Made by Zaeem Ahmad Varaich
Please inform if you find any error in any solution!
EE08.SOLUTIONS
DRILL PROBLEMS : CHAPTER 2
D2.1
(a) RAB = (5+6) ax + (8-4) ay + (-2-7) az = 11ax + 4ay - 9az
(b) RAB = 112 + 42 + 92 = 14.76 m
(c) FBA =
−20 × 10−6 50 × 10−6
4𝜋
10−9
36 𝜋
(14.762)
𝑎 𝑏𝑎 = −0.0413
(−11𝑎 𝑥 − 4𝑎 𝑦 + 9𝑎 𝑧)
14.76
= 30.78𝑎 𝑥 + 11.195𝑎 𝑦 − 25.18𝑎 𝑧 mN
(d) FBA =
−20 × 10−6 50 × 10−6
4𝜋 ×8.854×10−12 (14.762)
𝑎 𝑏𝑎 = −0.04125
(−11𝑎 𝑥 − 4𝑎 𝑦 + 9𝑎 𝑧)
14.76
= 30.74𝑎 𝑥 + 11.18𝑎 𝑦 − 25.15𝑎 𝑧 mN
D2.2
(a) 𝒓 − 𝒓 𝑨 = −25𝑎 𝑥 + 30𝑎 𝑦 − 15𝑎 𝑧, |𝒓 − 𝒓 𝑨| = 41.43
𝒓 − 𝒓 𝑩 = 10𝑎 𝑥 − 8𝑎 𝑦 − 12𝑎 𝑧, |𝒓 − 𝒓 𝑩| = 17.54
𝑬 𝑨 = −1.57
(−25𝑎 𝑥 +30𝑎 𝑦 −15𝑎 𝑧)
41.43
= 9480𝑎 𝑥 − 11300𝑎 𝑦 + 5600𝑎 𝑧
𝑬 𝑩 = 14.61
(10𝑎 𝑥 −8𝑎 𝑦 −12𝑎 𝑧)
17.54
= 83300𝑎 𝑥 − 66600𝑎 𝑦 − 99900𝑎 𝑧
𝑬 𝑻 = 𝑬 𝑨 + 𝑬 𝑩 = 92.48𝑎 𝑥 − 77.9𝑎 𝑦 − 94.3𝑎 𝑧
𝑘𝑉
𝑚
(b) 𝒓 − 𝒓 𝑨 = −10𝑎 𝑥 + 50𝑎 𝑦 + 35𝑎 𝑧, |𝒓 − 𝒓 𝑨| = 61.84
𝒓 − 𝒓 𝑩 = 25𝑎 𝑥 + 12𝑎 𝑦 + 38𝑎 𝑧, |𝒓 − 𝒓 𝑩| = 47.04
𝑬 𝑨 = −7050
(−10𝑎 𝑥 +50𝑎 𝑦 +35𝑎 𝑧)
61.84
= 1140𝑎 𝑥 − 5700𝑎 𝑦 − 3990𝑎 𝑧
𝑬 𝑩 = 20300
(25𝑎 𝑥 +12𝑎 𝑦 +38𝑎 𝑧)
47.04
= 10700𝑎 𝑥 + 5180𝑎 𝑦 + 16400𝑎 𝑧
𝑬 𝑻 = 𝑬 𝑨 + 𝑬 𝑩 = 11.84𝑎 𝑥 − 0.52𝑎 𝑦 + 12.41𝑎 𝑧
𝑘𝑉
𝑚
D2.3
(a) Sum = 2 + 0 +
2
5
+ 0 +
2
17
+ 0 = 2.517
(b) Sum =
1.1
11.18
+
1.01
22.62
+
1.001
46.87
+
1.0001
89.44
= 0.1755
Made by Zaeem Ahmad Varaich
Please inform if you find any error in any solution!
EE08.SOLUTIONS
D2.4
(a) 𝑄 = 𝜌𝑣𝑣𝑜𝑙
𝑑𝑣 =
1
𝑥3 𝑦3 𝑧3 𝑑𝑥𝑑𝑦𝑑𝑧 +
−0.1
−0.2
−0.1
−0.2
−0.1
−0.2
1
𝑥3 𝑦3 𝑧3 𝑑𝑥𝑑𝑦𝑑𝑧
0.2
0.1
0.2
0.1
0.2
0.1
= −
1
8 𝑥2
−02
−0.1 𝑦2
−02
−0.1 𝑧2
−02
−0.1 − −
1
8 𝑥2
0.1
0.2 𝑦2
0.1
0.2 𝑧2
0.1
0.2 =
1
8×(0.03)
−
1
8×(0.03)
= 0
(b) 𝜌3
𝑧2
sin 0.6𝜑 𝑑𝑧𝑑𝜌𝑑𝜑
4
2
0.1
0
𝜋
0
= (−
cos 0.6𝜑
0.6
)
0
𝜋
(
𝜌4
4
)
0
0.1
(
𝑧3
3
)
2
4
= 1.018 𝑚𝐶
(c) 𝑒−2𝑟
sin 𝜃 𝑑𝜑
2𝜋
0
2𝜋
0
∞
0
𝑑𝜃𝑑𝑟 = (−
𝑒−2𝑟
2
)
0
∞
(cos 𝜃) 0
2𝜋
(𝜑) 0
2𝜋
= −6.28 𝐶
D2.5
(a) E = 2 ×
5×10−9
2𝜋𝜀 𝑜 (4)
𝒂 𝒛 = 44.95
𝑉
𝑚
(b) Ex =
5×10−9
2𝜋𝜀 𝑜 (5)
(3𝒂 𝒚+4𝒂 𝒛)
5
= 10.788𝒂 𝒚 + 14.384𝒂 𝒛
𝑉
𝑚
, Ey =
5×10−9
2𝜋𝜀 𝑜 (4)
𝒂 𝒛 = 22.4775 𝒂 𝒛
𝑉
𝑚
E = Ex + Ey = 10.788𝒂 𝒚 + 36.86𝒂 𝒛
𝑉
𝑚
D2.6
i) Electric field due to 3 nC/m2
: E1 =
3×10−9
2𝜀 𝑜
𝒂 𝑵= 169.5 𝒂 𝒛
ii) Electric field due to 6 nC/m2
: E2 =
6×10−9
2𝜀 𝑜
𝒂 𝑵= 338.8 𝒂 𝒛
iii) Electric field due to -8 nC/m2
: E3 =
−8×10−9
2𝜀 𝑜
𝒂 𝑵= −451.76 𝒂 𝒛
According to the direction of point relative to normal:
(a) E = - E1 - E2 - E3 = −56.6 𝒂 𝒛
𝑉
𝑚
(a) E = E1 - E2 - E3 = 283 𝒂 𝒛
𝑉
𝑚
(a) E = E1 + E2 - E3 = 961 𝒂 𝒛
𝑉
𝑚
(a) E = E1 + E2 + E3 = 56.6 𝒂 𝒛
𝑉
𝑚
Made by Zaeem Ahmad Varaich
Please inform if you find any error in any solution!
EE08.SOLUTIONS
D2.7
(a)
𝐸 𝑦
𝐸 𝑥
=
𝑑𝑦
𝑑𝑥
→
4𝑥2
𝑦2
×
𝑦
8𝑥
=
𝑑𝑦
𝑑𝑥
→ 𝑥𝑑𝑥 = − 2𝑦𝑑𝑦 → 𝑥2
+ 2𝑦2
= 𝑐
Put x = 1 and y = 2 to get 𝑐 = 33 giving: 𝒙 𝟐
+ 𝟐𝒚 𝟐
= 𝟑𝟑
(b)
𝐸 𝑦
𝐸 𝑥
=
𝑑𝑦
𝑑𝑥
→
𝑦(5𝑥+1)
𝑥
=
𝑑𝑦
𝑑𝑥
→
1
5
×
5𝑥+1−1
5𝑥+1
𝑑𝑥 = 𝑦𝑑𝑦 → 0.4𝑥 − 0.08 ln 5𝑥 + 1 + 𝑐 = 𝑦2
Put x = 1 and y = 2 to get 𝑐 = 15.74 giving: 𝟎. 𝟒𝒙 − 𝟎. 𝟎𝟖 𝐥𝐧 𝟓𝒙 + 𝟏 + 𝟏𝟓. 𝟕𝟒 = 𝒚 𝟐
Solved by Saad & Zaeem. Please report if you find any mistake!
EE08.SOLUTIONS
DRILL PROBLEMS 3
D3.1
(a) Evaluate the triple volume integral to find the total volume enclosed by the portion
of sphere / surface and then just multiply it with the given charge to find the total
change within it:
𝑟2
𝑠𝑖𝑛𝜃 𝑑𝜃𝑑𝜙𝑑𝑟 ×
𝜋
2
0
𝜋
2
0
0.26
0
𝑞 =
1
8
× 𝑞 = 7.5𝜇𝐶
(b) This surface encloses the whole charge q, so answer is 60 µC
(c) Only the upper half of the flux lines pass through the plane at z = 26 cm, so
D = 0.5 x 60 = 30 µC
D3.2
(a) 𝐸 =
𝑘𝑄
𝑟2
4𝑎 𝑥 −6𝑎 𝑦 +12𝑎 𝑧
16+36+144
= 0.72𝑎 𝑥 − 1.08𝑎 𝑦 + 2.16𝑎 𝑧
𝑀𝑉
𝑚
𝑠𝑜, 𝐷 = 𝜀 𝑜 𝐸 = 6.38𝑎 𝑥 − 9.56𝑎 𝑦 + 19.125𝑎 𝑧
𝜇𝐶
𝑚2
(b) 𝐸 =
20
2𝜋𝜀 𝑜.45
−3𝑎 𝑦 +6𝑎 𝑧
45
= −23.97𝑎 𝑦 + 47.94𝑎 𝑧
𝑀𝑉
𝑚
𝑠𝑜, 𝐷 = 𝜀 𝑜 𝐸 = −212𝑎 𝑦 + 424𝑎 𝑧
𝜇𝐶
𝑚2
(c) 𝐸 =
120
2𝜀 𝑜
𝑎 𝑧 =
60
𝜀 𝑜
𝑎 𝑧
𝜇 𝑉
𝑚
, 𝑠𝑜 𝐷 = 𝜀 𝑜 𝐸 = 60𝑎 𝑧
𝜇𝐶
𝑚2
D3.3
(a) 𝐸 =
𝐷
𝜀 𝑜
= 33.88𝑟2
𝑎 𝑟, so at P: 𝐸 = 33.88(2)2
𝑎 𝑟=135.5𝑎 𝑟
Solved by Saad & Zaeem. Please report if you find any mistake!
