A Writer s Algorithm
                    or
     Papers Without (too much) Pain
   and the sequelae that are Reviews…

                     October 7, 2011
                   Amy J. Markowitz, JD
           Consulting Editor/Scientific Writing Specialist
UCSF Clinical and Translational Research Career Development Program
          Managing Editor, Care of the Aging Patient JAMA

                amyjmarkowitz@alum.wellesley.edu

                           415-307-0391
Markowitz Bio
                http://ksc-ctsi.ucsf.edu/profile/amy
Amy J. Markowitz, JD, is the Consulting Consulting Editor/Scientific
Writing faculty for the UCSF Clinical and Translational Research Career
Development (K) Program. She teaches the Publishing and Presenting
Research (EPI 212) course as part of the TICR curriculum.

She is the Managing Editor of JAMA’s case-based geriatric series, Care
of the Aging Patient: From Evidence to Action.

She is a freelance editor, writing mentor, and curriculum development
consultant, with particular expertise in medicine and health policy.

She is an editor-for-hire on book, grant, Web site content, curriculum, and
manuscript projects, and provides on-site writing instruction.
Today's agenda

•  A framework for presenting research and
   managing reviews timely

•  The Writer s Algorithm
  –  The basics of good writing habits (and
     suggestions for teaching them to others)
  –  The sections of a paper
  –  The basics of effective self-editing
Today s style


•  Please interrupt frequently

•  Share with others - research and writing are not
   solitary pursuits - at least not mostly
Most research involves a simple
            finding
                        A>B

  Weight of experimental mice > Weight of control mice
Bone density with TT genotype > Bone density with tt genotype
      Survival after surgery > Survival with medical therapy
         Health care in UK > Health care in US
Who cares?
•  Who is your audience?

•  Which journals are “reach” schools?

•  Where have you published before?
     - Have you served as a reviewer?
Title
•  Based on the research question

•  Try to make it interesting (catchy),
   declarative, maybe even provocative

•  Remember the magic words
  –  Randomized, blinded, prospective, etc.
The 4 basic parts of an abstract,
               paper,
          or presentation
•  Introduction: Why would it matter if you could
   show that A > B?

•  Methods: How you will show that A > B.
   –  (Effect size: Comparing A with B)

•  Results: Show that A > B.

•  Discussion: What is the implication, now that we
   know that A >B?
Begin Before the Beginning
•  Scribble or type a list of topics, themes,
   ideas, conclusions, in any order
•  Work for about 15 minutes and then
   reward yourself with a latte, and a quick
   peek at the TIVO d Daily Show
Create a Scaffold
•  Using the Instructions for Authors
   contained on the Web site of every journal,
   set up the major headings/sections of the
   paper
•  You are now not looking at a blank screen
   and can treat yourself to a snack and a latte
Put on the Sorting Hat
•  Insert fragments from the scribbled list into the
   scaffolding sections, eg, background? result?
   discussion?
•  Pen a meaningful topic sentence for the fragments.
   Note: meaningful means an original idea that sets
   up the issue to be discussed in that section or
   paragraph
•  Continue to fill in the space under the topic
   sentences by moving entries around, and by
   adding entries from the scribbled list
•  Open Endnote or other reference library and look
   around
Put on the Sorting Hat
            (continued)
•  Note ideas for tables, boxes, figures
•  Re-check rules for authors as to formatting
   requirements
•  Note areas that require further thought or
   discussion
•  Go for a run or a bike ride
Write an Introduction
•  Do not reinvent the wheel - go back to the grant,
   proposal, RFP
•  Content: The introduction is your promise to the
   reader
•  Use a writing resource, style manual, dictionary,
   grammar guide
American Medical Association Style Manual www.amamanualofstyle.com/
Merriam Webster online dictionary http://www.merriam-webster.com/
Stedman s Medical Spellchecker and dictionaries www.stedmans.com/
Nuts and Bolts of Scientific Writing- Constance Baldwin, PhD http://www.academicpeds.org/
    espauthoring/page_01.htm
Content of Introduction
•  The introduction is your promise to the reader (in
   3 paragraphs or less - PRESENT TENSE FOR
   ESTABLISHED KNOWLEDGE)
•  Describe:
   –  Background, the raison d etre of the study (why the
      problem was compelling)
   –  State of the field (relevant literature to date)
   –  The reason your findings will be relevant, and (if
      you re feeling brave) the contribution you have made
•  Close with a road map of what the reviewer/
   reader will find in the paper:
   –  Hypothesis, Design, Sample, Methods
Introduction: The Final Test

•  After reading it, could someone not familiar with the field
   understand…

   –  Why you did the study

   –  How it advances the current state of the evidence
Dictionary of Useful Research
                 Phrases

•  "It has long been known..." <-> I didn't look up the original
   reference.

