Олон улсын аялал жуулчлал Хяналтын ажлын сан
Хичээлийн код: BA343
Хичээлийн нэр: ОЛОН УЛСЫН АЯЛАЛ ЖУУЛЧЛАЛ
Хичээлийн кредит: 3
Бүлэг 1. Олон улсын аялал жуулчлал, төрөл ангилал
А. Мэдлэг шалгах даалгавар
1. Орон нутгийн жуулчинг тодорхойл.
a) Өөрийн оршин суугаа орон нутаг дотроо аливаа ашиг сонирхлоос гадуур
b) 12 сараас илүүгүй хугацаатай аялж буй хүн
c) Өөрийн улсын байгаль болон түүхийн дурсгалт газарт аялж буй хүн
d) Ямар нэг үйл ажиллагаанаас ашиг олох сонирхолгүйгээр аялж буй хүн
2. Аялал жуулчлал буюу “Tour” хэмээх үгийн язгуур гарал.
a) Тойрог хийх гэсэн утгатай Грек үг
b) Цамхаг гэсэн Франц үг
c) Аялах гэсэн утгатай Англи үг
d) А ба Б хариултууд
3. Аялал жуулчлалын үйл ажиллагааг явагдаж буй цар хүрээнээс нь
хамааралтайгаар дараах байдлаар ангилан тогтоосон байдаг.
a) Олон улсын аялал жуулчлал, бүс нутгийн аялал жуулчлал, орон нутгийн
аялал жуулчлал
b) Олон улсын аялал жуулчлал, орон нутгийн аялал жуулчлал
c) Бүс нутгийн аялал жуулчлал, орон нутгийн аялал жуулчлал
d) Олон улсын аялал жуулчлал, дотоодын аялал жуулчлал
4. inbound + outbound буюу энэ зах зээлийн хослолын аль нь зөв бэ?
a) regional tourism market /бүс нутгийн аялал жуулчлалын зах зээл/
b) national tourism market /үндэсний аялал жуулчлалын зах зээл/
c) international tourism market /олон улсын аялал жуулчлалын зах зээл/
d) regional tourism market /үндэсний аялал жуулчлалын зах зээл/
5. inbound + domestic = буюу энэ зах зээлийн хослолын аль нь зөв бэ?
a) regional tourism market /бүс нутгийн аялал жуулчлалын зах зээл/
b) national tourism market /үндэсний аялал жуулчлалын зах зээл/
c) international tourism market /олон улсын аялал жуулчлалын зах зээл/
d) regional tourism market /үндэсний аялал жуулчлалын зах зээл/
6. outbound + domestic = буюу энэ зах зээлийн хослолын аль нь зөв бэ?
a) regional tourism market /бүс нутгийн аялал жуулчлалын зах зээл/
b) national tourism market /үндэсний аялал жуулчлалын зах зээл/
c) international tourism market /олон улсын аялал жуулчлалын зах зээл/
d) regional tourism market /үндэсний аялал жуулчлалын зах зээл/
7. Вандерласт төрлийн жуулчдыг тодорхойл.
a) Далайн эргийн наран шарлагын газарт очих дуртай хүмүүс
b) Байгаль болон соёлын онцгой чухал ач холбогдолтой газар, үйл явдалд
гол сонирхол нь чиглэсэн адал явдал хайгчид
c) Өөрсдийн дур сонирхолд нийцсэн нам тайван, өөртэйгөө адил анги,
давхаргын хүмүүсийн дунд аялах сонирхолтой хүмүүс
d) Гольф, теннис, бинго, казино г.м тоглоомын сонирхлоор гадаадад
аялагчид
8. Аялагч жуулчдын сонирхол, аялал хийх шалтгаанаар нь аялал жуулчлалыг
гурван том хэсэгт хуваан үздэг. Үүнд: ерөнхий сонирхлын аялал жуулчлал, ижил
сонирхлын аялал жуулчлал...............................юм.
a) Идэвхтэй аялал жуулчлал
b) Тусгай сонирхлын аялал жуулчлал
c) Идэвхгүй аялал жуулчлал
d) Адал явдалт аялал жуулчлал
1
Олон улсын аялал жуулчлал Хяналтын ажлын сан
9. Аялал жуулчлалын түүхийг ихэнх судлаачид..........үе шаттайгаар хуваан
тодорхойлсон байдаг.
a)3
b)4
c)5
d)6
10. Тухайн оронд ирэх гадаадын жуулчид ба дотооддоо аялах аялагчдыг нийтэд нь:
a) Inbound tourism
b) International tourism
c) Outbound tourism
d) National tourism гэнэ.
11. Аялал жуулчлалын психографийн судалгааны арга нь:
a) Жуулчдын аяллын хугацаа, аяллын хугацаанд зарцуулсан зардал зэргийг
судална.
b) Тухайн хүмүүсийн үзэл бодол, зан төлөвийн харьцааг судална.
c) Жуулчдын тоо, аяллын зорилтот цэгүүдийг судална.
d) Нас, хүйс, нийгмийн давхарга, орлогын түвшин, мэргэжил, боловсрол,
харьяалагдах улс орныг судална.
12. Аливаа улсын иргэн зөвхөн өөрийн улс дотроо аялах жуулчлал.
a) Гадаад улс руу хийгдэх аялал жуулчлал (Outbound tourism)
b) Дотоодын аялал жуулчлал (Domestic tourism)
c) Гадаадаас ирэх аялал жуулчлал (Inbound tourism)
d) Гадаадаас ирэх аялал жуулчлал (Outbound tourism
13. Аливаа улсын иргэн өөрийн улсаас гадагш өөр улс орон руу аялах жуулчлал.
a) Дотоодын аялал жуулчлал (Domestic tourism)
b) Гадаадаас ирэх аялал жуулчлал (Inbound tourism
c) Гадаадаас ирэх аялал жуулчлал (Outbound tourism
d) Гадаад улс руу хийгдэх аялал жуулчлал (Outbound tourism)
14. Тухайн улс оронд гадаадын орнуудаас хүрэлцэн ирэх аялах жуулчлал.
a) Дотоодын аялал жуулчлал (Domestic tourism)
b) Гадаадаас ирэх аялал жуулчлал (Inbound tourism
c) Гадаадаас ирэх аялал жуулчлал (Outbound tourism
d) Гадаад улс руу хийгдэх аялал жуулчлал (Outbound tourism)
15. Аялал жуулчлал өндөр хөгжсөн, жуулчдын олноор зорин очдог газруудад
чиглэсэн, нэгэн хэвийн тогтмол үйлчилгээ бүхий байнгын давтамжтайгаараа
онцлог бөгөөд тухайн аялалд оролцогчийн хүсэл сонирхлоос үл
хамааралтайгаар аялал зохион байгуулагчид нь нэгэнт тогтсон аялалын масс
буюу бөөн хэлбэрээр зардаг аялалыг ................................гэнэ.
a) Ерөнхий сонирхлын аялал жуулчлал /General interest tourism/
b) Ижил сонирхлын аялал жуулчлал /Common interest tourism/
c) Тусгай сонирхлын аялал жуулчлал /Special interest tourism/
16. Аялал зохион байгуулагчид болон аялалд оролцогчдын сонирхол, зорилго ижил
байх аялалыг................................гэнэ.
a) Ерөнхий сонирхлын аялал жуулчлал /General interest tourism/
b) Ижил сонирхлын аялал жуулчлал /Common interest tourism/
c) Тусгай сонирхлын аялал жуулчлал /Special interest tourism/
17. Аялал жуулчлалын социологийн демографийн судалгааны обьект нь:
a) Жуулчдын аяллын хугацаа, аяллын хугацаанд зарцуулсан зардал зэргийг
судална.
b) Тухайн хүмүүсийн үзэл бодол, зан төлөвийн харьцааг судална.
c) Нас, хүйс, нийгмийн давхарга, орлогын түвшин, мэргэжил, боловсрол,
харьяалагдах улс орныг судална.
d) Жуулчдын тоо, аяллын зорилтот цэгүүдийг судална.
18. Тухайн оронд гадаадын жуулчид аялах
a) Outbound
2
Олон улсын аялал жуулчлал Хяналтын ажлын сан
b) Domestic tourism
c) Inbound
d) Дээрх бүгд
19. Аялал жуулчлалын түүхийн 4-р үеийг сонго.
a) Шинэ газар нутаг эзэмших үе
b) Цагаачлалын үе
c) Нүүдэлчдийн үе
d) Орчин үеийн аялал жуулчлал
20. Тухайн аялалд оролцогчийн хүсэл сонирхолд тулгуурлан зохион байгуулагддаг,
ихэвчлэн адалт явдал бүхий идэвхтэй үйл ажиллагаатай
аялалыг......................гэнэ.
a) Ерөнхий сонирхлын аялал жуулчлал /General interest tourism/
b) Ижил сонирхлын аялал жуулчлал /Common interest tourism/
c) Тусгай сонирхлын аялал жуулчлал /Special interest tourism/
21. Нэг өдрийн гийчин гэж хэнийг хэлэх вэ?
a) Тухайн орноор дайран өнгөрч буй жуулчин
b) Байрлуулах хэрэгслүүдийн аль нэгэнд 1 хоногоос илүүгүй хугацаагаар
байрлаж буй жуулчин
c) Тухайн орон нутагт 24 цагаас бага хугацаагаар айлчилж буй хүн.
d) Тээврийн хэрэгслээр 1 хоногоос илүүгүй хугацаагаар аялж буй хүн
22. Сүрэн БНСУ-д ажиллаж амьдраад 8 сар болж байна. Тэр 1 жил болоод ирэх
бөгөөд гэр бүлийнхээ орлогын гол эх үүсвэрийг хангадаг. Сүрэн жуулчлалын
ямар төрөлд хамаарагдах вэ?
a) Аялагч
b) Гийчин
c) Жуулчин
d) Ажилчин
23. Биеийн хүчний бэлтгэл, чадавхи шалгасан, энерги их шаардсан, аялалын төрөл
a) Идэвхтэй аялал жуулчлал
b) Идэвхгүй аялал жуулчлал
c) Адал явдалт аялал жуулчлал
d) Энгийн аялал жуулчлал
24. 1963 онд Дэлхийн Аялал Жуулчлалын Байгууллагаас гаргасан тодорхойлолтоор
“Тухайн оронд өөрийн байнга оршин суух байртай эсвэл ямарваа нэгэн үйл
ажиллагаанаас мөнгө олох зорилготойгоос бусад шалтгаанаар тухайн орон
нутагт айлчилж буй хүнийг ........................гэнэ.
a) Олон улсын аялагч
b) Олон улсын жуулчин
c) Олон улсын гийчин
d) Экскурс хийгч
25. Хөлөг онгоцоор 24 цагаас дээш хугацаагаар аялж буй түр айлчлагч
a) Олон улсын аялагч
b) Экскурс хийгч
c) Олон улсын жуулчин
d) Олон улсын гийчин
26. Олон улсын жуулчны статистик дүн бүртгэлд дараах хүмүүсийг оруулдаггүй.
a) Цагаачид түүнийг дагаж яваа хүмүүс
b) Дипломат албан хаагчид, гэр бүл туслах албан ажилчид
c) Групп аялагчид
d) 6 түүнээс дээш сарын хугацаагаар суралцагсад
27. Вандерласт төрлийн жуулчдыг тодорхойл.
a) Далайн эргийн наран шарлагын газарт очих дуртай хүмүүс
b) Байгаль болон соёлын онцгой чухал ач холбогдолтой газар, үйл явдалд
гол сонирхол нь чиглэсэн адал явдал хайгчид
3
Олон улсын аялал жуулчлал Хяналтын ажлын сан
c) Өөрсдийн дур сонирхолд нийцсэн нам тайван, өөртэйгөө адил анги,
давхаргын хүмүүсийн дунд аялах сонирхолтой хүмүүс
d) Гольф, теннис, бинго, казино г.м тоглоомын сонирхлоор гадаадад
аялагчид
28. Аялагч жуулчдын сонирхол, аялал хийх шалтгаанаар нь аялал жуулчлалыг
гурван том хэсэгт хуваан үздэг. Үүнд: ерөнхий сонирхлын аялал жуулчлал, ижил
сонирхлын аялал жуулчлал...............................юм.
a) Идэвхтэй аялал жуулчлал
b) Тусгай сонирхлын аялал жуулчлал
c) Идэвхгүй аялал жуулчлал
d) Адал явдалт аялал жуулчлал
29. Аялал жуулчлалын түүхийг ихэнх судлаачид..........үе шаттайгаар хуваан
тодорхойлсон байдаг.
a) 3
b) 4
c) 5
d) 6
30. Тухайн оронд ирэх гадаадын жуулчид ба дотооддоо аялах аялагчдыг нийтэд нь:
a) Inbound tourism
b) International tourism
c) Outbound tourism
d) National tourism гэнэ.
Б. Чадвар шалгах даалгавар
1. Доорх үгсийн ижил утгатайг нь сонгон тохируул.
А. Excursionist 1. Same day visitor
Б. Package tour 2. Tourism industry
В. Tour operator 3. Inclusive tours
Г. Tourism sector 4. Whole seller
a) 1A 2Г 3Б 4В
b) 1Г 2A 3Б 4В
c) 1A 2Г 3В 4Б
d) 1A 2В 3Б 4Г
2. Аялал жуулчлалын нэр томьёонуудын эсрэг утгатайг сонгон тохируул.
a) А. International tourism 1. Inclusive tour
b) Б. Individual travel 2. Business travel
c) В. Independent tour 3. Domestic tourism
d) Г. Leisure travel 4. Group travel
a. a)
b. b)
c. c)
d. d)
3. Доорх хүснэгтийг гүйцээн бөглөж аялал жуулчлалын бүтээгдэхүүний бөөний
үнийн бүтцийг үзүүл.
4
Олон улсын аялал жуулчлал Хяналтын ажлын сан
4. Олон улсын аялал жуулчлалын статистикт багтдаггүй хүмүүсийг гүйцээж бичнэ
үү?
