TPC8118
                    TOSHIBA Field Effect Transistor Silicon P Channel MOS Type (U-MOSⅤ)


                                                 TPC8118
Notebook PC Applications
                                                                                                                Unit: mm

•   Small footprint due to small and thin package
•   Low drain-source ON-resistance: RDS (ON) = 5.5 mΩ (typ.)
•   High forward transfer admittance: |Yfs| = 36 S (typ.)
•   Low leakage current: IDSS = −10 μA (max) (VDS = −30 V)
•   Enhancement mode: Vth = −0.8 to −2.0 V (VDS = −10 V, ID = −1 mA)


Absolute Maximum Ratings (Ta = 25°C)

               Characteristics                Symbol         Rating         Unit

    Drain-source voltage                      VDSS             −30            V
    Drain-gate voltage (RGS = 20 kΩ)          VDGR             −30            V
    Gate-source voltage                       VGSS             ±20            V
                           DC     (Note 1)      ID             −13
    Drain current                                                             A
                           Pulse (Note 1)      IDP             −52
    Drain power dissipation (t = 10 s)
                                               PD              1.9            W
                                  (Note 2a)
                                                                                   JEDEC                    ―
    Drain power dissipation (t = 10 s)
                                               PD              1.0            W
                                  (Note 2b)
                                                                                   JEITA                    ―
    Single pulse avalanche energy
                                               EAS             110            mJ   TOSHIBA            2-6J1B
                                 (Note 3)
    Avalanche current                          IAR             −13            A    Weight: 0.080 g (typ.)
    Repetitive avalanche energy
                                               EAR            0.030           mJ
                       (Note 2a) (Note 4)
    Channel temperature                        Tch             150            °C
                                                                                   Circuit Configuration
    Storage temperature range                  Tstg        −55 to 150         °C
                                                                                           8      7     6       5
    Note 1, Note 2, Note 3 and Note 4: See the next page.


    Using continuously under heavy loads (e.g. the application of high
    temperature/current/voltage and the significant change in temperature,
    etc.) may cause this product to decrease in the reliability significantly
    even if the operating conditions (i.e. operating
    temperature/current/voltage, etc.) are within the absolute maximum                     1      2     3       4
    ratings.
    Please design the appropriate reliability upon reviewing the Toshiba
    Semiconductor Reliability Handbook (“Handling Precautions”/“Derating
    Concept and Methods”) and individual reliability data (i.e. reliability test
    report and estimated failure rate, etc).

    This transistor is an electrostatic-sensitive device. Handle with care.




                                                                1                                       2008-10-17
TPC8118
Thermal Characteristics

                 Characteristics                    Symbol          Max       Unit

  Thermal resistance, channel to ambient
                                                   Rth (ch-a)       65.8     °C/W
  (t = 10 s)                          (Note 2a)
  Thermal resistance, channel to ambient
                                                   Rth (ch-a)       125      °C/W
  (t = 10 s)                          (Note 2b)



Marking (Note 5)



            TPC8118                 Part No. (or abbreviation code)
                                    Lot No.
                                    (weekly code)
                                    A line indicates
                                    Lead(Pb)-Free Finish



  Note 1: Ensure that the channel temperature does not exceed 150°C.



  Note 2:
            (a) Device mounted on a glass-epoxy board (a)             (b) Device mounted on a glass-epoxy board (b)



                                           FR-4                                                        FR-4
                                     25.4 × 25.4 × 0.8                                           25.4 × 25.4 × 0.8
                                           (Unit: mm)                                                  (Unit: mm)



                       (a)                                                           (b)


  Note 3: VDD = −24 V, Tch = 25°C (initial), L = 500 μH, RG = 25 Ω, IAR = −13 A

  Note 4: Repetitive rating: pulse width limited by maximum channel temperature

  Note 5: • on lower left of the marking indicates Pin 1.
          ※ Weekly code:         (Three digits)

                              Week of manufacture
                              (01 for the first week of a year: sequential number up to 52 or 53)

                              Year of manufacture
                              (The last digit of a year)




                                                                2                                                2008-10-17
TPC8118
Electrical Characteristics (Ta = 25°C)