•  "A definite trend is evident..." <-> These data are practically
   meaningless.

•  "Of great theoretical and practical importance..." <-> Interesting
   to me.

        http://writedit.wordpress.com/category/biomedical-writingediting/
Finishing the Introduction
•  Read your introduction aloud to yourself to
   see if it rings true and sounds sensible

•  Click SAVE and pack up your
   computer for the night
Write the Easy Parts First
•  Good bets for knocking off sections are the
   Methodology and Results sections
•  Methods: Carefully track the research protocol,
   and if you repeat or reproduce a part of the
   protocol as stated in your original proposal, do not
   paraphrase or change verbiage (PAST TENSE
   FOR WHAT YOU DID)
Methods: How will you show that A > B?

•  Who (what) did you study?
•  What, if anything, did you do to them?
•  How did you make your measurements?
•  How did you compare A with B?
•  Statistical tests to show that A ≠ B
Methods Checklist: The 4 Parts

•  Design: Define the type, e.g., retrospective, case-
  control, RCT, prospective
•  Subjects: population, inclusion/exclusion criteria,
  controls
•  Measurements: survey instruments, assays,
  physical measurements
•  Analysis: Statistical plan and rationale
Measurements: A Way to
            Organize
•  Predictors before outcomes
•  Medical presentation
  –  History, physical, simple lab, complex matters
•  Explain odd decisions or missing data
•  Appropriate level of detail - know your
   audience
Analysis
•    Don t list tests: explain why you used them
•    Tell how measurements became variables
•    How did you estimate the effect size?
•    How did you determine the precision and significance of
     the effect size?
     –  Univariate
     –  Multivariate (say what you adjusted for)
Results: Showing that A > B
•  Make sure the main result is obvious
   –  Don t bury it in the middle of a long paragraph, an 8 x
      6 table, or a complex figure


•  Use alternative definitions of A and B
   –  Different measurement techniques or times
   –  Multivariate adjustment
   –  In various subgroups
Results, continued
Order of presentation:
  –  Collected sample first
  –  Follow order of hypothesis, chronology or
     design elements
     •  Simple results before complex
     •  Strongest findings first
     •  Use subsection headings as a roadmap
Results/Discussion
       (Pull out the scribbled list again)
Framing the Content (GENERALLY, PAST TENSE
  FOR WHAT YOU FOUND)
•  What grabbed you about your results?
•  Was there an expected or unexpected finding? If you are
   presenting something new, build the case in a logical order –
   eg, is this study the result of a long line of similar research
   that is confirmatory, but ?
•  Is it presenting a new theory to explain an old phenomenon?
   Is it rebutting a long-held belief in the field?
•  Does it have implications for research policy or social policy?
•  Will it be a useful tear-out with pragmatic clinical utility?
Discussion
•  Actually speak to the reader (PRESENT
   TENSE)
•  Argue your case with the facts that you ve set
   forth formulaically in the Results sections
•  Use I.A.C. (Idea - Analysis - Conclusion)
•  Check each paragraph against the next: be certain
   that you are connecting the dots for the readers,
   not bludgeoning them
Discussion Content
•  Highlight key findings as they relate to the
   study s purpose (was your hypothesis
   proved?)
•  Evaluate findings in relation to literature
•  Discuss limitations
•  Conclude with recommendations
Styling Your Discussion
   Using the topic sentences you ve already drafted,
   write stand-alone paragraphs following the I.A.C.
   rubric:
•  Idea (the topic sentence)
•  Analysis (the clinical, microbiologic, biochemical,
   social, economic, explanation of the result)
•  Concluding sentence which sums up the analysis,
   and often will serve as a transition to the next
   paragraph
Styling Your Discussion
                       (continued)


•  If you find that you are stuck, and cannot create an
   I.A.C. paragraph for a particular result, go back to the
   topic sentence, and make sure that it is worthy of a
   whole finding/result
•  Consider whether you have enough (interesting)
   results to merit another paper (after this one is
   completed)
Avoid Throwaway
         Observations