5. Аялагч, гийчин, жуулчин 3 тодорхойлолтыг бичнэ үү?
6. Дараах өгүүлбэрээс утгын алдааг олж илрүүлнэ үү?
Check-in: Check-in буюу зорчигчдийг бүртгэх хэсэг нь тухайн онгоцоор зорчих
хүмүүсийг бүртгэнэ.Энд зорчигчдийн тоо болон ачаа тээшний мэдээллийг
оруулах боломжтой. (Check-in interface with load planning)
7. Дараах өгүүлбэрээс утгын алдааг олж илрүүлнэ үү?
Flight scheduling: Энд нислэгийн төлөвлөх ба онгоцны болон нислэгтэй
холбоотой бүх мэдээллийг оруулж өгнө.(Энд зөвхөн суудал захиалахад хэрэгтэй
мэдээллүүдийг оруулдаг хэсэг байна)
8. Аялал жуулчлалын захиалгын системийн талаарх дараах тодорхойлолтын утгыг
гүйцээж бичнэ үү?
Load planning: Энэ нь нислэг төлөвлөлтөнд үндэслэн түүний
даац, .................................. хуваарилалтыг төлөвлөнө. Мөн зорчигчдыг бүртгэх
үеийн ачааны ............................бодит мэдээлийг авна. (Энд зөвхөн суудал
захиалахад хэрэгтэй мэдээллүүдийг оруулдаг хэсэг байна.
9. Аялал жуулчлалын захиалгын системийн талаарх дараах тодорхойлолтын
утгыг гүйцээж бичнэ үү?
Reservation: Reservation буюу суудал захиалгын хэсэг нь хэрэглэгчдэд зориулсан
............................................... байна.Эндээс хэрэглэгчид нь онгоцны хуваарийн
талаарх мэдээллийг авч болох ба урьдчилан суудал захиалах боломжтой.
10. Аялал жуулчлалын захиалгын системийн талаарх дараах тодорхойлолтын утгыг
гүйцээж бичнэ үү?
Airfare: Энэ нь хэрэглэгчдэд зориулсан web application байх ба тухайн үеийн
үнийн бодлогийг тодорхойлно. Airfare хэсэг нь ............................................
хуудсанд оруулсан хэрэглэгчийн мэдээлэл дээр үндэслэн урамшуулал болон
хөнгөлтийг үзүүлдэг.
5
Олон улсын аялал жуулчлал Хяналтын ажлын сан
11. Дараах тодорхойлолтын үнэн худлыг ялгана уу?
Ticketing: Энэ нь билет худалдаалах хэсэг юм.Энд хэрэглэгч өөрийн захиалсан
суудлын төлбөрийг бүрэн барагдуулсан (бэлнээр болон бэлнээр бус)
тохиолдолд тусгай бүртгэгдсэн дугаар бүхий хуудасыг хэрэглэгчдэд өгөх буюу и-
мэйл хаягаар явуулна.
a) Үнэн
b) Худал
12. Аялал жуулчлалын захиалгын системийн бүрэлдэхүүн хэсгүүдийг тайлбарлана
уу?
13. Олон улсын аялал жуулчлалд оролцогчдын зан төлөвт хамаарах хүчин зүйлсийг
гүйцээж бичнэ үү?
Ñî¸ëûí Íèéãìèéí Õóâèéí Ñýòãýë ç¿éí
Õóäàëäàí
àâàã÷
æóóë÷èí
 Ñî¸ë
 Äýä ñî¸ë
 Íèéãìèéí
àíãè
  Íàñ
 Àìüäðàëûí
ìº÷ëºã
 Ìýðãýæèë
 Ýäèéí
çàñãèéí
áàéäàë
 Àìâäðàëûí
õýâ ìàÿã
 Õóâèéí çàí
òºëºâ

14. Олон улсын аялал жуулчлалын томоохон үзэсгэлэнгүүдийн мэдээлэл өгөгджээ.
Дэлгэрэнгүй тайлбарлана уу?
Îíöëîã Wt.n Vakkan FITUR BIT ITB TUR
Áàéðëàë Ëîíäîí, Èõ
áðèòàíè
Ãîëëàíä Èñïàíè
Ìàäðèä
Èòàëè
Ìèëàí
Áåðëèí
Ãåðìàí
Ãîòåíá
óðã
Øâåéö
àðü
Áîëîõ õóãàöàà 11 ñàðûí
12-15-íû
ºäºð
1 ñàðûí
8-13-íû
ºäºð
1 ñàðûí
30-31-íû
ºäºð
2 ñàðûí
20-24-íû
ºäºð
3 ñàðûí
16-20-íû
ºäºð
3
ñàðûí
21-24-
íû ºäºð
Îðîëöîã÷äûí òîî 5000 1700 8500 5000 10000 2300
Îðîëöîã÷ îðíû òîî 170 100 170 140 179 95
¿éë÷ë¿¿ëýã÷äèéí
òîî
0 150 ìÿíãà 108 ìÿíãà 55 ìÿíãà 63 ìÿíãà 30
ìÿíãà
Òàëáàéí õýìæýý 59 ìÿíãà 65 ìÿíãà 100 ìÿíãà 140 ìÿíãà 152 ìÿíãà 40
ìÿíãà
6
Олон улсын аялал жуулчлал Хяналтын ажлын сан
Òàëáàéí ¿íý 466 $ 90 $ 98 $ 145$ 137 $ 145 $
Îðîëöîã÷äûí
òàëáàéí
áàéðëàëûã óãñðàõ
533 $ 147 $ 137 $ 85 $ 145 $ 192 $
15. Олон улсын аялал жуулчлалын үе шатуудын тодорхойлолтыг гүйцээж бичнэ үү?
ҮЕ ШАТУУД ТОДОРХОЙЛОЛТ
Нээлтийн үе
(Exploration)
Адал явдал хайгчид тухайн газар нутгийг илрүүлж,
мэдээллийг бусдад түгээнэ.
Аялал жуулчлалын
зах зээлд
татагдах үе
(Involvement)
Хөгжилтийн үе
(Development)
Жуулчдын тоо эрчимтэй нэмэгдэж, аялал жуулчлалын
үйлчилгээг мэргэжлийн байгууллагууд үзүүлнэ.
Бэхжүүлэлтийн үе
(Consolidation)
Тогтонгиших үе
(Stagnation)
Аялал жуулчлалын хөгжил нь тоо ба чанарын хувьд дээд
цэгтээ хүрнэ.
Бууралтын үе
(Decline)
Эргэж сэргэх үе
(Rejuvenation)
Хэдийгээр аялал жуулчлалын өрсөлдөх чадвараа алдаж,
жуулчдын сонирхолоос гарсан ч шинэ нөөцүүдийг илрүүлж,
сурталчлах замаар аялал жуулчлалын шинэ имиджийг
бүрдүүлж, эргэж хөгжих боломжтой.
16. .......................................... хүн нь адал явдалд дурладаг ихээхэн сониуч
ганцаараа аялах дуртай хүмүүс байдаг. Тэд нээлт хийх, шинэ түнш олж авах,
шинэ зүйл олж мэдэх, хүн өмнө нь очиж байгаагүй газрууд руу аялахыг хүсдэг.
Энэ хэв шинжийн хүмүүс нь элдэв үйлчилгээ бага шаарддаг. Тухайн аялалны
зорих газар нь өөрчлөгдөн хөгжиж нийтэд мэдэгдэх тусам өөр хаа нэг хүн
очоогүй шинэ газрыг нээхийг хичээдэг. Эдгээр хүмүүс нь орлогынхоо ихэнхийг
аялалд зарцуулж байн байн аялдаг.
17. ............................................ хүн нь аялал жуулчлалын өндөр хөгжсөн улс
орнуудруу аялал хийх бөгөөд аялалынхаа аюулгүй байдал тав тухыг дээд
зэргээр эрхэмлэдэг. Харьцангуй ахимаг насны хүмүүс байдаг. Энэ хүмүүс
олноороо аяладаг тул орон нутгийн иргэдтэй шууд харилцах нь бага. Ихэвчлэн
үзэх хэлбэрээр аялдаг хүмүүс байдаг. Тэдний аялаллын хөтөлбөрт идэвхитэй
үйл ажиллагаа байхгүй тэрхүү аялалын хөтөлбөр нь нарийн төлөвлөгдөж
урьдчилан бэлтгэгдсэн байх ёстой байдаг.
18. .............................................. хүн нь жуулчид нь адал явдал эрэлхийлэн бие даан
аялагч Алоцентрик болон аялалын аюулгүй байдал тав тухыг эрхэмлэн
группээрээ аяладаг Писихоцентрик хүмүүсийн дунд хэсэг бөгөөд тооны хувьд
дээрх хоёроосоо олон ихэнхидээ сайн мэддэг газарлуугаа аялах сонирхолтой
хүмүүс байдаг. Группээр аялах сонирхолтой байдаг.
19. Хүмүүс амьдралын хэв маяг хувийн зан чанар сонирхол үзэл баримтлал зэрэг
сэтгэлзүйн онцлог шинжүүд дээр тулгуурлан аялах хэв маяг нь өөр өөрөөр гарч
ирдэг. Энэхүү аялах өөр хэв маягийг эрдэмтэд 3 ангилжээ.
a) Алоцентрик
b) Писихоцентрик
c) ............................
20. Аялалын захиалгын системийн давуу талыг бичнэ үү?
7
Олон улсын аялал жуулчлал Хяналтын ажлын сан
..............................................................................................................................................
..............................................................................................................................................
......
В. Хэрэглээ шалгах даалгавар
1. Онгоцны билет захиалгын системийн бүтцийг тайлбарлана уу?
2. Онгоцны билет захиалгын системийн төлбөрийн шилжүүлэг хэрхэн хийгдэх
тохиргоог олно уу?
3. Зочид буудлын захиалгын системийн бүртгэлийн системийн талаарх алдаатай
тодорхойлолтыг олно уу?
a) Зочны өрөөний бүртгэл (Энэхүү бүртгэлийн цонх нь зочдын
дэлгэрэнгүй бүртгэлийг хийх бөгөөд зочинтой болон сул байгаа
өрөөний мэдээллийг чөлөөтэй харж болно
b) Урьдчилсан захиалгын бүртгэл (Албан байгууллага болон хувь
хүмүүсийн өрөөний урьдчилсан бүх захиалгууд бүртгэгдэнэ. Энэхүү
бүртгэл хийгдсэнээр зочин ирэх , тухайн өдөр байгаа болон байсан
бүх зочдын мэдээллийг тус бүрд нь дэлгэрэнгүй харах боломжтой
4. Дараах өгүүлбэрээс утгын алдааг олно уу?
Зочин ямар нэгэн байдлаар өрөөгөө солих үед өрөө шилжилтийн цонхоор
бүртгэгдэж зочид буудлын үйлчилгээ болон өрөөний тооцоо шилжигдэнэ.
5. Дараах өгүүлбэрээс утгын алдааг олно уу?
8
Олон улсын аялал жуулчлал Хяналтын ажлын сан
Тухайн буудлын үйлчилгээний төрлөөс хамааран зочдод үзүүлэх үйлчилгээний
бүх бүртгэлүүд зочны үйлчилгээний бүртгэл цонхоор хийгдэнэ. Тухайлбал: Мини
бар, билльярд, угаалга, машин түрээс, саун, массаж, бассейн гэх мэт
6. Дараах өгүүлбэрийг гүйцээж бичнэ үү?
Аялал жуулчлалын захиалгын системд дараах бүртгэл, мэдээллүүд багтсан
байдаг. Үүнд:
Аяллын цэгүүдийн бүртгэл
• Цэгүүд хоорондын маршрутуудын бүртгэл
• Тээврийн хэрэгслүүдийн бүртгэл
• Нислэг / нислэгийн хуваарь, үнэ тариф /
• Галт тэрэг /галт тэрэгний хуваарь, үнэ тариф/
• Бусад тээврийн хэрэгсэл
• Амрах газруудын бүртгэл
• Ресторануудын бүртгэл
......................................................
......................................................
7. Дараах өгүүлбэрийг гүйцээж бичнэ үү?
Зочид буудал бүрийн онцлогоос шалтгаалан үнийн бодлого өөр өөр
зохиогддог.Жишээ нь ................................ гэх мэтчилэн боломжит бүх
хувилбараар зохиож болно
8. Үйл ажиллагааны бүртгэлийг 2 хэлбэрээр хийнэ.
9. Дэлхийн томоохон сүлжээ зочид буудлууд үндэсний хэмжээний томоохон
захиалгын систем болох Sabre, Galileo, Amadeus болон ......................зэргээр
дамжуулан захиалга хийдэг байна.
10. Баталгаажсан аяллуудын хөтөлбөрийн бүртгэл нь аялахаар баталгаажсан
аяллуудын хөтөлбөрийг захиалагч тус бүрээр уян хатан бүртгэж, нэг
захиалагчийн хувьд үнийн санал, тухайн аяллын нийт төсөвт зардлыг тооцоолно
a) Үнэн
b) Худал
11. Аялалын захиалгын системийн давуу талыг гүйцээж бичнэ үү?
– Аялалтай холбоотой орсон болон гарсан гүйлгээ бүрийг бүртгэн ашиг
алдагдлыг тооцно.
– Захиалагчийн төлбөрийг аяллын өмнө болон дараа дахин тооцоолно.
Аялагчидтай холбоотой тооцоонд хяналт тавина.
Нийт захиалгын цар хүрээ, төлөвлөлтийг хянах боломжтой.
Санхүүгийн системтэй холбогдон ажиллах боломжтой
– ................................................................................................................
12. Төлөвлөгдсөн аяллуудад явах аяллын захиалагчдын бүрэн мэдээллийг бүртгэнэ
a) Аялагчдын бүртгэл
b) Аяллын ложистикийн бүртгэл
13. Дараах өгүүлбэрүүдийг зөв дараалалд оруулна уу?