                  Characteristics                 Symbol                Test Condition                 Min    Typ.   Max    Unit

  Gate leakage current                             IGSS       VGS = ±20 V, VDS = 0 V                   ⎯       ⎯     ±100   nA
  Drain cut-OFF current                            IDSS       VDS = −30 V, VGS = 0 V                   ⎯       ⎯     −10    μA
                                                 V (BR) DSS   ID = −10 mA, VGS = 0 V                   −30     ⎯      ⎯
  Drain-source breakdown voltage                                                                                             V
                                                 V (BR) DSX   ID = −10 mA, VGS = 20 V                  −13     ⎯      ⎯
  Gate threshold voltage                            Vth       VDS = −10 V, ID = −1 mA                  −0.8    ⎯     −2.0    V
                                                              VGS = −4 V, ID = −6.5 A                  ⎯       10     15
  Drain-source ON-resistance                     RDS (ON)                                                                   mΩ
                                                              VGS = −10 V, ID = −6.5 A                 ⎯      5.5     7.0
  Forward transfer admittance                       |Yfs|     VDS = −10 V, ID = −6.5 A                 18      36     ⎯      S
  Input capacitance                                 Ciss                                               ⎯      2700    ⎯
  Reverse transfer capacitance                     Crss       VDS = −10 V, VGS = 0 V, f = 1 MHz        ⎯      600     ⎯     pF

  Output capacitance                               Coss                                                ⎯      860     ⎯

                          Rise time                  tr             0V                                 ⎯       9      ⎯
                                                                                      ID = −6.5 A
                                                               VGS
                                                                  −10 V                        VOUT
                          Turn-on time              ton                                                ⎯       18     ⎯




                                                                                          RL = 2.3 Ω
  Switching time                                                          4.7 Ω                                             ns
                          Fall time                  tf                                                ⎯      180     ⎯

                                                                                       VDD ≈ −15 V
                          Turn-off time             toff      Duty ≤ 1%, tw = 10 μs                    ⎯      460     ⎯

  Total gate charge
                                                    Qg                                                 ⎯       65     ⎯
  (gate-source plus gate-drain)
                                                              VDD ≈ −24 V, VGS = −10 V,
                                                                                                                            nC
  Gate-source charge 1                             Qgs1       ID = −13 A                               ⎯       10     ⎯
  Gate-drain (“miller”) charge                      Qgd                                                ⎯       20     ⎯



Source-Drain Ratings and Characteristics (Ta = 25°C)

                  Characteristics                 Symbol                Test Condition                 Min    Typ.   Max    Unit

  Drain reverse
                          Pulse       (Note 1)     IDRP                           ⎯                    ⎯       ⎯     −52     A
  current
  Forward voltage (diode)                          VDSF       IDR = −13 A, VGS = 0 V                   ⎯       ⎯      1.2    V




                                                                 3                                                   2008-10-17
TPC8118


                                                                ID – VDS                                                                              −10                           ID – VDS
                               −20                                                                                                                  −50
                                      −10                     −3.3                  −3                                                                           −4        −3.5           −3.3
                                                                                                                                                                                                          Common source
                                      −8                      −3.5                                                                                                                                        Ta = 25°C
                                                                                        Common source                                                                 −6
                               −16                       −4                                                                                         −40                                                   Pulse test
                                                                                        Ta = 25°C                                                                  −8




                                                                                                                            (A)
            (A)




                                                    −6                                  Pulse test
                                                                                                                                                                                                                  −3




                                                                                                                            ID
                                                                                                  −2.8
            ID




                               −12                                                                                                                  −30




                                                                                                                            Drain current
            Drain current




                                                                                                                                                                                                                   −2.8
                                −8                                                                                                                  −20
                                                                                                  −2.6
                                                                                                                                                                                                                   −2.6

                                −4                                                                                                                  −10
                                                                                          VGS = −2.4 V                                                                                                     VGS = −2.4 V


                                −0                                                                                                                    0
                                  0          -0.2             -0.4          -0.6           -0.8           -1                                           0           −1              −2         −3             −4            −5

                                            Drain−source voltage                   VDS      (V)                                                                  Drain-source voltage               VDS       (V)




