STRUCTURALDYNAMICS
T K Datta
Foreword
 Slides are prepared with a lot of text material to help young teachers to teach the
course for the first time.
 Slides are comprehensive and almost self-contained.
 Slides contain solved problems.
 Slides can be used to teach a first course on structural dynamics and earthquake
engineering.
 The lecture notes based on which slides are prepared are available in SCRIBD.
Lecture1
Oscillation (Vibration)
W
u t
to
and
fro
motion
 Inherent damping in the system makes free oscillation diminish with time
 Oscillation makes displacement time dependent i.e., u(t); hence, and
 gives rise to inertia force according to Newton’s second law of motion
 acts opposite to the direction of u(t)
 All the three quantities are important in oscillatory body signifying the dynamics of
the system
 Oscillation has a static equilibrium position; it has also a stable position
 Under certain conditions, oscillation can be unbounded, bounded and steady
 Oscillation of elastic bodies creates, to and fro movement of the molecular particles
)
(t
u
 )
(t
u


)
(t
u

 )
(t
u
m 

)
(t
u


Lecture 1-1
Simplest Oscillation (SHM)
X
Tim
e
Time period,
T
Amplitude,
A
 x
A
t

 
T


2

t
A
x 
sin

t
A
dt
dx
x 
 cos



2
2 2
2
sin
d x
x A t x
dt
  
    
NOTE
Displacement
Velocity
Acceleration
Lecture 1-2
o Earthquakes
o Wind
o Wave
o Land Slides/ Avalanches
o Caving in of Earth
o Volcanic Eruptions
Nature Sources of Dynamic Loads
o Blast/ Terrorist attack
o Collisions
o Vehicular Movement/ track
Train Dynamics
o Machines/ Impact/ Accidents
Man made Sources
o Earthquakes
o Land Slides/ Avalanches
o Caving in of Earth
o Blast of longer durations
Short Duration
(T< 1 min)
o Oceanic Waves
o Cyclones
o Machine Vibrations
o Vehicular Movements
o Volcanic Eruptions
Long Duration
(T > 5 min - 10 min)
o Missile Impact
o Falling mass/ Collision
o Sudden blast of short duration
Impact type
(T<1 sec)
Classifying different dynamic loads
Classifying different dynamic loads
Lecture 1-3
Amplitude
Phase
T
u(t) = Asin (t
+)
Harmonic
Periodic
Types of Oscillation Lecture 1-4
T T T T
Impact
Irregular
Random
t
t
u
u
t
u
u
Lecture 1-5
k1
c1
m1
m
u
EI
l
3
24
l
EI
K 
Mathematical Model of SDOF
Lecture 1-6
Inertia Force
What is
inertia?
It is the resistance of an
object to change its state
of motion (magnitude and
direction)
REST IS A STATE OF MOTION WITH
ZERO VELOCITY
t
Mu
Inertial Force
Inertial Force
Understanding Mass in a better
light…
Newton’s First Law of
Motion
An object at rest stays at rest and an object in motion stays in motion
with the same speed and in the same direction unless acted upon by an
unbalanced force.
ma
FI 
Mass as a measure
of amount of
inertia
All objects have the tendency to resist changes in their state of motion
I
T J

Mass moment
of Inertia
Direction is opposite to that
of motion
Lecture 1-7
Damping Force
Dissipative
Force
Cu Dissipative
Force
Viscous
Damping
It is hard to quantify
explicitly different factors
for energy loss. Thus an
approximate model maybe
chosen…
NOTE
Dissipative
Force
Velocity
In reality, the dissipative force is a
frequency-dependent quantity.
n
D
F u

D
F cu

For practical purposes, in the
analysis of buildings, a linear
relationship maybe assumed,
thus
This constant of
proportionality,
C is called the
damping
constant.
Exponentially
decaying (for
viscous damping)
Displacemen
t
Tim
e
Lecture 1-8
Elastic/ Restoring Force
Elastic
Force
Ku Elastic
Force
This maybe familiar to you from the
static analysis…
Nevertheless, this is also an integral
part of the dynamic force equilibrium
For a conventional building
we will assume it to have a
linear relationship.
NOTE
Elastic
Force
Displacemen
t
Lecture 1-9
Examples of Structural Dynamics
 Buildings and other land based tall structures vibrating under earthquake
 Some types of structures vibrating in cyclonic wind
 Aero elastic instability of flexible structure such as galloping of conductor cables, flutter of
suspension bridges, torsional vibration of wings of aeroplane; vortex induced oscillation of tall
chimneys etc.
 Vibration of oceanic structures (oil platforms) due to wave induced forces
 Turbo generator structures (foundations)
 Crusher frame foundation
 Vibration of industrial structures for machine vibrations
 Vibration of bridges due to vehicular movement/ track-train dynamics
 Vibration of underground structures like, liquid storage tanks, pipelines, tunnels due to propagating
earthquake waves
 Sloshing in liquid tanks due to earthquake
Lecture 1-10
Implication In The Structural Design
 Earthquake resistant design of structures
 Development of Impact factor in bridge design
 Design of structures for impact forces
 Design of flexible bridges for wind forces
 Design of offshore structures
 Design of buried pipelines for seismic action
 Fatigue design of tubular joints for wind and wave forces
 Design of chimneys for vertex shedding
 Design of transmission line towers for wind forces
 Design of very tall building of structures for fluctuating component of wind force
Lecture 1-11
Future Vision
 Structural Dynamics is becoming more and more important as the slender and flexible
structures are made for economic design
 Seismic disaster mitigation is a topical subject requiring great deal of knowledge of
structure dynamics
 Similarly, protection of slender and flexible structures against cyclonic wind is an
expanding field requiring good knowledge of structural dynamics
 Reliability analysis of structures for dynamic loading such as wind, earthquake, blast etc.
is becoming important for insurance companies
 Structural control for environmental forces
 Deep water deployment of offshore structures
 Structural health monitoring
Lecture 1-12
Lecture2
Static Vs. Dynamics
 Static load is invariant of time and hence, the responses are also time invariant
 Static load means gradually applied load on the structure as opposed to suddenly applies load
 Force displacement relationship (defining static equilibrium) is governed by
 In which K = stiffness matrix corresponding to the kinematics d.o.f and F is the load vector
corresponding to the loads applied to the direction of d.o.f.
 Both dynamic force and displacement are time dependent; dynamic force may be of oscillatory
type or suddenly applied or moving, all producing oscillation in the system
 Because of the presence of mass in the structure and acceleration, a dynamic system is
characterized by the presence of inertia force; this force acts opposite to the motion of the body
 Because of the to & fro movement giving rise to velocity, a damping force (absorption of
imparted energy) is also present in the elastic system; the energy absorbed is transformed into
another form with the to & fro movement of the molecules
F
K 

Lecture 2-1
 Finally, as the elastic body undergoes to and fro movement, a restoring force (also to and fro)
is developed in the system
 Three types of forces apart from the externally applied force are present in a dynamic system
i.e. inertia forces, damping forces and restoring forces
 Velocity of the system is related to damping force; acceleration of the system is related to the
inertia force; displacement (time dependent) is related to the restoring force
 Kinematic d.o.f. are different than dynamic d.o.f in the sense that all dynamic d.o.f are
associated with mass; thus, dynamic d.o.f ≤ kinematic d.o.f.
 Dynamic equilibrium exists at every instant of time; dynamic equilibrium is the equilibrium of
forces between resisting (inertia, damping, restoring) and external forces at every instant of
time
 Dynamic equilibrium exists at each dynamic d.o.f.
 If inertia force (acceleration) << restoring force, it is called quasi static equilibrium and
governed by
 In dynamic system, total energy at any instant of time is PE + KE; In static system, only PE
exists.
)
(
)
( t
p
t
K 

Lecture 2-2
Idealization of structures
 A real life structure is idealized as 1D, 2D, and 3D discrete and continuous models
 In discrete method, the number of degrees of freedom decides the size of the problem
 Like the static analysis, the dynamic equilibrium equation of the modeled structure is called the
dynamics equilibrium equation of multi degree of freedom (MDOF)
 Single degree of freedom (SDOF) is a special case of MDOF; but they are treated separately for
the following reasons
 Analytical solutions of MDOF system can be comprehended easily if those of SDOF system, which
are simpler, are known
 Solution of SDOF system leads to the understanding of many fundamental concepts of dynamics
 Many structures may be suitably idealized as equivalent SDOF systems (two examples are shown)
Lecture 2-3
 Restoring force represents the elastic action produced due to deformation of the
structure which tries to restore the structure to its original shape
 Elastic restoring force linearly varies with the displacement; spring force in the model
is represented by
 For portal frame shown below, the stiffness corresponding to the sway displacement
is given by
thus, for SDOF model, restoring stiffness is K
 For the beam behaving as a SDOF model as shown in figure below
Ku
F 
R
3
3EI
K
l

u
m E
l
3
384
5
EI
K
l

EI, L
Lecture 2-4
 At any instant of time t, the total energy in a freely vibrating system is made up of two
parts, kinetic energy EK and potential energy ES
 
   
 2
2
2
1
2
1
t
u
k
t
u
m
E
E
E S
K 


 
 
   
   
   
 2
2
2
2
2
2
t
u
t
u
t
u
m
k
t
u
m
E
n




 

   ;
sin 
 
 t
A
t
u
if    
 









 t
t
A
m
E
n
2
2
2
2
2
sin
cos
2
when ω = ωn; i.e., a freely vibrating system: ;
2 2
2
n
A
m
E

 Constant
2
2
2


 n
mA
E
 Thus the energy is fully conserved; and it is equal to input energy
 For systems with viscous damping, the total energy will decrease with time because
of the energy dissipation in viscous damping.
for input energy
  ;
0 0 0
2
  



t t t
d
d dt
u
c
dt
u
u
c
f
E 

 

 d
E
t ,
Lecture 2-5
Energy of the System
Linear and Nonlinear Dynamics
 Dynamic equation of motion which is a second order differential equation could be a linear or
nonlinear equation of motion depending upon the damping and restoring forces
 If any one of them is nonlinear i.e., restoring force varies nonlinearly with displacement or
damping force varies nonlinearly with velocity, the problem is considered as a nonlinear dynamic
problem
 Generally, inertia force remains linear i.e., it varies linearly with acceleration; however, there are
problems where inertia force is nonlinear e.g., variable added mass in offshore structure
 Solution of nonlinear dynamic equation is faced with many problems and is mostly solved by
numerical techniques
 Nonlinear dynamic problems do not have unique solutions; a number of solutions are possible
 It also gives rise to dynamic instability of the system consisting of certain undesirable response
phenomena such as divergence, period doubling, chaos, nonlinear jumps etc.
Lecture 2-6
 When the structure goes into inelastic range, the force-displacement relationship no more
remains linear. It exhibits a hysteretic behavior as shown in the figure below
y
x
f
x
y
f
y
x
f
x
y
f
y
f
f
x
y
x
y
f
y
x
f
x
Variation of force with displacement under cyclic loading
Idealized model of force
displacement curve
Idealized model of force
displacement curve
Lecture 2-7
 Not only the stiffness varies with displacement but the direction changes (positive to negative or
negative to positive). Therefore, tracking the displacement is required to obtain the correct
stiffness at any state of deflection
 Representation of a nonlinear SDOF model is achieved by a nonlinear spring attached to the
SDOF, showing the nonlinear behavior of the structure
 Another kind of nonlinearity in restoring force is exhibited in which, force-displacement is
nonlinear but not of hysteretic type. This happens for geometrically nonlinear structure
(associated with large displacement)
 For loading and unloading the stiffness remains the same at any state of displacement as shown
in the figure f
Loading
Loading
Unloading
Unloading
x
x

Lecture 2-8
Nature of the Response of Structures
 Nature of response of the structure depends upon the state of the structure (Linear or Nonlinear)
and the nature of the dynamic force
 In certain cases, the nature of response may follow pattern different from that of dynamic force
(like blast loading)
 For long duration harmonic/periodic force, the response finally converges to the harmonic/periodic
nature of oscillation
 For the irregular dynamic force, response may be of irregular pattern different from that of force
 The nature of response under harmonic force, in the absence of damping, could be periodic, but
not harmonic, unlike the case when damping is present
 Under quasi-static action, the nature of response remains the same as that of the dynamic force in
elastic state; in the inelastic state, the two may differ
Lecture 2-9
Lecture 2-10
Lecture 2-11
Lecture 2-12
Lecture 2-13
Lecture 2-14
Lecture3
Vibration of Single Degree of Freedom
 For understanding the dynamic analysis of structures, study of the vibration of single Degree of
freedom (SDOF/ SDF) is of great importance because of two reasons
 Most of the analytical techniques used for the dynamic analysis of structure can be
understood properly, with the vibration analysis of SDOF system
 Many important results and conclusions drawn from them are extremely useful for
understanding dynamic behavior of structures
 The simplest dynamic system was shown before to describe different forces acing in the system;
this model is popularly known as SDOF model
 The mathematical model of the SDOF system is shown below. Along with it, is shown how is single
portal frame can be idealized as a SDOF system represented by the mathematical model
Lecture 3-1
Spring-mass-dashpot system
k
c
u, p(t)
m
Idealized single frame
Rigid beam
Lumped mass
(m) All members
are inextensible
u, p(t)
l, EI
3
24
L
EI
K 
Lecture 3-2
 The viscous dashpot in the figure represents the action of the damping force present in the
system
 It was discussed before how the damping force is mathematically represented as an
equivalent viscous force resisting the motion of a piston within viscous fluid
 Dynamic equilibrium of the mass at any instant of time t gives rise to the equation of motion
of the SDOF system
u(t)
M
Ku
P(t)
u
C
u
M 

M P(t)
k
c
u(t)
Lecture 3-3
 It can be derived using three different concepts, all concluding that inertia force acts opposite to
the direction of motion ( or applied force)
 For oscillatory body, is opposite to u(t) and p(t); so, and oppose
u

 ,
u
M 
 u
C  Ku P(t)
p(t)
Ku
u
C
u
M 

 


 Rate of change of momentum is equal to the applied force
du
p(t)- cu ku m mu
dt
   mu cu ku p(t)
  
 D’Alambert reasoned that since the sum of the forces acting on a particle m results in its
acceleration , the application of force would produce a condition of equilibrium
u
-M 

0
p(t) f(t)- mu
 
f(t) -cu ku
 
mu cu ku p(t)
  
u


 The equation of motion is a second order differential equation. It can also be written as a set
of two coupled first order differential equations
Dynamic Equation of Equilibrium Lecture 3-4
Lecture 3-5
Energy Formulation
An alternative statement is that the state of equilibrium corresponds to the state of minimum energy.
The above equation is an equation of motion for the un damped free vibration of the system. If the
damping and external dynamic force are included, then the equation of motion becomes the same as
that given by the damped equation of equilibrium. If the equation of motion is without an external force,
it is called an equation of motion for the free vibration of the system. On the other hand, if the external
force exists, it is called an equation of motion for the forced vibration of the system.
 State Space Equation
 If a vector V is defined as
then, the equation can be written as following matrix equation
Where,
m
t
p
u
m
k
u
m
c
u
t
p
ku
u
c
u
m
equation
auxilliary
an
add
u
u
)
(
)
(
)
(

















 
T
V u u

0 1 0
( )
V AV f
A and f
k c p t
m m m
 
   
 
 
   
 
   
   
Lecture 3-6
 Equation is a first order matrix differential equation called state space equation of dynamic
equilibrium, since V at any instant of time t describes the complete state of the system.
 Equation is widely used in many dynamic application problems such as dynamic stability
analysis, structure control, state space analysis etc.
 Another reason for using the equation is that numerical methods for the solution of first order
differential equation are more exhaustive compared to the second order differential equation.
 Using MATLAB SIMULINK tool box, the solution of the equation is very popular.
 However, in conventional dynamic analysis of structures, the solution of the second order
differential equation is widely used.
Lecture 3-7
 In the second order differential equation, if the damping term is removed, then the
equation of motion is called un damped equation of motion i.e.,
 Although undamped vibration is an ideal case, which does not exist in practice, the
concept of undamped vibration and the solution of the undamped equation of motion lead
to many important phenomena and definitions used in dynamics.
 Some of them include natural frequency of vibration, harmonic oscillation, periodicity,
steady state vibration, mode shapes for structures etc.
 When damping is present, the vibration is called damped vibration; damped vibration is
the practical case.
 The presence of damping in the equation of motion gives rise to a number of interesting
phenomena in dynamics, which are extremely useful in practice.
)
(t
p
ku
u
m 



Lecture 3-8
 They include bounded responses even at resonance, damped frequency of structure, transient
response, effect of initial condition, phase shift, impedance function etc.
 For analysis purposes, undamped and damped oscillations are separately treated, though their
solutions can be derived from one solution; similarly, both solutions are derived separately for
free and forced vibration.
 The reason for such treatment is that each type of solution gives some physically important
results which are important in explaining many concepts.
 Solutions of equations of motion consist of solving either a second order differential equation or
a set of coupled first order differential equations.
 Right hand side of the equation of motion has load, p(t) which could be of various forms as
described before.
Lecture 3-9
Natural Frequency
 Solution of the undamped equation of motion provides the natural frequency and period of the
system
 Consider the equation
 Assuming the solution to be and substituting for u and
0
mu ku
 
𝑢 = 𝐴sin𝜔𝑛𝑡 u
2
sin sin 0
n n n
mA t kA t
  
  
2
0;
n n
k
k m
m
 
  
2
n
n
T



Lecture 3-10
Lecture 3-11
Lecture 3-12
Lecture 3-13
Lecture 3-14
Lecture4
Free Vibration Problem
 The solution of equation of motion consists of two parts namely and so that final
displacement is written as,
 is obtained by setting RHS as zero while, is obtained by choosing the solution to be of the
same nature as that of the RHS function, p(t)
 Solution for is called as a free vibration problem as described before since given an initial
condition denoted by and , the mass starts oscillating freely (without any applied load)
 As stated before, the free vibration problem is important in understanding a few fundamental
concepts in dynamics
 Assume
 Substituting for in the equation of motion, the following algebraic equation is
obtained; the solution of the equation provides the expression for
)
0
(
u
p
u
p
c u
u
u 

p
u
)
( h
c u
u
)
0
(
u

c
u
c
u
t
ce
u 

, ,
u u and u
Lecture 4-1
c
u
m
mk
c
c
2
4
2





m
k
m
c
m
c



 2
2
4
2
n
k
m
 
m
c
2


2 2
n
  
   
2
2
2
4
2
n
w
m
c
m
c




0
2


 k
c
m 

2
( ) 0
t
cm cc kc e
 
  
Lecture 4-2
2 2 2
d n
  
 
1 2
d d
t i t t i t
u c e c
   
   
 
1 2
[ ]
d d
i t i t
t
e c e c e
 
 

 
 
cos sin
t
d d
e A t B t

 

 


m
c
2
2
cr n
cr
c
c m
c
 
 
defining
2
cr n
c c m
  
  n
 

2 2 2 2
d n n
   
  2
1
d n
  
 
 
cos sin [ sin cos ]
n n
t t
n d d d d d d
u e A t B t e A t B t
 
      
 
     
 
cos sin
nt
d d
u e A t B t

 

 
t
B
A
u d
n 
 


)
0
(

d
nu
u
u
B
A
u

 )
0
(
)
0
(
)
0
(
;
)
0
(






Lecture 4-3
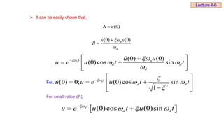
 It is an exponentially decaying function. Hence, amplitude decreases with time. More
the value of  and n, more rapidly it decays
 Three conditions can arise namely, critically damped, over damped and under
damped
 When roots of  are the same, then;
 Which shows that for a given initial displacement the displacement dies down
exponentially to zero without any oscillation as shown in Figure below,
;
2
,
1 
 
 ;
n
 
 0;
d
  nt
u Ae 


Lecture 4-4
 Further, this damping is called critical damping,
when roots of are real and distinct i.e.
 For a given u(0) this also does not oscillate and decays down to zero as shown in
Figure, since hence, it is called over damped
 When roots are complex, then an oscillation takes place as evident from the equation.
This case is of importance in the free vibration of SDOF system. Since
hence, its is called under damped. Practical values of <<1 of the order of 1-5%
 The under damped free vibration of SDOF is shown in the figure. The two constants
A, and B are evaluated from two specified initial conditions u(0) and ů(0)
cr
c
c 

2 n
c m

1


  
 
; 1
n
Lecture 4-5
( ) ( )
1 2
d d
t t
u c e c e
   
   
 
  
 
; 1
n
 It can be easily shown that,
For,
)
0
(
u


d
nu
u
B

 )
0
(
)
0
( 


(0) (0)
(0)cos sin
nt n
d d
d
u u
u e u t t
 
 

  

 
 
 
 
(0)cos (0)sin
nt
d d
u e u t u t

  

 
For small value of 
Lecture 4-6
2
(0) 0; (0)cos sin
1
nt
d d
u u e u t t
 
 


 
  
 

 
 
 For u(0) = 0
(0)
sin
nt
d
d
u e
u t





 When =0 i.e., un-damped free vibration of SDOF takes place,
(0)
(0)cos sin
n n
n
u
u u t t
 

 
 The SDOF continues to vibrate harmonically without any decay of the amplification. It
can also be written as,
sin( )
n
u R t
 
 
2
2
2
(0)
(0)
n
u
R u

 
1 (0)
tan
(0)
nu
u

 

where,
=0 corresponds to u(0)=0; the SDOF vibrates as a sin function, as shown in the figure
Lecture 4-7
 From the figure it is evident that,
2
d
d
T



2
n
n
T



Td and Tn are called damped and undamped periods of oscillation. Energy input to free
vibration problem by giving initial conditions is,
At any instant of time t, energy E(t)
For free undamped vibration
2 2
2
1 (0) 1 (0)
( ) (0)cos sin (0)sin cos
2 2
n n n n n
n n
u u
E t k u t t m u t t
    
 
   
    
   
   
(In lecture note, it is section 5.1)
Lecture 4-8
2 2
1 1
(0) (0) (0)
2 2
E ku mu
 
2 2
1 1
( ) ( ) ( )
2 2
E t ku t mu t
 
 After simplification, it can be shown that
)
0
(
)
( E
t
E 
therefore, in free undamped vibration, input energy is conserved.
 For damped system, the total input energy gets dissipated. Expression for E(t) can be
obtained by using the corresponding values of A and B for damped free vibration. Since the
dissipation of energy is caused due to viscous damping, the dissipated energy ED is


 


1
1
1
0
2
0
0
)
(
t
t
t
D
D dt
u
c
dt
u
u
c
du
f
E 


For t1 ED = input energy
(In lecture note, it is section 5.1)
Lecture 4-9
Determination of Damping Ratio ()
 Free damped vibration of SDOF is used to obtain the damping coefficient of the material of elastic
body.
 The stiffness of the elastic body is represented by the spring and the damping ratio corresponding
to the viscous damper represents the damping of the material.
 If amplitudes of the responses at the two successive cycles separated by the period Td are
considered, the ratio of the two responses are given by,
( )
( cos sin )
( )
( ) ( cos ( ) sin ( ))
n
n d
t
d d
t T
d d d d d
e A t B t
u t
u t T e A t T B t T


 

 

 

 
   
n d
T
e

2 2
2 2
log
1 1
n
n
r
 
 
  
  
 
(In lecture note, it is section 5.2) Lecture 4-10
 is called logarithmic decrement which is measurable and is related to 
 <<1, an appropriate value of  can be determined as,
 Otherwise, the following quadratic equation is solved to obtain .
 Once is obtained, the damping coefficient of viscous damper can be calculated as



2
log

2
2
2
2
4
)
1
( 

 
 r
0
)
4
( 2
2
2
2


 r
r 

2
2
4 r
r





log
(In lecture note, it is section 5.2)
Lecture 4-11

; 2
cr n
cr
c
c c m
c
   
  
Lecture5
Lecture 5-1
Lecture 5-2
Lecture 5-3
Lecture 5-4
Lecture 5-5
Lecture 5-6
Lecture 5-7
Lecture6
Damping in Structural Systems
 As mentioned before, exact damping present in a structure is very difficult to define; only material
damping property can be evaluated experimentally; with the help of this information, damping of a
structural system is idealized using different types of model
 Under oscillation, an elastic mass under goes deformations resulting in alternate stretching and
compression of the molecular bonds; this absorbs some energy which is transformed into heat
energy; another mechanism also working at the molecular level is, friction; this also dissipates
energy
 Effects of both dissipation mechanisms are difficult to model; so experimental tests are conducted
to obtain damping property from which damping in the system is modeled
 There are different types of modeling to describe the damping force acting in structural vibration;
the type of modelling depends upon the problem at hand; apart from the linear modelling, there
exist nonlinear models of damping
 Any energy absorption device integrated into the structure can be modelled as a linear or nonlinear
damping
Lecture 6-1
 Out of them the popular models are
 Viscous damping model
 Friction damping model
 Structural damping/hysteretic damping model
 During inelastic excursions under oscillatory motion, another kind of dissipation of energy takes
place due to the formation of hysteresis loops in force-displacement relationship; area within each
hysteresis loop represents energy dissipation; this dissipation of energy is directly included in the
analysis
 Except viscous damping model, other two types of damping and the damping due to inelasticity
can be also described by equivalent viscous damping
 The equivalent viscous damping is approximate but provides an easy solution to the problem
because of its linear characteristics
Lecture 6-2
Viscous Damping Model
 In this model, damping force developed within the system is assumed to be proportional to the
velocity of the system like a force experienced by a piston moving within a viscous fluid
 Force developed per unit area is written as
; C is the coefficient of viscosity
 In structural models, this is represented by a dash pot shown before
 In one cycle of harmonic motion, the energy dissipated ED is
u
C
F 

 
2
0
D D
E f du cu u dt
 
 
 
 
2 2 2
2
0
0 0
2 2 2
0 0 0 0 0
cos
1
2 4
2
S S
n n
cu dt c u t dt
c u ku E E ku
   
  
 
   
 
 
 
 
 
   
 
 
 
 
 



 t
u
u sin
0
2 n
c m

Lecture 6-3
 The dissipated energy varies
quadratically with the amplitude of
motion as shown in the following figure
 Graphical representation of the damping force fD
 This can be re rewritten as
     
2
2
0 0
cos
D
f cu t c u t c u u t
   
    
2 2
0
1
D
o
f
u
u c u

   
 
   
   
Lecture 6-4
 The equation of ellipse shown in following figure makes a loop in fD-u axes; the area of the loop
is;
 Thus, area within the loop represents the energy dissipated in one cycle of motion
   2
0 0 0
u c u c u
   

Lecture 6-5
 Although the model is called viscous damping model, the name should have been equivalent
viscous damping model
 This is the case because the damping is obtained from experimental tests which will be
discussed later and then express the results of the test in terms of damping ratio by assuring
that damping force is proportional to velocity
 Important thing to note is that
 force-displacement curve for one cycle of oscillation provides a hysteresis loop
 area of the loop gives the energy dissipated in one cycle of oscillation
 This observation is useful in obtaining equivalent viscous damping for other types of damping
produced during oscillation both elastic and inelastic ranges
Lecture 6-6
Rate Independent Damping
 It is seen that energy dissipated in one cycle of oscillation is dependent on the frequency of
oscillation for viscous damping model
 However, experiments on structural metals indicate that the energy dissipated in cyclic oscillation
is fairly independent of frequency
 This type of damping is called rate independent linear damping, structural damping, hysteretic
damping etc.; rate independent damping is exhibited in static hysteresis developed at
microscopic state in crystals at different spots but over all macroscopic behavior remains linear
 In spite of this observation, viscous damping model has been favored because of analytical
convenience
 Since rate independent damping model is independent of frequency, the damping force fD is
defined as
 in which k is the stiffness of the structure and is damping coefficient
u
k
fD





Lecture 6-7
 As a consequence, the
energy dissipated in one
cycle of oscillation is
with
 

 




 
  
 


2
0
2
0
2
0
2
D
So
E c u
k
u
ku
E
k
c



Plot of ED Vs. ω
 The equivalent viscous damping for rate independent damping may be obtained by
matching damping energies at ω = ωn
(for viscous damping) (for rate independent)
 Thus,
0
4 S
D E
E 
 0
2 S
D E
E 


2
)
viscous
(

 
Lecture 6-8
Coulomb Damping
 Coulomb damping results from friction against sliding of two dry surfaces; this kind of forces
acts within the micro level of material during oscillation; however, the energy dissipation due
to this mechanism is small
 This type of damping becomes important when additional damping devices especially friction
damping is added
 Friction force is given by
in which µ is the coefficient of static and kinetic friction taken to be equal and N is the normal
force; friction force is independent of velocity once the motion is initiated
 Direction of friction force opposes the direction of motion; sign changes as the direction of
motion changes as shown in figure
N
F 

Lecture 6-9
 Change of sign of friction force with change of the direction of motion introduces nonlinearity in
the system; however for harmonic excitation an exact solution is possible. Friction force-
displacement plot is shown in following figure
0
4 
 F
ED
The area of the loop is
 The equivalent viscous damping is obtained by equating the energy dissipated in one
cycle of viscous damping to the area of friction damping is
 The area of the loop is
2
0 0 0
4 4 2
S
n n
F E ku
 
  
 
 
0
2 2 F
o
n n
F
ku u


 
 
 
  
k
F
F 

In which,
Lecture 6-10
Lecture 6-11
Lecture 6-12
Lecture 6-13
Lecture 6-14
Lecture 6-15
Lecture 6-16
Lecture7
Solution for Harmonic Excitation (Steady State)
 Solution of the equation of motion of SDOF subjected to harmonic excitation can be best
obtained by considering complex harmonic excitation; derivation is simpler and it provides the
solutions for both real harmonic and complex harmonic excitations.
 In subsequent lectures, this will be presented. Here, the response for real harmonic excitation
will be presented as it is discussed in all text books on dynamics.
 Equation of motion for SDOF subjected to harmonic excitation is given by:
 Solution consists of two parts i. e.
 uc is obtained by setting RHS as zero and is derived in previous lecture. uc is given by
 
cos sin
nt
c d d
u e A t B t

 

 
t
P
ku
u
c
u
m 
sin
0


 


p
h
c u
u
u
u 
 )
(
Lecture 7-1
 up is called the particular solution and is assumed to have the same form as that of
the RHS force term:
 Substituting for up in the equation motion, the following equation is obtained
Collecting ‘sin’ and ‘cos’ terms together following equation is obtained,
Equating ‘sin’ and ‘cos’ terms of the LHS and RHS give.
   
2 2
0
sin cos cos sin sin cos sin
m C t D t c C t D t k C t D t p t
          
 
      
 
2 2
0
sin cos sin
mC cD kC t mD cC kD t P t
      
   
       
   
2
0
( ) ( )
k m C c D P
 
  
2
( ) ( ) 0
k m D c C
 
  
Lecture 7-2
 
sin cos
p
u C t D t
 
 
 Solution of the two equations give,
2
2 2 2 2
( )
( )
o
k m P
C
k m c

 


 
 
 
0
2 2 2 2
( )
c P
D
k m c

 
 
 
 
 
2
0
2 2 2
(1 )
(1 ) (2 )
p
C
k

 
 

  
 
 
0
2 2 2
2
(1 ) (2 )
p
D
k

 
 

  
 
 
n




2 n
c
m



Lecture 7-3
 Substituting for C and D in up and performing algebraic manipulation
0
sin( )
p
p
u DAF t
k
 
 
  2
1
2
2
2
)
2
(
)
1
(



 

DAF
2
1
1
2
tan




 
 is the phase lag i. e. response lags behind the excitation by angle 
The solution for up can also be written as,
In which , called static displacement i.e., response of SDOF if the load were
applied statically.
Maximum displacement of up is thus
sin( )
p s
u u DAF t
 
 
0
s
p
u
k

s
u DAF
Lecture 7-4
 Plot of up and u are shown in figure below; u is given by
 Constants A and B are determined from initial condition u(0) and ů(0)
 It is seen that uc part gradually dies down with time leaving up part only after some time; the
uc part is thus called transient response and up part is called steady state response.
 For sustained excitation like P0sinwt it is the steady state response which is of interest and
is utilized for finding response of irregular excitation in frequency domain (discussed later).
 
cos sin sin( )
nt
d d s
u e A t B t u DAF t

   

   
Lecture 7-5
Undamped Solution
 The undamped forced vibration under sinusoidal excitation is mainly of theoretical
interest; as discussed before, undamped vibration hardly exists in practice.
 The solution helps in understanding, the importance of damping in near resonating
condition.
 For  = 0 the solution, turns out to be,
 With initial condition as u(0) and ů(0)
0
sin cos sin
n n
p
u t DAF A t B t
k
  
  
2
1
1



DAF
2 2
sin
(0)
(0)cos sin
1 1
s
n s n
n
u t
u
u u t u t
w


 
 
 
   
 
 
 
Lecture 7-6
 The steady state is the second part of the solution i.e.,
 The plot of u is shown in figure below,
 It is seen that the transient response does not die down with time; hence, total response
remains steady the with time and at any instant of time t, large or small, is not independent of
initial condition unlike the damped forced vibration
2
sin
1
s
u t



Lecture 7-7
 The plots of DAF, and phase angle with frequency ratio are shown in figures below
Lecture 7-8
Response at Resonance
For damped force vibration problem, at  = n and zero initial condition
 
cos sin sin( )
nt
d d s
u e A t B t u DAF t

   

   



 90
,
1
2
1



for
DAF

2
s
u
A 
2
1 



B
For  very small the equation simplifies to
( 1)cos ( )
2
nt
s
n d n
u
u e t

  


  
Lecture 7-9
 The plot of u for the above condition is shown in figure below
The response reaches to steady state with an envelop function ( 1)
nt
e 


Lecture 7-10
For undamped vibration with zero initial condition.
When  = n and =1, u is indeterminate
In order to obtain the response at  = n L’Hospitals rule is employed,
2
(sin sin )
1
s
n
u
u t t
  

 

)
1
(
lim
1 

 
 s
u
u ( cos sin )
2
n n n
s
dN
t t t
d
u
dD
d
  




 
( cos sin )
2
s
n n n
u
t t t
  
  
1
2 1
2
1
1 ( ) cos( ); tan
2
s
n n
n
u
t t
t
   



 
   
 
,


t
As cos( ); 0
2
s
n n
u
u t t
  
  
Lecture 7-11
 The plot of u is shown in figure below
 It is seen that as t becomes large, the response also becomes large ie, it grows with time
signifying a divergent response
Lecture 7-12
Lecture 7-13
Lecture 7-14
Lecture 7-15
Lecture 7-16
Lecture 7-17
Lecture8
Interpretation of Steady State Response
 The plots of DAF vs  and phase angle vs  for a given value of  is shown in figure
below; the plot reveals a lot of useful information for dynamic analysis and design
of structure
Lecture 8-1
 The DAF plot shows the following
 The variation of DAF vs  peaks near  = 1 (not exactly at 1)
 In the vicinity of  ≈ 1 the curve sharply rises; sharpness increases as the value of 
decreases
 After the peak is reached, there is a sharp fall in the value of DAF; for the  ˂˂ 1; de-
amplification occurs
 As 0, DAF1; further, the effect of  on the DAF is maximum near  = 1; the effect is
almost negligible for  >>1 and  <<1
 Based on these observations, the DAF curve is divided into 3 zones; quasi-static zone,
resonating zone and anti-resonance zone
Lecture 8-2
 Thus in quasi-static zone a static analysis is sufficient with results increased by
about 20% to account for dynamic effect
 In anti-resonance zone, The  <1; the effect of  on DAF is negligible; it could be as
small as 0.01; dynamic analysis is important in this range in order to obtain the
correct value of DAF
 By decreasing the natural frequency much less compared to the excitation
frequency, the response can be controlled significantly
 In the near resonance zone, DAF increases significantly; the increase significantly
depends on ; at  = 1, it is 1/2 and is completely governed by ; for =0, DAF
which is shown in the previous lecture
 Note maximum DAF does not take place at = 1; it is obtained by
; in the quasi-static zone, DAF varies within 1 to 1.2; effect of damping on
DAF is small; the value of ω at which the peak value of DAF occurs is
, the value of DAF at is
0
)
(


d
DAF
d
2
1 2
p n
  
  p
 
 2
1
2
1

 
Lecture 8-3
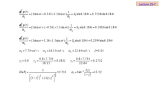
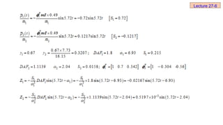
 The variation of  vs  shows the following:
 For value of , i. e. the response tends to be in the quasi-static zone. The
effect of damping on the phase angle is small
 As (in the resonating zone),  tends to be 90 º i.e. response is in quadrature with
the excitation
 At , the phase angle is 90 º irrespective of the damping; however, in the
resonance zone, the effect of damping is more on the DAF
 When >>1,  tends to become 180º; the response lags behind the excitation by 180̇º
i.e. the response takes place opposite to the direction of excitation; in anti resonance
zone, the effect of damping is small
 As damping becomes small (nearly to undamped case), the phase angle suddenly
changes from the in phase state to quadrature state, and then suddenly to out of phase
(opposite) state
0

 0
 
1


1


Lecture 8-4
Determination of Damping Ratio
 Figure bellow shows the DAF vs ; half-power band width is defined as,
where b and a are the frequencies obtained by the 0.707
resonant amplitude.
 Equating the expression for DAF with , the following equation is
obtained
b a
n
 


1 1
2
2 

Lecture 8-5
   
1
2 2 2
2
1 1 1
2
2
1 2

 

 
 
 
 
 Squaring both sides and showing the resulting equations
 Taking the first term of the Taylor series after expanding the RHS
 Subtracting the smaller root from the larger one gives,
 thus
  can be obtained either from the DAF at or from the half power band
width; the latter is called half power point method of determining the damping
ratio
1
2
(1 2 )
n



 
1
n



 
2
b a
n
 




2
b a
n
 




1


Lecture 8-6
Relationship between Rd, Rv and Ra
( ) sin( )
st
u t u DAF t
 
 
sin( )
st d
u R t
 
 
( ) cos( )
st
u t u DAF t
  
 
2
( ) sin( )
st
u t u DAF t
  
  
 Defining and
 Because of the relationship between Rd, Rv and Ra, they can be plotted in a
tripartite logarithmic plot
d
R R
 
 2
a d
R R R
 
 
( ) sin( );
st d
u t u R t
 
  ( ) cos( );
st
u t u R t
  
  ( ) sin( )
st a
u t u R t
 
  
log log log
d
R R w

 
log log log
a
R R w

 
Lecture 8-7
When Rd
, Rv and Ra are Plotted Separately
Lecture 8-8
When Rd
, Rv and Ra are plotted together in TRIPARTITE plot
 The plot is shown in figure below,
Maximum value of Rv occurs at,
Maximum value of Ra occurs at,
;
n
 

2
;
1 2
n






2
1
)
( max 
v
R
2
max
2
1
2
1
)
(

 

a
R
Lecture 8-9
umax
u
/
u w
umax
u
u

PHASE PLOTS
STABLE STEADY STATES
Lecture 8-10
max
u

Lecture 8-11
Lecture 8-12
Lecture 8-13
Lecture9
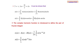
 eiωt= cosωt + i sinωt
 If the results for harmonic excitations are known,
 For Fo cosωt excitation,
 For Fo sinωt excitation,
 For Fo cosωt + i Fo sinωt
Complex Harmonic Solution
 
( ) cos ; o
s s
F
u t u DAF t u
k
 
  
  o
s s
F
u(t ) u DAF sin t ; u
k
  
ω α
   
( ) cos sin ; o
s s
F
u t u DAF t i t u
k
   
    
 
 
 
i t o
s s
F
u DAFe ; u
k

 
ω α
Lecture 9-1
 The result as above can be obtained by solving the equation of motion in complex
domain; from the solution it is not only possible to obtain results of harmonic
excitation but also some important concepts in dynamics can be derived
 eiωt is called unit complex harmonic function; if solutions are desired in complex
domain eiωt is used in place of cosωt and/or sinωt
 For excitation, f(t)= Fo eiωt , particular solution is obtained by assuming u(t)= uo eiωt
.
 Substituting in equation of motion
 For F0=1, u0 is called H(ω) and is inverse of the function
 
2
0 0
m ic k u F
 
   
 
1
2
0 0
u k m ic F
 

 
  
 
 
1
2
( )
H k m ic
  

  
Lecture 9-2
 H(ω) is called frequency response function (FRF) of the single degree of freedom system;
it represents a composite dynamic characteristics of the system for a particular excitation
frequency ω.
 By knowing the FRF of the system, the response of the system to any long term excitation
(leading to steady state response) can be obtained.
 FRF of a dynamic system can be determined experimentally; once it is known, the
response of the system to future excitations can be determined without explicitly knowing
‘k’, ‘c’ and ‘m’ of the system.
 In dynamic system identification and in dynamic structural health monitoring, determination
of H(ω) by experimental means is the key task.
• Since u0(ω) has to be of the form u0=a+ib.
 
 
 
 
 
2
0 0
0
2 2 2 2 2 2 2
k m F c F
F
i
k m ic k m c k m c
 
     

 
     
 
 
 
 
2
0 0
2 2 2 2 2 2
k m F c F
a b
k m c k m c
 
   

 
   
  2
2
b
a
R
Re
ib
a
u i
o 



  

Lecture 9-3
   
1
2 2 2
2 2
tan ;
1 1
n
m
b b c
a a k m k
  
 

  

   
   n


 
 
   
 
 
 
 
 
   
 
 
 
2
2 2 2
0
0
2 2
2 2 2 2
2 2 2
k m c F
R F
k m c
k m c
   
0 0
2 2
2
1
1 2
s
F F
DAF u DAF
k k
 
  
 
     



 

 t
i
s
t
i
DAFe
u
e
u
t
u 0
  
 i
u
Since 
 Re
, 0
 Same result as it was obtained before; Since eiωt = cos ωt + i sinωt, when
excitation is cos ωt, then
   

 
 t
DAF
u
t
u s cos
Lecture 9-4
Concept of Dynamic Flexibility and Impedance Function
 Since u(t) = u(ω)eiωt and F(t)=F(ω)eiωt
u(ω) = H(ω) F(ω)
If F(ω)=1, then for unit harmonic load, displacement is H(ω)=a + ib
   
  matrix
y
flexibilit
dynamic
called
is
H
ic
m
k
H )
(
;
1
2








 Similarly, if u(ω)=1, then for unit complex harmonic displacement, force required
is:
 This is called impedance function for a system’s degree of freedom (for SDOF, it is
evident). Force has two parts: a real and an imaginary part
 Real part is associated with stiffness (represented by spring) and imaginary part is
associated with damping (represented by dash pots) for a given frequency
 Plots of real and imaginary parts with frequency provide the impedance function of
a dynamic system and are widely used in dynamic analysis of soil structure
systems
   
 


 ic
m
k
H 


 2
1
Lecture 9-5
Lecture 9-6
Lecture 9-7
Lecture 9-8
Lecture10
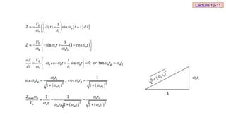
Transmissibility
 The results of harmonic support excitation are useful in solving problems of different
kinds including earthquake excitations.
 The problem is classified as transmissibility problem and therefore, the
transmissibility problem is discussed in detail.
 The problem becomes easier to handle if it is solved in complex domain.
Lecture 10-1
 The first problem is shown in the pervious figure, where interest is to find what is the
fraction of the load applied to the mass is transmitted to the floor.
i t
mu cu ku P e 

  
p p
(assumed as u ); steady state same as u
i t
u u e 


 
 
 
2
2
i t
k m ic u P
P
u
k m ic
P
u DAF e
k
 


 

 
 

 
  
 

 

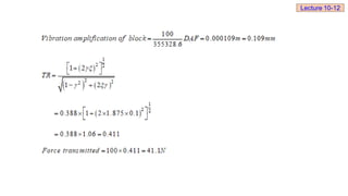
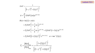
Lecture 10-2
    2
1
2
2
2
2
1
1





 




DAF
   
i t
P
u DAF i e
k
 

 

 
 
 
   
 
   
 
0
1
2 1
2
( ) ( )
1
1 1 2
1 2 tan 2
i t
i t i t
i t
R t ku t cu t
c
P DAF i e
k
c
P DAF i e P DAF i e
k
P DAF e
 

   

  


 
  

 
  
 
 
 
 
 
 
   
 
 
  
Lecture 10-3
 
 
1
2 2
max
1
2 2
2 2
max
1 2
( )
( )
1 (2 )
r
R t
T
P t

 
 

 
 
 
 
 
 
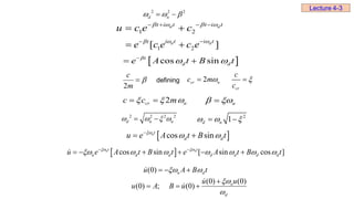
 Second problem is that of support excitation as shown in Fig.
If
 Assuming steady state solution to be
  then
o
i t
g g
u t u e 

t
i
o
t
i
go e
P
e
u
m
ku
u
c
u
m 





 )
( 




before
like
t
i
oe
u
u 

 
i ωt-
o
P
u= DAFe
k

   
   
2
2
o
o
o o
g i t i t
a g g
i t i t i
g g
m u
u u u DAF e u e
k
u DAF e u e e
  
    



 
   
 
Lecture 10-4
   
   
 
2
2
2
2
cos sin
cos 1 tan
2
cos 1
1
o o
o o
o o
i t
g g
i t
g g
i t
g g
u DAF u i e
u DAF u i e
i
u DAF u e
 
 
 
  
  

 




 
  
 
 
  
 
 
 
  
 
 

 
 
 
   
2 2
2
2 2
2
[1 tan sec ]
givescos 1-
2
1- 1
1
o
i t
g
DAF
i
u DAF e  
 
 

 


 

 
 
  
 
 

 
 
Lecture 10-5
   
   
 
 
o
1
2
2
max
2 2
2
g g
max
1 2
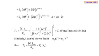
(ForceTransmissibility)
1 2
Similarly,it can be shown that if u u
then ( )
o
a
R R
g
i t
a
R R g
go
u
T T
u
t e
u
T T u
u


 
 

 
  
 
 
 

 
   
   
1
2 1
2
1 2
1 2 tan 2
o
o
i t
g
i t
g
u DAF i e
u DAF i e
 
  

  

  
 
 
  
 
Lecture 10-6
 The plot of TR vs is shown in the figure below.
The following things can be noted from the figure
 For , damping effectively reduces the
transmissibility
 For TR to be less than 1, ; in this zone ξ
has an adverse effect.
 For TR to be effective in this zone ξ should be as
small as possible
 Since ξ has beneficial effect for , judicious
selection of ξ is needed if frequency sweep is
expected (0 to operating frequency); for lower ω,
higher damping and for higher ω, lower damping
are required
 Higher damping ratio causes the maximum
amplification (resonance) to occur at ω≠ ωn ;
maximum TR is, therefore not at ω=ωn
γ
γ ≤ 2
γ > 2
2
γ 
Lecture 10-7
Measurement Instruments
 Transducer is a simple device which measures dynamic motion; it consists of mass-
spring-dashpot attached to a rigid frame as shown in the figure.
 This transducer is used as seismograph.
Lecture 10-8
 Principle of operation is that the equipment is mounted on the rigid base. The relative
displacement of the mass represents the ground acceleration. For a simple harmonic
motion, equation of motion:
 Measured u(t) is a true independent modification of the ground acceleration record
with only a phase shift φ/ω; for a given frequency of excitation, the modification
amounts to a multiplication by a constant
 In order to make it applicable for the measurement of a realistic time history record,
both Rd and phase should be made frequency independent as far as possible
   














































t
u
R
t
u
R
t
R
k
u
m
t
u
g
n
d
go
n
d
d
go






2
2
sin
sin
Lecture 10-9
 This may be accomplished by keeping ωn around 50 Hz and ξ=0.7; for this condition
Rd≈1 for a frequency band of 0 to 25 Hz which contains most of the frequencies; also, for
this frequency range φ linearly varies with ω, so that φ/ ω=1
 If ground displacement is to be measured, then either spring is made flexible or mass is
increased or both, so that natural frequency becomes much less compared to the most
frequency contents of the ground motion
 Under that condition,
 The measured displacement is negative of the ground displacement; damping constant of
the equipment is inconsequential since for
𝜔
𝜔𝑛
>>1, DAF is almost independent of ξ
 Measured u(t) is a true independent modification of the ground acceleration record with
only a phase shift φ/ω; for a given frequency of excitation, the modification amounts to a
multiplication by a constant
   
  t
u
R
t
u
R
t
u
go
a
n
go
a













sin
t
u
therefore
,
180
and
1
,
For
sin
0
Lecture 10-10
Lecture 10-11
Lecture 10-12
Lecture 10-13
Lecture 10-14
Lecture 10-15
Lecture11
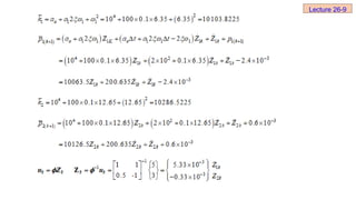
Transient Dynamics
 Response of SDOF system to short and very short duration excitation is of considerable interest in
practice; for example, blast loading, impulse loading etc
 The loading is modeled as a summation of number of impulses and therefore, it is also named as
impact load analysis
 The name transient dynamics is given because of the reason that the initial condition of the system
is important and influences the response mostly unlike steady state response; over the short
duration, the effect of initial condition (which exponentially decays) does not die down significantly
 Since frequency domain analysis is strictly valid for finding the steady state response, it is not
applicable for transient dynamics
 Time domain solution is used for obtaining the response for impulse load. One of the classical
methods for determining the response for impulse loading is by performing Duhamel integration of
equation of motion; for integrable functions (loadings), the results can be obtained in closed form
Lecture 11-1
 Where numerical integrations are to be performed, other time domain analysis techniques
may prove to be efficient, however, a variant of numerical Duhamel integration in
recursive form is also available
 The Duhamel integration of equation of motion is based on two premises:
(i) Idealization of load as a sum of series of impulses
(ii) Use of the known results of free damped oscillation of a SDOF system
 Solution of damped free vibration equation of motion gives;
       