....Аяллын хөтөлбөрүүд болон төсөвт зардлыг аялагчаар болон нэгж
бүтээгдэхүүнээр тодорхойлно
....Захиалагчаас ирсэн саналуудын хувилбаруудыг бүртгэх боломжтой
....Захиалагчаас явуулсан санал бүрт үнийн санал илгээх боломжтой
....Аяллын хөтөлбөрүүдийн төлөвлөгөөг гаргана.
....Төлөвлөлтийг уян хатан хийх боломжтой.
....Ажилчдын хуваарилалтын төлөвлөгөөг гаргана.
9
Үйл ажиллагааны бүртгэл
? ?
Олон улсын аялал жуулчлал Хяналтын ажлын сан
....Аялагч бүрт ялгаатай нэмэлт үйлчилгээнүүдийг бүртгэн төсөвт зардлыг
тооцно.
14. Олон улсын аялал жуулчлалын бүс нутаг, байршлын схемд хүн амын тоог зөв
байршуул
15. Доорх улс орнуудын альных нь оршин суугчид 6-р сарын 22нд тэнгэрийн хойд
хагаст мандах нарыг хамгийн түрүүнд харах вэ?
Бельги, Канад, Парагвай , Хятад, Тунис, Афганистан, Орос, Украин, Нигер, Куба,
Хойд Солонгос, Казакстан, Камерун
16. Зурагзүйн үндсэн тусгалаас аль нь байхгүй байна вэ? Зургийг хараад хариулна
уу
A. Азимут
B. Цилиндр
C. Конус
D. Туйлын азимут
E. Бүгд байна
17. Мали улс дараах улсуудаас ямар улстай хиллэдэггүй вэ?
A. Мавритани
B. Алжир
C. Нигер
18. Дараах зургийг ажиглан уур амьсгалын зургийг газар нутгийн байршилттай
тохируул.
A. а-1 б-2
B. а-2 б-1
10
Олон улсын аялал жуулчлал Хяналтын ажлын сан
C. а-2
D. б-1
E. аль нь ч тохирохгүй
à á
1 2
19. Монголд “ес эхэлж” байхад нар хаана эгц тусах вэ?
A. Экватор дээр
B. Матрын зам дээр
C. Мэлхийн зам дээр
D. Матар, мэлхийн замын хооронд
E. Экватор, мэлхийн замын хооронд
20. Энэтхэгийн далайн эрэгт агаарын температур +280 С байсан бол Эверестийн
оройд хэдэн хэм байх вэ?
A. -250
B. -530
C. -880
D. 00
E. -1000
11
Олон улсын аялал жуулчлал Хяналтын ажлын сан
Бүлэг 2. Олон улсын аялал жуулчлалын үйлдвэрлэл
А. Мэдлэг шалгах даалгавар
1. 1971 онд гаргасан тодорхойлолтоор “.......................гэдэг нь аялагчдын аялал
хийх бүхий л хугацаанд тэдгээрийн хэрэгцээ, эрэлтэнд зориулан бүтээсэн
үйлдвэрлэлийн болон үйлдвэрлэлийн бус үйл ажиллагааны цогц” хэмээн
тодорхойлжээ.
a) Аялал жуулчлалын бараа
b) Аялал жуулчлалын систем
c) аялал жуулчлалын гэрээ
d) Аялал жуулчлалын бүтээгдэхүүн үйлчилгээ
2. 1851 онд Англи улсад ......................нэртэй анхны аялал жуулчлалын товчоо
байгуулагджээ.
a) Далайн аялагч
b) Тойрон аялагч
c) Томас Кук ба түүний хүүхдүүд
d) Дэлхийн аялагч
3. ..........................тээврийн салбарын өөрчлөлт хөгжил нь аялал жуулчлалын
тээврийн салбарын хөгжилд асар их өөрчлөлт хөгжлийг авчирсан.
a) Агаарын
b) Төмөр замын
c) Усан замын
d) Авто замын
4. Доорх хүснэгтийг гүйцээн бөглөж аялал жуулчлалын бүтээгдэхүүний бөөний
үнийн бүтцэд багтах хүчин зүйлсийг нэрлэнэ үү?
5. Тур операторын хамгийн гол үүргийг бич.
a) ……………………………………………………………………
b) Ханган нийлүүлэгчдийг болгоомжтой хянуур сонгох
c) Гэрээ хийгдэхээс өмнө брошюрын мэдээлэлд өөрчлөлт оруулсан
тухай мэдээлнэ.
d) Харилцан тохиролцсон үйлчилгээгээ зохих ёсоор нь үзүүлнэ.
6. Аялал жуулчлалын үйлдвэрлэлийн маркетингийн салбарыг тодорхойл.
a) Хоол, ундааны үйлчилгээ, байршуулахтай холбоотой асуудлыг
шийдвэрлэх үүрэг бүхий байгууллагууд
b) Зугаа цэнгээний ямар нэг үйл ажиллагаагаар жуулчдыг хангах зорилго
бүхий байгууллагууд
c) Бөөний болон жижиглэнгийн худалдааны агентлагууд, үндэсний
болон бүс нутгийн аялал жуулчлалын байгууллагууд
d) Бүх төрлийн тээврийн хэрэгслийн байгууллагууд
7. Аялал жуулчлалын боломжит эрэлт аль нь болохыг сонго.
a) Аялах жуулчлахыг хүсч буй хүмүүс
b) Аялал жуулчлалд оролцож буй хүмүүс
c) Аяллын бүтээгдэхүүнийг худалдан авах чадвар бүхий хүмүүс
d) Аялах сонирхолтой төлбөрийн чадвар бүхий хүмүүс
8. Аялал жуулчлалын бүтээгдэхүүний үндсэн хэрэгцээг тодорхойл
a) Хүмүүсийн хамгийн энгийн хэрэгцээ
b) Байршуулах хэрэгсэл, хоол, ундааны үйлчилгээ, тээврийн хэрэгсэл,
аюулгүй байдлын баталгаа
c) Зочид буудал, рестораны бүх төрлийн үйлчилгээ
d) Хөтөч-орчуулагчийн үйлчилгээ
9. Тур агентын орлого олох гол зарчим юу вэ?
a) Тур оператороос шууд санхүүжилт авах
b) Борлуулалтаас тодорхой хувийн ашиг авах
12
Олон улсын аялал жуулчлал Хяналтын ажлын сан
c) Жуулчдаас шууд орлого авах
d) Борлуулалтанд ашиг нэмэх
10. Тур агентыг байгууллагын бүтэц хэмжээгээр нь
a) Сүлжээний агент , Бие даасан агент
b) Бие даасан агент, Олон улсын агент
c) Олон улсын агент, Сүлжээний агент
d) Олон улсын агент, Сүлжээний агент, Бие даасан агент гэж ангилна
11. Сүлжээний тур агентыг хэд ангилдаг вэ?
a) 2
b) 3
c) 4
d) 5
12. On the spot буюу хэсэг газрын үйлчилгээг ямар сүлжээний агент үзүүлдэг вэ?
a) Сүлжээний агент
b) Бие даасан агент
c) Олон улсын агент
d) Олон улсын агент
13. Сүлжээний тур агентын үйл ажиллагааны гол зарчим юу вэ?
a) Ижил үйлчилгээ үзүүлэх
b) Ашиг олох
c) Жуулчин илгээх
d) Зуучлах
14. Тур агентыг эрхэлж буй бизнесийнх нь төрлөөр ........... ангилна.
a)2
b)4
c)3
d)5
15. Зөвхөн багц аялалын зохион байгуулалтаар төрөлжин үйл ажиллагаагаа
явуулдаг тур агент аль нь вэ?
a) Ерөнхий тур агент
b) Амралтын тур агент
c) Бизнес тур агент
d) Тусгай тур агент
16. Аялал жуулчлалын байгууллагыг …………………….ангилна.
a) 2
b) 3
c) 4
d) 5
17. Аялал жуулчлалын зах зээл дээрх 3 субьектийг нэрлэнэ үү?
a).............................................
b).............................................
c).............................................
18. Аялал жуулчлалын системийн үндсэн 5 элементийн нэрийг нэрлэ
a)
b)
c)
d)
19. Аялал жуулчлалын үйлдвэрлэлийн 7 салбарыг нэрлэнэ үү?
a)
b)
c)
d)
20. Тур агентын тур оператороос ялгагдах гол онцлогыг нэрлэ
a)
b)
13
Олон улсын аялал жуулчлал Хяналтын ажлын сан
c)
d)
21. Тур агентын эрхлэх үйл ажиллагаа
a)
b)
c)
d)
22. Аялал жуулчлалын үйлчилгээний байгууллагад хамаарах байгууллагуудыг
нэрлэ.
a)
b)
c)
d)
23. Жуулчны үйлчилгээний байгууллага нь дараах үйл ажиллагаа явуулахыг
хуулиар хориглодог.
a)
b)
c)
d)
24. Өндөр түвшинд бэлтгэгдсэн мэргэжлийн баг болон бусад шаардлагатай
үйлчилгээгээр бусад тур агентуудаа хангаж байдаг байгууллага бол
……………….юм.
a)
b)
c)
d)
25. IATA –товчилсон нэр
a)
b)
c)
d)
26. Жуулчдын орлогын түвшин, нийгмийн байдал, эрхэлдэг ажил, боловсролын
түвшинг харгалздаг сегментчилэл
a) Нийгэм, эдийн засгийн сегментчлэл
b) Хүн ам зүйн сегментчлэл
c) Сэтгэл зүйн сегментчлэл
d) Зан төлөвийн сегментчлэл
27. Тухайн хүний эрхэлж буй ажил, санхүүгийн боломжоос илүүтэйгээр амьдралын
дүр нь ямар ангид хамаардаг, үнэт зүйлсийн чиг баримжаа хэрхэн өөрчлөгдөж
буй, энэхүү өөрчлөлтийг дагаад хэрэглэгчийн зан төлөв хэрхэн яаж өөрчлөгдөж
байгааг тодорхойлдог сегментчилэл.
a) Нийгэм, эдийн засгийн сегментчлэл
b) Хүн ам зүйн сегментчлэл
c) Сэтгэл зүйн сегментчлэл
d) Зан төлөвийн сегментчлэл
28. Нас, хүйс, гэр бүлийн байдал, гэр бүлээр сегментчилэх нь чухал асуудал ба
тухайн бараа үйлчилгээг хэрэглэх, илүүд үзэх сегментчлэл
a) Нийгэм, эдийн засгийн сегментчлэл
b) Хүн ам зүйн сегментчлэл
c) Сэтгэл зүйн сегментчлэл
d) Зан төлөвийн сегментчлэл
29. Жуулчдын тухайн байгууллагын санал болгож байгаа үйлчилгээнд хандаж буй
хандлага, ашиглах байдал зэргээр ангилах сегментчлэл
a) Нийгэм, эдийн засгийн сегментчлэл
b) Хүн ам зүйн сегментчлэл
14
Олон улсын аялал жуулчлал Хяналтын ажлын сан
c) Сэтгэл зүйн сегментчлэл
d) Зан төлөвийн сегментчлэл
30. Бүс нутаг, орон орноор нь гарал үүсэл нэгтэй гэж үзэн сегментчилдэг. Нэг бүлэгт
хуваагдаж буй жуулчдад зан төлөвийн нэгдмэл стереотип заавал байдаг.
Тэдний хүлээлт, сонголт, ашиг харах зэрэг нь төстэй байдаг.
a) Нийгэм, эдийн засгийн сегментчлэл
b) Хүн ам зүйн сегментчлэл
c) Газар зүйн сегментчлэл
d) Зан төлөвийн сегментчлэл
Б. Чадвар шалгах даалгавар
1. Аялал жуулчлалын зорих газрын хөгжлийн шалгуур 5S, 5E -г тодорхойлно уу?
2. Олон улсын аялал жуулчлалын зорих газрын шалгууруудыг бичнэ үү?
a) сэтгэл хөдөлгөх
b) алжаал тайлах
c) танин мэдэхүйн
d) ...........................
e) .......................... ач холбогдолтой байх
3. Олон улсын аялал жуулчлалын зорих газрын шалгууруудыг бичнэ үү?
a) Аюулгүй
b) цэвэр орчинтой
c) сэтгэл ханамж төрүүлэхүйц
d) ........................................
e) ....................................... байх.
4. Аялал жуулчлалын шүүрэлт дараах замаар явагддаг.
a) Импортын бараа бүтээгдэхүүнээр дамжин
b) .......................................................................
5. Аялал жуулчлалд эерэг нөлөөлөх хүчин зүйлүүдээс буруу хариултыг олно уу?
a) Бодит орлогын өсөлт
b) Орлогын тэнцүү хуваарилалт
c) Валютын тогтвортой бус байдал
d) Валютын тогтмол ханш
6. Аялал жуулчлалд сөрөөр нөлөөлдөг хүчин зүйлүүдээс буруу хариултыг олно уу?
a) Эдийн засгийн хямрал болох
b) Учир байдлын(коньюнктур) ашигтай нөхцөл
c) Аж үйлдвэрийн бууралт (ажилгүйчүүдийн тоо өсөх, ажлын хөлс багасах,
түр зуурын ажил эрхлэлт)
d) Учир байдлын ашигтай бус ситуаци
7. Аялал жуулчлалын эдийн засгийн үүргийг тайлбарлана уу
15
?
? ?
?
?
5S
?
? ?
?
?
