TUTORIAL 3
STEPS FOR ANALYSIS
1. If the truss’s support reactions are not given, draw a FBD of the
entire truss and determine the support reactions (typically using
scalar equations of equilibrium).
2. Draw the free-body diagram of a joint with one or two unknowns.
Assume that all unknown member forces act in tension (pulling on
the pin) unless you can determine by inspection that the forces
are compression loads.
3. Apply the scalar equations of equilibrium,  FX = 0 and 
FY = 0, to determine the unknown(s). If the answer is positive,
then the assumed direction (tension) is correct, otherwise it is in
the opposite direction (compression).
4. Repeat steps 2 and 3 at each joint in succession until all the
required forces are determined.
ZERO-FORCE MEMBERS
You can easily prove these results by
applying the equations of equilibrium
to joints D and A.
If a joint has only two non-collinear members and
there is no external load or support reaction at
that joint, then those two members are zero-force
members. In this example members DE, DC, AF,
and AB are zero force members.
Zero-force members can be removed (as shown
in the figure) when analyzing the truss.
ZERO – FORCE MEMBERS
Again, this can easily be proven. One can
also remove the zero-force member, as
shown, on the left, for analyzing the truss
further.
Please note that zero-force members are
used to increase stability and rigidity of
the truss, and to provide support for
various different loading conditions.
If three members form a truss joint for which
two of the members are collinear and there
is no external load or reaction at that joint,
then the third non-collinear member is a
zero force member, e.g., DA.
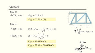
Question 1
Answer
Answer
Answer
Question 2
Answer
Answer
Answer
Answer
Answer
Question 3
Answer
Ay= 150+200+250/6= 100 KN
50*3+50*6-100*9-FLK*4=0
FLK= - 112.5 KN
FcD*4+50*3-100*6=0
FcD= + 112.5 KN
Answer
100-50-50-( a /sqrt(a2+b2))FLD=0
-50-FKD=0
Joint K > Ʃ Fy:
FLD=0
Question 4
(12*4)+(12*8)+(12*12)+(12*16)+(12*20)+(6*24)-(Ay*24)=0
Answer
6*2*4+12*4-36*2*4+FML(3+2/3(6-3))=0
FML= + 38.4 KN
Ʃ Fx=0
38.4+FDE (4/sqrt17)+ FDL (4/5)=0
38.4 – 35.993+ FDl (4/5) =0
FDL = - 3.8 KN
ƩM @Joint L:
(-36*12)+(6*12)+(12*8)+(12*4)-(FDE (4/sqrt17)) – (FDE (1/sqrt17))=0
-217- FDE 5.8209 = 0
FDE = - 37.1 KN

Tutorial 3

  • 1.
  • 3.
    STEPS FOR ANALYSIS 1.If the truss’s support reactions are not given, draw a FBD of the entire truss and determine the support reactions (typically using scalar equations of equilibrium). 2. Draw the free-body diagram of a joint with one or two unknowns. Assume that all unknown member forces act in tension (pulling on the pin) unless you can determine by inspection that the forces are compression loads. 3. Apply the scalar equations of equilibrium,  FX = 0 and  FY = 0, to determine the unknown(s). If the answer is positive, then the assumed direction (tension) is correct, otherwise it is in the opposite direction (compression). 4. Repeat steps 2 and 3 at each joint in succession until all the required forces are determined.
  • 4.
    ZERO-FORCE MEMBERS You caneasily prove these results by applying the equations of equilibrium to joints D and A. If a joint has only two non-collinear members and there is no external load or support reaction at that joint, then those two members are zero-force members. In this example members DE, DC, AF, and AB are zero force members. Zero-force members can be removed (as shown in the figure) when analyzing the truss.
  • 5.
    ZERO – FORCEMEMBERS Again, this can easily be proven. One can also remove the zero-force member, as shown, on the left, for analyzing the truss further. Please note that zero-force members are used to increase stability and rigidity of the truss, and to provide support for various different loading conditions. If three members form a truss joint for which two of the members are collinear and there is no external load or reaction at that joint, then the third non-collinear member is a zero force member, e.g., DA.
  • 6.
  • 7.
  • 8.
  • 9.
  • 10.
  • 11.
  • 12.
  • 13.
  • 14.
  • 15.
  • 16.
  • 17.
    Answer Ay= 150+200+250/6= 100KN 50*3+50*6-100*9-FLK*4=0 FLK= - 112.5 KN FcD*4+50*3-100*6=0 FcD= + 112.5 KN
  • 18.
  • 19.
  • 20.
    Answer 6*2*4+12*4-36*2*4+FML(3+2/3(6-3))=0 FML= + 38.4KN Ʃ Fx=0 38.4+FDE (4/sqrt17)+ FDL (4/5)=0 38.4 – 35.993+ FDl (4/5) =0 FDL = - 3.8 KN ƩM @Joint L: (-36*12)+(6*12)+(12*8)+(12*4)-(FDE (4/sqrt17)) – (FDE (1/sqrt17))=0 -217- FDE 5.8209 = 0 FDE = - 37.1 KN