         The Sarah Arron Rule:
Do Not Give Reviewers the Opportunity to
   Review the Paper You Didn’t Write
Anticipate Possible Criticism
•  Careful, not defensive, explanation
•  Anticipate critique of your methodology or
   study design and present the reasoning
   behind your choices
•  Your design and study criteria were well
   thought out in the beginning – now is not
   the time to have a crisis of confidence
Conclude With a Send-off
•  A conclusion is not a repetition
•  Take the bully pulpit
•  Set a research agenda; get others interested
   in your field
•  Create some controversy that is well-
   founded on the basis of your findings
Some Practical Advice
•  Return to the Instructions for Authors
   –  re-check style formatting requirements, word limit, format of
      references, number of references, graphics format, the works
•  Print hard copy of the manuscript, and proof it for
   substance by reading it aloud once, making hard copy
   corrections (you will be amazed at what you will find to
   self-edit)
•  Then, and only then, run spell check
•  Wait a day, re-read, and with a sigh of relief, hit the
   send key to your co-authors, or friendly readers
Credit Where It I$ Due


"This project was supported by Grant
  Number KL2 RR024130 from the
  National Center for Research
  Resources (NCRR).
Responding to Reviews*,
        Internal and External

*Formerly known as Anger Management
Reviews, internal and external
•  Read through the reviews twice
•  You will be offended by everything the first
   time, and begin to appreciate some of the
   merits by the second time
•  Consult with your co-authors
Take a step-wise approach
•  Begin the explanatory Response to Editor letter
   simultaneously with your revisions
•  The tone should be respectful but not obsequious
•  Address each comment, in numeric order, citing
   to the page and line where you ve made the
   revisions - as relevant, add the actual text to the
   letter once it is finalized in the manuscript
•  Where logical, group comments so that they are
   more easily addressed, eg, comments from each of
   three reviewers that address the same issue in
   methods, results, or discussion
What if the reviewer has
    completely missed the point?
Consider whether:
•  You have presented the idea abstrusely; try
   rewriting unless this undermines the integrity of
   the idea
•  The reviewer (generally an expert in the field, wed
   to their point of view) a) has a vested interest in
   your being incorrect, b) has just been proven
   wrong by your results, or c) did not read the
   paper carefully
Re-consult
•  Check your intra-reviewer-rater reliability
•  What if MOM and DAD disagree????
•  Get your gumption up, be thoughtful, and
   make a decision - you must resubmit -
   now s the time…
Greg s Reviewer s Misread


Some aspects of the results presentation could be clearer. Some of the presentation of results
such as those in figure 3 does not make it clear how many patients were seen at each follow-up
visit.

We have attempted to make the results more clear, with a special emphasis on the number of
subjects with follow-up. As suggested, we have changed figure 3 so that the numbers of patients
at each follow-up visit are clearer and have included those numbers in the figure itself.
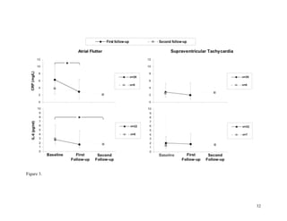
Original Figure 3 and Legend
Abundance of Caution
Response and Lessons Learned


Dealing with easy fixes, eg, ad the n=
Ralph s Reviews
Reviewer #4:
First of all let me acknowledge that I appreciate the complexity of
evaluating any mass media campaign, particularly one that is very short
term with limited funding.

This is an interesting and complex paper as currently constructed. I
found many parts difficult to follow and lacking in methodological
details necessary to properly interpret the results. Having said that,
I think, with much revision, some parts merit publication (if not by
Medical Care, perhaps elsewhere). I am trying to make my comments
constructive.

I absolutely disagree that this campaign is an example of a wide-scale
MM campaign to affect office visit and antibiotic use... In summary, I think there is
    too much in this one paper. … The MM campaign does not fly with me at all.
Ralph s Response
The easy fix:
I absolutely disagree that this campaign is an example of a wide-
scale MM campaign to affect office visit and antibiotic use... In
summary, I think there is too much in this one paper. … The MM
campaign does not fly with at all with me.