5E
Олон улсын аялал жуулчлал Хяналтын ажлын сан
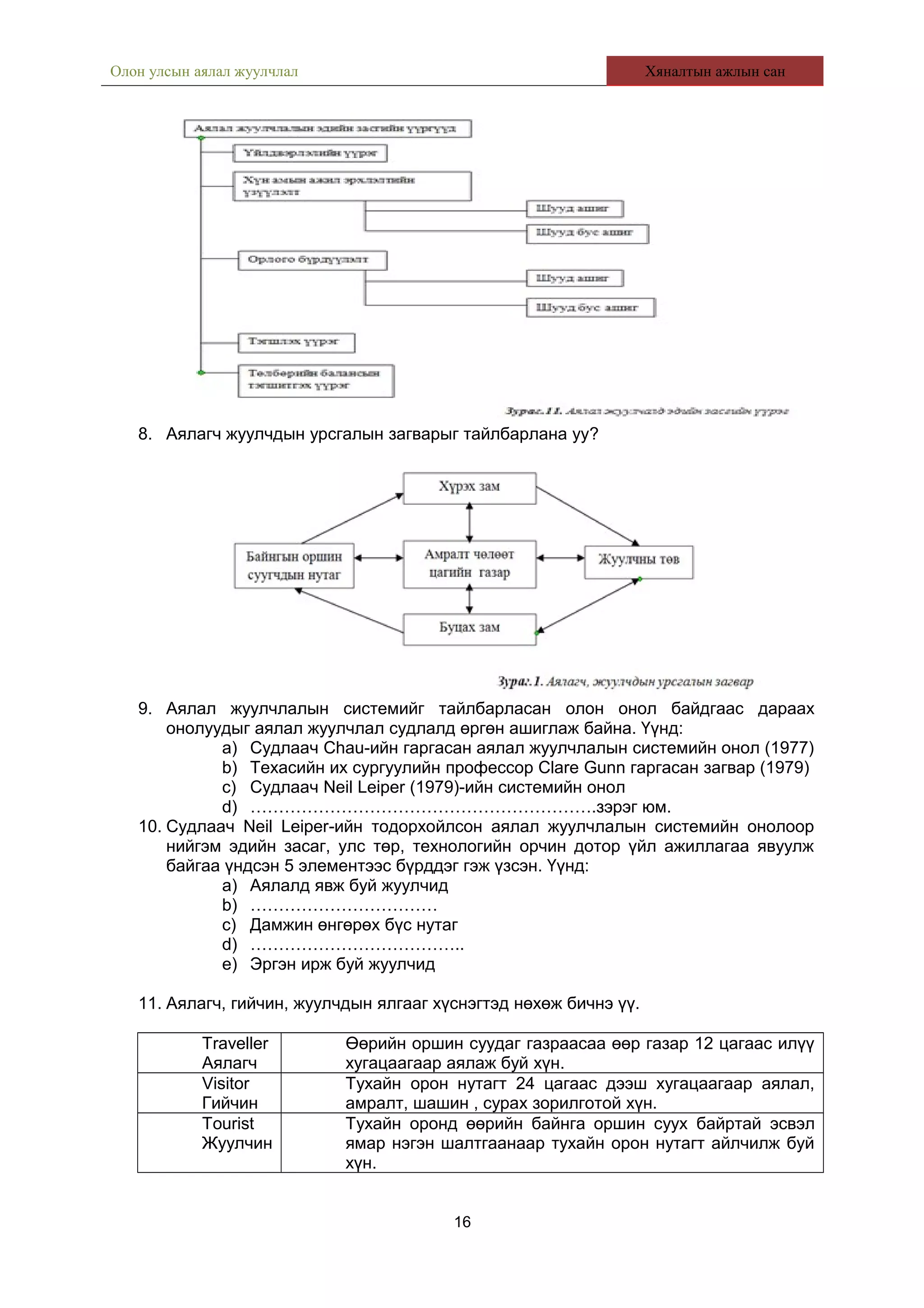
8. Аялагч жуулчдын урсгалын загварыг тайлбарлана уу?
9. Аялал жуулчлалын системийг тайлбарласан олон онол байдгаас дараах
онолуудыг аялал жуулчлал судлалд өргөн ашиглаж байна. Үүнд:
a) Судлаач Chau-ийн гаргасан аялал жуулчлалын системийн онол (1977)
b) Техасийн их сургуулийн профессор Clare Gunn гаргасан загвар (1979)
c) Судлаач Neil Leiper (1979)-ийн системийн онол
d) …………………………………………………….зэрэг юм.
10. Судлаач Neil Leiper-ийн тодорхойлсон аялал жуулчлалын системийн онолоор
нийгэм эдийн засаг, улс төр, технологийн орчин дотор үйл ажиллагаа явуулж
байгаа үндсэн 5 элементээс бүрддэг гэж үзсэн. Үүнд:
a) Аялалд явж буй жуулчид
b) ……………………………
c) Дамжин өнгөрөх бүс нутаг
d) ………………………………..
e) Эргэн ирж буй жуулчид
11. Аялагч, гийчин, жуулчдын ялгааг хүснэгтэд нөхөж бичнэ үү.
Traveller
Аялагч
Өөрийн оршин суудаг газраасаа өөр газар 12 цагаас илүү
хугацаагаар аялаж буй хүн.
Visitor
Гийчин
Тухайн орон нутагт 24 цагаас дээш хугацаагаар аялал,
амралт, шашин , сурах зорилготой хүн.
Tourist
Жуулчин
Тухайн оронд өөрийн байнга оршин суух байртай эсвэл
ямар нэгэн шалтгаанаар тухайн орон нутагт айлчилж буй
хүн.
16
Олон улсын аялал жуулчлал Хяналтын ажлын сан
12. Аялал жуулчлалын хөгжлийн түүхийг зөв дараалалд оруулна уу.
a) Аялал жуулчлалын хөгжилийн үе.
b) Жуулчлалын тээвэр хөгжлийн үе.
c) Дэлхийн 2 дайны хоорондох АЖ-ын хөгжлийн үе.
d) Аялал жуулчлалын эртний үе
a) d a c b b) d b c a c) a b c d d) d c b a
13. Аялал жуулчлалын хөгжлийн түүхэн дэхь алдарт аялагчдыг оны дарааллаар нь
зөв байрлалд оруулна уу.
a) Васко Де Гамо
b) Марко Поло
c) Америго Веспутимно
d)Ибн Баттута
a) a b c d b) d c b a c) c d b a d) b c d a
14. Дараахи аялалын төрлүүдийг олон улсын нэршилтэй нь зөв тохируул.
a) General interest tourist 1- Ерөнхий сонирхолын АЖ
b) Common interest tourist 2- Ижил сонирхолын АЖ
c) Special interest tourist 3- Тусгай сонирхолын АЖ
a) a-3 b) c-2 c) c-3 d) d-1
b-1 a-1 b-1 c-3
c-2 b-3 a-2 a-2
15. Доорхи олон улсын аялал жуулчлалын төрлүүдийг тодорхойлолтой нь
зөв харгалзуулна уу
a) Дотоодын АЖ 1- Аливаа улсын иргэн зөвхөн өөрийн
улс дотроо хийх хийх аялал.
b) Гадаад улс руу хийгдэх АЖ 2- Аливаа улсын иргэн өөрийн улсаас
гадагш өөр улс руу хийх аялал.
c) Гадаадаас ирэх АЖ 3- Тухайн улс оронд гадаадын орнуудаас
хүрэлцэн ирэх аялал жуулчлал.
a) a-1 b) a-1 c) a-3 d) a-1
b-3 c-3 b-1 b-2
c-2 b-2 c-3 c-3
16. Энэтхэгийн далайд гарч, Африк тивийн зүүнээс баруун тийш тойрсон
далайчны нэр ........
a) Марко Поло c) Ибн Баттута
b) Васко де Гамена d) Марко Поло
17. Аливаа улсын иргэн өөрийн улсаас гадагш өөр улс орон руу явах аялалыг . . .
a) Domestic tourism b) In bound tourism
c) Out bound tourism d) Internal tourism
18. Судлаач Жараф: Аялал жуулчлал гэдэг нь хүн өөрийн байнга оршин суугаа
газар нутгаас 1-183 хүртлэх хонгийн хугацаагаар амралт, сувилал, танин
мэдэхүйн зорилгоор болон ажил мэргэжлийн шугамаар өөр газар нутагт аялан
явахын хэлнэ хэмээжээ.
a) Үнэн
b) Худал
19. Тухайн аялалд оролцож буй аялагчийн хүсэл сонирхолд нийцэн зохион
байгуулагдаж буй аялалыг тусгай сонирхолын аялал гэнэ.
a) Үнэн
b) Худал
20. Доорхи хүснэгтийг гүйцээн бөглөж, жуулчдын ангиллыг бичнэ үү.
17
ЖуулчидЖуулчид
харилцаанд орох
байдлаар
Зохион
байгуулалтта
й
Жуулчид танин
мэдэхүйн шинж
чанараар
Дундаж
жуулчид
Нийгмийн
үнэлэмж
Олон улсын аялал жуулчлал Хяналтын ажлын сан
В. Хэрэглээ шалгах даалгавар
1. Зургийг ажиглаад салхины чиглэлийг тодорхойлон агаарын тээвэрт хэрхэн
нөлөөлдгийг тодорхойл .
A. далайгаас уул руу салхилж байна.
B. уул давж далай руу салхилж байна.
C. нуураас ууршсан усны уурыг салхи уул өөд түрж байна
D. бүр алсаас наашилж байна.
E. салхигүй байна.
2. Хаана ямар аялалын төрөл тархсаныг тохируулан сонго.
A. 1â, 2à, 3á, 4ã
B. 1à, 2á, 3ã, 4â
C. 1à, 2â, 3ã, 4á
D. 1â, 2à, 3ã, 4á
E. 1à, 2á, 3â, 4ã
3. Дараах зурагт 2-ын тоо ямар нуурыг тэмдэглэсэн бэ?
A. Хөвсгөл
B. Тэрхийн цагаан нуур
C. Улаан нуур
D. Үүрэг нуур
E. Ачит нуур
18
Äóãàà
ð
Олон улсын АЖ-ын á¿ñ èíäåêñ õýâ øèíæ
1 à
2 á
3 â
4 ã
Олон улсын аялал жуулчлал Хяналтын ажлын сан
4. Хотгор гүдгэрийг дүрслэдэг аргуудыг санаад аялалын ямар төрөлд тохирохыг
тэмдэглэ.
A. а-уул б-тал
B. а-уул б-хотгор
C. а-уул б-уул
D. а-хотгор б-тал
E. а-хотгор б-уул
5. Агаарын температур нэмэгдэх тусам түүнд агуулагдах усны уурын хэмжээ
ихэсдэг. +100 С –тай байсан агаар гэнэт хүйтэрвэл яах вэ?
A. Хавар болно.
B. Шүүдэр цан хяруу унана
C. Намар болно
D. Цас бороо орно
E. Салхи шуурч тэнгэр муухайрна
6. Дараах үүлнүүдийн алинаас нь хур тунадас орох вэ? Агаарын температур аялал
жуулчлалд ямар нөлөө үзүүлдэг вэ?
19
•1173.8
À
• 1173.8
Á
Олон улсын аялал жуулчлал Хяналтын ажлын сан
A B C D E
7. Байрзүйн зурагны дээд талд буюу 1-р тэмдэглэгээнд У-33-65-А-б гэж бичжээ.
Үүний олон улсын нэрийг юу гэдэг вэ?
A. Топографи
B. Картографи
C. Номенклатур
D. Легенд
E. Зурагзүй
8. Дараах зураг дээр “Гурван тивийн дундах тэнгис”-ийг ямар үсгээр тэмдэглэсэн
байна вэ?
A. F
B. P
C. L
D. D
20
Олон улсын аялал жуулчлал Хяналтын ажлын сан
E. R
9. Цаг агаарын (синоптик) зургийг ажиглаад энэ өдөр тэнгэр ерөнхийдөө ямар
байгааг тодорхойл.
A. Тэнгэр бүрхэг
B. Тэнгэр цэлмэг
C. Салхигүй
D. Хүйтэн
E. Цастай
10. Далайн хүйтэн урсгал, агаарын даралтын нөлөөнөөс болж үүсдэг уур амьсгал нь
халуун ургамлын нөмрөг бараг үгүй байгалийн бүсийг олно уу? Уг бүс нутагт
аялал жуулчлалын ямар төрөл голчлон явагддаг вэ?
A D
B C
E
11. Дараах зурагт олон улсын аялал жуулчлалын бүс нутгуудыг тэмдэглэ
21
Олон улсын аялал жуулчлал Хяналтын ажлын сан
12. Европын бүс нутгийн аялал жуулчлалын орлогоор тэргүүлэгч улсуудыг тэмдэглэ
13. Олон улсын жуулчдын тооны өсөлт % /1950-2005/ -г харуулсан байна. Үүнд
үндэслэн бүс нутгуудын аялал жуулчлалын өсөлтийн хувийг 20 жилээр гаргана
уу?
Äýëõèé Àôðèê Àìåðèê
Àçè Íîìõîí
Äàëàéí îðíóóä
Åâðîï
Îéðõè
Äîðíîä
1950-1960 10.6 3.7 8.4 14.1 11.6 12.3
1960-1970 9.1 12.4 9.7 21.6 8.4 11.5
1970-1980 5.3 11.6 4.0 13.9 4.7 14.3
1980-1990 4.7 7.8 4.1 9.3 4.1 3.1
22
Олон улсын аялал жуулчлал Хяналтын ажлын сан
1990-1995 4.2 6.1 3.3 8.0 3.5 7.3
1995-2000 4.9 6.7 3.3 6.0 4.7 12.0
2000-2001 0.0 3.0 -4.7 4.7 -0.2 1.4
2001-2002 2.9 2.8 -4.4 7.9 3.0 16.1
2002-2003 -1.7 5.3 -3.1 -9.3 0.0 3.7
2003-2004 10.1 9.1 11.1 27.3 4.3 22.8
2004-2005 5.5 8.3 6.2 7.8 4.0 7.6
2005-2006 5.4 9.9 1.9 8.0 5.0 7.8
2006-2007 6.1 7.9 4.7 10.2 4.2 13.4
14. Олон улсын аялал жуулчлалын орлогын 2020 он хүртлэх таамаглалыг жилийн
дундаж өсөлттэй харьцуулан дүгнэлт хийнэ үү
1995
îí
2005
îí
Çàõ çýýëä ýçëýõ
õóâü
Æèëèéí
äóíäàæ
ºñºëò
2010
îí
2020
îí
Ñàÿ $ 1995 îí 2020 îí
1995-
2020
Äýëõèé
565 682.7 1006 1561 100 100 4.1
Àôðèê òèâ 20 21.5 47 77 3.6 5.0 5.5
Àìåðèê òèâ 110 144.6 190 282 19.3 18.1 3.8
Àçè Íîìõîí äàëàéí
îðíóóä
85 140.8 206 416 15.1 26.6 6.3
Åâðîï òèâ 336 348.3 527 717 59.8 45.9 3.1
Îéðõè Äîðíîä 14 27.6 36 69 2.2 4.4 6.7
15. Олон улсын жуулчдын тооны прогноз, бүс нутгаар 2020 оны прогнозыг 2000
онтой харьцуулсан дүнгээс хамгийн их өсөлттэй байх бүс нутгийг олно уу
16. Олон улсын аялал жуулчлалын захиалгын системийн үйл явцыг тайлбарла.