EE08.SOLUTIONS
(b) 𝑄 =
𝐷. 𝑑𝑠 = 𝑎2
𝑠𝑖𝑛𝜃 𝑑𝜃𝑑𝜙𝑎 𝑟 × 0.3𝑟2
𝑎 𝑟 =
𝜋
0
2𝜋
0
24.3 −𝑐𝑜𝑠𝜃|0
𝜋2𝜋
0
𝑑𝜙 =
48.6 𝑑𝜙 = 305
2𝜋
0
. 208 𝑛𝐶
(c) On same steps: 𝑄 = 76.8 −𝑐𝑜𝑠𝜃|0
𝜋
𝑑𝜙 = 964.608 μC
2𝜋
0
D3.4
(a) 𝑄 = 𝑄1 + 𝑄2 = 0.243 𝜇𝐶
(b) 𝑄 = 𝑙𝑒𝑛𝑔𝑡𝑕 × 𝜌 𝐿 = 31.4 𝜇𝐶
(c) Area = 𝑙𝑒𝑛𝑔𝑡𝑕 𝑜𝑓 𝑙𝑖𝑛𝑒 (𝑕𝑦𝑝𝑜𝑡𝑒𝑛𝑢𝑠𝑒) × 𝑤𝑖𝑑𝑡𝑕 𝑎𝑐𝑟𝑜𝑠𝑠 𝑧 = 10.53 × 10
So, 𝑄 = 𝑎𝑟𝑒𝑎 × 𝜌 𝐴 = 10.53 𝜇𝐶
D3.5
(a) 𝐷 =
0.25
4𝜋(0.005)2
= 795.77 𝜇𝐶
(b) 𝑄2 = 4𝜋 0.01 2
× 𝜌𝑠2 = 2.51 𝜇𝐶,
𝑠𝑜, 𝐷 =
0.25+2.51
4𝜋(0.015)2
= 977 𝜇𝐶
(c) 𝑄3 = 4𝜋 0.018 2
× 𝜌𝑠3 = −2.44 𝜇𝐶,
𝑠𝑜, 𝐷 =
0.25+2.51−2.44
4𝜋(0.025)2
= 40.74 𝜇𝐶
(d) 𝐷 =
0.25+2.51−2.44+4𝜋 0.03 2×𝜌 𝑠
4𝜋(0.035)2
= 0 , so 𝜌𝑠4 = -28.29 𝜇𝐶
D3.6
(a) 𝜓 = 𝐷. 𝑑𝑠 = 16𝑥2
𝑦𝑧3
𝑑𝑥𝑑𝑦 =
2
0
3
1
16𝑥2
𝑦. 8𝑑𝑥𝑑𝑦 = 1365 𝑝𝐶
2
0
3
1
10
10
10
3
𝑦 = 3𝑥
𝜌𝑠2
𝜌𝑠3
Solved by Saad & Zaeem. Please report if you find any mistake!
EE08.SOLUTIONS
(b) 𝐸 =
𝐷
𝜀 𝑜
𝑎𝑛𝑑 𝑒𝑣𝑎𝑙𝑢𝑎𝑡𝑒 𝑖𝑡 𝑎𝑡 𝑃
(c) 𝐸𝑣𝑎𝑙𝑢𝑎𝑡𝑒 𝑡𝑕𝑒 𝑓𝑜𝑟𝑚𝑢𝑙𝑎 8 𝑎𝑡 𝑃 𝑎𝑛𝑑 ∆𝑉 = 10−12
𝑚3
D3.7
𝐸𝑣𝑎𝑙𝑢𝑎𝑡𝑒 𝑡𝑕𝑒 𝑐𝑜𝑟𝑟𝑒𝑠𝑝𝑜𝑛𝑑𝑖𝑛𝑔 𝑓𝑜𝑟𝑚𝑢𝑙𝑎𝑒 𝑓𝑜𝑟 div 𝐃 𝑖. 𝑒. 15, 16 & 17 𝑎𝑡
𝑡𝑕𝑒 𝑔𝑖𝑣𝑒𝑛 𝑝𝑜𝑖𝑛𝑡𝑠 𝑃
D3.7
𝑇𝑎𝑘𝑒 div 𝐃 𝑎𝑠 𝑠𝑡𝑎𝑡𝑒𝑑 𝑏𝑦 𝑀𝑎𝑥𝑤𝑒𝑙𝑙′
𝑠1𝑠𝑡 𝑒𝑞𝑢𝑎𝑡𝑖𝑜𝑛 𝑡𝑜 𝑔𝑒𝑡 𝑡𝑕𝑒 𝑒𝑥𝑝𝑟𝑒𝑠𝑠𝑖𝑜𝑛𝑠
𝑓𝑜𝑟 𝜌 𝑣, 𝑤𝑖𝑡𝑕 𝑝𝑟𝑜𝑝𝑒𝑟 𝑡𝑟𝑖𝑔𝑛𝑜𝑚𝑒𝑡𝑟𝑖𝑐 𝑚𝑎𝑛𝑖𝑝𝑢𝑙𝑎𝑡𝑖𝑜𝑛
D3.8
R.H.S:
∇. D = 12𝑠𝑖𝑛
𝜑
2
− 0.75𝑠𝑖𝑛
𝜑
2
= 11.25 𝑠𝑖𝑛
𝜑
2
11.25 𝑠𝑖𝑛
𝜑
2
𝜌𝑑𝑧𝑑𝜙𝑑𝜌 = 11.25 × 20 = 225
5
0
𝜋
0
2
0
L.H.S:
𝐷. 𝑑𝑠 = (𝑫) 𝜌=2 𝜌𝑑𝑧𝑑𝜑𝑎 𝜌
5
0
𝜋
0
+ (𝑫) 𝜑=0 𝑑𝑧𝑑𝜌𝑎 𝜑
5
0
2
0
+ (𝑫) 𝜑=𝜋 𝑑𝑧𝑑𝜌(−𝑎 𝜑 )
5
0
2
0
Now,
(𝑫) 𝜌=2 = 12𝑠𝑖𝑛
𝜑
2
𝑎 𝜌
Solved by Saad & Zaeem. Please report if you find any mistake!
EE08.SOLUTIONS
𝑫 𝜑=𝜋 𝑑𝑧𝑑𝜌𝑎 𝜑
5
0
2
0
= 0
𝑠𝑜, 𝐷. 𝑑𝑠 = 24 𝑠𝑖𝑛
𝜑
2
𝑑𝑧𝑑𝜑 + (𝑫) 𝜑=0 𝑑𝑧𝑑𝜌𝑎 𝜑
5
0
2
0
5
0
𝜋
0
= 24 −2𝑐𝑜𝑠
𝜑
2
|0
𝜋
× 𝑧 |0
5
− 1.5
𝜌2
2
|0
2
× 𝑧 |0
5
= −48 0 − 1 5 − 15
= 225
Solved by Aqeel Anwar (aqeelanwar.co.cc) Digitized by Zaeem (ee08.net.tc)
Solved by Aqeel Anwar (aqeelanwar.co.cc) Digitized by Zaeem (ee08.net.tc)
Solved by Aqeel Anwar (aqeelanwar.co.cc) Digitized by Zaeem (ee08.net.tc)
Solved by Aqeel Anwar (aqeelanwar.co.cc) Digitized by Zaeem (ee08.net.tc)
Solved by Aqeel Anwar (aqeelanwar.co.cc) Digitized by Zaeem (ee08.net.tc)
Solved by Aqeel Anwar (aqeelanwar.co.cc) Digitized by Zaeem (ee08.net.tc)
Solved by Aqeel Anwar (aqeelanwar.co.cc) Digitized by Zaeem (ee08.net.tc)
Solved by Aqeel Anwar (aqeelanwar.co.cc) Digitized by Zaeem (ee08.net.tc)
Solved by Aqeel Anwar (aqeelanwar.co.cc) Digitized by Zaeem (ee08.net.tc)
Solved by Aqeel Anwar (aqeelanwar.co.cc) Digitized by Zaeem (ee08.net.tc)
Solved by Aqeel Anwar (aqeelanwar.co.cc) Digitized by Zaeem (ee08.net.tc)
Solved by Aqeel Anwar (aqeelanwar.co.cc) Digitized by Zaeem (ee08.net.tc)
Solved by Zaeem. Please report if you find any mistake!
EE08.SOLUTIONS
DRILL PROBLEMS5
D5.1
(a) At P:
= 10 3 2
2 4 3 2
30 = 180 9
(b) Using formula(2):
= 10 3
.
2.8
2
2
0
= 27 10
2.8
2
2
0
= 27
2
2
|2
2.8
|0
2
= 325.72 3.25
D5.2
(a) Usingformula (2):
= 106 1.5
.
20
0
2
0
= 106
0.1 1.5
20
0
2
0
= 106
0.1 1.5
2
2
|0
20
|0
2
= 39.7
(b) Usingformula (3):
= =
106
0.1 1.5
2 × 106
= 15.81 3
(c) Same formula:
= =
106
0.15 1.5
2000
= 29.04
Solved by Zaeem. Please report if you find any mistake!
EE08.SOLUTIONS
D5.5
(a) Putting point P in given V, while evaluating trigonometric functions using radians:
= 48.848
(b) Using formula:
= = 100 cosh 5 .5 sin 5 100 sinh 5 5 cos 5
At P: E = 474.43 140.77
(c) E = 474.432
+ 140.772
= 494.87
(d) s= = ,so as = E= 4.2 1.246 2 , so s= = 4.38 2
D5.6
(a) For original line charge, with = 40
= . ,
=
2
,
=
2
(7, 1,5)
4
=
6 + ( 3)
( 6)2 + ( 3)2
, = = 1, :
= 720
6
( 6)2 + 16
= 360 ( 6)2
+ 16 4
7
7
4
= 58.50
For mirror line charge, with = 40
= . ,
=
2
,
=
2
(7, 1,5)
4
1
CHAPTER 7 DRILLS
Solved by Zaeem A. Varaich
www.ee08.net.tc
D7.1
(a) V |P (1,2,3) = 4(2)(3)
(1)2+1 = 12 V
As, ρv = − 2
V, so we first calculate 2
V :
V = −8 yzx
(x2+1)2 + 4z
x2+1 + 4y
x2+1
⇒ 2
V = 32 yzx2
(x2+1)3 − 8 yz
(x2+1)2
⇒ 2
V |P (1,2,3) = 12;
so, ρv = − 2
V = − o(12) = −106.25 pC
m3
(b) V |P (3, π
3 ,2) = −22.5 V
As, ρv = − 2
V, so we first calculate 2
V :
2
V = 20 cos (2 φ) − 20 cos (2 φ)
⇒ 2
V |P (3, π
3 ,2) = 0;
so, ρv = − 2
V = − o(0) = 0 pC
m3
(c) V |P (0.5,45o,60o) = 4 V
As, ρv = − 2
V, so we first calculate 2
V :
2
V = 4 cos(φ)
r4 − 2 cos(φ)
r4(sin(θ))2
⇒ 2
V |P (0.5,45o,60o) = 0;
so, ρv = − 2
V = − o(0) = 0 pC
m3
D7.2
Apply the formulae & concepts to find the answers!
2
D7.3
(a) The solution to Laplace’s equation 1
ρ
∂
∂ρ ρ ∂
∂ρ = 0 is:
V = A ln ρ + B
Putting the given values of V & ρ and solving the simultaneous equations, we get:
A = −73.9 & B = 101.28
so, V = −73.9 ln ρ + 101.28
Now, E = − V = 1
ρ (73.9) aρ = 1√
10
(73.9) aρ = 23.36 aφ
( ρ =
√
32 + 12)
so, |E| = 23.36 V
m
(b) The solution to Laplace’s equation 1
ρ2
∂2
V
∂φ2 = 0 is:
V = Aφ + B
Putting the given values of V & φ and solving the simultaneous equations, we get:
A = −85.9 & B = 64.9
so, V = −85.9φ + 64.9
Now, E = − V = 1
ρ (85.9) aφ = 1√
10
(85.9) aφ = 27.16 aφ
( ρ =
√
32 + 12)
so, |E| = 27.16 V
m
D7.4 & D7.5
Not included in the course!
3
D7.6
The solution to this problem depends on how you proceed in each iteration and on your initial estimate.
The dotted lines show how the initial estimate was found.
(a) 20.8 V
(b) 44.47 V
(c) 89.8 V
4
Please report to the following e-mail, if you find any mistake:
ee08.uet@gmail.com
1
CHAPTER 8 DRILLS
(Upto D8.3)
Solved by Zaeem A. Varaich
www.ee08.net.tc
D8.1
(a) Using ∆- form of equation (2), i.e.
