsþIRtUvkar Edl bt = TTwgén muxkat;EdlTb;nwgkMlaMgrmYl. ]TahrN_15>3³ (Equilibrium Torsion) kMNt;brimaNEdkRTnugcaM)ac;sMrab;muxkat;ctuekaNEkgdUcbgðajenAkñúgrUbTI 15>15. muxkat;rgnUvkM laMgkat;emKuN Vu = 213.5kN nigkMlaMgrmYllMnwg (equilibrium torsion) Tu = 41kN .m enATItaMg EdlmancMgay d BIépÞénTMr. eKeGay f 'c = 28MPa nig f y = 400MPa . karKNnasMrab;kMlaMgrmYl 369
  • 25.
    Department of CivilEngineering viTüasßanCatiBhubec©keTskm<úCa dMeNaHRsay³ CMhanxageRkambgðajBIviFIsaRsþkñúgkarKNna 1> kMlaMgKNnaKW Vu = 213.5kN nig Tu = 41kN .m 2> a. EdkTb;kMlaMgkat;RtUvkarenAeBl Vu > φVc / 2 . φ 28 (400 )(520) ⋅10 − 3 = 137.6kN 0.75 φVc = f 'c bd = 6 6 φV Vu = 213.5kN > c = 68.8kN 2 eKRtUvkarEdkTb;kMlaMgkat;. b. eKRtUvkarEdkTb;karrmYlenAeBl f 'c ⎛ Acp ⎞ 2 Tu > φ ⎜ ⎟ =T 12 ⎜ Pcp ⎟ a ⎝ ⎠ Acp = xo yo = 400 × 580 = 232000mm 2 Pcp = 2( xo yo ) = 2(400 + 520) = 1840mm 0.75 28 (232000 )2 − 6 Ta = 10 = 9.7 kN .m 12 × 1840 Tu = 41kN .m > 9.7kN .m EdkTb;kMlaMgrmYlRtUvkarcaM)ac;. cMNaMfa RbsinebI Tu tUcCag 9.7kN.m enaHEdkTb;kar rmYlnwgminRtUvkar b:uEnþEdkTb;kMlaMgkat;RtUvkar. 3> KNnakMlaMgkat;TTwg³ a. Vu = φVc + φVs / Vs = 101.2kN 28 (400)(520 ) = 733.8kN > Vs 2 2 b. Vs (max) = f 'c bd = 3 3 101.2 ⋅10 3 c. Av s V = s = f y d 400 × 520 = 0.5mm 2 / m ¬eCIgBIr¦ Av 2s = 0.25mm 2 / m ¬eCIgmYy¦ 4> KNnasMrab;karrmYl a. kMlaMgrmYlKNna Tu = 41kN .m . KNnalkçN³muxkat; edaysnμt;kMras;ebtugkarBar Edk 40mm nigeRbIEdkkg DB12 ³ x1 = 400 − 2(40 + 6 ) = 308mm Design for Torsion 370
  • 26.
    T.Chhay NPIC y1 = 580 − 2(40 + 6 ) = 488mm CakarGnuvtþn_ eKGacsnμt; x1 = b − 90mm nig y1 = h − 90mm Aoh = x1 y1 = 308 × 488 = 150304mm 2 Ao = 0.85 Aoh = 127758.4mm 2 Ph = 2(x1 + y1 ) = 2(308 + 488) = 1592mm θ = 45o nig cot θ = 1.0 b. RtYtBinitüPaBRKb;RKan;rbs;muxkat;edayeRbIsmIkar !%>@!³ 2 2 ⎛ Vu ⎞ ⎛ Tu Ph ⎞ ⎡⎛ ⎞ ⎤ ⎜ ⎜ ⎟ ≤ φ ⎢⎜ Vc ⎟ + 2 ⎜b d ⎟ +⎜ ⎟ 2 ⎟ ⎜b d ⎟ 3 f 'c ⎥ ⎝ w ⎠ ⎝ 1.7 Aoh ⎠ ⎣⎝ w ⎠ ⎦ φVc = 137.6kN nig Vc = 183.5kN 2 2 ⎛ 137600 ⎞ ⎛ 41000000 × 1592 ⎞ Left − hand side = ⎜ ⎟ +⎜ ⎟ = 1.82 MPa ⎝ 400 × 520 ⎠ ⎝ 1.7 × 150304 2 ⎠ ⎛ 183500 2 ⎞ Right − hand side = 0.75⎜ + 28 ⎟ = 3.3MPa > 1.82MPa ⎝ 400 × 520 3 ⎠ muxkat;RKb;RKan; c. kMNt;EdkkgbiTCitcaM)ac;EdlbNþalBIkarrmYlBIsmIkar !