Үзэсгэлэн яармаг Хэрэглэгч
23
Ази, Номхон далай
Африк тив
Ойрхи Дорнод
Европ тив
Америк тив
Олон улсын аялал жуулчлал Хяналтын ажлын сан
17. Олон улсын аялал жуулчлалын захиалгын системд оролцогчдыг нэрлэнэ үү
18. Олон улсын жуулдын мэдээллийн эх сурвалж (зах зээллийн ангиллаар)-ийг
харуулжээ. Дүгнэлт гаргана уу
Мэдээллийн
эх үүсвэр
Ази
%
АНУ
%
Герман Франц Англи Бусад
баруун
европ
%
Зүүн Бусад Нийт
% % % Европ Орнууд %
% %
ННХС 34 41 45 28 24 35 31 33 36
Урьдны
айлчлал
18 20 21 14 24 11 29 19 18
Травел агент/
тур оператор
11 23 10 23 12 19 3 12 16
Интернет
Телевиз,
радио, сонин
13 24 14 18 18 17 12 26 15
Аялалын
лавлах ном
10 4 14 16 5 6 7 6 8
Тусгай
сэтгүүл
Бизес/ албан
ёсны
32 41 42 47 49 43 16 44 40
Бусад эх
үүсвэр
5 8 7 9 6 11 1 4 7
41 29 25 13 39 25 59 38 32
7 10 6 15 8 14 16 5 10
Нийт 171 200 184 183 185 181 174 187 185
24
Аялал
жуучлалын
байгууллага
Гадаадын
тур
оператор
Аялал
жуучлалын
байгууллага
Интернет,
вэб сайт
Интернет,
вэб сайт
Гадаадын
тур
оператор
Олон улсын аялал жуулчлал Хяналтын ажлын сан
Дундаж 17.1 20 18.4 18.3 18.5 18.1 17.4 18.7 18.5
Ярилцлага
авсан хүний
тоо
291 386 165 139 102 247 68 108 1506
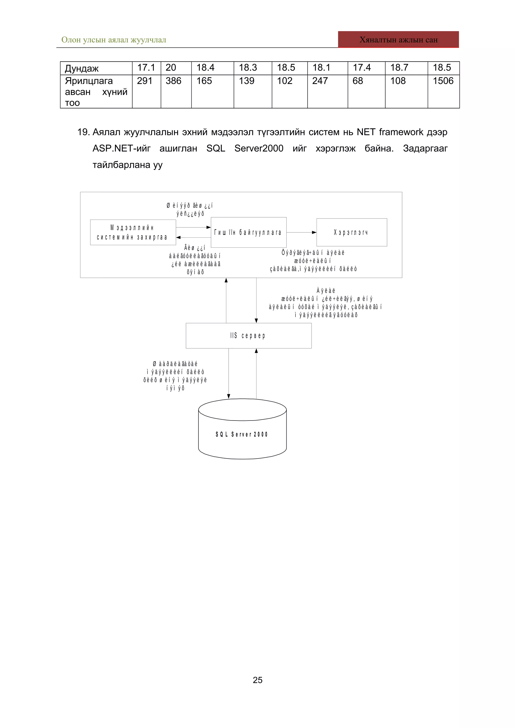
19. Аялал жуулчлалын эхний мэдээлэл түгээлтийн систем нь NET framework дээр
ASP.NET-ийг ашиглан SQL Server2000 ийг хэрэглэж байна. Задаргааг
тайлбарлана уу
М э д э э л л и й н
с и с т е м и й н з а х и р г а а
Г и ш їїн б а й г у у л л а г а Х э р э г л э г ч
IIS с е р в е р
S Q L S e r v e r 2 0 0 0
Ø è í ý ý ð ãè ø ¿ ¿ í
ý ë ñ ¿ ¿ ë ý õ
Õ ý ð ý ãë ý ã÷ ä û í à ÿ ë à ë
æ ó ó ë ÷ ë à ë û í
ç à õ è à ë ãà ,ì ý ä ý ý ë ë è é í õ à é ë ò
À ÿ ë à ë
æ ó ó ë ÷ ë à ë û í ¿é ë ÷ è ë ãý ý , ø è í ý
à ÿ ë à ë û í òó õ à é ì ý ä ý ý ë ý ë , ç à õ è à ë ãû í
ì ý ä ý ý ë ë è é ã ÿ â ó ó ë à õ
Ø à à ð ä ë à ãà òà é
ì ý ä ý ý ë ë è é í õ à é ë ò
õ è é õ ø è í ý ì ý ä ý ý ë ý ë
í ý ì ý õ
Ã è ø ¿ ¿í
á à é ãó ó ë ë à ãó ó ä û í
¿ é ë à æ è ë ë à ãà à ã
õ ÿ í à õ
25
Олон улсын аялал жуулчлал Хяналтын ажлын сан
Бүлэг 3. Олон улсын аялал жуулчлалын бүс нутгууд
А. Мэдлэг шалгах даалгавар
1. Дэлхийн аялал жуулчлалын байгууллагаас дэлхийн улс орнуудыг газарзүйн
байрлал, түүх, зан заншил, шашин болон эдийн засаг, нийгмийн хөгжлийн
түвшин, аялал жуулчлалд татагдан орсон байдал зэргийг харгалзан олон улсын
аялал жуулчлалын ....................бүс нутгийг ангилан тогтоосон байдаг.
a)5
b)6
c)7
d)8
2. Дэлхийн аялал жуулчлалын байгууллагаас дэлхийн улс орнуудыг газарзүйн
байрлал, түүх, зан заншил, шашин болон эдийн засаг, нийгмийн хөгжлийн
түвшин, аялал жуулчлалд татагдан орсон байдал зэргийг харгалзан олон улсын
аялал жуулчлалын 6 бүс нутгийг ангилан тогтоосон байдаг. Үүнд:
1. Европын бүс нутаг
2. Америкийн бүс нутаг
3. Африкийн бүс нутаг
4. Зүүн Ази болон Номхон далайн бүс нутаг
5. Өмнөд Азийн бүс нутаг
6. ......................бүс нутаг
a)Австрали
b)Төв Ази
c)Ойрхи Дорнод
d)Карибын
3. 2013 оны статистикаар олон улсын аялал жуулчлалын салбарын жилийн дундаж
өсөлт........ хувьтай байна.
a) 5.1
b) 4.1
c) 4.8
d) 4.9
4. Европын бүс нутгийн аялал жуулчлалын онцлог
a) Түүх соёлын аялал жуулчлал өндөр хөгжсөн
b) Ангийн аялал жуулчлал хөгжсөн
c) ..................................................
d) ..................................................
5. Америкийн бүс нутгийн аялал жуулчлалын онцлог
a)
b)
c)
d)
6. Африкийн бүс нутгийн аялал жуулчлалын онцлог
a)
b)
c)
d)
7. Зүүн Ази болон Номхон далайн бүс нутгийн аялал жуулчлалын онцлог
a)
b)
c)
d)
8. Өмнөд Азийн бүс нутгийн аялал жуулчлалын онцлог
a)
b)
c)
26
Олон улсын аялал жуулчлал Хяналтын ажлын сан
d)
9. Ойрх Дорнодын бүс нутгийн аялал жуулчлалын онцлог
a)
b)
c)
d)
10. Жуулчдын урсгал 1995 онд 60% байсан бол урьдчилсан тооцоогоор 2020 онд
багасч 46% болтол буурах төлөвтэй байгаа бүс нутаг
a) Америкийн бүс нутаг
b) Өмнөд Азийн бүс нутаг
c) Европын бүс нутаг
d) Африкийн бүс нутаг
11. Ойрхи Дорнод болон Африкийн бүс нутгийн аялал жуулчлалын өсөлт
a) 1-2
b) 5-6%,
c) 3-4
d)10-11
12. 2020 он хүртэл дэлхий даяар нийт жуулчлагчдын дийлэнх хувь дараах топ
гурван бүс нутгаас жуулчлах хандлагатай байна. Үүнд: Европ -717 сая жуулчин,
Номхон далай болон Зүүн Өмнөд Ази-397 сая жуулчин, ..................................
a) Америк-282 сая жуулчин
b) Африк 234 сая жуулчин
c) Өмнөд Ази 256 сая жуулчин
d) Ойрхи Дорнод 241 сая жуулчин
13. Дэлхийн аялал жуулчлалын байгууллагын тооцоолсноор 2020 онд жуулчид
хамгийн ихээр хүлээн авах улсууд
a) БНХАУ
b) Испани
c) АНУ
d) Итали
14. Дэлхийн аялал жуулчлалын байгуллагын тооцоолсноор 2020 онд жуулчид
хамгийн ихээр илгээх улсууд
a) АНУ
b) Хятад
c) Хонгконг
d) Герман
15. Аялал жуулчлалын ирээдүйн хөгжлийн хандлага бүс нутгуудаар болон
аялагчдын нас, хүйс, орлого, аялалын зорилго, жуулчдын эрэлт хэрэгцээ зэрэг
олон хүчин зүйлүүдээс хамааран өөрчлөгдөж байгаагаас
гадна .................................. илт давамгайлах болсон байна.
a) Нийтийг хамарсан зах зээлд зориулсан аялалын бүтээгдэхүүнээс
тусгай зах зээл рүү чиглэсэн бүтээгдэхүүн
b) Нийтийг хамарсан зах зээл рүү чиглэсэн бүтээгдэхүүн
c) Тусгай зах зээл рүү чиглэсэн бүтээгдэхүүн
d) Адал явдалт аялалын бүтээгдэхүүн
16. Олон улсын аялал жуулчлалын орчин үеийн чиг хандлага болж байсан 3S буюу
аялал амралтын 3 чиг хандлагыг тодорхойл.
a) Sun, sea, service
b) Sun, sea, sand
c) Sun, sand, service
d) Service, sand sea
17. Олон улсын аялал жуулчлалын орчин үеийн шинэ чиг хандлага болж буй 3L
буюу аялал амралтын 3 чиг хандлагыг тодорхойл.
a) Lore, landscape, ...........
27
Олон улсын аялал жуулчлал Хяналтын ажлын сан
18. Хүлээн авч үйлчлэх жуулчдын тоогоор дэлхийд тэргүүлдэг 3 улс аялал
жуулчлалын ямар бүсэд хамаарах вэ?
a) Европ
b) Африк
c) Америк
d) Ази, Номхон далайн бүс
19. Доорх олон улсын аялал жуулчлалын байгууллагуудаас Засгийн Газар
хоорондын бус / NGO/ байгууллагуудыг нь нэрлэ.
1. Европын Аялал жуулчлалын Комисс / ETC/
2. ОУ-ын Иргэний Агаарын Тээврийн Холбоо /IATA/
3. ОУ-ын Иргэний Нисэхийн байгууллага / ICAO/
4. Ази, Номхон далайн АЖ-ын Холбоо /PATA/
5. Дэлхийн АЖ-ын байгуулллага / WTO/
6. Японы АЖ-ын Агентуудын Холбоо /JATA/
a)
b)
c)
d)
20. Дэлхий дахины хэмжээнд аялал жуулчлалын бодлого, түүний хөгжлийн
асуудлууд, аялал жуулчлалын бүхий л салбарыг хамарсан үйл ажиллагаа
явуулдаг засгийн газар хоорондын байгууллага
a) Дэлхийн аялал жуулчлалын газар
b) Дэлхийн аялал жуулчлалын байгууллага
c) Олон улсын жуулчны байгууллага
d) Олон улсын аялал жуулчлалын төв
21. Дэлхийн аялал жуулчлалын байгууллагын төв нь .......................... хотод
байрладаг.
a) Италийн Малин
b) АНУ-н Вашингтон
c) Испанийн Мадрид
d) Бельгийн Бруселль
22. Дэлхийн аялал жуулчлалын байгууллага...................... нд 51 гишүүн
байгууллагатайгаар байгуулагдсан.
a) 1975
b) 1945
c) 1976
d) 1970
23. Дэлхийн аялал жуулчлалын байгууллагын гол зорилго нь
a) Олон улсын хэмжээнд аялал жуулчлалын үйл ажиллагаагаар улс
орнуудын хүн амын боловсролыг дэмжихэд оршино.
b) Жуулчдын сонирхолыг татах байгалийн болон соёлын онцлог зүйлүүд,
газар нутгийн тогтоц, унаган болон ховор ургамал, амьтан, соёл урлагийн
арга хэмжээ, түүхийн хөшөө дурсгалуудыг хайрлан хамгаалахад оршино.
c) Аялал жуулчлалын хөгжил нь эдийн засгийн өсөлтөд хувь нэмэр
оруулах, олон улсын харилцан ойлголцол, энх тайван байдал, хөгжил
цэцэглэлтийг дэмжих, хөгжүүлэхэд чухал хэрэгсэл болгон ашиглахад
оршино.
d)Аялал жуулчлалын мэргэжлийн байгууллагаар дамжуулан зохион
байгуулагдаж байгаа үйл ажиллагаа, нөөц бололцоо, үйлчилгээний
нэгдэлийг хангахад оршино.