 

t
u
u
t
u
e
t
u d
d
n
t
n
sin
0
0
cos
0 d

 For u(0) and ξ=0, a special case, u(t) becomes
   
  then
,
0
0
but
0,
ξ
If
sin
0





u
t
u
t
u n
n

    t
u
e
t
u d
d
t
n


 

sin
0

Lecture 11-2
 If the load p(t) as shown in figure is considered, then at time , an impulse of p( )d
may be assumed to have been imparted on the SDOF
  
p(t)

d
t 

t
Lecture 11-3
 This impulse will cause a response of SDOF at time t (or at the elapsed time t- τ after
the impulse is imparted) as;
 is the velocity imparted to the system at t=
 In which is called the impulse response function ie.,
response due to unit force.
    )
(
sin
0



 
 t
u
t
u n
n

)
0
(
u
 
 
 











d
p
t
h
d
t
m
p
t
u
m
d
p
u
n
)
(
)
(
)
(
sin
)
(
,
Then
)
(
0
n










 d
t
m
t
h
n
)
(
sin
1
)
( n 


Lecture 11-4
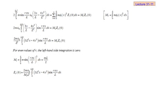
 Using theory of superposition, total response at time t is the sum of the responses
produced due to all impulses imparted upto time t ie,
 Note that the initial velocity for free vibration solution is the velocity caused by the
impulse at time t = ; velocities of the system at time t= caused by previous impulses
are not considered in the initial velocity as evident from the figure
       
    













 



d
t
p
m
d
p
t
h
t
u
t
u
t
n
n
t t
0
0 0
sin
1


 
t
u

t
t
 
t
u
+

Lecture 11-5
 If damping is considered,
 In transient dynamic analysis using Duhamel integration, it is customary to set ξ=0,
for two reasons:
(i) to obtain conservative estimate of the peak value (not much difference is obtained
if the peak occurs in early phase) for deriving impulse response function
(ii) to get a simpler function to integrate to obtain the closed form solution for most of
idealized impulses
 Solutions of a number of cases of short duration excitations (Impulse) are presented
using Duhmel integration in the following slides
   
    





 




d
t
p
e
m
t
u
t
d
t
d
n
0
sin
1
Lecture 11-6
Step Force
 P(t)=Po,    
 
   



















n
st
n
t
n
n
t
n
n
T
t
u
t
k
P
t
m
P
d
t
m
P
t
u











2
cos
1
cos
1
cos
sin
0
0
2
0
0
0
Lecture 11-7
 Plot of with is also shown in figure below
 If damping is included then,
 It is seen that maximum value of is slightly less than 2
 
st
u
t
u
n
T
t
 















 

t
t
e
u
t
u t
st
n
d
2
d sin
1
cos
(
1
 
st
u
t
u
Lecture 11-8
 Amongst different types of pulse forces, the three types of pulse forces namely, rectangular,
half sine and symmetric triangle received the attention of the practitioners. Most of the pulses
can be modeled by one of these types
 Response spectrums of these pulses are obtained in most text books and are briefly
presented here
 The method of finding the response spectrum follows the steps as below:
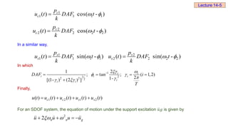
 Obtain the expression for u(t) in the forced vibration phase t<td
 Obtain the expression for u(t) in the free vibration phase t>td
 Find the maximum value of u(t) in the two phases and retain the one which has greater value
 Express the maximum value as a fraction of
𝑡𝑑
𝑇𝑛
Pulse Forces
Lecture 11-9
 Forced vibration phase is same as obtained before for constant force.
 Free vibration phase is characterized by free oscillation with
 Substituting for and and simplifying
 
d
n
st
t
t
T
u
t
u




t
2
cos
1
Rectangular Pulse
   
d
d t
u
and
t
u 
         
d
n
d
d
d t
t
t
u
t
t
t
u 


 n
n sin
cos
t
u 



 
d
t
u  
d
t
u

 
d
n
d
n
st
t
t
T
t
T
t
u



























2
2
sin
T
t
sin
2
t
u
n
d


Lecture 11-10
 The half cycle sine Pulse is given as
 For
𝑡𝑑
𝑇𝑛
≠1/2, forced vibration phase has u(t) as:
Half Cycle Sine Pulse
  sin
o
d
t
p t p
t


d
n
d
n
d
d
n
st
t
t
t
T
t
t
T
t
t
t
T
u
u



































 
 2
sin
2
sin
2
1
1
2
Lecture 11-11
 The final results for the responses are:
Triangular Pulse
 

























 




























 





















 



d
n
d
n
d
n
d
n
d
d
n
d
n
d
n
d
d
n
d
n
d
st
t
t
t
T
t
t
t
T
t
t
T
t
T
t
t
t
T
t
t
T
t
T
t
t
t
t
T
t
t
T
t
t
u
u
2
sin
2
sin
2
2
2sin
2
2
2
2
sin
2
2
2sin
2
1
2
2
0
2
sin
2
2
Lecture 11-12
Concept of Response Spectrum
 The plot of
𝑢max
𝑢𝑠𝑡
with
𝑡𝑑
𝑇𝑛
for an impulse force of duration td is called the response spectrum of
impulse.
 The method of finding the response spectrum follows the steps below:
 Obtain the expression for u(t) in the forced vibration phase of oscillation
 Obtain the responses for t=0, 𝑢 0 = 𝑢 𝑡𝑑 and 𝑢 0 = 𝑢 𝑡𝑑 in the free vibration phase of
oscillation
 Find the maximum value of u(t) in the two phases of oscillation and retain the one which has
greater value
 Express the maximum value as a function of
𝑡𝑑
𝑇𝑛
 The plot of the maximum value of the response as function of
td
Tn
is called the response
spectrum for the blast load
Lecture 11-13
 The comparison of the response spectrums for the three pulses is shown in figure.
Lecture 11-14
Lecture12
Lecture 12-1
Lecture 12-2
Lecture 12-3
Lecture 12-4
Lecture 12-5
Lecture 12-6
Lecture 12-7
Lecture 12-8
Lecture 12-9
Lecture 12-10
Lecture 12-11
Lecture13
Time domain Analysis
 In time domain analysis of SDOF, equation of motion is integrated in time
 For integrable forcing function discussed earlier
A variant of time domain analysis is Duhamel integration widely used for short duration/pulse
loading seen before
In principle, it can be used for an irregular p(t)
 There are other methods (popular) for time domain analysis of SDOF for irregular p(t)
 Two such methods will be discussed here, one for solving 2nd order differential equation and the
other for first order differential equation
 They are outlined in subsequent slides
p
h u
u
t
u 

)
(
Lecture 13-1
Explicit and Implicit Integration Schemes
 All schemes are time marching schemes; integration is carried out over discrete intervals of time
 If at a current time, responses of an SDOF is determined with the help of known responses at the
previous time steps and the dynamic load at the immediately previous time step, then it is called
an explicit integration scheme
 On the other hand, if the scheme requires the additional information on the responses of the
current time step (which are not known) and the dynamic load at the current time step, then it is
called implicit integration scheme
 There are several explicit and implicit integration schemes in the literature
 Out of them, one explicit scheme and one implicit scheme widely used in structural dynamics will
be discussed here; the central difference scheme and Newmark’s beta method
Lecture 13-2
Central Difference Integration Scheme
 The central difference scheme is based on the Taylor series expansion at a point t
 The derivatives of the function are explained as
 Applying the derivatives in the equation of motion
 𝑢𝑘+1 is determining after finding 𝑢𝑘+2.
1 1
2
i i
i
u u
u
t
 



1 1
2
2
i i i
i
u u u
u
t
 
 


1
k k
ku P
 
1
k
k
P
u
k
 
0 1 0 1
2
1 1
; ;
2
k a m a c a a
t
t
   


0 1 1 0 1
2
2 1
; ;
2
K K k k
m c m
P P b u b u b k b
t t
t

   
       
   
 

   
Lecture 13-3
Newmark’s - method
 With known displacement, velocity & acceleration at kth time, it calculates the corresponding
quantities at k+1th time; Fk+1 is known.
 Two relationships are used for this purpose; they mean that within time interval , the
displacement is assumed to vary quadratically
Making use of the two equations, substituting for derivatives at K+1th time in the equilibrium
equation

t

 
   
 
 
 
k+1 k k k+1
2 2
k+1 k k k k+1
u =u + 1-δ u Δt+u δΔt
1
u =u +u Δt+ -β Δt u +β Δt u
2
Lecture 13-4
1
1 1 1
; k
k k k
P
ku P u
k

  
 
1 1 1
( ) (1 ) (1 )
2
k k k k k
d
u a u u t d u u t
 
       
0 1
k a m a c k
  
1 1 0 1 0 1 0 1
( ) ( ) ( )
k k k k k
P P a m a c u c m c c u d m d c u
 
      
Lecture 13-5
0 0 0 1 1 1
2 2
1
1 1 1 ;
2 2
1 1 1
; ; ; ; ;
c d d t
a b c d a t
t
t t
 

  

 
      
     
    
     

       
1
1 1 1 2 3
; ; ( )
k
k k k
P
mu P u m m a c a k
m

  
    
1 1 2 2 3
k k k k k
P P c u d u d u
 
   
2
2 3
; ;
a t a t
 
   
2
2 2 3
1
; ( ); (1 )
2
c k d c k t d c t k t
 
 
         
 
 
 
 
 
 
   
    
 
   
   
2
i
i i N
i
u β Δt
1
q = u H = δΔt
mα
u 1
          
   



 
 
 
 
 
 
 
 
2 2 3 2 2
2 2
n n n
2
2 2
N n n n
2 2
n n n
1
α-ω β Δt αΔt-2ξω β Δt -ω β Δt α Δt -β α+ Δt
2
1
F = -ω δΔt α-2ξω δΔt-ω δ Δt αΔt-δ α+ Δt
α
-ω -2ξω -ω Δt -
in which
 
2
2
1 2
    
n n
t t
    
 
2
2 1
2 (1 ) ( )
2
     
n n
t t
    
 Substituting the two basic relationships in the equation of motion and performing algebraic
manipulation, following recursive relationship can also be obtained
k+1 N k N k+1
q =F q +H F
Lecture 13-6
Solution for Earthquake Excitation
 If the support of the SDOF is subjected to time history of excitation 𝑢𝑔, the RHS of the equation of
the motion is
 By dividing the equation of motion by m, the following equation is derived
𝑢 + 2𝜉𝜔𝑛𝑢 + 𝜔𝑛
2𝑢 = −𝑢𝑔
 For the support excitations problem, the above two formulations can be now easily used to find the
responses at k+1 th. step by setting m=1 and p(t)=−𝑢𝑔 𝑡
 If absolute values of the responses are required, then 𝑢𝑔 𝑡 and 𝑢g(t) should be also specified
𝑢𝑎 𝑘+1 = 𝑢𝑘+1 + 𝑢𝑔 𝑘+1
𝑢𝑎 𝑘+1 = 𝑢𝑘+1 + 𝑢𝑔 𝑘+1
𝑢𝑎 𝑘+1 = 𝑢𝑘+1 + 𝑢𝑔 𝑘+1
Lecture 13-7
( ) g
P t mu
 
Lecture 13-8
Lecture 13-9
Lecture 13-10
Lecture 13-11
Lecture 13-12
Lecture 13-13
Lecture14
Frequency Domain Analysis
 Unlike the time domain analysis, the frequency domain analysis varies the frequency to obtain
responses for the arbitrary time history of the force
 For this purpose, 𝑓 𝑡 is transformed to the summation of a series of harmonic forces
 This is accomplished by applying the classical Fourier series to decompose 𝑓 𝑡 as a summation of
several harmonic functions of ordered frequency
 Frequencies are in ascending order having a fixed frequency interval
 Responses of the SDOF system are essentially obtained by sweeping the frequency from lowest to
the highest, the key variable is the frequency. Hence, the solution procedure is known as frequency
domain solution
 Note that the steady state response of the SDOF system for a harmonic excitations is known in the
closed form and is used as the formation block for a frequency domain analysis
Lecture 14-1
Use of Fourier Analysis
 Fourier decomposition of dynamic loading/excitation provides one of the most important tools
in solving dynamic problems in frequency domain
 Also it provides a physical understanding of dynamic composition of excitation especially in
knowing its frequency contents which are again helpful in estimating the dynamic effects being
produced by the excitation
 Fourier decomposition along with the use of theorem of superposition make the frequency
domain analysis is easy and elegant
 With the availability of FFT and IFFT in most mathematical programs like MATLAB, the
frequency domain analysis can be performed routinely for any structure
 Data input to FFT and IFFT will be explained and the steps involved in carrying out the
analysis will be explained in the subsequent lecture
 Use of FFT for frequency domain analysis requires the knowledge of FRF of the system and
working knowledge in complex frequency domain
 For the purpose of understanding how Fourier synthesis is used in solving problems the
following example is explained
Lecture 14-2
Fourier Decomposition
 Fourier series expansion of an arbitrary formation of time is given by
In which 𝜔𝑛 =
2𝜋𝑛
𝑇
; The amplitude of the harmonic at 𝜔𝑛 is given by
0
1
( ) cos sin
a
n n n n
n
x t a a t b t
 

  

/2
0
- /2
1
( )
T
T
a x t dt
T
 
/2
- /2
2
( ) cos
T
n n
T
a x t t dt
T

 
/2
- /2
2
( ) sin
T
n n
T
b x t t dt
T

 
2 2
/2 /2
2 2 2
- /2 - /2
2 2
( )cos ( ) sin
T T
n n n n n
T T
A a b x t tdt x t t dt
T T
   
   
   
   
   
 
 
Lecture 14-3
Eqn. 13.1 can also be expressed as
0
1
( ) sin( )
n n n
n
x t c c t

 

  

-1
;
tan
n n o o
n
n
n
c A c a
b
a

 
 
  
 
0
1
( ) cos sin
cn n sn n
n
p t p p t p t
 


  

2 2 2
0
- - -
2 2 2
1 2 2
( ) , ( )cos , ( )sin
T T T
cn n sn n
T T T
p p t dt p p t t dt p p t tdt
T T T
 
  
  
Lecture 14-4
0 1 1 1 1 2 2 2 2
( ) cos sin cos sin
c s c s
p t p p t p t p t p t
   
    
In a similar way,
In which
Finally,
For an SDOF system, the equation of motion under the support excitation 𝑢𝑔 is given by
-1
1 2
2 2 2
2
1
; tan ; ( 1,2)
2
1-
[(1- ) (2 ) ]
i i
i i i
i
i i
DAF i
T
 
 


 
   

2
2 n n g
u u u u
 
   
Lecture 14-5
1
1 1 1 1
( ) cos( - )
c
c
p
u t DAF t
k
 

2
2 2 2 2
( ) cos( - )
c
c
p
u t DAF t
k
 

1
1 1 1 1
( ) sin( - )
s
s
p
u t DAF t
k
 
 2
2 2 2 2
( ) sin( - )
s
s
p
u t DAF t
k
 

1 2 1 2
( ) ( ) ( ) ( ) ( )
c c s s
u t u t u t u t u t
   
 The plot of 𝑐𝑛Vs. 𝜔𝑛 is called the frequency amplitude spectrum
 Conventionally this plot is shown as a continuous function of frequencies and for this, the discrete
values of 𝑐𝑛 obtained at each frequency 𝜔𝑛 are manipulated for an equivalence in the rms sense
Lecture 14-6
Lecture 14-7
Lecture 14-8
Lecture 14-9
Lecture 14-10
Lecture 14-11
Lecture 14-12
Lecture15
Fourier Series and Fourier Integral
 Fourier series and Fourier integral are extensively used in structural dynamics for the
formulation of problem in frequency domain
 The solutions are known as solutions using Fourier transforms; similarly, solutions
using Laplace transform are also used in vibration problem
 It is possible to change from Laplace transform to Fourier transform because of the
relationship that exists between the two
 The fundamentals of Fourier series and Fourier integral are briefly described here
Lecture 15-1
Frequency contents of time history
 Fourier synthesis of time history record of (load/ ground motion) provides frequency
contents of it
 It provides useful information about the dynamic excitation & also forms the input
for frequency domain analysis of structure
 Fourier series expansion of x(t) can be given as




a
0 n n n n
n=1
T/2
0
-T/2
T/2
n n
-T/2
T/2
n n
-T/2
n
x(t ) = a + a cosω t + b sinω t
1
a = x(t )dt
T
2
a = x(t ) cosω tdt
T
2
b = x(t ) sinω tdt
T
ω = 2πn / T
Lecture 15-2
 The amplitude of the harmonic at is given by
   
   
   
   
 
2 2
T/2 T/2
2 2 2
n n n n n
-T/2 -T/2
2 2
A = a + b = x(t) cosω tdt + x(t) sinω tdt
T T
n
ω
 
 
 
n n
-1 n
n
n
c = A
b
φ = tan
a
 Fourier series equation can also be represented in the form


0 n n n
n=1
x(t) = c + c sin(ω t + φ )
Lecture 15-3
 Plot of cn with is called Fourier Amplitude Spectrum
 The integration in fourier series is now efficiently performed by FFT algorithm
which treats fourier synthesis problem as a pair of fourier integrals in
complex domain
 Standard input for FFT is N sampled ordinates of time history at an interval of
∆t
 Output is N complex numbers; first N/2+1 complex quantities provide
frequency contents of time history; other half is complex conjugate of the first
half
n



α
-
iω t
-
α
α
iω t
-
α
1
x( iω ) = x( t ) e dt
2π
x( t ) = x( iω) e dω
Lecture 15-4
Fourier series & integral
 Fourier series decomposes any arbitrary function x(t) into Fourier components
 
 
 
 

 

α
0
k k
k=1
T T
2 2
k 0
T T
- -
2 2
T
2
k
T
-
2
a 2πkt 2πkt
x(t)= + a cos +b sin
2 T T
2 2πkt 2
a = x(t)cos dt a = x t dt
T T T
2 2πkt
b = x(t)sin dt
T T
Lecture 15-5
2 2
2 2
( ) ( )cos( ) cos( ) ( )sin( ) sin( )
2 1 1
- -
T T
o
k k k k
T T
a
x t x t t dt t x t t dt t
k k
 
 
   


   
   
   
   
   
 
  
 
 
 
 The complex harmonic function is introduced to define the pair of
Fourier integral
2
,

 
    
T d
T
 It can be shown that
Lecture 15-6
0 0
( ) 2 ( )cos( ) 2 ( )sin( )
x t A t d B t d
 
     
 
 
 
 
   
- -
( ) cos sin
x t A t d B t d
     
 
 
 
 
-
-
1
( ) ( ) - ( ) ( )
2
i t
x A iB x t e dt



  

  
-
( ) ( ) i t
x t x e d



 
 
 Discrete form of Fourier integral is given by
 FFT & IFFT are based on DFT.
 From , Fourier amplitude is obtained
xk Ak
For the Fourier integral to be strictly valid
Lecture 15-7
-
( )
x t dt


 

2
-1 -
0
1
( )
kr
N i
N
k r
r
x x e
N


 
 
 

 
2
-1
0
( )
kr
N i
N
r k
k
x t x e

 
 
 

 
 
2 2
2 1......
2
k k k
N
A c d k
  
0 0
;
k k k
x c id A c
  
 In MATLAB, , is divided by N/2 (not N), then
 Parsavel’s theorem is useful for finding mean square value
(X(t) is divided by N not N/2 as in MATLAB)
r
x
Lecture 15-8
 
2 2
k k k
A = c +d
0
0
2
c
A 
2
2 2 2
0
0
1 1
( ) ( )
4 2
T
k k
a
x t dt a b
T
  


-1 -1
2
2 2
0 0
0
1 1
( )
T N N
r k
r K
x t dt x x
T N  
 
 

Use of Fourier Series & Integral in Dynamic Analysis
 An SDOF subjected to harmonic (both complex and real) excitation was discussed in
detail.
 The steady-state response is shown to be harmonic with a phase shift; the
expressions for the responses are taken as standard responses for the harmonic
excitation which is characterized by a frequency and an amplitude
 The response analysis using this standard response is popularly known as frequency
domain solution; this means that the variable used in the solution is the frequency of
excitation
 The fundamental basis of the development of the frequency domain analysis is the
Fourier series expansion of the arbitrary function f(t) in terms of frequency contents;
this has been discussed before
Lecture 15-9
 In the development of the frequency domain analysis of an SDOF system the
following steps are used:
 The arbitrary loading f(t) is Fourier synthesized into harmonic components
 From these harmonic components, the Fourier spectrum can be constructed
 Solution of the SDOF system for each harmonic component is obtained using
the standard results
 For linear systems, theorem of superposition is used to combine the standard
results for all harmonic components of the loading
Lecture 15-10
 With the advent of FFT algorithm this analysis is performed in a more compact way;
the steps used are:
 The time history of arbitrary loading f(t) is discretized in N sampled values at Δt
intervals
 They are fed into FFT which provides N discrete complex values at Δω interval.
 First (N/2)+1 discrete values are considered
 H(ω) for the system is obtained at discrete values of frequency of 0 to (N/2)Δω at an
interval of Δω
 Using (N/2)+1 values of FFT of f(t) and (N/2)+1 values of H(ω), a set of (N/2)+1 values
of x(ω) is constructed; after introducing complex conjugates, N values of x(ω) are
obtained (this part is explained in the next slide)
 IFFT of x(ω) provides the response x(t)
Lecture 15-11
Lecture 15-12
Lecture 15-13
Lecture 15-14
Lecture 15-15
Lecture 15-16
Lecture16
Lecture 16-1
Lecture 16-2
Use of FFT and IFFT in Frequency Domain Solution
 A generalized complex harmonic load is expressed as
 Steady state response of an SDOF may be written as
𝑢 𝑡 = 𝑢 𝜔 ⅇⅈ𝜔𝑡
 Substituting 𝑢 𝑡 , 𝑢 𝑡 in the equation of motion and equating bot sides of the equation
𝑢 𝜔 = 𝐻 𝜔 𝑝 𝜔
 Note that 𝐻 𝜔 is the same as that described in Lecture 9 as FRF.
 Since 𝑝 𝜔 and 𝐻 𝜔 are complex quantities, 𝑢 𝜔 is also a complex quantity and should be better
written as
𝑢 ⅈ𝜔 = 𝐻 ⅈ𝜔 𝑝 ⅈ𝜔 .
 For brevity ⅈ𝜔 is written as simply 𝜔
𝑝 𝑡 = 𝑝 𝜔 ⅇⅈ𝜔𝑡
Lecture 16-3
 If the 𝑝 𝑡 is an arbitrary function of time, the FFT of 𝑝 𝑡 provides a discrete set of N values of 𝑝 𝜔
spaced a Δ𝜔
 Each value is a complex number ; using DFT, the 𝑝 𝑡 becomes a sum of 𝑝 𝜔 ⅇⅈ𝜔𝑡
for frequencies
at an interval of Δ𝜔
 Thus, for each frequency, 𝑢 𝜔 is obtained as 𝑢 𝜔 = 𝐻 𝜔 𝑝 𝜔
 The basis of frequency domain analysis in the complex domain is based on the above equation
 Ideally 𝑢 𝜔 maybe obtained as a continuous function of 𝜔 ; however, because Fourier pair of
integrals are performed using DFT, the responses are obtained at an interval of Δ𝜔 and Δ𝑡; because
of the presence of the pairs of complex conjugates, the 𝑢 𝜔 is obtained up to the cut-off frequency
Lecture 16-4
Steps for frequency domain analysis using FFT and IFFT
 The following steps are used in obtaining a steady-state response of an SDOF system under an arbitrary
dynamic force 𝑝 𝑡 :
 𝑝 𝑡 is discretized into N sampled values at an interval of time Δ𝑡
These values are fed into FFT, which provides N discrete complex values 𝑝 𝜔 at an interval of
frequency Δ𝜔 = 2 𝜋 𝑇 (i=1…N) 𝑇 = 𝑁Δ𝑡
Take the first N/2+1 discrete values; 𝜔𝑐 =
𝑁
2
Δ𝜔 is named as the Nyquist or cut-off frequency
Find 𝐻 𝜔 for the SDOF for 𝜔ⅈ = 0 to 𝜔𝑐 (N/2+1 values) at an interval of Δ𝜔
Since IFFT requires N discrete values of 𝑢 𝜔 out of which complex conjugates shall appear after
N/2+1 values, the complex conjugates are added after the computed values of 𝑢 𝜔 ; how the
complex conjugates appear has been described in lecture 13 and example problems
Feed N values of 𝑢 𝜔 as obtained in the step above in the IFFT
IFFT outputs N discrete values of 𝑢 𝑡 at a time interval of Δ𝑡
Lecture 16-5
Lecture 16-6
Lecture 16-7
Lecture 16-8
Lecture 16-9
Lecture17
Introduction to MDOF System
 All realistic structures are modeled as either discrete MODF system or continuum system
 A continuum system has infinite number of degrees of freedom (d.o.f.) leading to infinitesimally small
mass attached to each d.o.f.
 This led to writing the equation of motion in a different form using the restoring action to be written as
that written for continuous elastic curve/continuum
 However, continuum system is often idealized as an assemblage of finite number of elements
transforming it to be a MDOF system
 Before writing equation of motion for MDOF system, following points deserve attention:
 All kinematic d.o.f. of a structure are not the dynamic d.o.f.
 Those kinematic d.o.f. which have masses attached to them are declared as dynamic d.o.f.
 Dynamic d.o.f. are mostly the condensed kinematic d.o.f. of a system; those d.o.f. which do not
have corresponding masses are condensed out so that d.o.f. to be handled in the dynamic problem
are reduced
Lecture 17-1
 A common example is the condensation of rotational d.o.f. in the framed structure as shown in
this figure; rotations are condensed out when point mass lumping is used (mr2 = 0 as r = 0 for a
point).
At all joints
Kinematic d.o.f. = 12
Dynamic d.o.f. =3 (Inextensible condition)
At all joints
Kinematic d.o.f. = 9
Dynamic d.o.f. = 2
Rotational d.o.f. are condensed out
(Inextensible condition)
Lecture 17-2
Any three independent d.o.f. can be selected
System I - non-diagonal mass matrix (discussed in lecture 18)
System II – diagonal mass matrix
Dynamic d.o.f. = 6
Extensible members
Flat slab
I
II
Rigid slab
6 d.o.f. at
each joint
Kinematic d.o.f. = 72
Dynamic d.o.f. = 9
Lecture 17-3
 Matrix condensation may be carried out by any one of the following procedure:
•
• Finding flexibility matrix corresponding to the dynamic d.o.f. by applying unit loads to
those d.o.f. successively and analyzing the structure with full kinematic d.o.f.
 Depending upon problem to be solved, the method of condensation is selected; both methods
have specific advantage
 Condensation of stiffness matrix to some specific selected dynamic d.o.f. is also required for
certain problems ( for example 3D building)
 Consistent mass matrix is quite popular in FEM modeling of 2D and 3D continuum; in this
formulation, acceleration at any instant of time within the element is assumed to be proportional
to the displacement field
 Thus, the shape function as that of the displacement is used to obtain inertia force distribution
within the element; the same energy principle used for deriving the stiffness matrix, is used to
obtain the mass matrix for the element
 The name consistent is used because the mass matrix generated is consistent with the
displacement field assumed within the element
 
θΔ
1
θθ
Δθ K
K
K
K
K 
 

Lecture 17-4
 Generally, for framed structure point mass lumping is used; in consistent mass matrix,
rotational d.o.f. may be retained
 Torsional rotation about the vertical axis of 3D frames with rigid slab is included in the dynamic
d.o.f.; mass moment of inertia of the slab about the vertical axis is attached to torsional d.o.f.
 Here, point mass lumping and mass moment of inertia of the slab in 3D frames will be
discussed only
 The generation of stiffness matrix corresponding to the dynamic d.o.f. forms the major task in
writing the equation of motion
 M martix is normally a diagonal matrix for point mass lumping and can be easily formed;
however, for some types of structures it may not remain diagonal and for them, it may have to
be generated from first principles
 When the rotations are involved in the kinematic d.o.f., they are condensed out as they do not
form the dynamic d.o.f.; without condensation the problem can be formulated by unnecessarily
increasing the size of the problem; masses corresponding to rotational degrees of freedom are
set to zero
Lecture 17-5
Lecture 17-6
Lecture 17-7
Lecture 17-8
Lecture 17-9
Lecture18
Equations of Motion for MDOF
 Equations of motion for MDOF system are developed for two degrees-of-freedom (d.o.f.)
first which will be then generalized for n d.o.f.
 Consider the two d.o.f. as shown below; sway movement of a 2-D shear frame may be
idealized as the two d.o.f. spring dashpot as shown in the figure
 At any instant of time t, the free body diagram of the masses are shown in the figure
2-D shear frame
Two d.o.f. system
Free body diagram
Lecture 18-1
 Dynamic equilibrium of forces at time t leads two equations
 In matrix form the set of equations becomes
m, c and k are 2 × 2 matrices; u and p are vectors of size 2 × 1
.
 Thus, for a two d.o.f. system, the equations of motion can be written in a matrix form
with 2×2 matrices and 2×1 dynamic displacements (velocities and acceleration
vectors).
 Displacement vector is associated with K matrix; velocity vector is associated with C
matrix; and acceleration vector is associated with M matrix.
     
t
p
u
u
c
u
u
k
u
k
u
c
u
m 1
1
2
2
1
2
2
1
1
1
1
1
1 





 




     
t
p
u
u
k
u
u
c
u
m 2
1
2
2
1
2
2
2
2 



 



 
 


















































t
p
t
p
u
u
k
k
k
k
k
u
u
c
c
c
c
c
u
u
m
m
2
1
2
1
2
2
2
2
1
2
1
2
2
2
2
1
2
1
2
1
0
0






Lecture 18-2
 
mu+ cu+ ku = p t
 It can be easily shown that k matrix is the stiffness matrix of the 2D frame/spring system
corresponding to the two d.o.f. (u1 and u2)
 c is called damping matrix which is not explicitly known but is defined by certain assumptions;
however, it has the same form as that of K matrix (not always true)
 m is called mass matrix which is found to be diagonal and therefore, is easy to generate;
however m matrix is not necessarily a diagonal matrix for point lumped mass system- it depends
upon the type of structure and the d.o.f. chosen (it will be explained later with the help of
examples)
 Now, it is possible to extend the equation of motion for two d.o.f. to n d.o.f. which follows as:
 The equations of motion can be written in a matrix form for the unknown vector of
displacement at the d.o.f. and a specified vector of excitations at the d.o.f.
 The sizes of vectors will be n × 1
 The K matrix will be n × n stiffness matrix of the structure corresponding to the dynamic d.o.f.
Lecture 18-3
 The c matrix will be of the same form (not always true) and size as that of stiffness matrix; the
elements of the matrix are written in terms of coefficients c1, c2 etc. which are not explicitly
known
 The m matrix will be n × n diagonal matrix (not always true) whose elements are the masses
attached to the d.o.f.
 The equations of motion remains the same as the previous matrix equation except the sizes of
matrices and vectors are changed to n × n and n × 1 respectively
 The load vector consists of the dynamic forces corresponding to d.o.f.; thus its size is also n × 1
 Note that if m(t), i.e., moment excitation is included in the load vector, then matrix condensations
are not needed; rotational d.o.f. are included in the dynamic d.o.f.
 Mass matrix contains mass moment of inertias corresponding to the rotational d.o.f ; in many soft
wares condensation procedure is avoided and rotational d.o.f are included in the analysis to
make the program a generalized one
Lecture 18-4
Support Excitations
 When the supports of MDOF system undergo excitation, then the equations of motion can be
written extending the equation of motion of SDOF under support motion i.e.
is extended to
where r is the influence coefficient matrix or vector usually consisting of 1 and zero elements; some
examples are shown
 If support excitations are different at different supports, then r is a matrix of size n × q , where q is
the number of supports
 r is a matrix whose kth column elements contain the displacements corresponding to non support
d.o.f. (included in the dynamic d.o.f.) when an unit displacement is applied at the kth support
keeping other support d.o.f. locked
 The derivation of the equation of motion with single or multi-support excitation is provided in the
subsequent lectures
g
u
m
ku
u
c
u
m 



 



g
MU CU KU Mru
   
Lecture 18-5
Lecture 18-6
Example problems
Write the equation of motion for the MDOF systems corresponding to the dynamic degrees of
freedom shown in the figures. Assume the damping matrix to be mass and stiffness proportional.
Fig. 1
Lecture 18-7
Lecture 18-8
Lecture 18-9
Lecture 18-10
Lecture 18-11
Lecture 18-12
Lecture 18-13
Lecture19
 For single support single component excitation
For two component ground motion
 For three component ground motion
Examples for Support Exciations
 
1 2
1 0 1 0 - - - - - -
0 1 0 1 - - - - - -
 
  
 

T
T
g g g
u u
I
u
 
1 2 3
1 0 0 1 0 0 - - - -
0 1 0 0 1 0 - - - -
0 0 1 0 0 1 - - - -
 
 
  
 
 

T
T
g g g g
u u u
I
u
Lecture 19-1
g
mu+ cu+ ku = -mIu
Example 3.1: Determine for the following structures .
Solution :
I
   
   
   
1 1 2 3 1 2 3
T T
u v u u u u u
I = I =
1 0 1 1 1 1 1
Bracket frame
3
u
2
u
1
u
Shear building frame
u2
u3
u1
v
1
g
x


g
x


Lecture 19-2
 
1 0 0 1 0 0
1 0 0 1 0 0
0 1 0 0 1 0

 
  
 
T
T
I
I
Case 1 Single component
Case 2 Two component
and
1 1
u v
2
1
v2
u2
v1
u1
3-D model of a shear building frame
Fig3.4c
Lecture 19-3
Non-Diagonal Mass Matrix
 For lumped mass system/ point lumped mass system the mass matrix could be a no
diagonal mass matrix depending upon the problem
 Generally it is thought that mass matrix for lumped mass system is diagonal
 There are number of examples where mass matrix turns out to be non-diagonal
 Such mass matrices are derived from the first principle using the definition that mass is
defined as inertia force per unit acceleration
 The derivation follows the same procedure as adopted for deriving the stiffness matrix
of the structure
 One example is shown and the derivation of the mass matrix is obtained using virtual
work principle
Lecture 19-4
Example 3.2 : Find the mass and stiffness matrices
for the two models of 3D frame shown in Fig 3.5.
Solution :
3
u
2
u
1
u
L
x
y
C.M.
L
k k
g
x

Model-1
4 2 2 4 1 3 0
2 3 2 ; 1 4 3 ; 0
6
2 2 3 3 3 6 1
k m I
 
     
 
   
        
   
 
   
 
     
m
k
 
T
(model1) = - 3 -3 6
6
T
eff g
m
x
P
Lecture 19-5
g
x


C.M. u
C.R.
v
L
k k
Model-2
For Model -2
2
3 0 0.5 1 0 0 0
0 3 0.5 ; 0 1 0 ; 0
0.5 0.5 0.5 1
0 0
6
L
k L m
L L L L
 
   
   
   
    
     
 
   
 
 
k m I
 
T
T
eff (model2) = - 0 1 0 g
m x
P
Lecture 19-6
For multi support excitation, equation of motion
     
       
       
       
     
 
     
       
     
t t t
ss sg ss sg ss sg
gs gg gs gg gs gg g
g g g
m m c c k k 0
u u u
+ + =
m m c c k k p
u u u
or
t
g
t
ss sg g ss sg g ss g sg g
t t t
ss ss ss sg g sg g sg g
t t t
ss ss ss sg g
ss ss ss sg ss g sg ss g sg ss g
ss s sg g
s s
u = u + ru
m u + m u +c u+ c u + k u + k u = 0
m u +c u + k u = - m u -c u -k u
m u + c u + k u = -k u
m u+c u+ k u= - (m + rm )u -( c + rc )u -(k + rk )u
k u + k u = 0
u = - k -1
s sg g g
ss sg
ss ss ss ss g
k u =ru
rk + k =0
m u+c u+ k u= - rm u
Lecture 19-7
Lecture 19-8
Lecture 19-9
Lecture 19-10
Lecture 19-11
Lecture 19-12
Lecture20
Frequencies and Mode Shapes for MDOF
 Free vibration analysis of MDOF system is similar to that for SDOF system i.e. solution is obtained by
setting RHS of the equation as zero
 Two cases are considered separately, undamped and damped vibrations
 The solution provides natural frequencies and mode shapes of the MDOF system
 Natural frequencies are defined as the frequencies of oscillation of the MDOF system when it is set to
vibrate freely (without any exciting force) starting with an initial condition; Unlike, the SDOF system it
has not only one frequency of oscillation but has n frequencies of oscillation
where n is the degree of freedom (d.o.f.) of MDOF system
 Each natural frequency of oscillation is associated with a particular nature of vibration, called the
mode shape
 Natural frequencies and mode shapes are the outcomes of the free vibration analysis of the MDOF
system; the problem which is solved to obtain them is known as eigenvalue problem
Lecture 20-1
 Physically, when a MDOF system is set to vibrate freely, it vibrates with the lowest frequency
of oscillation known as fundamental frequency of oscillation and associated mode shape is
known as fundamental mode
 Fundamental mode shape is the simplest possible mode of oscillation that the MDOF can
undergo; it requires least amount of energy
 Undamped free vibration of MDOF system is represented by
 From the solution for SDOF system, the response may be assumed as
 Substituting for and
or
or
u u


Lecture 20-2
mu + ku = 0
 
0 sin t


u u
   
2
0 sin 0
t
 
  
m k u
2
0

  
 
k - m
2
2
0 0
 
 
 

k - m k - m
 The determinant leads to a polynomial equation in ; if is the d.o.f. then the order of the
polynomial is also
 There are many ways to solve the above problem numerically; up to = 3, the polynomial
equation may be easily solved to find the values of ; it can also be obtained by plotting the
value of determinant against for smaller order of
 The successive values of can be obtained from the curve where it cuts the axis as
shown below
 n
n
n

ω n
ω ω
ω1 ω2
ω3
ω4
ω
Det
Lecture 20-3
 The problem can be posed as a classical eigenvalue problem for which many
standard solutions are available; the problem is cast as an eigenvalue problem as
below
in which of size n × n
 Eigenvalues of matrix provide n values of and hence n values of ω.
 For each value of , solution of the matrix equation can be
determined by assuming any value of an element ui of vector u as 1; generally u1 is
set to unity.
A 
   0

 
k m u
Lecture 20-4
  0
 
k - m u


ku m u
1 2 1 2

 m m u
-1 2 -1 2
 
m km u I u


Au u
-1 2 -1 2

A m km
 Then other vales of the elements of the vector u can be determined by solving the matrix
equation; the solution provides relative value of ui (i = 1……….. n) with respect to u1 = 1; an
example problem shows the procedure
 Thus, the values only provide a shape for displacements of different d.o.f; this shape is called
the mode shape ( ) corresponding to frequency
 An important property of mode shapes is that they are orthogonal w.r.t. to the mass and
stiffness matrices i.e.
the same condition holds good with respect to the stiffness matrix; the reason for this is that
eigenvectors of matrix are orthogonal w.r.t. to the matrix; it is mathematically established
i
 i
ω
j
i 
if
j
i 
if
A A
Lecture 20-5
0
T
i j
m
  
0
T
i j
m
  
 A formal proof for the orthogonality properties of the mode shapes is given below
 Pre multiplying ith mode equation by 𝝓𝒋
𝑻
𝝓𝒋
𝑻
𝒌𝝓𝒊 = 𝜔ⅈ
2
𝝓𝒋
𝑻
𝒎𝝓𝒊
 Similarly, 𝝓𝒊
𝑻
𝒌𝝓𝒋 = 𝜔𝑗
2
𝝓𝒊
𝑻
𝐦𝝓𝒋
 Deducting two equations
 Taking symmetric property of k, m i.e.,
 If
 From the second equation it follows 𝝓𝒊
𝑻
𝒌𝝓𝒋 = 0 for 𝜔ⅈ ≠ 𝜔𝑗
2 2
- -
T T T T
j i i j i j i j i j
 

       
k k m m
T T
j i i j

   
k k
2 2
( ) 0
T
i j i j
 
 
 
m
, 0
T
i j i j
 
 
 
m
Lecture 20-6
Lecture 20-7
Lecture 20-8
Lecture 20-9
Lecture 20-10
Lecture 20-11
Lecture 20-12
Lecture 20-13
Lecture 20-14
Lecture 20-15
Lecture 20-16
Lecture 20-17
Lecture 20-18
Lecture21
 Mode shapes can be normalized in different ways since mode shapes represent only
the relative displacement of the d.o.f.
 Consider the mode shape in the following example:
 The normalization is done with the first value taken as unity and with maximum value
taken as unity; the corresponding mode shapes are,
 Another way of normalization is with respect to the mass matrix i.e.
Mode Shape Normalisation Lecture 21-1
 
 
 
1
2
3
0.036 0.036 0.125
0.158 0.158 0
0.154 0.154 0.03
T
T
T




 



20 0 0
0 20 0
0 0 60
m
 
 
  
 
 
m
 
 
 
1
2
3
1 1 3.47
1 1 0
1 1 0.195
T
T
T







 
 
 
1
2
3
0.288 0.288 1
1 1 0
1 1 0.195
T
T
T








 
 
 
1 1 1 1
1
2 2 2 2
2
3 3 3 3
3
0.0144 0.0144 0.05
0.05 0.05 0
0.0167 0.0167 0.00 5
1
;
1
;
1
; 32
T
T
T
T
T
T
m
m
m
m
m
m
 


 

 
m
m
m
  
  
  
 If mode shapes are normalized as above then
 Undamped mode shapes have the following properties apart from the orthogonality:
 All points pass through their maximum and minimum values at the same instant
 All points pass through zero at the same instant in time
 The mode shapes can be described by a sign valued real number
 All points are either totally in phase or out of phase with any other point on the structure
 The mode shapes from the undamped case are same as the proportionally damped
case
 Since C matrix is not explicitly known, it is obtained by making certain assumptions
 One of the common assumption is that C matrix is mass and stiffness proportional i.e.
values of  and  are determined with the help of the undamped natural frequencies of the
system; more information on the topic will be discussed in a subsequent lecture
c m k
 
 
T
m I
  
Properties of Mode Shapes and Frequencies Lecture 21-2
 Complex mode shapes have the following characteristics
 All the points do not pass through their maxima at the same in time- points
appear to have time log
 All the points do not pass through zero at the same instant of time
 Mode shapes can not be described by real valued numbers- the shapes are
complex valued
 The different d.o.f will have some general phase relationship that will not
necessarily be in phase or 180 degrees out-of phase with other d.o.f.
Undamped mode shapes Damped mode shapes
Lecture 21-3
 As discussed before damping matrix is classified as classical and non-classical damping
matrix; for non-classical damping advantage of modal analysis can not be used
 If damping matrix is classical, then the advantage of modal analysis can be taken and the
knowledge of complete C matrix is not required (modal ratio/damping ratios are sufficient
for analysis)
 However there are quite a few situations for which knowledge of C matrix of the structure
is required even if it is a classical one; they include :
 Consideration of soil structure/water structure interaction
 Nonlinear dynamic analysis of structure
 Dynamic analysis of hybrid structure
 Structural control of dynamic system
 Where large number of modes are to be considered or determination of modal initial
conditions from structural initial conditions are required
Construction of C Matrix from Natural Frequencies
Lecture 21-4
 For above cases, c matrix is derived from the damping ratio using certain assumptions
 The common assumptions made is that the c matrix is proportional to either m matrix or
k matrix or both; this kind of damping is known as proportional damping or Rayleigh
damping (after the name of Rayleigh)
 The constants of proportionality are equated to the damping ratio since it represents the
total dissipation of energy during vibrations in a comprehensive manner and is obtained
from experimental test
 If it is assumed that c matrix is proportional to m, then
Since for SDOF,
For the nth mode,
Lecture 21-5
0
a

c m
0
, ;
T
n n n n n
Say c then c a m
 
c
 
T
n n n

m m
 
2 n
c m

0
2 n n n n
m a m
  
0
0
; 2
2
n n n
n
a
a
  

 
 If c is proportional to k, then
 If C is proportional to both, then
 If i and j are any two modes, then a0 and a1 can be solved in terms of
as (with )
, ,
i j i j
and
   
i j
  
 
0 1
2
2
;
i j
i j i j
a a

 
   
 
 
Lecture 21-6
1
c k
a

2
1 1
c
, ;
T
n n n n n
Say a a m

 
k
 
2
1
2 n n n n n
m a m
  

1
1
2
;
2
n n
n
n
a
a
 


 
0 1
a a
 
c m k
0 1 ;
T T T
n n n n n n
a a
 
c m k
     
2
0 1
n n n n
c a m a m

 
2
0 1
2 n n n n n n
m a m a m
  
 
0 1
2 2
n n
n
a a
 

 
 with a0 and a1 as known c is constructed
 Figures show the variations of with for all the three cases
n
 n

Lecture 21-7
 For determining a0 and a1 , any two natural frequencies can be adopted; they depend
upon the problem being solved and the number of modes which are considered
 There is no fixed criteria for the selection of natural frequencies and ; following
examples give some ideas for the selection
 Say the first 5 modes are being consider in the analysis i.e., contributions from modes
higher than 5 modes are neglected (assuming they are small)
 The values of and are selected for this purpose; from the figure it is seen that
and are set to , the specified damping ratio; this has two implications
 and will be less than ; thus contributions of second and third mode will be over
estimated
 and damping ratios for higher modes will be more and hence, their contributions
will be less (which is consistent with the assumption made)
i
 j

1
 4

1
 4


2
 3


6

Lecture 21-8
 It may be argued that over estimation of the contributions of second and third on the
response will compensate for neglecting the contributions of the higher modes
 Note that selection of first two frequencies is not always right
Lecture 21-9
Lecture 21-10
Lecture 21-11
Lecture22
 Direct solution of MDOF solves the n x n coupled matrix differential equation
 Solutions can be performed in frequency or time domain; in time domain the solution is
an extension of that for SDOF:
 If P(t) is a vector of irregular time histories of excitations, then it is solved using numerical
integration schemes
 The Newmark’s –  method described for SDOF system can be easily extended to the
MDOF system
 The modifications consists of
 Converting u to vector u and the corresponding derivatives
 Replacing m, c, k by matrices M, C, K
 Replacing the equations by
 In which is a matrix and is a vector
 Solution requires inversion of the matrix . once for all
 vector is obtained by satisfying the equation of motion at k+1 the time station
k p(t)
Solution of Equations of Motion
  
mu cu ku p(t)
or k+1 k+1
ku = p(t) ku = p
Lecture 22-1
1
k
u 
k
 The equations of motions can be solved by a number of other numerical integrations
schemes like Wilson –  – method, Houbolt’s method, Alpha method etc
 Duhamel integrations, in principle can be extended to MDOF system; however, it is
cumbersome and therefore, not generally used
 Difficulty with direct integrations is fixing the value of t; general thumb of rule for good
accuracy is that where T is the time period of the system; for SDOF
it is known, but for MDOF system it is difficult to determine
 Without performing the frequency analysis, it is difficult to fix the cut off mode and
consequently the cut off T
 Other problem of direct integration is that errors are accumulated easily because of the size of
the problem; so very small t is required
 Trial values of t are adopted to obtain solutions of the MDOF system requiring more
computational time to fix the required value of t
10
T
t
 
Lecture 22-2
 The alternative form of the equation (see the SDOF solution)
 In which I is an identity matrix of size n x n ; 𝝎𝒏 and 𝝎𝒏
𝟐
are diagonal matrices; β, 𝛿, Δ𝑡 are scalars
1
N k N K
q F q H F 
 
 2
2
    
t t
  
2
n
n
α I ω
ω
[ ]
 T
i i i i
q u u u
1 2
[ ( ) ]

   T
n t t
  
-1
H m
          
   
2 2 3 2 2
2
1
1
- 2 -
2
- 2 -
-2

 
     
 
 
 
     
 

 
 
 
N
t t t t t t
t t t t t
t
     
     

2 2
n n n
2 2
n n n
2 2
n n n
- ω ω - ω α + γ
F -ω ω - ω α + γ
-ω ω - ω -γ
 
 
 2
1
2 (1 ) ( )
2
     
t t
  
2
n n
γ ω ω
Lecture 22-3
 The numerical integration scheme provides displacement vector
 For obtaining other responses, member end displacements and rotations are required
 For this, the member ends are identified and accordingly, the d.o.f. are consistent with global co-
ordinate system
 The following procedure is adopted to find the response quantities of interest.
 From the condensation relationships, find rotations at the joints corresponding to the ends of the
member
 Once the rotations are known, then the displacements and rotations at the ends of the members are
transformed from global to local co-ordinate system using transformation relations
𝜹′
= 𝑻𝜹; T is the transformation matrix
-1
θΔ θθ
θ = k - k k
Lecture 22-4
Determination of other Responses
 Member end forces are determined by multiplying the vector of displacements in local co-ordinate
by the member stiffness matrix in the own co-ordinate system;
 In whichk, f’, k’ and 𝛅′
are consistent with the member coordinates; k’ is the member stiffness
matrix, 𝜹′ is member and displacement vector, f’ is the member end force vector
 Note that although the rotational d.o.f. are not included in the dynamic d.o.f., the rotations do occur
at the joints at every instant of time
 Even though the mass moment of inertia is not present at the joints, these rotations produced due
to the translational inertia force contribute to the member end response
 In addition to the moments, shears are also developed at the joint
 The member end responses, other than translations corresponding to the dynamic d.o.f., are
significantly influenced by the idealizations adopted in generating the mass matrix
 The simple lumped mass and consistent mass matrices include rotational inertia force which result
in increased rotations at the joints leading to increased moment and shear forces at the joints
  
f = k 
Lecture 22-5
 Determination of other response quantities other than displacement response require
rotational d.o.f, which are normally condensed out. This in turn requires some
additional computational effort
Examples
For the same 3 strorey frame, find an expression for the displacement responses at t =
2.52 s , given the following:
 
     
 