%>@%³ At Tn = s 2 Ao f yt cot θ Tu 41 Tn = = = 54.7 kN .m cot θ = 1.0 Ao = 127758.4mm 2 φ 0.75 54.7 ⋅10 6 At = s 2 × 127758.4 × 400 = 0.535mm 2 / m ¬eCIgmYy¦ d. kMNt;EdkbeNþaybEnßmBIsmIkarTI !%>@&³ ⎛A ⎞ ⎛ f yt ⎞ 2 Al = ⎜ t ⎟ Ph ⎜ ⎟ cot θ ⎝ s ⎠ ⎜ fy ⎝ ⎟ ⎠ At = 0.535 Ph = 1592mm f yt = f y = 400MPa cot θ = 1.0 s Al = 0.535 × 1592 = 851.72mm 2 5 f 'c Acp ⎛ A ⎞ ⎛ f yt ⎞ Al (min) = − ⎜ t ⎟ Ph ⎜ ⎟ 12 f y ⎝ s ⎠ ⎜ fy ⎟ ⎝ ⎠ At Acp = 232000mm 2 = 0.535 f yt = f y = 400MPa s karKNnasMrab;kMlaMgrmYl 371
  • 27.
    Department of CivilEngineering viTüasßanCatiBhubec©keTskm<úCa 5 28 (232000) Al (min) = − (0.535)(1592) = 427mm 2 12 × 400 Al = 851.72mm 2 lb; 5> kMNt;RkLaépÞEdkkgsrub a. sMrab;eCIgmYyrbs;Edkkg Avt At Av = + s s 2s EdkkgEdlcaM)ac; Avt = 0.535 + 0.25 = 0.785mm 2 / m ¬eCIgmYy¦ eRbIEdk DB12 RkLaépÞmuxkat;rbs;EdkkgsMrab;eCIgmYyKW 113mm 2 = 144mm yk 140mm 113 spacing of stirrups = 0.785 b. KMlatGtibrma s = h = = 199mm b¤ 300mm mYyNaEdltUcCag. P 1592 8 8 KMlatEdleRbIKW 140mm < 199mm 0.35bw 0.35 × 400 c. Avt / s Gb,brma = = = 0.35mm 2 / m < 0.785mm 2 / m f yt 400 6> edIm,IrkkarBRgayEdkbeNþay cMNaMfa Al srub = 851.72mm 2 . eRbImYyPaKbIenAEpñkxag elI b¤ 851.72 / 3 = 283.9mm 2 edIm,IbEnßmenAkñúgEdkrgkarsgát; A's . eRbImYyPaKbIdak;enA EpñkxageRkam edIm,IbEnßmBIelIEdkrgkarTaj nigEdkmYyPaKbIeTotdak;enAkMBs;Bak;kNþal. a. RkLaépÞEdksrubenAEpñkxagelIesμI 226 + 283.9 = 509.9mm 2 . eRbI 3DB16 ¬ As = 603mm 2 ¦ b. RkLaépÞEdksrubenAEpñkxageRkamesμI 3078.8 + 283.9 = 3362.7 mm 2 . eRbI 3DB 28 nig 2DB32 enARCugmMu ¬ As srub = 3455.8mm 2 ¦ Al srubEdleRbI = (603 − 226 ) + (3455.8 − 3078.8) = 754mm 2 c. enAkMBs;Bak;kNþal eRbIEdk 2DB12 ¬ As = 226mm 2 ¦ bøg;srésEdklMGitRtUv)anbgðajenAkñúgrUbTI 15>15. KMlatEdkbeNþayesμInwg 230mm EdltUcCagKMlatEdkGtibrmaEdlRtUvkar 300mm 2 . Ggát;p©itEdkkg DB12 Edl eRbIFMCagGgát;p©itGb,brma DB10 b¤KMlatEdkkgelI 24 ¬ s / 24 = 5.8mm ¦. ]TahrN_15>4³ (Compatibility Torsion) edaHRsay]TahrN_TI 15>3 eLIgvij RbsinebIkMlaMgrmYlemKuNCa compatibility torsion. dMeNaHRsay³ Design for Torsion 372
  • 28.