24. Дэлхийн аялал жуулчлалын байгууллагын гишүүнчлэлийг ..............ангилдаг.
a)3
b)4
c)5
d)6
28
Олон улсын аялал жуулчлал Хяналтын ажлын сан
25. Дэлхийн аялал жуулчлалын байгууллагын гишүүнчлэл
a) Жинхэнэ гишүүн ( Full member), холбоотон гишүүн (Associate member),
харгалзагч гишүүн (Affiliate membership)
b) Жинхэнэ гишүүн ( Full member), хам гишүүн (Associate member),
дэмжигч гишүүн (Affiliate membership)
c) Идэвхтэй гишүүн ( Full member), холбоотон гишүүн (Associate member),
дэмжигч гишүүн (Affiliate membership)
d) Жинхэнэ гишүүн ( Full member), холбоотон гишүүн (Associate member),
дэмжигч гишүүн (Affiliate membership)
26. Жинхэнэ гишүүн болох эрх нь ........................... улс орнуудын өмнө нээлттэй
байдаг.
a) Тусгаар тогтносон
b) Колони
c) Арал
d) Холбоотон
27. .............................болох эрх аялал жуулчлалын бүхий л салбарт үйл ажиллагаа
явуулж буй байгууллагуудад нээлттэй байдаг.
a) Холбоотон гишүүд
b) Жинхэнэ гишүүд
c) Дэмжигч гишүүд
d) Идэвхтэй гишүүд
28. Холбоотон гишүүн орнууд дотроо бизнесийн зөвлөл, боловсролын
зөвлөл.............................гэж 3 хуваагдана.
a) Аялалын асуудал эрхэлсэн зөвлөл
b) Гишүүнчлэл эрхэлсэн зөвлөл
c) Зорих газрын менежментийн асуудлууд эрхэлсэн зөвлөл
d) ..........................................................
29. Дэлхийн аялал жуулчлалын байгууллагын үндсэн бүтэц
a)
b)
c)
d)
30. Дэлхийн аялал жуулчлалын байгууллага нь анх 1925 онд .......................аялал
жуулчлалуудын байгууллагуудын олон улсын нэгдэл нэртэйгээр байгуулагдсан.
a) Италийн Малин
b) Нидерландын Гаага
c) АНУ-н Вашингтон
d) Испанийн Мадрид
Б. Чадвар шалгах даалгавар
1. Дэлхийн аялал жуулчлалын байгууллагын эрх барих дээд байгууллага
нь....................... гэсэн бүтэцтэй
a) Ерөнхий ассамблей, удирдах зөвлөл, тамгын газар
b) Ерөнхий ассамблей, удирдах зөвлөл
c) Ерөнхий ассамблей, тамгын газар
d) Удирдах зөвлөл, тамгын газар
2. Дэлхийн аялал жуулчлалын байгууллагын эрх барих дээд байгууллага
нь ........................юм. бөгөөд жинхэнэ болон холбоотон гишүүн орнуудаас
төлөөлөл оролцуулж 2 жилд 1 удаа хуралддаг.
a) Ерөнхий Ассамблей
b) Удирдах зөвлөл
c) Тамгын газар
d) Холбооны газар
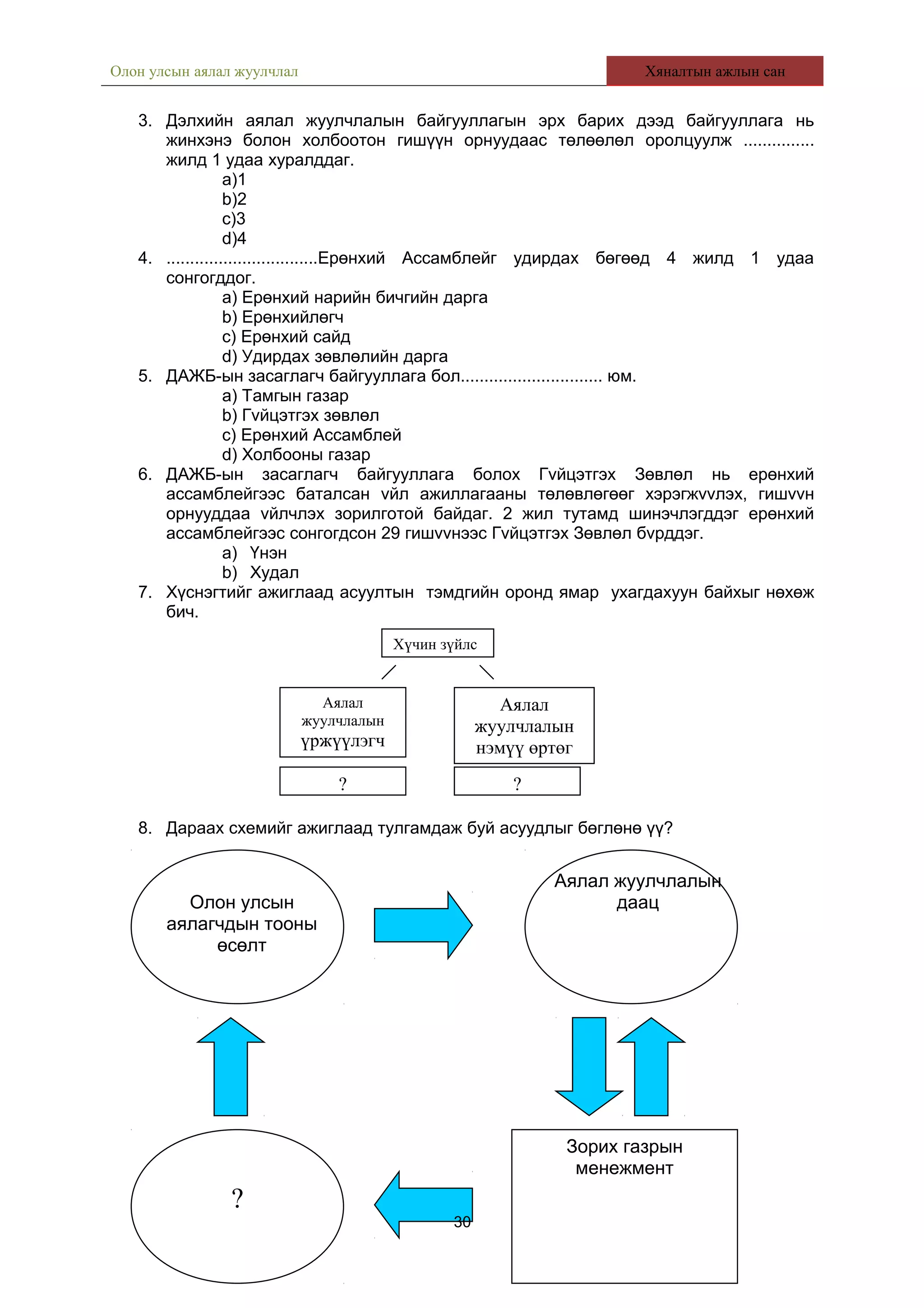
29
Олон улсын
аялагчдын тооны
өсөлт
Аялал жуулчлалын
даац
Зорих газрын
менежмент
?
Олон улсын аялал жуулчлал Хяналтын ажлын сан
3. Дэлхийн аялал жуулчлалын байгууллагын эрх барих дээд байгууллага нь
жинхэнэ болон холбоотон гишүүн орнуудаас төлөөлөл оролцуулж ...............
жилд 1 удаа хуралддаг.
a)1
b)2
c)3
d)4
4. ................................Ерөнхий Ассамблейг удирдах бөгөөд 4 жилд 1 удаа
сонгогддог.
a) Ерөнхий нарийн бичгийн дарга
b) Ерөнхийлөгч
c) Ерөнхий сайд
d) Удирдах зөвлөлийн дарга
5. ДАЖБ-ын засаглагч байгууллага бол.............................. юм.
a) Тамгын газар
b) Гvйцэтгэх зөвлөл
c) Ерөнхий Ассамблей
d) Холбооны газар
6. ДАЖБ-ын засаглагч байгууллага болох Гvйцэтгэх Зөвлөл нь ерөнхий
ассамблейгээс баталсан vйл ажиллагааны төлөвлөгөөг хэрэгжvvлэх, гишvvн
орнууддаа vйлчлэх зорилготой байдаг. 2 жил тутамд шинэчлэгддэг ерөнхий
ассамблейгээс сонгогдсон 29 гишvvнээс Гvйцэтгэх Зөвлөл бvрддэг.
a) Үнэн
b) Худал
7. Хүснэгтийг ажиглаад асуултын тэмдгийн оронд ямар ухагдахуун байхыг нөхөж
бич.
8. Дараах схемийг ажиглаад тулгамдаж буй асуудлыг бөглөнө үү?
30
Аялал
жуулчлалын
үржүүлэгч
Аялал
жуулчлалын
нэмүү өртөг
? ?
Хүчин зүйлс
Олон улсын аялал жуулчлал Хяналтын ажлын сан
9. Найз нь захиа илгээв. Чи манайд ирэхдээ Өлзийт өртөөнд буугаад урагшаа
доворхог газраар явж, бургасан дундуур явсаар ойн захад ирнэ. Тус ой нь
нарсан ой байх бөгөөд ойгоос гарч жалга дайран манай ирнэ. Дараахь
томьёололоос сонго.
10. Дараах бүтцийг орчуулан тайлбарлана уу?
Front Office Manager
Reservations
Manager
Reception
Manager
Reservations
Staff
Shift Leader
Receptionists
Keys & Enquiries
Supervisor
Parcels
Telex
Switchboard
Mail
Head
Cashier
Cashiers
Head Porter
Luggage
Porters
Lift
Attendants
Doorman
Cloakroom
Attendants
11. Доорх олон улсын аялал жуулчлалын тээврийн системийн бүтцийг тайлбарлана
уу?
Capacity
Terminal
Route
Bottleneck
Transfer
Reliability Integration
Hub / Gateway
31
Олон улсын аялал жуулчлал Хяналтын ажлын сан
12. Дараах зурагт үндэслэн олон улсын аялал жуулчлалын тээврийн системын
бүтэц, оролцогчдын хамаарлыг тайлбарлана уу?
Infrastructures
Passengers
Freight Information
13. Олон улсын аялал жуулчлалын тур операторын салбарын оролцогчдын гол yйл
ажиллагааг тайлбарлана уу?
14. Олон улсын аялал жуулчлалын орчин нөхөж бичнэ үү?
32
Òóð îïåðàòîð, òóð
àãåíò
Áàíê ñàíõ¿¿ãèéí
áàéãóóëëàãóóä
Çàñãèéí ãàçàð àÿëàë
æóóë÷ëàëûí óäèðäàõ
áàéãóóëëàãóóä
¯éë÷ë¿¿ëýã÷èä
Àÿëëûí àãåíòóóä áóñàä
ò¿íø, çóó÷ëàã÷èä
ªðñºëäºã÷èä Õóâü íèéë¿¿ëýã÷èä
Óóð àìüñãàë
Õýâëýë ìýäýýëýë, çàð
ñóðòàë÷èëãààíû
àãåíòëàã
Õàíãàí íèéë¿¿ëýã÷èä
Õóóëü ýðõ ç¿é
ªðñºëäºã÷
á¿òýýãäýõ¿¿¿ä
Õ¿í àì ç¿éí ººð÷ëºëò
Ìàêðî îð÷èí
Óëñ òºðèéí
Ýäèéí
çàñãèéí
Áàéãàëü
ýêîëîãèéí
Олон улсын аялал жуулчлал Хяналтын ажлын сан
Бүлэг 4. Олон улсын аялал жуулчлалын асуудлууд
А.Мэдлэг шалгах даалгавар
1. Хэдэн жилийн дотор дэлхийн хүн ам 2 дахин өсөх болсон вэ?
a) 20 жил
b) 30 жил
c) 40 жил
d) 50 жил
2. Хөгжингүй орнуудын 1000 хүн ам тутамд ногдох төрөлт, нас баралт, ердийн
өсөлтийг зөв тодорхойлсон мөрийг ол.
a) 24-9 =15
b) 26-9 =17
c) 13-10=3
d) 15-5=10
3. 100 саяаас олон хүн амтай улсуудыг сонго.
a) Герман, Хятад, Швед, Афганистан
b) Хятад, Энэтхэг, АНУ, Индониз, Бразил
c) Хятад, Кени, Пакистан, Энэтхэг
d) Энэтхэг,Хятад, Никрагуа, Итали
4.Дэлхийн II дайны дараа дэлхийн хүн амын шилжих хөдөлгөөний гол төв
болсон орнуудыг сонго.
a) АНУ,Канад,
b) Австрали, Шинэ Зеланд
c) Баруун Европийн орнууд
d) Баруун өмнөд Ази
5. Хотжилтийн түвшинг юугаар тодорхойлох вэ?
a) Шинэ шинэ хотууд байгуулагдан хотын хүн амын тоо, хувь өсч, хот
маягийн амьдралын хүрээ тэлэх
b) Хотын хүн амын тоо өсч, боловсролын түвшин өндөр болсон
c) Шинэ хотууд байгуулагдаж хөдөө аж ахуй эрчимжсэн
d) Зам сүлжээ сайжирч, шинэ хотууд байгуулагдах
6. Хотын төвлөрөл буюу агломерацийг зөв тодорхойлсныг ол.
a) Хотын хүн ам ихээхэн төвлөрсөн хэсгийг
b) Хотууд их хэмжээний талбайг эзлэн бие биетэйгээ нийлж
тэнгэрийн заадас маягийн хот суурингийн төвлөрлийг бий болгохыг
c) Олон сая хүн амтай том хотыг
d) Байгалийн баялагт түшиглэн хот үүсэхийг
7. Алийг нь хүн амын ердийн хөдөлгөөн гэдэг вэ?
a) Төрөлтөөс нас барсан хүний тоог хассаныг
b) 1000 хүн тутмаас төрсөн, нас барсан хүний тоог
c) 1000 хүн тутамд ногдох төрөлт, нас баралтын ялгаврыг
d) 1000 хүн тутамд ногдох хүн амын өсөлтийг
8. Хүн амын төрөлтийн хэтийн төлөвийг хамгийн нарийвчлалтай үзүүлэх
коэффициент аль нь вэ?
a) Төрөлтийн тусгай коэффициент
b) Төрөлтийн ерөнхий коэффициент
c) Төрөлтийн насны үечлэлийн коэффициент
d) Нөхөн үржихүйн коэффициент
9. Доорхи хувилбарын дундаас зөвийг нь ол.
a) Өнөөгийн байдлаар дэлхий дээр хотын хүн ам 30%-иас хэтрэхгүй
b) 45 орчим хувь нь хотод суудаг.
c) 50 гаруй хувь нь хотод байна.
d) 60 гаруй хувь нь хотод төвлөрч байна.