   
2
_
2
2
0.02 ; 0.02 0.035 0.06
0.1 0.02 0.25 / ; 2.52 0.5 0.2 0.4
1 1
; ;
2 4
0.6 0.12 0.15 / ;
4 2
0.02
.
0.02
2 5 ;
 

 
  
   
 
 
  
 
  
 T
T T
T
t s t s u cm
u cm s P s
u cm s
M C
K K
t t
M C
K
Lecture 22-6
 
 
_
2
2 0 0 6.548 2.354 0 2 1 0
4
0 2 0 100 2.354 6.548 2.354 1177 1 2 1
0.02
0 0 1 0 2.354 3.274 0 1 1
43663.6 1412.4 0
1412.4 43663.6 1412.4
0 1412.4 11504.4
 
     
     
      
     
     
 
     

 
 
  
 
 

 
m
K m m
m
   
_
2 2
2
2
_ _
0.02 0.01
4 2 4
0.035 10 2 0.02 10
0.02 0.02
0.02
0.06 0.25
2 0 0 0.6 0.5
0 2 0 0.12 10 0.2
0 0 1 0.15 0.4
 





   
     
 
       
     
 
 
     
 
   
     
   
 
    
   
 
   
 
     

t t
t t
t t
t
M C M
P C C
m
K u P
u
1
_ _



 
  
 
t t
t K P
Lecture 22-7
 
2
2
0.01 0.01 0.02 0.01
2 10
0.02 10 0.018 0.035 0.02 0.02
0.02
0.25 0.06 0.06 0.025
0.02
0.0348
0.0537
t t
t t t t t t t t
u
Mu Cu Ku P



   
 
       

       
 
      
       
 
       
 
       
 

 
 
 
 
 

 
  
0.0092
0.19
0.49
t t
u 

 
 
  
 

 
Lecture 22-8
Lecture 22-9
Lecture 22-10
Lecture 22-11
Lecture 22-12
Lecture 22-13
Lecture23
 Solution of MDOF system in frequency domain is just an extension of that of SDOF
system,; however, the solution does not lead to the same elegant expression and
understanding of the responses (the classical DAF vs  plots)
 Frequency domain analysis is based on the following:
 Fourier synthesis of excitation, so that excitation can be decomposed in to a
number of harmonic excitations in the form of
 Theorem of superposition
 Solution of the dynamic system for harmonic excitation
 The solution provides a steady state solution which is independent of initial condition;
hence its use requires careful consideration
 A more compact form of the solution technique exists using FFT and IFFT algorithms
(solution technique is known as frequency domain analysis using FFT)
 Since FFT and IFFT algorithms are readily available now frequency domain solution
using the two algorithms are preferred now





 
i
t
i
Sin
i
A 

Frequency Domain Solution
Lecture 23-1
 Equation of motion for harmonic excitation takes the following form
 The first one is taken up for illustration of frequency domain solution by direct
method; The second one is not amenable to frequency domain solution by direct
method
 Assuming solution of the form;
 Equating like terms
sin t

mu+ cu+ ku = p
mu+ cu+ ku = p(t)
   
T
1 1 2 2 n n
= p sinω t p sinω t ...... p sinω t
p t
cos sin
c s
t t
 
 
u u u
   
2 2
- cos - sin - sin cos cos sin sin
c s c s c s
t t t t t t t
          
 
 
    
m u u c u u k u u p
2 sin sin
t t
s c s
   
 
 
   
mu c u ku p
cos
2 0
t
s c s
  
 
 
   
mu c u ku
Lecture 23-2
 Equating like terms
 Solution of the above equation provides and for a particular value of
 Unlike SDOF system, the above solution can not be manipulated algebraically to an
elegant form
 When the responses are bending moments and shear forces for a member then
rotations at the joints are recovered using the condensation relationship
 Once the rotations are known at the joints, member end displacements are
completely known; member stiffness matrix multiplied by the member end
displacement provides the member end forces
   
2
2 0
 
 
 


 
 
u
k - m c p
s
uc
c k - m
   
-1
2
2 0
 
 
 

 
 


u k - m c p
s
uc c k c
s
u c
u 
Lecture 23-3
Frequency domain analysis for non integrable periodic loading
 For solving the problem in frequency domain analysis, the irregular time histories are
Fourier synthesized and the equation of motion is solved in frequency domain as it is done
for SDOF; note that each time history has the same form of periodic function with variation
of amplitude only
 The solution procedure takes the following steps:
 Fourier synthesize each time history as
 Consider j=1 to N where N is the number of terms included in the analysis; for
each value of j, find Fij, ωj and φij
 With these, determine the jth force vector; the ith element of the vector is
2 j
j T

 
2 2
j j
f a b
ij  
( ) sin( )
0
p fij j ij
N
t t
i
j
 
 


-1
tan
bj
ij a j

 
 
 
 

 
sin
ij j ij
f t
 

Lecture 23-4
 Since remains the same for elements of any vector, any element may
be written as
 Assuming displacement vector to be of the same form i.e.,
 For a particular frequency ωj, can be determined from equation by
replacing {P} by {Fij}
 The ith element of the displacement vector uj is denoted by
 
sin j j
t
 

 
 

j j
j
f t
{ }sin
   
cos sin
j j j j
j cj sj
t t
   
   
u u u
cos sin
j j
ij c ij ij
ij ij
u u t u t
s
   
   
   
   
   
 
T
cj sj
u u
Lecture 23-5
 Which can be written as
 In which
 
sin -
ij ij j ij ij
u u t
  
 
   
1
sin -
N
j j ij ij
j
t t
  

 

u u
2 2
ij cij sij
u u u
 
-1
tan ij
ij
c
ij
s
u
u

 
 

 
 
Lecture 23-6
Lecture 23-7
Lecture 23-8
Lecture 23-9
Lecture 23-10
Lecture 23-11
Lecture 23-12
Lecture 23-13
Lecture24
 In complex domain, the solution of equation motion in frequency domain is performed
in more compact form using FFT and IFFT algorithm
 For SDOF system, it has already been described; For MDOF system, the concept can
be easily extended in matrix form
 The equation of motion is excited by eiωt at each DOF one at a time, then
 For eiωt positioned at the second place
 u(iω) vectors thus obtained, if arranged as vertical column in sequence for n DOF,
then the matrix becomes h(iω) matrix itself where
i t
e 

mu + cu + ku I
( ) ( ) i t
t e 


u u
2 1
( ) [ ] ( )
i i i
   

   
u k m c h
2 1
( ) [ ]
i i
   
  
h k m c
( ) ( )
i i
 

u h
Solutions Using FFT and IFFT Lecture 24-1
2
[ ] ( )
i
  
  
k m c u I
 This matrix is called the frequency response function popularly known as FRF matrix
and is similar to flexibility matrix (better called dynamic flexibility matrix)
 Following this definition dynamic stiffness matrix is
 Note that these matrices are complex matrices
 Using FRF of a MDOF system, the MDOF system can be analyzed for any set of
excitation periodic and irregular; the responses are steady state solutions
 FRF of a MDOF system preserves the entire dynamic characteristics of the system in
a complete form; if FRF of a structure can be determined from experimental test,
then the system can be analyzed for any excitation without the knowledge of any
other thing
 System identification consists of finding FRF using prototype testing (especially used
for damaged structure)
 Analysis of MDOF system in frequency domain using FRF for any arbitrary loading
can be performed by frequency domain analysis using FFT as developed for SDOF
2 1
( ) [ ]
i i
   
  
h k m c
2
[ ]
i
 
 
k m c
Lecture 24-2
 The procedure is an extension for MDOF system and consists of the following steps
 Obtain condensed stiffness matrix form the full stiffness matrix
 Find C Matrix using Rayleigh Damping
 α and β are determined from two selected frequencies of the system (discussed
before)
 Fourier transform P(t) using FFT; it requires FFT of time histories; p1(t) …. pn(t)
 Take first N/2 +1 terms of the FFT of the time histories
 Form a matrix of p(ω) of size nx(N/2+1); first column corresponds to 0; second
column corresponds to Δω and so on, ith element of a column j corresponds to the ith
frequency content of the load pi(t)
 Obtain h(iω) for ω=0, (Δω),N/2 Δω
-1
-1
-
-
  
 
  



k k k k k
k k
 
 
 
c m k
Lecture 24-3
 Multiply h(iω) with each column of p(ω) matrix to obtain of size nx(N/2+1)
 Obtain from by adding complex conjugates to each row of
 Size of is nxN matrix
 Make IFFT of each row of ; note that both FFT and IFFT are to be performed for
n number of discrete series
 This provides discrete values of response u1(t) to un(t) at an interval of Δt; u(t) matrix
is of size nxN
 Once u(t) is obtained, θ(t) can be obtained
 For any other response, the member end displacements and rotations at the two
ends of the member in global coordinate are selected from the u(t) and θ(t) vectors at
each time t.
 They are transformed to the local co-ordinate using the transformation matrix of the
member.
 

i
u
 

i
u  

i
u  

i
u
 

i
u
 

i
u
-1
( ) - ( )
t t
 

 k k u

Lecture 24-4
Lecture 24-5
Lecture 24-6
Lecture 24-7
Lecture 24-8
Lecture 24-9
Lecture25
 Normal mode theory is one of the elegant methods that has made dynamic analysis of
many structural vibration problems simple and easy to understand
 Another important feature of the method is that it enables one to physically understand the
dynamic problem in terms of its natural frequency of vibration
 Normal mode theory stipulates that the response of a MDOF system resembling a structure
subjected to dynamic excitation is weighted summation of its mode shapes (normal modes)
expressed mathematically as
is the displacement vector in structural co-ordinates is the mode shape matrix,
is the vector generalized co-ordinates
 Both u and z are functions of t ; z is also called modal co-ordinates; z(t) is the time
dependent weighting functions; size of the vector depends upon the number of modes
considered in the analysis; accordingly, the size of varies
 If z is Nx1, u is Nx1 and is NxN, then the normal mode theory gives the exact results;
however, if size of z is less than u, then the result becomes inaccurate; number of modes or
generalized co-ordinates to be considered for obtaining good results depends upon the
problem and the response quantity of interest

u z

u 
Z


Normal Mode Theory Lecture 25-1
 If it is considered that there are n d.o.f. and m is the number of modes considered,
then
in which is of size nx1, i is the mode number
 The above equation clearly illustrates that the response u is a weighted summation
of mode shapes, weighting functions being zi
 Substituting for u in equation of motion and pre-multiplying by , both LHS and
RHS of the equation of motion,
if c is assumed to be Rayleigh damping then,
 Substituting for c
1 1
nx nxm mx

u z

1 1 2 2 3 3 ...... n n
    
z z z z
   
i

 
T T T T
z z z
  
m c k p t
      
T

 
 
c m k
   
T T T T T
z
 
   
m z m k z k p t
        
( )
 
   
mz m k z kz p(t)
Lecture 25-2
in which, because of the orthogonal property of mode shapes, and becomes
diagonal matrices
 As a result, the set of equations are uncoupled; each equation becomes an
equation of motion for SDOF:
if m modes are only considered, then i =1…m
 The SDOF equations are solved for zi by using any technique in time/ frequency
domain described before; the technique to be adopted depends upon the duration
of loading and response quantity of interest.
 Once zi ( i = 1…..m) are obtained, u may be obtained as
 Equations of motion in generalized co-ordinates are SDOF equations; they may be
also written in the following form:
1
n m m
 

u z

k
m
( ) 1.......
i
i i i i i i
m z c z k z p t i n
   
2 ( )
2 i
i i i i i i
i
p t
Z Z Z
m
  
  
Lecture 25-3
 in which
 As described before, in Rayleigh damping, the constants and may be
determined by two frequencies of the structures; generally, first frequency may be
considered
 The equations of motion as obtained above is preferred because of two reasons:
 It requires only undamped mode shapes and frequencies of the system to be
known; finding is trivial
 Damping does not become a big problem for the analysis provided (i)
proportional damping is assumed and (ii) damping ratio is assumed to be the
same in all modes

 
2
2
i i i
   
 
2 2
i i
i
 
 

 
 

T
i i i
m  m
  2
i
i
i
k
m


i
m
Lecture 25-4
 Thus, normal mode theory is widely used in structural dynamics for solving MDOF
systems in the linear range
 How many modes provide a good estimate of the response attracted the attention of
researcher
 The studies revealed that consideration of only first few modes is sufficient to get good
results since excitations generally do not excite higher modes( i.e. resonance takes
place)
 When excitations have high frequencies or when responses other than displacements
like BMs are to be obtained, consideration of large number of modes is required
 There are other ways to obtain the responses, other than the displacements, using less
number of modes in the modal analysis technique
 One such method will be discussed in the subsequent lecture
 The method requires the quasi static solution for the dynamic load
Lecture 25-5
Lecture 25-6
Lecture 25-7
Lecture 25-8
Lecture 25-9
Lecture 25-10
Lecture 25-11
Lecture 25-12
Lecture 25-13
Lecture 25-14
Lecture 25-15
Lecture 25-16
Lecture26
 Use of normal mode theory for support excitation is important for
it allows to understand contribution of each mode of vibrations and
provides a background to the development of response spectrum method
 For single support excitation, equation of motion
 Using normal mode theory, the developed SDOF system;
is the weight of the rth floor
 Each SDOF is associated with a 𝜆ⅈ thus, 𝑝ⅈ 𝑡 = −𝜆ⅈ𝑢𝑔
 The above SDOF can be solved by any method described before
2
2
i i i i i i i g
z z z u
   
   
- g
u
  
mu cu ku mI
 
1 ;
2
1
N i
W
r r r W
i r
N i
W
r r r








Lecture 26-1
 After finding the displacements u(t), the member end forces are obtained in two ways
 Find the rotations θ from condensation relationship and then find the displacements
and rotations at the ends of a member in local co-ordinates using transformation;
multiply the member stiffness matrix by the member end displacement vector
(described before)
 Find the mode shape coefficient for the response quantity of interest and use the mode
summation equation to find u, replacing u by the response quantity of interest;
response quantity of interest could be base shear, member end forces, drift etc
 The mode shape coefficient for the response quantity of interest is obtained by a
separate static analysis of the structure
Lecture 26-2
 In order to find the mode shape coefficients for the response quantity of interest, the
following procedure is adopted:
 Analyze the MDOF system for the static load vector and find the
response quantity of interest ( it could be one response quantity or a number of
response quantities represented by vector; accordingly could be a single quantity
or a vector)
 Repeat the procedure for ( i = 1….m)
 Arrange R in the form of a matrix; size of R will be s x m, where s is the number of
response quantities; note that if R contains member end forces, then global to local
transformation is required
 R matrix is mode shape matrix for the response quantities of interest
 This mode shape matrix replaces the displacement mode shape matrix in that the
relationship between the actual response and the modal response
2
i i i


p m
i
R
i
p
i
R
Lecture 26-3
Lecture 26-4
Lecture 26-5
Lecture 26-6
Lecture 26-7
Lecture 26-8
Lecture 26-9
Lecture 26-10
Lecture27
 For most of the problems, consideration of first few modes is sufficient to get good
estimate of the responses; how many modes are to be considered is generally decided
by the mass participation factor given as
in which n is the number of d.o.f. and i is the mode shape number, is the mode
participation factor defined later, and m is the total mass of the system; m is decided
based on
 Even if the number of modes to be considered is selected based on the above concept,
the response quantities like bending moment and shear force may not be obtained
accurately; for that more number of modes are to be considered
 One approach called mode acceleration approach is developed to find good estimate of
response using less number of modes
i

1
n
i i ir
r
i
m
M
 
 


1
1
m
i
i




i

Lecture 27-1
 The uncoupled SDOF equation of motion in generalized co-ordinate can be re-written as
 be the mode shape coefficient for a response quantity of interest R(t), then
 The first term is computed with m=n ie. by considering all modes and the second term is
calculated using only m number of modes
 The first term in that case provide quasi static response of the system for total load p(t) which
can be proved as below:
The equation is equivalent to the modal equation without and terms; therefore
obtained from above equation is the quasi static generalized displacements for the ith
mode ie,
i
z
 
 
2 2
1 1
2
i
i i i i
i
i i
p t
z z z
m

 
 
  
 
 
i

 
 
 
2 2
1 1
1
2
m m
i
i i i i i
i i
i i i
i p t
R t z z
m

  
 
 
  
 
z
z
i
z
Mode Acceleration Approach
( ) ( )
T
t t


T
ku p
k z p
  
Lecture 27-2
 Quasi static part of response quantity of interest may be written as
 Thus response may be written as
 Since first part of the response considers contribution from all modes, the error is introduced
only due to the second term
 Generally first part dominates the response ,the response obtained by using the above
equation provides a better estimate of with less number of modes than mode summation
approach
2
T
i
i
i i
z
m 

p

 
R t  
R t
   
1
2 2
1 1
n
i i
i
T
n n
i i i i
i i
i i i i
R t z m n
p
m m
 
 

 
 
 

 
p


 
R t
     
2
1
1
2
m
i i i i i
i i
R t R t z z
  


  

 
R t
 
R t
Lecture 27-3
Lecture 27-4
Lecture 27-5
Lecture 27-6
Lecture 27-7
Lecture 27-8
Lecture 27-9
Lecture 27-10
Lecture 27-11
Lecture 27-12
 Use of normal mode theory has given rise to the popular Response Spectrum Analysis of Structures for
Earthquake
 A multi degree of freedom system subjected to single point support excitation due to ground motion provides the
following equation of motion:
 Using normal mode theory the above equation motion can be written as a set of uncoupled equation of motion in
generalized co-ordinate
in which (for buildings)
 𝜆ⅈ Is called mode participation factor denoting the contribution of the ⅈ𝑡ℎ mode to the overall response, as is
evident from the SDOF equation of motion in generalized co-ordinate
 Mass participation factor described before is used to find number of modes to be considered
 Solution of the ⅈ𝑡ℎ modal equation by any method (time domain and frequency domain) provides the maximum
value of 𝑧ⅈ 𝑚𝑎𝑥
- g
u
  
mu cu ku mI
 
1
2
1
T N i
i r r r
i T N i
i r r r
W
W
i






 

mI
m

 
Modal Response Spectrum Analysis
i

Lecture 28-1
2
2 ( 1..... )
i i i i i i i g
z z z u i m
   
    
 For different values of ωⅈ for a specified value of ξ 𝑧ⅈ 𝑚𝑎𝑥maybe obtained for the given time history of
𝑢𝑔(𝑡)
 The plot of 𝑧ⅈ 𝑚𝑎𝑥with 𝑇ⅈ =
2𝜋
ω𝑖
provides the displacement spectrum of the ground acceleration𝑢𝑔(𝑡) ; this
is designated by 𝑆𝑑𝑖
vs. 𝑇 plot
 Once this is known for the ground acceleration 𝑢𝑔 𝑡 ,two more spectrums are constructed from the
displacement response spectrum
 They are 𝑆𝑣 = 𝜔𝑆𝑑 𝜔 =
2𝜋
T
and 𝑆𝑎 = 𝜔2𝑆𝑑; they are plotted against 𝑇; 𝑆𝑎 vs. 𝑇 is called response
spectrum of spectral acceleration
 If this acceleration spectrum is known for a given time history of acceleration, then maximum response of
the MDOF system can be obtained from static analysis of the system for an equivalent static load, if it is
assumed that that the MDOF is vibrating in only a single mode i.e. in ⅈ𝑡ℎ mode
 Thus the equivalent static load for a particular mode of vibration is determined for the specific dynamic
excitation in the form of ground acceleration
 Static analysis of the structure is performed for the equivalent static load
Lecture 28-2
 The equivalent static load is obtained in the following manner:
 It has been shown that
The maximum displacement for the ⅈ𝑡ℎ mode:
The corresponding lateral force providing the maximum displacement in the ⅈ𝑡ℎ
mode maybe written as
 Thus, if for the ⅈ𝑡ℎ mode, 𝑇ⅈ =
2𝜋
ω𝑖
is known, then 𝐹ⅈ can be determined provided 𝜆ⅈ ,𝜑ⅈ and spectral
acceleration 𝑆𝑎 (for 𝑇ⅈ) are known
Lecture 28-3
i i di i
k S 

F 
2
max
ai
i di
i
S
z S

 
2
2 2
ai ai
i i i i i i
i i
i i i ai
S S
k
m S
  
 

 

F m
F
 

 If the structural system is analyzed for lateral load 𝐹ⅈ, then the responses provide the maximum response
that the structure would have provided for 𝑢𝑔 𝑡 if it vibrates only in the ⅈ𝑡ℎ mode
 The equivalent lateral load analysis is known as the modal response spectrum analysis of the structure
 Use of normal mode theory requires that contributions from all modes (m-modes) considered are added to
get the final responses
 In time history analysis, this is done by using the well-known relationship
 In response spectrum method of analysis, the maximum response in each mode of vibration is obtained
 Since maximum response in each mode of vibration can occur at different times, the simple additions of the
maximum response obtained in the response spectrum method analysis will not give the final response
 Therefore, the responses in each mode of vibration are combined using some combination rules; one such
combination rule is called SRSS rule
 This introduces some approximations in the response spectrum method of analysis; the effect of these
approximations have been investigated and it has been found that in most cases, it doesn’t introduce much
error in the prediction of maximum responses
Lecture28-4

u z

 The total response is obtained by summing up the product of 𝑧ⅈ and 𝜙ⅈ
 If the general case is considered, then R is
𝜙ⅈ𝑅 is the ith mode shape coefficient of R
 This simple summation is not possible for the response spectrum method for two reasons:
Response spectrum method uses absolute maximum value of 𝑧ⅈ ignoring the sign of the
response
Maximum 𝑧ⅈ does not take place at the same time for all modes; thus, simple summation to
obtain maximum response becomes inadmissible
1
u 
m
i i
i
z

 
1
m
iR i
i
R z


 
Lecture 28-5
 In earthquake literature, three summation rules are prescribed
 These summation rules do not have strong theoretical base; however, they are formed to provide
either a conservative or a good estimate of R
Rules are:
ABSSUM (Absolute sum of the responses in all modes)
SRSS (Square root of the sum of the squares of the responses in all modes)
CQC (Complete quadratic combination of the responses in all modes)
 ABSSUM rule:
 SRSS rule:
 CQC rule:
 m is the number of modes considered and R is the response quantity of interest; 𝜌ⅈ𝑗 is correlation
between mode responses
1
m
i
i
R R

 
2
1
m
i
i
R R

 
2
1
m
i ij i j
i
R R R R


 

Lecture 28-6
 ABSSUM provides a conservative estimate of the response as it is evident from the nature of the
summation
 SRSS rule provides a reasonably good estimate of the response for widely spaced frequencies of
structure
 In this approach, it is assumed that there is no correlation between the modal responses. This
assumption is not truly valid as there exists some correlation between modal responses
 However, with increased spacing between two frequencies of the structure, this correlation dies down
 CQC rule takes into account this correlation ; hence , provides a better estimate of R
 For ordinary frames, SRSS rule is widely used in practice
 For 3D building models with high eccentricity the frequencies are closely spaced and therefore CQC rule
is to be used for finding the responses (Eqns.5.14 and 5.15 of Fig. in the next slide refer to those by Der
Kiewrigian and Rosen blueth respectively)
Lecture 28-7
Lecture28-8
Lecture 28-9
Lecture 28-10
Lecture 28-11
Lecture 28-12
Lecture 28-13
Lecture 28-14
Lecture 28-15
Lecture 28-16
Lecture 28-17
Lecture29
Continuum system
 Infinite degrees of freedom exist for the continuum system; thus, dynamic equilibrium equation is
written similar to that for beam and plate
 For static equilibrium, beam equilibrium equation
 For quasi-static case,
 If 𝑝 𝑡 is not quasi-static but dynamic, two more terms, inertia and damping would be present in the
above equation
 m is the mass per unit length; c is damping constant per unit length
 Above equation is written using the knowledge of beam theory, inertia force and damping force
4
4
d u
EI p
dx

4
4
( )
( )
d u t
EI p t
dx

2 4
2 4
( )
u u u
m c EI p t
t
t x
  
  

 
Lecture 29-1
 In subsequent section, the formal derivation of the equation of motion will be presented
 Direct solution of equation of motion is highly cumbersome. Therefore, the equation is solved using
normal mode theory
 The background of how the normal mode theory is used for the continuum system is presented
subsequently
 It also provides an understanding of the meaning of mode shapes of continuum system
 Normal mode theory as applied to MDOF system can be extended to develop the normal mode
theory as applied to the continuum system
 The mode shapes and frequencies of the continuum system is presented here for the beams and
axial member
 Unlike discrete system, mode shapes and frequencies of continuum system is derived by solving
the partial differential equation
Lecture 29-2
 Normal mode theory shows that the response of a humped mass system can be represented by
 For vibration only in one mode
 The above equation leads to ;
 If mode shape coefficients for particular mode is known, then the responses of different d.o.f are known by
knowing the response of one quantity 𝑧ⅈ(𝑡)
 For large number of d.o.f, the curve passing through the curve passing through the points representing the
mode shape co efficient can be approximated by a function𝜙ⅈ(𝑥)
 If this function is known or can be guessed (or assumed) then the responses at different d.o.f can be obtained
by knowing 𝑧(𝑡) only
 Above observations can be extended for a continuum in which d.o.f are infinite; so a smooth function 𝜙ⅈ(𝑥)
will represent ⅈ𝑡ℎ
mode shape of the continuum
 If these functions are known or can be assumed, then responses of the system can be determined by
knowing 𝑧ⅈ(𝑡) i.e. solution of a SDOF system
 Dynamic analysis of continuum system for arbitrary /periodic /support excitation problem is popularly performed in
this fashion i.e., using normal modes
Continuum System Lecture 29-3
( 1.......... )
i i
z i m
 
u 

u z

 Development of the equation of motion of the axial vibration of a rod
AE
P
x
u



2
2
u P
AE
x
x
 



2
2
t
u
Adx
dx
x
P






Lecture 29-4
 Since the inertia force balances the external force per unit length
 Substituting for
P
x


2 2
2 2
u E u
t x

 

 
2 2
2 2 2
1
u u
x c t
 

 
E
c


 The general solution of the equation of motion is
Regardless of the type of function F, the argument upon differentiation leads
to
Hence, the differential equation is satisfied
 For component , it can be easily shown that the wave propagates in
positive x direction with speed c and the opposite phenomena is experienced for the
component
 So, the general solution consists of wave propagations in two opposite directions for
one dimensional wave propagation problem
 Solution of the equation of motion can be obtained by the method of separation of
variable is,
Substituting in equation of motion,
   
1 2
u F ct x F ct x
   
 
x
ct 
2 2
2 2 2
1
F F
x c t
 

 
 
1
u F ct x
 
 
2
u F ct x
 
( , ) ( ) ( )
u x t u x q t

2 2
2 2 2
1 1 1
y q
u q
x c t
 

 
Lecture 29-5
 Solution of the equation of motion of the axial vibration of a rod
 Since both the sides are independent of each other, the ratios of the terms on the two
sides should be the same and hence,
The general solution of the two equations are:
 Constants of the two equations are obtained from the initial and boundary conditions
 Consider a stretched string between two fixed points separated by l,
 Then B = 0 and
 Note A could be a function of t (not x)
 For , gives
2
2
2
0
u w
u
c
x
  
 
 
  
0
2
2
2





q
t
q
sin cos
u A x B x
c c
 
 
t
D
t
C
q 
 cos
sin 

( sin cos )sin
u C t D t x
c

 
 
( , ) 0
u l t 
ω
sin l = 0
c
(0, ) ( , ) 0
u t u l t
 
Lecture 29-6
From equilibrium consideration, consider the figure bellow.
Substituting from 𝑣 and 𝑀,
 The above two derivations are without damping; since damping force negates the excitation force, it can be simply
added to the left hand side of the equation of motion i.e., equation of motion takes the form
in which 𝑚 𝑥 is the mass per unit length ; 𝐼is the moment of inertia per unit length and 𝑝(𝑥, 𝑡) is the excitation per
unit length of the continuum
Lecture 29-7
2 2 2
2 2 2
( ) ( ) ( , )
u d u
M x EI x p x t
t t dx
 
 
 
 
   
2 2
2 2
; ;
v u M d u
p m v M EI
x x
t dx
  
   
 

4
4
( , )
d u
mu cu EI p x t
dx
  
 Development of the equation of motion for the flexural vibration of the beam
 For support excitation only, the above equation maybe easily modified by bringing in total acceleration (𝑢𝑡
) in place
of relative acceleration (𝑢) ; equation of motion takes the form
Since, the equation becomes
 The equation of motion can be written also in terms of total displacement i.e.,
Since 𝑢𝑔 does not vary with 𝑥 for single point excitation, equation becomes
 For multi support excitation again, writing the equation of motion for the continuum becomes somewhat complex
although in principle it can be done
 Therefore, the continuum system is discretized in such cases
Lecture 29-8
4
4
0
t
d u
mu cu EI
dx
  
 
t
g
u u u x
 
4
4
( ) ( ) ( ) g
d u
m x u cu EI x m x u
dx
   
4
4
4 4
( )
g
t
t t g
d u
d u
m x u cu EI cu EI
dx dx
    
4
4
( ) t
t t g
d u
m x u cu EI cu
dx
   
Lecture 29-9
Lecture 29-10
Lecture 29-11
Lecture 29-12
Lecture 29-13
Lecture 29-14
Lecture 29-15
Lecture 29-16
Lecture30
 Natural frequencies and mode shapes of the continuum system is obtained by solving the undamped equation of
motion without any excitation i.e.,
The solution is obtained by assuming 𝑢(𝑥, 𝑡) of the form
which means that the vibration of the beam is distinguished by a single time history z(𝑡); displacement along the
beam at any time 𝑡 obeys a function
 This assumption leads to:
Substitution in the equation of motion gives
Natural Frequencies and Mode Shapes of Continuum System
Lecture 30-1
4
2
2 4
( ) ( ) 0
d u
u
m x cu EI x
t dx

  

( , ) ( ) ( )
u x t x z t



( )
x

2
2
( ) ( )
u
x z t
t




4
4
( ) ( )
iv
u
x z t
x




( ) ( ) ( )
( ) ( ) ( )
iv
z t EI x x
z t m x x




 Thus the above two ratios are equal and say is equal to 𝜔2
; this leads to two equations
 The first equation shows that it is nothing but the frequency of a SDOF
 The second equation shows that there is an infinite number of frequencies 𝜔 and corresponding mode
shapes ∅(𝑥) for the eigen value problem represented by the second equation
 If 𝑚(𝑥) = 𝑚, then the second equation can be written as
Where,
The general solution of the equation is
 Four unknown constants are evaluated from four displacement boundary conditions of the continuum; upon
finding 𝑐1 to 𝑐4, the trigonometric function equated to zero gives the value of 𝛽
Lecture 30-2
2
2
( ) ( ) 0
( ) ( ) ( ) ( ) 0
iv
z t z t
EI x x m x x

  
 
 
   
4
0
iv
x x
  
 
2
4 m
EI

 
  1 2 3 4
sin cos sinh cosh
x c x c x c x c x
    
   
 The solutions are presented for
 Simply supported beam
 Cantilever
 Fixed-fixed beam
 Propped cantilever
 For simply supported beam:
First set of conditions provide 𝑐1 = 𝑐4 = 0 Leading to
Second set of conditions provide
From these equations,
Lecture 30-3
   
   
0 0; 0 0
0; 0
EI
L EI L
 
 

 

 
  1 3
sin sinh
x c x c x
  
 
 
1 3
2
1 3
sin sinh 0
sin sinh 0
c L c L
c L c L
 
  
 
  
3 sinh 0
c L
 
Since 𝑠ⅈ𝑛 ℎ𝛽𝐿 cannot be zero (then 𝜔 = 0),
𝑐3 = 0 which leads to
𝑐1 = 0 is a trivial solution
𝑠ⅈ𝑛𝛽𝐿 = 0 gives 𝛽𝐿 = 𝑛𝜋 𝑛 = 1,2,3,4 … .
and
 Cantilever beam:
Substitution of these conditions lead to
Setting determinate of the matrix as zero gives
Lecture 30-4
1 sin 0
c L
 
2 2
2
n
n EI
m
L

  1,2,3,4....
n 
  1 sin
n
n x
x c
L

 
   
   
0 0 0 0
0 0
EI L EI L
 
 

 
 
 
1
2
sin sinh cos cosh
0
cos cosh sin sinh
c
L L L L
L L L L c
   
   
   
 

 
 
  
  
1 cos cosh 0
L L
 
  
Numerical solution (not closed form) provides
 Fixed-fixed beam:
Application of the boundary condition gives
Lecture 30-5
   
1 2 3 4
2 2 2 2
1
1.875,4.694,7.855,11 1,2,3,4
3.516 22.03 61.7 121
; ; ; ;
cos cosh
cos cosh sin sinh
sin sinh
n
n n
n n n n n
n n
L for n
EI EI EI EI
m m m m
L L L L
And
L L
x c x x x x
L L

   
 
    
 
 
   
 

     
 

 
   
   
0 0
0 0
L
L
 
 
 
 
 
1 2 3 4
cos .cosh 1
4.73; 7.85; 11; 14.13
n n
L L
L L L L
 
   

   
 Propped Cantilever
B.C provides
 Approximate evaluation of natural frequency in a mode of vibration can be obtained if mode shape is
approximated by a function of x
 This approximation mode shape can also be termed as shape function; if a shape function is assumed, then
forced vibration (undamped) in a mode can be expressed as
Lecture 30-6
   
   
0 0
0 0
L
L
 
 
 
 
 
   
1
tan tanh 0
sin sinh cosh cos
sin sinh
cos cosh
n n
n n n n n n
n n
n
n n
L L
x c x x x x
L L
L L
 
     
 

 
 
 
   
 



( , ) sin . ( )
( , ) cos . ( )
u x t z t x
u x t z t x


 
  


 Equation leading to determination of natural rth frequency provides,
  )
(
)
(
)
(
)
( 2
x
x
m
x
x
EI r
r
r 





  
 







L
r
n
r
L
r
n dx
x
x
x
m
dx
x
x
EI
x
0
2
0
)
(
)
(
)
(
)
(
)
(
)
(

 







L
r
n
r
L
r
n dx
x
x
x
m
dx
x
x
x
EI
0
2
0
)
(
)
(
)
(
)
(
)
(
)
(

 







L
r
n
n
L
r
n dx
x
x
x
m
dx
x
x
x
EI
0
2
0
)
(
)
(
)
(
)
(
)
(
)
(
 





L
r
n
r
n dx
x
x
x
m
0
2
2
0
)
(
)
(
)
(
)
(
 


L
r
n dx
x
x
x
m
0
0
)
(
)
(
)
(
 
 




L
r
n dx
x
x
EI
x
0
0
)
(
)
(
)
(
 Pre-multiplying by and integrating
n

 Similarly, one gets
 Subtracting one equation from the other
 Thus, orthogonality with respect to mass is obtained as
 Similarly orthogonality with respect to stiffness can be derived as
n
r 
Lecture 30-7
 Maximum potential energy of the system over a vibration cycle
In which
 Maximum kinetic energy is associated with maximum velocity
 Equating 𝐸𝑘and 𝐸𝑠
 This is known as rayleigh’s quotient for a system.
Determination of Approximate Natural Frequency by Rayleigh’s Method Lecture 30-8
2
0 2
at maxdisp
u
u
x

 

 
2
0
0
1
2
L
s
E EI u dx

 
 
 
2
2
0
0
2
L
s
z
E EI x dx

 
 
 
2
2
2
0
0
2
L
k
z
E m x dx
 
 
 
   
 
2 2
2 2
2
0 0
0 0
2 2
L L
z z
EI x dx m x dx
  
 
 
 
 
 
 
2
2 0
2
0
L
L
EI x dx
m x dx







Lecture 30-9
Lecture 30-10
Lecture 30-11
Lecture 30-12
Lecture 30-13
Lecture31
 For continuum system, the responses are obtained mostly using normal mode theory; however;
there are techniques to solve the continuum equation by direct integration of equation of motion
 For the use of normal mode theory, u(x, t) is written as
in which is the nth mode shape and is the nth generalized coordinates
 Obeys the orthogonality condition, which was proved previously; orthogonality conditions are given
by
 Substituting for u(x, t) in the equation function
( )
n x

( )
n x

0
( ) ( ) 0
l
n m
m x x dx
  
 n
m
for 
 
( ) ( ) 0
n m
x EI x dx
 

 
 n
m
for 
 
1 1
( ) ( ) ( ) ( , )
n n m n
m n
m x z EI x z t p x t
 
 
 


 
 
1
( , ) ( ) ( )
n n
n
u x t x z t



 
Normal Mode Theory for Continuum System
n
z
Lecture 31-1
multiplying both sides by and integrating over length l,
 Using the orthogonality condition and introducing damping
in which
m

 
0 0 0
( , )
L L L
n m n n m n m
z m dx z EI dx p x t dx
    


 
 
  
2
2 ( )
n n n n n n
z z z p t
 
   
 ......
1
n
 
2
0
L
n n
m m dx

 
 
 
 
0
2
2
0
0
2
0
; ; 2
( ) ( , )
( )
l
n n n
L
n n
n n n n
n n
L
n
n L
n
k EI dx
k c
c c dx
m m
x p x t dx
p t
m
 
  





  





Lecture 31-2
 Thus, the continuum system is converted to n number of SDOF system like the discrete
MDOF system; by considering truncated mode it is possible to solve m number of equation to
find the response quantities of interest
 Once a number of SDOF systems are obtained, the solution procedures for them remain the
same as those of discrete MDOF systems
 For continuum system, and are to be obtained for various boundary conditions; the
standard cases have been discussed before
Support Motion
 When a continuum is subjected to support motion, the equation of motion takes the form similar
to the discrete system
 Consider the cases shown in figure below
)
( 

n
( )
n x
 n

Lecture 31-3
 The equation of motion has been derived before
 If the supports undergo different motions, then writing the equation of motion for continuum
becomes difficult. The problem involves finding an equation for the elastic curve of the continuum
when a unit support motion is given keeping the other supports locked
 The solutions is difficult for the general case for obtaining a closed form solution; however, for
certain cases, it may be possible
 In such situation, the continuum may be converted to discrete lumped mass model and use the
problem solution for multi support excitation
 Whenever the response spectrum method of analysis is used for support excitation equivalent
static load in each mode of vibration can be determined in the same way as that was done for
discrete system
 The equivalent static load in each mode is continuous over the structure, since mode shapes are
continuous functions
 The mean peak response can be determined using SRSS rule
Lecture 31-4
 Responses other than the displacement is obtained either by direct method or by using response
mode shape coefficient method
 In the continuum approach, the rotations are not needed, unlike discrete approach, to obtain any
response quantity of interest. The appropriate derivative of the displacement provides the response
 For example, if bending moment at only section is required
 A better approach to find the response is to use the following expression
 The mode shape coefficient 𝜙ⅈ 𝑥 = 𝑙 for the response is obtained by solving the static problem with
the distributed load 𝑚𝜔ⅈ
2
𝜙ⅈ 𝑥
2
2
( )
u
m t EI
x



1
( , ) ( ) ( )
m
i i
i
R t x l z t x l


  

Lecture 31-5
Mode Acceleration Method
 Like the discrete method, the mode acceleration method can be used to find more accurate
responses using the limited number of modes
 The relevant equation remains the same as that for the discrete method
 𝑅 is the quasi-static response and 𝜙ⅈ denotes the mode shape co-efficient for the response
 The quasi-static response is obtained by performing the static analysis of the continuum for the load
𝑝 𝑥, 𝑡
 Note that, the quasi-static response of each type requires the derivatives of 𝑢 𝑥, 𝑡 . In many cases,
these derivatives may have to be obtained by numerical method
 
2 2
1 1
1
( 2 )
m m
i
i i i i i i
i i
i i i
p t
R R z z R Z
m
  
 
 
 
      
 
 
 
Lecture 31-6
Lecture 31-7
Lecture 31-8
Lecture 31-9
Lecture 31-10
Lecture 31-11
Lecture 31-12
Lecture 31-13
Lecture 31-14
Lecture 31-15
Lecture 31-16
Lecture 31-17
Lecture 31-18
Lecture 31-19
Lecture 31-20
Earthquakeengineering
T K Datta
Lecture32
Introduction
 It is a big subject and mainly deals with earthquake as a geological
process
 However, some portions of seismology are of great interest to
earthquake engineers
 They include causes of earthquake, earthquake waves, measurement
of earthquake, effect of soil condition on earthquake, earthquake pre-
diction and earthquake hazard analysis
 Understanding of these topics help earthquake engineers in dealing
seismic effects on structures in a better way
 Further knowledge of seismology is helpful in describing earthquake
inputs for structures where enough recorded data is not available
Lecture 32-1
 Crust: 5-40 km;
M discontinuity; floating
 Mantle: lithosphere (120 km);
asthenosphere-plastic
molten rock (200 km);
bottom- homogenous;
variation of v is less
(1000 km - 2900 km)
 Core: discovered by Wichert &
Oldham; only P waves can pass
through inner core (1290 km);
very dense; nickel & iron; outer
core (2200 km), same density;
25000 C; 4x106 atm;14 g/cm3
Interiors of earth
1
8
4 
 kms
to
Vp
 Before earthquake is looked as a geological process, some
knowledge about the structure of earth is in order
In-side the earth
 Lithosphere floats as a cluster of plates with different
movements in different directions
Fig 1.1
Lecture 32-2
Plate tectonics
 At mid oceanic ridges, two
continents which were joined
together drifted apart due to flow
of hot mantle upward
 Flow takes place because of
convective circulation of earth's
mantle; energy comes from
radioactivity inside the earth
 Hot material cools as it comes up;
additional crust is formed which
moves outward; existing plates
undergo thrust and are pushed
apart creating gaps
Convective currents
 Concept of plate tectonics evolved from continental drift
Fig 1.2
Lecture 32-3
 New crust sinks beneath sea surface; spreading continues until
lithosphere reaches deep sea trenches where subduction takes place
 Continental motions are associated with a variety of circulation
patterns
 As a result, motions take place through sliding of lithosphere; the
lithosphere cannot move in one piece because of different
temperature and velocity produced by different circulation pattern
 Thus the lithosphere moves in pieces- called tectonic plates; the
movement of the tectonic plates is of main concern to seismologist
and earthquake engineers
 There are seven such major tectonic plates and many smaller ones
 They move in different directions at different speeds
Lecture 32-4
Major tectonic plates
Lecture 32-5
 Three types of Inter plate interactions exist giving three types of
boundaries.
 Tectonic plates pass each other at the transform faults.
Types of inter plate boundaries
Lecture 32-6
 Faults at the plate boundaries are the likely locations for
earthquakes; the earthquakes occurring at the plate
boundaries (faults) are called inter plate earthquakes
 Earthquakes occurring within the plate are caused due to
mutual slip of rock bed releasing energy; this type of
earthquake is called intra plate earthquake
 Slip creates new faults, but faults are mainly the causes
rather than results of earthquake
 At the faults two different types of slippage are observed-
Dip slip; Strike slip
 In reality combination of the types of slipage is observed at
the fault line
Lecture 32-7
Types of fault
Lecture 32-8
Causes of Earthquake
 There are many theories to explain causes of earthquake
 Out of them, tectonic theory of earthquake is popular
 The tectonic theory stipulates that movements of tectonic plates
relative to each other lead to accumulation of stresses at the plate
boundaries & inside the plate
 This accumulation of stresses finally results in inter plate or intra
plate earthquakes
 In inter- plate earthquake the existing fault lines are affected while
in intra-plate earthquake new faults are created
 The inter plate earthquake is caused due to disturbances at the
fault lines, while intra plate earthquake is caused due to the
stresses generated within the tectonic plate
Lecture 32-9
 During earthquake, slip takes place at the fault; length over
which slip takes place could be several kilometres; earthquake origin
is a point that moves along the fault line
 Elastic rebound theory, put forward by Reid, gives credence to
earthquake caused by slip along faults
 Large amplitude shearing displacement that took place over a
large length along the San andreas fault led to elastic rebound
theory
 Modelling of earthquake based on elastic rebound theory is of two
types:
 Kinematic-time history of slip
 Dynamic-shear crack and its growth
Lecture 32-10
Fault Line
After earthquake
Direction of motion
Direction of motion
Road
Fault Line
Before Straining
Direction of motion
Direction of motion
Fault Line
Strained (Before earthquake)
Direction of motion
Direction of motion
Road
Lecture 32-11
 An earthquake caused by slip at the fault proceeds in the following
way:
 Owing to various slow tectonic activities, strains
accumulate at the fault over a long time
 Large field of strain reaches limiting value at some point
of time
 Slip occurs due to crushing of rock& masses; the strain is
released, releasing vast energy equivalent to blasting of
several atom bombs
 Strained layers of rock masses bounces back to its
unstrained condition
 The strained layers become parallel to each other
because of bouncing back (elastic action) of layers
Lecture 32-12
Fault
Before slip Rebound due to slip
Push and pull force Double couple
 Slip could be of any type- dip,
strike or mixed giving rise to a
push & pull forces acting at the
fault; slip velocity at an active
fault-10 to 100mm/year
 This situation is equivalent to two
pairs of coupled forces suddenly
acting and thus, moving masses of
rock leading to radial waves
propagating in all directions.
Lecture 32-13
 Propagating wave is complex& is responsible for creating
displacement and acceleration of soil/rock particle in the ground
 The majority of the waves travels through the rocks within the
crust and then passes through the soil to the top surface
 Other theory of tectonic earthquake stipulates that the
earthquake occurs due to phase changes of rock mass,
accompanied by volume changes in small volume of crust
 Those who favour this theory argues that earthquakes do occur
at greater depths where faults do not exist
Lecture 32-14
Lecture33
Seismic Waves
 Large strain energy released during propagation of waves in all
directions within earth as elastic medium
 These waves, called seismic waves, energy from one point to the
other and finally carry it to the surface
 Within earth, waves travel in almost homogenous elastic unbounded
medium as body waves
 On the surface, they move as surface waves
 Reflection and refraction of waves take place near the surface at
every layer; as a result waves modified
 The modification of the wave near the surface and different
boundaries within the earth creates complex nature of the waves;
thus, at the surface the waves are of a mix of complex waves
Lecture 33-1
 Body waves are of two types- P and S waves; S waves are also called
transverse waves
 Waves propagation velocities are given by:
 P waves arrive ahead of S waves at a point; time interval is given by:
 Polarized transverse waves are polarization of particles either in
vertical(SV) or in horizontal(SH) plane
  
 
1
1 1 2
1
2 1
/
p
/
/
s
E ν
ν
ρ ν ν
G E
ν
ρ ρ ν
 

 
 
 
 
 
 
  
  
 
   
1 2
1 2
1 2
1 1
Δ
p
s p
T
ν ν
 
 
 
 
 
Lecture 33-2
 Apart from P waves and S waves, there are PP, PS, SS, SP waves
which are generated because of the reflection and refraction of
the waves
 Surface waves are of two types - L waves and R waves
 L waves: particles move in horizontal plane
perpendicular to the direction of wave propagation
 R waves:- particles move in vertical plane; they trace
a retrogate elliptical path; for oceanic waves water
particles undergo similar elliptical motion in ellipsoid
surface as waves pass by
 L waves move faster than R waves on the surface (R wave
velocity ~0.9 )
S
V
Lecture 33-3
Body and Surface waves
Lecture 33-4
 P and S waves change phases as PPP, PS, PPS etc. after
reflection & refraction at the surface
PS
P
S
S
SP
P
SS
PP
Reflection at the earth surface
Lecture 33-5
Records of Surface Waves
 Strong earthquake waves recorded on the surface are irregular in nature
P PP S SS L
 They can generally be classified in four groups:
 Practically Single Shock: near source; on firm ground; shallow
earthquake
 Moderately long irregular: moderate distance from source; on
firm ground-El centro earthquake
Typical strong motion record
Fig 1.10
Lecture 33-6
 A long ground motion with prevailing period: filtered
ground motion through soft soil, medium- Loma Prieta
earthquake
 Ground motion involving large Scale ground
Deformation: land slides, soil liquefaction- Chilean and
Alaska earthquakes
 Most ground motions are intermediate between those described
before (mixed)
 Amongst them, nearly white noise type earthquake records (
having a variety of frequency compositions are more frequent on
firm ground); many earthquake records of nearly white noise type
are idealized as white noise
Lecture 33-7
0.1
0.05
0.0
0.05
0.1
WEST
EAST
Acceleration
(g)
Time (sec)
0.5 1.0 1.5 2
(a)
Acceleration
Single Shock
1
0.0
1
WEST
EAST
Displacement
(cm)
Time (sec)
0.5 1.0 1.5 2
displacement
Lecture 33-8
0 5 10 15 20 25 30
-0.4
-0.2
0
0.2
0.4
Time (sec)
Acceleration
(g)
Acceleration
Lec-2/15
Mixed frequency
0 5 10 15 20 25 30
-10
-5
0
5
10
15
Time (sec)
Displacement
(cm)
Displacement
Lecture 33-9
0 1 2 3 4 5 6 7 8
-6
-4
-2
0
2
4
Time (sec)
Displacement
(cm)
Displacement
Time(sec)
0 2 4 6 8 10 12 14 16 18
-0.5
-0.4
-0.3
-0.2
-0.1
0
0.1
0.2
0.3
0.4
0.5
0.6
0.7
0.8
0.9
1
Acceleration
(g)
Acceleration
Predominant frequency
Lecture 33-10
 They refer to quantities by which size & energy of earthquakes are
described
 There are many measurement parameters; some of them are directly
measured; some are indirectly derived from the measured ones
 There are many empirical relationships that are developed to relate
one parameter to the other
 Many of those empirical relationships and the parameters are
used as inputs for seismic analysis of structures; so they are
described along with the seismic inputs
 These empirical relationships are used mostly as inputs in regions
where enough earthquake data is available
Earthquake Measurement Parameters
Lecture 33-11
 Here, mainly two most important parameters, magnitude &
intensity of earthquake are described along with some terminologies
 Most of the damaging earthquakes have
Epicentre Epicentral Distance
Hypocentral Distance
Focal Depth
Focus/Hypocentre
Site
 Limited region of earth
influenced by the focus is
called focal region ; greater
the size of earthquake,
greater is the focal region
 shallow focal depth <70 km;
 depths of foci >70 km are intermediate/deep
Earthquake definitions
Lecture 33-12
 Force shocks are defined as those which occur before the main shock
 After shocks are those which occur after the main shock
 Magnitude of earthquake is a measure of energy released by the
earthquake and has the following attributes:
 is independent of place of observation
 is a function of measured maximum displacements of
ground at specified locations
 first developed by Waditi & Richter in 1935
 magnitude (M) scale is open ended
 M > 8.5 is rare; M < 2.5 is not perceptible
 there are many varieties of magnitude of earthquake
depending upon waves and quantities being measured
Lecture 33-13
 Local magnitude ( ), originally proposed by Richter, is defined as log
a (maximum amplitude in microns); Wood Anderson seismograph:
R=100 km; magnification: 2800:
 Since Wood Anderson seismograph is no more in use, coda length (T),
defined as total signal duration, is used these days:
 Body magnitude ( ) is proposed by Gutenberg & Richter because of
limitations of instrument & distance problems associated with
 It is obtained from compression P waves with periods in the range of 1s;
first few cycles are used;
L
M
p
T = 0.8s : ξ = 0.8
2.48 2.7
L
M log A log Δ
  
