Unit Commitment
Baosen Zhang
Economic Dispatch: Problem Definition
2
• Given load
• Given set of units on-line
• How much should each unit generate to meet this
load at minimum cost?
A B C
L
Unit Commitment
• Given load profile
(e.g. values of the load for each hour of a day)
• Given set of units available
• When should each unit be started, stopped and how much should it
generate to meet the load at minimum cost?
© University of Washington
3
Typical summer and winter loads
© University of Washington 4
Load variations
• Significant difference between peak load and minimum load
• Need different number of generating units at the peak and the
minimum
• Some rapid changes in the load
© University of Washington 5
A Simple Example
• Unit 1:
• PMin = 250 MW, PMax = 600 MW
• C1 = 510.0 + 7.9 P1 + 0.00172 P1
2 $/h
• Unit 2:
• PMin = 200 MW, PMax = 400 MW
• C2 = 310.0 + 7.85 P2 + 0.00194 P2
2 $/h
• Unit 3:
• PMin = 150 MW, PMax = 500 MW
• C3 = 78.0 + 9.56 P3 + 0.00694 P3
2 $/h
• What combination of units 1, 2 and 3 will produce 550 MW at minimum cost?
• How much should each unit in that combination generate?
© University of Washington
6
Constant Terms in the Cost
Cost of the various combinations
© University of Washington
8
Cost of the various combinations
© University of Washington
9
1 2 3 Pmin Pmax P1 P2 P3 Ctotal
Off Off Off 0 0 Infeasible
Off Off On 150 500 Infeasible
Off On Off 200 400 Infeasible
Off On On 350 900 0 400 150 5418
On Off Off 250 600 550 0 0 5389
On Off On 400 1100 400 0 150 5613
On On Off 450 1000 295 255 0 5471
On On On 600 1500 Infeasible -
Observations on the example:
© University of Washington
10
Effect of the no-load cost
© University of Washington 11
Another Example
• Optimal generation schedule
for a load profile
• Decompose the profile into a
set of periods
• Assume load is constant over
each period
• For each period, which units
should be committed to
generate at minimum cost
during that period?
© University of Washington
12
Load
Time
12
6
0 18 24
500
1000
Optimal combination for each hour
Load Unit 1 Unit 2 Unit 3
1100 On On On
1000 On On Off
900 On On Off
800 On On Off
700 On On Off
600 On Off Off
500 On Off Off
© University of Washington
13
Repeat calculation from previous example for each period
Matching the combinations to the load
© University of Washington 14
Operating costs of generating units
• Running cost
• Start-up cost
© University of Washington
15
Effect of the start-up cost
• Need to “balance” start-up and running costs
© University of Washington
16
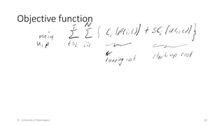
Unit commitment as an optimization problem
• Minimize total cost over time horizon
• Total cost = running cost + startup cost
© University of Washington
17
Notations
© University of Washington 18
Notations
© University of Washington 19
u(i,t): Status of unit i at period t
p(i,t): Power produced by unit i during period t
Unit i is ON during period t
u(i,t) = 1:
Unit i is OFF during period t
u(i,t) = 0 :
Ci[p(i,t)]: Running cost of unit i during period t
SCi[u(i,t)]: Startup cost of unit i during period t
N : Number of available generating units
T : Number of periods in the optimization horizon
Objective function
© University of Washington 20
Unit Constraints
© University of Washington 21
System Constraints
© University of Washington
22
Load/Generation Balance Constraint
© University of Washington 23
u(i,t)p(i,t)
i=1
N
∑ = L(t)
At all times, the power produced by the generating
units must be equal to the load
Reserve Constraint
• Unanticipated loss of a generating unit or an interconnection causes
unacceptable frequency drop if not corrected
• Need to increase production from other units to keep frequency drop
within acceptable limits
• Rapid increase in production only possible if committed units are not
all operating at their maximum capacity
• Some of the capacity of the generating units must be kept “in
reserve”
© University of Washington
24
Reserve Constraint
© University of Washington 25
How much reserve?
