1
TENSILE TEST M.MANOGO
AIM
The aim of a tensile test is to determine some certain material properties like yield
strength, modulus of elasticity, ultimate tensile strength, elongation till fracture and
reduction in area of the specimen after it has been deformed.
Tension tests provide information on the ductility and strength of materials under
uniaxial tensile stress. The test is performed at room temperature (10°C - 38°C). The
measurement of the ductility of a material is simply the reduction of area and we
acquire that after the specimen has been deformed.
The test is going to produce the stress-strain relationship and explain how the
material properties make up the curve, like the yield point as the point where strain
increases and the material experiences some amount of permanent deformation and
the point where the curve begins to fall, the material’s ultimate tensile strength has
been reached. This point is the maximum stress that can be applied to a material
under tension before failure (reference). See figure 1.
TEST SAMPLE
The sample must be the ASTM E8/E8M flat metal alloy specimen with a width of
12.5mm and gauge length of 50mm.
2
APPARATUS
TENSILE TESTING MACHINE
The tensile is performed using an 8801 Instron testing machine. The machine has
proper capabilities to test the flat specimen. The machine has four main parameters:
force capacity, speed, precision and accuracy. Force capacity refers to the fact that
the machine must generate enough force to fracture the specimen.
The machine has the capabilities to properly align the specimen before the test
begins. Alignment for the specimen is critical, if the specimen is misalignment, the
machine will apply a bending force, this is bad for brittle materials because the results
will be skewed. (reference).
EXTENSOMETER
An extensometer measures the test specimen elongation to characterize strain. Using
the strain and the effective stress you can calculate the modulus of elasticity. The
extensometer has a specific software that enables it to record data.
VERNIER CALIPER
An instrument that can be used to measure internal and external distances extremely
accurately. Its scale has an accuracy of 0.01mm. It is used to measure dimeters and
length of the specimen.
SPECIMEN
An ASTM E8/E8M flat type specimen with a 50mm gauge length.
TEST PROCEDURE
Measure each specimen with Vernier callipers to determine the initial cross-sectional
area and average diameter. Then mark the specimens gauge length so that the
distance between the two marks could be measured after. (reference).
Make sure the extensometer and the computer are on the same required method
for the procedure, put it in settings then zero the load cell.
Install the specimen into the grip and make sure the crosshead is in a suitable
position so that the specimen can fit between the jaws. Attach the extensometer,
manually zero the force and extension on the keypad. Set the test settings so that the
extensometer stops at 5mm extension then test the specimen. Do not make any
adjustments when the test is running.
When the specimen fractures the machine will automatically stop, take the
specimen and measure the final gauge length, width and thickness. Take readings
from screen then save your results.
3
SAFETY MEASURES
The ASTM E8/E5M standard have a lot of safety precautions. Here are some
precautions:
 The grips of the testing machine must be serrated so that there is no slippage
of the specimen.
 If the specimen breaks due to any reason other than the tensile stress, the
results should be discarded, and a new test should be performed on a new
specimen.
 The misalignment of the specimen should not be allowed.
 Thickness of the specimen should be according to the related standard.
 Safety boots should always be worn.
RESULTS
MATERIAL IDENTFICATION: Steel
Sample Identification
ASTM E8M
Flat
specimen
Data
Specimen details before testing
Width mm 12.51 +- 0.01
Thickness mm 2.95 +- 0.01
Cross sectional Area mm2 36.90
Gauge length to be marked on specimen mm 50 +- 0.01
Specimen details after testing
Final Gauge Length mm 54.97
Width (final) mm 10.77
Thickness (final) mm 2.01
Final Area mm2 21.61
Comments: The width and thickness of the specimen
decreases as the test proceeds, this causes the
cross
sectional area to also decrease. The gauge length
increases.
4
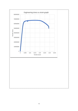
0
100000000
200000000
300000000
400000000
500000000
600000000
700000000
800000000
0 0,005 0,01 0,015 0,02 0,025 0,03 0,035
Tensilestress
Tensile strain
Engineering stress vs strain graph
5
(The Engineering Stress versus Strain relationship for
determining the 0.2% proof stress.)
