Calculus III
Calculus III
TAYLOR AND MACLAURIN
 how to represent certain types of functions as sums of power series
 You might wonder why we would ever want to express a known function
as a sum of infinitely many terms.
 Integration. (Easy to integrate polynomials)
Finding limit
 Finding a sum of a series (not only geometric, telescoping)
 dx
ex2
2
0
1
lim
x
x
ex
x



TAYLOR AND MACLAURIN
Example: x
e
x
f 
)
(




0
n
n
n
x
x
c
e 







 5
5
4
4
3
3
2
2
1
0 x
c
x
c
x
c
x
c
x
c
c
Maclaurin series ( center is 0 )
Example:
x
x
f cos
)
( 
Find Maclaurin series
TAYLOR AND MACLAURIN
Important Maclaurin Series and Their Radii of Convergence
MEMORIZE: these Maclaurin Series
TAYLOR AND MACLAURIN
Maclaurin series ( center is 0 )
Example:
x
x
f 1
tan
)
( 

Find Maclaurin series
TAYLOR AND MACLAURIN
TERM-081
TAYLOR AND MACLAURIN
TERM-091
TAYLOR AND MACLAURIN
TERM-101
: TAYLOR AND MACLAURIN
TERM-082
)
2
cos(
cos 2
1
2
1
2
x
x 

Sec 11.9 & 11.10: TAYLOR AND MACLAURIN
TERM-102
Sec 11.9 & 11.10: TAYLOR AND MACLAURIN
TERM-091
TAYLOR AND MACLAURIN
Maclaurin series ( center is 0 )
Example:



0 !
1
n n
Find the sum of the series
TAYLOR AND MACLAURIN
TERM-102
TAYLOR AND MACLAURIN
TERM-082
TAYLOR AND MACLAURIN
Leibniz’s formula:
Example: Find the sum








0
1
2
1
1
2
)
1
(
)
(
tan
n
n
n
n
x
x







7
5
3
)
(
tan
7
5
3
1 x
x
x
x
x


 

0 1
2
)
1
(
n
n
n






7
1
5
1
3
1
1
TAYLOR AND MACLAURIN
Important Maclaurin Series and Their Radii of Convergence
MEMORIZE: these Maclaurin Series
The Binomial Series
Example:









3
3
/
1
!
3
)
2
3
1
)(
1
3
1
(
3
1


81
5

DEF:
6
)
3
5
)(
3
2
(
3
1



Example:









5
2
/
1
!
5
)
4
2
1
)(
3
2
1
)(
2
2
1
)(
1
2
1
(
2
1




The Binomial Series
binomial series.
NOTE:
1
0








 k
k
k
k










!
1
1 !
2
)
1
(
!
2
2










 k
k
k
k
The Binomial Series
TERM-101
binomial series.
The Binomial Series
TERM-092
binomial series.
TAYLOR AND MACLAURIN
Important Maclaurin Series and Their Radii of Convergence
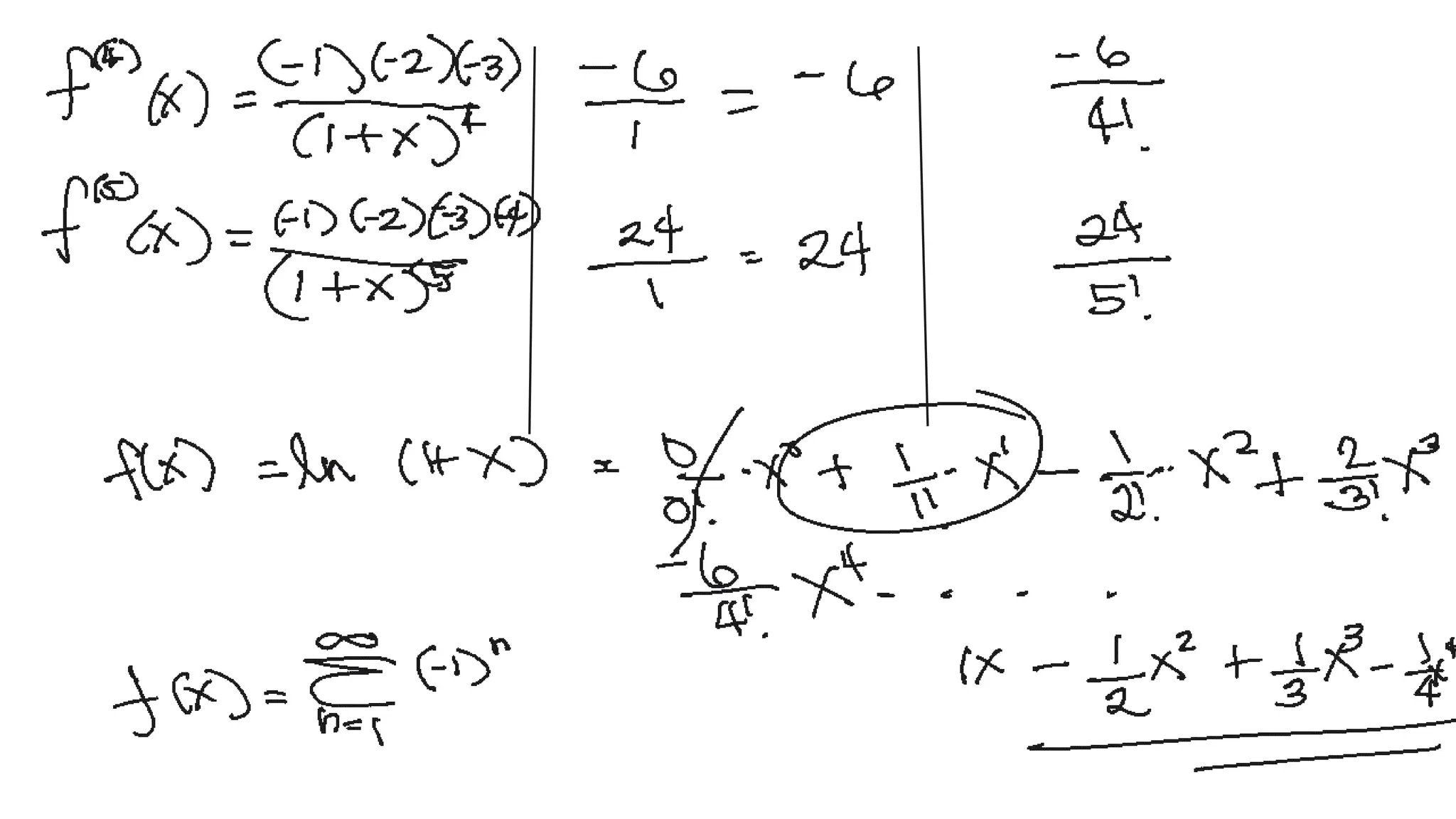
Example:
)
1
ln(
)
( x
x
f 