Lecture 33-14
L
M a blogT
 
b
M
L
M
 
b
A
M log Q h,Δ
T
 
 
 
 
 Occasionally, long period instruments are used for measuring
waves of periods 5s-15s
 Surface magnitude ( ) was again proposed by Gutenberg and
Richter mainly for large epicentral distance
 However, it may be used for any epicentral distance and any
seismograph can be used.
 Praga formulation is used with surface wave period of the order
of 20s
 A is amplitude of Rayleigh wave (20s); is in km; T is the time
period in seconds
s
M
1.66 Δ 2.0
s
A
M log log
T
 
  
 
 

Lecture 33-15
 Seismic moment magnitude ( ) is a better measure of large size
earthquake with the help of seismic moment
A- area (m²) ; U- longitudinal displacement(m); G(3x10¹ºN/m²)
 Seismic Moment ( ) is measured from seismographs using
long period waves and describes strain energy released from the
entire rupture surface
w
M
o
M GUA

o
M
 Kanamori designed a scale which relates to ; there exists a
definite correspondence between , and other types of
magnitude of earthquake
w
M o
M
Lecture 33-16
w
M o
M
2 3 4 5 6 7 8 9 10
2
3
4
5
6
7
8
9
M s
M JMA
M B
M L
M b
Moment Magnitude Mw
Magnitude
w 10 o
2
M = log M -6.0
3
Lecture 33-17
 Energy Release, E ( Joules ) is given by :
M(7.3) ~ 50 megaton nuclear explosion M(7.2) releases 32 times
more energy than M(6.2) M(8) releases 1000 times more energy
than M(6)
 Some Empirical formulae [L (km); D/U(m);A(km2)]
s
M
E 15
8
.
4
10 

w LogL
w LogA
w LogD
M =(0.98logL)+5.65
M =(1.32logU)+4.27
LogL = 0.69M -3.22 (σ =0.22)
LogA = 0.91M -3.49 (σ =0.24)
LogD = 0.82M -5.46 (σ =0.42)
Lecture 33-18
 Intensity is a subjective measure of earthquake; human feeling;
effects on structures; damages
 Many Intensity scales exist in different parts of the world; old ones:
 Gastaldi Scale (1564)
 Pignafaro Scale(1783)
 Rossi- forel Scale(1883)
 Mercalli – Cancani – Sieberg scale is still in use in western Europe
 Modified Mercalli Scale (12 grade) is widely used now
 There have been attempts to relate subjective intensity with the
measured magnitude resulting in several empirical equations:
 Other important earthquake measurement parameters are PGA,
PGV, PGD
Lecture 33-19
s max
M =1.3+0.6I ;I=8.16+1.45M -2.46lnr ;I=1.44M + f(R)
Intensity Evaluation Description
Magnitude
(Richter Scale)
I Insignificant Only detected by instruments 1 – 1.9
II Very Light
Only felt by sensitive persons; oscillation of
hanging objects
2 – 2.9
III Light Small vibratory motion 3 – 3.9
IV Moderate
Felt inside building; noise produced by moving
objects
4 – 4.9
V Slightly Strong
Felt by most persons; some panic; minor
damages
VI Strong Damage to non-seismic resistance structures 5 – 5.9
VII Very Strong
People running; some damages in seismic
resistant structures and serious damage to un-
reinforced masonry structures
VIII Destructive Serious damage to structures in general
IX Ruinous
Serious damage to well built structures; almost
total destruction of non-seismic resistant
structures
6 – 6.9
X Disastrous Only seismic resistant structures remain standing 7 – 7.9
XI
Disastrous in
Extreme
General panic; almost total destruction; the
ground cracks and opens
XII Catastrophic Total destruction 8 – 8.9
Lecture 33-20
Lecture34
Seismic Hazard Analysis
 It is a quantitative estimation of most possible ground shaking at
a site
 The estimate can be made using deterministic or probabilistic
approaches; they require some/all of the following:
 Knowledge of earthquake sources, fault activity, fault
rupture length
 Past earthquake data giving the relationship between
rupture length & magnitude
 Historical & Instrumentally recorded ground motion
 Possible ground shaking may be represented by PGA, PGV, PGD
or response spectrum ordinates
Lecture 34-1
 Deterministic Hazard Analysis (DSHA):
 A simple procedure to compute ground motion to
be used for safe design of speciality structures
 Restricted only when sufficient data is not
available to carry out PSHA
 It is conservative and does not provide likely
hood of failure
 It can be used for deterministic design of
structures
 It is quiet often used for microzonation of large
cities for seismic disaster mitigation
Lecture 34-2
lnPGA(gals)=6.74+0.859m-1.80ln(r + 25)
 It consists of following 5 steps:
 Identification sources including their geometry.
 Evaluation shortest epicentral distance / hypo central
distance
 Identification of maximum likely magnitude at each
source
 Selection of the predictive relationship valid for the region
 One of the widely used predictive relationship is that given by
Cornell
Lecture 34-3
 Example
Maximum magnitudes for
sources 1, 2 and 3 are 7.5,
6.8 and 5 respectively.
(-50, 75)
Source 1
(-15, -30)
(-10, 78)
(30, 52)
(0, 0)
Source 3
Source 2
Site
Sources of earthquake
near the site
Source m r(km) PGA
1 7.5 23.70 0.490 g
2 6.8 60.04 0.10 g
3 5.0 78.63 0.015 g
Hazard level is 0.49g for the site
Lecture 34-4
 Probabilistic seismic hazard analysis (PSHA)
 It predicts the probability of occurrence of a certain level of
ground shaking at a site by considering uncertainties of:
 Size of earthquake
 Location
 Rate of occurrence of earthquake
 Predictive relationship
 PSHA is carried out in 4 steps
 Step 1 consists of following:
 Identification & characterization of source probabilistically
 Assumes uniform distribution of point of earthquake in the
source zone
 Computation of distribution of r considering all points of
earthquake as potential source
Lecture 34-5
 2 step consists of following:
 Determination of the average rate at which an earthquake of
a particular size will be exceeded using G-R recurrence law
 Using the above recurrence law & specifying
maximum & minimum values of M, following pdf of M
can be derived (ref. book)
a-bm
m
λ =10 =exp(α - βm)
Lecture 34-6
0
M
max 0
βexp[-β(m - m )]
f (m)=
1- exp[-β(m - m )]
 3rd step consists of the following:
 A predictive relationship is used to obtain seismic parameter
of interest (say PGA) for given values of m , r
 Uncertainty of the relationship is considered by assuming
PGA to be log normally distributed; the relationship provides
the mean value; a standard deviation is specified
4th step consists of the following:
 Combines uncertainties of location, size & predictive relationship
by
 A seismic hazard curve is plotted as (say is PGA )
Lecture 34-7
NS
y i Mi Ri
i=1
λ = γ P[Y > y|m,r] f (m)f (r)dmdr
 
y
vs
y
 y
 By including temporal uncertainty of earthquake (uncertainty of
time) in PSHA & assuming it to be a Poisson process, probability of
exceedance of the value of , of the seismic parameter in T years
is given by (ref. book)
y
[ ] 1 y T
t
P y y e

  

Lecture 34-8
Example:
For the site shown in Fig 1.20, show a
typical calculation for PSHA (use
Equation 1.22 with σ = 0.57)
Source Recurrence Law Mo Mv
Source 1 4 7.7
Source 2 4 5
Source 3 4 7.3
m
m 
4
log 
m
m 2
.
1
51
.
4
log 


m
m 8
.
0
3
log 


(-50,75)
Source 1
(-15,-30)
(0,0)
Source 3
Source 2
Site
(5,80)
(25,75) (125,75)
(125,15)
(25,15)
Solution:
Location Uncertainty
 1st source
Line is divided in 1000 segments
 2nd source
Area is divided in 2500 parts (2x 1.2)
min
min
90.12
23.72( interval( ) 10)
r km
r divide n

 
)
10
(
32
.
30
98
.
145
min
max



n
r
km
r
Lecture 34-9
 3rd source :min max
r r r
 
0.0
0.4
27.04
33.68
40.32
49.96
53.60
60.24
66.88
73.52
80.16
86.80
P[R=r]
Epicentral distance, r (km)
0.0
0.2
36.10
47.67
59.24
70.81
82.38
93.95
105.52
117.09
128.66
140.23
P[R=r]
Epicentral distance, r (km)
0.0
10
20
30
40
50
60
70
80
90
100
P[R=r]
Epicentral distance, r (km)
1.0
Lecture 34-10
Size Uncertainty :
631
.
0
10
501
.
0
10
1
10
4
8
.
0
3
3
4
2
.
1
5
.
4
2
4
1
4
1















min
max M
and
M
m
M
m
m
P[m m m ] f ( m )dm
m m
f ( m m )
  

 
 
 
 

2
1 2
1
1 2
2 1
2
For each source zone
For source zone 1, are divided in
10 divisions.
Lecture 34-11
 Histogram of M for each source zone are shown
0.0
0.8
Magnitude, m
0.7
0.5
0.4
0.3
0.2
0.1
0.6
P[R=r]
4.8
3
7.14
4.17
4.50
5.16
5.49
5.82
6.15
6.48
6.
81
0.0
0.8
4.05
4.15
4.25
4.35
4.45
4.55
4.65
4.75
4.85
4.95
Magnitude, m
0.7
0.6
0.5
0.4
0.3
0.2
0.1
P[R=r]
0.0
0.8
Magnitude, m
0.7
0.5
0.4
0.3
0.2
0.1
0.6
P[R=r]
4.8
3
7.14
4.17
4.50
5.16
5.49
5.82
6.15
6.48
6.81
Lecture 34-12
 Say, Probability of exceedance of 0.01g is desired
for m = 4.19, r = 27.04 km for source zone1
The above probability is given as
 
951
.
0
)
(
1
65
.
1
)
(
1
04
.
27
,
19
.
4
|
01
.
0









Z
F
z
Z
F
r
m
g
PGA
P
z
z
 
    176
.
0
04
.
27
19
.
4
04
.
27
,
19
.
4
|
01
.
0
04
.
27
&
19
.
4
1
01
.
0
01
.
0









r
P
m
P
r
m
g
PGA
P
is
r
m
for
g
g



 
  336
.
0
04
.
27
551
.
0
19
.
4




r
P
m
P
Lecture 34-13
 For different levels of PGA, similar values of can be obtained
 Plot of vs. PGA gives the seismic hazards curve
 The seismic hazard curve shows the annual probability of certain level
of PGA against the PGA value
 Using the seismic hazard curve the seismic hazard assessment meant
of a region is estimated and it forms a key information on the seismic
hazard mitigation for the region
 This curve is widely used for seismic micro zonation of a city which is
prone to earthquake hazard
λ
 for other 99 combinations of m & r can obtained &
summed up; for source zones 2 & 3, similar exercise can be done;
finally,
0.01g
λ
3
01
.
0
2
01
.
0
1
01
.
0
01
.
0 |
|
| sour
g
sour
g
sour
g
g 


 


Lecture 34-14
λ
Example:
The seismic hazard curve for a region shows that the annual
rate of exceedance of an acceleration 0.25g due to
earthquakes (event) is 0.02.What is the prob. that exactly
one one such event and at least one such event will take
place in 30 years? Also, find that has a 10% prob. of
exceedance
in 50 yrs.
Solution:
Equation 1.28c (book) can be written as
%
2
.
45
1
)
1
(
)
(
%
33
30
02
.
0
)
1
(
)
(
30
02
.
0
30
02
.
0














e
N
P
ii
e
te
N
P
i t


    0021
.
0
50
1
.
0
1
ln
)
1
(
1
ln






t
N
P


Lecture 34-16
 Micro zonation is delineation of a region of a big city into
different parts with respect to seismic hazard potential
 Various Parameters indicating hazard potential are used to
micro-zone the area like, local soil characteristics,
earthquake source properties, epicentral distance,
topography, population density, type of Construction etc
 With respect to each parameter, a map may be prepared
 They are then combined ( by giving weightages to each
parameter ) to arrive at a hazard index
 In seismic micro zonation the hazard index is taken as
either ground amplification factor or the free field PGA level
Micro-zonation Using Hazard Analysis
Lecture 34-17
 Although each parameter has its importance, soil
amplification, earthquake source properties, epicentral distance
are considered very important parameters to denote seismic risk
or hazard of a region
 Thus, DSHA/ PSHA combined with soil amplification are quite
often used to prepare a microzonation map. The steps include:
 Divide the region into a number of grids considering
variation of soil properties
 At the centre of the site of each grid find PGA either by
DSHA/ PSHA (giving prob. exceed)
 For each site find PGA amplification by 1D, 2D or 3D
wave propagation analysis
Lecture 34-18
 Multiply PGAs obtained from DSHA/ PSHA to obtain free
field PGAs
 With these PGAs, a microzonation map is prepared
0.35 g
0.1 g
0.25 g
0.4 g
Deterministic Microzonation
Probability of exceedance = 0.1
0.15 g
0.4 g
0.25 g
0.2 g
0.1 g
0.3 g
Probabilistic Microzonation
Lecture 34-19
Lecture35
Seismic inputs
 Various forms of Seismic inputs are used for earthquake analysis
of structures
 The the form in which the input is provided depends upon the
type of analysis at hand
 In addition, some earthquake parameters such as magnitude,
PGA, duration, predominant frequency etc. may be required
 The input data may be provided in time domain or in
frequency domain or in both
 Further,the input data may be required in deterministic or in
probabilistic form
 Predictive relationships for different earthquake parameters are
also required in seismic risk analysis
Lecture 35-1
Time history records
 The most common way to describe ground motion is by way of time history
records
 The records may be for displacement, velocity and acceleration;
acceleration is generally directly measured; others are derived quantities
 Raw measured data is not used as inputs; data processing is needed. It
includes
 Removal of noises by filters
 Baseline correction
 Removal of instrumental error
 Conversion from A to D
 At any measuring station, ground motions are recorded in 3
orthogonal directions; one is vertical
Lecture 35-2
 They can be transformed to principal directions; major direction is the
direction of wave propagation; the other two are accordingly defined.
 Stochastically, ground motions in principal directions are
uncorrelated.
(a) major (horizontal)
Major (horizontal)
0 5 10 15 20 25 30 35 40
-0.4
-0.3
-0.2
-0.1
0
0.1
0.2
0.3
Acceleration
(g)
Time (sec)
Lecture 35-3
0 5 10 15 20 25 30 35 40
-0.3
-0.2
-0.1
0
0.1
0.2
Time (sec)
Acceleration
(g)
Minor (horizontal)
0 5 10 15 20 25 30 35 40
-0.3
-0.2
-0.1
0
0.1
0.2
Time (sec)
A
c
c
e
l
e
r
a
t
I
o
n
(g
)
Minor (vertical)
Lecture 35-4
 Because of the complex phenomena involved in the generation of
ground motion, trains of ground motion recorded at different
stations vary spatially
 For homogeneous field of ground motion, rms / peak values
remain the same at two stations but there is a time lag between the
two records
 For nonhomogeneous field, both time lag & difference in rms exist
 Because of the spatial variation of ground motion, both
rotational and torsional components of ground motions are
generated
 
 
du dv
t
dy dx
dw
t
dx


 

Lecture 35-5
 In addition, an angle of incidence of ground motion may also be
defined for the time history record
Major direction
x
y
 =Angle of incidence
Lecture 35-6
Frequency Contents of Time History
 Fourier synthesis of time history record provides frequency contents
of ground motion
 It provides useful information about the ground motion also & forms
the input for frequency domain analysis of structure
 Fourier series expansion of x(t) can be given as
a
0 n n n n
n=1
T / 2
0
-T / 2
T / 2
n n
-T / 2
T / 2
n n
-T / 2
n
x(t ) = a + a cosω t + b sinω t
1
a = x(t )dt
T
2
a = x(t )dt cosω t dt
T
2
b = x(t )dt sinω t dt
T
ω = 2πn / T




Lecture 35-7
 The amplitude of the harmonic at is given by
2 2
T / 2 T / 2
2 2 2
n n n n n
-T / 2 -T / 2
2 2
A = a + b = x(t ) cosω tdt + x(t ) sinω tdt
T T
   
   
   
 
n
ω
 Above equation can also be represented in the form
α
0 n n n
n=1
n n
-1 n
n
n
x(t ) = c + c sin(ω t + )
c = A
b
= tan
a


 
 
 

Lecture 35-8
 Plot of cn with is called Fourier Amplitude Spectrum
 The integration can be efficiently performed by FFT algorithm which
treats fourier synthesis problem as a pair of fourier integrals in
complex domain
 Standard input for FFT is N sampled ordinates of time history at an
interval of ∆t
 Output is N complex numbers; first N/2+1 complex quantities provide
frequency contents of time history other half is complex conjugate of
the first half
n

α
-iω t
-α
α
iω t
-α
1
x(iω ) = x(t ) e dt
2π
x(t ) = x(iω) e dω


Lecture 35-9
is called Nyquest Frequency
 Fourier amplitude spectrum provides a good understanding of
the characteristics of ground motion. Spectrums are shown in
the following Figure
 For under standing general nature of spectra, like those
shown in Figure, spectra of ground accelerations of many
earthquakes are averaged & smoothed for a particular site
j
n
2πj
ω =
T
ω = Nπ / T
 
1/ 2
2 2
j j j
j
-1
j
j
N
A = a + b j = 0,.....,
2
b
= tan
a

 
 
 
 
Lecture 35-10
0 2 4 6 8 10 12 14 16 18 20
0
0.2
0.4
0.6
0.8
1
1.2
frequency (rad/sec)
Fourier
amplitude
(g-sec)
1.4
Narrow band
0 20 40 60 80 100 120 140 160
0
1
2
3
4
5
6x 10
-3
Frequency (rad/sec)
Ordinate
Fourier
amplitude
(g-sec)
Broad band
Lecture 35-11
 The resulting spectrum plotted on log scale shows:
 Amplitudes tend to be largest at an intermediate range of
frequency
 Bounding frequencies are fc and fmax
 fc is inversely proportional to duration
 For frequency domain analysis, frequency contents given by FFT provide a
better input
Frequency (log scale)
fc fmax
Ordinate
Fourier
amplitude
(log
scale)
Lecture 35-12
Example: 32 sampled values at ∆t = 0.02s are given as input
to FFT as shown in Fig 2.5
YY = 1/16 fft(y,32)
n
nπ
ω = = 157.07 rad / s
T
2π
dω = = 9.81 rad / s
T
0 0.1 0.2 0.3 0.4 0.5 0.6 0.7
-0.03
-0.02
-0.01
0
0.01
0.02
0.03
0.04
Time (sec)
Ground
Acceleration
(g)
Lecture 35-13
0 20 40 60 80 100 120 140 160 180 200 220 240 260 280 300
-0.2
-0.1
0
0.1
0.2
0.3
Frequnecy (rad/sec)
Real
part
A
Real part
0 20 40 60 80 100 120 140 160 180 200 220 240 260 280 300
-0.2
-0.15
-0.1
-0.05
0
0.05
0.1
0.15
Frequency (rad/sec)
Imaginary
part
A
Imaginary part
Lecture 35-14
2 2 1/ 2
i i i
-1 i
i i n
i
A = (a + b ) i = 0....N / 2
b
j = tan ω = (0..dw...w )
a
 Fourier amplitude spectrum is Ai Vs plot & phase
spectrum is Φi Vs plot as shown in figure below
i

i

Amplitude spectrum
0 20 40 60 80 100 120 140 160
0
0.005
0.01
0.015
0.02
Frequency (rad/sec)
Fourier
amplitude
(g-sec)
Phase spectrum
0 20 40 60 80 100 120 140 160
-1.5
-1
-0.5
0
0.5
1
1.5
Frequency (rad/sec)
Phase
(rad)
Lecture 35-15
Power Spectral Density Function
 Power spectral density function (PSDF) of ground motion is a popular
seismic input for probabilistic seismic analysis of structures
 It is defined as the distribution of the expected mean square value of
the ground motion with frequency
 Expected value is a common way of describing probabilistically a
ground motion parameter & is connected to a stochastic process
 The characteristics of a stochastic process is described later in chapter
4; one type of stochastic process is called ergodic process
 For an ergodic process, a single time history of the ensemble
represents the ensemble characteristics; ensemble r.m.s is equal to
that of the time history
Lecture 35-16
 If future earthquake is assumed as an ergodic process, then PSDF of
future ground motion ( say acceleration) may be derived using the
concept of fourier synthesis
 Meansquare value of an acceleration time history a(t)
using Parsaval’s theorem
 PSDF of a(t) is defined as
 Hence,
N / 2
2
n
0
1
λ = c
2

n
ω N / 2
n
n=0
0
λ = S(ω )dω = g (ω )


2
n
c
S(ω ) = & g(ω ) = S(ω )dω
2dω
Lecture 35-17
Lecture36
 Response spectrum of earthquake is the most favored seismic
input for earthquake engineers
 There are a number of response spectra used to define ground
motion; displacement, pseudo velocity, absolute acceleration &
energy
 The spectra show the frequency contents of ground motion but
not directly as Fourier spectrum does
 Displacement spectrum forms the basis for deriving other spectra
 It is defined as the plot of maximum displacement of an SDOF
system to a particular earthquake as a function of 𝜔𝑛 & ξ
 Relative displacement of an SDOF for a given is given by (3rd
chapter):
Response spectrum
g
x( t)
Lecture 36-1
 At the maximum value of displacement, KE = 0 & hence,
 If this energy were expressed as KE, then an equivalent velocity of
the system would be
n
n
t
-ξω (t-τ)
g d
n 0
v
m d
n
t
-ξω (t-τ)
v g d
0 max
1
x(t ) = - x (τ )e sinω (t - τ )dτ
ω
S
x = S =
ω
S = x (τ )e sinω (t - τ )dτ
 
 
 


2
d
1
E= k S
2
2 2
eq d
eq n d
1 1
mx = k S
2 2
x = ω S
Lecture 36-2
 Thus, xeq = Sv; this velocity is called pseudo velocity & is different
from the actual maximum velocity
 Plots of Sd & Sv over the full range of frequency & a damping ratio
are displacement & pseudo velocity response spectrums
 A closely related spectrum called pseudo acceleration spectrum
(specral acceleration) is defined as:
 Maximum force developed in the spring of the SDOF is
 Thus, spectral acceleration multiplied by the mass provides the
maximum spring force
2
a n d
S = ω S
  2
s d n d a
max
f = k S = mω S = mS
Lecture 36-3
 This observation shows importance of the spectral acceleration
 While displacement response spectrum is the plot of maximum
displacement, plots of pseudo velocity and acceleration are not so
 These three response spectra provide directly some physically
meaningful quantities:
 Displacement – Maximum deformation
 Pseudo velocity – Peak SE
 Pseudo acceleration – Peak force
 Energy response spectrum is the plot of against a
full range of frequency for a specified damping ratio; it shows the
energy cotents of the ground motion at different frequencies
max
2E(t )
m
Lecture 36-4
 At any instant of time t, it may be shown that
 For ξ = 0, it may further easily be shown that
 Comparing Equations for Fourier spectrum and the energy spectrum,
it is seen that both have similar forms
 Fourier amplitude spectrum may be viewed as a measure of the total
energy at the end (t = T) of an undamped SDOF
 Whereas the energy spectrum provides the energy at any instant of
time t of the SDOF
 
 
   
 
1
2 2 2
n
2E(t)
= x(t) + (ω x(t))
m
 
     
 
 
     
   
   
 
 
1
2 2 2
t t
g n g d
0 0
2E(t)
= x (τ) cosω τ dτ + x (τ) sinω τ dτ
m
Lecture 36-5
Example: Draw the spectrums for El Centro acceleration for
ξ = 0.05
Solution: Using equations for different spectrums the
energy spectrum, Fourier spectrum and accelaration
spectrum are drawn and shown in the following figures
Tp(Energy) = 0.55 s
Tp(Fourier) = 0.58 s
Tp(Acceleration) = 0.51s
0 0.5 1 1.5 2 2.5 3
0
0.8
1.6
2.4
3.2
4
Time period (sec)
Energy
spectrum
(g-sec)
Lecture 36-6
0 20 40 60 80 100 120 140 160
0
0.005
0.01
0.015
0.02
Frequency (rad/sec)
Fourier
amplitude
(g-sec)
0 0.5 1 1.5 2 2.5 3 3.5 4
0
0.2
0.4
0.6
0.8
1
Time period (Sec)
Acceleration
response
spectrum
(g)
Lecture 36-7
D-V-A Spectrum
 All three response spectra are useful in defining the design response
spectrum discussed later
 A combined plot of the three spectra is thus desirable & can be
constructed because of the relationship that exists between them
 Some limiting conditions should be realised as T → 0 & T→ α
 The following conditions (physical) help in plotting the spectrum
d v n
a v n
logS = logS - logω
logS = logS + logω
d gmax
T
a gmax
T 0
lim S =u
limS =u
→∞
→
Lecture 36-8
 The response spectrum of El Centro earthquake is idealised by a series
of straight lines
 Straight lines below a & between points b & c are parallel to Sd axis
 Those below f & between d & e are parallel to Sa axis
 Below ’a’ shows constant ; below ‘f’ shows constant
 Between b & c constant ; between d & e constant
 Left of ‘c’ is directly related to maximum acceleration; right of d is directly
related to maximum displacement
 Intermediate portion cd is directly related to maximum velocity of ground
motion & most sensitive to damping ratio
a g
S = u d g
S = u
a a gmax
S = α u d d gmax
S = α u
Lecture 36-9
Lecture 36-10
Lecture 36-11
 Response spectrum of many earthquakes show similar trend when
idealised
 This observation led to the construction of design response spectrum
using straight lines which is of greater importance than response
spectrum of an earthquake
Example : Draw the RSP for Park field earthquake for & compare it
with El Centro earthquake
Solution: Using appropriate equations, the spectra are obtained and
drawn in tripartite plot; it is idealized by straight lines; the
figure shows Parkfields & El Centro RSPs. Comparison of Ta to
Tf between the two is shown
%
5


Lecture 36-12
Table : Comparison of periods between Parkfield
and El Centro earthquakes
(s) (s) (s) (s) (s) (s)
Park field 0.041 0.134 0.436 4.120 12.0 32.0
El Centro 0.030 0.125 0.349 3.135 10.0 33.0
Lecture 36-13
Lecture37
 Design response spectrum should satisfy some requirements since it is
intended to be used for safe design of structures (book-2.5.4)
 Spectrum should be as smooth as possible
 Design spectrum should be representative of spectra of past ground
motions
 Two response spectra should be considered to cater to variations &
design philosophy
 It should be normalized with respect to PGA
 Construction of Design Spectrum
 Expected PGA values for design & maximum probable earthquakes
are derived for the region
 Peak values of ground velocity & displacement are obtained as:
Design RSP Lecture 37-1
c1 = 1.22 to 0.92 m/s c2 = 6
 Plot baseline in four way log paper
 Obtain bc, de & cd by using
 c & d points are fixed; so Tc is known
 Tb ≈ Tc/4 ; Ta≈ Tc/10; Te≈10 to 15 s; Tf≈ 30 to 35 s
 Take from ref(4) given in the book
 Sa/g may be plotted in ordinary paper
2
gmax gmax
gmax 1 gmax 2
gmax
u u
u = c ; u = c
g u
a gmax d gmax v gmax
α u ;α u ;α u
a d v
α , α & α
Lecture 37-2
0.01 0.02 0.05 0.1 0.2 0.3 0.5 0.7 1 2 3 4 5 6 7 10 20 30 50 70 100
0.001
0.002
0.003
0.004
0.005
0.007
0.01
0.02
0.03
0.04
0.05
0.07
0.1
0.2
0.3
0.4
0.5
0.7
1
2
3
4
5
7
10
a
T
b
T c
T d
T e
T f
T
D
i
s
p
.
(
m
)
Pseudo
velocity(m/sec)
2
A
cc.(m
/sec
)
m
v g
u

m
g
u
m
D
g
u

m
g
u
m
A
g
u

m
g
u
Peak groundacceleration,
velocityanddisplacement
Elastic design spectra
Time period (sec)
Lecture 37-3
0 0.5 1 1.5 2 2.5 3 3.5 4
0
0.5
1
1.5
2
2.5
3
Time period (sec)
Sa/g
Hard soil
Medium soil
Soft soil
Time Period (sec)
Pseudo-acceleration
(g)
Design spectrum for site
Medium-sized earthquake at small
epicentral distance
Large size earthquake at large epicentral distance
Lecture 37-4
Example: Construct design spectra for the 50th and 84.1 percentile in
the Tripartite plot.
Solution: Ta = 1/33s; Tb = 1/8s; Te = 10s; Tf = 33s
αA, = 2.17(2.71) ; αV = 1.65(2.30)
αD =1.39(2.01)
For 5 % damping;
Values within the bracket are for the 84.1 percentile spectrum.
Plots are shown in the figure
-1
g g
2
g
1.22
u = u = 0.732 ms
g
(0.732)
u = = 0.546m
0.6g
g
u = 0.6g
Lecture 37-5
50th
84th
Lecture 37-6
 Design Earthquake; many different descriptions of the level of
severity of ground motions are available
 MCE – Largest earthquake from a source
 SSE – Used for NP design
 Other terms denoting similar levels of earthquake
are, credible, safety level maximum etc & are upper
limits for two level concept
 Lower level is called as OBE; other terminologies
are operating level, probable design and strength
level
 OBE ≈ ½ SSE
Lecture 37-7
 Site specific spectra are exclusively used for the design of structures for
the site
 It is constructed using recorded earthquake data in & around the site
 If needed, earthquake data is augmented by earthquake records of
similar geological & geographical regions
 Earthquake records are scaled for uniformity & then modified for
local soil condition
 Averaged & smoothed response spectra obtained from the records are
used as site specific spectra.( book – 2.5.7.1 & Example 2.6)
 The effect of appropriate soil condition may have to be incorporated
by de-convolution and convolution as shown in following figure
Site specific spectra
Lecture 37-8
Rock outcroping motion
C
C
Soil profile at
site of interest
convolution
E
Surface motion at
site of interest
Surface motion
Deconvolution
Given soil
profile
B
bedrock motion
A
D
Bedrock motion
same as point B
Lecture 37-9
 Statiscal analysis of available spectrum is performed to find distributions
of PGA & spectral ordinate at each period
 From these distributions, values of spectral ordinates with specified
probability of exceedance are used to construct the uniform hazard
spectra
 Alternatively, seismic hazard analysis is carried out with spectral
ordinate (at each period for a given ξ) as parameter (not PGA)
 From these hazard curves, uniform hazard spectrum for a given
probability of exceedance can be constructed. An example problem is
solved in the book in order to illustrate the concept. These curves are
used for probabilistic design of structures (book - Example 2.7)
Uniform hazard spectra
Lecture 37-10
 For many cases, response spectrum or PSDF compatible time history
records are required as inputs for analysis
 One such case is nonlinear analysis of structures for future earthquakes
 Response spectrum compatible ground motion is generated by
iteration to match a specified spectrum; iteration starts by generating a
set of Gaussian random numbers
 Many standard programs are now available to obtain response spectrum
compatible time histories; brief steps are given in the book (2.6.1)
 Generation of time history for a given PSDF essentially follows Monte
Carlo simulation
Synthetic accelerograms
Lecture 37-11
 By considering the time history as a summation of sinusoids having
random phase differences, the time history is generated
 Relationship between discussed before is used to find
amplitudes of the sinusoids (book – 2.6.2)
 Random phase angle uniformly distributed between is used to
find
 Generation of partially correlated ground motions at several points
having the same PSDF is somewhat involved & is given in ref(6)
n
c & S dω
0 -2π
i

i i i
i
a(t ) = Asin(ωt + )


Lecture 37-12
 Many seismic input parameters & ground motion parameters are
directly available from recorded data; many are obtained using
empirical relationships
 These empirical relationships are not only used for predicting future
earthquake parameters but also are extensively used where scanty
data are available
 Predictive relationships generally express the seismic parameters as a
function of M, R, Si ( or any other parameter)
 They are developed based on certain considerations
Prediction of Seismic Input Parameters
 
i
Y = f M, R, S
 The parameters are approximately log normally distributed
Lecture 37-13
 Decrease in wave amplitude with distance bears an inverse
relationship
 Energy absorption due to material damping causes amplitudes to
decrease exponentially
 Effective epicentral distance is greater than R
 The mean value of the parameter is obtained from the predictive
relationship; a standard deviation is specified
 Probability of exceedance is given by:
p is defined by
   
1
P Y Y = 1 - F p
≥
 
1
lnY
lnY - lnY
p =
σ
Lecture 37-14
Lecture38
Seismic Design Requirement
A member of structural system is designed for a code specified load
combinations
For member to resist seismic force effectively four basic elements are
required; these four elements of design are incorporated by suitable
choice of the geometry and material property of the member
The four elements are stiffness
𝑃𝑖
𝛿𝑖
, the yield strength 𝑃𝑦 ; Capacity
𝑃𝒖 and Ductility 𝜇
Lecture 38-1
The figure reveals a few characteristics of the designed member,
member remains elastic till 𝑃𝑦, thereafter it undergoes inelastic
excursion
In the first segment, the force increases with increase in displacement;
in the second, the force marginally decreases with the increase in
displacement
The latter segment shows the material deforms sufficiently under
nearly constant load before failure takes place; this is typical of ductile
material
The structural element should have adequate ductility to ensure the
condition of life safety
This ductility is the crucial element of earthquake resistant design; the
element should not collapse immediately the yield limit is reached
Lecture 38-2
The stiffness of the element provides resistance to seismic force during
elastic excursion; the yield strength denotes adequate strength to yield
Yield strength and capacity of the element should be such that the
deformations in the elastic state is controlled and the yielding takes
place at higher load; the element fails at the desired load
Ductility should be as high as possible
For R. C. members, the geometry of the member determines the
stiffness, grade and area of steel and grade of concrete determine the
yield strength and capacity
The ductility is introduced by suitable quantity of steel and
reinforcement detailing at the joint
Lecture 38-3
Determination of Member End Force
Member end forces are determined by performing on equivalent static
analysis of the structure for earthquake forces
In the seismic design codes, two equivalent static analysis are prescribed ;
seismic coefficient method and response spectrum method
The equivalent static analysis is recommended because the static analysis
is performed for other forces and for load combinations to be possible
The basis of response spectrum analysis is explained in lecture slide 29.
(Lecture 28 in the lecture note)
Appropriate modal combination rule is applied to obtain the design of
member end forces
Note that the code provides the formulation for planar analysis
Lecture 38-4
For the 3D building, the lateral load analysis is performed separately in
the two directions assuming the building to be rigid in torsion
In the analysis, the slabs are assumed to behave as a rigid diaphragm
inducing equal sway displacements to all frames undergoing sway;
thus, making a planar analysis valid
Mode shapes and frequencies in the two directions are determined
separately; two sets of lateral forces are determined
Maximum absolute member end forces are determined separately for
the two directions
For torsion, the 3D building is analyzed for actual and accidental
eccentricity and the story shears in both directions
Maximum member end forces are determined after combining the
torsional effect
Lecture 38-5
Seismic Coefficient Method
The codes prescribe three methods of analysis for earthquake resistant
design of building
Response spectrum method of analysis
Response time history analysis and
Seismic coefficient method
 Seismic coefficient method obtains a set of equivalent lateral forces
for earthquake using some empirical formulae, which have some basis
of dynamics
 The method first computes base shear of the building by multiplying
the total weight by a seismic coefficient
b h
V W C
 
Lecture 38-6
 The lateral load acting along the height is distributed such that the
sum of the loads is equal to base shear
 The lateral load along the height may be distributed in different ways
to obtain the same base shear
 In order to make the distribution to be consistent with the vibration in
a particular mode, the lateral load is distributed according to the
mode shape
 Since fundamental mode of vibration is widely used in earthquake
engineering, the shape of the fundamental mode has been preferred
for the distribution of the lateral load.
 Static analysis of the structure is performed for the lateral load along
the height to obtain the response
( )
i b i
F V f h
 
Lecture 38-7
 Different codes have different provisions for the value of seismic
coefficient Ch and the distribution of lateral load along the height of the
structure
 Further, the time period (T) of the building is computed using some
empirical formulae
 Variation of the Ch with T follows a shape close to the design response
spectrum prescribed in the codes
 Although the code specified formulae appear to be empirical, an
approximate relationship can be shown to exist between the empirical
relationship and earthquake dynamic analysis
 The approximate relationship follows the basis of response spectrum
analysis
Lecture 38-8
According to the response spectrum method, the lateral force Fj for the
jth floor for first mode of vibration is given by
From the above equation, it is possible to write
Since, 𝐹𝑗 = 𝑉𝑏, Fj may be written as
If the fundamental mode shape is assumed to be linear then the
following expression may be obtained
1
1 1
a
j j j
S
F W
g
 
   
1
1
j j j
j j j
F W
F W




  
1
1
j j
j b
j j
W
F V
W



 
 
Lecture 38-9
j j
j b
j j
W h
F V
W h


 
If the fundamental mode shape is assumed to be linear, the above
equation simplifies to
In which ℎ𝑗 is the height of the floor
Although fundamental mode shape is not linear, the above equation
may be modified to take nonlinearity into account.
In which k > 1.
For k=2, the fundamental mode shape varies quadratically along the
height; some codes use a combination of both linear and nonlinear
Seismic coefficient method uses the contribution of the first mode
j j
j b
j j
W h
F V
W h


 
k
j j
j b k
j j
W h
F V
W h


 
Lecture 38-10
Computation of Time Period
The fundamental time period of the building is computed by empirical
formula
These formulae have been derived by experimental and practical
observations
Generally these formulae are valid for regular symmetric building
Some codes recommend the use of fundamental time period obtained
by the solution of eigen value problem for highly irregular building
Codes like IBC, NBC allow calculation of fundamental time period by
using a formula almost similar to that used for obtaining approximate
fundamental time period by Rayleigh’s method
Computation of highly irregular 3D building by using empirical
formulae is generally avoided
Lecture 38-11
Computation of Base Shear
According to the response spectrum method of analysis, the base
shear in the i th mode is given by
Since 𝑊ⅈ
𝑒
= 𝜆ⅈ𝛴𝑊
𝑗 × 𝜙𝑗ⅈ, is the effective weight of the building in the
ith mode, Vbi may be written as
Instead of using SRSS rule, if the absolute sum of response is used to
find an upper bound for Vb
( )
i
i
a
b ji j ji i
S
V F W
g
 
      
i
i
a
e
b i
S
V W
g

 
i
b b
V V
 
i
a e
i
S
W
g
   
1to
i n

Lecture 38-12
If it is assumed that
𝑆𝑎i
𝑔
for all modes are the same and is equal to
𝑆𝑎1
𝑔
,
then an upper bound estimate of the base shear, is given as
 The base shear computed by the seismic coefficient method uses
similar formula with
𝑠𝑎1
𝑔
replaced by Ch
 Thus the seismic coefficient method provides a conservative estimate
of base shear because of two reasons
 Use of ABSSUM method of response calculation
 Full mass of the structure is considered along with maximum
value of
𝑠𝑎
𝑔
1
a
b
S
V W
g
 
Lecture 38-13
Lecture39
Ductility and Strength Reduction Factor
Ductility can be mathematically expressed as
In which uy and um are the yield and maximum displacements
The structure undergoes inelastic excursion during oscillation requiring
the ductile behavior
A relationship between the strength reduction factor and ductility is an
important factor that helps in designing structure by considering
ductility
The relationship between the two is established by considering two
SDOFs, one elastic and the other elastoplastic as shown below
A designer can approximately reduce the strength of the member
designed elastically to achieve a desired ductility
m
y
u
u
 
Lecture 39-1
From the figure it is apparent that
In which 𝑓𝑦 =
𝑓𝑦
𝑓𝑐
; inverse of 𝑓 is called the yield reduction factor
y
m m
y
o y o y
u
u u
f
u u u R


  
f
u
y
f
y
u o
u
o
f
Stiffness k
Elastic
Elasto-plastic
m
u
Lecture 39-2
The equation of the elastic plastic system may be written as
In which 𝑓 𝑢, 𝑢 =
𝑓 𝑢,𝑢
𝑓𝑦
As opposed to the elastic analysis, the unloading path of the elasto-
plastic analysis is different from the elastic analysis and it is as shown
below
y
f
f
x
y
x
(c)
 
2
2 ,
n n y g
u u u f u u x
 
   
Lecture 39-3
Depending upon the state of the system, the restoring force changes; it
is either fy or stiffness multiplied by displacement. The third term of
equation is essentially
𝑓 𝑢,𝑢
𝒎
Using the above relationship, the equation of motion may be written
with 𝜇 𝑡 as variable
In which 𝑎𝑦 =
𝑓𝑦
𝑚
is the acceleration of the mass to produce yield force.
The above equation is derived by using the following relationship
     
   
2
, ,
,
, ,
y y y
y n y
y
f f u u f f u u u
f u u k
f u u u f u u u
m m m u m

   
 
2 2
2 ,
g
n n n
y
x
f
a
      
   
    y m y
u t t u u u
 
 
 
 
Lecture 39-4
The equation of motion in the variable 𝜇 may be manipulated in the following
manner
Thus,
Since , the value of 𝜇 depends upon
𝜔𝑛, 𝜉, 𝑓𝑦.
Thus the equation of motion can be solved for a specified set of values of
𝜔𝑛, 𝜉, 𝑓𝑦.
 
2
2 ,
g g
n n
y y
x x k
f
u f
     
    
2
g n g
g
y y y
x k x
k m
x
f m f a


    
 
2
2
2 ,
n g
n n
y
x
f
a

     

  
2 2 2 2
y y y
y n y n o n o n y o
o o
f u f
a u u u f u
m u f
   
    
Lecture 39-5
Normalized yield strength and 𝜇 are related for an SDOF
The equation of motion can be solved to find 𝜇 𝑡 for a specified value
of 𝑓𝑦 or 𝑅𝑦
The solution involves a nonlinear time history analysis which can be
performed using incremental form of Newmark’s 𝛽 method; the
nonlinear time history analysis considering material nonlinearity is an
advanced topic in structural dynamics and has not been included in
the present lecture series
For different combination of 𝜔𝑛 and 𝜉, different of 𝜇 can be obtained;
a plot of 𝜇 Vs. 𝑇𝑛 can be derived for a specified value of 𝜉
However, it is not possible to directly have a plot of 𝑓𝑦 Vs. 𝑇𝑛 or 𝑅𝑦 Vs.
𝑇𝑛 for specified value of 𝜇
Lecture 39-6
Construction of Inelastic Design Spectrum
i. For a specified values of 𝜉 and Tn, obtain the values of 𝜇 for different
values of 𝑓𝑦
ii. From the pair of values of µ and 𝑓𝑦, find 𝑓𝑦 for a specified value of 𝜇,
using interpolation
iii. Check if the specified value of 𝜇 is obtained by solving the equation
of motion with the value of 𝑓𝑦 determined from step (ii). If not, refine
the interpolation for convergence
iv. Repeat the procedure stated above for all values of Tn keeping 𝜉
fixed.
v. By changing the value of 𝜉, 𝑓𝑦 vs Tn plots for different values of 𝜉 may
be derived
Lecture 39-7
For 𝜉 = 5%, a plot of 𝑓𝑦 vs Tn for the different values of µ are shown in
the figure below
0.01 0.05 0.1 0.5 1 5 10 50 100
0.05
0.1
0.5
1
T
a
=0.035
T
f
=15
T
b
=0.125
T
c
=0.5
T
d
=3
T
e
=10
f
y
20
1
5
10
2
Tn, sec
R
y
0.12
0.195
0.37
8
 
4
 
2
 
1.5
 
0.0
Lecture 39-8
The above exercise is performed for a number of earthquakes.
Averages for the plots for different values of 𝜇 are used to obtain the
final plot of 𝑓𝑦 vsTn
These plots are then idealized into a set of straight lines to get an
idealized plot of 𝑓𝑦 vsTn
0.01 0.05 0.1 0.5 1 5 10 50 100
0.05
0.1
0.5
1
T
a
=1/33
T
f
=33
T
b
=1/8
T
c
T
e
=10
f
y
Tn, sec
8
 
4
 
2
 
0.2
1
 
Tc'
1.5
 
Lecture 39-9
From these idealized plots, empirical relationships are generated
within different zones of time period
𝑇𝑎, 𝑇𝑏, 𝑇𝑐 refer to the time periods used in plotting elastic response
spectrum in tripartite graph
The above relationship forms the basis of the development of inelastic
response spectrum for a given ductility; if the strength of the elastic
design spectrum is reduced by factors shown above, the inelastic
design spectrum may be obtained from elastic design spectrum
  1 2
1
1
2 1
n a
y b n c
n c
T T
f T T T
T T








   





Lecture 39-10
 Example 38.1 : Construct an inelastic design spectrum in a tripartite plot for 𝜇 = 2
from the 50th percentile elastic design spectrum constructed in Example 36.1
 Solution: It is presumed that the elastic design spectrum 𝑎 − 𝑏 − 𝑐 − 𝑑 − ⅇ − 𝑓
shown in Figure 36.1 has been developed as explained in lecture 36. From this
elastic design spectrum, the inelastic design spectrum 𝑎′
− 𝑏′
− 𝑐′
− 𝑑′
− ⅇ′
− 𝑓′
is
obtained as below
1. Divide the constant-A ordinate of segment 𝑏 − 𝑐 by 𝑅𝑦 = 2𝜇 − 1 to
obtain the segment 𝑏′ − 𝑐′
2. Divide the constant-V ordinate of segment 𝑐 − 𝑑 by 𝑅𝑦 = 𝜇 to obtain the
segment 𝑐′ − 𝑑′
3. Divide the constant-D ordinate of segment 𝑑 − ⅇ by 𝑅𝑦 = 𝜇 to obtain the
segment 𝑑′
− ⅇ′
Lecture 39-11
5. Divide the ordinate at 𝑓 by 𝑅𝑦 = 𝜇 to obtain 𝑓′. Join points 𝑓′ and e’.
Draw 𝐷𝑦 = 𝑥𝑔𝑜 𝜇 for 𝑇𝑛 > 33𝑠ⅇ𝑐
6. Take the ordinate 𝑎′ of the inelastic spectrum at 𝑇𝑛 = 1 33 𝑠ⅇ𝑐 as equal
to that of point 𝑎 of the elastic spectrum. Join points 𝑎′
and 𝑏′
7. Draw 𝐴𝑦 = 𝑥𝑔𝟎 for 𝑇𝑛 < 1 33 𝑠ⅇ𝑐
The resulting inelastic response spectrum is shown below
V go
V x


Ta =1/33 sec Tf =33 sec
Tb =1/8 sec Te =10 sec
Natural vibration period Tn (log scale)
a
a'
b
b'
c
c'
d
d'
e
e'
f
f '
Elastic design
spectrum
Inelastic design
spectrum
Pseudo-velocity
V
or
V
y
(log
scale)
/
V 
(a)
A
=
x
g
o
A
=
aA
x
g
o
D=xgo
D/µ
D/µ
D=aDxgo
A
/
v
2
µ
-
1
Lecture 39-12
0.01 0.02 0.05 0.1 0.20.3 0.50.7 1 2 3 4 567 10 20 30 50 70100
0.001
0.002
0.003
0.004
0.005
0.007
0.01
0.02
0.03
0.04
0.05
0.07
0.1
0.2
0.3
0.4
0.5
0.7
1
2
3
4
5
7
10
1
0
m
D
i
s
p
.
(
m
)
0
.
1
m
0.1g
0.001m
0
.
0
0
0
1
m
-
5
1
1
0
m

0.01m
0.01g
0
.
0
0
1
g
0
.
0
0
0
1
g
1g
10g
2
A
cc.(m
/sec
)
a
T b
T e
T f
T
c
T d
T
Timeperiod(sec)
Pseudo
velocity
(m/sec)
1
m
Elastic design spectrum
Inelastic design
spectrum
(b)
Lecture 39-13
Lecture40
The design of most structures, except specialty structures like NPP,
offshore structures, fluid retaining structures, relies on adequate ductility
Different types of ductility exists in the literature:
Materials ductility showing material’s plastic deformation
Section ductility showing ability of cross section to deform plastically
Member ductility quantifying the plastic rotations of the members
Displacement ductility showing the global measure of inelastic
performance of the member
Ductility factor may not reflect the actual deformations experienced by
structure because of cyclic stiffness, strength degradation and residual
deformation
Lecture 40-1
Various Types of Ductility
Definition of ductility based on cyclic response
In which Δ stands for any response quantity
Another ductility factor is defined as
𝜇 =
𝐸𝑡𝐻
𝐸𝐸
Where EE is the elastic energy at yield and is given by
𝐸𝐸 =
1
2
𝐹𝑦𝛿𝑦
 High available ductility is essential to ensure plastic redistribution of
actions among components and large absorption of seismic energy
Lecture 40-2
max max
 