0
100000000
200000000
300000000
400000000
500000000
600000000
700000000
800000000
0 0,005 0,01 0,015 0,02 0,025 0,03 0,035
Tensilestress
Tensile strain
Engineering stress vs strain graph
6
Description of tests: Tensile data and calculated results
MATERIAL: STEEL
Date: 09:54:16
Sample Identification
Ultimate Tensile Stress MPa
= 24870
36.90
= 673.98
Proportional limit MPa
Yield Stress MPa
= 427.61
0.2% Proof Stress MPa 655.35
Fracture Stress MPa 500.01
%-Elongation %
%Elongation
= 54,97 – 50 x 100
50
= 9.94 %
%-Reduction in area %
%Reduction in area
= 31.90 – 21.61 x 100
31.90
= 32.26 %
7
Modules of Elasticity GPa = 213.80
Modules of Resilience MJ/m3
= (427.61)^2
2(213803.03)
= 0.43
Modules of Toughness MJ/m3
=
= ½ stress x strain
= ½ (673872314.5) x (0.0291)
=9804842.18
=9.80
DISCUSSION
The tensile test determines mechanical properties of a material. The properties
determined in this test are ultimate tensile strength, yield stress, elongation, and
reduction in area. The properties were calculated in the table above.
The results obtained from the test and the ones calculated shows that the
specimen undergoes ductile fracture. The reduction in areas and the modulus of
toughness shows that the steel used is ductile, a material with high ductility and high
strength will have more toughness and a material with low ductility and low strength
will have low toughness. The material elongated between the onset of yield and
eventually fractured at some point while under tensile load.
Two methods are used to measure ductility:
 Reduction in area of fractured region
8
 Percentage elongation after fracture
Where:
 Ao – Initial cross – sectional area of the tensile specimen
 Af – Final cross – sectional area of the tensile specimen
 Li – Initial gauge length of the tensile specimen
 Lf – Final gauge length of the tensile specimen
On the test the reduction in area was 32.26% while the percentage increase in length
was 9.94%. The shape of the tensile specimen plays a major role in the determination
of its ductility.
The trend portrays a linear elastic behaviour up to the proportional limit. The amount
of tensile stress applied before plastic deformation (yield point) produces below 0.005
of tensile strain.
The yield strength must be calculated from 0.2% strain. An intersection between the
0.2% offset line and the stress – strain curve represents the yield strength at 0.2%
offset line. The line intercepting the 0.2% offset line and the stress – strain curve must
be drawn from 0.2% strain parallel the slope of the stress – strain curve intercepting
at the yield point. The yield strength values have to be replaced by the ultimate tensile
strength values for safety in engineering designs.
In engineering safety, we look at a few considerations:
 The consequences of failed structures
 Estimation of deterioration
 The accuracy of the loads used in the components and structure
Comparison of an already existing labelled stress – strain curve and the one obtained
in the experiment.
Tensile tests are used to asses quality of materials manufactured all around the world.
The test is extremely important and essential to perform to measure the quality of
materials under tension forces. The test determines the strength of various metals.
9
10
REFERENCES
Clausin, D. P., 1966. The Tensile Fracture of Mild Steel, California: Carlifonia
Institute of Technology.
COLLINS, D., 2019. Linear Motiontips. [Online]
Available at: http://www.linearmotiontips.com
[Accessed 19 april 2020].
Commitee, A., 2016. Standard Test Methods for Tension Testing of Metallic
Metarials, West Coshohoken: ASTM International.
Davis, J. R., 2004. Tensile testing. 2nd ed. Ohio: ASM International.
Hibbeler, R. C., 2011. Mechanics of materials. 8th ed. New York: Cloth.
Spiret, M., 2019. How to perfom a tension strength test on metals according to
ASTM
E8/E8M. The definitive guide to ASTM E8/E8M tension testing of metals, iii(11), p.
90.
Spiret, M., 2020. INSTRON. [Online]
Available at: http://www.instron.com
[Accessed 21 APRIL 2020].