∆H2 = I1∆L1×aR12
4πR2
12
Here, aR12 =
(4−0)ax+(2−0)ay+(0−2)az
√
42+22+22
= 0.816ax + 0.408ay − 0.408az
R2
12 = 42
+ 22
+ 22
= 24
so, ∆H2 = I1∆L1×aR12
4πR2
12
=
2πaz×(0.816ax+0.408ay−0.408az)
301.59 µ =
5.12ay−2.56ax
301.59 µ = −8.5ax + 17.0ay
nA
m
(b) As, ∆H2 = I1∆L1×aR12
4πR2
12
Here, aR12 =
(4−0)ax+(2−2)ay+(3−0)az
√
42+02+32
= 0.8ax + 0.6az
R2
12 = 42
+ 02
+ 32
= 25
so, ∆H2 = I1∆L1×aR12
4πR2
12
= 2πaz×(0.8ax+0.6az)
100π µ =
5.02ay
100π µ = 16ay
nA
m
(c) As, ∆H2 = I1∆L1×aR12
4πR2
12
Here, aR12 =
(−3−1)ax+(−1−2)ay+(2−3)az
√
42+32+12
= −0.78ax − 0.58az − 0.19az
R2
12 = 42
+ 32
+ 12
= 26
so, ∆H2 = I1∆L1×aR12
4πR2
12
=
2π(−ax+ay+2az)×(−0.78ax−0.58az−0.19az)
104π µ =
(1.96 ax−3.53 ay+2.74 az)π
104π µ
⇒ ∆H2 = 18.85 ax − 33.94 ay + 26.40 az
nA
m
2
D8.2
Using,
H2 = I
2πρ aφ
(a) For PA(
√
20, 0, 4), we have ρ =
√
20 + 0 = 4.47, so:
H2 = 15
2π(4.47) aφ = 0.533aφ = (0.533× − sin φ)ax + (0.533× cos φ)ay, where
φ = tan−1 y
x = tan−1 0√
20
= 0o
, so
H2 = 0.533ay
A
m
(b) For PB(2, −4, 4), we have ρ =
√
22 + 42 = 4.47, so:
H2 = 15
2π(4.47) aφ = 0.533aφ = (0.533× − sin φ)ax + (0.533× cos φ)ay, where
φ = tan−1 y
x = tan−1 −4
2 = −63.43o
, so
H2 = (0.533×0.89)ax + (0.533×0.44)ay = 0.474ax + 0.238ay
D8.3
(a)
For infinitely long filament;
H = I
2πρ aφ
Here,
ρ = (0.1)2 + (0.1)2 =
√
2
10
H = I
2πρ aφ = (2.5)
2π(
√
2
10 )
aφ = 2.8134aφ = (2.8134× − sin φ)ax + (2.8134× cos φ)ay
Now, φ = 270o
− θ = 270o
− tan−1 0.1
0.1 = 270o
− 45o
= 225o
,
so, H = (2.8134×0.707)ax + (2.8134× − 0.707)ay= 1.989ax − 1.989ay
A
m
3
(b)
For ρ < a,
H = Iρ
2πa2 aφ = (2.5)(0.2)
2π(0.3)2 aφ = 0.884aφ = (0.884× − sin φ)ax + (0.884× cos φ)ay
Now, φ = tan−1 y
x = tan−1 0.2
0 = 90o
,
so, H = −0.884ax
A
m
(c)
Now,
H1 = 1
2 K1 × aN = 1
2 (2.7)ax × ay = 1.35az
H2 = 1
2 K2 × aN = 1
2 (−1.4)ax × ay = −0.7az
H3 = 1
2 K3 × aN = 1
2 (−1.3)ax × −ay = 0.65az
so, H = H1 + H2 + H3 = 1.300az
A
m
4
Please report to the following e-mail, if you find any mistake:
ee08.uet@gmail.com
CHAPTER 8 DRILLS
CHAPTER 8 DRILLS
(D8.4 onwards)
Solved by Zaeem A. Varaich
www.ee08.net.tc
D8.4
(a) For path 1:
´
(3zax − 2x3
az).(dxax + dyay+dzaz) =
´ 4
2
(3zdx) = 3(4)(4 − 2) = 24 A
For path 2:´
(3zax − 2x3
az).(dxax + dyay+dzaz) =
´ 1
4
(−2x3
dz) = −2(43
)(1 − 4) = 384 A
For path 3:´
(3zax − 2x3
az).(dxax + dyay+dzaz) =
´ 2
4
(3zdx) = 3(1)(2 − 4) = −6 A
For path 4:´
(3zax − 2x3
az).(dxax + dyay+dzaz) =
´ 4
1
(−2x3
dz) = −2(23
)(4 − 1) = −48 A
So,
¸
H.dL = 24 + 384 − 6 − 48 = 354 A
(b) SN = 3 × 2 = 6 m2
, so
( × H)y =
¸
H.dL
SN
= 354
6 = 59 A
m2
(c) ( × H) =
ax ay az
∂
∂x
∂
∂y
∂
∂z
Hx Hy Hz
=
ax ay az
∂
∂x
∂
∂y
∂
∂z
3z 0 −2x3
= (0 − 0)ax−(−6x2
− 3)ay+(0 − 0)az = (6x2
+ 3)ay
At the center, x = 3, z = 2.5, so
( × H)y = [6(3)2
+ 3]=57 A
m2
1 ee08.net.tc
CHAPTER 8 DRILLS
D8.5
(a) J = × H =
ax ay az
∂
∂x
∂
∂y
∂
∂z
Hx Hy Hz
=
ax ay az
∂
∂x
∂
∂y
∂
∂z
0 x2
z −y2
x
= (−2yx − x2
)ax−(−y2
− 0)ay+(2xz − 0)az
At P: J = −16ax+9ay+16az
A
m
(b) J = × H = 1
ρ
∂Hz
∂φ −
∂Hφ
∂z aρ +
∂Hρ
∂z − ∂Hz
∂ρ aφ + 1
ρ
∂(ρHφ)
∂ρ − 1
ρ
∂Hρ
∂φ az
= 1
ρ .0 − 0 aρ + (0 − 0) aφ + 1
ρ .(2 cos 0.2φ) − 1
ρ
2
ρ (−0.2) sin 0.2φ az
At P: J =0.055az
A
m2
(c) Using equation (26):
= 1
r sin θ (0 − 0) ar + 1
r (0 − 0) aθ + 1
r
∂
∂r
r
sinθ − 0 aφ = 1
r sin θ aφ
At P: J =aφ
A
m2
D8.6
(a)
¸
H.dL :
For path 1:
´
(6xyax − 3y2
ay).(dxax + dyay+dzaz) =
´ 5
2
(6xydx) = 6(−1)(52
−22
)
2 = −63 A
For path 2:
´
(6xyax − 3y2
ay).(dxax + dyay+dzaz) =
´ 1
−1
(−3y2
dy) = −3(13
+13
)
3 = −2 A
For path 3:
´
(6xyax − 3y2
ay).(dxax + dyay+dzaz) =
´ 2
5
(6xydx) = 6(1)(22
−52
)
2 = −63 A
For path 4:
´
(6xyax − 3y2
ay).(dxax + dyay+dzaz) =
´ −1
1
(−3y2
dy) = −3(−13
−13
)
3 = 2 A
So,
¸
H.dL = −63 − 2 − 63 + 2 = −126 A
(b) Now,
´
S
( × H).dS :
( × H) =
ax ay az
∂
∂x
∂
∂y
∂
∂z
Hx Hy Hz
=
ax ay az
∂
∂x
∂
∂y
∂
∂z
6xy −3y2
0
= (0 − 0)ax − (0 − 0)ay + (0 − 6x)az = −6xaz
( × H).dS =(−6xaz)(dydzax + dxdzay + dxdyaz) = −6x dxdy,
´
( × H).dS = −6
´ ´
x dxdy = −6 x2
2
5
2
y|
1
−1 = −6(25−4)
2 (1 + 1) = −126 A
D8.7
(a) Hφ = Iρ
2πa2 = (20)(0.5m)
2π(1m)2 = 1592 A
m
(b) Bφ = µoHφ = 4π × 10−7 (20)(0.8m)
2π(1m)2 = 3.2 mT
2 ee08.net.tc
CHAPTER 8 DRILLS
(c) φ =
´
S
B.dS =
´ d
0
´ a
0
Iρ
2πa2 dρdz = IµO
2πa2 d ρ2
2
a
0
, so
φ
d = 4π × 10−7 (20)
4π = 2 µW b
m
(d) φ =
´
S
B.dS =
´ d
0
´ 0.5m
0
Iρ
2πa2 dρdz = Iµo
2π(1m)2 d ρ2
2
0.5m
0
, so
φ = 4π × 10−7 (20)d(0.5m)2
4π(1m)2 = 0.5d µW b
m
(e) φ =
´
S
B.dS =
´ d
0
´ ∞
0
Iρ
2πa2 dρdz = Iµod
2π(1m)2
ρ2
2
∞
0
, so
φ = 4π × 10−7 (20)d(∞)2
4π(1m)2 = ∞W b
m
D8.8
(a) H = I
2πρ aφ, so first we find I:
I =
´
KdN =
´ 2π
0
(2.4)(ρdφ) = 18.09 A
H = 18.09
2πρ aφ = 2.88
ρ aφ
(b) H = − Vm, so
Vm = − 2.88
(1.5) aφ = −1.92aφ
1
ρ
∂Vm
∂φ = −1.92⇒ Vm = −2.88
´ 0.6π
0
dφ = −5.43V
(c) Proceeding similar as above:
⇒ Vm = −2.88
´ 0.6π
2π
dφ = −2.88(0.6 − 2)π = 12.66V
(d) Similarly,
⇒ Vm = −2.88
´ 0.6π
π
dφ = −2.88(0.6 − 1)π = 3.62V
(e) Similarly,
⇒ Vm = −2.88
´ π
−0.6π
dφ + 5 = −14.47 + 5 = −9.47V
D8.9
We know that,
B = µoH
For solid conductor along z-axis:
H = Iρ
2πa2 aφ, so
B = µo
Iρ
2πa2 aφ
Also,
B = × A
Comparing both sides’ aφcomponents:
µo
Iρ
2πa2 = −∂Az
∂ρ ⇒ Az = −
´
µo
Iρ
2πa2 dρ + C
From given conditions, at ρ = a for Az :
3 ee08.net.tc
CHAPTER 8 DRILLS
C =
´
µo
Iρ
2πa2 dρ + µo
Iln 5
2πa2 = µo
Iρ2
4πa2
a
0
+ µo
Iln 5
2πa2 = 4.218 × 10−7
Now,
Az = −µo
Iρ2
4πa2 + (4.39 × 10−7
) = −10−7 ρ2
a2 + (4.218 × 10−7
) I
(a) At ρ = 0
A = 0.4218I azµWb
m
(b) At ρ = 0.25a
A = 0.415I azµWb
m
(c) At ρ = 0.75a
A = 0.365I azµWb
m
(d) At ρ = a
A = 0.3217I azµWb
m
D8.10
Using Eq. (66) with b = 4cm:
Az = µoI
2π ln b
ρ
For red conductor:
Azr = 2.4 ln 4cm
ρ1
µW b
m
For black conductor:
Azb = −2.4 ln 4cm
ρ2
µW b
m
Also,
A = Azr + Azb
(a) ρ1 = 4cm = ρ2, so Azr = −Azb
A = 0W b
m
(b) ρ1 = 4cm and ρ2 = 12cm , so Azb = 2.63µW b
m and Azr = 0µW b
m
4 ee08.net.tc
CHAPTER 8 DRILLS
A = 2.63µW b
m
(c) ρ1 = 4cm and ρ2 =
√
82 + 42 = 8.94cm , so Azr = 0µW b
m and Azb = 1.93µW b
m
A = 1.93µW b
m
(d) ρ1 = 2cm and ρ2 =
√
82 + 22 = 8.24cm , so Azr = 1.66µW b
m and Azb = 1.734µW b
m
A = 3.39µW b
m
5 ee08.net.tc
CHAPTER 8 DRILLS
Please report to the following e-mail, if you find any mistake:
ee08.uet@gmail.com
6 ee08.net.tc
CHAPTER 9 DRILLS
Solved by Zaeem A. Varaich
www.ee08.net.tc
D9.1
(a) F = qv × B = qvav × B = 9 × 10−5
(3.3ax − 4.5ay + 4.65az)
so, F = 654µN
(b) F = qE = 18n × 103