• Protect the system against “credible outages”
• Reserve requirement:
• Capacity of largest unit or interconnection
• Percentage of peak load
© University of Washington
26
Why can’t we treat each period separately?
© University of Washington
27
Typical summer and winter loads
© University of Washington 28
The “California Duck Curve”
© 2011 D. Kirschen and University of
Washington
29
Typical March day
Economic Dispatch vs. Unit Commitment
• Generation scheduling or unit commitment is a more general problem
than economic dispatch
• Economic dispatch is a sub-problem of generation scheduling
• Unit commitment must strike a balance between cheaper inflexible
units and more expensive flexible units
© University of Washington
30
Solving the Unit Commitment Problem
• Decision variables:
© University of Washington
31
Optimization with integer variables
• Continuous variables
• Discrete variables
© University of Washington
32
How many combinations are there?
© University of Washington 33
• Examples
• 3 units: 8 possible states
• N units: 2N possible states
111
110
101
100
011
010
001
000
How many solutions are there anyway?
© University of Washington 34
1 2 3 4 5 6
T=
How many solutions are there anyway?
© University of Washington 35
1 2 3 4 5 6
T=
Optimization over a time horizon
divided into intervals
A solution is a path linking one
combination at each interval
How many such path are there?
Answer:
2N
( ) 2N
( )… 2N
( ) = 2N
( )T
The Curse of Dimensionality
• Example: 5 units, 24 hours
• Processing 109 combinations/second, this would take 1.9 1019 years to
solve
• There are 100’s of units in large power systems...
• Many of these combinations do not satisfy the constraints
© University of Washington
36
2N
( )
T
= 25
( )
24
= 6.21035
combinations
How do you Beat the Curse?
Brute force approach wonʼt work!
• Need to be smart
• Try only a small subset of all combinations
• Canʼt guarantee optimality of the solution
• Try to get as close as possible within a reasonable amount of time
© University of Washington
37
Solving the Unit Commitment Problem
• State of the art:
• Mixed Integer Linear Programming (MILP)
• Efficient MILP solvers
© University of Washington
38
A Simple Unit Commitment Example
Unit Data
© University of Washington 40
Unit
Pmin
(MW)
Pmax
(MW)
Min
up
(h)
Min
down
(h)
No-load
cost
($)
Marginal
cost
($/MWh)
Start-up
cost
($)
Initial
status
A 150 250 3 3 0 10 1,000 ON
B 50 100 2 1 0 12 600 OFF
C 10 50 1 1 0 20 100 OFF
Cost curves
© University of Washington 41
p
C(p)
A
B
C
Demand Data
© University of Washington 42
Hourly Demand
0
50
100
150
200
250
300
350
1 2 3
Hours
Load
Reserve requirements are not considered
Feasible Unit Combinations (states)
© University of Washington 43
Combinations
Pmin Pmax
A B C
1 1 1 210 400
1 1 0 200 350
1 0 1 160 300
1 0 0 150 250
0 1 1 60 150
0 1 0 50 100
0 0 1 10 50
0 0 0 0 0
1 2 3
150 300 200
Transitions between feasible combinations
© University of Washington 44
A B C
1 1 1
1 1 0
1 0 1
1 0 0
0 1 1
1 2 3
Initial State
Infeasible transitions: Minimum down time of unit A
© University of Washington 45
A B C
1 1 1
1 1 0
1 0 1
1 0 0
0 1 1
1 2 3
Initial State
TD TU
A 3 3
B 1 2
C 1 1
Infeasible transitions: Minimum down time of unit A
© University of Washington 46
A B C
1 1 1
1 1 0
1 0 1
1 0 0
0 1 1
1 2 3
Initial State
TD TU
A 3 3
B 1 2
C 1 1
Infeasible transitions: Minimum up time of unit B
© University of Washington 47
A B C
1 1 1
1 1 0
1 0 1
1 0 0
0 1 1
1 2 3
Initial State
TD TU
A 3 3
B 1 2
C 1 1
Feasible transitions
© University of Washington 48
A B C
1 1 1
1 1 0
1 0 1
1 0 0
0 1 1
1 2 3
Initial State
Operating costs
© University of Washington 49
