STRIP LINES
Microwave transmission lines
• Coaxial cables
• Waveguides
• Striplines
  – Microstrip lines
  – Parallel strip-lines
  – Coplanar strip lines
  – Shielded strip lines
Microstrip lines




•Microwave solid-state device can be easily fabricated as a
semiconducting chip
•Very less volume of the order of 0.008-0.08mm3
•Mode of transmission-quasi TEM, hence the theory of
TEM-coupled lines is approximated.
Deriving Zo of microstrip lines
Comparison method
Comparing with a wire over ground,
For a wire over ground,



Changes for microstrip lines,
The effective permittivity will be

Other relation will be                        t/w<0.8




                                     [derived by Assadourian]
Typically, Zo is in between 50Ω to 150Ω


The velocity of propagation of microwaves in microstrips,




Propagation time constant is,
                        = μ ϵ
                            =3.333 ϵ /


LOSSES IN MICROSTRIP LINES
• Ohmic Losses
• Dielectric Losses
• Radiation Losses
Power losses in Microstrips
• The power carried by a wave travelling in z direction is given by



• The attenuation constant α can be expressed as



• Power dissipation per unit length can be calculated as
• Hence,
                         Np/m



                         Np/m


Dielectric loss
from first unit,
                            σ   μ
Attenuation constant, ∝= 2      ε

Phase constant, =  μϵ
Here,
                                               σ μ
Dielectric attenuation constant,      ∝  =
                                               2 ε

Substituting

We get,                         [Welch and pratt’s equation]
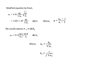
Modified equation by Pucel,




                             dB/m   Where,


We usually express ∝  in dB/λg




                         Where,
Ohmic loss

•    Because of the resistance in path
•    Mainly due to irregularities in conductors
•    Current density mainly concentrated in a sheet with a thickness equal to skin depth
•    Current distribution in a microstrip is as in diagram,

• Exact expressions for conducting attenuation constant
  can not be determined.
• Assuming current distribution is uniform,

                          dB/m




    Above relation holds good only if w/h<1
Radiation losses
• Depends on substrate’s thickness, its dielectric constant and
  its geometry.
• Some approximations:
   –   TEM transmission
   –   Uniform dielectric
   –   Neglecting TE field component
   –   Substrate thickness<<free space λ
• The ratio of radiated power to total dissipated power is


                               Where,
Quality factor
• Quality factor of the striplines is very high, but limited by radiation losses
  of the substrates.
• Qc is related to conductor attenuation constant by,



• Substituting,                     dB/λg
                         ℎ
•    = 3.9510−6          
                        
•   Substituting Rs and  = 5.8107 mho/m for copper assuming stripline is in air,
           = 15.14ℎ 
•   Similarly, Qd related to dielectric attenuation constant is given by,



          approximating,
Parallel strip lines
• Two perfectly parallel strips separated by a perfect dielectric
  slab of uniform thickness.
• Considering w>>d,
   some parameters are
Attenuation losses
• The propagation constant of a parallel strip is,




The attenuation constant will be
• Coplanar striplines




• Shielded striplines
THANK YOU!

Strip lines

  • 1.
  • 2.
    Microwave transmission lines •Coaxial cables • Waveguides • Striplines – Microstrip lines – Parallel strip-lines – Coplanar strip lines – Shielded strip lines
  • 3.
    Microstrip lines •Microwave solid-statedevice can be easily fabricated as a semiconducting chip •Very less volume of the order of 0.008-0.08mm3 •Mode of transmission-quasi TEM, hence the theory of TEM-coupled lines is approximated.
  • 4.
    Deriving Zo ofmicrostrip lines Comparison method Comparing with a wire over ground, For a wire over ground, Changes for microstrip lines, The effective permittivity will be Other relation will be t/w<0.8 [derived by Assadourian]
  • 5.
    Typically, Zo isin between 50Ω to 150Ω The velocity of propagation of microwaves in microstrips, Propagation time constant is, = μ ϵ =3.333 ϵ / LOSSES IN MICROSTRIP LINES • Ohmic Losses • Dielectric Losses • Radiation Losses
  • 6.
    Power losses inMicrostrips • The power carried by a wave travelling in z direction is given by • The attenuation constant α can be expressed as • Power dissipation per unit length can be calculated as
  • 7.
    • Hence, Np/m Np/m Dielectric loss from first unit, σ μ Attenuation constant, ∝= 2 ε Phase constant, = μϵ Here, σ μ Dielectric attenuation constant, ∝ = 2 ε Substituting We get, [Welch and pratt’s equation]
  • 8.
    Modified equation byPucel, dB/m Where, We usually express ∝ in dB/λg Where,
  • 9.
    Ohmic loss • Because of the resistance in path • Mainly due to irregularities in conductors • Current density mainly concentrated in a sheet with a thickness equal to skin depth • Current distribution in a microstrip is as in diagram, • Exact expressions for conducting attenuation constant can not be determined. • Assuming current distribution is uniform, dB/m Above relation holds good only if w/h<1
  • 10.
    Radiation losses • Dependson substrate’s thickness, its dielectric constant and its geometry. • Some approximations: – TEM transmission – Uniform dielectric – Neglecting TE field component – Substrate thickness<<free space λ • The ratio of radiated power to total dissipated power is Where,
  • 11.
    Quality factor • Qualityfactor of the striplines is very high, but limited by radiation losses of the substrates. • Qc is related to conductor attenuation constant by, • Substituting, dB/λg ℎ • = 3.9510−6 • Substituting Rs and = 5.8107 mho/m for copper assuming stripline is in air, = 15.14ℎ • Similarly, Qd related to dielectric attenuation constant is given by, approximating,
  • 12.
    Parallel strip lines •Two perfectly parallel strips separated by a perfect dielectric slab of uniform thickness. • Considering w>>d, some parameters are
  • 13.
    Attenuation losses • Thepropagation constant of a parallel strip is, The attenuation constant will be
  • 14.
    • Coplanar striplines •Shielded striplines
  • 15.