Systematic Review & Meta-
analysis
Ahmad Abed Ahmadi BSPH, MSc
Types of Review
• Narrative review
• Systematic review
• Scoping review
• Rapid review
• Cochrane systematic review
• Meta analysis
• Network meta analysis
• Individual patient data (IPD) meta analysis
Types of Review
• Systematic review (Qualitative summary)
• Meta-analysis (Quantitative summary)
How to conduct a review
Why bother
• Good questions
• Timely topics
• Topics with multiple studies
• Topics with conflicting results
Formulating the question
• Specific and spliced
• Don’t take a random question
• The question doesn’t need to be complex
• You don’t need to always be first
• You should select a topic of your interest
• Use the PICO
Research Question
How does a social history of smoking in
patients diagnosed with COVID-19 affect
disease severity?
P- COVID-19 patients who are smokers
I- Active smoking in COVID-19 patients
C- COVID-19 patients who are non-smokers
O- Disease progression, intensive care unit admission, need for
mechanical ventilation, and mortality
Draft your research strategy
• Question
• How does a social history of smoking in patients diagnosed
with COVID-19 affect disease severity?
• Keywords
• smoking status
• COVID‐19
• Inclusion
• Randomized, and observational studies reporting the smoking status of
hospitalized patients presenting with different severities of disease and/or at
least one clinical endpoint of interest.
Draft your research strategy
• Exclusion
• Studies on other coronaviruses or if there was insufficient information to
distinguish disease severity based on smoking status.
• Case series involving less than 20 patients, review articles, editorials,
conference abstracts, and nonclinical studies as well as Preprints.
• Search limits
• No language limitations
Register your study
• Register in Prospero
Performing the review
• Be systematic in your search
• Source of articles
• Pubmed (medline)
• EMBASE
• Cochrane central register of trials
• Other topic specific
• Grey literature (google scholar)
• Reference section of articles
Searching for articles
• Controlled vocabulary
• MeSH headings – for medline
• Embase - Emtree
Screen search results
1038
688
350
315
35
12
47
Tools to stay organized
• Rayyan
• Covidence
• Revman
• Cochrane
Quality assessment
• Observational studies
• Newcastle Ottawa scales (better if 2 people do it independitly)
• Robins-1
• Randomized trials
• Cochrane tool
When to meta analysis
• Multiple high quality studies with:
• Similar design
• Population
• Comparator(s), and
• Similar outcomes
When to not meta analyze
• Studies or (study outcomes) are too heterogeneous
• Too few studies available
• Studies are too low quality
What does meta analysis gives you
• Graphical display to:
• Illustrate the strength of effects among studies
• Examine uncertainty around individual studies
• Visually apprise evidence of heterogeneity
• Report combined effect of the individual studies
• Concisely summarize strength of effect, precision and heterogeneity
Estimating a summary measure (Pooled
effect)
Weighting options:
• Fixed effects
• Random effects
Types of between study heterogeneity
• Clinical
• Participant characteristics
• Exposures/interventions
• outcomes
• Methodological
• Study design
• Study quality
• Statistical
Forest plot
showing
the effect
of current
smoking
on severe
COVID‐19
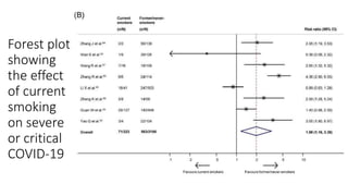
Forest plot
showing
the effect
of current
smoking
on severe
or critical
COVID‐19
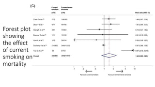
Forest plot
showing
the effect
of current
smoking on
mortality
Forest plot
showing the
effect of a
smoking
history on
severe
COVID‐19
Forest plot
showing the
effect of a
smoking
history on
severe or
critical
COVID‐19
Forest plot
showing
the effect
of a
smoking
history on
mortality
Advantages of meta-analysis
• Results can be generalized to a larger population
• The precision and accuracy of estimates can be improved as more
data is used. This, in turn, may increase the statistical power to detect
an effect.