1 1 1
1 1 0
1 0 1
1 0 0 1
4
3
2
5
6
7
Economic dispatch
© University of Washington 50
State Load PA PB PC Cost
1 150 150 0 0 1500
2 300 250 0 50 3500
3 300 250 50 0 3100
4 300 240 50 10 3200
5 200 200 0 0 2000
6 200 190 0 10 2100
7 200 150 50 0 2100
Unit Pmin Pmax No-load cost Marginal cost
A 150 250 0 10
B 50 100 0 12
C 10 50 0 20
Operating costs
© University of Washington 51
1 1 1
1 1 0
1 0 1
1 0 0 1
4
3
2
5
6
7
$1500
$3500
$3100
$3200
$2000
$2100
$2100
Start-up costs
© University of Washington 52
1 1 1
1 1 0
1 0 1
1 0 0 1
4
3
2
5
6
7
$1500
$3500
$3100
$3200
$2000
$2100
$2100
Unit Start-up cost
A 1000
B 600
C 100
Accumulated costs
© University of Washington 53
1 1 1
1 1 0
1 0 1
1 0 0 1
4
3
2
5
6
7
$1500
$3500
$3100
$3200
$2000
$2100
$2100
$1500
$5100
$5200
$5400
$7300
$7200
$7100
$0
$0
$0
$0
$0
$600
$100
$600
$700
Total costs
© University of Washington 54
1 1 1
1 1 0
1 0 1
1 0 0 1
4
3
2
5
6
7
$7300
$7200
$7100
Lowest total cost
Optimal solution
© University of Washington 55
1 1 1
1 1 0
1 0 1
1 0 0 1
2
5
$7100
Notes
• This example is intended to illustrate the principles of unit
commitment
• Some constraints have been ignored and others artificially tightened
to simplify the problem and make it solvable by hand
• Therefore it does not illustrate the true complexity of the problem
• The solution method used in this example is based on dynamic
programming. This technique is no longer used in industry because it
only works for small systems (< 20 units)
© University of Washington
56

Unit Commitment updated lecture slidesides

  • 1.
  • 3.
    Economic Dispatch: ProblemDefinition 2 • Given load • Given set of units on-line • How much should each unit generate to meet this load at minimum cost? A B C L
  • 4.
    Unit Commitment • Givenload profile (e.g. values of the load for each hour of a day) • Given set of units available • When should each unit be started, stopped and how much should it generate to meet the load at minimum cost? © University of Washington 3
  • 5.
    Typical summer andwinter loads © University of Washington 4
  • 6.
    Load variations • Significantdifference between peak load and minimum load • Need different number of generating units at the peak and the minimum • Some rapid changes in the load © University of Washington 5
  • 7.
    A Simple Example •Unit 1: • PMin = 250 MW, PMax = 600 MW • C1 = 510.0 + 7.9 P1 + 0.00172 P1 2 $/h • Unit 2: • PMin = 200 MW, PMax = 400 MW • C2 = 310.0 + 7.85 P2 + 0.00194 P2 2 $/h • Unit 3: • PMin = 150 MW, PMax = 500 MW • C3 = 78.0 + 9.56 P3 + 0.00694 P3 2 $/h • What combination of units 1, 2 and 3 will produce 550 MW at minimum cost? • How much should each unit in that combination generate? © University of Washington 6
  • 8.
  • 9.
    Cost of thevarious combinations © University of Washington 8
  • 10.
    Cost of thevarious combinations © University of Washington 9 1 2 3 Pmin Pmax P1 P2 P3 Ctotal Off Off Off 0 0 Infeasible Off Off On 150 500 Infeasible Off On Off 200 400 Infeasible Off On On 350 900 0 400 150 5418 On Off Off 250 600 550 0 0 5389 On Off On 400 1100 400 0 150 5613 On On Off 450 1000 295 255 0 5471 On On On 600 1500 Infeasible -
  • 11.
    Observations on theexample: © University of Washington 10
  • 12.
    Effect of theno-load cost © University of Washington 11
  • 13.
    Another Example • Optimalgeneration schedule for a load profile • Decompose the profile into a set of periods • Assume load is constant over each period • For each period, which units should be committed to generate at minimum cost during that period? © University of Washington 12 Load Time 12 6 0 18 24 500 1000
  • 14.