                                                                ID – VGS                                                                                                           VDS – VGS
                               −50                                                                                                                 −0.5
                                      Common source                                                                                                                                                       Common source
                                      VDS = −10 V                                                                                                                                                         Ta = 25°C
                                                                                                                            VDS (V)




                                      Pulse test                                                                                                                                                          Pulse test
                               −40                                                                                                                 −0.4
            (A)
            ID




                               −30                                                                                                                 −0.3
                                                                                                                            Drain−source voltage
            Drain current




                               −20                                                                                                                 −0.2

                                                    Ta = 100°C
                                                                                                                                                                                   −3
                               −10                    25°C                                                                                         −0.1                                 −6.5
                                                                          −55°C                                                                                                                     ID = −13 A



                                 0                                                                                                                    0
                                  0           −1               −2            −3             −4            −5                                           0           −4              −8         −12           −16           −20

                                            Gate−source voltage                    VGS      (V)                                                                  Gate−source voltage                VGS       (V)




                                                                |Yfs| – ID                                                                                                        RDS (ON) – ID
                              1000                                                                                                                 1000
                                                                                                                                                            Common source
                                                                                                                                                            Ta = 25°C
                                                                                                                                                            Pulse test
                                                                                                                Drain−source ON resistance
Forward transfer admittance




                              100
                                                                     25
                                                                                                                     RDS (ON) (mΩ)




                                                                                                                                                   100
                                                   Ta = −55°C
         |Yfs| (S)




                                                                            100
                               10

                                                                                                                                                                                    VGS = −4V
                                                                                                                                                    10

                                 1
                                                                                        Common source                                                                                   −10
                                                                                        VDS = −10 V
                                                                                        Pulse test
                               0.1                                                                                                                   1
                                −0.1                     −1                       −10                    −100                                        −0.1                    −1                     −10                   −100

                                                    Drain current            ID     (A)                                                                                 Drain current          ID     (A)




                                                                                                                4                                                                                                      2008-10-17
TPC8118


                                                                       RDS (ON) – Ta                                                                                              IDR – VDS
                                         30                                                                                                       −100
                                               Common source                                                                                                                −5
                                               Pulse test




                                                                                                                         (A)
                                                                                                                                                               −10                        −3
Drain-source ON-resistance




                                                                                                                         IDR
                                                                                                                                                                                              −1
     RDS (ON) (mΩ)




                                         20                                                                                                        −10




                                                                                                                         Drain reverse current
                                                                                   ID = −13, −6.5, −3 A                                                                                                 VGS = 0 V



                                         10       VGS = −4 V                                                                                        −1


                                                                                       ID = −13, −6.5, −3 A
                                                                                                                                                                                                             Common source
                                                            VGS = −10 V                                                                                                                                      Ta = 25°C
                                                                                                                                                                                                             Pulse test
                                         0                                                                                                        −0.1
                                         −80          −40          0          40         80           120      160                                    0          0.2        0.4        -0.6             0.8         1.0      1.2

                                                      Ambient temperature                 Ta     (°C)                                                            Drain−source voltage                    VDS        (V)




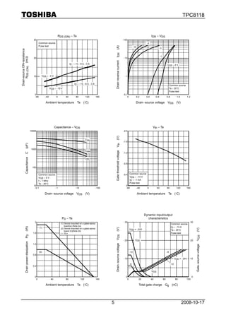
                                                                  Capacitance – VDS                                                                                                Vth – Ta
                                      10000                                                                                                       −2.0
                                                                                                                         Vth (V)




                                                                                                     Ciss
                                                                                                                                                  −1.6
            (pF)




                                      1000
                                                                                                     Coss
                                                                                                                         Gate threshold voltage




                                                                                                                                                  −1.2
            C
            Capacitance




                                                                                                     Crss

                                                                                                                                                  −0.8
                                       100


                                               Common source                                                                                      −0.4 Common source
                                               VGS = 0 V                                                                                                VDS = −10 V
                                               f = 1 MHz                                                                                                ID = −1 mA
                                               Ta = 25°C                                                                                                Pulse test
                                        10                                                                                                           0
                                         −0.1                     −1                    −10                   −100                                   −80      −40    0                  40              80          120      160