•    Please see response to Reviewer #4, Comment #7 regarding media exposure/impressions.
•    Both the preceding office and household educational intervention (Gonzales R et al. Health
     Services Research 2005;40:101-16) and the mass media campaigns were based on the
     logic that reducing office visits was one possible (and perhaps, most effective) means for
     reducing inappropriate antibiotic use; the other key means was increasing appropriate
     prescribing behavior by providers. The small media materials for households and patients
     incorporated information that was designed to assist families to make appropriate decisions
     about whether medical care was warranted for symptoms of colds or bronchitis, to challenge
     assumptions that antibiotics are required for colds or bronchitis, and to put the issue of
     antibiotic use for ARIs on the agenda for discussion with a provider. The mass media
     messages contained less detail than the household and clinic materials for patients, but
     were also designed to provoke questioning about the need for antibiotics for various
     respiratory symptoms and illnesses. We recognized that if a healthcare decision-maker in
     the family (e.g., the mother) no longer believed that antibiotics would help colds and coughs,
     she might be less likely to seek care. This is based on the multitude of studies that have
     found that desire and perceived need for antibiotics—for symptom relief—is a major reason
     that patients seek care for these illnesses. In social marketing terms, in this project a critical
     difference between doers and non-doers was the idea that antibiotics were necessary for
     treatment of ARIs (see W Smith references below; also, William Smith was the chief AED consultant on
     the Get Smart Campaign).
•    Smith, W. (1998). Social marketing: What's the big idea? Social Marketing Quarterly, Vol. IV, Number 2,
     5-17.
•    AED. Social Marketing Lite: Ideas for Folks with Small Budgets and Big Problems.
     http://www.aed.org/ToolsandPublications/upload/Social%20Marketing%20Lite.pdf or at
     http://www.eric.ed.gov/ERICDocs/data/ericdocs2sql/content_storage_01/0000019b/80/17/30/ea.pdf
Response and Lessons Learned
Dear Dr. Gonzales,

I am pleased to inform you …

***************************************************************

How many papers have we got here?
What if the reviewer has
    completely missed the point?


•  Tough. You must explain to the journal editors
  why it is that you have chosen not to revise in
  accordance with the reviewer s comment, and be
  prepared to support your point of view.
Response and Lessons Learned
•  Submit elsewhere?
•  Change the focus?
•  Consult with a non-co-author colleague?
Shave and a Haircut
•  Address stylistic editorial comments after the
   substantive revisions
•  Stylistic issues frequently relate to length
•  Reduce to tabular or graphic form any appropriate
   demographic descriptions of study subjects, or less
   intrinsic data and descriptors
•  Do not repeat in text what is best presented in a
   table or figure
•  Give your co-authors one last shot, WITH A
   DEADLINE, then: pull the trigger

