Vascular calcification and the role of
Vitamin K2 in CRF and ESRD
Salwa Ibrahim MD FRCP
Cairo University
Agenda
• Vascular Calcification in CKD
• Role of Vitamin K on VC
• Intervention studies
Atherosclerosis, arteriosclerosis, vascular
calcification, endothelial dysfunction
Vascular calcification in CKD
• Vascular calcification is frequent in CKD and predict CVS and
all cause mortality
IN CKD FACTORS PROMOTING CALCIFICATION
PREVAIL OVER FACTORS PROTECTING AGAINSI
CALCIFICATION
Causes of vascular calcification
• High phosphorus
• Vitamin D therapy
• Vitamin K deficiency
• warfarin
• DM
• Aging
• Dyslipidemia
Kidney Blood Press Res 2011
Several studies have shown that VC
resembles bone formation
Hyperphosphatemia
Increased serum phosphate play a key role in vascular
calcification
Hyperphosphatemia induces phenotypic change of VSMCs into
osteoblast like cells
Kidney Blood Press Res 2011
Vitamin D
Vitamin D in large dose induces phenotypic change of
VSMCs and promote vascular calcification
Kidney Blood Press Res 2011
Vitamin K
VK and VKDPs
• Vitamin K has important biological
actions mediated by the activation of
VKDPs
• There are 2 main forms of vitamin K
1. K1 is found in green vegetables
2. K2 (Menaquinone) found in specific
food (Natto Japan) or derived from the
metabolic activity of intestinal bacteria
Vitamin K dependent proteins (VKDPs)
• VKDPs require peripheral
carboxylation to become
active and is dependent on
vitamin K2
• MGP is an important VKDP
whose function to prevent
vascular calcification
Vitamin K2
• Vitamin K1 is essential for hepatic carboxylation of
VKDPs and production of coagulation factors
• Vitamin K2 is essential for peripheral activation of
MGP
• Vitamin K2 is not abundant in western diet
Vitamin K intake and status are low in
hemodialysis patients
Kidney Int 82: 605-610; 2012; d
• Vitamin K(1) and K(2) intake were low in a group of
HDx as compared to of healthy adults
• Non-carboxylated bone and coagulation proteins
were found to be elevated in a group hemodialysis
patients indicating vitamin K deficiency
• High non-carboxylated matrix Gla protein levels
confirmed vascular vitamin K deficiency
Low vitamin K in CKD promotes transformation of
VSMC into osteoblast and its apoptosis and
extracellular mineralization
Warfarin therapy
Warfarin and vascular calcification
• Warfarin inhibits
MGP and induces
widespread vascular
calcification in rats
• Subjects with long-term warfarin exposure were
more likely to have severe AV calcification
• There was an association between lifetime months of
warfarin exposure and severity of AV calcification
that was independent of dialysis vintage, calcium and
calcitriol intake
Interventional randomized trials
Effect of Vitamin K2 Supplementation
on Functional Vitamin K Deficiency in
Hemodialysis Patients
A Randomized Trial
Westenfeld et al, AJKD 2011
• 53 hemodialysis patients in stable conditions
• Vitamin K2 treatment at 45, 135, or 360 μg/d for 6 weeks
• Plasma levels of uncarboxylated MGP, uncarboxylated
osteocalcin
• Hemodialysis patients had 4.5-fold higher uncarboxylated
MGP and 8.4-fold higher uncarboxylated osteocalcin levels
compared with controls
• Vitamin K2 supplementation induced a dose- and time-
dependent decrease in circulating uncarboxylated MGP,
uncarboxylated osteocalcin,
• This study confirms that most hemodialysis
patients have a functional vitamin K deficiency
• It showed that inactive MGP levels can be
decreased markedly by daily vitamin K2
supplementation
Study Design
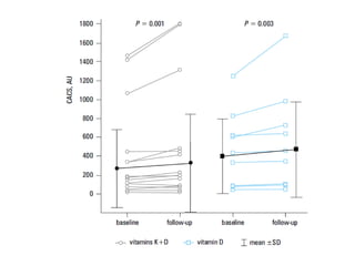
• The study included 42 CKD patients
• 270 days of supplementation with vitamin K2 at a
dose of 90 μg (menaquinone, MK-7) together with
10 μg of cholecalciferol (K+D group) or 10 μg of
cholecalciferol
• Common carotid intima-media thickness and
calcification modulators: matrix Gla protein (MGP)
and uncarboxylated MGP
The increase of CCA-IMT was
significantly lower in the K+D group
(P =0.003)
In the K+D
group, a significant decrease in
the level of ucMGP
• A 43-year-old female HDx
patient who developed
calciphylaxis
• 2 months prior to the diagnosis
she was found to have an
undetectable plasma vit K
concentration
• The calciphylaxis completely
resolved with vitamin K
supplementation and an
increase in haemodialysis
frequency
Ongoing studies
Evaluation of Vitamin K Supplementation for
Calcific Uremic Arteriolopathy (VitK-CUA)
• A pilot randomized controlled trial to examine the
effects of oral vitamin K supplementation on
circulating levels of anti-calcification factor
(carboxylated Matrix Gla Protein) and clinical
outcomes in patients with calcific uremic
arteriolopathy
• Study Start Date: March 2015
• Estimated Study Completion Date: March 2019
Conclusions
• VC is prevalent in CKD and links to increased morbidity and
mortality
• Vit K2 is important calcification inhibitor
• ESRD had low Vit K intake and that may contribute to VC
progression
• Intervention studies showed promising results in correcting
Vit K2 vasculopathy and larger intervention studies are
needed to confirm its effectiveness in improving long term
outcomes