                                                      Drain−source voltage                VDS        (V)                                                             Ambient temperature                 Ta        (°C)




                                                                                                                                                                           Dynamic input/output
                                                                          PD – Ta                                                                                             characteristics
                                          2                                                                                                        −30                                                                         −30
                                                                         (1) Device mounted on a glass-epoxy                                                                                                  Common source
                                                                             board(a) (Note 2a)                                                                                                               ID = −13 A
            (W)




                                                (1)
                                                                                                                         VDS (V)




                                                                         (2) Device mounted on a glass-epoxy
                                                                                                                                                                                                                                       (V)




                                                                                                                                                          VDD = −24V                                          Ta = 25°C
                                                                             board (b)(Note 2b)
                                        1.6                              t = 10 s                                                                                                                             Pulse test
            PD




                                                                                                                                                                                                                                       VGS




                                                                                                                                                   −20           VDS                                                           −20
            Drain power dissipation




                                        1.2
                                                                                                                         Drain−source voltage




                                                                                                                                                                                                                                       Gate−source voltage




                                                (2)                                                                                                       −12                                           −6
                                        0.8
                                                                                                                                                   −10                                                             VDD = −24V −10

                                                                                                                                                          −6                                                 −12
                                        0.4

                                                                                                                                                                                  VGS

                                          0                                                                                                          0                                                                             0
                                           0                 40               80               120             160                                    0               20          40               60              80        100

                                                      Ambient temperature                 Ta     (°C)                                                                 Total gate charge             Qg         (nC)




                                                                                                                     5                                                                                                    2008-10-17
TPC8118


                                                                                                                    rth − tw
                                                          1000
                                                                 (1) Device mounted on a glass-epoxy board (a) (Note 2a)
                                                                 (2) Device mounted on a glass-epoxy board (b) (Note 2b)                                (2)
                            Transient thermal impedance
                                                                                                                                                        (1)
                                                          100
                                     rth (°C/W)




                                                           10




                                                             1


                                                                                                                                                Single pulse

                                                           0.1
                                                            0.001                0.01               0.1                    1              10   100             1000

                                                                                                          Pulse width          tw   (s)




                                                           Safe operating area
                -100
                       ID max (Pulse) *




                                                                                1 ms *
(A)




                 -10                                              t = 10 ms *
ID
Drain current




                  -1


                       * Single pulse
                           Ta = 25°C
                       Curves must be derated
                       linearly with increase in
                       temperature.                                              VDSS max
                -0.1
                   -0.1                                     -1                    -10                 -100

                                   Drain−source voltage                            VDS      (V)




                                                                                                                       6                                              2008-10-17
TPC8118




RESTRICTIONS ON PRODUCT USE                                                                             20070701-EN GENERAL

• The information contained herein is subject to change without notice.

• TOSHIBA is continually working to improve the quality and reliability of its products. Nevertheless, semiconductor
  devices in general can malfunction or fail due to their inherent electrical sensitivity and vulnerability to physical
  stress. It is the responsibility of the buyer, when utilizing TOSHIBA products, to comply with the standards of
  safety in making a safe design for the entire system, and to avoid situations in which a malfunction or failure of
  such TOSHIBA products could cause loss of human life, bodily injury or damage to property.
  In developing your designs, please ensure that TOSHIBA products are used within specified operating ranges as
  set forth in the most recent TOSHIBA products specifications. Also, please keep in mind the precautions and
  conditions set forth in the “Handling Guide for Semiconductor Devices,” or “TOSHIBA Semiconductor Reliability
  Handbook” etc.

• The TOSHIBA products listed in this document are intended for usage in general electronics applications
  (computer, personal equipment, office equipment, measuring equipment, industrial robotics, domestic appliances,
  etc.).These TOSHIBA products are neither intended nor warranted for usage in equipment that requires
  extraordinarily high quality and/or reliability or a malfunction or failure of which may cause loss of human life or
  bodily injury (“Unintended Usage”). Unintended Usage include atomic energy control instruments, airplane or
  spaceship instruments, transportation instruments, traffic signal instruments, combustion control instruments,
  medical instruments, all types of safety devices, etc.. Unintended Usage of TOSHIBA products listed in his
  document shall be made at the customer’s own risk.