Find Maclaurin series
TAYLOR AND MACLAURIN
TERM-102
TAYLOR AND MACLAURIN
TERM-111
TAYLOR AND MACLAURIN
TERM-101
TAYLOR AND MACLAURIN
TERM-082
TAYLOR AND MACLAURIN
Important Maclaurin Series and Their Radii of Convergence
MEMORIZE: these Maclaurin Series
TAYLOR AND MACLAURIN
Maclaurin series ( center is 0 )
Taylor series ( center is a )
TAYLOR AND MACLAURIN
TERM-091
TAYLOR AND MACLAURIN
TERM-092
TAYLOR AND MACLAURIN
TERM-082
TAYLOR AND MACLAURIN
Taylor series ( center is a )
Taylor polynomial of order n
DEF:
TAYLOR AND MACLAURIN
TERM-102
The Taylor polynomial of order 3 generated by the function f(x)=ln(3+x) at a=1 is:
Taylor polynomial of order n
DEF:
TAYLOR AND MACLAURIN
TERM-101
TAYLOR AND MACLAURIN
TERM-081
TAYLOR AND MACLAURIN
Taylor series ( center is a )





0
)
(
)
(
!
)
(
)
(
k
k
k
a
x
k
a
f
x
f
Taylor polynomial of order n




n
k
k
k
n a
x
k
a
f
x
P
0
)
(
)
(
!
)
(
)
(
Remainder






1
)
(
)
(
!
)
(
)
(
n
k
k
k
n a
x
k
a
f
x
R
Taylor Series
)
(
)
(
)
( x
R
x
P
x
f n
n 

Remainder consist of infinite terms
k
n
n a
x
n
c
f
x
R )
(
)!
1
(
)
(
)
(
)
1
(




for some c between a and x.
Taylor’s Formula
REMARK: )
(
not
)
( )
1
(
)
1
(
a
f
c
f n
n 

Observe that :
TAYLOR AND MACLAURIN
k
n
n a
x
n
c
f
x
R )
(
)!
1
(
)
(
)
(
)
1
(




for some c between a and x.
Taylor’s Formula
k
n
n x
n
c
f
x
R
)!
1
(
)
(
)
(
)
1
(



for some c between 0 and x.
Taylor’s Formula
TAYLOR AND MACLAURIN
Taylor series ( center is a )
nth-degree Taylor polynomial of f at a.
DEF:
Remainder
DEF:
)
(
)
(
)
( x
T
x
f
x
R n
n 

Example: 





0
1
1
)
(
n
n
x
x
x
f 3
2
3
0
3 1
)
( x
x
x
x
x
T
n
n















6
5
4
4
3 )
( x
x
x
x
x
R
n
n
TAYLOR AND MACLAURIN
TERM-092
TAYLOR AND MACLAURIN
TERM-081

Taylor_and_Maclaurin_Series (2).ppt