    T.Chhay NPIC eyagtamdMeNaHRsaykñúg]TahrNITI 15>3 !> kMlaMgKNnaKW V u = 213.5kN nig compatibility torsion Tu = 41kN .m @> CMhan (a) nig (b) dUcKñaenAkñúg]TahrN_TI 15>3. eKRtUvkarEdkRTnug. #> CMhan (c) KWdUcKña. $> KNnasMrab;kMlaMgrmYl³ edaysar compatibility torsion Tu = 41kN .m enaH Tu KNnaRtUvtUvCag 41kN .m b¤ φTcr RtUv)aneGayenAkñúgsmIkar !%>!( f 'c ⎛ Acp ⎞ 0.75 28 ⎛ 232000 2 ⎞ − 6 2 φTcr = φ ⎜ ⎟= ⎜ ⎟ ⋅10 = 38.7 kN .m 3 ⎜ Pcp ⎟ 3 ⎜ 1840 ⎟ ⎝ ⎠ ⎝ ⎠ edaysarEt φTcr < Tu / eRbI Tu = 38.7kN .m . GnuvtþeLIgvijRKb;CMhanenAkñúg]TahrN_TI 15>3 edayeRbI Tu = 38.7kN .m edIm,IkMNt;famuxkat;RKb;RKan;. At s = 0.5mm 2 / m ¬eCIgmYy¦ Al = 0.5 × 1592 = 796mm 2 eRbI Al = 852mm 2 > Al (min) %> Avt caM)ac; = 025 + 0.5 = 0.75mm 2 / m ¬eCIgmYy¦ . 113 s= = 150.6mm 0.75 eRbI 150mm . eRCIserIsEdkbeNþay nigEdkkgdUckñúg]TahrN_TI 15>3. ]TahrN_15>5³ (L-section with Equilibrium Torsion) FñwmxagénRbBn§½kMralxNнrbs;GKardUcbgðajenAkñúgrUbTI 15>16. muxkat;enAcMgay d BIépÞénTMrrg nUv Vu = 235kN nig equilibrium torque Tu = 27kN .m . KNnaEdkRTnugcaM)ac;edayeRbI f 'c = 28MPa nig f y = 400MPa sMrab;RKb;EdkEdleRbIenAkñúgFñwm. dMeNaHRsay³ 1> kMlaMgKNnaKW Vu = 235kN nig Tu = 27kN .m 2> a. EdkTb;kMlaMgkat;RtUvkarenAeBl Vu > φVc / 2 φ f 'c 0.75 28 φVc = bw d = 350 × 455 ⋅10 − 3 = 105.3kN 6 6 φVc Vu > = 52.65kN 2 karKNnasMrab;kMlaMgrmYl 373
  • 29.
    Department of CivilEngineering viTüasßanCatiBhubec©keTskm<úCa eKRtUvkarEdkkMlaMgkat;TTwg b. RtYtBinitüfaetIEdkTb;karrmYlRtUvkarb¤Gt;. snμt;fasøabcUlrYmkñúgkarTb;karrmYl RbEvg søabRbsiT§PaBKW hw = 380mm < 150 × 4 = 600mm . xo = 350mm nig yo = 530mm Acp = (350 × 530) + (150 × 380 ) = 242500mm 2 Pcp = 2(730 + 530) = 2520mm ⎛ 242500 2 ⎞ − 6 BIsmIkar !%>@0 Ta = 0.75 12 28 ⎜ ⎜ 2520 ⎟ ⎟ ⋅10 = 7.7kN .m ⎝ ⎠ Tu > Ta muxkat;RtUvkarEdkTb;karrmYl. 3> KNnaEdkTb;kMlaMgkat;TTwg³ a. Vu = φVc + φVs 235 = 105.3 + 0.75Vs Vs = 173kN 2 b. Vs (max) = f 'c bw d = 561.8kN > Vs 3 c. Av s V = s = 173000 f y d 400 × 455 = 0.95mm 2 / m ¬eCIgBIr¦ Av 0.95 = = 0.475mm 2 / m 2s 2 4> KNnaEdkTb;karrmYl³ Tu = 27kN .m a. KNnalkçN³muxkat;edaysnμt; kMras;ebtugkarBarEdk 40mm nigEdkkg DB12 . RTnug x1 = 350 − (2 × 40) − 12 = 258mm y1 = 530 − (2 × 40) − 12 = 438mm søab x1 = 380mm ¬EdkkghYscUleTAkñúgRTnug¦ y1 = 150 − 92 = 58mm Aoh = (58 × 380) + (258 × 438) = 135044mm 2 Ao = 0.85 Aoh = 114787.4mm 2 Ph = 2(58 + 380) + 2(258 + 438) = 2268mm θ = 45o cot θ = 1.0 Design for Torsion 374
  • 30.