 
  

  
y y

Several factors may lead to the reductions of available ductility:
Strain rate effects causing an increase in yield strength
 reduction of energy absorption due to plastic deformation under
alternating action
Overstrength leading to structures not yielding when they are
intended to yield
Tendency of some material to exhibit brittle fracture
These factors may affect both local and global ductility
Ductility depends upon of a number of factors; as a consequence, it is
difficult to access exact ductility in a practical situation
The estimated ductility at best can be assessed and used in the design
Lecture 40-3
In RC structures, the steel provides the ductility; a ductility of the order of
15-20 is achieved in steel if 𝜖𝑢 is limited to incipient strain hardening
If deformation at ultimate strength is utilized, provided ductility is in
excess of 15-20
Ductility of concrete in compression is very low; however, the ductility of
concrete is significantly enhanced by confinement of concrete
Strain hardening-softening influence inelastic excursion in RC structures
Strain softening results in loss of strength with increase in strain and is
reduced by transverse reinforcement
Strain hardening property of the steel controls the spreading of plasticity
and allows idealized plasticity
Lecture 40-4
Factors Influencing Ductility
Cross sectional properties influence the ductility; the curvature ductility
depends on (i) ultimate concrete strain and stress; 𝑓𝑦,
𝑓𝑢
𝑓𝑦
,
𝐴𝑠𝑐
𝐴𝑠𝑡
of reinforcing
steel (ii) nondimensional axial load
𝑁
𝐴𝐶𝑓0
Confinement of concrete increases and use of high grade steel decreases
with ductility
However,
𝑓𝑢
𝑓𝑦
increases the ductility; adding compression steel bar in
beneficial to curvature ductility
Increase in the compressive axial load has an adverse effect on curvature
ductility; for adequate ductility, the nondimensional axial load should be
0.15-0.2
Lecture 40-5
Curvature ductility is affected by shear force
Transverse confinement increases the shear strength
Flexural inelastic response is fully developed prior to stress distress
To achieve high curvature ductility, it is essential to limit the depth of the
neutral axis in sections where plastic hinges form
The nondimensional depth of neutral axis should not exceed 0.25
Adequate curvature ductility ensures rotational ductility in the plastic
hinges; closely spaced stirrups, use of sufficient lap splices and anchorage
lengths allow good rotational ductility
Lecture 40-6
Ductility of joint is a function of several design parameters which includes:
Joint dimension
Amount of steel reinforcement
Bond resistance
Level of column axial load
Presence of slab and transverse beams framing into the connection
Stronger joints have large dimensions lowering shear stress; brittle failure
due to low shear capacity can be prevented by providing hoops
The presence of slab may erode the ductility of beam to column
connection because of the additional demand caused by the raised beam
moment
Lecture 40-7
System property is best described by story drift in the context of ductility
Story translation ductility is a measure of the ductility distribution along
the multi story frame
Two frame may have the same values of the roof translational ductility,
but the story drift ductility is different along the height
The difficulty in obtaining the yield displacement is associated to ill-
defined yield point
Various definitions of yield deformations exist in the literature
As consequence, the uncertainty in defining ductility exist
Different definitions of yield deformations exist and they are shown in the
figures along with the definitions
Lecture 40-8
Fig. 39.1 Definitions of yield deformation. (a) Based on first yield. (b) Based on equivalent elasto-plastic yield. (c)
Based on equivalent elasto-plastic energy absorption. (d) Based on reduction stiffness equivalent
elasto-plastic yield.
Lecture 40-9
i. Deformation corresponding to the first yield (Fig. 39.1a)
ii. Deformation corresponding to the equivalent elastic perfectly plastic
system with the same elastic stiffness and ultimate load as the real
system (Fig. 39.1b)
iii. Deformation corresponding to the yield point of an equivalent elastic
perfectly system with the same energy absorption of the real system (Fig.
39.1c)
iv. Deformation corresponding to the yield point of an equivalent elastic
perfectly system with reduced stiffness computed as second stiffness at
75% of the ultimate load of the system. The second stiffness accounts for
the reduction in stiffness due to cracking (Fig. 39.1d)
Lecture 40-10
Definitions of ultimate deformations vary similarly
These definitions are shown in the form of figures and the context in
which they are defined is explained below:
 Deformation corresponding to the limiting value of strain (Fig. 39.2a)
 Deformation corresponding to the apex of the load-displacement
relationship (Fig. 39.2b)
 Deformation corresponding to the post-peak displacement when the
load carrying capacity has undergone a small reduction of 10-15%
(Fig. 39.2c)
 Deformation corresponding to fracture or buckling of the
member/structure (Fig. 39.2d)
Lecture 40-11
Fig. 39.2 Definitions of ultimate deformations. (a) Based on a limiting compressive strain. (b) Based on peak
load. (c) Based on significant load capacity after peak load. (d) Based on fracture and/or buckling.
Lecture 40-12
The system ductility or global ductility depends upon local ductility
Large inelastic deformations and large amount of energy dissipation
require high values of local ductility
If curvature ductility is much higher than the displacement ductility, good
inelastic behavior of system is achieved
In good RC design, curvature ductility is about there to four times the
displacement ductility
Inelastic lateral displacement of ductile frames are often larger at lower
stories where 𝑝 − Δ effect are significant
Inelastic story drifts are often correlated to the number of plastic hinges
and plastic hinge rotations
Lecture 40-13
Lecture41
Seismic design of structure follows a code of practice which varies from
country to country
Indian code has more similarities with Euro and American codes
Indian code adopts a dual design philosophy in which structures are
allowed to enter into the inelastic state with minor damages in design
level earthquake and suffer extensive damages without collapse in the
extreme level earthquake
Since earthquake is an infrequent phenomenon, structures to remain
within elastic range is an uneconomic proposition
The damages which are expected are repairable and strutures may be
retrofitted
Lecture 41-1
Earthquake Design Philosophy
Analysis of structures uses equivalent static procedure as described
before for appropriate load combinations
In the equivalent analysis, the member end forces are reduced by a
reduction factor R so that the element enters into the inelastic state
More the value of R, more the structure undergoes inelastic excursion; the
ductility demand is also increased; note that R is not synonymous to
ductility
The analysis uses a design response spectrum for finding the earthquake
load on the structure
Note that only the design forces in the members of the structure due to
earthquake forces are reduced by the reduction factor, not the forces
developed by other loads
Lecture 41-2
 The seismic force depends upon the design level earthquake intensity which
is generally adopted as PGA
 The design response spectrums are normalized with respect to PGA. This
facilitates the use of the spectrum in regions with varying earthquake
intensity
 The other reason for normalization is that a very easy correlation between
the extreme level and design level earthquake may be established
 With the above concepts, the design seismic force is obtained as
 The indices i and r refer to mode and floor numbers; I stands for importance
factor; division by 2 cater to the design level earthquake intensity
Lecture 41-3
2
r r
id i
ZI
F F
R

2
Bd B
ZI
V V
R

As stated before, adequate stiffness, yield strength, ductility and capacity of
the member are required at the section where it is likely to fail
While stiffness is provided by the cross section size, other elements are
essentially provided by the steel and concrete properties; steel essentially
provides ductility
The reinforcement detailing is important in achieving the four elements
The reinforcement detailing is important where plastic hinges are likely to
form namely, at the ends and center of the element
The reinforcement detailing is recommended in the codes with certain
objectives
The seismic code IS 1983 part 2, 2002 illustrates the reinforcement detailing;
special detailing is necessary at beam-column joints
Lecture 41-4
Seismic Design Requirement of Members
In the framed structure, failure takes place through the formation of a
collapse mechanism
Collapse mechanisms are formed by the development of plastic hinges at
strategic locations
As the plastic hinges are formed, degree of redundancy is reduced,
reducing the stiffness of the structure
Overall failure of the structure occurs either due to the formation of
collapse mechanism or due to sizable tilting of the structure
Nature of collapse mechanism depends upon the structure; structural
configuration and design are made so that vertical members do not fail
easily; this is achieved by strong column weak beam design concept
In this type of design, plastic hinges are formed in the beam (Fig 40.1);
different types of damages and failures are shown in subsequent slides
Lecture 41-5
Failure of Structures for earthquake forces
Lecture 41-6
Fig. 40.1 The desired collapse mechanism Fig. 40.2 Diagonal crack pattern in walls and
yield line pattern in square slab.
Lecture 41-7
Cracking Pattern
Lecture 41-8
Failure Mechanism
Lecture 41-9
Lecture 41-11
Lecture 41-12
Lecture 41-13