• The products described in this document shall not be used or embedded to any downstream products of which
  manufacture, use and/or sale are prohibited under any applicable laws and regulations.

• Please contact your sales representative for product-by-product details in this document regarding RoHS
  compatibility. Please use these products in this document in compliance with all applicable laws and regulations
  that regulate the inclusion or use of controlled substances. Toshiba assumes no liability for damage or losses
  occurring as a result of noncompliance with applicable laws and regulations.




                                                          7                                              2008-10-17

Tpc8118

  • 1.
    TPC8118 TOSHIBA Field Effect Transistor Silicon P Channel MOS Type (U-MOSⅤ) TPC8118 Notebook PC Applications Unit: mm • Small footprint due to small and thin package • Low drain-source ON-resistance: RDS (ON) = 5.5 mΩ (typ.) • High forward transfer admittance: |Yfs| = 36 S (typ.) • Low leakage current: IDSS = −10 μA (max) (VDS = −30 V) • Enhancement mode: Vth = −0.8 to −2.0 V (VDS = −10 V, ID = −1 mA) Absolute Maximum Ratings (Ta = 25°C) Characteristics Symbol Rating Unit Drain-source voltage VDSS −30 V Drain-gate voltage (RGS = 20 kΩ) VDGR −30 V Gate-source voltage VGSS ±20 V DC (Note 1) ID −13 Drain current A Pulse (Note 1) IDP −52 Drain power dissipation (t = 10 s) PD 1.9 W (Note 2a) JEDEC ― Drain power dissipation (t = 10 s) PD 1.0 W (Note 2b) JEITA ― Single pulse avalanche energy EAS 110 mJ TOSHIBA 2-6J1B (Note 3) Avalanche current IAR −13 A Weight: 0.080 g (typ.) Repetitive avalanche energy EAR 0.030 mJ (Note 2a) (Note 4) Channel temperature Tch 150 °C Circuit Configuration Storage temperature range Tstg −55 to 150 °C 8 7 6 5 Note 1, Note 2, Note 3 and Note 4: See the next page. Using continuously under heavy loads (e.g. the application of high temperature/current/voltage and the significant change in temperature, etc.) may cause this product to decrease in the reliability significantly even if the operating conditions (i.e. operating temperature/current/voltage, etc.) are within the absolute maximum 1 2 3 4 ratings. Please design the appropriate reliability upon reviewing the Toshiba Semiconductor Reliability Handbook (“Handling Precautions”/“Derating Concept and Methods”) and individual reliability data (i.e. reliability test report and estimated failure rate, etc). This transistor is an electrostatic-sensitive device. Handle with care. 1 2008-10-17
  • 2.
    TPC8118 Thermal Characteristics Characteristics Symbol Max Unit Thermal resistance, channel to ambient Rth (ch-a) 65.8 °C/W (t = 10 s) (Note 2a) Thermal resistance, channel to ambient Rth (ch-a) 125 °C/W (t = 10 s) (Note 2b) Marking (Note 5) TPC8118 Part No. (or abbreviation code) Lot No. (weekly code) A line indicates Lead(Pb)-Free Finish Note 1: Ensure that the channel temperature does not exceed 150°C. Note 2: (a) Device mounted on a glass-epoxy board (a) (b) Device mounted on a glass-epoxy board (b) FR-4 FR-4 25.4 × 25.4 × 0.8 25.4 × 25.4 × 0.8 (Unit: mm) (Unit: mm) (a) (b) Note 3: VDD = −24 V, Tch = 25°C (initial), L = 500 μH, RG = 25 Ω, IAR = −13 A Note 4: Repetitive rating: pulse width limited by maximum channel temperature Note 5: • on lower left of the marking indicates Pin 1. ※ Weekly code: (Three digits) Week of manufacture (01 for the first week of a year: sequential number up to 52 or 53) Year of manufacture (The last digit of a year) 2 2008-10-17