(−3ax + 4ay + 6az) = 140.58µN
(c)F = q(E + v × B)
= (2.97 × 10−4
ax − 4.05 × 10−4
ay + 4.185 × 10−4
az) + (−5.4 × 10−5
ax + 7.2 × 10−5
ay + 1.08 × 10−4
az)
= 2.43 × 10−4
ax − 3.3 × 10−4
ay + 5.265 × 10−4
az
so, F = 664µN
D9.2
(a) aAB = ax, so
F = −I
¸
B×dL = −(12)
¸ 2
1
(−2ax+3ay+4az)×axdx.10−3
= −12×10−3
´ 2
1
−3az+4aydx = −48ay + 36az mN
(b) aAB = 2ax+4ax+5ax
3
√
5
, so
F = −I
¸
B × dL
= −(12×10−3
)
´ 3
1
(−2ax + 3ay + 4az) × axdx +
´ 5
1
(−2ax + 3ay + 4az) × aydy +
´ 6
1
(−2ax + 3ay + 4az) × azdz
= −(12 × 10−3
)
´ 3
1
(−3az + 4ay)dx +
´ 5
1
(−2az − 4ax)dy +
´ 6
1
(2ay + 3ax)dz
= −(12 × 10−3
) [2(−3az + 4ay) + 4(−2az − 4ax) + 5(2ay + 3ax)]
= 12ax − 216ay + 168az mN
1 ee08.net.tc
D9.3
(a) V = E × l = 800 × 1.3c = 10.4 V
(b) vd = µeE = 0.13 × 800 = 104 m
s
(c) Ft = qvB = (1)(104)(0.07) = 7.28 N
C
(d) Et = F
q = 7.28 V
m
(e) VH = Et × b = 7.28 × 1.1c = 80.1 mV
D9.4
(a) d(dF2) = µo
I1I2
4πR2
12
dL2 × (dL1 × aR12) = µo
3×10−6
×3×10−6
4π(12+22+22) (−0.5ax + 0.4ay + 0.3az) × (ay ×
ax+2ay+2az
3 )
= 3.33 × 10−20
(−0.5ax + 0.4ay + 0.3az) × (−az + 2ax) = 3.33 × 10−20
(−0.4ax + 0.1ay − 0.8az)
= (−1.33ax + 0.33ay − 2.66az) × 10−20
N
(b) d(dF1) = µo
I1I2
4πR2
12
dL1 × (dL2 × aR21) = µo
3×10−6
×3×10−6
4π(12+22+22) (ay) × (−0.5ax + 0.4ay + 0.3az ×
−ax−2ay−2az
3 )
= 3.33 × 10−20
(ay) × (−0.2ax − 1.3ay + 1.4az) = 3.33 × 10−20
(0.2az + 1.4ax)
= (4.67ax + 0.66az) × 10−20
N
D9.5
(a) FA = IL × B = (0.2)(−4ax − 2ay + 2az) × (0.2ax − 0.1ay + 0.3az) = −0.08ax − 0.32ay + 0.16azN
(b) FA = −0.08ax + 0.32ay + 0.16azN
FB = −0.12ax − 0.24ay + 0azN
FC = 0.2ax − 0.08ay − 0.16azN
F = FA + FB + FC = 0 N
(c) FA = −0.08ax + 0.32ay + 0.16azN
RA = ay + az
TA = RA × FA = −0.16ax − 0.08ay + 0.08az N.m
(d) It was proved in part (b) that the sum of forces is zero, so:
TC = TA = −0.16ax − 0.08ay + 0.08az N.m
D9.6
(a) M = B−µoH
µo
= µH−µoH
µo
= 1598.87 A/m
(b) M =(No. of atoms / volume)×(Dipole Moment of each atom)= 8.3 × 1028
× 4.5 × 10−27
= 373.5 A/m
(c) M = χmH = χm
B
µ = 15 × 300µ
(1+χm)µo
= 223.8 A/m
2 ee08.net.tc
D9.7
(a) M = χmH = χm
B
µ ⇒ B = M × (1+χm)µo
χm
= 2.12 × 10−4
z2
axT
JT = × B
µo
= × 168.75z2
ax = 2 × 168.75zay
so, JT |z=0.04 = 13.5 A/m2
(b) J = × M
χm
= × 18.75z2
ax = 2 × 18.75zay
so, J |z=0.04 = 1.5 A/m2
(c) Jb = × M = × 150z2
ax = 2 × 150zay
so, Jb|z=0.04 = 12 A/m2
D9.8
(a) |HtA| = |−400ay + 500az| = 640.3 A/m
(b) |HNA| = |300ax| = 300 A/m
(c) Ht1 − Ht2 = aN12 × K⇒ Ht2 = Ht1 − (aN12 × K) = (−400ay + 500az) − (200ay + 150az)
⇒ Ht1 = 694.62 A/m
(d) HN2 = µ1
µ2
HN1 = 5
20 × 300 = 75 A/m
3 ee08.net.tc
Please report to the following e-mail, if you find any mistake or typo:
zaeemvaraich@yahoo.com
4 ee08.net.tc
CHAPTER 10 DRILLS
Solved by Zaeem A. Varaich
www.ee08.net.tc
D10.1
Given:
= 10−11 F
m
µ = 10−5 H
m
B = 2 × 10−4
cos105
t sin10−3
y ax T
(a) B = µH, so
× B
µ = ∂E
∂t and
× B = ∂Bx
∂z ay − ∂Bx
∂y az = 0 − ∂Bx
∂y az = 2 × 10−7
cos105
t cos10−3
y
⇒ E = 1
µ
´
× Bdt = −2 × 104
sin105
t cos10−3
y ax
V
m
(b) φ =
´
s
B.dS =
´
s
Bxdydz =
´ 40
0
´ 2
0
Bxdydz = 2 × 10−7
cos(105
× 10−6
) z|
2
0
−cos(10−3
y)|
40
0
10−3 = 0.318 mWb
(Remember to use radian mode in calculator while solving this problem)
(c)
¸
E.dL =
´ 2
0(−2 × 109
sin105
t cos10−3
y)dz −
´ 2
0(−2 × 109
sin105
t cos10−3
y)dz
= −2 × 104
sin(105
10−6
) z|
2
0 cos(10−3
× 0) − cos(10−3
× 40) = −3.19V
(Remember to use radian mode in calculator while solving this problem)
D10.2
Given:
d = 7 cm
B = 0.3 az T
v = 0.1 aye20y m
s
so, y =
´
vdt =
´
0.1 e20y
dt = 0.1 e20y
t + C
As, y = 0 at t = 0
y = 0.1 e20y
t aym
(a) v(t = 0) = 0.1 e20(0) m
s = 0.1 m
s
(b) y(t = 0.1) = 0.1 e20y
(0.1) m
s ⇒ y
e20y = 0.01 m
s
(Solve it using TABLE mode in calculator!)
1 ee08.net.tc
so, y(t = 0.1) ≈ 0.012 m
Alternatively, using MAPLE:
y = −0.05000000000 LambertW (−2.0 t)
y = 0.01295855509 m = 1.29 cm
(c) v(t = 0.1) = 0.1 e20(0.0129) m
s = 0.129 m
s
(d) V12 = −Bvd = −0.3 × 0.129 × 0.07 = −2.718 mV
D10.3
(a) When J = 0:
× H = Jd
× H = −∂Hx
∂y = −0.15 cos 3.12 × 3 × 108
t − 3.12y × −3.12 = 0.468 cos 3.12 × 3 × 108
t − 3.12y
|Jd| = | × H| = 0.468 A
m2
(b) When J = 0:
Jd = × H = × B
µ
× B =
∂Hy
∂x = −0.8 sin 1.257 × 10−6
× 3 × 108
t − 1.257 × 10−6
x × −1.257 × 10−6
= 1.0056 × 10−6
sin 1.257 × 10−6
× 3 × 108
t − 1.257 × 10−6
x
|Jd| = × B
µ = 0.80023 A
m2
(c) D = r oE
Jd = ∂D
∂t = r o
∂E
∂t
= − r o0.9 sin 1.257 × 10−6
× 3 × 108
t − 1.257 × 10−6
z
√
5 × −1.257 × 10−6
× 3 × 108
M = 0.015025 A
m2
(d) E = J
σ and D = oE, so
|Jd| = ∂D
∂t = o
377M
σ = 57.55 pA
m2
D10.4
(a) .B = 0 ⇒ .µH = 0 ⇒ .H = 0
⇒ .(kxax + 10yay − 25zaz) = 0
⇒ k + 10 − 25 = 0
⇒ k = 15A/m2
(b) As ρv = 0, so J = ρvv = 0:
× H = ∂D
∂t ⇒ ax = (−4k × 10−9
)ax ⇒ k = 1
−4×10−9 = −2.5 × 108
V/(m.s)
2 ee08.net.tc
D10.5
Let u = 0.64ax + 0.6ay − 0.48az
(a) BN1 = B1.u = 2T
(b) Bt1 = |B1 × u| = 3.16T
(c) BN2 = BN1 = 2T
(d) B2 = BN2 + Bt1 = 5.16T
D10.6
(a) ρs = DN1 = | o rE|t=6ns,z=0.3 = 20 o rcos(2 × 108
t − 2.58z) = 0.806 nC/m2
(b) × E = −∂B
∂t = −∂µH
∂t ⇒ H = − 1
µ
´
× E dt
= 13.68 × 106
× − cos(2×108
t−2.58z)
2×108 ax
t=6ns, z=0.3
= −62.3axmA/m
(c) Ht1 = K × aN ⇒ −62.3ax = K × ay, so K = −62.3azmA/m
(Cyclic rule of cross product)
D10.7
(a) [ρv1] = 4cos(108
π(t − R
v )), where t = 15ns, R = 450 − 1.5, v = 3 × 108
m/s
[ρv1] = 4cos(108
π(t − R
v )) = 4µ
[ρv2] = −4cos(108
π(t − R
v )), where t = 15ns, R = 450 + 1.5, v = 3 × 108
m/s
[ρv2] = −4(−1) = 4µ
[ρv] = [ρv1] + [ρv2] = 8µ
Now, considering a unit volume:
V = [ρv]
4π oR = 159.77V
(b) [ρv1] = 4cos(108
π(t − R
v )), where t = 15ns, R =
√
4502 + 1.52 = 450.0025, v = 3 × 108
m/s
[ρv1] = 4cos(108
π(t − R
v )) = −0.01047µ
[ρv2] = −4cos(108
π(t − R
v )), where t = 15ns, R =
√
4502 + 1.52 = 450.0025, v = 3 × 108
m/s
[ρv2] = −4(−1) = 0.01047µ
[ρv] = [ρv1] + [ρv2] = 0µ
Now, considering a unit volume:
V = [ρv]
4π oR = 0V
(c) [ρv1] = 4cos(108
π(t − R
v )), where t = 15ns, R =
√
316.72 + 318.22 = 449, v = 3 × 108
m/s
[ρv1] = 4cos(108
π(t − R
v )) = 3.46µ
[ρv2] = −4cos(108
π(t − R
v )), where t = 15ns, R =
√
319.72 + 318.22 = 451.06, v = 3 × 108
m/s
[ρv2] = −4(−1) = 3.58µ
[ρv] = [ρv1] + [ρv2] = 7.04µ
Now, considering a unit volume:
V = [ρv]
4π oR = 140.65V
3 ee08.net.tc
Please report to the following e-mail, if you find any mistake or typo:
zaeemvaraich@yahoo.com
4 ee08.net.tc

William hyatt-7th-edition-drill-problems-solution

  • 1.