A Writer's Algorithm: Papers without (too much) Pain

  • 1.
    A Writer sAlgorithm or Papers Without (too much) Pain and the sequelae that are Reviews… October 7, 2011 Amy J. Markowitz, JD Consulting Editor/Scientific Writing Specialist UCSF Clinical and Translational Research Career Development Program Managing Editor, Care of the Aging Patient JAMA amyjmarkowitz@alum.wellesley.edu 415-307-0391
  • 2.
    Markowitz Bio http://ksc-ctsi.ucsf.edu/profile/amy Amy J. Markowitz, JD, is the Consulting Consulting Editor/Scientific Writing faculty for the UCSF Clinical and Translational Research Career Development (K) Program. She teaches the Publishing and Presenting Research (EPI 212) course as part of the TICR curriculum. She is the Managing Editor of JAMA’s case-based geriatric series, Care of the Aging Patient: From Evidence to Action. She is a freelance editor, writing mentor, and curriculum development consultant, with particular expertise in medicine and health policy. She is an editor-for-hire on book, grant, Web site content, curriculum, and manuscript projects, and provides on-site writing instruction.
  • 3.
    Today's agenda •  Aframework for presenting research and managing reviews timely •  The Writer s Algorithm –  The basics of good writing habits (and suggestions for teaching them to others) –  The sections of a paper –  The basics of effective self-editing
  • 4.
    Today s style • Please interrupt frequently •  Share with others - research and writing are not solitary pursuits - at least not mostly
  • 5.
    Most research involvesa simple finding A>B Weight of experimental mice > Weight of control mice Bone density with TT genotype > Bone density with tt genotype Survival after surgery > Survival with medical therapy Health care in UK > Health care in US
  • 6.
    Who cares? •  Whois your audience? •  Which journals are “reach” schools? •  Where have you published before? - Have you served as a reviewer?
  • 7.
    Title •  Based onthe research question •  Try to make it interesting (catchy), declarative, maybe even provocative •  Remember the magic words –  Randomized, blinded, prospective, etc.
  • 8.
    The 4 basicparts of an abstract, paper, or presentation •  Introduction: Why would it matter if you could show that A > B? •  Methods: How you will show that A > B. –  (Effect size: Comparing A with B) •  Results: Show that A > B. •  Discussion: What is the implication, now that we know that A >B?
  • 9.
    Begin Before theBeginning •  Scribble or type a list of topics, themes, ideas, conclusions, in any order •  Work for about 15 minutes and then reward yourself with a latte, and a quick peek at the TIVO d Daily Show
  • 10.
    Create a Scaffold • Using the Instructions for Authors contained on the Web site of every journal, set up the major headings/sections of the paper •  You are now not looking at a blank screen and can treat yourself to a snack and a latte
  • 11.
    Put on theSorting Hat •  Insert fragments from the scribbled list into the scaffolding sections, eg, background? result? discussion? •  Pen a meaningful topic sentence for the fragments. Note: meaningful means an original idea that sets up the issue to be discussed in that section or paragraph •  Continue to fill in the space under the topic sentences by moving entries around, and by adding entries from the scribbled list •  Open Endnote or other reference library and look around
  • 12.
    Put on theSorting Hat (continued) •  Note ideas for tables, boxes, figures •  Re-check rules for authors as to formatting requirements •  Note areas that require further thought or discussion •  Go for a run or a bike ride
  • 13.
    Write an Introduction • Do not reinvent the wheel - go back to the grant, proposal, RFP •  Content: The introduction is your promise to the reader •  Use a writing resource, style manual, dictionary, grammar guide American Medical Association Style Manual www.amamanualofstyle.com/ Merriam Webster online dictionary http://www.merriam-webster.com/ Stedman s Medical Spellchecker and dictionaries www.stedmans.com/ Nuts and Bolts of Scientific Writing- Constance Baldwin, PhD http://www.academicpeds.org/ espauthoring/page_01.htm
  • 14.
    Content of Introduction • The introduction is your promise to the reader (in 3 paragraphs or less - PRESENT TENSE FOR ESTABLISHED KNOWLEDGE) •  Describe: –  Background, the raison d etre of the study (why the problem was compelling) –  State of the field (relevant literature to date) –  The reason your findings will be relevant, and (if you re feeling brave) the contribution you have made •  Close with a road map of what the reviewer/ reader will find in the paper: –  Hypothesis, Design, Sample, Methods
  • 15.
    Introduction: The FinalTest •  After reading it, could someone not familiar with the field understand… –  Why you did the study –  How it advances the current state of the evidence
  • 16.
    Dictionary of UsefulResearch Phrases •  "It has long been known..." <-> I didn't look up the original reference. •  "A definite trend is evident..." <-> These data are practically meaningless. •  "Of great theoretical and practical importance..." <-> Interesting to me. http://writedit.wordpress.com/category/biomedical-writingediting/
  • 17.
    Finishing the Introduction • Read your introduction aloud to yourself to see if it rings true and sounds sensible •  Click SAVE and pack up your computer for the night
  • 18.
    Write the EasyParts First •  Good bets for knocking off sections are the Methodology and Results sections •  Methods: Carefully track the research protocol, and if you repeat or reproduce a part of the protocol as stated in your original proposal, do not paraphrase or change verbiage (PAST TENSE FOR WHAT YOU DID)