    Optimal combination foreach hour Load Unit 1 Unit 2 Unit 3 1100 On On On 1000 On On Off 900 On On Off 800 On On Off 700 On On Off 600 On Off Off 500 On Off Off © University of Washington 13 Repeat calculation from previous example for each period
  • 15.
    Matching the combinationsto the load © University of Washington 14
  • 16.
    Operating costs ofgenerating units • Running cost • Start-up cost © University of Washington 15
  • 17.
    Effect of thestart-up cost • Need to “balance” start-up and running costs © University of Washington 16
  • 18.
    Unit commitment asan optimization problem • Minimize total cost over time horizon • Total cost = running cost + startup cost © University of Washington 17
  • 19.
  • 20.
    Notations © University ofWashington 19 u(i,t): Status of unit i at period t p(i,t): Power produced by unit i during period t Unit i is ON during period t u(i,t) = 1: Unit i is OFF during period t u(i,t) = 0 : Ci[p(i,t)]: Running cost of unit i during period t SCi[u(i,t)]: Startup cost of unit i during period t N : Number of available generating units T : Number of periods in the optimization horizon
  • 21.
  • 22.
  • 23.
  • 24.
    Load/Generation Balance Constraint ©University of Washington 23 u(i,t)p(i,t) i=1 N ∑ = L(t) At all times, the power produced by the generating units must be equal to the load
  • 25.
    Reserve Constraint • Unanticipatedloss of a generating unit or an interconnection causes unacceptable frequency drop if not corrected • Need to increase production from other units to keep frequency drop within acceptable limits • Rapid increase in production only possible if committed units are not all operating at their maximum capacity • Some of the capacity of the generating units must be kept “in reserve” © University of Washington 24
  • 26.
  • 27.
    How much reserve? •Protect the system against “credible outages” • Reserve requirement: • Capacity of largest unit or interconnection • Percentage of peak load © University of Washington 26
  • 28.
    Why can’t wetreat each period separately? © University of Washington 27
  • 29.
    Typical summer andwinter loads © University of Washington 28
  • 30.
    The “California DuckCurve” © 2011 D. Kirschen and University of Washington 29 Typical March day
  • 31.
    Economic Dispatch vs.Unit Commitment • Generation scheduling or unit commitment is a more general problem than economic dispatch • Economic dispatch is a sub-problem of generation scheduling • Unit commitment must strike a balance between cheaper inflexible units and more expensive flexible units © University of Washington 30
  • 32.
    Solving the UnitCommitment Problem • Decision variables: © University of Washington 31
  • 33.
    Optimization with integervariables • Continuous variables • Discrete variables © University of Washington 32
  • 34.
    How many combinationsare there? © University of Washington 33 • Examples • 3 units: 8 possible states • N units: 2N possible states 111 110 101 100 011 010 001 000
  • 35.
    How many solutionsare there anyway? © University of Washington 34 1 2 3 4 5 6 T=
  • 36.
    How many solutionsare there anyway? © University of Washington 35 1 2 3 4 5 6 T= Optimization over a time horizon divided into intervals A solution is a path linking one combination at each interval How many such path are there? Answer: 2N ( ) 2N ( )… 2N ( ) = 2N ( )T
  • 37.
    The Curse ofDimensionality • Example: 5 units, 24 hours • Processing 109 combinations/second, this would take 1.9 1019 years to solve • There are 100’s of units in large power systems... • Many of these combinations do not satisfy the constraints © University of Washington 36 2N ( ) T = 25 ( ) 24 = 6.21035 combinations
  • 38.
    How do youBeat the Curse? Brute force approach wonʼt work! • Need to be smart • Try only a small subset of all combinations • Canʼt guarantee optimality of the solution • Try to get as close as possible within a reasonable amount of time © University of Washington 37
  • 40.
    Solving the UnitCommitment Problem • State of the art: • Mixed Integer Linear Programming (MILP) • Efficient MILP solvers © University of Washington 38
  • 42.
    A Simple UnitCommitment Example
  • 43.