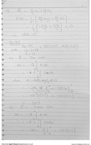
    Made by ZaeemAhmad Varaich Please inform if you find any error in any solution! EE08.SOLUTIONS DRILL PROBLEMS : CHAPTER 2 D2.1 (a) RAB = (5+6) ax + (8-4) ay + (-2-7) az = 11ax + 4ay - 9az (b) RAB = 112 + 42 + 92 = 14.76 m (c) FBA = −20 × 10−6 50 × 10−6 4𝜋 10−9 36 𝜋 (14.762) 𝑎 𝑏𝑎 = −0.0413 (−11𝑎 𝑥 − 4𝑎 𝑦 + 9𝑎 𝑧) 14.76 = 30.78𝑎 𝑥 + 11.195𝑎 𝑦 − 25.18𝑎 𝑧 mN (d) FBA = −20 × 10−6 50 × 10−6 4𝜋 ×8.854×10−12 (14.762) 𝑎 𝑏𝑎 = −0.04125 (−11𝑎 𝑥 − 4𝑎 𝑦 + 9𝑎 𝑧) 14.76 = 30.74𝑎 𝑥 + 11.18𝑎 𝑦 − 25.15𝑎 𝑧 mN D2.2 (a) 𝒓 − 𝒓 𝑨 = −25𝑎 𝑥 + 30𝑎 𝑦 − 15𝑎 𝑧, |𝒓 − 𝒓 𝑨| = 41.43 𝒓 − 𝒓 𝑩 = 10𝑎 𝑥 − 8𝑎 𝑦 − 12𝑎 𝑧, |𝒓 − 𝒓 𝑩| = 17.54 𝑬 𝑨 = −1.57 (−25𝑎 𝑥 +30𝑎 𝑦 −15𝑎 𝑧) 41.43 = 9480𝑎 𝑥 − 11300𝑎 𝑦 + 5600𝑎 𝑧 𝑬 𝑩 = 14.61 (10𝑎 𝑥 −8𝑎 𝑦 −12𝑎 𝑧) 17.54 = 83300𝑎 𝑥 − 66600𝑎 𝑦 − 99900𝑎 𝑧 𝑬 𝑻 = 𝑬 𝑨 + 𝑬 𝑩 = 92.48𝑎 𝑥 − 77.9𝑎 𝑦 − 94.3𝑎 𝑧 𝑘𝑉 𝑚 (b) 𝒓 − 𝒓 𝑨 = −10𝑎 𝑥 + 50𝑎 𝑦 + 35𝑎 𝑧, |𝒓 − 𝒓 𝑨| = 61.84 𝒓 − 𝒓 𝑩 = 25𝑎 𝑥 + 12𝑎 𝑦 + 38𝑎 𝑧, |𝒓 − 𝒓 𝑩| = 47.04 𝑬 𝑨 = −7050 (−10𝑎 𝑥 +50𝑎 𝑦 +35𝑎 𝑧) 61.84 = 1140𝑎 𝑥 − 5700𝑎 𝑦 − 3990𝑎 𝑧 𝑬 𝑩 = 20300 (25𝑎 𝑥 +12𝑎 𝑦 +38𝑎 𝑧) 47.04 = 10700𝑎 𝑥 + 5180𝑎 𝑦 + 16400𝑎 𝑧 𝑬 𝑻 = 𝑬 𝑨 + 𝑬 𝑩 = 11.84𝑎 𝑥 − 0.52𝑎 𝑦 + 12.41𝑎 𝑧 𝑘𝑉 𝑚 D2.3 (a) Sum = 2 + 0 + 2 5 + 0 + 2 17 + 0 = 2.517 (b) Sum = 1.1 11.18 + 1.01 22.62 + 1.001 46.87 + 1.0001 89.44 = 0.1755
  • 2.
    Made by ZaeemAhmad Varaich Please inform if you find any error in any solution! EE08.SOLUTIONS D2.4 (a) 𝑄 = 𝜌𝑣𝑣𝑜𝑙 𝑑𝑣 = 1 𝑥3 𝑦3 𝑧3 𝑑𝑥𝑑𝑦𝑑𝑧 + −0.1 −0.2 −0.1 −0.2 −0.1 −0.2 1 𝑥3 𝑦3 𝑧3 𝑑𝑥𝑑𝑦𝑑𝑧 0.2 0.1 0.2 0.1 0.2 0.1 = − 1 8 𝑥2 −02 −0.1 𝑦2 −02 −0.1 𝑧2 −02 −0.1 − − 1 8 𝑥2 0.1 0.2 𝑦2 0.1 0.2 𝑧2 0.1 0.2 = 1 8×(0.03) − 1 8×(0.03) = 0 (b) 𝜌3 𝑧2 sin 0.6𝜑 𝑑𝑧𝑑𝜌𝑑𝜑 4 2 0.1 0 𝜋 0 = (− cos 0.6𝜑 0.6 ) 0 𝜋 ( 𝜌4 4 ) 0 0.1 ( 𝑧3 3 ) 2 4 = 1.018 𝑚𝐶 (c) 𝑒−2𝑟 sin 𝜃 𝑑𝜑 2𝜋 0 2𝜋 0 ∞ 0 𝑑𝜃𝑑𝑟 = (− 𝑒−2𝑟 2 ) 0 ∞ (cos 𝜃) 0 2𝜋 (𝜑) 0 2𝜋 = −6.28 𝐶 D2.5 (a) E = 2 × 5×10−9 2𝜋𝜀 𝑜 (4) 𝒂 𝒛 = 44.95 𝑉 𝑚 (b) Ex = 5×10−9 2𝜋𝜀 𝑜 (5) (3𝒂 𝒚+4𝒂 𝒛) 5 = 10.788𝒂 𝒚 + 14.384𝒂 𝒛 𝑉 𝑚 , Ey = 5×10−9 2𝜋𝜀 𝑜 (4) 𝒂 𝒛 = 22.4775 𝒂 𝒛 𝑉 𝑚 E = Ex + Ey = 10.788𝒂 𝒚 + 36.86𝒂 𝒛 𝑉 𝑚 D2.6 i) Electric field due to 3 nC/m2 : E1 = 3×10−9 2𝜀 𝑜 𝒂 𝑵= 169.5 𝒂 𝒛 ii) Electric field due to 6 nC/m2 : E2 = 6×10−9 2𝜀 𝑜 𝒂 𝑵= 338.8 𝒂 𝒛 iii) Electric field due to -8 nC/m2 : E3 = −8×10−9 2𝜀 𝑜 𝒂 𝑵= −451.76 𝒂 𝒛 According to the direction of point relative to normal: (a) E = - E1 - E2 - E3 = −56.6 𝒂 𝒛 𝑉 𝑚 (a) E = E1 - E2 - E3 = 283 𝒂 𝒛 𝑉 𝑚 (a) E = E1 + E2 - E3 = 961 𝒂 𝒛 𝑉 𝑚 (a) E = E1 + E2 + E3 = 56.6 𝒂 𝒛 𝑉 𝑚
  • 3.
    Made by ZaeemAhmad Varaich Please inform if you find any error in any solution! EE08.SOLUTIONS D2.7 (a) 𝐸 𝑦 𝐸 𝑥 = 𝑑𝑦 𝑑𝑥 → 4𝑥2 𝑦2 × 𝑦 8𝑥 = 𝑑𝑦 𝑑𝑥 → 𝑥𝑑𝑥 = − 2𝑦𝑑𝑦 → 𝑥2 + 2𝑦2 = 𝑐 Put x = 1 and y = 2 to get 𝑐 = 33 giving: 𝒙 𝟐 + 𝟐𝒚 𝟐 = 𝟑𝟑 (b) 𝐸 𝑦 𝐸 𝑥 = 𝑑𝑦 𝑑𝑥 → 𝑦(5𝑥+1) 𝑥 = 𝑑𝑦 𝑑𝑥 → 1 5 × 5𝑥+1−1 5𝑥+1 𝑑𝑥 = 𝑦𝑑𝑦 → 0.4𝑥 − 0.08 ln 5𝑥 + 1 + 𝑐 = 𝑦2 Put x = 1 and y = 2 to get 𝑐 = 15.74 giving: 𝟎. 𝟒𝒙 − 𝟎. 𝟎𝟖 𝐥𝐧 𝟓𝒙 + 𝟏 + 𝟏𝟓. 𝟕𝟒 = 𝒚 𝟐
  • 4.
    Solved by Saad& Zaeem. Please report if you find any mistake! EE08.SOLUTIONS DRILL PROBLEMS 3 D3.1 (a) Evaluate the triple volume integral to find the total volume enclosed by the portion of sphere / surface and then just multiply it with the given charge to find the total change within it: 𝑟2 𝑠𝑖𝑛𝜃 𝑑𝜃𝑑𝜙𝑑𝑟 × 𝜋 2 0 𝜋 2 0 0.26 0 𝑞 = 1 8 × 𝑞 = 7.5𝜇𝐶 (b) This surface encloses the whole charge q, so answer is 60 µC (c) Only the upper half of the flux lines pass through the plane at z = 26 cm, so D = 0.5 x 60 = 30 µC D3.2 (a) 𝐸 = 𝑘𝑄 𝑟2 4𝑎 𝑥 −6𝑎 𝑦 +12𝑎 𝑧 16+36+144 = 0.72𝑎 𝑥 − 1.08𝑎 𝑦 + 2.16𝑎 𝑧 𝑀𝑉 𝑚 𝑠𝑜, 𝐷 = 𝜀 𝑜 𝐸 = 6.38𝑎 𝑥 − 9.56𝑎 𝑦 + 19.125𝑎 𝑧 𝜇𝐶 𝑚2 (b) 𝐸 = 20 2𝜋𝜀 𝑜.45 −3𝑎 𝑦 +6𝑎 𝑧 45 = −23.97𝑎 𝑦 + 47.94𝑎 𝑧 𝑀𝑉 𝑚 𝑠𝑜, 𝐷 = 𝜀 𝑜 𝐸 = −212𝑎 𝑦 + 424𝑎 𝑧 𝜇𝐶 𝑚2 (c) 𝐸 = 120 2𝜀 𝑜 𝑎 𝑧 = 60 𝜀 𝑜 𝑎 𝑧 𝜇 𝑉 𝑚 , 𝑠𝑜 𝐷 = 𝜀 𝑜 𝐸 = 60𝑎 𝑧 𝜇𝐶 𝑚2 D3.3 (a) 𝐸 = 𝐷 𝜀 𝑜 = 33.88𝑟2 𝑎 𝑟, so at P: 𝐸 = 33.88(2)2 𝑎 𝑟=135.5𝑎 𝑟
  • 5.