Vitamin k and vascular calcification

  • 1.
    Vascular calcification andthe role of Vitamin K2 in CRF and ESRD Salwa Ibrahim MD FRCP Cairo University
  • 2.
    Agenda • Vascular Calcificationin CKD • Role of Vitamin K on VC • Intervention studies
  • 4.
  • 5.
    Vascular calcification inCKD • Vascular calcification is frequent in CKD and predict CVS and all cause mortality
  • 7.
    IN CKD FACTORSPROMOTING CALCIFICATION PREVAIL OVER FACTORS PROTECTING AGAINSI CALCIFICATION
  • 8.
    Causes of vascularcalcification • High phosphorus • Vitamin D therapy • Vitamin K deficiency • warfarin • DM • Aging • Dyslipidemia Kidney Blood Press Res 2011
  • 9.
    Several studies haveshown that VC resembles bone formation
  • 10.
  • 11.
    Increased serum phosphateplay a key role in vascular calcification Hyperphosphatemia induces phenotypic change of VSMCs into osteoblast like cells Kidney Blood Press Res 2011
  • 12.
  • 13.
    Vitamin D inlarge dose induces phenotypic change of VSMCs and promote vascular calcification Kidney Blood Press Res 2011
  • 14.
  • 15.
    VK and VKDPs •Vitamin K has important biological actions mediated by the activation of VKDPs • There are 2 main forms of vitamin K 1. K1 is found in green vegetables 2. K2 (Menaquinone) found in specific food (Natto Japan) or derived from the metabolic activity of intestinal bacteria
  • 16.
    Vitamin K dependentproteins (VKDPs) • VKDPs require peripheral carboxylation to become active and is dependent on vitamin K2 • MGP is an important VKDP whose function to prevent vascular calcification
  • 17.
    Vitamin K2 • VitaminK1 is essential for hepatic carboxylation of VKDPs and production of coagulation factors • Vitamin K2 is essential for peripheral activation of MGP • Vitamin K2 is not abundant in western diet
  • 20.
    Vitamin K intakeand status are low in hemodialysis patients Kidney Int 82: 605-610; 2012; d
  • 21.
    • Vitamin K(1)and K(2) intake were low in a group of HDx as compared to of healthy adults • Non-carboxylated bone and coagulation proteins were found to be elevated in a group hemodialysis patients indicating vitamin K deficiency • High non-carboxylated matrix Gla protein levels confirmed vascular vitamin K deficiency
  • 22.
    Low vitamin Kin CKD promotes transformation of VSMC into osteoblast and its apoptosis and extracellular mineralization
  • 23.
  • 24.
    Warfarin and vascularcalcification • Warfarin inhibits MGP and induces widespread vascular calcification in rats
  • 26.
    • Subjects withlong-term warfarin exposure were more likely to have severe AV calcification • There was an association between lifetime months of warfarin exposure and severity of AV calcification that was independent of dialysis vintage, calcium and calcitriol intake
  • 27.
  • 28.
    Effect of VitaminK2 Supplementation on Functional Vitamin K Deficiency in Hemodialysis Patients A Randomized Trial Westenfeld et al, AJKD 2011
  • 29.
    • 53 hemodialysispatients in stable conditions • Vitamin K2 treatment at 45, 135, or 360 μg/d for 6 weeks • Plasma levels of uncarboxylated MGP, uncarboxylated osteocalcin • Hemodialysis patients had 4.5-fold higher uncarboxylated MGP and 8.4-fold higher uncarboxylated osteocalcin levels compared with controls • Vitamin K2 supplementation induced a dose- and time- dependent decrease in circulating uncarboxylated MGP, uncarboxylated osteocalcin,
  • 30.
    • This studyconfirms that most hemodialysis patients have a functional vitamin K deficiency • It showed that inactive MGP levels can be decreased markedly by daily vitamin K2 supplementation
  • 32.
    Study Design • Thestudy included 42 CKD patients • 270 days of supplementation with vitamin K2 at a dose of 90 μg (menaquinone, MK-7) together with 10 μg of cholecalciferol (K+D group) or 10 μg of cholecalciferol • Common carotid intima-media thickness and calcification modulators: matrix Gla protein (MGP) and uncarboxylated MGP
  • 34.
    The increase ofCCA-IMT was significantly lower in the K+D group (P =0.003) In the K+D group, a significant decrease in the level of ucMGP
  • 36.
    • A 43-year-oldfemale HDx patient who developed calciphylaxis • 2 months prior to the diagnosis she was found to have an undetectable plasma vit K concentration • The calciphylaxis completely resolved with vitamin K supplementation and an increase in haemodialysis frequency
  • 37.
  • 39.
    Evaluation of VitaminK Supplementation for Calcific Uremic Arteriolopathy (VitK-CUA) • A pilot randomized controlled trial to examine the effects of oral vitamin K supplementation on circulating levels of anti-calcification factor (carboxylated Matrix Gla Protein) and clinical outcomes in patients with calcific uremic arteriolopathy • Study Start Date: March 2015 • Estimated Study Completion Date: March 2019
  • 40.
    Conclusions • VC isprevalent in CKD and links to increased morbidity and mortality • Vit K2 is important calcification inhibitor • ESRD had low Vit K intake and that may contribute to VC progression • Intervention studies showed promising results in correcting Vit K2 vasculopathy and larger intervention studies are needed to confirm its effectiveness in improving long term outcomes

Editor's Notes

  • #8 Vascular calcification is an actively regulated process dependent on balance between inducers and inhibitors
  • #9 I