10. Хүн амын 52%-ыг Пүштүүн, 20%-Тажик, 9%-Хазаар бас 9%-Үзбек,
33
Олон улсын аялал жуулчлал Хяналтын ажлын сан
3%-Түркмен, 1%-Белүж бас тийм хувийг Нүристанчууд эзэлдэг ямар улс байгааг
ол.
a) Иран
b) Сомали
c) Филиппин
d) Афганистан
11. Австрали тивийн талбай, хүн амын тоог зөв харьцуулсан нь аль вэ?
a) 8 сая ам км-28 сая хүн
b) 44 сая ам км-3.2 тэрбум хүн
c) 10.4 сая ам км-692.1 сая хүн
d) 30.0 сая ам км-682 сая хүн
12. Хүн амын ердийн хөдөлгөөн 13-10=3 гэсэн үзүүлэлт аль хэв шинжийн оронд
зонхилох вэ?
a) Хөгжингүй орнуудад
b) Хөгжиж байгаа орнуудад
c) Дунд зэргийн хөгжилтэй орнуудад
d) Түргэн хөгжиж байгаа орнуудад
13. Зөв мөрийг сонгон авч тодорхойлолтыг гүйцээ. Үүнд: Хүн ам зүйн бодлого
……………………………..ийг хэлнэ.
a) Хүн амын дундаж наслалтыг зохицуулах
b) Нийгэм, эдийн засгийн хөгжлийн дагуу хүн амынхаа төрөлт, нас
баралт ба ердийн өсөлтийн өөрчлөлтийг дэс дараатай зохицуулах
c) Хүн амынхаа ердийн хөлдөлгөөнд нөлөөлөх зорилгоор төрөөс
хэрэгжүүлж буй арга хэмжээний цогцолборыг
d) Хүн амын шилжин явах, гаднаас шилжин ирэх хөдөлгөөнийг
зохицуулахыг
14. Дэлхийн зарим оронд хүн ам өлсгөлөнд нэрвэгдэж байгаагийн шалтгаан
юунд оршиж байна вэ?
a) Хүн ам их өсөж, өвчин эмгэг дэлгэрсэн, ажилгүйдэл
b) Байгалийн нөөц хомсдож хотын хүн ам ихэссэн
c) Хүн ам хэт өсч, байгалийн нөөц хязгаарлагдмал болж ажилгүйдэл
ихэссэн
d) Үйлдвэрлэх хүчний хөгжил сул дорой, байгалийн нөөцийн
ашиглалт хангалтгүй болсон.
15. Хүн амын өсөлтөнд хамгийн шийдвэрлэх үүрэгтэй хүчин зүйлийг сонго.
a) Хүн амын тоо их, бага байх
b) Нас, хүйсний тэнцвэр, хүн ам зүйн бодлого
c) Төрөх насны эмэгтэйчүүдийн тоо, гэрлэлт
d) Боловсролын түвшин хөдөлмөр эрхлэлт
16. Нэг хүнд ногдох цахилгааны хэмжээгээр дэлхийд эхний 5-д ордог улсуудыг
сонго.
a) АНУ, Хятад, Орос, Итали, Герман
b) Норвеги, Канад, Исланд, Швеци, Күвейт
c) Австрали,АНУ, ОХУ, Япон, Бразил
d) АНУ, Польш,Болгар, Япон, Канад
17. Австрали тивийн уугуул хүн ам аль нь вэ?
a) Тай
b) Хан
c) Аброген
d) Папау
18. Хүн амын ердийн өсөлт өндөртэй байдаг бүс нутгийг ол.
a) Филиппиний ольтрог
b) Төв Африк
c) Амазонкийн сав
d) Японы арлууд
34
Олон улсын аялал жуулчлал Хяналтын ажлын сан
19. Дор нэр дурьдсан улсуудаас төрөлт ихтэй, аажмаар багасаж буй нас
баралттай, ердийн өсөлт ихтэй, нөхөн үйлдвэрлэлтийн хэвшинд багтах улсуудыг
жагсаасан мөрийг олж тэмдэглэ.
a) Гаити, Австрали, Күвейт
b) Орос, Хятад, Грек
c) Дани, Израиль, Ливи
d) Чад, Иемен, Мьянма
20. Дэлхийн хүн амын дундаж наслалтыг зөв тодорхойлсон мөрийг олж
тэмдэглэ.
a) Хүн амын дундаж наслалт 60, эрэгтэй 62, эмэгтэй 65 жил байна.
b) Хүн амын дундаж наслалт 60, эрэгтэй 71, эмэгтэй 78 жил байна.
c) Хүн амын дундаж наслалт 66, эрэгтэй 63, эмэгтэй 68 жил байна.
d) Хүн амын дундаж наслалт 65, эрэгтэй 67, эмэгтэй 70 жил байна.
21. Өмнөд Азийн хүн амын үндэстний нэр, тоог зөв тодорхойлсон нь аль вэ?
1. Хинди а. 70 сая
2. Бенгаль б. 100 сая
3. Бахар в. 160 сая
a) 1г, 2в, 3б, 4а
b) 1в, 2г, 3а, 4б
c) 1г, 2а, 3в, 4б
22.Хамгийн өргөн дэлгэрсэн язгуур хэл аль нь вэ?
a) Хятад-Төвд
b) Энэтхэг-Европ
c) Алтайн
d) Уралын
23.Баруун-өмнөд Ази нь дэлхийн эртний соёлжилтын нэг төв, хамгийн өргөн
дэлгэрсэн дөрвөн шашны гурвынх нь эх нутаг
тухайлбал…………………./өгүүлбэрийг гүйцээ/
a) Иуда, Ислам, Будда
b) Христ, Ислам, Будда
c) Иуда, Христ, Ислам
d) Бусад
24.Дэлхий дээр хамгийн өргөн дэлгэрсэн шашныг нэрлэ.
a) Христос, Лал, Будда
b) Христос, Күнз, Будда
c) Будда, Индус, Лал
d) Лал, Синто, Христос
25.Доор нэр дурьдсан Азийн орнуудаас лал /ислам/ -ын шашныг хүн амын
олонхи нь шүтдэг ямар улс байна вэ?
a) Энэтхэг
b) Индонез
c) Филиппин
d) Тайланд
26.Оросын олон ястан үндэстний Буддын шашныг шүтдэгийг нь тодорхойл.
a) Молдаван, Мордва
b) Татар, Чували, Башкир
c) Коли, Карели, Удмурты
d) Буриад, Тува, Кальмык
27.Үндэстний нийтлэг шинжийн хамгийн голлох нь юу вэ?
a) Тодорхой нутаг дэвсгэр, хил хязгаар
b) Үндэсний бичиг үсэг, хэл соёл, мэдрэмж
c) Ард түмний сэтгэлгээний түвшин, оюуны чадавхи
d) Эдийн засгийн бие даасан байдал
28. Дараах өгүүлбэрээс зөвийг олно уу?
a) Соёл иргэншлийг төрүүлдэг, иргэншил соёлыг агуулдаг
35
Олон улсын аялал жуулчлал Хяналтын ажлын сан
b) Иргэншил соёл хоёр ижил ойлголт
c) Иргэншил соёлыг агуулдаг бөгөөд нэгдмэл ойлголт
d) Соёл иргэншилгүйгээр байх боломжтой
29. Соёл судлаач А.Тойнбийн тодорхойлсноор хөгжил нь нэгэнт зогсчихсон
хэдэн иргэншил байдаг гэж үзсэн бэ?
a) 2
b) 3
c) 4
d) 5
30.Хүн амыг нас болон хүйсийн бүтцээр нь зураглан харуулсан дүрслэл.
a) Нас хүйсийн суварга
b) Нас хүйсийн зураглал
c) Хүн амын суварга
d) Ердийн өсөлтийн загвар
Б. Чадвар шалгах даалгавар
1. Доорх хүн төрөлхтний соёлын өвд бүртгэгдсэн бүтээлүүд аль улсад оршдгийг
нэрлэ.
a) Acropolis -
b) Coleseum -
c) Great Wall -
d) Statue of Liberty -
e) Taj Mahal –
2. Сүүлийн 3 жил дараалан аялал жуулчлалын салбар хамгийн хурдан хөгжиж буй
бүс нутаг
a) Африк
b) Европ
c) Ази, Номхон далайн бүс нутаг
d) Америк
3. Доорх үндэсний паркууд аль улсынх болохыг нь тохируул.
1. Yosimate a. Австрали
2. Serengeti б. Шинэ Зеланд
3. Mount Cook в. АНУ
4. Kakadu г. Танзани
4. ...........................-гийн үндэсний хүрээлэн нь 14,763 кв.км газар нутагтай бөгөөд
Танзаньд оршдог байна. Энэ хүрээлэн нь 3500 гаруй арслангуудын орон гэр
болж өгдөг аж.
a) Серенгети (Serengeti
b) Танзаний үндэсний парк
c)
5. Ютландын хойг, Датийн арлууд болон Скандиновын хойгийн баруун ба өмнөд
хэсэгт амьдарч байсан тухайн үеийн хүчирхэг Германы овог аймаг
a) Кавказчууд
b) Ютландчууд
c) Нормандчууд
d) Даничууд
6. 983-984 онд Гренландын эрэг орчмыг нээж, “Гренланд” гэж нэрлэсэн Нормандын
далайчин
a) Томас Андерсон
b) Эйрил Тури
c) Эйрик Рауди
d) Томас Хейдик
7. Ираны уулт өндөрлөг,Туркменстан, Месопотамын нам дор газар, Армяны
өндөрлөг, Кавказын хэсэг, Сири, Палестин , Хойд Африкийг бүхэлд нь эзлэн
36
Олон улсын аялал жуулчлал Хяналтын ажлын сан
дагуулж, өөрийн засаглалаа тогтоож лалын шашныг дэлгэрүүлж байсан ард
түмэн
a) Казакууд
b) Арабчууд
c) Туркменистанууд
d) Туркууд
8. Атлантын далайг гатлан Америк тивийн зүүн эргийн арлуудад анх хүрсэн бөгөөд
шинэ эх газар нээж олсоноо хэзээ ч мэдээгүй Италийн далайчин
a) Õ.Êîëóìá
b) Васко Да Гама
c) Ф.Магеллан
d) А.Веспуччи
9. Х.Колумб анхны экспедицээ хэдэн онд эхэлсэн бэ?
a) 1452
b) 1592
c) 1482
d) 1492
10. Х.Колумб анхныхаа аялалаар дараах газруудыг нээжээ.
a) Багамын арал, Куба арал, Гайти арал
b) Япон арал, Гуамын арал
c) Гондурас, Никарагуа, Коста-Рика
d) Өмнөд Америк тив
11. 1497-1504 онуудад Өмнөд Америкийн хойд ба зүүн эргээр аялж “Миний аялал нь
экватораас өмнөд талд хуурай эх газар байдаг гэдгийг нотолж өглөө” гэж бичиж
үлдээсэн Итали гаралтай далайчин
a) Ф.Магеллан
b) Васко Да Гама
c) Х.Колумб
d) Америго Веспуччи
12. 1498 онд анх удаа усан замаар Энэтхэгт очих замыг нээсэн Португалийн
далайчин
a) Ф.Магеллан
b) Х.Колумб
c) Эрик Андерсон
d) Васко Да Гама
13. Дэлхийг анх удаа хөлөг онгоцоор тойрч дэлхий бөмбөрцөг хэлбэртэй болохыг
нотлосон Испанийн далайчин
a) Васко Да Гама
b) Ô.Ìàãåëëàí
c) Христофер Колумб
d) Америго Веспуччи
14. ...............................Х.Колумбын анхны экспедицээс алдарт жуулчин
Ф.Магелландын дэлхийг тойрсон аялал хүртэлх хугацаа хамрагддаг.
a) Шинэ үеийн нээлтийн эринд
b) Газарзүйн их нээлтийн эринд
c) Орчин үеийн нээлтийн эринд
d) Эртний нээлтийн эринд
15. Энэтхэг хүрэх усан замын хайгуулыг ......................... анх удаа хийснээр газарзүйн
аугаа их нээлт тэднээс эхэлсэн гэж түүхэнд тэмдэглэсэн байдаг.
a) Португалчууд
b) Испаничууд
c) Италичууд
d) Арабууд
16. Их нээлтийн урьдчилсан нөхцөл нь ...................явдал гэж судлаачид үздэг байна.
a) Энэтхэг хамгийн баян орон гэсэн яриа тархсан
37
Олон улсын аялал жуулчлал Хяналтын ажлын сан
b) Усан замын хөгжил дээшилсэн
c) Европын улсуудын хөгжил дээшилсэн
d) Пифагор, Аристотель нарын дэлхий бөмбөлөг хэлбэртэй гэж үзсэн
17. Судлаачид газарзүйн аугаа их нээлт нь Африкийн өмнүүр тойрсон замнал,
баруун тийшээ Атлантын далайд гарсан.................................гэсэн гурван замаар
хийгдсэн гэж үздэг.
a) Өмнөд Америкийг нээсэн аялал
b) Карибын арлуудыг нээсэн аялал
c) Евразийн туйлын орчмын нутгаар аялсан
d) Гринланд арлыг нээсэн аялал
С. Хэрэглээ шалгах даалгавар
1. Дэлхийн өвд бүртгэх үйл явцыг гүйцээж бичнэ үү?