    Solved by Saad& Zaeem. Please report if you find any mistake! EE08.SOLUTIONS (b) 𝑄 = 𝐷. 𝑑𝑠 = 𝑎2 𝑠𝑖𝑛𝜃 𝑑𝜃𝑑𝜙𝑎 𝑟 × 0.3𝑟2 𝑎 𝑟 = 𝜋 0 2𝜋 0 24.3 −𝑐𝑜𝑠𝜃|0 𝜋2𝜋 0 𝑑𝜙 = 48.6 𝑑𝜙 = 305 2𝜋 0 . 208 𝑛𝐶 (c) On same steps: 𝑄 = 76.8 −𝑐𝑜𝑠𝜃|0 𝜋 𝑑𝜙 = 964.608 μC 2𝜋 0 D3.4 (a) 𝑄 = 𝑄1 + 𝑄2 = 0.243 𝜇𝐶 (b) 𝑄 = 𝑙𝑒𝑛𝑔𝑡𝑕 × 𝜌 𝐿 = 31.4 𝜇𝐶 (c) Area = 𝑙𝑒𝑛𝑔𝑡𝑕 𝑜𝑓 𝑙𝑖𝑛𝑒 (𝑕𝑦𝑝𝑜𝑡𝑒𝑛𝑢𝑠𝑒) × 𝑤𝑖𝑑𝑡𝑕 𝑎𝑐𝑟𝑜𝑠𝑠 𝑧 = 10.53 × 10 So, 𝑄 = 𝑎𝑟𝑒𝑎 × 𝜌 𝐴 = 10.53 𝜇𝐶 D3.5 (a) 𝐷 = 0.25 4𝜋(0.005)2 = 795.77 𝜇𝐶 (b) 𝑄2 = 4𝜋 0.01 2 × 𝜌𝑠2 = 2.51 𝜇𝐶, 𝑠𝑜, 𝐷 = 0.25+2.51 4𝜋(0.015)2 = 977 𝜇𝐶 (c) 𝑄3 = 4𝜋 0.018 2 × 𝜌𝑠3 = −2.44 𝜇𝐶, 𝑠𝑜, 𝐷 = 0.25+2.51−2.44 4𝜋(0.025)2 = 40.74 𝜇𝐶 (d) 𝐷 = 0.25+2.51−2.44+4𝜋 0.03 2×𝜌 𝑠 4𝜋(0.035)2 = 0 , so 𝜌𝑠4 = -28.29 𝜇𝐶 D3.6 (a) 𝜓 = 𝐷. 𝑑𝑠 = 16𝑥2 𝑦𝑧3 𝑑𝑥𝑑𝑦 = 2 0 3 1 16𝑥2 𝑦. 8𝑑𝑥𝑑𝑦 = 1365 𝑝𝐶 2 0 3 1 10 10 10 3 𝑦 = 3𝑥 𝜌𝑠2 𝜌𝑠3
  • 6.
    Solved by Saad& Zaeem. Please report if you find any mistake! EE08.SOLUTIONS (b) 𝐸 = 𝐷 𝜀 𝑜 𝑎𝑛𝑑 𝑒𝑣𝑎𝑙𝑢𝑎𝑡𝑒 𝑖𝑡 𝑎𝑡 𝑃 (c) 𝐸𝑣𝑎𝑙𝑢𝑎𝑡𝑒 𝑡𝑕𝑒 𝑓𝑜𝑟𝑚𝑢𝑙𝑎 8 𝑎𝑡 𝑃 𝑎𝑛𝑑 ∆𝑉 = 10−12 𝑚3 D3.7 𝐸𝑣𝑎𝑙𝑢𝑎𝑡𝑒 𝑡𝑕𝑒 𝑐𝑜𝑟𝑟𝑒𝑠𝑝𝑜𝑛𝑑𝑖𝑛𝑔 𝑓𝑜𝑟𝑚𝑢𝑙𝑎𝑒 𝑓𝑜𝑟 div 𝐃 𝑖. 𝑒. 15, 16 & 17 𝑎𝑡 𝑡𝑕𝑒 𝑔𝑖𝑣𝑒𝑛 𝑝𝑜𝑖𝑛𝑡𝑠 𝑃 D3.7 𝑇𝑎𝑘𝑒 div 𝐃 𝑎𝑠 𝑠𝑡𝑎𝑡𝑒𝑑 𝑏𝑦 𝑀𝑎𝑥𝑤𝑒𝑙𝑙′ 𝑠1𝑠𝑡 𝑒𝑞𝑢𝑎𝑡𝑖𝑜𝑛 𝑡𝑜 𝑔𝑒𝑡 𝑡𝑕𝑒 𝑒𝑥𝑝𝑟𝑒𝑠𝑠𝑖𝑜𝑛𝑠 𝑓𝑜𝑟 𝜌 𝑣, 𝑤𝑖𝑡𝑕 𝑝𝑟𝑜𝑝𝑒𝑟 𝑡𝑟𝑖𝑔𝑛𝑜𝑚𝑒𝑡𝑟𝑖𝑐 𝑚𝑎𝑛𝑖𝑝𝑢𝑙𝑎𝑡𝑖𝑜𝑛 D3.8 R.H.S: ∇. D = 12𝑠𝑖𝑛 𝜑 2 − 0.75𝑠𝑖𝑛 𝜑 2 = 11.25 𝑠𝑖𝑛 𝜑 2 11.25 𝑠𝑖𝑛 𝜑 2 𝜌𝑑𝑧𝑑𝜙𝑑𝜌 = 11.25 × 20 = 225 5 0 𝜋 0 2 0 L.H.S: 𝐷. 𝑑𝑠 = (𝑫) 𝜌=2 𝜌𝑑𝑧𝑑𝜑𝑎 𝜌 5 0 𝜋 0 + (𝑫) 𝜑=0 𝑑𝑧𝑑𝜌𝑎 𝜑 5 0 2 0 + (𝑫) 𝜑=𝜋 𝑑𝑧𝑑𝜌(−𝑎 𝜑 ) 5 0 2 0 Now, (𝑫) 𝜌=2 = 12𝑠𝑖𝑛 𝜑 2 𝑎 𝜌
  • 7.
    Solved by Saad& Zaeem. Please report if you find any mistake! EE08.SOLUTIONS 𝑫 𝜑=𝜋 𝑑𝑧𝑑𝜌𝑎 𝜑 5 0 2 0 = 0 𝑠𝑜, 𝐷. 𝑑𝑠 = 24 𝑠𝑖𝑛 𝜑 2 𝑑𝑧𝑑𝜑 + (𝑫) 𝜑=0 𝑑𝑧𝑑𝜌𝑎 𝜑 5 0 2 0 5 0 𝜋 0 = 24 −2𝑐𝑜𝑠 𝜑 2 |0 𝜋 × 𝑧 |0 5 − 1.5 𝜌2 2 |0 2 × 𝑧 |0 5 = −48 0 − 1 5 − 15 = 225
  • 8.
    Solved by AqeelAnwar (aqeelanwar.co.cc) Digitized by Zaeem (ee08.net.tc)
  • 9.
    Solved by AqeelAnwar (aqeelanwar.co.cc) Digitized by Zaeem (ee08.net.tc)
  • 10.
    Solved by AqeelAnwar (aqeelanwar.co.cc) Digitized by Zaeem (ee08.net.tc)
  • 11.
    Solved by AqeelAnwar (aqeelanwar.co.cc) Digitized by Zaeem (ee08.net.tc)
  • 12.
    Solved by AqeelAnwar (aqeelanwar.co.cc) Digitized by Zaeem (ee08.net.tc)
  • 13.
    Solved by AqeelAnwar (aqeelanwar.co.cc) Digitized by Zaeem (ee08.net.tc)
  • 14.
    Solved by AqeelAnwar (aqeelanwar.co.cc) Digitized by Zaeem (ee08.net.tc)
  • 15.
    Solved by AqeelAnwar (aqeelanwar.co.cc) Digitized by Zaeem (ee08.net.tc)
  • 16.
    Solved by AqeelAnwar (aqeelanwar.co.cc) Digitized by Zaeem (ee08.net.tc)
  • 17.
    Solved by AqeelAnwar (aqeelanwar.co.cc) Digitized by Zaeem (ee08.net.tc)
  • 18.
    Solved by AqeelAnwar (aqeelanwar.co.cc) Digitized by Zaeem (ee08.net.tc)
  • 19.
    Solved by AqeelAnwar (aqeelanwar.co.cc) Digitized by Zaeem (ee08.net.tc)
  • 20.
    Solved by Zaeem.Please report if you find any mistake! EE08.SOLUTIONS DRILL PROBLEMS5 D5.1 (a) At P: = 10 3 2 2 4 3 2 30 = 180 9 (b) Using formula(2): = 10 3 . 2.8 2 2 0 = 27 10 2.8 2 2 0 = 27 2 2 |2 2.8 |0 2 = 325.72 3.25 D5.2 (a) Usingformula (2): = 106 1.5 . 20 0 2 0 = 106 0.1 1.5 20 0 2 0 = 106 0.1 1.5 2 2 |0 20 |0 2 = 39.7 (b) Usingformula (3): = = 106 0.1 1.5 2 × 106 = 15.81 3 (c) Same formula: = = 106 0.15 1.5 2000 = 29.04
  • 22.
    Solved by Zaeem.Please report if you find any mistake! EE08.SOLUTIONS D5.5 (a) Putting point P in given V, while evaluating trigonometric functions using radians: = 48.848 (b) Using formula: = = 100 cosh 5 .5 sin 5 100 sinh 5 5 cos 5 At P: E = 474.43 140.77 (c) E = 474.432 + 140.772 = 494.87 (d) s= = ,so as = E= 4.2 1.246 2 , so s= = 4.38 2 D5.6 (a) For original line charge, with = 40 = . , = 2 , = 2 (7, 1,5) 4 = 6 + ( 3) ( 6)2 + ( 3)2 , = = 1, : = 720 6 ( 6)2 + 16 = 360 ( 6)2 + 16 4 7 7 4 = 58.50 For mirror line charge, with = 40 = . , = 2 , = 2 (7, 1,5) 4
  • 24.
    1 CHAPTER 7 DRILLS Solvedby Zaeem A. Varaich www.ee08.net.tc D7.1 (a) V |P (1,2,3) = 4(2)(3) (1)2+1 = 12 V As, ρv = − 2 V, so we first calculate 2 V : V = −8 yzx (x2+1)2 + 4z x2+1 + 4y x2+1 ⇒ 2 V = 32 yzx2 (x2+1)3 − 8 yz (x2+1)2 ⇒ 2 V |P (1,2,3) = 12; so, ρv = − 2 V = − o(12) = −106.25 pC m3 (b) V |P (3, π 3 ,2) = −22.5 V As, ρv = − 2 V, so we first calculate 2 V : 2 V = 20 cos (2 φ) − 20 cos (2 φ) ⇒ 2 V |P (3, π 3 ,2) = 0; so, ρv = − 2 V = − o(0) = 0 pC m3 (c) V |P (0.5,45o,60o) = 4 V As, ρv = − 2 V, so we first calculate 2 V : 2 V = 4 cos(φ) r4 − 2 cos(φ) r4(sin(θ))2 ⇒ 2 V |P (0.5,45o,60o) = 0; so, ρv = − 2 V = − o(0) = 0 pC m3 D7.2 Apply the formulae & concepts to find the answers!
  • 25.
    2 D7.3 (a) The solutionto Laplace’s equation 1 ρ ∂ ∂ρ ρ ∂ ∂ρ = 0 is: V = A ln ρ + B Putting the given values of V & ρ and solving the simultaneous equations, we get: A = −73.9 & B = 101.28 so, V = −73.9 ln ρ + 101.28 Now, E = − V = 1 ρ (73.9) aρ = 1√ 10 (73.9) aρ = 23.36 aφ ( ρ = √ 32 + 12) so, |E| = 23.36 V m (b) The solution to Laplace’s equation 1 ρ2 ∂2 V ∂φ2 = 0 is: V = Aφ + B Putting the given values of V & φ and solving the simultaneous equations, we get: A = −85.9 & B = 64.9 so, V = −85.9φ + 64.9 Now, E = − V = 1 ρ (85.9) aφ = 1√ 10 (85.9) aφ = 27.16 aφ ( ρ = √ 32 + 12) so, |E| = 27.16 V m D7.4 & D7.5 Not included in the course!
  • 26.
    3 D7.6 The solution tothis problem depends on how you proceed in each iteration and on your initial estimate. The dotted lines show how the initial estimate was found. (a) 20.8 V (b) 44.47 V (c) 89.8 V
  • 27.
    4 Please report tothe following e-mail, if you find any mistake: ee08.uet@gmail.com
  • 28.