Structural Dynamics and Earthquake Engineering

  • 1.
  • 2.
    Foreword  Slides areprepared with a lot of text material to help young teachers to teach the course for the first time.  Slides are comprehensive and almost self-contained.  Slides contain solved problems.  Slides can be used to teach a first course on structural dynamics and earthquake engineering.  The lecture notes based on which slides are prepared are available in SCRIBD.
  • 3.
  • 4.
    Oscillation (Vibration) W u t to and fro motion Inherent damping in the system makes free oscillation diminish with time  Oscillation makes displacement time dependent i.e., u(t); hence, and  gives rise to inertia force according to Newton’s second law of motion  acts opposite to the direction of u(t)  All the three quantities are important in oscillatory body signifying the dynamics of the system  Oscillation has a static equilibrium position; it has also a stable position  Under certain conditions, oscillation can be unbounded, bounded and steady  Oscillation of elastic bodies creates, to and fro movement of the molecular particles ) (t u  ) (t u   ) (t u   ) (t u m   ) (t u   Lecture 1-1
  • 5.
    Simplest Oscillation (SHM) X Tim e Timeperiod, T Amplitude, A  x A t    T   2  t A x  sin  t A dt dx x   cos    2 2 2 2 sin d x x A t x dt         NOTE Displacement Velocity Acceleration Lecture 1-2
  • 6.
    o Earthquakes o Wind oWave o Land Slides/ Avalanches o Caving in of Earth o Volcanic Eruptions Nature Sources of Dynamic Loads o Blast/ Terrorist attack o Collisions o Vehicular Movement/ track Train Dynamics o Machines/ Impact/ Accidents Man made Sources o Earthquakes o Land Slides/ Avalanches o Caving in of Earth o Blast of longer durations Short Duration (T< 1 min) o Oceanic Waves o Cyclones o Machine Vibrations o Vehicular Movements o Volcanic Eruptions Long Duration (T > 5 min - 10 min) o Missile Impact o Falling mass/ Collision o Sudden blast of short duration Impact type (T<1 sec) Classifying different dynamic loads Classifying different dynamic loads Lecture 1-3
  • 7.
    Amplitude Phase T u(t) = Asin(t +) Harmonic Periodic Types of Oscillation Lecture 1-4
  • 8.
    T T TT Impact Irregular Random t t u u t u u Lecture 1-5
  • 9.
  • 10.
    Inertia Force What is inertia? Itis the resistance of an object to change its state of motion (magnitude and direction) REST IS A STATE OF MOTION WITH ZERO VELOCITY t Mu Inertial Force Inertial Force Understanding Mass in a better light… Newton’s First Law of Motion An object at rest stays at rest and an object in motion stays in motion with the same speed and in the same direction unless acted upon by an unbalanced force. ma FI  Mass as a measure of amount of inertia All objects have the tendency to resist changes in their state of motion I T J  Mass moment of Inertia Direction is opposite to that of motion Lecture 1-7
  • 11.
    Damping Force Dissipative Force Cu Dissipative Force Viscous Damping Itis hard to quantify explicitly different factors for energy loss. Thus an approximate model maybe chosen… NOTE Dissipative Force Velocity In reality, the dissipative force is a frequency-dependent quantity. n D F u  D F cu  For practical purposes, in the analysis of buildings, a linear relationship maybe assumed, thus This constant of proportionality, C is called the damping constant. Exponentially decaying (for viscous damping) Displacemen t Tim e Lecture 1-8
  • 12.
    Elastic/ Restoring Force Elastic Force KuElastic Force This maybe familiar to you from the static analysis… Nevertheless, this is also an integral part of the dynamic force equilibrium For a conventional building we will assume it to have a linear relationship. NOTE Elastic Force Displacemen t Lecture 1-9
  • 13.
    Examples of StructuralDynamics  Buildings and other land based tall structures vibrating under earthquake  Some types of structures vibrating in cyclonic wind  Aero elastic instability of flexible structure such as galloping of conductor cables, flutter of suspension bridges, torsional vibration of wings of aeroplane; vortex induced oscillation of tall chimneys etc.  Vibration of oceanic structures (oil platforms) due to wave induced forces  Turbo generator structures (foundations)  Crusher frame foundation  Vibration of industrial structures for machine vibrations  Vibration of bridges due to vehicular movement/ track-train dynamics  Vibration of underground structures like, liquid storage tanks, pipelines, tunnels due to propagating earthquake waves  Sloshing in liquid tanks due to earthquake Lecture 1-10
  • 14.
    Implication In TheStructural Design  Earthquake resistant design of structures  Development of Impact factor in bridge design  Design of structures for impact forces  Design of flexible bridges for wind forces  Design of offshore structures  Design of buried pipelines for seismic action  Fatigue design of tubular joints for wind and wave forces  Design of chimneys for vertex shedding  Design of transmission line towers for wind forces  Design of very tall building of structures for fluctuating component of wind force Lecture 1-11
  • 15.
    Future Vision  StructuralDynamics is becoming more and more important as the slender and flexible structures are made for economic design  Seismic disaster mitigation is a topical subject requiring great deal of knowledge of structure dynamics  Similarly, protection of slender and flexible structures against cyclonic wind is an expanding field requiring good knowledge of structural dynamics  Reliability analysis of structures for dynamic loading such as wind, earthquake, blast etc. is becoming important for insurance companies  Structural control for environmental forces  Deep water deployment of offshore structures  Structural health monitoring Lecture 1-12
  • 16.
  • 17.
    Static Vs. Dynamics Static load is invariant of time and hence, the responses are also time invariant  Static load means gradually applied load on the structure as opposed to suddenly applies load  Force displacement relationship (defining static equilibrium) is governed by  In which K = stiffness matrix corresponding to the kinematics d.o.f and F is the load vector corresponding to the loads applied to the direction of d.o.f.  Both dynamic force and displacement are time dependent; dynamic force may be of oscillatory type or suddenly applied or moving, all producing oscillation in the system  Because of the presence of mass in the structure and acceleration, a dynamic system is characterized by the presence of inertia force; this force acts opposite to the motion of the body  Because of the to & fro movement giving rise to velocity, a damping force (absorption of imparted energy) is also present in the elastic system; the energy absorbed is transformed into another form with the to & fro movement of the molecules F K   Lecture 2-1
  • 18.
     Finally, asthe elastic body undergoes to and fro movement, a restoring force (also to and fro) is developed in the system  Three types of forces apart from the externally applied force are present in a dynamic system i.e. inertia forces, damping forces and restoring forces  Velocity of the system is related to damping force; acceleration of the system is related to the inertia force; displacement (time dependent) is related to the restoring force  Kinematic d.o.f. are different than dynamic d.o.f in the sense that all dynamic d.o.f are associated with mass; thus, dynamic d.o.f ≤ kinematic d.o.f.  Dynamic equilibrium exists at every instant of time; dynamic equilibrium is the equilibrium of forces between resisting (inertia, damping, restoring) and external forces at every instant of time  Dynamic equilibrium exists at each dynamic d.o.f.  If inertia force (acceleration) << restoring force, it is called quasi static equilibrium and governed by  In dynamic system, total energy at any instant of time is PE + KE; In static system, only PE exists. ) ( ) ( t p t K   Lecture 2-2
  • 19.
    Idealization of structures A real life structure is idealized as 1D, 2D, and 3D discrete and continuous models  In discrete method, the number of degrees of freedom decides the size of the problem  Like the static analysis, the dynamic equilibrium equation of the modeled structure is called the dynamics equilibrium equation of multi degree of freedom (MDOF)  Single degree of freedom (SDOF) is a special case of MDOF; but they are treated separately for the following reasons  Analytical solutions of MDOF system can be comprehended easily if those of SDOF system, which are simpler, are known  Solution of SDOF system leads to the understanding of many fundamental concepts of dynamics  Many structures may be suitably idealized as equivalent SDOF systems (two examples are shown) Lecture 2-3
  • 20.
     Restoring forcerepresents the elastic action produced due to deformation of the structure which tries to restore the structure to its original shape  Elastic restoring force linearly varies with the displacement; spring force in the model is represented by  For portal frame shown below, the stiffness corresponding to the sway displacement is given by thus, for SDOF model, restoring stiffness is K  For the beam behaving as a SDOF model as shown in figure below Ku F  R 3 3EI K l  u m E l 3 384 5 EI K l  EI, L Lecture 2-4
  • 21.
     At anyinstant of time t, the total energy in a freely vibrating system is made up of two parts, kinetic energy EK and potential energy ES        2 2 2 1 2 1 t u k t u m E E E S K                     2 2 2 2 2 2 t u t u t u m k t u m E n           ; sin     t A t u if                 t t A m E n 2 2 2 2 2 sin cos 2 when ω = ωn; i.e., a freely vibrating system: ; 2 2 2 n A m E   Constant 2 2 2    n mA E  Thus the energy is fully conserved; and it is equal to input energy  For systems with viscous damping, the total energy will decrease with time because of the energy dissipation in viscous damping. for input energy   ; 0 0 0 2       t t t d d dt u c dt u u c f E       d E t , Lecture 2-5 Energy of the System
  • 22.
    Linear and NonlinearDynamics  Dynamic equation of motion which is a second order differential equation could be a linear or nonlinear equation of motion depending upon the damping and restoring forces  If any one of them is nonlinear i.e., restoring force varies nonlinearly with displacement or damping force varies nonlinearly with velocity, the problem is considered as a nonlinear dynamic problem  Generally, inertia force remains linear i.e., it varies linearly with acceleration; however, there are problems where inertia force is nonlinear e.g., variable added mass in offshore structure  Solution of nonlinear dynamic equation is faced with many problems and is mostly solved by numerical techniques  Nonlinear dynamic problems do not have unique solutions; a number of solutions are possible  It also gives rise to dynamic instability of the system consisting of certain undesirable response phenomena such as divergence, period doubling, chaos, nonlinear jumps etc. Lecture 2-6
  • 23.
     When thestructure goes into inelastic range, the force-displacement relationship no more remains linear. It exhibits a hysteretic behavior as shown in the figure below y x f x y f y x f x y f y f f x y x y f y x f x Variation of force with displacement under cyclic loading Idealized model of force displacement curve Idealized model of force displacement curve Lecture 2-7
  • 24.
     Not onlythe stiffness varies with displacement but the direction changes (positive to negative or negative to positive). Therefore, tracking the displacement is required to obtain the correct stiffness at any state of deflection  Representation of a nonlinear SDOF model is achieved by a nonlinear spring attached to the SDOF, showing the nonlinear behavior of the structure  Another kind of nonlinearity in restoring force is exhibited in which, force-displacement is nonlinear but not of hysteretic type. This happens for geometrically nonlinear structure (associated with large displacement)  For loading and unloading the stiffness remains the same at any state of displacement as shown in the figure f Loading Loading Unloading Unloading x x  Lecture 2-8
  • 25.
    Nature of theResponse of Structures  Nature of response of the structure depends upon the state of the structure (Linear or Nonlinear) and the nature of the dynamic force  In certain cases, the nature of response may follow pattern different from that of dynamic force (like blast loading)  For long duration harmonic/periodic force, the response finally converges to the harmonic/periodic nature of oscillation  For the irregular dynamic force, response may be of irregular pattern different from that of force  The nature of response under harmonic force, in the absence of damping, could be periodic, but not harmonic, unlike the case when damping is present  Under quasi-static action, the nature of response remains the same as that of the dynamic force in elastic state; in the inelastic state, the two may differ Lecture 2-9
  • 26.
  • 27.
  • 28.
  • 29.
  • 30.
  • 31.
  • 32.
    Vibration of SingleDegree of Freedom  For understanding the dynamic analysis of structures, study of the vibration of single Degree of freedom (SDOF/ SDF) is of great importance because of two reasons  Most of the analytical techniques used for the dynamic analysis of structure can be understood properly, with the vibration analysis of SDOF system  Many important results and conclusions drawn from them are extremely useful for understanding dynamic behavior of structures  The simplest dynamic system was shown before to describe different forces acing in the system; this model is popularly known as SDOF model  The mathematical model of the SDOF system is shown below. Along with it, is shown how is single portal frame can be idealized as a SDOF system represented by the mathematical model Lecture 3-1
  • 33.
    Spring-mass-dashpot system k c u, p(t) m Idealizedsingle frame Rigid beam Lumped mass (m) All members are inextensible u, p(t) l, EI 3 24 L EI K  Lecture 3-2
  • 34.
     The viscousdashpot in the figure represents the action of the damping force present in the system  It was discussed before how the damping force is mathematically represented as an equivalent viscous force resisting the motion of a piston within viscous fluid  Dynamic equilibrium of the mass at any instant of time t gives rise to the equation of motion of the SDOF system u(t) M Ku P(t) u C u M   M P(t) k c u(t) Lecture 3-3
  • 35.
     It canbe derived using three different concepts, all concluding that inertia force acts opposite to the direction of motion ( or applied force)  For oscillatory body, is opposite to u(t) and p(t); so, and oppose u   , u M   u C  Ku P(t) p(t) Ku u C u M        Rate of change of momentum is equal to the applied force du p(t)- cu ku m mu dt    mu cu ku p(t)     D’Alambert reasoned that since the sum of the forces acting on a particle m results in its acceleration , the application of force would produce a condition of equilibrium u -M   0 p(t) f(t)- mu   f(t) -cu ku   mu cu ku p(t)    u    The equation of motion is a second order differential equation. It can also be written as a set of two coupled first order differential equations Dynamic Equation of Equilibrium Lecture 3-4
  • 36.
    Lecture 3-5 Energy Formulation Analternative statement is that the state of equilibrium corresponds to the state of minimum energy. The above equation is an equation of motion for the un damped free vibration of the system. If the damping and external dynamic force are included, then the equation of motion becomes the same as that given by the damped equation of equilibrium. If the equation of motion is without an external force, it is called an equation of motion for the free vibration of the system. On the other hand, if the external force exists, it is called an equation of motion for the forced vibration of the system.
  • 37.
     State SpaceEquation  If a vector V is defined as then, the equation can be written as following matrix equation Where, m t p u m k u m c u t p ku u c u m equation auxilliary an add u u ) ( ) ( ) (                    T V u u  0 1 0 ( ) V AV f A and f k c p t m m m                         Lecture 3-6
  • 38.
     Equation isa first order matrix differential equation called state space equation of dynamic equilibrium, since V at any instant of time t describes the complete state of the system.  Equation is widely used in many dynamic application problems such as dynamic stability analysis, structure control, state space analysis etc.  Another reason for using the equation is that numerical methods for the solution of first order differential equation are more exhaustive compared to the second order differential equation.  Using MATLAB SIMULINK tool box, the solution of the equation is very popular.  However, in conventional dynamic analysis of structures, the solution of the second order differential equation is widely used. Lecture 3-7
  • 39.
     In thesecond order differential equation, if the damping term is removed, then the equation of motion is called un damped equation of motion i.e.,  Although undamped vibration is an ideal case, which does not exist in practice, the concept of undamped vibration and the solution of the undamped equation of motion lead to many important phenomena and definitions used in dynamics.  Some of them include natural frequency of vibration, harmonic oscillation, periodicity, steady state vibration, mode shapes for structures etc.  When damping is present, the vibration is called damped vibration; damped vibration is the practical case.  The presence of damping in the equation of motion gives rise to a number of interesting phenomena in dynamics, which are extremely useful in practice. ) (t p ku u m     Lecture 3-8
  • 40.
     They includebounded responses even at resonance, damped frequency of structure, transient response, effect of initial condition, phase shift, impedance function etc.  For analysis purposes, undamped and damped oscillations are separately treated, though their solutions can be derived from one solution; similarly, both solutions are derived separately for free and forced vibration.  The reason for such treatment is that each type of solution gives some physically important results which are important in explaining many concepts.  Solutions of equations of motion consist of solving either a second order differential equation or a set of coupled first order differential equations.  Right hand side of the equation of motion has load, p(t) which could be of various forms as described before. Lecture 3-9
  • 41.
    Natural Frequency  Solutionof the undamped equation of motion provides the natural frequency and period of the system  Consider the equation  Assuming the solution to be and substituting for u and 0 mu ku   𝑢 = 𝐴sin𝜔𝑛𝑡 u 2 sin sin 0 n n n mA t kA t       2 0; n n k k m m      2 n n T    Lecture 3-10
  • 42.
  • 43.
  • 44.
  • 45.
  • 46.
  • 47.
    Free Vibration Problem The solution of equation of motion consists of two parts namely and so that final displacement is written as,  is obtained by setting RHS as zero while, is obtained by choosing the solution to be of the same nature as that of the RHS function, p(t)  Solution for is called as a free vibration problem as described before since given an initial condition denoted by and , the mass starts oscillating freely (without any applied load)  As stated before, the free vibration problem is important in understanding a few fundamental concepts in dynamics  Assume  Substituting for in the equation of motion, the following algebraic equation is obtained; the solution of the equation provides the expression for ) 0 ( u p u p c u u u   p u ) ( h c u u ) 0 ( u  c u c u t ce u   , , u u and u Lecture 4-1 c u
  • 48.
    m mk c c 2 4 2      m k m c m c     2 2 4 2 n k m   m c 2   22 n        2 2 2 4 2 n w m c m c     0 2    k c m   2 ( ) 0 t cm cc kc e      Lecture 4-2
  • 49.
    2 2 2 dn      1 2 d d t i t t i t u c e c           1 2 [ ] d d i t i t t e c e c e          cos sin t d d e A t B t         m c 2 2 cr n cr c c m c     defining 2 cr n c c m      n    2 2 2 2 d n n       2 1 d n        cos sin [ sin cos ] n n t t n d d d d d d u e A t B t e A t B t                    cos sin nt d d u e A t B t       t B A u d n      ) 0 (  d nu u u B A u   ) 0 ( ) 0 ( ) 0 ( ; ) 0 (       Lecture 4-3
  • 50.
     It isan exponentially decaying function. Hence, amplitude decreases with time. More the value of  and n, more rapidly it decays  Three conditions can arise namely, critically damped, over damped and under damped  When roots of  are the same, then;  Which shows that for a given initial displacement the displacement dies down exponentially to zero without any oscillation as shown in Figure below, ; 2 , 1     ; n    0; d   nt u Ae    Lecture 4-4
  • 51.
     Further, thisdamping is called critical damping, when roots of are real and distinct i.e.  For a given u(0) this also does not oscillate and decays down to zero as shown in Figure, since hence, it is called over damped  When roots are complex, then an oscillation takes place as evident from the equation. This case is of importance in the free vibration of SDOF system. Since hence, its is called under damped. Practical values of <<1 of the order of 1-5%  The under damped free vibration of SDOF is shown in the figure. The two constants A, and B are evaluated from two specified initial conditions u(0) and ů(0) cr c c   2 n c m  1        ; 1 n Lecture 4-5 ( ) ( ) 1 2 d d t t u c e c e                ; 1 n
  • 52.
     It canbe easily shown that, For, ) 0 ( u   d nu u B   ) 0 ( ) 0 (    (0) (0) (0)cos sin nt n d d d u u u e u t t                  (0)cos (0)sin nt d d u e u t u t        For small value of  Lecture 4-6 2 (0) 0; (0)cos sin 1 nt d d u u e u t t                  
  • 53.
     For u(0)= 0 (0) sin nt d d u e u t       When =0 i.e., un-damped free vibration of SDOF takes place, (0) (0)cos sin n n n u u u t t       The SDOF continues to vibrate harmonically without any decay of the amplification. It can also be written as, sin( ) n u R t     2 2 2 (0) (0) n u R u    1 (0) tan (0) nu u     where, =0 corresponds to u(0)=0; the SDOF vibrates as a sin function, as shown in the figure Lecture 4-7
  • 54.
     From thefigure it is evident that, 2 d d T    2 n n T    Td and Tn are called damped and undamped periods of oscillation. Energy input to free vibration problem by giving initial conditions is, At any instant of time t, energy E(t) For free undamped vibration 2 2 2 1 (0) 1 (0) ( ) (0)cos sin (0)sin cos 2 2 n n n n n n n u u E t k u t t m u t t                         (In lecture note, it is section 5.1) Lecture 4-8 2 2 1 1 (0) (0) (0) 2 2 E ku mu   2 2 1 1 ( ) ( ) ( ) 2 2 E t ku t mu t  
  • 55.
     After simplification,it can be shown that ) 0 ( ) ( E t E  therefore, in free undamped vibration, input energy is conserved.  For damped system, the total input energy gets dissipated. Expression for E(t) can be obtained by using the corresponding values of A and B for damped free vibration. Since the dissipation of energy is caused due to viscous damping, the dissipated energy ED is       1 1 1 0 2 0 0 ) ( t t t D D dt u c dt u u c du f E    For t1 ED = input energy (In lecture note, it is section 5.1) Lecture 4-9
  • 56.
    Determination of DampingRatio ()  Free damped vibration of SDOF is used to obtain the damping coefficient of the material of elastic body.  The stiffness of the elastic body is represented by the spring and the damping ratio corresponding to the viscous damper represents the damping of the material.  If amplitudes of the responses at the two successive cycles separated by the period Td are considered, the ratio of the two responses are given by, ( ) ( cos sin ) ( ) ( ) ( cos ( ) sin ( )) n n d t d d t T d d d d d e A t B t u t u t T e A t T B t T                  n d T e  2 2 2 2 log 1 1 n n r             (In lecture note, it is section 5.2) Lecture 4-10
  • 57.
     is calledlogarithmic decrement which is measurable and is related to   <<1, an appropriate value of  can be determined as,  Otherwise, the following quadratic equation is solved to obtain .  Once is obtained, the damping coefficient of viscous damper can be calculated as    2 log  2 2 2 2 4 ) 1 (      r 0 ) 4 ( 2 2 2 2    r r   2 2 4 r r      log (In lecture note, it is section 5.2) Lecture 4-11  ; 2 cr n cr c c c m c       
  • 58.
  • 59.
  • 60.
  • 61.
  • 62.
  • 63.
  • 64.
  • 65.
  • 66.
  • 67.
    Damping in StructuralSystems  As mentioned before, exact damping present in a structure is very difficult to define; only material damping property can be evaluated experimentally; with the help of this information, damping of a structural system is idealized using different types of model  Under oscillation, an elastic mass under goes deformations resulting in alternate stretching and compression of the molecular bonds; this absorbs some energy which is transformed into heat energy; another mechanism also working at the molecular level is, friction; this also dissipates energy  Effects of both dissipation mechanisms are difficult to model; so experimental tests are conducted to obtain damping property from which damping in the system is modeled  There are different types of modeling to describe the damping force acting in structural vibration; the type of modelling depends upon the problem at hand; apart from the linear modelling, there exist nonlinear models of damping  Any energy absorption device integrated into the structure can be modelled as a linear or nonlinear damping Lecture 6-1
  • 68.
     Out ofthem the popular models are  Viscous damping model  Friction damping model  Structural damping/hysteretic damping model  During inelastic excursions under oscillatory motion, another kind of dissipation of energy takes place due to the formation of hysteresis loops in force-displacement relationship; area within each hysteresis loop represents energy dissipation; this dissipation of energy is directly included in the analysis  Except viscous damping model, other two types of damping and the damping due to inelasticity can be also described by equivalent viscous damping  The equivalent viscous damping is approximate but provides an easy solution to the problem because of its linear characteristics Lecture 6-2
  • 69.
    Viscous Damping Model In this model, damping force developed within the system is assumed to be proportional to the velocity of the system like a force experienced by a piston moving within a viscous fluid  Force developed per unit area is written as ; C is the coefficient of viscosity  In structural models, this is represented by a dash pot shown before  In one cycle of harmonic motion, the energy dissipated ED is u C F     2 0 D D E f du cu u dt         2 2 2 2 0 0 0 2 2 2 0 0 0 0 0 cos 1 2 4 2 S S n n cu dt c u t dt c u ku E E ku                                          t u u sin 0 2 n c m  Lecture 6-3
  • 70.
     The dissipatedenergy varies quadratically with the amplitude of motion as shown in the following figure  Graphical representation of the damping force fD  This can be re rewritten as       2 2 0 0 cos D f cu t c u t c u u t          2 2 0 1 D o f u u c u                Lecture 6-4
  • 71.
     The equationof ellipse shown in following figure makes a loop in fD-u axes; the area of the loop is;  Thus, area within the loop represents the energy dissipated in one cycle of motion    2 0 0 0 u c u c u      Lecture 6-5
  • 72.
     Although themodel is called viscous damping model, the name should have been equivalent viscous damping model  This is the case because the damping is obtained from experimental tests which will be discussed later and then express the results of the test in terms of damping ratio by assuring that damping force is proportional to velocity  Important thing to note is that  force-displacement curve for one cycle of oscillation provides a hysteresis loop  area of the loop gives the energy dissipated in one cycle of oscillation  This observation is useful in obtaining equivalent viscous damping for other types of damping produced during oscillation both elastic and inelastic ranges Lecture 6-6
  • 73.
    Rate Independent Damping It is seen that energy dissipated in one cycle of oscillation is dependent on the frequency of oscillation for viscous damping model  However, experiments on structural metals indicate that the energy dissipated in cyclic oscillation is fairly independent of frequency  This type of damping is called rate independent linear damping, structural damping, hysteretic damping etc.; rate independent damping is exhibited in static hysteresis developed at microscopic state in crystals at different spots but over all macroscopic behavior remains linear  In spite of this observation, viscous damping model has been favored because of analytical convenience  Since rate independent damping model is independent of frequency, the damping force fD is defined as  in which k is the stiffness of the structure and is damping coefficient u k fD      Lecture 6-7
  • 74.
     As aconsequence, the energy dissipated in one cycle of oscillation is with                   2 0 2 0 2 0 2 D So E c u k u ku E k c    Plot of ED Vs. ω  The equivalent viscous damping for rate independent damping may be obtained by matching damping energies at ω = ωn (for viscous damping) (for rate independent)  Thus, 0 4 S D E E   0 2 S D E E    2 ) viscous (    Lecture 6-8
  • 75.
    Coulomb Damping  Coulombdamping results from friction against sliding of two dry surfaces; this kind of forces acts within the micro level of material during oscillation; however, the energy dissipation due to this mechanism is small  This type of damping becomes important when additional damping devices especially friction damping is added  Friction force is given by in which µ is the coefficient of static and kinetic friction taken to be equal and N is the normal force; friction force is independent of velocity once the motion is initiated  Direction of friction force opposes the direction of motion; sign changes as the direction of motion changes as shown in figure N F   Lecture 6-9
  • 76.
     Change ofsign of friction force with change of the direction of motion introduces nonlinearity in the system; however for harmonic excitation an exact solution is possible. Friction force- displacement plot is shown in following figure 0 4   F ED The area of the loop is  The equivalent viscous damping is obtained by equating the energy dissipated in one cycle of viscous damping to the area of friction damping is  The area of the loop is 2 0 0 0 4 4 2 S n n F E ku          0 2 2 F o n n F ku u            k F F   In which, Lecture 6-10
  • 77.
  • 78.
  • 79.
  • 80.
  • 81.
  • 82.
  • 83.
  • 84.
    Solution for HarmonicExcitation (Steady State)  Solution of the equation of motion of SDOF subjected to harmonic excitation can be best obtained by considering complex harmonic excitation; derivation is simpler and it provides the solutions for both real harmonic and complex harmonic excitations.  In subsequent lectures, this will be presented. Here, the response for real harmonic excitation will be presented as it is discussed in all text books on dynamics.  Equation of motion for SDOF subjected to harmonic excitation is given by:  Solution consists of two parts i. e.  uc is obtained by setting RHS as zero and is derived in previous lecture. uc is given by   cos sin nt c d d u e A t B t       t P ku u c u m  sin 0       p h c u u u u   ) ( Lecture 7-1
  • 85.
     up iscalled the particular solution and is assumed to have the same form as that of the RHS force term:  Substituting for up in the equation motion, the following equation is obtained Collecting ‘sin’ and ‘cos’ terms together following equation is obtained, Equating ‘sin’ and ‘cos’ terms of the LHS and RHS give.     2 2 0 sin cos cos sin sin cos sin m C t D t c C t D t k C t D t p t                       2 2 0 sin cos sin mC cD kC t mD cC kD t P t                        2 0 ( ) ( ) k m C c D P      2 ( ) ( ) 0 k m D c C      Lecture 7-2   sin cos p u C t D t    
  • 86.
     Solution ofthe two equations give, 2 2 2 2 2 ( ) ( ) o k m P C k m c            0 2 2 2 2 ( ) c P D k m c            2 0 2 2 2 (1 ) (1 ) (2 ) p C k              0 2 2 2 2 (1 ) (2 ) p D k              n     2 n c m    Lecture 7-3
  • 87.
     Substituting forC and D in up and performing algebraic manipulation 0 sin( ) p p u DAF t k       2 1 2 2 2 ) 2 ( ) 1 (       DAF 2 1 1 2 tan        is the phase lag i. e. response lags behind the excitation by angle  The solution for up can also be written as, In which , called static displacement i.e., response of SDOF if the load were applied statically. Maximum displacement of up is thus sin( ) p s u u DAF t     0 s p u k  s u DAF Lecture 7-4
  • 88.
     Plot ofup and u are shown in figure below; u is given by  Constants A and B are determined from initial condition u(0) and ů(0)  It is seen that uc part gradually dies down with time leaving up part only after some time; the uc part is thus called transient response and up part is called steady state response.  For sustained excitation like P0sinwt it is the steady state response which is of interest and is utilized for finding response of irregular excitation in frequency domain (discussed later).   cos sin sin( ) nt d d s u e A t B t u DAF t           Lecture 7-5
  • 89.
    Undamped Solution  Theundamped forced vibration under sinusoidal excitation is mainly of theoretical interest; as discussed before, undamped vibration hardly exists in practice.  The solution helps in understanding, the importance of damping in near resonating condition.  For  = 0 the solution, turns out to be,  With initial condition as u(0) and ů(0) 0 sin cos sin n n p u t DAF A t B t k       2 1 1    DAF 2 2 sin (0) (0)cos sin 1 1 s n s n n u t u u u t u t w                   Lecture 7-6
  • 90.
     The steadystate is the second part of the solution i.e.,  The plot of u is shown in figure below,  It is seen that the transient response does not die down with time; hence, total response remains steady the with time and at any instant of time t, large or small, is not independent of initial condition unlike the damped forced vibration 2 sin 1 s u t    Lecture 7-7
  • 91.
     The plotsof DAF, and phase angle with frequency ratio are shown in figures below Lecture 7-8
  • 92.
    Response at Resonance Fordamped force vibration problem, at  = n and zero initial condition   cos sin sin( ) nt d d s u e A t B t u DAF t               90 , 1 2 1    for DAF  2 s u A  2 1     B For  very small the equation simplifies to ( 1)cos ( ) 2 nt s n d n u u e t          Lecture 7-9
  • 93.
     The plotof u for the above condition is shown in figure below The response reaches to steady state with an envelop function ( 1) nt e    Lecture 7-10
  • 94.
    For undamped vibrationwith zero initial condition. When  = n and =1, u is indeterminate In order to obtain the response at  = n L’Hospitals rule is employed, 2 (sin sin ) 1 s n u u t t        ) 1 ( lim 1      s u u ( cos sin ) 2 n n n s dN t t t d u dD d          ( cos sin ) 2 s n n n u t t t       1 2 1 2 1 1 ( ) cos( ); tan 2 s n n n u t t t                ,   t As cos( ); 0 2 s n n u u t t       Lecture 7-11
  • 95.
     The plotof u is shown in figure below  It is seen that as t becomes large, the response also becomes large ie, it grows with time signifying a divergent response Lecture 7-12
  • 96.
  • 97.
  • 98.
  • 99.
  • 100.
  • 101.
  • 102.
    Interpretation of SteadyState Response  The plots of DAF vs  and phase angle vs  for a given value of  is shown in figure below; the plot reveals a lot of useful information for dynamic analysis and design of structure Lecture 8-1
  • 103.
     The DAFplot shows the following  The variation of DAF vs  peaks near  = 1 (not exactly at 1)  In the vicinity of  ≈ 1 the curve sharply rises; sharpness increases as the value of  decreases  After the peak is reached, there is a sharp fall in the value of DAF; for the  ˂˂ 1; de- amplification occurs  As 0, DAF1; further, the effect of  on the DAF is maximum near  = 1; the effect is almost negligible for  >>1 and  <<1  Based on these observations, the DAF curve is divided into 3 zones; quasi-static zone, resonating zone and anti-resonance zone Lecture 8-2
  • 104.
     Thus inquasi-static zone a static analysis is sufficient with results increased by about 20% to account for dynamic effect  In anti-resonance zone, The  <1; the effect of  on DAF is negligible; it could be as small as 0.01; dynamic analysis is important in this range in order to obtain the correct value of DAF  By decreasing the natural frequency much less compared to the excitation frequency, the response can be controlled significantly  In the near resonance zone, DAF increases significantly; the increase significantly depends on ; at  = 1, it is 1/2 and is completely governed by ; for =0, DAF which is shown in the previous lecture  Note maximum DAF does not take place at = 1; it is obtained by ; in the quasi-static zone, DAF varies within 1 to 1.2; effect of damping on DAF is small; the value of ω at which the peak value of DAF occurs is , the value of DAF at is 0 ) (   d DAF d 2 1 2 p n      p    2 1 2 1    Lecture 8-3
  • 105.
     The variationof  vs  shows the following:  For value of , i. e. the response tends to be in the quasi-static zone. The effect of damping on the phase angle is small  As (in the resonating zone),  tends to be 90 º i.e. response is in quadrature with the excitation  At , the phase angle is 90 º irrespective of the damping; however, in the resonance zone, the effect of damping is more on the DAF  When >>1,  tends to become 180º; the response lags behind the excitation by 180̇º i.e. the response takes place opposite to the direction of excitation; in anti resonance zone, the effect of damping is small  As damping becomes small (nearly to undamped case), the phase angle suddenly changes from the in phase state to quadrature state, and then suddenly to out of phase (opposite) state 0   0   1   1   Lecture 8-4
  • 106.
    Determination of DampingRatio  Figure bellow shows the DAF vs ; half-power band width is defined as, where b and a are the frequencies obtained by the 0.707 resonant amplitude.  Equating the expression for DAF with , the following equation is obtained b a n     1 1 2 2   Lecture 8-5     1 2 2 2 2 1 1 1 2 2 1 2            
  • 107.
     Squaring bothsides and showing the resulting equations  Taking the first term of the Taylor series after expanding the RHS  Subtracting the smaller root from the larger one gives,  thus   can be obtained either from the DAF at or from the half power band width; the latter is called half power point method of determining the damping ratio 1 2 (1 2 ) n      1 n      2 b a n       2 b a n       1   Lecture 8-6
  • 108.
    Relationship between Rd,Rv and Ra ( ) sin( ) st u t u DAF t     sin( ) st d u R t     ( ) cos( ) st u t u DAF t      2 ( ) sin( ) st u t u DAF t        Defining and  Because of the relationship between Rd, Rv and Ra, they can be plotted in a tripartite logarithmic plot d R R    2 a d R R R     ( ) sin( ); st d u t u R t     ( ) cos( ); st u t u R t      ( ) sin( ) st a u t u R t      log log log d R R w    log log log a R R w    Lecture 8-7
  • 109.
    When Rd , Rvand Ra are Plotted Separately Lecture 8-8
  • 110.
    When Rd , Rvand Ra are plotted together in TRIPARTITE plot  The plot is shown in figure below, Maximum value of Rv occurs at, Maximum value of Ra occurs at, ; n    2 ; 1 2 n       2 1 ) ( max  v R 2 max 2 1 2 1 ) (     a R Lecture 8-9
  • 111.
    umax u / u w umax u u  PHASE PLOTS STABLESTEADY STATES Lecture 8-10 max u 
  • 112.
  • 113.
  • 114.
  • 115.
  • 116.
     eiωt= cosωt+ i sinωt  If the results for harmonic excitations are known,  For Fo cosωt excitation,  For Fo sinωt excitation,  For Fo cosωt + i Fo sinωt Complex Harmonic Solution   ( ) cos ; o s s F u t u DAF t u k        o s s F u(t ) u DAF sin t ; u k    ω α     ( ) cos sin ; o s s F u t u DAF t i t u k                i t o s s F u DAFe ; u k    ω α Lecture 9-1
  • 117.
     The resultas above can be obtained by solving the equation of motion in complex domain; from the solution it is not only possible to obtain results of harmonic excitation but also some important concepts in dynamics can be derived  eiωt is called unit complex harmonic function; if solutions are desired in complex domain eiωt is used in place of cosωt and/or sinωt  For excitation, f(t)= Fo eiωt , particular solution is obtained by assuming u(t)= uo eiωt .  Substituting in equation of motion  For F0=1, u0 is called H(ω) and is inverse of the function   2 0 0 m ic k u F         1 2 0 0 u k m ic F             1 2 ( ) H k m ic        Lecture 9-2
  • 118.
     H(ω) iscalled frequency response function (FRF) of the single degree of freedom system; it represents a composite dynamic characteristics of the system for a particular excitation frequency ω.  By knowing the FRF of the system, the response of the system to any long term excitation (leading to steady state response) can be obtained.  FRF of a dynamic system can be determined experimentally; once it is known, the response of the system to future excitations can be determined without explicitly knowing ‘k’, ‘c’ and ‘m’ of the system.  In dynamic system identification and in dynamic structural health monitoring, determination of H(ω) by experimental means is the key task. • Since u0(ω) has to be of the form u0=a+ib.           2 0 0 0 2 2 2 2 2 2 2 k m F c F F i k m ic k m c k m c                          2 0 0 2 2 2 2 2 2 k m F c F a b k m c k m c                2 2 b a R Re ib a u i o         Lecture 9-3
  • 119.
       1 2 2 2 2 2 tan ; 1 1 n m b b c a a k m k                  n                               2 2 2 2 0 0 2 2 2 2 2 2 2 2 2 k m c F R F k m c k m c     0 0 2 2 2 1 1 2 s F F DAF u DAF k k                     t i s t i DAFe u e u t u 0     i u Since   Re , 0  Same result as it was obtained before; Since eiωt = cos ωt + i sinωt, when excitation is cos ωt, then         t DAF u t u s cos Lecture 9-4
  • 120.
    Concept of DynamicFlexibility and Impedance Function  Since u(t) = u(ω)eiωt and F(t)=F(ω)eiωt u(ω) = H(ω) F(ω) If F(ω)=1, then for unit harmonic load, displacement is H(ω)=a + ib       matrix y flexibilit dynamic called is H ic m k H ) ( ; 1 2          Similarly, if u(ω)=1, then for unit complex harmonic displacement, force required is:  This is called impedance function for a system’s degree of freedom (for SDOF, it is evident). Force has two parts: a real and an imaginary part  Real part is associated with stiffness (represented by spring) and imaginary part is associated with damping (represented by dash pots) for a given frequency  Plots of real and imaginary parts with frequency provide the impedance function of a dynamic system and are widely used in dynamic analysis of soil structure systems          ic m k H     2 1 Lecture 9-5
  • 121.
  • 122.
  • 123.
  • 124.
  • 125.
    Transmissibility  The resultsof harmonic support excitation are useful in solving problems of different kinds including earthquake excitations.  The problem is classified as transmissibility problem and therefore, the transmissibility problem is discussed in detail.  The problem becomes easier to handle if it is solved in complex domain. Lecture 10-1
  • 126.
     The firstproblem is shown in the pervious figure, where interest is to find what is the fraction of the load applied to the mass is transmitted to the floor. i t mu cu ku P e      p p (assumed as u ); steady state same as u i t u u e          2 2 i t k m ic u P P u k m ic P u DAF e k                        Lecture 10-2
  • 127.
       2 1 2 2 2 2 1 1            DAF     i t P u DAF i e k                         0 1 2 1 2 ( ) ( ) 1 1 1 2 1 2 tan 2 i t i t i t i t R t ku t cu t c P DAF i e k c P DAF i e P DAF i e k P DAF e                                                Lecture 10-3     1 2 2 max 1 2 2 2 2 max 1 2 ( ) ( ) 1 (2 ) r R t T P t                  
  • 128.
     Second problemis that of support excitation as shown in Fig. If  Assuming steady state solution to be   then o i t g g u t u e   t i o t i go e P e u m ku u c u m        ) (      before like t i oe u u     i ωt- o P u= DAFe k          2 2 o o o o g i t i t a g g i t i t i g g m u u u u DAF e u e k u DAF e u e e                    Lecture 10-4
  • 129.
             2 2 2 2 cos sin cos 1 tan 2 cos 1 1 o o o o o o i t g g i t g g i t g g u DAF u i e u DAF u i e i u DAF u e                                                        2 2 2 2 2 2 [1 tan sec ] givescos 1- 2 1- 1 1 o i t g DAF i u DAF e                               Lecture 10-5
  • 130.
               o 1 2 2 max 2 2 2 g g max 1 2 (ForceTransmissibility) 1 2 Similarly,it can be shown that if u u then ( ) o a R R g i t a R R g go u T T u t e u T T u u                              1 2 1 2 1 2 1 2 tan 2 o o i t g i t g u DAF i e u DAF i e                       Lecture 10-6
  • 131.
     The plotof TR vs is shown in the figure below. The following things can be noted from the figure  For , damping effectively reduces the transmissibility  For TR to be less than 1, ; in this zone ξ has an adverse effect.  For TR to be effective in this zone ξ should be as small as possible  Since ξ has beneficial effect for , judicious selection of ξ is needed if frequency sweep is expected (0 to operating frequency); for lower ω, higher damping and for higher ω, lower damping are required  Higher damping ratio causes the maximum amplification (resonance) to occur at ω≠ ωn ; maximum TR is, therefore not at ω=ωn γ γ ≤ 2 γ > 2 2 γ  Lecture 10-7
  • 132.
    Measurement Instruments  Transduceris a simple device which measures dynamic motion; it consists of mass- spring-dashpot attached to a rigid frame as shown in the figure.  This transducer is used as seismograph. Lecture 10-8
  • 133.
     Principle ofoperation is that the equipment is mounted on the rigid base. The relative displacement of the mass represents the ground acceleration. For a simple harmonic motion, equation of motion:  Measured u(t) is a true independent modification of the ground acceleration record with only a phase shift φ/ω; for a given frequency of excitation, the modification amounts to a multiplication by a constant  In order to make it applicable for the measurement of a realistic time history record, both Rd and phase should be made frequency independent as far as possible                                                   t u R t u R t R k u m t u g n d go n d d go       2 2 sin sin Lecture 10-9
  • 134.
     This maybe accomplished by keeping ωn around 50 Hz and ξ=0.7; for this condition Rd≈1 for a frequency band of 0 to 25 Hz which contains most of the frequencies; also, for this frequency range φ linearly varies with ω, so that φ/ ω=1  If ground displacement is to be measured, then either spring is made flexible or mass is increased or both, so that natural frequency becomes much less compared to the most frequency contents of the ground motion  Under that condition,  The measured displacement is negative of the ground displacement; damping constant of the equipment is inconsequential since for 𝜔 𝜔𝑛 >>1, DAF is almost independent of ξ  Measured u(t) is a true independent modification of the ground acceleration record with only a phase shift φ/ω; for a given frequency of excitation, the modification amounts to a multiplication by a constant       t u R t u R t u go a n go a              sin t u therefore , 180 and 1 , For sin 0 Lecture 10-10
  • 135.
  • 136.
  • 137.
  • 138.
  • 139.
  • 140.
  • 141.
    Transient Dynamics  Responseof SDOF system to short and very short duration excitation is of considerable interest in practice; for example, blast loading, impulse loading etc  The loading is modeled as a summation of number of impulses and therefore, it is also named as impact load analysis  The name transient dynamics is given because of the reason that the initial condition of the system is important and influences the response mostly unlike steady state response; over the short duration, the effect of initial condition (which exponentially decays) does not die down significantly  Since frequency domain analysis is strictly valid for finding the steady state response, it is not applicable for transient dynamics  Time domain solution is used for obtaining the response for impulse load. One of the classical methods for determining the response for impulse loading is by performing Duhamel integration of equation of motion; for integrable functions (loadings), the results can be obtained in closed form Lecture 11-1
  • 142.
     Where numericalintegrations are to be performed, other time domain analysis techniques may prove to be efficient, however, a variant of numerical Duhamel integration in recursive form is also available  The Duhamel integration of equation of motion is based on two premises: (i) Idealization of load as a sum of series of impulses (ii) Use of the known results of free damped oscillation of a SDOF system  Solution of damped free vibration equation of motion gives;                        t u u t u e t u d d n t n sin 0 0 cos 0 d   For u(0) and ξ=0, a special case, u(t) becomes       then , 0 0 but 0, ξ If sin 0      u t u t u n n      t u e t u d d t n      sin 0  Lecture 11-2
  • 143.
     If theload p(t) as shown in figure is considered, then at time , an impulse of p( )d may be assumed to have been imparted on the SDOF    p(t)  d t   t Lecture 11-3
  • 144.
     This impulsewill cause a response of SDOF at time t (or at the elapsed time t- τ after the impulse is imparted) as;  is the velocity imparted to the system at t=  In which is called the impulse response function ie., response due to unit force.     ) ( sin 0       t u t u n n  ) 0 ( u                  d p t h d t m p t u m d p u n ) ( ) ( ) ( sin ) ( , Then ) ( 0 n            d t m t h n ) ( sin 1 ) ( n    Lecture 11-4
  • 145.
     Using theoryof superposition, total response at time t is the sum of the responses produced due to all impulses imparted upto time t ie,  Note that the initial velocity for free vibration solution is the velocity caused by the impulse at time t = ; velocities of the system at time t= caused by previous impulses are not considered in the initial velocity as evident from the figure                                d t p m d p t h t u t u t n n t t 0 0 0 sin 1     t u  t t   t u +  Lecture 11-5
  • 146.
     If dampingis considered,  In transient dynamic analysis using Duhamel integration, it is customary to set ξ=0, for two reasons: (i) to obtain conservative estimate of the peak value (not much difference is obtained if the peak occurs in early phase) for deriving impulse response function (ii) to get a simpler function to integrate to obtain the closed form solution for most of idealized impulses  Solutions of a number of cases of short duration excitations (Impulse) are presented using Duhmel integration in the following slides                     d t p e m t u t d t d n 0 sin 1 Lecture 11-6
  • 147.
    Step Force  P(t)=Po,                             n st n t n n t n n T t u t k P t m P d t m P t u            2 cos 1 cos 1 cos sin 0 0 2 0 0 0 Lecture 11-7
  • 148.
     Plot ofwith is also shown in figure below  If damping is included then,  It is seen that maximum value of is slightly less than 2   st u t u n T t                     t t e u t u t st n d 2 d sin 1 cos ( 1   st u t u Lecture 11-8
  • 149.
     Amongst differenttypes of pulse forces, the three types of pulse forces namely, rectangular, half sine and symmetric triangle received the attention of the practitioners. Most of the pulses can be modeled by one of these types  Response spectrums of these pulses are obtained in most text books and are briefly presented here  The method of finding the response spectrum follows the steps as below:  Obtain the expression for u(t) in the forced vibration phase t<td  Obtain the expression for u(t) in the free vibration phase t>td  Find the maximum value of u(t) in the two phases and retain the one which has greater value  Express the maximum value as a fraction of 𝑡𝑑 𝑇𝑛 Pulse Forces Lecture 11-9
  • 150.
     Forced vibrationphase is same as obtained before for constant force.  Free vibration phase is characterized by free oscillation with  Substituting for and and simplifying   d n st t t T u t u     t 2 cos 1 Rectangular Pulse     d d t u and t u            d n d d d t t t u t t t u     n n sin cos t u       d t u   d t u    d n d n st t t T t T t u                            2 2 sin T t sin 2 t u n d   Lecture 11-10
  • 151.
     The halfcycle sine Pulse is given as  For 𝑡𝑑 𝑇𝑛 ≠1/2, forced vibration phase has u(t) as: Half Cycle Sine Pulse   sin o d t p t p t   d n d n d d n st t t t T t t T t t t T u u                                       2 sin 2 sin 2 1 1 2 Lecture 11-11
  • 152.
     The finalresults for the responses are: Triangular Pulse                                                                                      d n d n d n d n d d n d n d n d d n d n d st t t t T t t t T t t T t T t t t T t t T t T t t t t T t t T t t u u 2 sin 2 sin 2 2 2sin 2 2 2 2 sin 2 2 2sin 2 1 2 2 0 2 sin 2 2 Lecture 11-12
  • 153.
    Concept of ResponseSpectrum  The plot of 𝑢max 𝑢𝑠𝑡 with 𝑡𝑑 𝑇𝑛 for an impulse force of duration td is called the response spectrum of impulse.  The method of finding the response spectrum follows the steps below:  Obtain the expression for u(t) in the forced vibration phase of oscillation  Obtain the responses for t=0, 𝑢 0 = 𝑢 𝑡𝑑 and 𝑢 0 = 𝑢 𝑡𝑑 in the free vibration phase of oscillation  Find the maximum value of u(t) in the two phases of oscillation and retain the one which has greater value  Express the maximum value as a function of 𝑡𝑑 𝑇𝑛  The plot of the maximum value of the response as function of td Tn is called the response spectrum for the blast load Lecture 11-13
  • 154.
     The comparisonof the response spectrums for the three pulses is shown in figure. Lecture 11-14
  • 155.
  • 156.
  • 157.
  • 158.
  • 159.
  • 160.
  • 161.
  • 162.
  • 163.
  • 164.
  • 165.
  • 166.
  • 167.
  • 168.
    Time domain Analysis In time domain analysis of SDOF, equation of motion is integrated in time  For integrable forcing function discussed earlier A variant of time domain analysis is Duhamel integration widely used for short duration/pulse loading seen before In principle, it can be used for an irregular p(t)  There are other methods (popular) for time domain analysis of SDOF for irregular p(t)  Two such methods will be discussed here, one for solving 2nd order differential equation and the other for first order differential equation  They are outlined in subsequent slides p h u u t u   ) ( Lecture 13-1
  • 169.
    Explicit and ImplicitIntegration Schemes  All schemes are time marching schemes; integration is carried out over discrete intervals of time  If at a current time, responses of an SDOF is determined with the help of known responses at the previous time steps and the dynamic load at the immediately previous time step, then it is called an explicit integration scheme  On the other hand, if the scheme requires the additional information on the responses of the current time step (which are not known) and the dynamic load at the current time step, then it is called implicit integration scheme  There are several explicit and implicit integration schemes in the literature  Out of them, one explicit scheme and one implicit scheme widely used in structural dynamics will be discussed here; the central difference scheme and Newmark’s beta method Lecture 13-2
  • 170.
    Central Difference IntegrationScheme  The central difference scheme is based on the Taylor series expansion at a point t  The derivatives of the function are explained as  Applying the derivatives in the equation of motion  𝑢𝑘+1 is determining after finding 𝑢𝑘+2. 1 1 2 i i i u u u t      1 1 2 2 i i i i u u u u t       1 k k ku P   1 k k P u k   0 1 0 1 2 1 1 ; ; 2 k a m a c a a t t       0 1 1 0 1 2 2 1 ; ; 2 K K k k m c m P P b u b u b k b t t t                         Lecture 13-3
  • 171.
    Newmark’s - method With known displacement, velocity & acceleration at kth time, it calculates the corresponding quantities at k+1th time; Fk+1 is known.  Two relationships are used for this purpose; they mean that within time interval , the displacement is assumed to vary quadratically Making use of the two equations, substituting for derivatives at K+1th time in the equilibrium equation  t              k+1 k k k+1 2 2 k+1 k k k k+1 u =u + 1-δ u Δt+u δΔt 1 u =u +u Δt+ -β Δt u +β Δt u 2 Lecture 13-4 1 1 1 1 ; k k k k P ku P u k      
  • 172.
    1 1 1 () (1 ) (1 ) 2 k k k k k d u a u u t d u u t           0 1 k a m a c k    1 1 0 1 0 1 0 1 ( ) ( ) ( ) k k k k k P P a m a c u c m c c u d m d c u          Lecture 13-5 0 0 0 1 1 1 2 2 1 1 1 1 ; 2 2 1 1 1 ; ; ; ; ; c d d t a b c d a t t t t                                           1 1 1 1 2 3 ; ; ( ) k k k k P mu P u m m a c a k m          1 1 2 2 3 k k k k k P P c u d u d u       2 2 3 ; ; a t a t       2 2 2 3 1 ; ( ); (1 ) 2 c k d c k t d c t k t                  
  • 173.
                              2 i i i N i u β Δt 1 q = u H = δΔt mα u 1                                   2 2 3 2 2 2 2 n n n 2 2 2 N n n n 2 2 n n n 1 α-ω β Δt αΔt-2ξω β Δt -ω β Δt α Δt -β α+ Δt 2 1 F = -ω δΔt α-2ξω δΔt-ω δ Δt αΔt-δ α+ Δt α -ω -2ξω -ω Δt - in which   2 2 1 2      n n t t        2 2 1 2 (1 ) ( ) 2       n n t t       Substituting the two basic relationships in the equation of motion and performing algebraic manipulation, following recursive relationship can also be obtained k+1 N k N k+1 q =F q +H F Lecture 13-6
  • 174.
    Solution for EarthquakeExcitation  If the support of the SDOF is subjected to time history of excitation 𝑢𝑔, the RHS of the equation of the motion is  By dividing the equation of motion by m, the following equation is derived 𝑢 + 2𝜉𝜔𝑛𝑢 + 𝜔𝑛 2𝑢 = −𝑢𝑔  For the support excitations problem, the above two formulations can be now easily used to find the responses at k+1 th. step by setting m=1 and p(t)=−𝑢𝑔 𝑡  If absolute values of the responses are required, then 𝑢𝑔 𝑡 and 𝑢g(t) should be also specified 𝑢𝑎 𝑘+1 = 𝑢𝑘+1 + 𝑢𝑔 𝑘+1 𝑢𝑎 𝑘+1 = 𝑢𝑘+1 + 𝑢𝑔 𝑘+1 𝑢𝑎 𝑘+1 = 𝑢𝑘+1 + 𝑢𝑔 𝑘+1 Lecture 13-7 ( ) g P t mu  
  • 175.
  • 176.
  • 177.
  • 178.
  • 179.
  • 180.
  • 181.
  • 182.
    Frequency Domain Analysis Unlike the time domain analysis, the frequency domain analysis varies the frequency to obtain responses for the arbitrary time history of the force  For this purpose, 𝑓 𝑡 is transformed to the summation of a series of harmonic forces  This is accomplished by applying the classical Fourier series to decompose 𝑓 𝑡 as a summation of several harmonic functions of ordered frequency  Frequencies are in ascending order having a fixed frequency interval  Responses of the SDOF system are essentially obtained by sweeping the frequency from lowest to the highest, the key variable is the frequency. Hence, the solution procedure is known as frequency domain solution  Note that the steady state response of the SDOF system for a harmonic excitations is known in the closed form and is used as the formation block for a frequency domain analysis Lecture 14-1
  • 183.
    Use of FourierAnalysis  Fourier decomposition of dynamic loading/excitation provides one of the most important tools in solving dynamic problems in frequency domain  Also it provides a physical understanding of dynamic composition of excitation especially in knowing its frequency contents which are again helpful in estimating the dynamic effects being produced by the excitation  Fourier decomposition along with the use of theorem of superposition make the frequency domain analysis is easy and elegant  With the availability of FFT and IFFT in most mathematical programs like MATLAB, the frequency domain analysis can be performed routinely for any structure  Data input to FFT and IFFT will be explained and the steps involved in carrying out the analysis will be explained in the subsequent lecture  Use of FFT for frequency domain analysis requires the knowledge of FRF of the system and working knowledge in complex frequency domain  For the purpose of understanding how Fourier synthesis is used in solving problems the following example is explained Lecture 14-2
  • 184.
    Fourier Decomposition  Fourierseries expansion of an arbitrary formation of time is given by In which 𝜔𝑛 = 2𝜋𝑛 𝑇 ; The amplitude of the harmonic at 𝜔𝑛 is given by 0 1 ( ) cos sin a n n n n n x t a a t b t        /2 0 - /2 1 ( ) T T a x t dt T   /2 - /2 2 ( ) cos T n n T a x t t dt T    /2 - /2 2 ( ) sin T n n T b x t t dt T    2 2 /2 /2 2 2 2 - /2 - /2 2 2 ( )cos ( ) sin T T n n n n n T T A a b x t tdt x t t dt T T                         Lecture 14-3
  • 185.
    Eqn. 13.1 canalso be expressed as 0 1 ( ) sin( ) n n n n x t c c t         -1 ; tan n n o o n n n c A c a b a           0 1 ( ) cos sin cn n sn n n p t p p t p t         2 2 2 0 - - - 2 2 2 1 2 2 ( ) , ( )cos , ( )sin T T T cn n sn n T T T p p t dt p p t t dt p p t tdt T T T         Lecture 14-4 0 1 1 1 1 2 2 2 2 ( ) cos sin cos sin c s c s p t p p t p t p t p t         
  • 186.
    In a similarway, In which Finally, For an SDOF system, the equation of motion under the support excitation 𝑢𝑔 is given by -1 1 2 2 2 2 2 1 ; tan ; ( 1,2) 2 1- [(1- ) (2 ) ] i i i i i i i i DAF i T              2 2 n n g u u u u       Lecture 14-5 1 1 1 1 1 ( ) cos( - ) c c p u t DAF t k    2 2 2 2 2 ( ) cos( - ) c c p u t DAF t k    1 1 1 1 1 ( ) sin( - ) s s p u t DAF t k    2 2 2 2 2 ( ) sin( - ) s s p u t DAF t k    1 2 1 2 ( ) ( ) ( ) ( ) ( ) c c s s u t u t u t u t u t    
  • 187.
     The plotof 𝑐𝑛Vs. 𝜔𝑛 is called the frequency amplitude spectrum  Conventionally this plot is shown as a continuous function of frequencies and for this, the discrete values of 𝑐𝑛 obtained at each frequency 𝜔𝑛 are manipulated for an equivalence in the rms sense Lecture 14-6
  • 188.
  • 189.
  • 190.
  • 191.
  • 192.
  • 193.
  • 194.
  • 195.
    Fourier Series andFourier Integral  Fourier series and Fourier integral are extensively used in structural dynamics for the formulation of problem in frequency domain  The solutions are known as solutions using Fourier transforms; similarly, solutions using Laplace transform are also used in vibration problem  It is possible to change from Laplace transform to Fourier transform because of the relationship that exists between the two  The fundamentals of Fourier series and Fourier integral are briefly described here Lecture 15-1
  • 196.
    Frequency contents oftime history  Fourier synthesis of time history record of (load/ ground motion) provides frequency contents of it  It provides useful information about the dynamic excitation & also forms the input for frequency domain analysis of structure  Fourier series expansion of x(t) can be given as     a 0 n n n n n=1 T/2 0 -T/2 T/2 n n -T/2 T/2 n n -T/2 n x(t ) = a + a cosω t + b sinω t 1 a = x(t )dt T 2 a = x(t ) cosω tdt T 2 b = x(t ) sinω tdt T ω = 2πn / T Lecture 15-2
  • 197.
     The amplitudeof the harmonic at is given by                   2 2 T/2 T/2 2 2 2 n n n n n -T/2 -T/2 2 2 A = a + b = x(t) cosω tdt + x(t) sinω tdt T T n ω       n n -1 n n n c = A b φ = tan a  Fourier series equation can also be represented in the form   0 n n n n=1 x(t) = c + c sin(ω t + φ ) Lecture 15-3
  • 198.
     Plot ofcn with is called Fourier Amplitude Spectrum  The integration in fourier series is now efficiently performed by FFT algorithm which treats fourier synthesis problem as a pair of fourier integrals in complex domain  Standard input for FFT is N sampled ordinates of time history at an interval of ∆t  Output is N complex numbers; first N/2+1 complex quantities provide frequency contents of time history; other half is complex conjugate of the first half n    α - iω t - α α iω t - α 1 x( iω ) = x( t ) e dt 2π x( t ) = x( iω) e dω Lecture 15-4
  • 199.
    Fourier series &integral  Fourier series decomposes any arbitrary function x(t) into Fourier components             α 0 k k k=1 T T 2 2 k 0 T T - - 2 2 T 2 k T - 2 a 2πkt 2πkt x(t)= + a cos +b sin 2 T T 2 2πkt 2 a = x(t)cos dt a = x t dt T T T 2 2πkt b = x(t)sin dt T T Lecture 15-5 2 2 2 2 ( ) ( )cos( ) cos( ) ( )sin( ) sin( ) 2 1 1 - - T T o k k k k T T a x t x t t dt t x t t dt t k k                                         
  • 200.
     The complexharmonic function is introduced to define the pair of Fourier integral 2 ,         T d T  It can be shown that Lecture 15-6 0 0 ( ) 2 ( )cos( ) 2 ( )sin( ) x t A t d B t d                     - - ( ) cos sin x t A t d B t d               - - 1 ( ) ( ) - ( ) ( ) 2 i t x A iB x t e dt           - ( ) ( ) i t x t x e d       
  • 201.
     Discrete formof Fourier integral is given by  FFT & IFFT are based on DFT.  From , Fourier amplitude is obtained xk Ak For the Fourier integral to be strictly valid Lecture 15-7 - ( ) x t dt      2 -1 - 0 1 ( ) kr N i N k r r x x e N            2 -1 0 ( ) kr N i N r k k x t x e             2 2 2 1...... 2 k k k N A c d k    0 0 ; k k k x c id A c   
  • 202.
     In MATLAB,, is divided by N/2 (not N), then  Parsavel’s theorem is useful for finding mean square value (X(t) is divided by N not N/2 as in MATLAB) r x Lecture 15-8   2 2 k k k A = c +d 0 0 2 c A  2 2 2 2 0 0 1 1 ( ) ( ) 4 2 T k k a x t dt a b T      -1 -1 2 2 2 0 0 0 1 1 ( ) T N N r k r K x t dt x x T N       
  • 203.
    Use of FourierSeries & Integral in Dynamic Analysis  An SDOF subjected to harmonic (both complex and real) excitation was discussed in detail.  The steady-state response is shown to be harmonic with a phase shift; the expressions for the responses are taken as standard responses for the harmonic excitation which is characterized by a frequency and an amplitude  The response analysis using this standard response is popularly known as frequency domain solution; this means that the variable used in the solution is the frequency of excitation  The fundamental basis of the development of the frequency domain analysis is the Fourier series expansion of the arbitrary function f(t) in terms of frequency contents; this has been discussed before Lecture 15-9
  • 204.
     In thedevelopment of the frequency domain analysis of an SDOF system the following steps are used:  The arbitrary loading f(t) is Fourier synthesized into harmonic components  From these harmonic components, the Fourier spectrum can be constructed  Solution of the SDOF system for each harmonic component is obtained using the standard results  For linear systems, theorem of superposition is used to combine the standard results for all harmonic components of the loading Lecture 15-10
  • 205.