  • 19.
    Methods: How willyou show that A > B? •  Who (what) did you study? •  What, if anything, did you do to them? •  How did you make your measurements? •  How did you compare A with B? •  Statistical tests to show that A ≠ B
  • 20.
    Methods Checklist: The4 Parts •  Design: Define the type, e.g., retrospective, case- control, RCT, prospective •  Subjects: population, inclusion/exclusion criteria, controls •  Measurements: survey instruments, assays, physical measurements •  Analysis: Statistical plan and rationale
  • 21.
    Measurements: A Wayto Organize •  Predictors before outcomes •  Medical presentation –  History, physical, simple lab, complex matters •  Explain odd decisions or missing data •  Appropriate level of detail - know your audience
  • 22.
    Analysis •  Don t list tests: explain why you used them •  Tell how measurements became variables •  How did you estimate the effect size? •  How did you determine the precision and significance of the effect size? –  Univariate –  Multivariate (say what you adjusted for)
  • 23.
    Results: Showing thatA > B •  Make sure the main result is obvious –  Don t bury it in the middle of a long paragraph, an 8 x 6 table, or a complex figure •  Use alternative definitions of A and B –  Different measurement techniques or times –  Multivariate adjustment –  In various subgroups
  • 24.
    Results, continued Order ofpresentation: –  Collected sample first –  Follow order of hypothesis, chronology or design elements •  Simple results before complex •  Strongest findings first •  Use subsection headings as a roadmap
  • 25.
    Results/Discussion (Pull out the scribbled list again) Framing the Content (GENERALLY, PAST TENSE FOR WHAT YOU FOUND) •  What grabbed you about your results? •  Was there an expected or unexpected finding? If you are presenting something new, build the case in a logical order – eg, is this study the result of a long line of similar research that is confirmatory, but ? •  Is it presenting a new theory to explain an old phenomenon? Is it rebutting a long-held belief in the field? •  Does it have implications for research policy or social policy? •  Will it be a useful tear-out with pragmatic clinical utility?
  • 26.
    Discussion •  Actually speakto the reader (PRESENT TENSE) •  Argue your case with the facts that you ve set forth formulaically in the Results sections •  Use I.A.C. (Idea - Analysis - Conclusion) •  Check each paragraph against the next: be certain that you are connecting the dots for the readers, not bludgeoning them
  • 27.
    Discussion Content •  Highlightkey findings as they relate to the study s purpose (was your hypothesis proved?) •  Evaluate findings in relation to literature •  Discuss limitations •  Conclude with recommendations
  • 28.
    Styling Your Discussion Using the topic sentences you ve already drafted, write stand-alone paragraphs following the I.A.C. rubric: •  Idea (the topic sentence) •  Analysis (the clinical, microbiologic, biochemical, social, economic, explanation of the result) •  Concluding sentence which sums up the analysis, and often will serve as a transition to the next paragraph
  • 29.
    Styling Your Discussion (continued) •  If you find that you are stuck, and cannot create an I.A.C. paragraph for a particular result, go back to the topic sentence, and make sure that it is worthy of a whole finding/result •  Consider whether you have enough (interesting) results to merit another paper (after this one is completed)
  • 30.
    Avoid Throwaway Observations The Sarah Arron Rule: Do Not Give Reviewers the Opportunity to Review the Paper You Didn’t Write
  • 31.
    Anticipate Possible Criticism • Careful, not defensive, explanation •  Anticipate critique of your methodology or study design and present the reasoning behind your choices •  Your design and study criteria were well thought out in the beginning – now is not the time to have a crisis of confidence
  • 32.
    Conclude With aSend-off •  A conclusion is not a repetition •  Take the bully pulpit •  Set a research agenda; get others interested in your field •  Create some controversy that is well- founded on the basis of your findings
  • 33.
    Some Practical Advice • Return to the Instructions for Authors –  re-check style formatting requirements, word limit, format of references, number of references, graphics format, the works •  Print hard copy of the manuscript, and proof it for substance by reading it aloud once, making hard copy corrections (you will be amazed at what you will find to self-edit) •  Then, and only then, run spell check •  Wait a day, re-read, and with a sigh of relief, hit the send key to your co-authors, or friendly readers
  • 34.
    Credit Where ItI$ Due "This project was supported by Grant Number KL2 RR024130 from the National Center for Research Resources (NCRR).
  • 35.
    Responding to Reviews*, Internal and External *Formerly known as Anger Management
  • 36.
    Reviews, internal andexternal •  Read through the reviews twice •  You will be offended by everything the first time, and begin to appreciate some of the merits by the second time •  Consult with your co-authors
  • 37.
    Take a step-wiseapproach •  Begin the explanatory Response to Editor letter simultaneously with your revisions •  The tone should be respectful but not obsequious •  Address each comment, in numeric order, citing to the page and line where you ve made the revisions - as relevant, add the actual text to the letter once it is finalized in the manuscript •  Where logical, group comments so that they are more easily addressed, eg, comments from each of three reviewers that address the same issue in methods, results, or discussion