  • 3.
    TPC8118 Electrical Characteristics (Ta= 25°C) Characteristics Symbol Test Condition Min Typ. Max Unit Gate leakage current IGSS VGS = ±20 V, VDS = 0 V ⎯ ⎯ ±100 nA Drain cut-OFF current IDSS VDS = −30 V, VGS = 0 V ⎯ ⎯ −10 μA V (BR) DSS ID = −10 mA, VGS = 0 V −30 ⎯ ⎯ Drain-source breakdown voltage V V (BR) DSX ID = −10 mA, VGS = 20 V −13 ⎯ ⎯ Gate threshold voltage Vth VDS = −10 V, ID = −1 mA −0.8 ⎯ −2.0 V VGS = −4 V, ID = −6.5 A ⎯ 10 15 Drain-source ON-resistance RDS (ON) mΩ VGS = −10 V, ID = −6.5 A ⎯ 5.5 7.0 Forward transfer admittance |Yfs| VDS = −10 V, ID = −6.5 A 18 36 ⎯ S Input capacitance Ciss ⎯ 2700 ⎯ Reverse transfer capacitance Crss VDS = −10 V, VGS = 0 V, f = 1 MHz ⎯ 600 ⎯ pF Output capacitance Coss ⎯ 860 ⎯ Rise time tr 0V ⎯ 9 ⎯ ID = −6.5 A VGS −10 V VOUT Turn-on time ton ⎯ 18 ⎯ RL = 2.3 Ω Switching time 4.7 Ω ns Fall time tf ⎯ 180 ⎯ VDD ≈ −15 V Turn-off time toff Duty ≤ 1%, tw = 10 μs ⎯ 460 ⎯ Total gate charge Qg ⎯ 65 ⎯ (gate-source plus gate-drain) VDD ≈ −24 V, VGS = −10 V, nC Gate-source charge 1 Qgs1 ID = −13 A ⎯ 10 ⎯ Gate-drain (“miller”) charge Qgd ⎯ 20 ⎯ Source-Drain Ratings and Characteristics (Ta = 25°C) Characteristics Symbol Test Condition Min Typ. Max Unit Drain reverse Pulse (Note 1) IDRP ⎯ ⎯ ⎯ −52 A current Forward voltage (diode) VDSF IDR = −13 A, VGS = 0 V ⎯ ⎯ 1.2 V 3 2008-10-17
  • 4.
    TPC8118 ID – VDS −10 ID – VDS −20 −50 −10 −3.3 −3 −4 −3.5 −3.3 Common source −8 −3.5 Ta = 25°C Common source −6 −16 −4 −40 Pulse test Ta = 25°C −8 (A) (A) −6 Pulse test −3 ID −2.8 ID −12 −30 Drain current Drain current −2.8 −8 −20 −2.6 −2.6 −4 −10 VGS = −2.4 V VGS = −2.4 V −0 0 0 -0.2 -0.4 -0.6 -0.8 -1 0 −1 −2 −3 −4 −5 Drain−source voltage VDS (V) Drain-source voltage VDS (V) ID – VGS VDS – VGS −50 −0.5 Common source Common source VDS = −10 V Ta = 25°C VDS (V) Pulse test Pulse test −40 −0.4 (A) ID −30 −0.3 Drain−source voltage Drain current −20 −0.2 Ta = 100°C −3 −10 25°C −0.1 −6.5 −55°C ID = −13 A 0 0 0 −1 −2 −3 −4 −5 0 −4 −8 −12 −16 −20 Gate−source voltage VGS (V) Gate−source voltage VGS (V) |Yfs| – ID RDS (ON) – ID 1000 1000 Common source Ta = 25°C Pulse test Drain−source ON resistance Forward transfer admittance 100 25 RDS (ON) (mΩ) 100 Ta = −55°C |Yfs| (S) 100 10 VGS = −4V 10 1 Common source −10 VDS = −10 V Pulse test 0.1 1 −0.1 −1 −10 −100 −0.1 −1 −10 −100 Drain current ID (A) Drain current ID (A) 4 2008-10-17
  • 5.
    TPC8118 RDS (ON) – Ta IDR – VDS 30 −100 Common source −5 Pulse test (A) −10 −3 Drain-source ON-resistance IDR −1 RDS (ON) (mΩ) 20 −10 Drain reverse current ID = −13, −6.5, −3 A VGS = 0 V 10 VGS = −4 V −1 ID = −13, −6.5, −3 A Common source VGS = −10 V Ta = 25°C Pulse test 0 −0.1 −80 −40 0 40 80 120 160 0 0.2 0.4 -0.6 0.8 1.0 1.2 Ambient temperature Ta (°C) Drain−source voltage VDS (V) Capacitance – VDS Vth – Ta 10000 −2.0 Vth (V) Ciss −1.6 (pF) 1000 Coss Gate threshold voltage −1.2 C Capacitance Crss −0.8 100 Common source −0.4 Common source VGS = 0 V VDS = −10 V f = 1 MHz ID = −1 mA Ta = 25°C Pulse test 10 0 −0.1 −1 −10 −100 −80 −40 0 40 80 120 160 Drain−source voltage VDS (V) Ambient temperature Ta (°C) Dynamic input/output PD – Ta characteristics 2 −30 −30 (1) Device mounted on a glass-epoxy Common source board(a) (Note 2a) ID = −13 A (W) (1) VDS (V) (2) Device mounted on a glass-epoxy (V) VDD = −24V Ta = 25°C board (b)(Note 2b) 1.6 t = 10 s Pulse test PD VGS −20 VDS −20 Drain power dissipation 1.2 Drain−source voltage Gate−source voltage (2) −12 −6 0.8 −10 VDD = −24V −10 −6 −12 0.4 VGS 0 0 0 0 40 80 120 160 0 20 40 60 80 100 Ambient temperature Ta (°C) Total gate charge Qg (nC) 5 2008-10-17