    T.Chhay NPIC b. RtYtBinitüPaBRKb;RKan;rbs;muxkat;edayeRbIsmIkarTI !%>@!³ Vu = 235kN / φVc = 105.3kN / Vc = 140.4kN / Tu = 27kN .m ⎛ 235000 ⎞ ⎛ 27 ⋅10 × 2268 ⎞ 2 6 Left − hand side = ⎜ ⎟ +⎜ ⎟ = 2.47 MPa ⎝ 350 × 455 ⎠ ⎜ 1.7 × 135044 2 ⎟ ⎝ ⎠ ⎛ 140400 2 ⎞ Right − hand side = 0.75⎜ + 28 ⎟ = 3.3MPa ⎝ 350 × 455 3 ⎠ muxkat;manlkçN³RKb;RKan; c. kMNt;EdkkgbiTCitedIm,ITb;karrmYl At / s BIsmIkar !%>@%³ 27 ⋅ 10 6 At s = Tn = 2 Ao f yt cot θ 0.75 × 2 × 114787.4 × 400 = 0.392mm 2 / m ¬eCIgmYy¦ d. KNnaEdkbeNþaybEnßmBIsmIkar !%>@* ¬sMrab; f 'c = 400 MPa nig cot θ = 1.0 ¦ ⎛A ⎞ Al = ⎜ t ⎟ Ph = 0.392 × 2268 = 889mm 2 ⎝ s ⎠ Al min ¬BIsmIkar !%>#0¦ KW 5 28 × 242500 Al min = − 889 = 447.7mm 2 12 × 400 karcUlrYmrbs;søabRtUv)anecaledaysarTTYl)anlT§plxusKñatictYc nigtMélBlkmμ ticCag. 5> kMNt;RkLaépÞmuxkat;EdkkgbiTCit a. sMrab;eCIgmYy vt = t + v A A A s s 2s muxkat;cM)ac; Avt = 0.392 + 0.475 = 0.867mm 2 / m ¬eCIgmYy¦ eRCIserIsEdk DB12 ¬ As = 113mm 2 ¦ KMlatEdkkg = 0113 = 130mm eRbI 125mm .867 b. KMlatEdkGtibrma s max = h = = 283.5mm . eRbI s = 125mm dUckarKNna. P 2268 8 8 Avt 0.35bw 0.35 × 350 c. = = = 0.31mm 2 / m < 0.867mm 2 / m dUcenHeRbI s f yt 400 DB12 @125 6> kMNt;karBRgayrbs;EdkbeNþay. Al srubKW 889mm 2 . eRbImYyPaKbI b¤ 889 / 3 = 296.3mm 2 enAEpñkxagelI EpñkkNþal nigEpñkxageRkam. karKNnasMrab;kMlaMgrmYl 375
  • 31.
    Department of CivilEngineering viTüasßanCatiBhubec©keTskm<úCa a. brimaNEdksrubenAEpñkxagelI = 628.3 + 296.3 = 924.6mm 2 eRbI 3DB20 ¬ As = 942.5mm 2 ¦ b. brimaNEdksrubenAEpñkxagelI = 2463 + 296.3 = 2759.3mm 2 eRbI 5DB28 ¬ As = 3078.8mm 2 ¦ Al srubEdleRbI = (942.5 − 628.3) + (3078.8 − 2463) = 930mm 2 c. eRbIEdk 2DB12 enABak;kNþalkMBs; ¬ As = 226mm 2 ¦. bøg;EdklMGitRtUv)anbgðajenA kñúgrUbTI 15>16. KMlatEdkbeNþayKW 190mm < 300mm . Ggát;p©itrbs;EdkkgKW 12mm EdlFMCagGgát;p©itEdk DB10 b¤KMlatEdkkgelI 24 ¬ s / 24 = 5.2mm ¦. bEnßmEdkbeNþay DB12 enARKb;mMurbs;EdkkgenAkñúgRTnugFñwm nigsøabFñwm. Design for Torsion 376
  • 32.
    T.Chhay NPIC karKNnasMrab;kMlaMgrmYl 377