     With theadvent of FFT algorithm this analysis is performed in a more compact way; the steps used are:  The time history of arbitrary loading f(t) is discretized in N sampled values at Δt intervals  They are fed into FFT which provides N discrete complex values at Δω interval.  First (N/2)+1 discrete values are considered  H(ω) for the system is obtained at discrete values of frequency of 0 to (N/2)Δω at an interval of Δω  Using (N/2)+1 values of FFT of f(t) and (N/2)+1 values of H(ω), a set of (N/2)+1 values of x(ω) is constructed; after introducing complex conjugates, N values of x(ω) are obtained (this part is explained in the next slide)  IFFT of x(ω) provides the response x(t) Lecture 15-11
  • 206.
  • 207.
  • 208.
  • 209.
  • 210.
  • 211.
  • 212.
  • 213.
  • 214.
    Use of FFTand IFFT in Frequency Domain Solution  A generalized complex harmonic load is expressed as  Steady state response of an SDOF may be written as 𝑢 𝑡 = 𝑢 𝜔 ⅇⅈ𝜔𝑡  Substituting 𝑢 𝑡 , 𝑢 𝑡 in the equation of motion and equating bot sides of the equation 𝑢 𝜔 = 𝐻 𝜔 𝑝 𝜔  Note that 𝐻 𝜔 is the same as that described in Lecture 9 as FRF.  Since 𝑝 𝜔 and 𝐻 𝜔 are complex quantities, 𝑢 𝜔 is also a complex quantity and should be better written as 𝑢 ⅈ𝜔 = 𝐻 ⅈ𝜔 𝑝 ⅈ𝜔 .  For brevity ⅈ𝜔 is written as simply 𝜔 𝑝 𝑡 = 𝑝 𝜔 ⅇⅈ𝜔𝑡 Lecture 16-3
  • 215.
     If the𝑝 𝑡 is an arbitrary function of time, the FFT of 𝑝 𝑡 provides a discrete set of N values of 𝑝 𝜔 spaced a Δ𝜔  Each value is a complex number ; using DFT, the 𝑝 𝑡 becomes a sum of 𝑝 𝜔 ⅇⅈ𝜔𝑡 for frequencies at an interval of Δ𝜔  Thus, for each frequency, 𝑢 𝜔 is obtained as 𝑢 𝜔 = 𝐻 𝜔 𝑝 𝜔  The basis of frequency domain analysis in the complex domain is based on the above equation  Ideally 𝑢 𝜔 maybe obtained as a continuous function of 𝜔 ; however, because Fourier pair of integrals are performed using DFT, the responses are obtained at an interval of Δ𝜔 and Δ𝑡; because of the presence of the pairs of complex conjugates, the 𝑢 𝜔 is obtained up to the cut-off frequency Lecture 16-4
  • 216.
    Steps for frequencydomain analysis using FFT and IFFT  The following steps are used in obtaining a steady-state response of an SDOF system under an arbitrary dynamic force 𝑝 𝑡 :  𝑝 𝑡 is discretized into N sampled values at an interval of time Δ𝑡 These values are fed into FFT, which provides N discrete complex values 𝑝 𝜔 at an interval of frequency Δ𝜔 = 2 𝜋 𝑇 (i=1…N) 𝑇 = 𝑁Δ𝑡 Take the first N/2+1 discrete values; 𝜔𝑐 = 𝑁 2 Δ𝜔 is named as the Nyquist or cut-off frequency Find 𝐻 𝜔 for the SDOF for 𝜔ⅈ = 0 to 𝜔𝑐 (N/2+1 values) at an interval of Δ𝜔 Since IFFT requires N discrete values of 𝑢 𝜔 out of which complex conjugates shall appear after N/2+1 values, the complex conjugates are added after the computed values of 𝑢 𝜔 ; how the complex conjugates appear has been described in lecture 13 and example problems Feed N values of 𝑢 𝜔 as obtained in the step above in the IFFT IFFT outputs N discrete values of 𝑢 𝑡 at a time interval of Δ𝑡 Lecture 16-5
  • 217.
  • 218.
  • 219.
  • 220.
  • 221.
  • 222.
    Introduction to MDOFSystem  All realistic structures are modeled as either discrete MODF system or continuum system  A continuum system has infinite number of degrees of freedom (d.o.f.) leading to infinitesimally small mass attached to each d.o.f.  This led to writing the equation of motion in a different form using the restoring action to be written as that written for continuous elastic curve/continuum  However, continuum system is often idealized as an assemblage of finite number of elements transforming it to be a MDOF system  Before writing equation of motion for MDOF system, following points deserve attention:  All kinematic d.o.f. of a structure are not the dynamic d.o.f.  Those kinematic d.o.f. which have masses attached to them are declared as dynamic d.o.f.  Dynamic d.o.f. are mostly the condensed kinematic d.o.f. of a system; those d.o.f. which do not have corresponding masses are condensed out so that d.o.f. to be handled in the dynamic problem are reduced Lecture 17-1
  • 223.
     A commonexample is the condensation of rotational d.o.f. in the framed structure as shown in this figure; rotations are condensed out when point mass lumping is used (mr2 = 0 as r = 0 for a point). At all joints Kinematic d.o.f. = 12 Dynamic d.o.f. =3 (Inextensible condition) At all joints Kinematic d.o.f. = 9 Dynamic d.o.f. = 2 Rotational d.o.f. are condensed out (Inextensible condition) Lecture 17-2
  • 224.
    Any three independentd.o.f. can be selected System I - non-diagonal mass matrix (discussed in lecture 18) System II – diagonal mass matrix Dynamic d.o.f. = 6 Extensible members Flat slab I II Rigid slab 6 d.o.f. at each joint Kinematic d.o.f. = 72 Dynamic d.o.f. = 9 Lecture 17-3
  • 225.
     Matrix condensationmay be carried out by any one of the following procedure: • • Finding flexibility matrix corresponding to the dynamic d.o.f. by applying unit loads to those d.o.f. successively and analyzing the structure with full kinematic d.o.f.  Depending upon problem to be solved, the method of condensation is selected; both methods have specific advantage  Condensation of stiffness matrix to some specific selected dynamic d.o.f. is also required for certain problems ( for example 3D building)  Consistent mass matrix is quite popular in FEM modeling of 2D and 3D continuum; in this formulation, acceleration at any instant of time within the element is assumed to be proportional to the displacement field  Thus, the shape function as that of the displacement is used to obtain inertia force distribution within the element; the same energy principle used for deriving the stiffness matrix, is used to obtain the mass matrix for the element  The name consistent is used because the mass matrix generated is consistent with the displacement field assumed within the element   θΔ 1 θθ Δθ K K K K K     Lecture 17-4
  • 226.
     Generally, forframed structure point mass lumping is used; in consistent mass matrix, rotational d.o.f. may be retained  Torsional rotation about the vertical axis of 3D frames with rigid slab is included in the dynamic d.o.f.; mass moment of inertia of the slab about the vertical axis is attached to torsional d.o.f.  Here, point mass lumping and mass moment of inertia of the slab in 3D frames will be discussed only  The generation of stiffness matrix corresponding to the dynamic d.o.f. forms the major task in writing the equation of motion  M martix is normally a diagonal matrix for point mass lumping and can be easily formed; however, for some types of structures it may not remain diagonal and for them, it may have to be generated from first principles  When the rotations are involved in the kinematic d.o.f., they are condensed out as they do not form the dynamic d.o.f.; without condensation the problem can be formulated by unnecessarily increasing the size of the problem; masses corresponding to rotational degrees of freedom are set to zero Lecture 17-5
  • 227.
  • 228.
  • 229.
  • 230.
  • 231.
  • 232.
    Equations of Motionfor MDOF  Equations of motion for MDOF system are developed for two degrees-of-freedom (d.o.f.) first which will be then generalized for n d.o.f.  Consider the two d.o.f. as shown below; sway movement of a 2-D shear frame may be idealized as the two d.o.f. spring dashpot as shown in the figure  At any instant of time t, the free body diagram of the masses are shown in the figure 2-D shear frame Two d.o.f. system Free body diagram Lecture 18-1
  • 233.
     Dynamic equilibriumof forces at time t leads two equations  In matrix form the set of equations becomes m, c and k are 2 × 2 matrices; u and p are vectors of size 2 × 1 .  Thus, for a two d.o.f. system, the equations of motion can be written in a matrix form with 2×2 matrices and 2×1 dynamic displacements (velocities and acceleration vectors).  Displacement vector is associated with K matrix; velocity vector is associated with C matrix; and acceleration vector is associated with M matrix.       t p u u c u u k u k u c u m 1 1 2 2 1 2 2 1 1 1 1 1 1                   t p u u k u u c u m 2 1 2 2 1 2 2 2 2                                                                t p t p u u k k k k k u u c c c c c u u m m 2 1 2 1 2 2 2 2 1 2 1 2 2 2 2 1 2 1 2 1 0 0       Lecture 18-2   mu+ cu+ ku = p t
  • 234.
     It canbe easily shown that k matrix is the stiffness matrix of the 2D frame/spring system corresponding to the two d.o.f. (u1 and u2)  c is called damping matrix which is not explicitly known but is defined by certain assumptions; however, it has the same form as that of K matrix (not always true)  m is called mass matrix which is found to be diagonal and therefore, is easy to generate; however m matrix is not necessarily a diagonal matrix for point lumped mass system- it depends upon the type of structure and the d.o.f. chosen (it will be explained later with the help of examples)  Now, it is possible to extend the equation of motion for two d.o.f. to n d.o.f. which follows as:  The equations of motion can be written in a matrix form for the unknown vector of displacement at the d.o.f. and a specified vector of excitations at the d.o.f.  The sizes of vectors will be n × 1  The K matrix will be n × n stiffness matrix of the structure corresponding to the dynamic d.o.f. Lecture 18-3
  • 235.
     The cmatrix will be of the same form (not always true) and size as that of stiffness matrix; the elements of the matrix are written in terms of coefficients c1, c2 etc. which are not explicitly known  The m matrix will be n × n diagonal matrix (not always true) whose elements are the masses attached to the d.o.f.  The equations of motion remains the same as the previous matrix equation except the sizes of matrices and vectors are changed to n × n and n × 1 respectively  The load vector consists of the dynamic forces corresponding to d.o.f.; thus its size is also n × 1  Note that if m(t), i.e., moment excitation is included in the load vector, then matrix condensations are not needed; rotational d.o.f. are included in the dynamic d.o.f.  Mass matrix contains mass moment of inertias corresponding to the rotational d.o.f ; in many soft wares condensation procedure is avoided and rotational d.o.f are included in the analysis to make the program a generalized one Lecture 18-4
  • 236.
    Support Excitations  Whenthe supports of MDOF system undergo excitation, then the equations of motion can be written extending the equation of motion of SDOF under support motion i.e. is extended to where r is the influence coefficient matrix or vector usually consisting of 1 and zero elements; some examples are shown  If support excitations are different at different supports, then r is a matrix of size n × q , where q is the number of supports  r is a matrix whose kth column elements contain the displacements corresponding to non support d.o.f. (included in the dynamic d.o.f.) when an unit displacement is applied at the kth support keeping other support d.o.f. locked  The derivation of the equation of motion with single or multi-support excitation is provided in the subsequent lectures g u m ku u c u m          g MU CU KU Mru     Lecture 18-5
  • 237.
    Lecture 18-6 Example problems Writethe equation of motion for the MDOF systems corresponding to the dynamic degrees of freedom shown in the figures. Assume the damping matrix to be mass and stiffness proportional. Fig. 1
  • 238.
  • 239.
  • 240.
  • 241.
  • 242.
  • 243.
  • 244.
  • 245.
  • 246.
     For singlesupport single component excitation For two component ground motion  For three component ground motion Examples for Support Exciations   1 2 1 0 1 0 - - - - - - 0 1 0 1 - - - - - -         T T g g g u u I u   1 2 3 1 0 0 1 0 0 - - - - 0 1 0 0 1 0 - - - - 0 0 1 0 0 1 - - - -             T T g g g g u u u I u Lecture 19-1 g mu+ cu+ ku = -mIu
  • 247.
    Example 3.1: Determinefor the following structures . Solution : I             1 1 2 3 1 2 3 T T u v u u u u u I = I = 1 0 1 1 1 1 1 Bracket frame 3 u 2 u 1 u Shear building frame u2 u3 u1 v 1 g x   g x   Lecture 19-2
  • 248.
      1 00 1 0 0 1 0 0 1 0 0 0 1 0 0 1 0         T T I I Case 1 Single component Case 2 Two component and 1 1 u v 2 1 v2 u2 v1 u1 3-D model of a shear building frame Fig3.4c Lecture 19-3
  • 249.
    Non-Diagonal Mass Matrix For lumped mass system/ point lumped mass system the mass matrix could be a no diagonal mass matrix depending upon the problem  Generally it is thought that mass matrix for lumped mass system is diagonal  There are number of examples where mass matrix turns out to be non-diagonal  Such mass matrices are derived from the first principle using the definition that mass is defined as inertia force per unit acceleration  The derivation follows the same procedure as adopted for deriving the stiffness matrix of the structure  One example is shown and the derivation of the mass matrix is obtained using virtual work principle Lecture 19-4
  • 250.
    Example 3.2 :Find the mass and stiffness matrices for the two models of 3D frame shown in Fig 3.5. Solution : 3 u 2 u 1 u L x y C.M. L k k g x  Model-1 4 2 2 4 1 3 0 2 3 2 ; 1 4 3 ; 0 6 2 2 3 3 3 6 1 k m I                                          m k   T (model1) = - 3 -3 6 6 T eff g m x P Lecture 19-5
  • 251.
    g x   C.M. u C.R. v L k k Model-2 ForModel -2 2 3 0 0.5 1 0 0 0 0 3 0.5 ; 0 1 0 ; 0 0.5 0.5 0.5 1 0 0 6 L k L m L L L L                                    k m I   T T eff (model2) = - 0 1 0 g m x P Lecture 19-6
  • 252.
    For multi supportexcitation, equation of motion                                                           t t t ss sg ss sg ss sg gs gg gs gg gs gg g g g g m m c c k k 0 u u u + + = m m c c k k p u u u or t g t ss sg g ss sg g ss g sg g t t t ss ss ss sg g sg g sg g t t t ss ss ss sg g ss ss ss sg ss g sg ss g sg ss g ss s sg g s s u = u + ru m u + m u +c u+ c u + k u + k u = 0 m u +c u + k u = - m u -c u -k u m u + c u + k u = -k u m u+c u+ k u= - (m + rm )u -( c + rc )u -(k + rk )u k u + k u = 0 u = - k -1 s sg g g ss sg ss ss ss ss g k u =ru rk + k =0 m u+c u+ k u= - rm u Lecture 19-7
  • 253.
  • 254.
  • 255.
  • 256.
  • 257.
  • 258.
  • 259.
    Frequencies and ModeShapes for MDOF  Free vibration analysis of MDOF system is similar to that for SDOF system i.e. solution is obtained by setting RHS of the equation as zero  Two cases are considered separately, undamped and damped vibrations  The solution provides natural frequencies and mode shapes of the MDOF system  Natural frequencies are defined as the frequencies of oscillation of the MDOF system when it is set to vibrate freely (without any exciting force) starting with an initial condition; Unlike, the SDOF system it has not only one frequency of oscillation but has n frequencies of oscillation where n is the degree of freedom (d.o.f.) of MDOF system  Each natural frequency of oscillation is associated with a particular nature of vibration, called the mode shape  Natural frequencies and mode shapes are the outcomes of the free vibration analysis of the MDOF system; the problem which is solved to obtain them is known as eigenvalue problem Lecture 20-1
  • 260.
     Physically, whena MDOF system is set to vibrate freely, it vibrates with the lowest frequency of oscillation known as fundamental frequency of oscillation and associated mode shape is known as fundamental mode  Fundamental mode shape is the simplest possible mode of oscillation that the MDOF can undergo; it requires least amount of energy  Undamped free vibration of MDOF system is represented by  From the solution for SDOF system, the response may be assumed as  Substituting for and or or u u   Lecture 20-2 mu + ku = 0   0 sin t   u u     2 0 sin 0 t      m k u 2 0       k - m 2 2 0 0        k - m k - m
  • 261.
     The determinantleads to a polynomial equation in ; if is the d.o.f. then the order of the polynomial is also  There are many ways to solve the above problem numerically; up to = 3, the polynomial equation may be easily solved to find the values of ; it can also be obtained by plotting the value of determinant against for smaller order of  The successive values of can be obtained from the curve where it cuts the axis as shown below  n n n  ω n ω ω ω1 ω2 ω3 ω4 ω Det Lecture 20-3
  • 262.
     The problemcan be posed as a classical eigenvalue problem for which many standard solutions are available; the problem is cast as an eigenvalue problem as below in which of size n × n  Eigenvalues of matrix provide n values of and hence n values of ω.  For each value of , solution of the matrix equation can be determined by assuming any value of an element ui of vector u as 1; generally u1 is set to unity. A     0    k m u Lecture 20-4   0   k - m u   ku m u 1 2 1 2   m m u -1 2 -1 2   m km u I u   Au u -1 2 -1 2  A m km
  • 263.
     Then othervales of the elements of the vector u can be determined by solving the matrix equation; the solution provides relative value of ui (i = 1……….. n) with respect to u1 = 1; an example problem shows the procedure  Thus, the values only provide a shape for displacements of different d.o.f; this shape is called the mode shape ( ) corresponding to frequency  An important property of mode shapes is that they are orthogonal w.r.t. to the mass and stiffness matrices i.e. the same condition holds good with respect to the stiffness matrix; the reason for this is that eigenvectors of matrix are orthogonal w.r.t. to the matrix; it is mathematically established i  i ω j i  if j i  if A A Lecture 20-5 0 T i j m    0 T i j m   
  • 264.
     A formalproof for the orthogonality properties of the mode shapes is given below  Pre multiplying ith mode equation by 𝝓𝒋 𝑻 𝝓𝒋 𝑻 𝒌𝝓𝒊 = 𝜔ⅈ 2 𝝓𝒋 𝑻 𝒎𝝓𝒊  Similarly, 𝝓𝒊 𝑻 𝒌𝝓𝒋 = 𝜔𝑗 2 𝝓𝒊 𝑻 𝐦𝝓𝒋  Deducting two equations  Taking symmetric property of k, m i.e.,  If  From the second equation it follows 𝝓𝒊 𝑻 𝒌𝝓𝒋 = 0 for 𝜔ⅈ ≠ 𝜔𝑗 2 2 - - T T T T j i i j i j i j i j            k k m m T T j i i j      k k 2 2 ( ) 0 T i j i j       m , 0 T i j i j       m Lecture 20-6
  • 265.
  • 266.
  • 267.
  • 268.
  • 269.
  • 270.
  • 271.
  • 272.
  • 273.
  • 274.
  • 275.
  • 276.
  • 277.
  • 278.
     Mode shapescan be normalized in different ways since mode shapes represent only the relative displacement of the d.o.f.  Consider the mode shape in the following example:  The normalization is done with the first value taken as unity and with maximum value taken as unity; the corresponding mode shapes are,  Another way of normalization is with respect to the mass matrix i.e. Mode Shape Normalisation Lecture 21-1       1 2 3 0.036 0.036 0.125 0.158 0.158 0 0.154 0.154 0.03 T T T          20 0 0 0 20 0 0 0 60 m            m       1 2 3 1 1 3.47 1 1 0 1 1 0.195 T T T              1 2 3 0.288 0.288 1 1 1 0 1 1 0.195 T T T               1 1 1 1 1 2 2 2 2 2 3 3 3 3 3 0.0144 0.0144 0.05 0.05 0.05 0 0.0167 0.0167 0.00 5 1 ; 1 ; 1 ; 32 T T T T T T m m m m m m          m m m         
  • 279.
     If modeshapes are normalized as above then  Undamped mode shapes have the following properties apart from the orthogonality:  All points pass through their maximum and minimum values at the same instant  All points pass through zero at the same instant in time  The mode shapes can be described by a sign valued real number  All points are either totally in phase or out of phase with any other point on the structure  The mode shapes from the undamped case are same as the proportionally damped case  Since C matrix is not explicitly known, it is obtained by making certain assumptions  One of the common assumption is that C matrix is mass and stiffness proportional i.e. values of  and  are determined with the help of the undamped natural frequencies of the system; more information on the topic will be discussed in a subsequent lecture c m k     T m I    Properties of Mode Shapes and Frequencies Lecture 21-2
  • 280.
     Complex modeshapes have the following characteristics  All the points do not pass through their maxima at the same in time- points appear to have time log  All the points do not pass through zero at the same instant of time  Mode shapes can not be described by real valued numbers- the shapes are complex valued  The different d.o.f will have some general phase relationship that will not necessarily be in phase or 180 degrees out-of phase with other d.o.f. Undamped mode shapes Damped mode shapes Lecture 21-3
  • 281.
     As discussedbefore damping matrix is classified as classical and non-classical damping matrix; for non-classical damping advantage of modal analysis can not be used  If damping matrix is classical, then the advantage of modal analysis can be taken and the knowledge of complete C matrix is not required (modal ratio/damping ratios are sufficient for analysis)  However there are quite a few situations for which knowledge of C matrix of the structure is required even if it is a classical one; they include :  Consideration of soil structure/water structure interaction  Nonlinear dynamic analysis of structure  Dynamic analysis of hybrid structure  Structural control of dynamic system  Where large number of modes are to be considered or determination of modal initial conditions from structural initial conditions are required Construction of C Matrix from Natural Frequencies Lecture 21-4
  • 282.
     For abovecases, c matrix is derived from the damping ratio using certain assumptions  The common assumptions made is that the c matrix is proportional to either m matrix or k matrix or both; this kind of damping is known as proportional damping or Rayleigh damping (after the name of Rayleigh)  The constants of proportionality are equated to the damping ratio since it represents the total dissipation of energy during vibrations in a comprehensive manner and is obtained from experimental test  If it is assumed that c matrix is proportional to m, then Since for SDOF, For the nth mode, Lecture 21-5 0 a  c m 0 , ; T n n n n n Say c then c a m   c   T n n n  m m   2 n c m  0 2 n n n n m a m    0 0 ; 2 2 n n n n a a      
  • 283.
     If cis proportional to k, then  If C is proportional to both, then  If i and j are any two modes, then a0 and a1 can be solved in terms of as (with ) , , i j i j and     i j      0 1 2 2 ; i j i j i j a a            Lecture 21-6 1 c k a  2 1 1 c , ; T n n n n n Say a a m    k   2 1 2 n n n n n m a m     1 1 2 ; 2 n n n n a a       0 1 a a   c m k 0 1 ; T T T n n n n n n a a   c m k       2 0 1 n n n n c a m a m    2 0 1 2 n n n n n n m a m a m      0 1 2 2 n n n a a     
  • 284.
     with a0and a1 as known c is constructed  Figures show the variations of with for all the three cases n  n  Lecture 21-7
  • 285.
     For determininga0 and a1 , any two natural frequencies can be adopted; they depend upon the problem being solved and the number of modes which are considered  There is no fixed criteria for the selection of natural frequencies and ; following examples give some ideas for the selection  Say the first 5 modes are being consider in the analysis i.e., contributions from modes higher than 5 modes are neglected (assuming they are small)  The values of and are selected for this purpose; from the figure it is seen that and are set to , the specified damping ratio; this has two implications  and will be less than ; thus contributions of second and third mode will be over estimated  and damping ratios for higher modes will be more and hence, their contributions will be less (which is consistent with the assumption made) i  j  1  4  1  4   2  3   6  Lecture 21-8
  • 286.
     It maybe argued that over estimation of the contributions of second and third on the response will compensate for neglecting the contributions of the higher modes  Note that selection of first two frequencies is not always right Lecture 21-9
  • 287.
  • 288.
  • 289.
  • 290.
     Direct solutionof MDOF solves the n x n coupled matrix differential equation  Solutions can be performed in frequency or time domain; in time domain the solution is an extension of that for SDOF:  If P(t) is a vector of irregular time histories of excitations, then it is solved using numerical integration schemes  The Newmark’s –  method described for SDOF system can be easily extended to the MDOF system  The modifications consists of  Converting u to vector u and the corresponding derivatives  Replacing m, c, k by matrices M, C, K  Replacing the equations by  In which is a matrix and is a vector  Solution requires inversion of the matrix . once for all  vector is obtained by satisfying the equation of motion at k+1 the time station k p(t) Solution of Equations of Motion    mu cu ku p(t) or k+1 k+1 ku = p(t) ku = p Lecture 22-1 1 k u  k
  • 291.
     The equationsof motions can be solved by a number of other numerical integrations schemes like Wilson –  – method, Houbolt’s method, Alpha method etc  Duhamel integrations, in principle can be extended to MDOF system; however, it is cumbersome and therefore, not generally used  Difficulty with direct integrations is fixing the value of t; general thumb of rule for good accuracy is that where T is the time period of the system; for SDOF it is known, but for MDOF system it is difficult to determine  Without performing the frequency analysis, it is difficult to fix the cut off mode and consequently the cut off T  Other problem of direct integration is that errors are accumulated easily because of the size of the problem; so very small t is required  Trial values of t are adopted to obtain solutions of the MDOF system requiring more computational time to fix the required value of t 10 T t   Lecture 22-2
  • 292.
     The alternativeform of the equation (see the SDOF solution)  In which I is an identity matrix of size n x n ; 𝝎𝒏 and 𝝎𝒏 𝟐 are diagonal matrices; β, 𝛿, Δ𝑡 are scalars 1 N k N K q F q H F     2 2      t t    2 n n α I ω ω [ ]  T i i i i q u u u 1 2 [ ( ) ]     T n t t    -1 H m                2 2 3 2 2 2 1 1 - 2 - 2 - 2 - -2                               N t t t t t t t t t t t t              2 2 n n n 2 2 n n n 2 2 n n n - ω ω - ω α + γ F -ω ω - ω α + γ -ω ω - ω -γ      2 1 2 (1 ) ( ) 2       t t    2 n n γ ω ω Lecture 22-3
  • 293.
     The numericalintegration scheme provides displacement vector  For obtaining other responses, member end displacements and rotations are required  For this, the member ends are identified and accordingly, the d.o.f. are consistent with global co- ordinate system  The following procedure is adopted to find the response quantities of interest.  From the condensation relationships, find rotations at the joints corresponding to the ends of the member  Once the rotations are known, then the displacements and rotations at the ends of the members are transformed from global to local co-ordinate system using transformation relations 𝜹′ = 𝑻𝜹; T is the transformation matrix -1 θΔ θθ θ = k - k k Lecture 22-4 Determination of other Responses
  • 294.
     Member endforces are determined by multiplying the vector of displacements in local co-ordinate by the member stiffness matrix in the own co-ordinate system;  In whichk, f’, k’ and 𝛅′ are consistent with the member coordinates; k’ is the member stiffness matrix, 𝜹′ is member and displacement vector, f’ is the member end force vector  Note that although the rotational d.o.f. are not included in the dynamic d.o.f., the rotations do occur at the joints at every instant of time  Even though the mass moment of inertia is not present at the joints, these rotations produced due to the translational inertia force contribute to the member end response  In addition to the moments, shears are also developed at the joint  The member end responses, other than translations corresponding to the dynamic d.o.f., are significantly influenced by the idealizations adopted in generating the mass matrix  The simple lumped mass and consistent mass matrices include rotational inertia force which result in increased rotations at the joints leading to increased moment and shear forces at the joints    f = k  Lecture 22-5
  • 295.
     Determination ofother response quantities other than displacement response require rotational d.o.f, which are normally condensed out. This in turn requires some additional computational effort Examples For the same 3 strorey frame, find an expression for the displacement responses at t = 2.52 s , given the following:               2 _ 2 2 0.02 ; 0.02 0.035 0.06 0.1 0.02 0.25 / ; 2.52 0.5 0.2 0.4 1 1 ; ; 2 4 0.6 0.12 0.15 / ; 4 2 0.02 . 0.02 2 5 ;                          T T T T t s t s u cm u cm s P s u cm s M C K K t t M C K Lecture 22-6
  • 296.
        _ 2 20 0 6.548 2.354 0 2 1 0 4 0 2 0 100 2.354 6.548 2.354 1177 1 2 1 0.02 0 0 1 0 2.354 3.274 0 1 1 43663.6 1412.4 0 1412.4 43663.6 1412.4 0 1412.4 11504.4                                                         m K m m m     _ 2 2 2 2 _ _ 0.02 0.01 4 2 4 0.035 10 2 0.02 10 0.02 0.02 0.02 0.06 0.25 2 0 0 0.6 0.5 0 2 0 0.12 10 0.2 0 0 1 0.15 0.4                                                                                      t t t t t t t M C M P C C m K u P u 1 _ _           t t t K P Lecture 22-7
  • 297.
      2 2 0.01 0.010.02 0.01 2 10 0.02 10 0.018 0.035 0.02 0.02 0.02 0.25 0.06 0.06 0.025 0.02 0.0348 0.0537 t t t t t t t t t t u Mu Cu Ku P                                                                                   0.0092 0.19 0.49 t t u               Lecture 22-8
  • 298.
  • 299.
  • 300.
  • 301.
  • 302.
  • 303.
  • 304.
     Solution ofMDOF system in frequency domain is just an extension of that of SDOF system,; however, the solution does not lead to the same elegant expression and understanding of the responses (the classical DAF vs  plots)  Frequency domain analysis is based on the following:  Fourier synthesis of excitation, so that excitation can be decomposed in to a number of harmonic excitations in the form of  Theorem of superposition  Solution of the dynamic system for harmonic excitation  The solution provides a steady state solution which is independent of initial condition; hence its use requires careful consideration  A more compact form of the solution technique exists using FFT and IFFT algorithms (solution technique is known as frequency domain analysis using FFT)  Since FFT and IFFT algorithms are readily available now frequency domain solution using the two algorithms are preferred now        i t i Sin i A   Frequency Domain Solution Lecture 23-1
  • 305.
     Equation ofmotion for harmonic excitation takes the following form  The first one is taken up for illustration of frequency domain solution by direct method; The second one is not amenable to frequency domain solution by direct method  Assuming solution of the form;  Equating like terms sin t  mu+ cu+ ku = p mu+ cu+ ku = p(t)     T 1 1 2 2 n n = p sinω t p sinω t ...... p sinω t p t cos sin c s t t     u u u     2 2 - cos - sin - sin cos cos sin sin c s c s c s t t t t t t t                     m u u c u u k u u p 2 sin sin t t s c s             mu c u ku p cos 2 0 t s c s            mu c u ku Lecture 23-2
  • 306.
     Equating liketerms  Solution of the above equation provides and for a particular value of  Unlike SDOF system, the above solution can not be manipulated algebraically to an elegant form  When the responses are bending moments and shear forces for a member then rotations at the joints are recovered using the condensation relationship  Once the rotations are known at the joints, member end displacements are completely known; member stiffness matrix multiplied by the member end displacement provides the member end forces     2 2 0             u k - m c p s uc c k - m     -1 2 2 0              u k - m c p s uc c k c s u c u  Lecture 23-3
  • 307.
    Frequency domain analysisfor non integrable periodic loading  For solving the problem in frequency domain analysis, the irregular time histories are Fourier synthesized and the equation of motion is solved in frequency domain as it is done for SDOF; note that each time history has the same form of periodic function with variation of amplitude only  The solution procedure takes the following steps:  Fourier synthesize each time history as  Consider j=1 to N where N is the number of terms included in the analysis; for each value of j, find Fij, ωj and φij  With these, determine the jth force vector; the ith element of the vector is 2 j j T    2 2 j j f a b ij   ( ) sin( ) 0 p fij j ij N t t i j       -1 tan bj ij a j             sin ij j ij f t    Lecture 23-4
  • 308.
     Since remainsthe same for elements of any vector, any element may be written as  Assuming displacement vector to be of the same form i.e.,  For a particular frequency ωj, can be determined from equation by replacing {P} by {Fij}  The ith element of the displacement vector uj is denoted by   sin j j t         j j j f t { }sin     cos sin j j j j j cj sj t t         u u u cos sin j j ij c ij ij ij ij u u t u t s                       T cj sj u u Lecture 23-5
  • 309.
     Which canbe written as  In which   sin - ij ij j ij ij u u t          1 sin - N j j ij ij j t t        u u 2 2 ij cij sij u u u   -1 tan ij ij c ij s u u           Lecture 23-6
  • 310.
  • 311.
  • 312.
  • 313.
  • 314.
  • 315.
  • 316.
  • 317.
  • 318.
     In complexdomain, the solution of equation motion in frequency domain is performed in more compact form using FFT and IFFT algorithm  For SDOF system, it has already been described; For MDOF system, the concept can be easily extended in matrix form  The equation of motion is excited by eiωt at each DOF one at a time, then  For eiωt positioned at the second place  u(iω) vectors thus obtained, if arranged as vertical column in sequence for n DOF, then the matrix becomes h(iω) matrix itself where i t e   mu + cu + ku I ( ) ( ) i t t e    u u 2 1 ( ) [ ] ( ) i i i          u k m c h 2 1 ( ) [ ] i i        h k m c ( ) ( ) i i    u h Solutions Using FFT and IFFT Lecture 24-1 2 [ ] ( ) i       k m c u I
  • 319.
     This matrixis called the frequency response function popularly known as FRF matrix and is similar to flexibility matrix (better called dynamic flexibility matrix)  Following this definition dynamic stiffness matrix is  Note that these matrices are complex matrices  Using FRF of a MDOF system, the MDOF system can be analyzed for any set of excitation periodic and irregular; the responses are steady state solutions  FRF of a MDOF system preserves the entire dynamic characteristics of the system in a complete form; if FRF of a structure can be determined from experimental test, then the system can be analyzed for any excitation without the knowledge of any other thing  System identification consists of finding FRF using prototype testing (especially used for damaged structure)  Analysis of MDOF system in frequency domain using FRF for any arbitrary loading can be performed by frequency domain analysis using FFT as developed for SDOF 2 1 ( ) [ ] i i        h k m c 2 [ ] i     k m c Lecture 24-2
  • 320.
     The procedureis an extension for MDOF system and consists of the following steps  Obtain condensed stiffness matrix form the full stiffness matrix  Find C Matrix using Rayleigh Damping  α and β are determined from two selected frequencies of the system (discussed before)  Fourier transform P(t) using FFT; it requires FFT of time histories; p1(t) …. pn(t)  Take first N/2 +1 terms of the FFT of the time histories  Form a matrix of p(ω) of size nx(N/2+1); first column corresponds to 0; second column corresponds to Δω and so on, ith element of a column j corresponds to the ith frequency content of the load pi(t)  Obtain h(iω) for ω=0, (Δω),N/2 Δω -1 -1 - -            k k k k k k k       c m k Lecture 24-3
  • 321.
     Multiply h(iω)with each column of p(ω) matrix to obtain of size nx(N/2+1)  Obtain from by adding complex conjugates to each row of  Size of is nxN matrix  Make IFFT of each row of ; note that both FFT and IFFT are to be performed for n number of discrete series  This provides discrete values of response u1(t) to un(t) at an interval of Δt; u(t) matrix is of size nxN  Once u(t) is obtained, θ(t) can be obtained  For any other response, the member end displacements and rotations at the two ends of the member in global coordinate are selected from the u(t) and θ(t) vectors at each time t.  They are transformed to the local co-ordinate using the transformation matrix of the member.    i u    i u    i u    i u    i u    i u -1 ( ) - ( ) t t     k k u  Lecture 24-4
  • 322.
  • 323.
  • 324.
  • 325.
  • 326.
  • 327.
  • 328.
     Normal modetheory is one of the elegant methods that has made dynamic analysis of many structural vibration problems simple and easy to understand  Another important feature of the method is that it enables one to physically understand the dynamic problem in terms of its natural frequency of vibration  Normal mode theory stipulates that the response of a MDOF system resembling a structure subjected to dynamic excitation is weighted summation of its mode shapes (normal modes) expressed mathematically as is the displacement vector in structural co-ordinates is the mode shape matrix, is the vector generalized co-ordinates  Both u and z are functions of t ; z is also called modal co-ordinates; z(t) is the time dependent weighting functions; size of the vector depends upon the number of modes considered in the analysis; accordingly, the size of varies  If z is Nx1, u is Nx1 and is NxN, then the normal mode theory gives the exact results; however, if size of z is less than u, then the result becomes inaccurate; number of modes or generalized co-ordinates to be considered for obtaining good results depends upon the problem and the response quantity of interest  u z  u  Z   Normal Mode Theory Lecture 25-1
  • 329.
     If itis considered that there are n d.o.f. and m is the number of modes considered, then in which is of size nx1, i is the mode number  The above equation clearly illustrates that the response u is a weighted summation of mode shapes, weighting functions being zi  Substituting for u in equation of motion and pre-multiplying by , both LHS and RHS of the equation of motion, if c is assumed to be Rayleigh damping then,  Substituting for c 1 1 nx nxm mx  u z  1 1 2 2 3 3 ...... n n      z z z z     i    T T T T z z z    m c k p t        T      c m k     T T T T T z       m z m k z k p t          ( )       mz m k z kz p(t) Lecture 25-2
  • 330.
    in which, becauseof the orthogonal property of mode shapes, and becomes diagonal matrices  As a result, the set of equations are uncoupled; each equation becomes an equation of motion for SDOF: if m modes are only considered, then i =1…m  The SDOF equations are solved for zi by using any technique in time/ frequency domain described before; the technique to be adopted depends upon the duration of loading and response quantity of interest.  Once zi ( i = 1…..m) are obtained, u may be obtained as  Equations of motion in generalized co-ordinates are SDOF equations; they may be also written in the following form: 1 n m m    u z  k m ( ) 1....... i i i i i i i m z c z k z p t i n     2 ( ) 2 i i i i i i i i p t Z Z Z m       Lecture 25-3
  • 331.
     in which As described before, in Rayleigh damping, the constants and may be determined by two frequencies of the structures; generally, first frequency may be considered  The equations of motion as obtained above is preferred because of two reasons:  It requires only undamped mode shapes and frequencies of the system to be known; finding is trivial  Damping does not become a big problem for the analysis provided (i) proportional damping is assumed and (ii) damping ratio is assumed to be the same in all modes    2 2 i i i       2 2 i i i           T i i i m  m   2 i i i k m   i m Lecture 25-4
  • 332.
     Thus, normalmode theory is widely used in structural dynamics for solving MDOF systems in the linear range  How many modes provide a good estimate of the response attracted the attention of researcher  The studies revealed that consideration of only first few modes is sufficient to get good results since excitations generally do not excite higher modes( i.e. resonance takes place)  When excitations have high frequencies or when responses other than displacements like BMs are to be obtained, consideration of large number of modes is required  There are other ways to obtain the responses, other than the displacements, using less number of modes in the modal analysis technique  One such method will be discussed in the subsequent lecture  The method requires the quasi static solution for the dynamic load Lecture 25-5
  • 333.
  • 334.
  • 335.
  • 336.
  • 337.
  • 338.
  • 339.
  • 340.
  • 341.
  • 342.
  • 343.
  • 344.
  • 345.
     Use ofnormal mode theory for support excitation is important for it allows to understand contribution of each mode of vibrations and provides a background to the development of response spectrum method  For single support excitation, equation of motion  Using normal mode theory, the developed SDOF system; is the weight of the rth floor  Each SDOF is associated with a 𝜆ⅈ thus, 𝑝ⅈ 𝑡 = −𝜆ⅈ𝑢𝑔  The above SDOF can be solved by any method described before 2 2 i i i i i i i g z z z u         - g u    mu cu ku mI   1 ; 2 1 N i W r r r W i r N i W r r r         Lecture 26-1
  • 346.
     After findingthe displacements u(t), the member end forces are obtained in two ways  Find the rotations θ from condensation relationship and then find the displacements and rotations at the ends of a member in local co-ordinates using transformation; multiply the member stiffness matrix by the member end displacement vector (described before)  Find the mode shape coefficient for the response quantity of interest and use the mode summation equation to find u, replacing u by the response quantity of interest; response quantity of interest could be base shear, member end forces, drift etc  The mode shape coefficient for the response quantity of interest is obtained by a separate static analysis of the structure Lecture 26-2
  • 347.
     In orderto find the mode shape coefficients for the response quantity of interest, the following procedure is adopted:  Analyze the MDOF system for the static load vector and find the response quantity of interest ( it could be one response quantity or a number of response quantities represented by vector; accordingly could be a single quantity or a vector)  Repeat the procedure for ( i = 1….m)  Arrange R in the form of a matrix; size of R will be s x m, where s is the number of response quantities; note that if R contains member end forces, then global to local transformation is required  R matrix is mode shape matrix for the response quantities of interest  This mode shape matrix replaces the displacement mode shape matrix in that the relationship between the actual response and the modal response 2 i i i   p m i R i p i R Lecture 26-3
  • 348.
  • 349.
  • 350.
  • 351.
  • 352.
  • 353.
  • 354.
  • 355.
  • 356.
     For mostof the problems, consideration of first few modes is sufficient to get good estimate of the responses; how many modes are to be considered is generally decided by the mass participation factor given as in which n is the number of d.o.f. and i is the mode shape number, is the mode participation factor defined later, and m is the total mass of the system; m is decided based on  Even if the number of modes to be considered is selected based on the above concept, the response quantities like bending moment and shear force may not be obtained accurately; for that more number of modes are to be considered  One approach called mode acceleration approach is developed to find good estimate of response using less number of modes i  1 n i i ir r i m M       1 1 m i i     i  Lecture 27-1
  • 357.
     The uncoupledSDOF equation of motion in generalized co-ordinate can be re-written as  be the mode shape coefficient for a response quantity of interest R(t), then  The first term is computed with m=n ie. by considering all modes and the second term is calculated using only m number of modes  The first term in that case provide quasi static response of the system for total load p(t) which can be proved as below: The equation is equivalent to the modal equation without and terms; therefore obtained from above equation is the quasi static generalized displacements for the ith mode ie, i z     2 2 1 1 2 i i i i i i i i p t z z z m             i        2 2 1 1 1 2 m m i i i i i i i i i i i i p t R t z z m              z z i z Mode Acceleration Approach ( ) ( ) T t t   T ku p k z p    Lecture 27-2
  • 358.
     Quasi staticpart of response quantity of interest may be written as  Thus response may be written as  Since first part of the response considers contribution from all modes, the error is introduced only due to the second term  Generally first part dominates the response ,the response obtained by using the above equation provides a better estimate of with less number of modes than mode summation approach 2 T i i i i z m   p    R t   R t     1 2 2 1 1 n i i i T n n i i i i i i i i i i R t z m n p m m               p     R t       2 1 1 2 m i i i i i i i R t R t z z            R t   R t Lecture 27-3
  • 359.
  • 360.
  • 361.
  • 362.
  • 363.
  • 364.
  • 365.
  • 366.
  • 367.
  • 368.
     Use ofnormal mode theory has given rise to the popular Response Spectrum Analysis of Structures for Earthquake  A multi degree of freedom system subjected to single point support excitation due to ground motion provides the following equation of motion:  Using normal mode theory the above equation motion can be written as a set of uncoupled equation of motion in generalized co-ordinate in which (for buildings)  𝜆ⅈ Is called mode participation factor denoting the contribution of the ⅈ𝑡ℎ mode to the overall response, as is evident from the SDOF equation of motion in generalized co-ordinate  Mass participation factor described before is used to find number of modes to be considered  Solution of the ⅈ𝑡ℎ modal equation by any method (time domain and frequency domain) provides the maximum value of 𝑧ⅈ 𝑚𝑎𝑥 - g u    mu cu ku mI   1 2 1 T N i i r r r i T N i i r r r W W i          mI m    Modal Response Spectrum Analysis i  Lecture 28-1 2 2 ( 1..... ) i i i i i i i g z z z u i m         
  • 369.
     For differentvalues of ωⅈ for a specified value of ξ 𝑧ⅈ 𝑚𝑎𝑥maybe obtained for the given time history of 𝑢𝑔(𝑡)  The plot of 𝑧ⅈ 𝑚𝑎𝑥with 𝑇ⅈ = 2𝜋 ω𝑖 provides the displacement spectrum of the ground acceleration𝑢𝑔(𝑡) ; this is designated by 𝑆𝑑𝑖 vs. 𝑇 plot  Once this is known for the ground acceleration 𝑢𝑔 𝑡 ,two more spectrums are constructed from the displacement response spectrum  They are 𝑆𝑣 = 𝜔𝑆𝑑 𝜔 = 2𝜋 T and 𝑆𝑎 = 𝜔2𝑆𝑑; they are plotted against 𝑇; 𝑆𝑎 vs. 𝑇 is called response spectrum of spectral acceleration  If this acceleration spectrum is known for a given time history of acceleration, then maximum response of the MDOF system can be obtained from static analysis of the system for an equivalent static load, if it is assumed that that the MDOF is vibrating in only a single mode i.e. in ⅈ𝑡ℎ mode  Thus the equivalent static load for a particular mode of vibration is determined for the specific dynamic excitation in the form of ground acceleration  Static analysis of the structure is performed for the equivalent static load Lecture 28-2
  • 370.
     The equivalentstatic load is obtained in the following manner:  It has been shown that The maximum displacement for the ⅈ𝑡ℎ mode: The corresponding lateral force providing the maximum displacement in the ⅈ𝑡ℎ mode maybe written as  Thus, if for the ⅈ𝑡ℎ mode, 𝑇ⅈ = 2𝜋 ω𝑖 is known, then 𝐹ⅈ can be determined provided 𝜆ⅈ ,𝜑ⅈ and spectral acceleration 𝑆𝑎 (for 𝑇ⅈ) are known Lecture 28-3 i i di i k S   F  2 max ai i di i S z S    2 2 2 ai ai i i i i i i i i i i i ai S S k m S          F m F   
  • 371.
     If thestructural system is analyzed for lateral load 𝐹ⅈ, then the responses provide the maximum response that the structure would have provided for 𝑢𝑔 𝑡 if it vibrates only in the ⅈ𝑡ℎ mode  The equivalent lateral load analysis is known as the modal response spectrum analysis of the structure  Use of normal mode theory requires that contributions from all modes (m-modes) considered are added to get the final responses  In time history analysis, this is done by using the well-known relationship  In response spectrum method of analysis, the maximum response in each mode of vibration is obtained  Since maximum response in each mode of vibration can occur at different times, the simple additions of the maximum response obtained in the response spectrum method analysis will not give the final response  Therefore, the responses in each mode of vibration are combined using some combination rules; one such combination rule is called SRSS rule  This introduces some approximations in the response spectrum method of analysis; the effect of these approximations have been investigated and it has been found that in most cases, it doesn’t introduce much error in the prediction of maximum responses Lecture28-4  u z 
  • 372.
     The totalresponse is obtained by summing up the product of 𝑧ⅈ and 𝜙ⅈ  If the general case is considered, then R is 𝜙ⅈ𝑅 is the ith mode shape coefficient of R  This simple summation is not possible for the response spectrum method for two reasons: Response spectrum method uses absolute maximum value of 𝑧ⅈ ignoring the sign of the response Maximum 𝑧ⅈ does not take place at the same time for all modes; thus, simple summation to obtain maximum response becomes inadmissible 1 u  m i i i z    1 m iR i i R z     Lecture 28-5
  • 373.
     In earthquakeliterature, three summation rules are prescribed  These summation rules do not have strong theoretical base; however, they are formed to provide either a conservative or a good estimate of R Rules are: ABSSUM (Absolute sum of the responses in all modes) SRSS (Square root of the sum of the squares of the responses in all modes) CQC (Complete quadratic combination of the responses in all modes)  ABSSUM rule:  SRSS rule:  CQC rule:  m is the number of modes considered and R is the response quantity of interest; 𝜌ⅈ𝑗 is correlation between mode responses 1 m i i R R    2 1 m i i R R    2 1 m i ij i j i R R R R      Lecture 28-6
  • 374.
     ABSSUM providesa conservative estimate of the response as it is evident from the nature of the summation  SRSS rule provides a reasonably good estimate of the response for widely spaced frequencies of structure  In this approach, it is assumed that there is no correlation between the modal responses. This assumption is not truly valid as there exists some correlation between modal responses  However, with increased spacing between two frequencies of the structure, this correlation dies down  CQC rule takes into account this correlation ; hence , provides a better estimate of R  For ordinary frames, SRSS rule is widely used in practice  For 3D building models with high eccentricity the frequencies are closely spaced and therefore CQC rule is to be used for finding the responses (Eqns.5.14 and 5.15 of Fig. in the next slide refer to those by Der Kiewrigian and Rosen blueth respectively) Lecture 28-7
  • 375.
  • 376.
  • 377.
  • 378.
  • 379.
  • 380.
  • 381.
  • 382.
  • 383.
  • 384.
  • 385.
  • 386.
    Continuum system  Infinitedegrees of freedom exist for the continuum system; thus, dynamic equilibrium equation is written similar to that for beam and plate  For static equilibrium, beam equilibrium equation  For quasi-static case,  If 𝑝 𝑡 is not quasi-static but dynamic, two more terms, inertia and damping would be present in the above equation  m is the mass per unit length; c is damping constant per unit length  Above equation is written using the knowledge of beam theory, inertia force and damping force 4 4 d u EI p dx  4 4 ( ) ( ) d u t EI p t dx  2 4 2 4 ( ) u u u m c EI p t t t x          Lecture 29-1
  • 387.
     In subsequentsection, the formal derivation of the equation of motion will be presented  Direct solution of equation of motion is highly cumbersome. Therefore, the equation is solved using normal mode theory  The background of how the normal mode theory is used for the continuum system is presented subsequently  It also provides an understanding of the meaning of mode shapes of continuum system  Normal mode theory as applied to MDOF system can be extended to develop the normal mode theory as applied to the continuum system  The mode shapes and frequencies of the continuum system is presented here for the beams and axial member  Unlike discrete system, mode shapes and frequencies of continuum system is derived by solving the partial differential equation Lecture 29-2
  • 388.
     Normal modetheory shows that the response of a humped mass system can be represented by  For vibration only in one mode  The above equation leads to ;  If mode shape coefficients for particular mode is known, then the responses of different d.o.f are known by knowing the response of one quantity 𝑧ⅈ(𝑡)  For large number of d.o.f, the curve passing through the curve passing through the points representing the mode shape co efficient can be approximated by a function𝜙ⅈ(𝑥)  If this function is known or can be guessed (or assumed) then the responses at different d.o.f can be obtained by knowing 𝑧(𝑡) only  Above observations can be extended for a continuum in which d.o.f are infinite; so a smooth function 𝜙ⅈ(𝑥) will represent ⅈ𝑡ℎ mode shape of the continuum  If these functions are known or can be assumed, then responses of the system can be determined by knowing 𝑧ⅈ(𝑡) i.e. solution of a SDOF system  Dynamic analysis of continuum system for arbitrary /periodic /support excitation problem is popularly performed in this fashion i.e., using normal modes Continuum System Lecture 29-3 ( 1.......... ) i i z i m   u   u z 
  • 389.
     Development ofthe equation of motion of the axial vibration of a rod AE P x u    2 2 u P AE x x      2 2 t u Adx dx x P       Lecture 29-4  Since the inertia force balances the external force per unit length  Substituting for P x   2 2 2 2 u E u t x       2 2 2 2 2 1 u u x c t      E c  
  • 390.
     The generalsolution of the equation of motion is Regardless of the type of function F, the argument upon differentiation leads to Hence, the differential equation is satisfied  For component , it can be easily shown that the wave propagates in positive x direction with speed c and the opposite phenomena is experienced for the component  So, the general solution consists of wave propagations in two opposite directions for one dimensional wave propagation problem  Solution of the equation of motion can be obtained by the method of separation of variable is, Substituting in equation of motion,     1 2 u F ct x F ct x       x ct  2 2 2 2 2 1 F F x c t        1 u F ct x     2 u F ct x   ( , ) ( ) ( ) u x t u x q t  2 2 2 2 2 1 1 1 y q u q x c t      Lecture 29-5  Solution of the equation of motion of the axial vibration of a rod
  • 391.
     Since boththe sides are independent of each other, the ratios of the terms on the two sides should be the same and hence, The general solution of the two equations are:  Constants of the two equations are obtained from the initial and boundary conditions  Consider a stretched string between two fixed points separated by l,  Then B = 0 and  Note A could be a function of t (not x)  For , gives 2 2 2 0 u w u c x           0 2 2 2      q t q sin cos u A x B x c c     t D t C q   cos sin   ( sin cos )sin u C t D t x c      ( , ) 0 u l t  ω sin l = 0 c (0, ) ( , ) 0 u t u l t   Lecture 29-6
  • 392.
    From equilibrium consideration,consider the figure bellow. Substituting from 𝑣 and 𝑀,  The above two derivations are without damping; since damping force negates the excitation force, it can be simply added to the left hand side of the equation of motion i.e., equation of motion takes the form in which 𝑚 𝑥 is the mass per unit length ; 𝐼is the moment of inertia per unit length and 𝑝(𝑥, 𝑡) is the excitation per unit length of the continuum Lecture 29-7 2 2 2 2 2 2 ( ) ( ) ( , ) u d u M x EI x p x t t t dx             2 2 2 2 ; ; v u M d u p m v M EI x x t dx           4 4 ( , ) d u mu cu EI p x t dx     Development of the equation of motion for the flexural vibration of the beam
  • 393.
     For supportexcitation only, the above equation maybe easily modified by bringing in total acceleration (𝑢𝑡 ) in place of relative acceleration (𝑢) ; equation of motion takes the form Since, the equation becomes  The equation of motion can be written also in terms of total displacement i.e., Since 𝑢𝑔 does not vary with 𝑥 for single point excitation, equation becomes  For multi support excitation again, writing the equation of motion for the continuum becomes somewhat complex although in principle it can be done  Therefore, the continuum system is discretized in such cases Lecture 29-8 4 4 0 t d u mu cu EI dx      t g u u u x   4 4 ( ) ( ) ( ) g d u m x u cu EI x m x u dx     4 4 4 4 ( ) g t t t g d u d u m x u cu EI cu EI dx dx      4 4 ( ) t t t g d u m x u cu EI cu dx    
  • 394.
  • 395.
  • 396.
  • 397.
  • 398.
  • 399.
  • 400.
  • 401.
  • 402.
  • 403.
     Natural frequenciesand mode shapes of the continuum system is obtained by solving the undamped equation of motion without any excitation i.e., The solution is obtained by assuming 𝑢(𝑥, 𝑡) of the form which means that the vibration of the beam is distinguished by a single time history z(𝑡); displacement along the beam at any time 𝑡 obeys a function  This assumption leads to: Substitution in the equation of motion gives Natural Frequencies and Mode Shapes of Continuum System Lecture 30-1 4 2 2 4 ( ) ( ) 0 d u u m x cu EI x t dx      ( , ) ( ) ( ) u x t x z t    ( ) x  2 2 ( ) ( ) u x z t t     4 4 ( ) ( ) iv u x z t x     ( ) ( ) ( ) ( ) ( ) ( ) iv z t EI x x z t m x x    
  • 404.
     Thus theabove two ratios are equal and say is equal to 𝜔2 ; this leads to two equations  The first equation shows that it is nothing but the frequency of a SDOF  The second equation shows that there is an infinite number of frequencies 𝜔 and corresponding mode shapes ∅(𝑥) for the eigen value problem represented by the second equation  If 𝑚(𝑥) = 𝑚, then the second equation can be written as Where, The general solution of the equation is  Four unknown constants are evaluated from four displacement boundary conditions of the continuum; upon finding 𝑐1 to 𝑐4, the trigonometric function equated to zero gives the value of 𝛽 Lecture 30-2 2 2 ( ) ( ) 0 ( ) ( ) ( ) ( ) 0 iv z t z t EI x x m x x             4 0 iv x x      2 4 m EI      1 2 3 4 sin cos sinh cosh x c x c x c x c x         
  • 405.
     The solutionsare presented for  Simply supported beam  Cantilever  Fixed-fixed beam  Propped cantilever  For simply supported beam: First set of conditions provide 𝑐1 = 𝑐4 = 0 Leading to Second set of conditions provide From these equations, Lecture 30-3         0 0; 0 0 0; 0 EI L EI L             1 3 sin sinh x c x c x        1 3 2 1 3 sin sinh 0 sin sinh 0 c L c L c L c L           3 sinh 0 c L  
  • 406.
    Since 𝑠ⅈ𝑛 ℎ𝛽𝐿cannot be zero (then 𝜔 = 0), 𝑐3 = 0 which leads to 𝑐1 = 0 is a trivial solution 𝑠ⅈ𝑛𝛽𝐿 = 0 gives 𝛽𝐿 = 𝑛𝜋 𝑛 = 1,2,3,4 … . and  Cantilever beam: Substitution of these conditions lead to Setting determinate of the matrix as zero gives Lecture 30-4 1 sin 0 c L   2 2 2 n n EI m L    1,2,3,4.... n    1 sin n n x x c L            0 0 0 0 0 0 EI L EI L            1 2 sin sinh cos cosh 0 cos cosh sin sinh c L L L L L L L L c                          1 cos cosh 0 L L     
  • 407.
    Numerical solution (notclosed form) provides  Fixed-fixed beam: Application of the boundary condition gives Lecture 30-5     1 2 3 4 2 2 2 2 1 1.875,4.694,7.855,11 1,2,3,4 3.516 22.03 61.7 121 ; ; ; ; cos cosh cos cosh sin sinh sin sinh n n n n n n n n n n L for n EI EI EI EI m m m m L L L L And L L x c x x x x L L                                           0 0 0 0 L L           1 2 3 4 cos .cosh 1 4.73; 7.85; 11; 14.13 n n L L L L L L           
  • 408.
     Propped Cantilever B.Cprovides  Approximate evaluation of natural frequency in a mode of vibration can be obtained if mode shape is approximated by a function of x  This approximation mode shape can also be termed as shape function; if a shape function is assumed, then forced vibration (undamped) in a mode can be expressed as Lecture 30-6         0 0 0 0 L L               1 tan tanh 0 sin sinh cosh cos sin sinh cos cosh n n n n n n n n n n n n n L L x c x x x x L L L L                           ( , ) sin . ( ) ( , ) cos . ( ) u x t z t x u x t z t x         
  • 409.
     Equation leadingto determination of natural rth frequency provides,   ) ( ) ( ) ( ) ( 2 x x m x x EI r r r                   L r n r L r n dx x x x m dx x x EI x 0 2 0 ) ( ) ( ) ( ) ( ) ( ) (           L r n r L r n dx x x x m dx x x x EI 0 2 0 ) ( ) ( ) ( ) ( ) ( ) (           L r n n L r n dx x x x m dx x x x EI 0 2 0 ) ( ) ( ) ( ) ( ) ( ) (        L r n r n dx x x x m 0 2 2 0 ) ( ) ( ) ( ) (     L r n dx x x x m 0 0 ) ( ) ( ) (         L r n dx x x EI x 0 0 ) ( ) ( ) (  Pre-multiplying by and integrating n   Similarly, one gets  Subtracting one equation from the other  Thus, orthogonality with respect to mass is obtained as  Similarly orthogonality with respect to stiffness can be derived as n r  Lecture 30-7
  • 410.
     Maximum potentialenergy of the system over a vibration cycle In which  Maximum kinetic energy is associated with maximum velocity  Equating 𝐸𝑘and 𝐸𝑠  This is known as rayleigh’s quotient for a system. Determination of Approximate Natural Frequency by Rayleigh’s Method Lecture 30-8 2 0 2 at maxdisp u u x       2 0 0 1 2 L s E EI u dx        2 2 0 0 2 L s z E EI x dx        2 2 2 0 0 2 L k z E m x dx             2 2 2 2 2 0 0 0 0 2 2 L L z z EI x dx m x dx                2 2 0 2 0 L L EI x dx m x dx       
  • 411.
  • 412.
  • 413.
  • 414.
  • 415.
  • 416.
  • 417.
     For continuumsystem, the responses are obtained mostly using normal mode theory; however; there are techniques to solve the continuum equation by direct integration of equation of motion  For the use of normal mode theory, u(x, t) is written as in which is the nth mode shape and is the nth generalized coordinates  Obeys the orthogonality condition, which was proved previously; orthogonality conditions are given by  Substituting for u(x, t) in the equation function ( ) n x  ( ) n x  0 ( ) ( ) 0 l n m m x x dx     n m for    ( ) ( ) 0 n m x EI x dx       n m for    1 1 ( ) ( ) ( ) ( , ) n n m n m n m x z EI x z t p x t             1 ( , ) ( ) ( ) n n n u x t x z t      Normal Mode Theory for Continuum System n z Lecture 31-1
  • 418.
    multiplying both sidesby and integrating over length l,  Using the orthogonality condition and introducing damping in which m    0 0 0 ( , ) L L L n m n n m n m z m dx z EI dx p x t dx               2 2 ( ) n n n n n n z z z p t        ...... 1 n   2 0 L n n m m dx          0 2 2 0 0 2 0 ; ; 2 ( ) ( , ) ( ) l n n n L n n n n n n n n L n n L n k EI dx k c c c dx m m x p x t dx p t m                   Lecture 31-2
  • 419.
     Thus, thecontinuum system is converted to n number of SDOF system like the discrete MDOF system; by considering truncated mode it is possible to solve m number of equation to find the response quantities of interest  Once a number of SDOF systems are obtained, the solution procedures for them remain the same as those of discrete MDOF systems  For continuum system, and are to be obtained for various boundary conditions; the standard cases have been discussed before Support Motion  When a continuum is subjected to support motion, the equation of motion takes the form similar to the discrete system  Consider the cases shown in figure below ) (   n ( ) n x  n  Lecture 31-3
  • 420.
     The equationof motion has been derived before  If the supports undergo different motions, then writing the equation of motion for continuum becomes difficult. The problem involves finding an equation for the elastic curve of the continuum when a unit support motion is given keeping the other supports locked  The solutions is difficult for the general case for obtaining a closed form solution; however, for certain cases, it may be possible  In such situation, the continuum may be converted to discrete lumped mass model and use the problem solution for multi support excitation  Whenever the response spectrum method of analysis is used for support excitation equivalent static load in each mode of vibration can be determined in the same way as that was done for discrete system  The equivalent static load in each mode is continuous over the structure, since mode shapes are continuous functions  The mean peak response can be determined using SRSS rule Lecture 31-4
  • 421.
     Responses otherthan the displacement is obtained either by direct method or by using response mode shape coefficient method  In the continuum approach, the rotations are not needed, unlike discrete approach, to obtain any response quantity of interest. The appropriate derivative of the displacement provides the response  For example, if bending moment at only section is required  A better approach to find the response is to use the following expression  The mode shape coefficient 𝜙ⅈ 𝑥 = 𝑙 for the response is obtained by solving the static problem with the distributed load 𝑚𝜔ⅈ 2 𝜙ⅈ 𝑥 2 2 ( ) u m t EI x    1 ( , ) ( ) ( ) m i i i R t x l z t x l       Lecture 31-5
  • 422.
    Mode Acceleration Method Like the discrete method, the mode acceleration method can be used to find more accurate responses using the limited number of modes  The relevant equation remains the same as that for the discrete method  𝑅 is the quasi-static response and 𝜙ⅈ denotes the mode shape co-efficient for the response  The quasi-static response is obtained by performing the static analysis of the continuum for the load 𝑝 𝑥, 𝑡  Note that, the quasi-static response of each type requires the derivatives of 𝑢 𝑥, 𝑡 . In many cases, these derivatives may have to be obtained by numerical method   2 2 1 1 1 ( 2 ) m m i i i i i i i i i i i i p t R R z z R Z m                       Lecture 31-6
  • 423.
  • 424.
  • 425.
  • 426.
  • 427.
  • 428.
  • 429.
  • 430.
  • 431.
  • 432.
  • 433.
  • 434.
  • 435.
  • 436.
  • 437.
  • 438.
  • 439.
    Introduction  It isa big subject and mainly deals with earthquake as a geological process  However, some portions of seismology are of great interest to earthquake engineers  They include causes of earthquake, earthquake waves, measurement of earthquake, effect of soil condition on earthquake, earthquake pre- diction and earthquake hazard analysis  Understanding of these topics help earthquake engineers in dealing seismic effects on structures in a better way  Further knowledge of seismology is helpful in describing earthquake inputs for structures where enough recorded data is not available Lecture 32-1
  • 440.