  • 6.
    TPC8118 rth − tw 1000 (1) Device mounted on a glass-epoxy board (a) (Note 2a) (2) Device mounted on a glass-epoxy board (b) (Note 2b) (2) Transient thermal impedance (1) 100 rth (°C/W) 10 1 Single pulse 0.1 0.001 0.01 0.1 1 10 100 1000 Pulse width tw (s) Safe operating area -100 ID max (Pulse) * 1 ms * (A) -10 t = 10 ms * ID Drain current -1 * Single pulse Ta = 25°C Curves must be derated linearly with increase in temperature. VDSS max -0.1 -0.1 -1 -10 -100 Drain−source voltage VDS (V) 6 2008-10-17
  • 7.
    TPC8118 RESTRICTIONS ON PRODUCTUSE 20070701-EN GENERAL • The information contained herein is subject to change without notice. • TOSHIBA is continually working to improve the quality and reliability of its products. Nevertheless, semiconductor devices in general can malfunction or fail due to their inherent electrical sensitivity and vulnerability to physical stress. It is the responsibility of the buyer, when utilizing TOSHIBA products, to comply with the standards of safety in making a safe design for the entire system, and to avoid situations in which a malfunction or failure of such TOSHIBA products could cause loss of human life, bodily injury or damage to property. In developing your designs, please ensure that TOSHIBA products are used within specified operating ranges as set forth in the most recent TOSHIBA products specifications. Also, please keep in mind the precautions and conditions set forth in the “Handling Guide for Semiconductor Devices,” or “TOSHIBA Semiconductor Reliability Handbook” etc. • The TOSHIBA products listed in this document are intended for usage in general electronics applications (computer, personal equipment, office equipment, measuring equipment, industrial robotics, domestic appliances, etc.).These TOSHIBA products are neither intended nor warranted for usage in equipment that requires extraordinarily high quality and/or reliability or a malfunction or failure of which may cause loss of human life or bodily injury (“Unintended Usage”). Unintended Usage include atomic energy control instruments, airplane or spaceship instruments, transportation instruments, traffic signal instruments, combustion control instruments, medical instruments, all types of safety devices, etc.. Unintended Usage of TOSHIBA products listed in his document shall be made at the customer’s own risk. • The products described in this document shall not be used or embedded to any downstream products of which manufacture, use and/or sale are prohibited under any applicable laws and regulations. • Please contact your sales representative for product-by-product details in this document regarding RoHS compatibility. Please use these products in this document in compliance with all applicable laws and regulations that regulate the inclusion or use of controlled substances. Toshiba assumes no liability for damage or losses occurring as a result of noncompliance with applicable laws and regulations. 7 2008-10-17