• Inconsistency of results across studies can be quantified and
analyzed. For instance, does inconsistency arise from sampling error,
or are study results (partially) influenced by between-study
heterogeneity.
• Hypothesis testing can be applied on summary estimates,
• Moderators can be included to explain variation between studies
Pitfalls
• A meta-analysis of several small studies does not predict the results of a
single large study.
• Some have argued that a weakness of the method is that sources of bias
are not controlled by the method:
• a good meta-analysis of badly designed studies will still result in bad
statistics
• this would mean that only methodologically sound studies should be
included in a meta-analysis, a practice called 'best evidence synthesis'.
• Other meta-analysts would include weaker studies, and add a study-level
predictor variable that reflects the methodological quality of the studies to
examine the effect of study quality on the effect size.
Publication bias: the file drawer problem
• Another potential pitfall is the reliance on the available corpus of
published studies, which may create exaggerated outcomes due to
publication bias, as studies which show negative results or
insignificant results are less likely to be published.
• For example, one may have overlooked dissertation studies or studies
that have never been published.
• This is not easily solved, as one cannot know how many studies have
gone unreported.
• The distribution of effect sizes can be visualized with a funnel plot
which is a scatter plot of sample size and effect sizes.
Agenda-driven bias
• The most severe fault in meta-analysis often occurs when the person
or persons doing the meta-analysis have an economic, social, or
political agenda such as the passage or defeat of legislation.
• People with these types of agendas may be more likely to abuse
meta-analysis due to personal bias.
• For example, researchers favorable to the author's agenda are likely
to have their studies cherry-picked while those not favorable will be
ignored or labeled as "not credible".
• In addition, the favored authors may themselves be biased or paid to
produce results that support their overall political, social, or economic
goals in ways such as selecting small favorable data sets and not
incorporating larger unfavorable data sets.
• The influence of such biases on the results of a meta-analysis is
possible because the methodology of meta-analysis is highly
malleable
‫تشکر‬
!
‫؟‬

Systematic review & meta analysis

  • 1.
    Systematic Review &Meta- analysis Ahmad Abed Ahmadi BSPH, MSc
  • 5.
    Types of Review •Narrative review • Systematic review • Scoping review • Rapid review • Cochrane systematic review • Meta analysis • Network meta analysis • Individual patient data (IPD) meta analysis
  • 6.
    Types of Review •Systematic review (Qualitative summary) • Meta-analysis (Quantitative summary)
  • 7.
  • 8.
    Why bother • Goodquestions • Timely topics • Topics with multiple studies • Topics with conflicting results
  • 9.
    Formulating the question •Specific and spliced • Don’t take a random question • The question doesn’t need to be complex • You don’t need to always be first • You should select a topic of your interest • Use the PICO
  • 10.
    Research Question How doesa social history of smoking in patients diagnosed with COVID-19 affect disease severity? P- COVID-19 patients who are smokers I- Active smoking in COVID-19 patients C- COVID-19 patients who are non-smokers O- Disease progression, intensive care unit admission, need for mechanical ventilation, and mortality
  • 11.
    Draft your researchstrategy • Question • How does a social history of smoking in patients diagnosed with COVID-19 affect disease severity? • Keywords • smoking status • COVID‐19 • Inclusion • Randomized, and observational studies reporting the smoking status of hospitalized patients presenting with different severities of disease and/or at least one clinical endpoint of interest.
  • 12.
    Draft your researchstrategy • Exclusion • Studies on other coronaviruses or if there was insufficient information to distinguish disease severity based on smoking status. • Case series involving less than 20 patients, review articles, editorials, conference abstracts, and nonclinical studies as well as Preprints. • Search limits • No language limitations
  • 13.
    Register your study •Register in Prospero
  • 14.
    Performing the review •Be systematic in your search • Source of articles • Pubmed (medline) • EMBASE • Cochrane central register of trials • Other topic specific • Grey literature (google scholar) • Reference section of articles
  • 15.