    1 CHAPTER 8 DRILLS (UptoD8.3) Solved by Zaeem A. Varaich www.ee08.net.tc D8.1 (a) Using ∆- form of equation (2), i.e. ∆H2 = I1∆L1×aR12 4πR2 12 Here, aR12 = (4−0)ax+(2−0)ay+(0−2)az √ 42+22+22 = 0.816ax + 0.408ay − 0.408az R2 12 = 42 + 22 + 22 = 24 so, ∆H2 = I1∆L1×aR12 4πR2 12 = 2πaz×(0.816ax+0.408ay−0.408az) 301.59 µ = 5.12ay−2.56ax 301.59 µ = −8.5ax + 17.0ay nA m (b) As, ∆H2 = I1∆L1×aR12 4πR2 12 Here, aR12 = (4−0)ax+(2−2)ay+(3−0)az √ 42+02+32 = 0.8ax + 0.6az R2 12 = 42 + 02 + 32 = 25 so, ∆H2 = I1∆L1×aR12 4πR2 12 = 2πaz×(0.8ax+0.6az) 100π µ = 5.02ay 100π µ = 16ay nA m (c) As, ∆H2 = I1∆L1×aR12 4πR2 12 Here, aR12 = (−3−1)ax+(−1−2)ay+(2−3)az √ 42+32+12 = −0.78ax − 0.58az − 0.19az R2 12 = 42 + 32 + 12 = 26 so, ∆H2 = I1∆L1×aR12 4πR2 12 = 2π(−ax+ay+2az)×(−0.78ax−0.58az−0.19az) 104π µ = (1.96 ax−3.53 ay+2.74 az)π 104π µ ⇒ ∆H2 = 18.85 ax − 33.94 ay + 26.40 az nA m
  • 29.
    2 D8.2 Using, H2 = I 2πρaφ (a) For PA( √ 20, 0, 4), we have ρ = √ 20 + 0 = 4.47, so: H2 = 15 2π(4.47) aφ = 0.533aφ = (0.533× − sin φ)ax + (0.533× cos φ)ay, where φ = tan−1 y x = tan−1 0√ 20 = 0o , so H2 = 0.533ay A m (b) For PB(2, −4, 4), we have ρ = √ 22 + 42 = 4.47, so: H2 = 15 2π(4.47) aφ = 0.533aφ = (0.533× − sin φ)ax + (0.533× cos φ)ay, where φ = tan−1 y x = tan−1 −4 2 = −63.43o , so H2 = (0.533×0.89)ax + (0.533×0.44)ay = 0.474ax + 0.238ay D8.3 (a) For infinitely long filament; H = I 2πρ aφ Here, ρ = (0.1)2 + (0.1)2 = √ 2 10 H = I 2πρ aφ = (2.5) 2π( √ 2 10 ) aφ = 2.8134aφ = (2.8134× − sin φ)ax + (2.8134× cos φ)ay Now, φ = 270o − θ = 270o − tan−1 0.1 0.1 = 270o − 45o = 225o , so, H = (2.8134×0.707)ax + (2.8134× − 0.707)ay= 1.989ax − 1.989ay A m
  • 30.
    3 (b) For ρ <a, H = Iρ 2πa2 aφ = (2.5)(0.2) 2π(0.3)2 aφ = 0.884aφ = (0.884× − sin φ)ax + (0.884× cos φ)ay Now, φ = tan−1 y x = tan−1 0.2 0 = 90o , so, H = −0.884ax A m (c) Now, H1 = 1 2 K1 × aN = 1 2 (2.7)ax × ay = 1.35az H2 = 1 2 K2 × aN = 1 2 (−1.4)ax × ay = −0.7az H3 = 1 2 K3 × aN = 1 2 (−1.3)ax × −ay = 0.65az so, H = H1 + H2 + H3 = 1.300az A m
  • 31.
    4 Please report tothe following e-mail, if you find any mistake: ee08.uet@gmail.com
  • 32.
    CHAPTER 8 DRILLS CHAPTER8 DRILLS (D8.4 onwards) Solved by Zaeem A. Varaich www.ee08.net.tc D8.4 (a) For path 1: ´ (3zax − 2x3 az).(dxax + dyay+dzaz) = ´ 4 2 (3zdx) = 3(4)(4 − 2) = 24 A For path 2:´ (3zax − 2x3 az).(dxax + dyay+dzaz) = ´ 1 4 (−2x3 dz) = −2(43 )(1 − 4) = 384 A For path 3:´ (3zax − 2x3 az).(dxax + dyay+dzaz) = ´ 2 4 (3zdx) = 3(1)(2 − 4) = −6 A For path 4:´ (3zax − 2x3 az).(dxax + dyay+dzaz) = ´ 4 1 (−2x3 dz) = −2(23 )(4 − 1) = −48 A So, ¸ H.dL = 24 + 384 − 6 − 48 = 354 A (b) SN = 3 × 2 = 6 m2 , so ( × H)y = ¸ H.dL SN = 354 6 = 59 A m2 (c) ( × H) = ax ay az ∂ ∂x ∂ ∂y ∂ ∂z Hx Hy Hz = ax ay az ∂ ∂x ∂ ∂y ∂ ∂z 3z 0 −2x3 = (0 − 0)ax−(−6x2 − 3)ay+(0 − 0)az = (6x2 + 3)ay At the center, x = 3, z = 2.5, so ( × H)y = [6(3)2 + 3]=57 A m2 1 ee08.net.tc
  • 33.
    CHAPTER 8 DRILLS D8.5 (a)J = × H = ax ay az ∂ ∂x ∂ ∂y ∂ ∂z Hx Hy Hz = ax ay az ∂ ∂x ∂ ∂y ∂ ∂z 0 x2 z −y2 x = (−2yx − x2 )ax−(−y2 − 0)ay+(2xz − 0)az At P: J = −16ax+9ay+16az A m (b) J = × H = 1 ρ ∂Hz ∂φ − ∂Hφ ∂z aρ + ∂Hρ ∂z − ∂Hz ∂ρ aφ + 1 ρ ∂(ρHφ) ∂ρ − 1 ρ ∂Hρ ∂φ az = 1 ρ .0 − 0 aρ + (0 − 0) aφ + 1 ρ .(2 cos 0.2φ) − 1 ρ 2 ρ (−0.2) sin 0.2φ az At P: J =0.055az A m2 (c) Using equation (26): = 1 r sin θ (0 − 0) ar + 1 r (0 − 0) aθ + 1 r ∂ ∂r r sinθ − 0 aφ = 1 r sin θ aφ At P: J =aφ A m2 D8.6 (a) ¸ H.dL : For path 1: ´ (6xyax − 3y2 ay).(dxax + dyay+dzaz) = ´ 5 2 (6xydx) = 6(−1)(52 −22 ) 2 = −63 A For path 2: ´ (6xyax − 3y2 ay).(dxax + dyay+dzaz) = ´ 1 −1 (−3y2 dy) = −3(13 +13 ) 3 = −2 A For path 3: ´ (6xyax − 3y2 ay).(dxax + dyay+dzaz) = ´ 2 5 (6xydx) = 6(1)(22 −52 ) 2 = −63 A For path 4: ´ (6xyax − 3y2 ay).(dxax + dyay+dzaz) = ´ −1 1 (−3y2 dy) = −3(−13 −13 ) 3 = 2 A So, ¸ H.dL = −63 − 2 − 63 + 2 = −126 A (b) Now, ´ S ( × H).dS : ( × H) = ax ay az ∂ ∂x ∂ ∂y ∂ ∂z Hx Hy Hz = ax ay az ∂ ∂x ∂ ∂y ∂ ∂z 6xy −3y2 0 = (0 − 0)ax − (0 − 0)ay + (0 − 6x)az = −6xaz ( × H).dS =(−6xaz)(dydzax + dxdzay + dxdyaz) = −6x dxdy, ´ ( × H).dS = −6 ´ ´ x dxdy = −6 x2 2 5 2 y| 1 −1 = −6(25−4) 2 (1 + 1) = −126 A D8.7 (a) Hφ = Iρ 2πa2 = (20)(0.5m) 2π(1m)2 = 1592 A m (b) Bφ = µoHφ = 4π × 10−7 (20)(0.8m) 2π(1m)2 = 3.2 mT 2 ee08.net.tc
  • 34.
    CHAPTER 8 DRILLS (c)φ = ´ S B.dS = ´ d 0 ´ a 0 Iρ 2πa2 dρdz = IµO 2πa2 d ρ2 2 a 0 , so φ d = 4π × 10−7 (20) 4π = 2 µW b m (d) φ = ´ S B.dS = ´ d 0 ´ 0.5m 0 Iρ 2πa2 dρdz = Iµo 2π(1m)2 d ρ2 2 0.5m 0 , so φ = 4π × 10−7 (20)d(0.5m)2 4π(1m)2 = 0.5d µW b m (e) φ = ´ S B.dS = ´ d 0 ´ ∞ 0 Iρ 2πa2 dρdz = Iµod 2π(1m)2 ρ2 2 ∞ 0 , so φ = 4π × 10−7 (20)d(∞)2 4π(1m)2 = ∞W b m D8.8 (a) H = I 2πρ aφ, so first we find I: I = ´ KdN = ´ 2π 0 (2.4)(ρdφ) = 18.09 A H = 18.09 2πρ aφ = 2.88 ρ aφ (b) H = − Vm, so Vm = − 2.88 (1.5) aφ = −1.92aφ 1 ρ ∂Vm ∂φ = −1.92⇒ Vm = −2.88 ´ 0.6π 0 dφ = −5.43V (c) Proceeding similar as above: ⇒ Vm = −2.88 ´ 0.6π 2π dφ = −2.88(0.6 − 2)π = 12.66V (d) Similarly, ⇒ Vm = −2.88 ´ 0.6π π dφ = −2.88(0.6 − 1)π = 3.62V (e) Similarly, ⇒ Vm = −2.88 ´ π −0.6π dφ + 5 = −14.47 + 5 = −9.47V D8.9 We know that, B = µoH For solid conductor along z-axis: H = Iρ 2πa2 aφ, so B = µo Iρ 2πa2 aφ Also, B = × A Comparing both sides’ aφcomponents: µo Iρ 2πa2 = −∂Az ∂ρ ⇒ Az = − ´ µo Iρ 2πa2 dρ + C From given conditions, at ρ = a for Az : 3 ee08.net.tc
  • 35.
    CHAPTER 8 DRILLS C= ´ µo Iρ 2πa2 dρ + µo Iln 5 2πa2 = µo Iρ2 4πa2 a 0 + µo Iln 5 2πa2 = 4.218 × 10−7 Now, Az = −µo Iρ2 4πa2 + (4.39 × 10−7 ) = −10−7 ρ2 a2 + (4.218 × 10−7 ) I (a) At ρ = 0 A = 0.4218I azµWb m (b) At ρ = 0.25a A = 0.415I azµWb m (c) At ρ = 0.75a A = 0.365I azµWb m (d) At ρ = a A = 0.3217I azµWb m D8.10 Using Eq. (66) with b = 4cm: Az = µoI 2π ln b ρ For red conductor: Azr = 2.4 ln 4cm ρ1 µW b m For black conductor: Azb = −2.4 ln 4cm ρ2 µW b m Also, A = Azr + Azb (a) ρ1 = 4cm = ρ2, so Azr = −Azb A = 0W b m (b) ρ1 = 4cm and ρ2 = 12cm , so Azb = 2.63µW b m and Azr = 0µW b m 4 ee08.net.tc
  • 36.
    CHAPTER 8 DRILLS A= 2.63µW b m (c) ρ1 = 4cm and ρ2 = √ 82 + 42 = 8.94cm , so Azr = 0µW b m and Azb = 1.93µW b m A = 1.93µW b m (d) ρ1 = 2cm and ρ2 = √ 82 + 22 = 8.24cm , so Azr = 1.66µW b m and Azb = 1.734µW b m A = 3.39µW b m 5 ee08.net.tc
  • 37.