Wikipedia, 2019. wikipedia. [Online]
Available at: http://www.wikipedia.com
[Accessed 26 April 2020].

Tensile test

  • 1.
    1 TENSILE TEST M.MANOGO AIM Theaim of a tensile test is to determine some certain material properties like yield strength, modulus of elasticity, ultimate tensile strength, elongation till fracture and reduction in area of the specimen after it has been deformed. Tension tests provide information on the ductility and strength of materials under uniaxial tensile stress. The test is performed at room temperature (10°C - 38°C). The measurement of the ductility of a material is simply the reduction of area and we acquire that after the specimen has been deformed. The test is going to produce the stress-strain relationship and explain how the material properties make up the curve, like the yield point as the point where strain increases and the material experiences some amount of permanent deformation and the point where the curve begins to fall, the material’s ultimate tensile strength has been reached. This point is the maximum stress that can be applied to a material under tension before failure (reference). See figure 1. TEST SAMPLE The sample must be the ASTM E8/E8M flat metal alloy specimen with a width of 12.5mm and gauge length of 50mm.
  • 2.
    2 APPARATUS TENSILE TESTING MACHINE Thetensile is performed using an 8801 Instron testing machine. The machine has proper capabilities to test the flat specimen. The machine has four main parameters: force capacity, speed, precision and accuracy. Force capacity refers to the fact that the machine must generate enough force to fracture the specimen. The machine has the capabilities to properly align the specimen before the test begins. Alignment for the specimen is critical, if the specimen is misalignment, the machine will apply a bending force, this is bad for brittle materials because the results will be skewed. (reference). EXTENSOMETER An extensometer measures the test specimen elongation to characterize strain. Using the strain and the effective stress you can calculate the modulus of elasticity. The extensometer has a specific software that enables it to record data. VERNIER CALIPER An instrument that can be used to measure internal and external distances extremely accurately. Its scale has an accuracy of 0.01mm. It is used to measure dimeters and length of the specimen. SPECIMEN An ASTM E8/E8M flat type specimen with a 50mm gauge length. TEST PROCEDURE Measure each specimen with Vernier callipers to determine the initial cross-sectional area and average diameter. Then mark the specimens gauge length so that the distance between the two marks could be measured after. (reference). Make sure the extensometer and the computer are on the same required method for the procedure, put it in settings then zero the load cell. Install the specimen into the grip and make sure the crosshead is in a suitable position so that the specimen can fit between the jaws. Attach the extensometer, manually zero the force and extension on the keypad. Set the test settings so that the extensometer stops at 5mm extension then test the specimen. Do not make any adjustments when the test is running. When the specimen fractures the machine will automatically stop, take the specimen and measure the final gauge length, width and thickness. Take readings from screen then save your results.
  • 3.
    3 SAFETY MEASURES The ASTME8/E5M standard have a lot of safety precautions. Here are some precautions:  The grips of the testing machine must be serrated so that there is no slippage of the specimen.  If the specimen breaks due to any reason other than the tensile stress, the results should be discarded, and a new test should be performed on a new specimen.  The misalignment of the specimen should not be allowed.  Thickness of the specimen should be according to the related standard.  Safety boots should always be worn. RESULTS MATERIAL IDENTFICATION: Steel Sample Identification ASTM E8M Flat specimen Data Specimen details before testing Width mm 12.51 +- 0.01 Thickness mm 2.95 +- 0.01 Cross sectional Area mm2 36.90 Gauge length to be marked on specimen mm 50 +- 0.01 Specimen details after testing Final Gauge Length mm 54.97 Width (final) mm 10.77 Thickness (final) mm 2.01 Final Area mm2 21.61 Comments: The width and thickness of the specimen decreases as the test proceeds, this causes the cross sectional area to also decrease. The gauge length increases.
  • 4.
    4 0 100000000 200000000 300000000 400000000 500000000 600000000 700000000 800000000 0 0,005 0,010,015 0,02 0,025 0,03 0,035 Tensilestress Tensile strain Engineering stress vs strain graph
  • 5.