     Crust: 5-40km; M discontinuity; floating  Mantle: lithosphere (120 km); asthenosphere-plastic molten rock (200 km); bottom- homogenous; variation of v is less (1000 km - 2900 km)  Core: discovered by Wichert & Oldham; only P waves can pass through inner core (1290 km); very dense; nickel & iron; outer core (2200 km), same density; 25000 C; 4x106 atm;14 g/cm3 Interiors of earth 1 8 4   kms to Vp  Before earthquake is looked as a geological process, some knowledge about the structure of earth is in order In-side the earth  Lithosphere floats as a cluster of plates with different movements in different directions Fig 1.1 Lecture 32-2
  • 441.
    Plate tectonics  Atmid oceanic ridges, two continents which were joined together drifted apart due to flow of hot mantle upward  Flow takes place because of convective circulation of earth's mantle; energy comes from radioactivity inside the earth  Hot material cools as it comes up; additional crust is formed which moves outward; existing plates undergo thrust and are pushed apart creating gaps Convective currents  Concept of plate tectonics evolved from continental drift Fig 1.2 Lecture 32-3
  • 442.
     New crustsinks beneath sea surface; spreading continues until lithosphere reaches deep sea trenches where subduction takes place  Continental motions are associated with a variety of circulation patterns  As a result, motions take place through sliding of lithosphere; the lithosphere cannot move in one piece because of different temperature and velocity produced by different circulation pattern  Thus the lithosphere moves in pieces- called tectonic plates; the movement of the tectonic plates is of main concern to seismologist and earthquake engineers  There are seven such major tectonic plates and many smaller ones  They move in different directions at different speeds Lecture 32-4
  • 443.
  • 444.
     Three typesof Inter plate interactions exist giving three types of boundaries.  Tectonic plates pass each other at the transform faults. Types of inter plate boundaries Lecture 32-6
  • 445.
     Faults atthe plate boundaries are the likely locations for earthquakes; the earthquakes occurring at the plate boundaries (faults) are called inter plate earthquakes  Earthquakes occurring within the plate are caused due to mutual slip of rock bed releasing energy; this type of earthquake is called intra plate earthquake  Slip creates new faults, but faults are mainly the causes rather than results of earthquake  At the faults two different types of slippage are observed- Dip slip; Strike slip  In reality combination of the types of slipage is observed at the fault line Lecture 32-7
  • 446.
  • 447.
    Causes of Earthquake There are many theories to explain causes of earthquake  Out of them, tectonic theory of earthquake is popular  The tectonic theory stipulates that movements of tectonic plates relative to each other lead to accumulation of stresses at the plate boundaries & inside the plate  This accumulation of stresses finally results in inter plate or intra plate earthquakes  In inter- plate earthquake the existing fault lines are affected while in intra-plate earthquake new faults are created  The inter plate earthquake is caused due to disturbances at the fault lines, while intra plate earthquake is caused due to the stresses generated within the tectonic plate Lecture 32-9
  • 448.
     During earthquake,slip takes place at the fault; length over which slip takes place could be several kilometres; earthquake origin is a point that moves along the fault line  Elastic rebound theory, put forward by Reid, gives credence to earthquake caused by slip along faults  Large amplitude shearing displacement that took place over a large length along the San andreas fault led to elastic rebound theory  Modelling of earthquake based on elastic rebound theory is of two types:  Kinematic-time history of slip  Dynamic-shear crack and its growth Lecture 32-10
  • 449.
    Fault Line After earthquake Directionof motion Direction of motion Road Fault Line Before Straining Direction of motion Direction of motion Fault Line Strained (Before earthquake) Direction of motion Direction of motion Road Lecture 32-11
  • 450.
     An earthquakecaused by slip at the fault proceeds in the following way:  Owing to various slow tectonic activities, strains accumulate at the fault over a long time  Large field of strain reaches limiting value at some point of time  Slip occurs due to crushing of rock& masses; the strain is released, releasing vast energy equivalent to blasting of several atom bombs  Strained layers of rock masses bounces back to its unstrained condition  The strained layers become parallel to each other because of bouncing back (elastic action) of layers Lecture 32-12
  • 451.
    Fault Before slip Rebounddue to slip Push and pull force Double couple  Slip could be of any type- dip, strike or mixed giving rise to a push & pull forces acting at the fault; slip velocity at an active fault-10 to 100mm/year  This situation is equivalent to two pairs of coupled forces suddenly acting and thus, moving masses of rock leading to radial waves propagating in all directions. Lecture 32-13
  • 452.
     Propagating waveis complex& is responsible for creating displacement and acceleration of soil/rock particle in the ground  The majority of the waves travels through the rocks within the crust and then passes through the soil to the top surface  Other theory of tectonic earthquake stipulates that the earthquake occurs due to phase changes of rock mass, accompanied by volume changes in small volume of crust  Those who favour this theory argues that earthquakes do occur at greater depths where faults do not exist Lecture 32-14
  • 453.
  • 454.
    Seismic Waves  Largestrain energy released during propagation of waves in all directions within earth as elastic medium  These waves, called seismic waves, energy from one point to the other and finally carry it to the surface  Within earth, waves travel in almost homogenous elastic unbounded medium as body waves  On the surface, they move as surface waves  Reflection and refraction of waves take place near the surface at every layer; as a result waves modified  The modification of the wave near the surface and different boundaries within the earth creates complex nature of the waves; thus, at the surface the waves are of a mix of complex waves Lecture 33-1
  • 455.
     Body wavesare of two types- P and S waves; S waves are also called transverse waves  Waves propagation velocities are given by:  P waves arrive ahead of S waves at a point; time interval is given by:  Polarized transverse waves are polarization of particles either in vertical(SV) or in horizontal(SH) plane      1 1 1 2 1 2 1 / p / / s E ν ν ρ ν ν G E ν ρ ρ ν                            1 2 1 2 1 2 1 1 Δ p s p T ν ν           Lecture 33-2
  • 456.
     Apart fromP waves and S waves, there are PP, PS, SS, SP waves which are generated because of the reflection and refraction of the waves  Surface waves are of two types - L waves and R waves  L waves: particles move in horizontal plane perpendicular to the direction of wave propagation  R waves:- particles move in vertical plane; they trace a retrogate elliptical path; for oceanic waves water particles undergo similar elliptical motion in ellipsoid surface as waves pass by  L waves move faster than R waves on the surface (R wave velocity ~0.9 ) S V Lecture 33-3
  • 457.
    Body and Surfacewaves Lecture 33-4
  • 458.
     P andS waves change phases as PPP, PS, PPS etc. after reflection & refraction at the surface PS P S S SP P SS PP Reflection at the earth surface Lecture 33-5
  • 459.
    Records of SurfaceWaves  Strong earthquake waves recorded on the surface are irregular in nature P PP S SS L  They can generally be classified in four groups:  Practically Single Shock: near source; on firm ground; shallow earthquake  Moderately long irregular: moderate distance from source; on firm ground-El centro earthquake Typical strong motion record Fig 1.10 Lecture 33-6
  • 460.
     A longground motion with prevailing period: filtered ground motion through soft soil, medium- Loma Prieta earthquake  Ground motion involving large Scale ground Deformation: land slides, soil liquefaction- Chilean and Alaska earthquakes  Most ground motions are intermediate between those described before (mixed)  Amongst them, nearly white noise type earthquake records ( having a variety of frequency compositions are more frequent on firm ground); many earthquake records of nearly white noise type are idealized as white noise Lecture 33-7
  • 461.
    0.1 0.05 0.0 0.05 0.1 WEST EAST Acceleration (g) Time (sec) 0.5 1.01.5 2 (a) Acceleration Single Shock 1 0.0 1 WEST EAST Displacement (cm) Time (sec) 0.5 1.0 1.5 2 displacement Lecture 33-8
  • 462.
    0 5 1015 20 25 30 -0.4 -0.2 0 0.2 0.4 Time (sec) Acceleration (g) Acceleration Lec-2/15 Mixed frequency 0 5 10 15 20 25 30 -10 -5 0 5 10 15 Time (sec) Displacement (cm) Displacement Lecture 33-9
  • 463.
    0 1 23 4 5 6 7 8 -6 -4 -2 0 2 4 Time (sec) Displacement (cm) Displacement Time(sec) 0 2 4 6 8 10 12 14 16 18 -0.5 -0.4 -0.3 -0.2 -0.1 0 0.1 0.2 0.3 0.4 0.5 0.6 0.7 0.8 0.9 1 Acceleration (g) Acceleration Predominant frequency Lecture 33-10
  • 464.
     They referto quantities by which size & energy of earthquakes are described  There are many measurement parameters; some of them are directly measured; some are indirectly derived from the measured ones  There are many empirical relationships that are developed to relate one parameter to the other  Many of those empirical relationships and the parameters are used as inputs for seismic analysis of structures; so they are described along with the seismic inputs  These empirical relationships are used mostly as inputs in regions where enough earthquake data is available Earthquake Measurement Parameters Lecture 33-11
  • 465.
     Here, mainlytwo most important parameters, magnitude & intensity of earthquake are described along with some terminologies  Most of the damaging earthquakes have Epicentre Epicentral Distance Hypocentral Distance Focal Depth Focus/Hypocentre Site  Limited region of earth influenced by the focus is called focal region ; greater the size of earthquake, greater is the focal region  shallow focal depth <70 km;  depths of foci >70 km are intermediate/deep Earthquake definitions Lecture 33-12
  • 466.
     Force shocksare defined as those which occur before the main shock  After shocks are those which occur after the main shock  Magnitude of earthquake is a measure of energy released by the earthquake and has the following attributes:  is independent of place of observation  is a function of measured maximum displacements of ground at specified locations  first developed by Waditi & Richter in 1935  magnitude (M) scale is open ended  M > 8.5 is rare; M < 2.5 is not perceptible  there are many varieties of magnitude of earthquake depending upon waves and quantities being measured Lecture 33-13
  • 467.
     Local magnitude( ), originally proposed by Richter, is defined as log a (maximum amplitude in microns); Wood Anderson seismograph: R=100 km; magnification: 2800:  Since Wood Anderson seismograph is no more in use, coda length (T), defined as total signal duration, is used these days:  Body magnitude ( ) is proposed by Gutenberg & Richter because of limitations of instrument & distance problems associated with  It is obtained from compression P waves with periods in the range of 1s; first few cycles are used; L M p T = 0.8s : ξ = 0.8 2.48 2.7 L M log A log Δ    Lecture 33-14 L M a blogT   b M L M   b A M log Q h,Δ T        
  • 468.
     Occasionally, longperiod instruments are used for measuring waves of periods 5s-15s  Surface magnitude ( ) was again proposed by Gutenberg and Richter mainly for large epicentral distance  However, it may be used for any epicentral distance and any seismograph can be used.  Praga formulation is used with surface wave period of the order of 20s  A is amplitude of Rayleigh wave (20s); is in km; T is the time period in seconds s M 1.66 Δ 2.0 s A M log log T           Lecture 33-15
  • 469.
     Seismic momentmagnitude ( ) is a better measure of large size earthquake with the help of seismic moment A- area (m²) ; U- longitudinal displacement(m); G(3x10¹ºN/m²)  Seismic Moment ( ) is measured from seismographs using long period waves and describes strain energy released from the entire rupture surface w M o M GUA  o M  Kanamori designed a scale which relates to ; there exists a definite correspondence between , and other types of magnitude of earthquake w M o M Lecture 33-16 w M o M
  • 470.
    2 3 45 6 7 8 9 10 2 3 4 5 6 7 8 9 M s M JMA M B M L M b Moment Magnitude Mw Magnitude w 10 o 2 M = log M -6.0 3 Lecture 33-17
  • 471.
     Energy Release,E ( Joules ) is given by : M(7.3) ~ 50 megaton nuclear explosion M(7.2) releases 32 times more energy than M(6.2) M(8) releases 1000 times more energy than M(6)  Some Empirical formulae [L (km); D/U(m);A(km2)] s M E 15 8 . 4 10   w LogL w LogA w LogD M =(0.98logL)+5.65 M =(1.32logU)+4.27 LogL = 0.69M -3.22 (σ =0.22) LogA = 0.91M -3.49 (σ =0.24) LogD = 0.82M -5.46 (σ =0.42) Lecture 33-18
  • 472.
     Intensity isa subjective measure of earthquake; human feeling; effects on structures; damages  Many Intensity scales exist in different parts of the world; old ones:  Gastaldi Scale (1564)  Pignafaro Scale(1783)  Rossi- forel Scale(1883)  Mercalli – Cancani – Sieberg scale is still in use in western Europe  Modified Mercalli Scale (12 grade) is widely used now  There have been attempts to relate subjective intensity with the measured magnitude resulting in several empirical equations:  Other important earthquake measurement parameters are PGA, PGV, PGD Lecture 33-19 s max M =1.3+0.6I ;I=8.16+1.45M -2.46lnr ;I=1.44M + f(R)
  • 473.
    Intensity Evaluation Description Magnitude (RichterScale) I Insignificant Only detected by instruments 1 – 1.9 II Very Light Only felt by sensitive persons; oscillation of hanging objects 2 – 2.9 III Light Small vibratory motion 3 – 3.9 IV Moderate Felt inside building; noise produced by moving objects 4 – 4.9 V Slightly Strong Felt by most persons; some panic; minor damages VI Strong Damage to non-seismic resistance structures 5 – 5.9 VII Very Strong People running; some damages in seismic resistant structures and serious damage to un- reinforced masonry structures VIII Destructive Serious damage to structures in general IX Ruinous Serious damage to well built structures; almost total destruction of non-seismic resistant structures 6 – 6.9 X Disastrous Only seismic resistant structures remain standing 7 – 7.9 XI Disastrous in Extreme General panic; almost total destruction; the ground cracks and opens XII Catastrophic Total destruction 8 – 8.9 Lecture 33-20
  • 474.
  • 475.
    Seismic Hazard Analysis It is a quantitative estimation of most possible ground shaking at a site  The estimate can be made using deterministic or probabilistic approaches; they require some/all of the following:  Knowledge of earthquake sources, fault activity, fault rupture length  Past earthquake data giving the relationship between rupture length & magnitude  Historical & Instrumentally recorded ground motion  Possible ground shaking may be represented by PGA, PGV, PGD or response spectrum ordinates Lecture 34-1
  • 476.
     Deterministic HazardAnalysis (DSHA):  A simple procedure to compute ground motion to be used for safe design of speciality structures  Restricted only when sufficient data is not available to carry out PSHA  It is conservative and does not provide likely hood of failure  It can be used for deterministic design of structures  It is quiet often used for microzonation of large cities for seismic disaster mitigation Lecture 34-2
  • 477.
    lnPGA(gals)=6.74+0.859m-1.80ln(r + 25) It consists of following 5 steps:  Identification sources including their geometry.  Evaluation shortest epicentral distance / hypo central distance  Identification of maximum likely magnitude at each source  Selection of the predictive relationship valid for the region  One of the widely used predictive relationship is that given by Cornell Lecture 34-3
  • 478.
     Example Maximum magnitudesfor sources 1, 2 and 3 are 7.5, 6.8 and 5 respectively. (-50, 75) Source 1 (-15, -30) (-10, 78) (30, 52) (0, 0) Source 3 Source 2 Site Sources of earthquake near the site Source m r(km) PGA 1 7.5 23.70 0.490 g 2 6.8 60.04 0.10 g 3 5.0 78.63 0.015 g Hazard level is 0.49g for the site Lecture 34-4
  • 479.
     Probabilistic seismichazard analysis (PSHA)  It predicts the probability of occurrence of a certain level of ground shaking at a site by considering uncertainties of:  Size of earthquake  Location  Rate of occurrence of earthquake  Predictive relationship  PSHA is carried out in 4 steps  Step 1 consists of following:  Identification & characterization of source probabilistically  Assumes uniform distribution of point of earthquake in the source zone  Computation of distribution of r considering all points of earthquake as potential source Lecture 34-5
  • 480.
     2 stepconsists of following:  Determination of the average rate at which an earthquake of a particular size will be exceeded using G-R recurrence law  Using the above recurrence law & specifying maximum & minimum values of M, following pdf of M can be derived (ref. book) a-bm m λ =10 =exp(α - βm) Lecture 34-6 0 M max 0 βexp[-β(m - m )] f (m)= 1- exp[-β(m - m )]
  • 481.
     3rd stepconsists of the following:  A predictive relationship is used to obtain seismic parameter of interest (say PGA) for given values of m , r  Uncertainty of the relationship is considered by assuming PGA to be log normally distributed; the relationship provides the mean value; a standard deviation is specified 4th step consists of the following:  Combines uncertainties of location, size & predictive relationship by  A seismic hazard curve is plotted as (say is PGA ) Lecture 34-7 NS y i Mi Ri i=1 λ = γ P[Y > y|m,r] f (m)f (r)dmdr   y vs y  y
  • 482.
     By includingtemporal uncertainty of earthquake (uncertainty of time) in PSHA & assuming it to be a Poisson process, probability of exceedance of the value of , of the seismic parameter in T years is given by (ref. book) y [ ] 1 y T t P y y e      Lecture 34-8 Example: For the site shown in Fig 1.20, show a typical calculation for PSHA (use Equation 1.22 with σ = 0.57) Source Recurrence Law Mo Mv Source 1 4 7.7 Source 2 4 5 Source 3 4 7.3 m m  4 log  m m 2 . 1 51 . 4 log    m m 8 . 0 3 log    (-50,75) Source 1 (-15,-30) (0,0) Source 3 Source 2 Site (5,80) (25,75) (125,75) (125,15) (25,15)
  • 483.
    Solution: Location Uncertainty  1stsource Line is divided in 1000 segments  2nd source Area is divided in 2500 parts (2x 1.2) min min 90.12 23.72( interval( ) 10) r km r divide n    ) 10 ( 32 . 30 98 . 145 min max    n r km r Lecture 34-9
  • 484.
     3rd source:min max r r r   0.0 0.4 27.04 33.68 40.32 49.96 53.60 60.24 66.88 73.52 80.16 86.80 P[R=r] Epicentral distance, r (km) 0.0 0.2 36.10 47.67 59.24 70.81 82.38 93.95 105.52 117.09 128.66 140.23 P[R=r] Epicentral distance, r (km) 0.0 10 20 30 40 50 60 70 80 90 100 P[R=r] Epicentral distance, r (km) 1.0 Lecture 34-10
  • 485.
    Size Uncertainty : 631 . 0 10 501 . 0 10 1 10 4 8 . 0 3 3 4 2 . 1 5 . 4 2 4 1 4 1                min maxM and M m M m m P[m m m ] f ( m )dm m m f ( m m )              2 1 2 1 1 2 2 1 2 For each source zone For source zone 1, are divided in 10 divisions. Lecture 34-11
  • 486.
     Histogram ofM for each source zone are shown 0.0 0.8 Magnitude, m 0.7 0.5 0.4 0.3 0.2 0.1 0.6 P[R=r] 4.8 3 7.14 4.17 4.50 5.16 5.49 5.82 6.15 6.48 6. 81 0.0 0.8 4.05 4.15 4.25 4.35 4.45 4.55 4.65 4.75 4.85 4.95 Magnitude, m 0.7 0.6 0.5 0.4 0.3 0.2 0.1 P[R=r] 0.0 0.8 Magnitude, m 0.7 0.5 0.4 0.3 0.2 0.1 0.6 P[R=r] 4.8 3 7.14 4.17 4.50 5.16 5.49 5.82 6.15 6.48 6.81 Lecture 34-12
  • 487.
     Say, Probabilityof exceedance of 0.01g is desired for m = 4.19, r = 27.04 km for source zone1 The above probability is given as   951 . 0 ) ( 1 65 . 1 ) ( 1 04 . 27 , 19 . 4 | 01 . 0          Z F z Z F r m g PGA P z z       176 . 0 04 . 27 19 . 4 04 . 27 , 19 . 4 | 01 . 0 04 . 27 & 19 . 4 1 01 . 0 01 . 0          r P m P r m g PGA P is r m for g g        336 . 0 04 . 27 551 . 0 19 . 4     r P m P Lecture 34-13
  • 488.
     For differentlevels of PGA, similar values of can be obtained  Plot of vs. PGA gives the seismic hazards curve  The seismic hazard curve shows the annual probability of certain level of PGA against the PGA value  Using the seismic hazard curve the seismic hazard assessment meant of a region is estimated and it forms a key information on the seismic hazard mitigation for the region  This curve is widely used for seismic micro zonation of a city which is prone to earthquake hazard λ  for other 99 combinations of m & r can obtained & summed up; for source zones 2 & 3, similar exercise can be done; finally, 0.01g λ 3 01 . 0 2 01 . 0 1 01 . 0 01 . 0 | | | sour g sour g sour g g        Lecture 34-14 λ
  • 489.
    Example: The seismic hazardcurve for a region shows that the annual rate of exceedance of an acceleration 0.25g due to earthquakes (event) is 0.02.What is the prob. that exactly one one such event and at least one such event will take place in 30 years? Also, find that has a 10% prob. of exceedance in 50 yrs. Solution: Equation 1.28c (book) can be written as % 2 . 45 1 ) 1 ( ) ( % 33 30 02 . 0 ) 1 ( ) ( 30 02 . 0 30 02 . 0               e N P ii e te N P i t       0021 . 0 50 1 . 0 1 ln ) 1 ( 1 ln       t N P   Lecture 34-16
  • 490.
     Micro zonationis delineation of a region of a big city into different parts with respect to seismic hazard potential  Various Parameters indicating hazard potential are used to micro-zone the area like, local soil characteristics, earthquake source properties, epicentral distance, topography, population density, type of Construction etc  With respect to each parameter, a map may be prepared  They are then combined ( by giving weightages to each parameter ) to arrive at a hazard index  In seismic micro zonation the hazard index is taken as either ground amplification factor or the free field PGA level Micro-zonation Using Hazard Analysis Lecture 34-17
  • 491.
     Although eachparameter has its importance, soil amplification, earthquake source properties, epicentral distance are considered very important parameters to denote seismic risk or hazard of a region  Thus, DSHA/ PSHA combined with soil amplification are quite often used to prepare a microzonation map. The steps include:  Divide the region into a number of grids considering variation of soil properties  At the centre of the site of each grid find PGA either by DSHA/ PSHA (giving prob. exceed)  For each site find PGA amplification by 1D, 2D or 3D wave propagation analysis Lecture 34-18
  • 492.
     Multiply PGAsobtained from DSHA/ PSHA to obtain free field PGAs  With these PGAs, a microzonation map is prepared 0.35 g 0.1 g 0.25 g 0.4 g Deterministic Microzonation Probability of exceedance = 0.1 0.15 g 0.4 g 0.25 g 0.2 g 0.1 g 0.3 g Probabilistic Microzonation Lecture 34-19
  • 493.
  • 494.
    Seismic inputs  Variousforms of Seismic inputs are used for earthquake analysis of structures  The the form in which the input is provided depends upon the type of analysis at hand  In addition, some earthquake parameters such as magnitude, PGA, duration, predominant frequency etc. may be required  The input data may be provided in time domain or in frequency domain or in both  Further,the input data may be required in deterministic or in probabilistic form  Predictive relationships for different earthquake parameters are also required in seismic risk analysis Lecture 35-1
  • 495.
    Time history records The most common way to describe ground motion is by way of time history records  The records may be for displacement, velocity and acceleration; acceleration is generally directly measured; others are derived quantities  Raw measured data is not used as inputs; data processing is needed. It includes  Removal of noises by filters  Baseline correction  Removal of instrumental error  Conversion from A to D  At any measuring station, ground motions are recorded in 3 orthogonal directions; one is vertical Lecture 35-2
  • 496.
     They canbe transformed to principal directions; major direction is the direction of wave propagation; the other two are accordingly defined.  Stochastically, ground motions in principal directions are uncorrelated. (a) major (horizontal) Major (horizontal) 0 5 10 15 20 25 30 35 40 -0.4 -0.3 -0.2 -0.1 0 0.1 0.2 0.3 Acceleration (g) Time (sec) Lecture 35-3
  • 497.
    0 5 1015 20 25 30 35 40 -0.3 -0.2 -0.1 0 0.1 0.2 Time (sec) Acceleration (g) Minor (horizontal) 0 5 10 15 20 25 30 35 40 -0.3 -0.2 -0.1 0 0.1 0.2 Time (sec) A c c e l e r a t I o n (g ) Minor (vertical) Lecture 35-4
  • 498.
     Because ofthe complex phenomena involved in the generation of ground motion, trains of ground motion recorded at different stations vary spatially  For homogeneous field of ground motion, rms / peak values remain the same at two stations but there is a time lag between the two records  For nonhomogeneous field, both time lag & difference in rms exist  Because of the spatial variation of ground motion, both rotational and torsional components of ground motions are generated     du dv t dy dx dw t dx      Lecture 35-5
  • 499.
     In addition,an angle of incidence of ground motion may also be defined for the time history record Major direction x y  =Angle of incidence Lecture 35-6
  • 500.
    Frequency Contents ofTime History  Fourier synthesis of time history record provides frequency contents of ground motion  It provides useful information about the ground motion also & forms the input for frequency domain analysis of structure  Fourier series expansion of x(t) can be given as a 0 n n n n n=1 T / 2 0 -T / 2 T / 2 n n -T / 2 T / 2 n n -T / 2 n x(t ) = a + a cosω t + b sinω t 1 a = x(t )dt T 2 a = x(t )dt cosω t dt T 2 b = x(t )dt sinω t dt T ω = 2πn / T     Lecture 35-7
  • 501.
     The amplitudeof the harmonic at is given by 2 2 T / 2 T / 2 2 2 2 n n n n n -T / 2 -T / 2 2 2 A = a + b = x(t ) cosω tdt + x(t ) sinω tdt T T               n ω  Above equation can also be represented in the form α 0 n n n n=1 n n -1 n n n x(t ) = c + c sin(ω t + ) c = A b = tan a          Lecture 35-8
  • 502.
     Plot ofcn with is called Fourier Amplitude Spectrum  The integration can be efficiently performed by FFT algorithm which treats fourier synthesis problem as a pair of fourier integrals in complex domain  Standard input for FFT is N sampled ordinates of time history at an interval of ∆t  Output is N complex numbers; first N/2+1 complex quantities provide frequency contents of time history other half is complex conjugate of the first half n  α -iω t -α α iω t -α 1 x(iω ) = x(t ) e dt 2π x(t ) = x(iω) e dω   Lecture 35-9
  • 503.
    is called NyquestFrequency  Fourier amplitude spectrum provides a good understanding of the characteristics of ground motion. Spectrums are shown in the following Figure  For under standing general nature of spectra, like those shown in Figure, spectra of ground accelerations of many earthquakes are averaged & smoothed for a particular site j n 2πj ω = T ω = Nπ / T   1/ 2 2 2 j j j j -1 j j N A = a + b j = 0,....., 2 b = tan a          Lecture 35-10
  • 504.
    0 2 46 8 10 12 14 16 18 20 0 0.2 0.4 0.6 0.8 1 1.2 frequency (rad/sec) Fourier amplitude (g-sec) 1.4 Narrow band 0 20 40 60 80 100 120 140 160 0 1 2 3 4 5 6x 10 -3 Frequency (rad/sec) Ordinate Fourier amplitude (g-sec) Broad band Lecture 35-11
  • 505.
     The resultingspectrum plotted on log scale shows:  Amplitudes tend to be largest at an intermediate range of frequency  Bounding frequencies are fc and fmax  fc is inversely proportional to duration  For frequency domain analysis, frequency contents given by FFT provide a better input Frequency (log scale) fc fmax Ordinate Fourier amplitude (log scale) Lecture 35-12
  • 506.
    Example: 32 sampledvalues at ∆t = 0.02s are given as input to FFT as shown in Fig 2.5 YY = 1/16 fft(y,32) n nπ ω = = 157.07 rad / s T 2π dω = = 9.81 rad / s T 0 0.1 0.2 0.3 0.4 0.5 0.6 0.7 -0.03 -0.02 -0.01 0 0.01 0.02 0.03 0.04 Time (sec) Ground Acceleration (g) Lecture 35-13
  • 507.
    0 20 4060 80 100 120 140 160 180 200 220 240 260 280 300 -0.2 -0.1 0 0.1 0.2 0.3 Frequnecy (rad/sec) Real part A Real part 0 20 40 60 80 100 120 140 160 180 200 220 240 260 280 300 -0.2 -0.15 -0.1 -0.05 0 0.05 0.1 0.15 Frequency (rad/sec) Imaginary part A Imaginary part Lecture 35-14
  • 508.
    2 2 1/2 i i i -1 i i i n i A = (a + b ) i = 0....N / 2 b j = tan ω = (0..dw...w ) a  Fourier amplitude spectrum is Ai Vs plot & phase spectrum is Φi Vs plot as shown in figure below i  i  Amplitude spectrum 0 20 40 60 80 100 120 140 160 0 0.005 0.01 0.015 0.02 Frequency (rad/sec) Fourier amplitude (g-sec) Phase spectrum 0 20 40 60 80 100 120 140 160 -1.5 -1 -0.5 0 0.5 1 1.5 Frequency (rad/sec) Phase (rad) Lecture 35-15
  • 509.
    Power Spectral DensityFunction  Power spectral density function (PSDF) of ground motion is a popular seismic input for probabilistic seismic analysis of structures  It is defined as the distribution of the expected mean square value of the ground motion with frequency  Expected value is a common way of describing probabilistically a ground motion parameter & is connected to a stochastic process  The characteristics of a stochastic process is described later in chapter 4; one type of stochastic process is called ergodic process  For an ergodic process, a single time history of the ensemble represents the ensemble characteristics; ensemble r.m.s is equal to that of the time history Lecture 35-16
  • 510.
     If futureearthquake is assumed as an ergodic process, then PSDF of future ground motion ( say acceleration) may be derived using the concept of fourier synthesis  Meansquare value of an acceleration time history a(t) using Parsaval’s theorem  PSDF of a(t) is defined as  Hence, N / 2 2 n 0 1 λ = c 2  n ω N / 2 n n=0 0 λ = S(ω )dω = g (ω )   2 n c S(ω ) = & g(ω ) = S(ω )dω 2dω Lecture 35-17
  • 511.
  • 512.
     Response spectrumof earthquake is the most favored seismic input for earthquake engineers  There are a number of response spectra used to define ground motion; displacement, pseudo velocity, absolute acceleration & energy  The spectra show the frequency contents of ground motion but not directly as Fourier spectrum does  Displacement spectrum forms the basis for deriving other spectra  It is defined as the plot of maximum displacement of an SDOF system to a particular earthquake as a function of 𝜔𝑛 & ξ  Relative displacement of an SDOF for a given is given by (3rd chapter): Response spectrum g x( t) Lecture 36-1
  • 513.
     At themaximum value of displacement, KE = 0 & hence,  If this energy were expressed as KE, then an equivalent velocity of the system would be n n t -ξω (t-τ) g d n 0 v m d n t -ξω (t-τ) v g d 0 max 1 x(t ) = - x (τ )e sinω (t - τ )dτ ω S x = S = ω S = x (τ )e sinω (t - τ )dτ         2 d 1 E= k S 2 2 2 eq d eq n d 1 1 mx = k S 2 2 x = ω S Lecture 36-2
  • 514.
     Thus, xeq= Sv; this velocity is called pseudo velocity & is different from the actual maximum velocity  Plots of Sd & Sv over the full range of frequency & a damping ratio are displacement & pseudo velocity response spectrums  A closely related spectrum called pseudo acceleration spectrum (specral acceleration) is defined as:  Maximum force developed in the spring of the SDOF is  Thus, spectral acceleration multiplied by the mass provides the maximum spring force 2 a n d S = ω S   2 s d n d a max f = k S = mω S = mS Lecture 36-3
  • 515.
     This observationshows importance of the spectral acceleration  While displacement response spectrum is the plot of maximum displacement, plots of pseudo velocity and acceleration are not so  These three response spectra provide directly some physically meaningful quantities:  Displacement – Maximum deformation  Pseudo velocity – Peak SE  Pseudo acceleration – Peak force  Energy response spectrum is the plot of against a full range of frequency for a specified damping ratio; it shows the energy cotents of the ground motion at different frequencies max 2E(t ) m Lecture 36-4
  • 516.
     At anyinstant of time t, it may be shown that  For ξ = 0, it may further easily be shown that  Comparing Equations for Fourier spectrum and the energy spectrum, it is seen that both have similar forms  Fourier amplitude spectrum may be viewed as a measure of the total energy at the end (t = T) of an undamped SDOF  Whereas the energy spectrum provides the energy at any instant of time t of the SDOF           1 2 2 2 n 2E(t) = x(t) + (ω x(t)) m                               1 2 2 2 t t g n g d 0 0 2E(t) = x (τ) cosω τ dτ + x (τ) sinω τ dτ m Lecture 36-5
  • 517.
    Example: Draw thespectrums for El Centro acceleration for ξ = 0.05 Solution: Using equations for different spectrums the energy spectrum, Fourier spectrum and accelaration spectrum are drawn and shown in the following figures Tp(Energy) = 0.55 s Tp(Fourier) = 0.58 s Tp(Acceleration) = 0.51s 0 0.5 1 1.5 2 2.5 3 0 0.8 1.6 2.4 3.2 4 Time period (sec) Energy spectrum (g-sec) Lecture 36-6
  • 518.
    0 20 4060 80 100 120 140 160 0 0.005 0.01 0.015 0.02 Frequency (rad/sec) Fourier amplitude (g-sec) 0 0.5 1 1.5 2 2.5 3 3.5 4 0 0.2 0.4 0.6 0.8 1 Time period (Sec) Acceleration response spectrum (g) Lecture 36-7
  • 519.
    D-V-A Spectrum  Allthree response spectra are useful in defining the design response spectrum discussed later  A combined plot of the three spectra is thus desirable & can be constructed because of the relationship that exists between them  Some limiting conditions should be realised as T → 0 & T→ α  The following conditions (physical) help in plotting the spectrum d v n a v n logS = logS - logω logS = logS + logω d gmax T a gmax T 0 lim S =u limS =u →∞ → Lecture 36-8
  • 520.
     The responsespectrum of El Centro earthquake is idealised by a series of straight lines  Straight lines below a & between points b & c are parallel to Sd axis  Those below f & between d & e are parallel to Sa axis  Below ’a’ shows constant ; below ‘f’ shows constant  Between b & c constant ; between d & e constant  Left of ‘c’ is directly related to maximum acceleration; right of d is directly related to maximum displacement  Intermediate portion cd is directly related to maximum velocity of ground motion & most sensitive to damping ratio a g S = u d g S = u a a gmax S = α u d d gmax S = α u Lecture 36-9
  • 521.
  • 522.
  • 523.
     Response spectrumof many earthquakes show similar trend when idealised  This observation led to the construction of design response spectrum using straight lines which is of greater importance than response spectrum of an earthquake Example : Draw the RSP for Park field earthquake for & compare it with El Centro earthquake Solution: Using appropriate equations, the spectra are obtained and drawn in tripartite plot; it is idealized by straight lines; the figure shows Parkfields & El Centro RSPs. Comparison of Ta to Tf between the two is shown % 5   Lecture 36-12
  • 524.
    Table : Comparisonof periods between Parkfield and El Centro earthquakes (s) (s) (s) (s) (s) (s) Park field 0.041 0.134 0.436 4.120 12.0 32.0 El Centro 0.030 0.125 0.349 3.135 10.0 33.0 Lecture 36-13
  • 525.
  • 526.
     Design responsespectrum should satisfy some requirements since it is intended to be used for safe design of structures (book-2.5.4)  Spectrum should be as smooth as possible  Design spectrum should be representative of spectra of past ground motions  Two response spectra should be considered to cater to variations & design philosophy  It should be normalized with respect to PGA  Construction of Design Spectrum  Expected PGA values for design & maximum probable earthquakes are derived for the region  Peak values of ground velocity & displacement are obtained as: Design RSP Lecture 37-1
  • 527.
    c1 = 1.22to 0.92 m/s c2 = 6  Plot baseline in four way log paper  Obtain bc, de & cd by using  c & d points are fixed; so Tc is known  Tb ≈ Tc/4 ; Ta≈ Tc/10; Te≈10 to 15 s; Tf≈ 30 to 35 s  Take from ref(4) given in the book  Sa/g may be plotted in ordinary paper 2 gmax gmax gmax 1 gmax 2 gmax u u u = c ; u = c g u a gmax d gmax v gmax α u ;α u ;α u a d v α , α & α Lecture 37-2
  • 528.
    0.01 0.02 0.050.1 0.2 0.3 0.5 0.7 1 2 3 4 5 6 7 10 20 30 50 70 100 0.001 0.002 0.003 0.004 0.005 0.007 0.01 0.02 0.03 0.04 0.05 0.07 0.1 0.2 0.3 0.4 0.5 0.7 1 2 3 4 5 7 10 a T b T c T d T e T f T D i s p . ( m ) Pseudo velocity(m/sec) 2 A cc.(m /sec ) m v g u  m g u m D g u  m g u m A g u  m g u Peak groundacceleration, velocityanddisplacement Elastic design spectra Time period (sec) Lecture 37-3
  • 529.
    0 0.5 11.5 2 2.5 3 3.5 4 0 0.5 1 1.5 2 2.5 3 Time period (sec) Sa/g Hard soil Medium soil Soft soil Time Period (sec) Pseudo-acceleration (g) Design spectrum for site Medium-sized earthquake at small epicentral distance Large size earthquake at large epicentral distance Lecture 37-4
  • 530.
    Example: Construct designspectra for the 50th and 84.1 percentile in the Tripartite plot. Solution: Ta = 1/33s; Tb = 1/8s; Te = 10s; Tf = 33s αA, = 2.17(2.71) ; αV = 1.65(2.30) αD =1.39(2.01) For 5 % damping; Values within the bracket are for the 84.1 percentile spectrum. Plots are shown in the figure -1 g g 2 g 1.22 u = u = 0.732 ms g (0.732) u = = 0.546m 0.6g g u = 0.6g Lecture 37-5
  • 531.
  • 532.
     Design Earthquake;many different descriptions of the level of severity of ground motions are available  MCE – Largest earthquake from a source  SSE – Used for NP design  Other terms denoting similar levels of earthquake are, credible, safety level maximum etc & are upper limits for two level concept  Lower level is called as OBE; other terminologies are operating level, probable design and strength level  OBE ≈ ½ SSE Lecture 37-7
  • 533.
     Site specificspectra are exclusively used for the design of structures for the site  It is constructed using recorded earthquake data in & around the site  If needed, earthquake data is augmented by earthquake records of similar geological & geographical regions  Earthquake records are scaled for uniformity & then modified for local soil condition  Averaged & smoothed response spectra obtained from the records are used as site specific spectra.( book – 2.5.7.1 & Example 2.6)  The effect of appropriate soil condition may have to be incorporated by de-convolution and convolution as shown in following figure Site specific spectra Lecture 37-8
  • 534.
    Rock outcroping motion C C Soilprofile at site of interest convolution E Surface motion at site of interest Surface motion Deconvolution Given soil profile B bedrock motion A D Bedrock motion same as point B Lecture 37-9
  • 535.
     Statiscal analysisof available spectrum is performed to find distributions of PGA & spectral ordinate at each period  From these distributions, values of spectral ordinates with specified probability of exceedance are used to construct the uniform hazard spectra  Alternatively, seismic hazard analysis is carried out with spectral ordinate (at each period for a given ξ) as parameter (not PGA)  From these hazard curves, uniform hazard spectrum for a given probability of exceedance can be constructed. An example problem is solved in the book in order to illustrate the concept. These curves are used for probabilistic design of structures (book - Example 2.7) Uniform hazard spectra Lecture 37-10
  • 536.
     For manycases, response spectrum or PSDF compatible time history records are required as inputs for analysis  One such case is nonlinear analysis of structures for future earthquakes  Response spectrum compatible ground motion is generated by iteration to match a specified spectrum; iteration starts by generating a set of Gaussian random numbers  Many standard programs are now available to obtain response spectrum compatible time histories; brief steps are given in the book (2.6.1)  Generation of time history for a given PSDF essentially follows Monte Carlo simulation Synthetic accelerograms Lecture 37-11
  • 537.
     By consideringthe time history as a summation of sinusoids having random phase differences, the time history is generated  Relationship between discussed before is used to find amplitudes of the sinusoids (book – 2.6.2)  Random phase angle uniformly distributed between is used to find  Generation of partially correlated ground motions at several points having the same PSDF is somewhat involved & is given in ref(6) n c & S dω 0 -2π i  i i i i a(t ) = Asin(ωt + )   Lecture 37-12
  • 538.
     Many seismicinput parameters & ground motion parameters are directly available from recorded data; many are obtained using empirical relationships  These empirical relationships are not only used for predicting future earthquake parameters but also are extensively used where scanty data are available  Predictive relationships generally express the seismic parameters as a function of M, R, Si ( or any other parameter)  They are developed based on certain considerations Prediction of Seismic Input Parameters   i Y = f M, R, S  The parameters are approximately log normally distributed Lecture 37-13
  • 539.
     Decrease inwave amplitude with distance bears an inverse relationship  Energy absorption due to material damping causes amplitudes to decrease exponentially  Effective epicentral distance is greater than R  The mean value of the parameter is obtained from the predictive relationship; a standard deviation is specified  Probability of exceedance is given by: p is defined by     1 P Y Y = 1 - F p ≥   1 lnY lnY - lnY p = σ Lecture 37-14
  • 540.
  • 541.
    Seismic Design Requirement Amember of structural system is designed for a code specified load combinations For member to resist seismic force effectively four basic elements are required; these four elements of design are incorporated by suitable choice of the geometry and material property of the member The four elements are stiffness 𝑃𝑖 𝛿𝑖 , the yield strength 𝑃𝑦 ; Capacity 𝑃𝒖 and Ductility 𝜇 Lecture 38-1
  • 542.
    The figure revealsa few characteristics of the designed member, member remains elastic till 𝑃𝑦, thereafter it undergoes inelastic excursion In the first segment, the force increases with increase in displacement; in the second, the force marginally decreases with the increase in displacement The latter segment shows the material deforms sufficiently under nearly constant load before failure takes place; this is typical of ductile material The structural element should have adequate ductility to ensure the condition of life safety This ductility is the crucial element of earthquake resistant design; the element should not collapse immediately the yield limit is reached Lecture 38-2
  • 543.
    The stiffness ofthe element provides resistance to seismic force during elastic excursion; the yield strength denotes adequate strength to yield Yield strength and capacity of the element should be such that the deformations in the elastic state is controlled and the yielding takes place at higher load; the element fails at the desired load Ductility should be as high as possible For R. C. members, the geometry of the member determines the stiffness, grade and area of steel and grade of concrete determine the yield strength and capacity The ductility is introduced by suitable quantity of steel and reinforcement detailing at the joint Lecture 38-3
  • 544.
    Determination of MemberEnd Force Member end forces are determined by performing on equivalent static analysis of the structure for earthquake forces In the seismic design codes, two equivalent static analysis are prescribed ; seismic coefficient method and response spectrum method The equivalent static analysis is recommended because the static analysis is performed for other forces and for load combinations to be possible The basis of response spectrum analysis is explained in lecture slide 29. (Lecture 28 in the lecture note) Appropriate modal combination rule is applied to obtain the design of member end forces Note that the code provides the formulation for planar analysis Lecture 38-4
  • 545.
    For the 3Dbuilding, the lateral load analysis is performed separately in the two directions assuming the building to be rigid in torsion In the analysis, the slabs are assumed to behave as a rigid diaphragm inducing equal sway displacements to all frames undergoing sway; thus, making a planar analysis valid Mode shapes and frequencies in the two directions are determined separately; two sets of lateral forces are determined Maximum absolute member end forces are determined separately for the two directions For torsion, the 3D building is analyzed for actual and accidental eccentricity and the story shears in both directions Maximum member end forces are determined after combining the torsional effect Lecture 38-5
  • 546.
    Seismic Coefficient Method Thecodes prescribe three methods of analysis for earthquake resistant design of building Response spectrum method of analysis Response time history analysis and Seismic coefficient method  Seismic coefficient method obtains a set of equivalent lateral forces for earthquake using some empirical formulae, which have some basis of dynamics  The method first computes base shear of the building by multiplying the total weight by a seismic coefficient b h V W C   Lecture 38-6
  • 547.
     The lateralload acting along the height is distributed such that the sum of the loads is equal to base shear  The lateral load along the height may be distributed in different ways to obtain the same base shear  In order to make the distribution to be consistent with the vibration in a particular mode, the lateral load is distributed according to the mode shape  Since fundamental mode of vibration is widely used in earthquake engineering, the shape of the fundamental mode has been preferred for the distribution of the lateral load.  Static analysis of the structure is performed for the lateral load along the height to obtain the response ( ) i b i F V f h   Lecture 38-7
  • 548.
     Different codeshave different provisions for the value of seismic coefficient Ch and the distribution of lateral load along the height of the structure  Further, the time period (T) of the building is computed using some empirical formulae  Variation of the Ch with T follows a shape close to the design response spectrum prescribed in the codes  Although the code specified formulae appear to be empirical, an approximate relationship can be shown to exist between the empirical relationship and earthquake dynamic analysis  The approximate relationship follows the basis of response spectrum analysis Lecture 38-8
  • 549.
    According to theresponse spectrum method, the lateral force Fj for the jth floor for first mode of vibration is given by From the above equation, it is possible to write Since, 𝐹𝑗 = 𝑉𝑏, Fj may be written as If the fundamental mode shape is assumed to be linear then the following expression may be obtained 1 1 1 a j j j S F W g       1 1 j j j j j j F W F W        1 1 j j j b j j W F V W        Lecture 38-9 j j j b j j W h F V W h    
  • 550.
    If the fundamentalmode shape is assumed to be linear, the above equation simplifies to In which ℎ𝑗 is the height of the floor Although fundamental mode shape is not linear, the above equation may be modified to take nonlinearity into account. In which k > 1. For k=2, the fundamental mode shape varies quadratically along the height; some codes use a combination of both linear and nonlinear Seismic coefficient method uses the contribution of the first mode j j j b j j W h F V W h     k j j j b k j j W h F V W h     Lecture 38-10
  • 551.
    Computation of TimePeriod The fundamental time period of the building is computed by empirical formula These formulae have been derived by experimental and practical observations Generally these formulae are valid for regular symmetric building Some codes recommend the use of fundamental time period obtained by the solution of eigen value problem for highly irregular building Codes like IBC, NBC allow calculation of fundamental time period by using a formula almost similar to that used for obtaining approximate fundamental time period by Rayleigh’s method Computation of highly irregular 3D building by using empirical formulae is generally avoided Lecture 38-11
  • 552.
    Computation of BaseShear According to the response spectrum method of analysis, the base shear in the i th mode is given by Since 𝑊ⅈ 𝑒 = 𝜆ⅈ𝛴𝑊 𝑗 × 𝜙𝑗ⅈ, is the effective weight of the building in the ith mode, Vbi may be written as Instead of using SRSS rule, if the absolute sum of response is used to find an upper bound for Vb ( ) i i a b ji j ji i S V F W g          i i a e b i S V W g    i b b V V   i a e i S W g     1to i n  Lecture 38-12
  • 553.
    If it isassumed that 𝑆𝑎i 𝑔 for all modes are the same and is equal to 𝑆𝑎1 𝑔 , then an upper bound estimate of the base shear, is given as  The base shear computed by the seismic coefficient method uses similar formula with 𝑠𝑎1 𝑔 replaced by Ch  Thus the seismic coefficient method provides a conservative estimate of base shear because of two reasons  Use of ABSSUM method of response calculation  Full mass of the structure is considered along with maximum value of 𝑠𝑎 𝑔 1 a b S V W g   Lecture 38-13
  • 554.
  • 555.
    Ductility and StrengthReduction Factor Ductility can be mathematically expressed as In which uy and um are the yield and maximum displacements The structure undergoes inelastic excursion during oscillation requiring the ductile behavior A relationship between the strength reduction factor and ductility is an important factor that helps in designing structure by considering ductility The relationship between the two is established by considering two SDOFs, one elastic and the other elastoplastic as shown below A designer can approximately reduce the strength of the member designed elastically to achieve a desired ductility m y u u   Lecture 39-1
  • 556.
    From the figureit is apparent that In which 𝑓𝑦 = 𝑓𝑦 𝑓𝑐 ; inverse of 𝑓 is called the yield reduction factor y m m y o y o y u u u f u u u R      f u y f y u o u o f Stiffness k Elastic Elasto-plastic m u Lecture 39-2
  • 557.
    The equation ofthe elastic plastic system may be written as In which 𝑓 𝑢, 𝑢 = 𝑓 𝑢,𝑢 𝑓𝑦 As opposed to the elastic analysis, the unloading path of the elasto- plastic analysis is different from the elastic analysis and it is as shown below y f f x y x (c)   2 2 , n n y g u u u f u u x       Lecture 39-3
  • 558.
    Depending upon thestate of the system, the restoring force changes; it is either fy or stiffness multiplied by displacement. The third term of equation is essentially 𝑓 𝑢,𝑢 𝒎 Using the above relationship, the equation of motion may be written with 𝜇 𝑡 as variable In which 𝑎𝑦 = 𝑓𝑦 𝑚 is the acceleration of the mass to produce yield force. The above equation is derived by using the following relationship           2 , , , , , y y y y n y y f f u u f f u u u f u u k f u u u f u u u m m m u m        2 2 2 , g n n n y x f a                y m y u t t u u u         Lecture 39-4
  • 559.
    The equation ofmotion in the variable 𝜇 may be manipulated in the following manner Thus, Since , the value of 𝜇 depends upon 𝜔𝑛, 𝜉, 𝑓𝑦. Thus the equation of motion can be solved for a specified set of values of 𝜔𝑛, 𝜉, 𝑓𝑦.   2 2 , g g n n y y x x k f u f            2 g n g g y y y x k x k m x f m f a          2 2 2 , n g n n y x f a            2 2 2 2 y y y y n y n o n o n y o o o f u f a u u u f u m u f          Lecture 39-5
  • 560.
    Normalized yield strengthand 𝜇 are related for an SDOF The equation of motion can be solved to find 𝜇 𝑡 for a specified value of 𝑓𝑦 or 𝑅𝑦 The solution involves a nonlinear time history analysis which can be performed using incremental form of Newmark’s 𝛽 method; the nonlinear time history analysis considering material nonlinearity is an advanced topic in structural dynamics and has not been included in the present lecture series For different combination of 𝜔𝑛 and 𝜉, different of 𝜇 can be obtained; a plot of 𝜇 Vs. 𝑇𝑛 can be derived for a specified value of 𝜉 However, it is not possible to directly have a plot of 𝑓𝑦 Vs. 𝑇𝑛 or 𝑅𝑦 Vs. 𝑇𝑛 for specified value of 𝜇 Lecture 39-6
  • 561.
    Construction of InelasticDesign Spectrum i. For a specified values of 𝜉 and Tn, obtain the values of 𝜇 for different values of 𝑓𝑦 ii. From the pair of values of µ and 𝑓𝑦, find 𝑓𝑦 for a specified value of 𝜇, using interpolation iii. Check if the specified value of 𝜇 is obtained by solving the equation of motion with the value of 𝑓𝑦 determined from step (ii). If not, refine the interpolation for convergence iv. Repeat the procedure stated above for all values of Tn keeping 𝜉 fixed. v. By changing the value of 𝜉, 𝑓𝑦 vs Tn plots for different values of 𝜉 may be derived Lecture 39-7
  • 562.
    For 𝜉 =5%, a plot of 𝑓𝑦 vs Tn for the different values of µ are shown in the figure below 0.01 0.05 0.1 0.5 1 5 10 50 100 0.05 0.1 0.5 1 T a =0.035 T f =15 T b =0.125 T c =0.5 T d =3 T e =10 f y 20 1 5 10 2 Tn, sec R y 0.12 0.195 0.37 8   4   2   1.5   0.0 Lecture 39-8
  • 563.
    The above exerciseis performed for a number of earthquakes. Averages for the plots for different values of 𝜇 are used to obtain the final plot of 𝑓𝑦 vsTn These plots are then idealized into a set of straight lines to get an idealized plot of 𝑓𝑦 vsTn 0.01 0.05 0.1 0.5 1 5 10 50 100 0.05 0.1 0.5 1 T a =1/33 T f =33 T b =1/8 T c T e =10 f y Tn, sec 8   4   2   0.2 1   Tc' 1.5   Lecture 39-9
  • 564.
    From these idealizedplots, empirical relationships are generated within different zones of time period 𝑇𝑎, 𝑇𝑏, 𝑇𝑐 refer to the time periods used in plotting elastic response spectrum in tripartite graph The above relationship forms the basis of the development of inelastic response spectrum for a given ductility; if the strength of the elastic design spectrum is reduced by factors shown above, the inelastic design spectrum may be obtained from elastic design spectrum   1 2 1 1 2 1 n a y b n c n c T T f T T T T T                  Lecture 39-10
  • 565.
     Example 38.1: Construct an inelastic design spectrum in a tripartite plot for 𝜇 = 2 from the 50th percentile elastic design spectrum constructed in Example 36.1  Solution: It is presumed that the elastic design spectrum 𝑎 − 𝑏 − 𝑐 − 𝑑 − ⅇ − 𝑓 shown in Figure 36.1 has been developed as explained in lecture 36. From this elastic design spectrum, the inelastic design spectrum 𝑎′ − 𝑏′ − 𝑐′ − 𝑑′ − ⅇ′ − 𝑓′ is obtained as below 1. Divide the constant-A ordinate of segment 𝑏 − 𝑐 by 𝑅𝑦 = 2𝜇 − 1 to obtain the segment 𝑏′ − 𝑐′ 2. Divide the constant-V ordinate of segment 𝑐 − 𝑑 by 𝑅𝑦 = 𝜇 to obtain the segment 𝑐′ − 𝑑′ 3. Divide the constant-D ordinate of segment 𝑑 − ⅇ by 𝑅𝑦 = 𝜇 to obtain the segment 𝑑′ − ⅇ′ Lecture 39-11
  • 566.
    5. Divide theordinate at 𝑓 by 𝑅𝑦 = 𝜇 to obtain 𝑓′. Join points 𝑓′ and e’. Draw 𝐷𝑦 = 𝑥𝑔𝑜 𝜇 for 𝑇𝑛 > 33𝑠ⅇ𝑐 6. Take the ordinate 𝑎′ of the inelastic spectrum at 𝑇𝑛 = 1 33 𝑠ⅇ𝑐 as equal to that of point 𝑎 of the elastic spectrum. Join points 𝑎′ and 𝑏′ 7. Draw 𝐴𝑦 = 𝑥𝑔𝟎 for 𝑇𝑛 < 1 33 𝑠ⅇ𝑐 The resulting inelastic response spectrum is shown below V go V x   Ta =1/33 sec Tf =33 sec Tb =1/8 sec Te =10 sec Natural vibration period Tn (log scale) a a' b b' c c' d d' e e' f f ' Elastic design spectrum Inelastic design spectrum Pseudo-velocity V or V y (log scale) / V  (a) A = x g o A = aA x g o D=xgo D/µ D/µ D=aDxgo A / v 2 µ - 1 Lecture 39-12
  • 567.
    0.01 0.02 0.050.1 0.20.3 0.50.7 1 2 3 4 567 10 20 30 50 70100 0.001 0.002 0.003 0.004 0.005 0.007 0.01 0.02 0.03 0.04 0.05 0.07 0.1 0.2 0.3 0.4 0.5 0.7 1 2 3 4 5 7 10 1 0 m D i s p . ( m ) 0 . 1 m 0.1g 0.001m 0 . 0 0 0 1 m - 5 1 1 0 m  0.01m 0.01g 0 . 0 0 1 g 0 . 0 0 0 1 g 1g 10g 2 A cc.(m /sec ) a T b T e T f T c T d T Timeperiod(sec) Pseudo velocity (m/sec) 1 m Elastic design spectrum Inelastic design spectrum (b) Lecture 39-13
  • 568.
  • 569.
    The design ofmost structures, except specialty structures like NPP, offshore structures, fluid retaining structures, relies on adequate ductility Different types of ductility exists in the literature: Materials ductility showing material’s plastic deformation Section ductility showing ability of cross section to deform plastically Member ductility quantifying the plastic rotations of the members Displacement ductility showing the global measure of inelastic performance of the member Ductility factor may not reflect the actual deformations experienced by structure because of cyclic stiffness, strength degradation and residual deformation Lecture 40-1 Various Types of Ductility
  • 570.
    Definition of ductilitybased on cyclic response In which Δ stands for any response quantity Another ductility factor is defined as 𝜇 = 𝐸𝑡𝐻 𝐸𝐸 Where EE is the elastic energy at yield and is given by 𝐸𝐸 = 1 2 𝐹𝑦𝛿𝑦  High available ductility is essential to ensure plastic redistribution of actions among components and large absorption of seismic energy Lecture 40-2 max max            y y 
  • 571.
    Several factors maylead to the reductions of available ductility: Strain rate effects causing an increase in yield strength  reduction of energy absorption due to plastic deformation under alternating action Overstrength leading to structures not yielding when they are intended to yield Tendency of some material to exhibit brittle fracture These factors may affect both local and global ductility Ductility depends upon of a number of factors; as a consequence, it is difficult to access exact ductility in a practical situation The estimated ductility at best can be assessed and used in the design Lecture 40-3
  • 572.
    In RC structures,the steel provides the ductility; a ductility of the order of 15-20 is achieved in steel if 𝜖𝑢 is limited to incipient strain hardening If deformation at ultimate strength is utilized, provided ductility is in excess of 15-20 Ductility of concrete in compression is very low; however, the ductility of concrete is significantly enhanced by confinement of concrete Strain hardening-softening influence inelastic excursion in RC structures Strain softening results in loss of strength with increase in strain and is reduced by transverse reinforcement Strain hardening property of the steel controls the spreading of plasticity and allows idealized plasticity Lecture 40-4 Factors Influencing Ductility
  • 573.
    Cross sectional propertiesinfluence the ductility; the curvature ductility depends on (i) ultimate concrete strain and stress; 𝑓𝑦, 𝑓𝑢 𝑓𝑦 , 𝐴𝑠𝑐 𝐴𝑠𝑡 of reinforcing steel (ii) nondimensional axial load 𝑁 𝐴𝐶𝑓0 Confinement of concrete increases and use of high grade steel decreases with ductility However, 𝑓𝑢 𝑓𝑦 increases the ductility; adding compression steel bar in beneficial to curvature ductility Increase in the compressive axial load has an adverse effect on curvature ductility; for adequate ductility, the nondimensional axial load should be 0.15-0.2 Lecture 40-5
  • 574.
    Curvature ductility isaffected by shear force Transverse confinement increases the shear strength Flexural inelastic response is fully developed prior to stress distress To achieve high curvature ductility, it is essential to limit the depth of the neutral axis in sections where plastic hinges form The nondimensional depth of neutral axis should not exceed 0.25 Adequate curvature ductility ensures rotational ductility in the plastic hinges; closely spaced stirrups, use of sufficient lap splices and anchorage lengths allow good rotational ductility Lecture 40-6
  • 575.
    Ductility of jointis a function of several design parameters which includes: Joint dimension Amount of steel reinforcement Bond resistance Level of column axial load Presence of slab and transverse beams framing into the connection Stronger joints have large dimensions lowering shear stress; brittle failure due to low shear capacity can be prevented by providing hoops The presence of slab may erode the ductility of beam to column connection because of the additional demand caused by the raised beam moment Lecture 40-7
  • 576.
    System property isbest described by story drift in the context of ductility Story translation ductility is a measure of the ductility distribution along the multi story frame Two frame may have the same values of the roof translational ductility, but the story drift ductility is different along the height The difficulty in obtaining the yield displacement is associated to ill- defined yield point Various definitions of yield deformations exist in the literature As consequence, the uncertainty in defining ductility exist Different definitions of yield deformations exist and they are shown in the figures along with the definitions Lecture 40-8
  • 577.
    Fig. 39.1 Definitionsof yield deformation. (a) Based on first yield. (b) Based on equivalent elasto-plastic yield. (c) Based on equivalent elasto-plastic energy absorption. (d) Based on reduction stiffness equivalent elasto-plastic yield. Lecture 40-9
  • 578.
    i. Deformation correspondingto the first yield (Fig. 39.1a) ii. Deformation corresponding to the equivalent elastic perfectly plastic system with the same elastic stiffness and ultimate load as the real system (Fig. 39.1b) iii. Deformation corresponding to the yield point of an equivalent elastic perfectly system with the same energy absorption of the real system (Fig. 39.1c) iv. Deformation corresponding to the yield point of an equivalent elastic perfectly system with reduced stiffness computed as second stiffness at 75% of the ultimate load of the system. The second stiffness accounts for the reduction in stiffness due to cracking (Fig. 39.1d) Lecture 40-10
  • 579.
    Definitions of ultimatedeformations vary similarly These definitions are shown in the form of figures and the context in which they are defined is explained below:  Deformation corresponding to the limiting value of strain (Fig. 39.2a)  Deformation corresponding to the apex of the load-displacement relationship (Fig. 39.2b)  Deformation corresponding to the post-peak displacement when the load carrying capacity has undergone a small reduction of 10-15% (Fig. 39.2c)  Deformation corresponding to fracture or buckling of the member/structure (Fig. 39.2d) Lecture 40-11
  • 580.
    Fig. 39.2 Definitionsof ultimate deformations. (a) Based on a limiting compressive strain. (b) Based on peak load. (c) Based on significant load capacity after peak load. (d) Based on fracture and/or buckling. Lecture 40-12
  • 581.
    The system ductilityor global ductility depends upon local ductility Large inelastic deformations and large amount of energy dissipation require high values of local ductility If curvature ductility is much higher than the displacement ductility, good inelastic behavior of system is achieved In good RC design, curvature ductility is about there to four times the displacement ductility Inelastic lateral displacement of ductile frames are often larger at lower stories where 𝑝 − Δ effect are significant Inelastic story drifts are often correlated to the number of plastic hinges and plastic hinge rotations Lecture 40-13
  • 582.
  • 583.
    Seismic design ofstructure follows a code of practice which varies from country to country Indian code has more similarities with Euro and American codes Indian code adopts a dual design philosophy in which structures are allowed to enter into the inelastic state with minor damages in design level earthquake and suffer extensive damages without collapse in the extreme level earthquake Since earthquake is an infrequent phenomenon, structures to remain within elastic range is an uneconomic proposition The damages which are expected are repairable and strutures may be retrofitted Lecture 41-1 Earthquake Design Philosophy
  • 584.
    Analysis of structuresuses equivalent static procedure as described before for appropriate load combinations In the equivalent analysis, the member end forces are reduced by a reduction factor R so that the element enters into the inelastic state More the value of R, more the structure undergoes inelastic excursion; the ductility demand is also increased; note that R is not synonymous to ductility The analysis uses a design response spectrum for finding the earthquake load on the structure Note that only the design forces in the members of the structure due to earthquake forces are reduced by the reduction factor, not the forces developed by other loads Lecture 41-2
  • 585.
     The seismicforce depends upon the design level earthquake intensity which is generally adopted as PGA  The design response spectrums are normalized with respect to PGA. This facilitates the use of the spectrum in regions with varying earthquake intensity  The other reason for normalization is that a very easy correlation between the extreme level and design level earthquake may be established  With the above concepts, the design seismic force is obtained as  The indices i and r refer to mode and floor numbers; I stands for importance factor; division by 2 cater to the design level earthquake intensity Lecture 41-3 2 r r id i ZI F F R  2 Bd B ZI V V R 
  • 586.
    As stated before,adequate stiffness, yield strength, ductility and capacity of the member are required at the section where it is likely to fail While stiffness is provided by the cross section size, other elements are essentially provided by the steel and concrete properties; steel essentially provides ductility The reinforcement detailing is important in achieving the four elements The reinforcement detailing is important where plastic hinges are likely to form namely, at the ends and center of the element The reinforcement detailing is recommended in the codes with certain objectives The seismic code IS 1983 part 2, 2002 illustrates the reinforcement detailing; special detailing is necessary at beam-column joints Lecture 41-4 Seismic Design Requirement of Members
  • 587.
    In the framedstructure, failure takes place through the formation of a collapse mechanism Collapse mechanisms are formed by the development of plastic hinges at strategic locations As the plastic hinges are formed, degree of redundancy is reduced, reducing the stiffness of the structure Overall failure of the structure occurs either due to the formation of collapse mechanism or due to sizable tilting of the structure Nature of collapse mechanism depends upon the structure; structural configuration and design are made so that vertical members do not fail easily; this is achieved by strong column weak beam design concept In this type of design, plastic hinges are formed in the beam (Fig 40.1); different types of damages and failures are shown in subsequent slides Lecture 41-5 Failure of Structures for earthquake forces
  • 588.
    Lecture 41-6 Fig. 40.1The desired collapse mechanism Fig. 40.2 Diagonal crack pattern in walls and yield line pattern in square slab.
  • 589.
  • 590.
  • 591.
  • 592.
  • 593.
  • 594.