    Searching for articles •Controlled vocabulary • MeSH headings – for medline • Embase - Emtree
  • 17.
  • 18.
    Tools to stayorganized • Rayyan • Covidence • Revman • Cochrane
  • 20.
    Quality assessment • Observationalstudies • Newcastle Ottawa scales (better if 2 people do it independitly) • Robins-1 • Randomized trials • Cochrane tool
  • 22.
    When to metaanalysis • Multiple high quality studies with: • Similar design • Population • Comparator(s), and • Similar outcomes
  • 23.
    When to notmeta analyze • Studies or (study outcomes) are too heterogeneous • Too few studies available • Studies are too low quality
  • 24.
    What does metaanalysis gives you • Graphical display to: • Illustrate the strength of effects among studies • Examine uncertainty around individual studies • Visually apprise evidence of heterogeneity • Report combined effect of the individual studies • Concisely summarize strength of effect, precision and heterogeneity
  • 25.
    Estimating a summarymeasure (Pooled effect) Weighting options: • Fixed effects • Random effects
  • 26.
    Types of betweenstudy heterogeneity • Clinical • Participant characteristics • Exposures/interventions • outcomes • Methodological • Study design • Study quality • Statistical
  • 28.
    Forest plot showing the effect ofcurrent smoking on severe COVID‐19
  • 29.
    Forest plot showing the effect ofcurrent smoking on severe or critical COVID‐19
  • 30.
    Forest plot showing the effect ofcurrent smoking on mortality
  • 32.
    Forest plot showing the effectof a smoking history on severe COVID‐19
  • 33.
    Forest plot showing the effectof a smoking history on severe or critical COVID‐19
  • 34.
    Forest plot showing the effect ofa smoking history on mortality
  • 36.
    Advantages of meta-analysis •Results can be generalized to a larger population • The precision and accuracy of estimates can be improved as more data is used. This, in turn, may increase the statistical power to detect an effect. • Inconsistency of results across studies can be quantified and analyzed. For instance, does inconsistency arise from sampling error, or are study results (partially) influenced by between-study heterogeneity. • Hypothesis testing can be applied on summary estimates, • Moderators can be included to explain variation between studies
  • 37.
    Pitfalls • A meta-analysisof several small studies does not predict the results of a single large study. • Some have argued that a weakness of the method is that sources of bias are not controlled by the method: • a good meta-analysis of badly designed studies will still result in bad statistics • this would mean that only methodologically sound studies should be included in a meta-analysis, a practice called 'best evidence synthesis'. • Other meta-analysts would include weaker studies, and add a study-level predictor variable that reflects the methodological quality of the studies to examine the effect of study quality on the effect size.
  • 38.
    Publication bias: thefile drawer problem • Another potential pitfall is the reliance on the available corpus of published studies, which may create exaggerated outcomes due to publication bias, as studies which show negative results or insignificant results are less likely to be published. • For example, one may have overlooked dissertation studies or studies that have never been published. • This is not easily solved, as one cannot know how many studies have gone unreported. • The distribution of effect sizes can be visualized with a funnel plot which is a scatter plot of sample size and effect sizes.
  • 39.
    Agenda-driven bias • Themost severe fault in meta-analysis often occurs when the person or persons doing the meta-analysis have an economic, social, or political agenda such as the passage or defeat of legislation. • People with these types of agendas may be more likely to abuse meta-analysis due to personal bias. • For example, researchers favorable to the author's agenda are likely to have their studies cherry-picked while those not favorable will be ignored or labeled as "not credible". • In addition, the favored authors may themselves be biased or paid to produce results that support their overall political, social, or economic goals in ways such as selecting small favorable data sets and not incorporating larger unfavorable data sets. • The influence of such biases on the results of a meta-analysis is possible because the methodology of meta-analysis is highly malleable
  • 41.

Editor's Notes

  • #37 Inconsistency – ناسازگاری Moderators - ناظم ، میانجی ، تعدیل کننده
  • #39 Dissertation – مقاله ، تیزس
  • #40 Malleable – قابل انعظاف Legislation -