  • 39.
    What if thereviewer has completely missed the point? Consider whether: •  You have presented the idea abstrusely; try rewriting unless this undermines the integrity of the idea •  The reviewer (generally an expert in the field, wed to their point of view) a) has a vested interest in your being incorrect, b) has just been proven wrong by your results, or c) did not read the paper carefully
  • 40.
    Re-consult •  Check yourintra-reviewer-rater reliability •  What if MOM and DAD disagree???? •  Get your gumption up, be thoughtful, and make a decision - you must resubmit - now s the time…
  • 41.
    Greg s Reviewers Misread Some aspects of the results presentation could be clearer. Some of the presentation of results such as those in figure 3 does not make it clear how many patients were seen at each follow-up visit. We have attempted to make the results more clear, with a special emphasis on the number of subjects with follow-up. As suggested, we have changed figure 3 so that the numbers of patients at each follow-up visit are clearer and have included those numbers in the figure itself.
  • 42.
  • 43.
  • 44.
    Response and LessonsLearned Dealing with easy fixes, eg, ad the n=
  • 45.
    Ralph s Reviews Reviewer#4: First of all let me acknowledge that I appreciate the complexity of evaluating any mass media campaign, particularly one that is very short term with limited funding. This is an interesting and complex paper as currently constructed. I found many parts difficult to follow and lacking in methodological details necessary to properly interpret the results. Having said that, I think, with much revision, some parts merit publication (if not by Medical Care, perhaps elsewhere). I am trying to make my comments constructive. I absolutely disagree that this campaign is an example of a wide-scale MM campaign to affect office visit and antibiotic use... In summary, I think there is too much in this one paper. … The MM campaign does not fly with me at all.
  • 46.
  • 47.
    I absolutely disagreethat this campaign is an example of a wide- scale MM campaign to affect office visit and antibiotic use... In summary, I think there is too much in this one paper. … The MM campaign does not fly with at all with me. •  Please see response to Reviewer #4, Comment #7 regarding media exposure/impressions. •  Both the preceding office and household educational intervention (Gonzales R et al. Health Services Research 2005;40:101-16) and the mass media campaigns were based on the logic that reducing office visits was one possible (and perhaps, most effective) means for reducing inappropriate antibiotic use; the other key means was increasing appropriate prescribing behavior by providers. The small media materials for households and patients incorporated information that was designed to assist families to make appropriate decisions about whether medical care was warranted for symptoms of colds or bronchitis, to challenge assumptions that antibiotics are required for colds or bronchitis, and to put the issue of antibiotic use for ARIs on the agenda for discussion with a provider. The mass media messages contained less detail than the household and clinic materials for patients, but were also designed to provoke questioning about the need for antibiotics for various respiratory symptoms and illnesses. We recognized that if a healthcare decision-maker in the family (e.g., the mother) no longer believed that antibiotics would help colds and coughs, she might be less likely to seek care. This is based on the multitude of studies that have found that desire and perceived need for antibiotics—for symptom relief—is a major reason that patients seek care for these illnesses. In social marketing terms, in this project a critical difference between doers and non-doers was the idea that antibiotics were necessary for treatment of ARIs (see W Smith references below; also, William Smith was the chief AED consultant on the Get Smart Campaign). •  Smith, W. (1998). Social marketing: What's the big idea? Social Marketing Quarterly, Vol. IV, Number 2, 5-17. •  AED. Social Marketing Lite: Ideas for Folks with Small Budgets and Big Problems. http://www.aed.org/ToolsandPublications/upload/Social%20Marketing%20Lite.pdf or at http://www.eric.ed.gov/ERICDocs/data/ericdocs2sql/content_storage_01/0000019b/80/17/30/ea.pdf
  • 48.
    Response and LessonsLearned Dear Dr. Gonzales, I am pleased to inform you … *************************************************************** How many papers have we got here?
  • 49.
    What if thereviewer has completely missed the point? •  Tough. You must explain to the journal editors why it is that you have chosen not to revise in accordance with the reviewer s comment, and be prepared to support your point of view.
  • 50.
    Response and LessonsLearned •  Submit elsewhere? •  Change the focus? •  Consult with a non-co-author colleague?
  • 51.
    Shave and aHaircut •  Address stylistic editorial comments after the substantive revisions •  Stylistic issues frequently relate to length •  Reduce to tabular or graphic form any appropriate demographic descriptions of study subjects, or less intrinsic data and descriptors •  Do not repeat in text what is best presented in a table or figure •  Give your co-authors one last shot, WITH A DEADLINE, then: pull the trigger