    5 (The Engineering Stressversus Strain relationship for determining the 0.2% proof stress.) 0 100000000 200000000 300000000 400000000 500000000 600000000 700000000 800000000 0 0,005 0,01 0,015 0,02 0,025 0,03 0,035 Tensilestress Tensile strain Engineering stress vs strain graph
  • 6.
    6 Description of tests:Tensile data and calculated results MATERIAL: STEEL Date: 09:54:16 Sample Identification Ultimate Tensile Stress MPa = 24870 36.90 = 673.98 Proportional limit MPa Yield Stress MPa = 427.61 0.2% Proof Stress MPa 655.35 Fracture Stress MPa 500.01 %-Elongation % %Elongation = 54,97 – 50 x 100 50 = 9.94 % %-Reduction in area % %Reduction in area = 31.90 – 21.61 x 100 31.90 = 32.26 %
  • 7.
    7 Modules of ElasticityGPa = 213.80 Modules of Resilience MJ/m3 = (427.61)^2 2(213803.03) = 0.43 Modules of Toughness MJ/m3 = = ½ stress x strain = ½ (673872314.5) x (0.0291) =9804842.18 =9.80 DISCUSSION The tensile test determines mechanical properties of a material. The properties determined in this test are ultimate tensile strength, yield stress, elongation, and reduction in area. The properties were calculated in the table above. The results obtained from the test and the ones calculated shows that the specimen undergoes ductile fracture. The reduction in areas and the modulus of toughness shows that the steel used is ductile, a material with high ductility and high strength will have more toughness and a material with low ductility and low strength will have low toughness. The material elongated between the onset of yield and eventually fractured at some point while under tensile load. Two methods are used to measure ductility:  Reduction in area of fractured region
  • 8.
    8  Percentage elongationafter fracture Where:  Ao – Initial cross – sectional area of the tensile specimen  Af – Final cross – sectional area of the tensile specimen  Li – Initial gauge length of the tensile specimen  Lf – Final gauge length of the tensile specimen On the test the reduction in area was 32.26% while the percentage increase in length was 9.94%. The shape of the tensile specimen plays a major role in the determination of its ductility. The trend portrays a linear elastic behaviour up to the proportional limit. The amount of tensile stress applied before plastic deformation (yield point) produces below 0.005 of tensile strain. The yield strength must be calculated from 0.2% strain. An intersection between the 0.2% offset line and the stress – strain curve represents the yield strength at 0.2% offset line. The line intercepting the 0.2% offset line and the stress – strain curve must be drawn from 0.2% strain parallel the slope of the stress – strain curve intercepting at the yield point. The yield strength values have to be replaced by the ultimate tensile strength values for safety in engineering designs. In engineering safety, we look at a few considerations:  The consequences of failed structures  Estimation of deterioration  The accuracy of the loads used in the components and structure Comparison of an already existing labelled stress – strain curve and the one obtained in the experiment. Tensile tests are used to asses quality of materials manufactured all around the world. The test is extremely important and essential to perform to measure the quality of materials under tension forces. The test determines the strength of various metals.
  • 9.
  • 10.
    10 REFERENCES Clausin, D. P.,1966. The Tensile Fracture of Mild Steel, California: Carlifonia Institute of Technology. COLLINS, D., 2019. Linear Motiontips. [Online] Available at: http://www.linearmotiontips.com [Accessed 19 april 2020]. Commitee, A., 2016. Standard Test Methods for Tension Testing of Metallic Metarials, West Coshohoken: ASTM International. Davis, J. R., 2004. Tensile testing. 2nd ed. Ohio: ASM International. Hibbeler, R. C., 2011. Mechanics of materials. 8th ed. New York: Cloth. Spiret, M., 2019. How to perfom a tension strength test on metals according to ASTM E8/E8M. The definitive guide to ASTM E8/E8M tension testing of metals, iii(11), p. 90. Spiret, M., 2020. INSTRON. [Online] Available at: http://www.instron.com [Accessed 21 APRIL 2020]. Wikipedia, 2019. wikipedia. [Online] Available at: http://www.wikipedia.com [Accessed 26 April 2020].