    Unit Data © Universityof Washington 40 Unit Pmin (MW) Pmax (MW) Min up (h) Min down (h) No-load cost ($) Marginal cost ($/MWh) Start-up cost ($) Initial status A 150 250 3 3 0 10 1,000 ON B 50 100 2 1 0 12 600 OFF C 10 50 1 1 0 20 100 OFF
  • 44.
    Cost curves © Universityof Washington 41 p C(p) A B C
  • 45.
    Demand Data © Universityof Washington 42 Hourly Demand 0 50 100 150 200 250 300 350 1 2 3 Hours Load Reserve requirements are not considered
  • 46.
    Feasible Unit Combinations(states) © University of Washington 43 Combinations Pmin Pmax A B C 1 1 1 210 400 1 1 0 200 350 1 0 1 160 300 1 0 0 150 250 0 1 1 60 150 0 1 0 50 100 0 0 1 10 50 0 0 0 0 0 1 2 3 150 300 200
  • 47.
    Transitions between feasiblecombinations © University of Washington 44 A B C 1 1 1 1 1 0 1 0 1 1 0 0 0 1 1 1 2 3 Initial State
  • 48.
    Infeasible transitions: Minimumdown time of unit A © University of Washington 45 A B C 1 1 1 1 1 0 1 0 1 1 0 0 0 1 1 1 2 3 Initial State TD TU A 3 3 B 1 2 C 1 1
  • 49.
    Infeasible transitions: Minimumdown time of unit A © University of Washington 46 A B C 1 1 1 1 1 0 1 0 1 1 0 0 0 1 1 1 2 3 Initial State TD TU A 3 3 B 1 2 C 1 1
  • 50.
    Infeasible transitions: Minimumup time of unit B © University of Washington 47 A B C 1 1 1 1 1 0 1 0 1 1 0 0 0 1 1 1 2 3 Initial State TD TU A 3 3 B 1 2 C 1 1
  • 51.
    Feasible transitions © Universityof Washington 48 A B C 1 1 1 1 1 0 1 0 1 1 0 0 0 1 1 1 2 3 Initial State
  • 52.
    Operating costs © Universityof Washington 49 1 1 1 1 1 0 1 0 1 1 0 0 1 4 3 2 5 6 7
  • 53.
    Economic dispatch © Universityof Washington 50 State Load PA PB PC Cost 1 150 150 0 0 1500 2 300 250 0 50 3500 3 300 250 50 0 3100 4 300 240 50 10 3200 5 200 200 0 0 2000 6 200 190 0 10 2100 7 200 150 50 0 2100 Unit Pmin Pmax No-load cost Marginal cost A 150 250 0 10 B 50 100 0 12 C 10 50 0 20
  • 54.
    Operating costs © Universityof Washington 51 1 1 1 1 1 0 1 0 1 1 0 0 1 4 3 2 5 6 7 $1500 $3500 $3100 $3200 $2000 $2100 $2100
  • 55.
    Start-up costs © Universityof Washington 52 1 1 1 1 1 0 1 0 1 1 0 0 1 4 3 2 5 6 7 $1500 $3500 $3100 $3200 $2000 $2100 $2100 Unit Start-up cost A 1000 B 600 C 100
  • 56.
    Accumulated costs © Universityof Washington 53 1 1 1 1 1 0 1 0 1 1 0 0 1 4 3 2 5 6 7 $1500 $3500 $3100 $3200 $2000 $2100 $2100 $1500 $5100 $5200 $5400 $7300 $7200 $7100 $0 $0 $0 $0 $0 $600 $100 $600 $700
  • 57.
    Total costs © Universityof Washington 54 1 1 1 1 1 0 1 0 1 1 0 0 1 4 3 2 5 6 7 $7300 $7200 $7100 Lowest total cost
  • 58.
    Optimal solution © Universityof Washington 55 1 1 1 1 1 0 1 0 1 1 0 0 1 2 5 $7100
  • 59.
    Notes • This exampleis intended to illustrate the principles of unit commitment • Some constraints have been ignored and others artificially tightened to simplify the problem and make it solvable by hand • Therefore it does not illustrate the true complexity of the problem • The solution method used in this example is based on dynamic programming. This technique is no longer used in industry because it only works for small systems (< 20 units) © University of Washington 56