    CHAPTER 8 DRILLS Pleasereport to the following e-mail, if you find any mistake: ee08.uet@gmail.com 6 ee08.net.tc
  • 38.
    CHAPTER 9 DRILLS Solvedby Zaeem A. Varaich www.ee08.net.tc D9.1 (a) F = qv × B = qvav × B = 9 × 10−5 (3.3ax − 4.5ay + 4.65az) so, F = 654µN (b) F = qE = 18n × 103 (−3ax + 4ay + 6az) = 140.58µN (c)F = q(E + v × B) = (2.97 × 10−4 ax − 4.05 × 10−4 ay + 4.185 × 10−4 az) + (−5.4 × 10−5 ax + 7.2 × 10−5 ay + 1.08 × 10−4 az) = 2.43 × 10−4 ax − 3.3 × 10−4 ay + 5.265 × 10−4 az so, F = 664µN D9.2 (a) aAB = ax, so F = −I ¸ B×dL = −(12) ¸ 2 1 (−2ax+3ay+4az)×axdx.10−3 = −12×10−3 ´ 2 1 −3az+4aydx = −48ay + 36az mN (b) aAB = 2ax+4ax+5ax 3 √ 5 , so F = −I ¸ B × dL = −(12×10−3 ) ´ 3 1 (−2ax + 3ay + 4az) × axdx + ´ 5 1 (−2ax + 3ay + 4az) × aydy + ´ 6 1 (−2ax + 3ay + 4az) × azdz = −(12 × 10−3 ) ´ 3 1 (−3az + 4ay)dx + ´ 5 1 (−2az − 4ax)dy + ´ 6 1 (2ay + 3ax)dz = −(12 × 10−3 ) [2(−3az + 4ay) + 4(−2az − 4ax) + 5(2ay + 3ax)] = 12ax − 216ay + 168az mN 1 ee08.net.tc
  • 39.
    D9.3 (a) V =E × l = 800 × 1.3c = 10.4 V (b) vd = µeE = 0.13 × 800 = 104 m s (c) Ft = qvB = (1)(104)(0.07) = 7.28 N C (d) Et = F q = 7.28 V m (e) VH = Et × b = 7.28 × 1.1c = 80.1 mV D9.4 (a) d(dF2) = µo I1I2 4πR2 12 dL2 × (dL1 × aR12) = µo 3×10−6 ×3×10−6 4π(12+22+22) (−0.5ax + 0.4ay + 0.3az) × (ay × ax+2ay+2az 3 ) = 3.33 × 10−20 (−0.5ax + 0.4ay + 0.3az) × (−az + 2ax) = 3.33 × 10−20 (−0.4ax + 0.1ay − 0.8az) = (−1.33ax + 0.33ay − 2.66az) × 10−20 N (b) d(dF1) = µo I1I2 4πR2 12 dL1 × (dL2 × aR21) = µo 3×10−6 ×3×10−6 4π(12+22+22) (ay) × (−0.5ax + 0.4ay + 0.3az × −ax−2ay−2az 3 ) = 3.33 × 10−20 (ay) × (−0.2ax − 1.3ay + 1.4az) = 3.33 × 10−20 (0.2az + 1.4ax) = (4.67ax + 0.66az) × 10−20 N D9.5 (a) FA = IL × B = (0.2)(−4ax − 2ay + 2az) × (0.2ax − 0.1ay + 0.3az) = −0.08ax − 0.32ay + 0.16azN (b) FA = −0.08ax + 0.32ay + 0.16azN FB = −0.12ax − 0.24ay + 0azN FC = 0.2ax − 0.08ay − 0.16azN F = FA + FB + FC = 0 N (c) FA = −0.08ax + 0.32ay + 0.16azN RA = ay + az TA = RA × FA = −0.16ax − 0.08ay + 0.08az N.m (d) It was proved in part (b) that the sum of forces is zero, so: TC = TA = −0.16ax − 0.08ay + 0.08az N.m D9.6 (a) M = B−µoH µo = µH−µoH µo = 1598.87 A/m (b) M =(No. of atoms / volume)×(Dipole Moment of each atom)= 8.3 × 1028 × 4.5 × 10−27 = 373.5 A/m (c) M = χmH = χm B µ = 15 × 300µ (1+χm)µo = 223.8 A/m 2 ee08.net.tc
  • 40.
    D9.7 (a) M =χmH = χm B µ ⇒ B = M × (1+χm)µo χm = 2.12 × 10−4 z2 axT JT = × B µo = × 168.75z2 ax = 2 × 168.75zay so, JT |z=0.04 = 13.5 A/m2 (b) J = × M χm = × 18.75z2 ax = 2 × 18.75zay so, J |z=0.04 = 1.5 A/m2 (c) Jb = × M = × 150z2 ax = 2 × 150zay so, Jb|z=0.04 = 12 A/m2 D9.8 (a) |HtA| = |−400ay + 500az| = 640.3 A/m (b) |HNA| = |300ax| = 300 A/m (c) Ht1 − Ht2 = aN12 × K⇒ Ht2 = Ht1 − (aN12 × K) = (−400ay + 500az) − (200ay + 150az) ⇒ Ht1 = 694.62 A/m (d) HN2 = µ1 µ2 HN1 = 5 20 × 300 = 75 A/m 3 ee08.net.tc
  • 41.
    Please report tothe following e-mail, if you find any mistake or typo: zaeemvaraich@yahoo.com 4 ee08.net.tc
  • 42.
    CHAPTER 10 DRILLS Solvedby Zaeem A. Varaich www.ee08.net.tc D10.1 Given: = 10−11 F m µ = 10−5 H m B = 2 × 10−4 cos105 t sin10−3 y ax T (a) B = µH, so × B µ = ∂E ∂t and × B = ∂Bx ∂z ay − ∂Bx ∂y az = 0 − ∂Bx ∂y az = 2 × 10−7 cos105 t cos10−3 y ⇒ E = 1 µ ´ × Bdt = −2 × 104 sin105 t cos10−3 y ax V m (b) φ = ´ s B.dS = ´ s Bxdydz = ´ 40 0 ´ 2 0 Bxdydz = 2 × 10−7 cos(105 × 10−6 ) z| 2 0 −cos(10−3 y)| 40 0 10−3 = 0.318 mWb (Remember to use radian mode in calculator while solving this problem) (c) ¸ E.dL = ´ 2 0(−2 × 109 sin105 t cos10−3 y)dz − ´ 2 0(−2 × 109 sin105 t cos10−3 y)dz = −2 × 104 sin(105 10−6 ) z| 2 0 cos(10−3 × 0) − cos(10−3 × 40) = −3.19V (Remember to use radian mode in calculator while solving this problem) D10.2 Given: d = 7 cm B = 0.3 az T v = 0.1 aye20y m s so, y = ´ vdt = ´ 0.1 e20y dt = 0.1 e20y t + C As, y = 0 at t = 0 y = 0.1 e20y t aym (a) v(t = 0) = 0.1 e20(0) m s = 0.1 m s (b) y(t = 0.1) = 0.1 e20y (0.1) m s ⇒ y e20y = 0.01 m s (Solve it using TABLE mode in calculator!) 1 ee08.net.tc
  • 43.
    so, y(t =0.1) ≈ 0.012 m Alternatively, using MAPLE: y = −0.05000000000 LambertW (−2.0 t) y = 0.01295855509 m = 1.29 cm (c) v(t = 0.1) = 0.1 e20(0.0129) m s = 0.129 m s (d) V12 = −Bvd = −0.3 × 0.129 × 0.07 = −2.718 mV D10.3 (a) When J = 0: × H = Jd × H = −∂Hx ∂y = −0.15 cos 3.12 × 3 × 108 t − 3.12y × −3.12 = 0.468 cos 3.12 × 3 × 108 t − 3.12y |Jd| = | × H| = 0.468 A m2 (b) When J = 0: Jd = × H = × B µ × B = ∂Hy ∂x = −0.8 sin 1.257 × 10−6 × 3 × 108 t − 1.257 × 10−6 x × −1.257 × 10−6 = 1.0056 × 10−6 sin 1.257 × 10−6 × 3 × 108 t − 1.257 × 10−6 x |Jd| = × B µ = 0.80023 A m2 (c) D = r oE Jd = ∂D ∂t = r o ∂E ∂t = − r o0.9 sin 1.257 × 10−6 × 3 × 108 t − 1.257 × 10−6 z √ 5 × −1.257 × 10−6 × 3 × 108 M = 0.015025 A m2 (d) E = J σ and D = oE, so |Jd| = ∂D ∂t = o 377M σ = 57.55 pA m2 D10.4 (a) .B = 0 ⇒ .µH = 0 ⇒ .H = 0 ⇒ .(kxax + 10yay − 25zaz) = 0 ⇒ k + 10 − 25 = 0 ⇒ k = 15A/m2 (b) As ρv = 0, so J = ρvv = 0: × H = ∂D ∂t ⇒ ax = (−4k × 10−9 )ax ⇒ k = 1 −4×10−9 = −2.5 × 108 V/(m.s) 2 ee08.net.tc
  • 44.
    D10.5 Let u =0.64ax + 0.6ay − 0.48az (a) BN1 = B1.u = 2T (b) Bt1 = |B1 × u| = 3.16T (c) BN2 = BN1 = 2T (d) B2 = BN2 + Bt1 = 5.16T D10.6 (a) ρs = DN1 = | o rE|t=6ns,z=0.3 = 20 o rcos(2 × 108 t − 2.58z) = 0.806 nC/m2 (b) × E = −∂B ∂t = −∂µH ∂t ⇒ H = − 1 µ ´ × E dt = 13.68 × 106 × − cos(2×108 t−2.58z) 2×108 ax t=6ns, z=0.3 = −62.3axmA/m (c) Ht1 = K × aN ⇒ −62.3ax = K × ay, so K = −62.3azmA/m (Cyclic rule of cross product) D10.7 (a) [ρv1] = 4cos(108 π(t − R v )), where t = 15ns, R = 450 − 1.5, v = 3 × 108 m/s [ρv1] = 4cos(108 π(t − R v )) = 4µ [ρv2] = −4cos(108 π(t − R v )), where t = 15ns, R = 450 + 1.5, v = 3 × 108 m/s [ρv2] = −4(−1) = 4µ [ρv] = [ρv1] + [ρv2] = 8µ Now, considering a unit volume: V = [ρv] 4π oR = 159.77V (b) [ρv1] = 4cos(108 π(t − R v )), where t = 15ns, R = √ 4502 + 1.52 = 450.0025, v = 3 × 108 m/s [ρv1] = 4cos(108 π(t − R v )) = −0.01047µ [ρv2] = −4cos(108 π(t − R v )), where t = 15ns, R = √ 4502 + 1.52 = 450.0025, v = 3 × 108 m/s [ρv2] = −4(−1) = 0.01047µ [ρv] = [ρv1] + [ρv2] = 0µ Now, considering a unit volume: V = [ρv] 4π oR = 0V (c) [ρv1] = 4cos(108 π(t − R v )), where t = 15ns, R = √ 316.72 + 318.22 = 449, v = 3 × 108 m/s [ρv1] = 4cos(108 π(t − R v )) = 3.46µ [ρv2] = −4cos(108 π(t − R v )), where t = 15ns, R = √ 319.72 + 318.22 = 451.06, v = 3 × 108 m/s [ρv2] = −4(−1) = 3.58µ [ρv] = [ρv1] + [ρv2] = 7.04µ Now, considering a unit volume: V = [ρv] 4π oR = 140.65V 3 ee08.net.tc
  • 45.
    Please report tothe following e-mail, if you find any mistake or typo: zaeemvaraich@yahoo.com 4 ee08.net.tc