Бүртгэлд хамруулах газрын орон нутгийн засаг захиргаанаас Дэлхийн өвд
бүртгүүлэх хүсэлт, тодорхойлолт гаргана
↓
ЮНЕСКО-гийн Дэлхийн өвийн хороо тус газрыг үзэж танилцан, үнэлэлт өгөх
хүсэлт гаргана
↓ ↓
.............................................................
.............................................................
........................
Байгалийн өвд нэр дэвшигч бол Олон улсын
байгаль орчныг хамгаалах холбоо (IUCN)
тухайн газарт очиж судалгаа хийн, үр дүнг
танилцуулна
↓ ↓
.......................................................................................................................................
.......................................................................................................................................
.....................................................
↓
Тус хорооноос шийдвэр гаргана
↓
Албан ёсоор бүртгэнэ
2. ..................................... гэдэг нь 1972 оны ЮНЕСКО-гийн чуулганаар батлагдсан
"Дэлхийн соёлын болон байгалийн өвийг хамгаалах тунхаглал" (Дэлхийн өвийн
тунхаглал)-д үндэслэн Дэлхийн өвийн жагсаалтад бүртгэгдсэн археологийн
дурсгал, байгаль, соёлын дурсгал зэрэг хүн төрөлхтөн үеэс үед өвлүүлэн үлдээх
үнэт зүйлсийг хэлнэ.
3. ............................................. нь Дэлхийн Өвийн хорооны нарийн бичгийн дарга
нарын газрын үүрэг гүйцэтгэж түүний өдөр дутмын ажлыг хангаж, хорооны жил
бүрийн хурлыг зохион байгуулаж, шийдвэрийг хэрэгжүүлэх хурал семинар
зохион байгуулах, дэлхийн өвийн өмч болон газруудын талаарх мэдээлэлийг
түгээж, олон нийтийн ухамсарт нөлөөлөх зорилгоор бүх нийтийг хамарсан үйл
ажиллагааа явуулах зэрэг үүргийг гүйцэтгэнэ.
4. ........................................... нь засгийн газар хоорондын байгууллага бөгөөд
түүний нарийн бичгийн дарга нарын газар нь ЮНЕСКО-гийн нэг хэсэг болно. Тус
хороо нь конвенцийн зүйл заалтыг хэрэгжүүлэх үндсэн үүрэгтэй. Энэ нь дэлхийн
өвийн жагсаалтыг батлах, ба шинэчлэх аюулд учираад буй өвийн жагсалтыг
боловсруулах, эдгээр жагсаалтанд хамарагдах газруудыг сонгох шалгуурыг
38
Олон улсын аялал жуулчлал Хяналтын ажлын сан
тодорхойлох, дэмжлэг хүссэн талуудын хүсэлтийг хүлээн авч судлах болон
дурсгалт газруудын төлөв байдлын тайланд үнэлэлт дүгнэлт өгөх зэрэг ажлыг
гүйцэтгэнэ.
5. ................................................. нь конвенцийн талуудын заавал өгөх (улс
орнуудын ЮНЕСКО-д өгч буй татварын 1 хувьтай тэнцэх) болон сайн дурын
хандиваас бүрдэх конвенцийг санхүүгийн нөөцөөс бүрдэнэ.
6. Ховор гэдэг нь дэлхий дээрх цор ганц байгаа бөгөөд зөвхөн тухайн газартаа
байх дурсгалууд юм.
a) Үнэн
b) Худал
7. Нөхөгдөшгүй гэдэг нь тухайн дурсгал, дурсгалт газар эвдрэл сүйрэлд өртсөнөөр
тэдгээрийг дахин сэргээх боломжгүй болохыг тодорхойлно.
a) Үнэн
b) Худал
8. 2002 оноос Дэлхийн Өвийн Жагсаалт хэмээн нэрлэгдэх болсон “дэлхийн
гайхамшиг”-ийн жагсаалтанд ......... гишүүн орны нутаг дэвсгэрт байрлах
нийт .......... соёлын, байгалийн ба хосолсон дурсгалууд багтдаг.
9. Соёлын өвийг дараах гурван төрөлд хуваан авч үздэг.
a) ............................... эдгээр нь дэлхий дахины хосгүй гайхамшигт үнэ цэнэ
уран барилга байгууламж, уран баримал, уран зураг, хүн амьдарч байсан
агуу, хад чулуун дээрх бичээсүүд, хиргэсүүр зэрэг археологийн гаралтай
бүтцүүдийг өөрт багтаана.
b) .............................. түүх, урлаг, шинжлэх ухааны үүднээс авч үзэхэд ур
хийц, загвар, үзэсгэлэнт байгаль дэлхийтэйгээ ижилдэн зохицолдож
байршсан хот суурин, дүүрэг зэргийг өөрт хамруулна.
c) ............................... эдгээр нь хүний оюун ухаан, гараар бүтсэн бүтээл,
эсвэл хотын болон хөдөөгийн ландшафт зэрэг хүн болон байгалийн
харилцан үйлчлэлийн дунд бий болсон гайхамшигт бүтээлүүд,
археологийн дурсаглт газар болон байгалийн бусад газрууд багтана.
10. Байгалийн өвийн тодорхойлолтыг бичнэ үү?
........................................................................................................................................
........................................................................................................................................
.................................................................................................................................
11. Хүн төрөлөхтний байгалийн өвийг Конвенци дараах байдлаар ангилжээ.
a) Физик ба Биологийн тогтцууд: ой, мөнх цас мөс, арал, нуур, агуй, уул, гэх
мэт
b) Ховор ховордсон ургамал, амьтны төрөл зүйлийн амьдрах орчин: шүрэн
арал, ширэнгэн ой, ус намаг, чийглэг газар гэх мэт 
c) ............................................................................................................................
............................................................................................................................
.
12. Аав нь АНУ-ын Нью-Йорк хотод байдаг охиндоо төрсөн өдрийн мэнд хүргэхээр
залгах шаардлагатай болов. Охин нь 1700
цагт завтай байдаг бол аав нь эндээс
хэдэн цагт залгах вэ?
Жич: Нью-Йорк цагийн 19-р бүсэд байрладаг.
A. 06 цаг
B.07 цаг
C.08 цаг
D. 04 цаг
E. 05 цаг
13. Таних тэмдэгийг зөв тохируулсаныг ол.
1. Оршуулгын газар
39
Олон улсын аялал жуулчлал Хяналтын ажлын сан
2. Овоо
3.Радио, телевизийн цамхаг
4. Шатахуун түгээх станц
5. Ил уурхай
A. A-3 B-4 C-2 D-1 E-5
B. A-2 B-1 C-3 D-4 E-5
C. A-5 B-4 C-3 D-1 E-2
D. A-3 B-4 C-1 D-5 E-2
E. A-4 B-1 C-2 D-3 E-5
14. Хамгийн олон цагийн бүстэй ОХУ нийт хэдэн цагийн бүстэй вэ?
А.10 Б.11 В.12 Д.9
15. Нью-Йорк, Улаанбаатар хоёр 12 цагийн зөрүүтэй байдаг. Улаанбаатараас Нью-
Йоркт нисэж очиод цагаа тааруулахдаа зүүг нь урагшаа гүйлгэх үү эсвэл ухраах
уу?
16. Дүрст тааврыг ашиглан олон улсын аялал жуулчлалын бүсийг тодорхойл
1 2 3 4 5
ò ý à ë ã
í õ ó ê ç
ñ î é ð ¿
1.............................................
2.............................................
3.............................................
4. ………………………………
17. Дэлхийн Өвийн Жагсаалтанд нийт ........................ газрын “Байгалийн Дурсгалт
газар” ангилалаар бүртгэгдсэн байдаг.
18. Дурсгалт газрын ангилалыг нөхөж бичнэ үү
a) Экосистемийн хөгжил ба хувьсалийн голлох үйл явцыг илтгэх гол жишээ
болсон дурсгалт газар.
b) Байгалийн өвөрмөц тогтоц эсвэл байгалийн үзэсгэлэн бүрдсэн дурсгалт
газрууд
c) ............................................................................................................................
............................................................................................................................
......
40
2 2 5 3 5 3 4 4 3 5
2 3 3
4 3 3
1
4
2
1
1 2
1
2 4 5 5
1
Олон улсын аялал жуулчлал Хяналтын ажлын сан
19. Биет бус өвд үлгэр домог, дуу хөгжим, бүжиг, бие хамгаалах урлаг, баяр наадам,
ардын эмнэлэг ба уламжлалт эм, хоолны урлаг болон гар урлал барилга
байгууламж, багаж хэрэглэл хийх арга
ухаан ........................................................................................................зэрэг
багтана.
20. Дэлхийн аюулд өртсөн өвд
a) Иерусалим хот, түүний хэрэм цөл нутгийн эртний нөөлтөд өртөөд буй
Мали улсын Тимбукту
a) Пакистаны Лахоре дахь Шаламар цэцэрлэг, түүний хэрмэн цайз суурь
b) Перу дахь Колумбийн өмнөх үеийн түүхэн хот болох Чан-чаны
археолгийн дурсгалт бүс
c) ....................................... нутаг зэргийг устах аюулд өртсөн өвийн
жагсаалтанд оруулсан байна.
№
Даалгаварын
ангилал
Бүлэг 1 Бүлэг 2 Бүлэг 3 Бүлэг 4 НИЙТ
1
Мэдлэг шалгах
даалгавар
30 30 30 30 120
2
Чадвар шалгах
даалгавар
20 20 20 20 80
3
Хэрэглээ шалгах
даалгавар
30 25 25 20 105
НИЙТ
80 75 75 70 305
41

ОУАЖ Тест

  • 1.
    Олон улсын аялалжуулчлал Хяналтын ажлын сан Хичээлийн код: BA343 Хичээлийн нэр: ОЛОН УЛСЫН АЯЛАЛ ЖУУЛЧЛАЛ Хичээлийн кредит: 3 Бүлэг 1. Олон улсын аялал жуулчлал, төрөл ангилал А. Мэдлэг шалгах даалгавар 1. Орон нутгийн жуулчинг тодорхойл. a) Өөрийн оршин суугаа орон нутаг дотроо аливаа ашиг сонирхлоос гадуур b) 12 сараас илүүгүй хугацаатай аялж буй хүн c) Өөрийн улсын байгаль болон түүхийн дурсгалт газарт аялж буй хүн d) Ямар нэг үйл ажиллагаанаас ашиг олох сонирхолгүйгээр аялж буй хүн 2. Аялал жуулчлал буюу “Tour” хэмээх үгийн язгуур гарал. a) Тойрог хийх гэсэн утгатай Грек үг b) Цамхаг гэсэн Франц үг c) Аялах гэсэн утгатай Англи үг d) А ба Б хариултууд 3. Аялал жуулчлалын үйл ажиллагааг явагдаж буй цар хүрээнээс нь хамааралтайгаар дараах байдлаар ангилан тогтоосон байдаг. a) Олон улсын аялал жуулчлал, бүс нутгийн аялал жуулчлал, орон нутгийн аялал жуулчлал b) Олон улсын аялал жуулчлал, орон нутгийн аялал жуулчлал c) Бүс нутгийн аялал жуулчлал, орон нутгийн аялал жуулчлал d) Олон улсын аялал жуулчлал, дотоодын аялал жуулчлал 4. inbound + outbound буюу энэ зах зээлийн хослолын аль нь зөв бэ? a) regional tourism market /бүс нутгийн аялал жуулчлалын зах зээл/ b) national tourism market /үндэсний аялал жуулчлалын зах зээл/ c) international tourism market /олон улсын аялал жуулчлалын зах зээл/ d) regional tourism market /үндэсний аялал жуулчлалын зах зээл/ 5. inbound + domestic = буюу энэ зах зээлийн хослолын аль нь зөв бэ? a) regional tourism market /бүс нутгийн аялал жуулчлалын зах зээл/ b) national tourism market /үндэсний аялал жуулчлалын зах зээл/ c) international tourism market /олон улсын аялал жуулчлалын зах зээл/ d) regional tourism market /үндэсний аялал жуулчлалын зах зээл/ 6. outbound + domestic = буюу энэ зах зээлийн хослолын аль нь зөв бэ? a) regional tourism market /бүс нутгийн аялал жуулчлалын зах зээл/ b) national tourism market /үндэсний аялал жуулчлалын зах зээл/ c) international tourism market /олон улсын аялал жуулчлалын зах зээл/ d) regional tourism market /үндэсний аялал жуулчлалын зах зээл/ 7. Вандерласт төрлийн жуулчдыг тодорхойл. a) Далайн эргийн наран шарлагын газарт очих дуртай хүмүүс b) Байгаль болон соёлын онцгой чухал ач холбогдолтой газар, үйл явдалд гол сонирхол нь чиглэсэн адал явдал хайгчид c) Өөрсдийн дур сонирхолд нийцсэн нам тайван, өөртэйгөө адил анги, давхаргын хүмүүсийн дунд аялах сонирхолтой хүмүүс d) Гольф, теннис, бинго, казино г.м тоглоомын сонирхлоор гадаадад аялагчид 8. Аялагч жуулчдын сонирхол, аялал хийх шалтгаанаар нь аялал жуулчлалыг гурван том хэсэгт хуваан үздэг. Үүнд: ерөнхий сонирхлын аялал жуулчлал, ижил сонирхлын аялал жуулчлал...............................юм. a) Идэвхтэй аялал жуулчлал b) Тусгай сонирхлын аялал жуулчлал c) Идэвхгүй аялал жуулчлал d) Адал явдалт аялал жуулчлал 1
  • 2.
    Олон улсын аялалжуулчлал Хяналтын ажлын сан 9. Аялал жуулчлалын түүхийг ихэнх судлаачид..........үе шаттайгаар хуваан тодорхойлсон байдаг. a)3 b)4 c)5 d)6 10. Тухайн оронд ирэх гадаадын жуулчид ба дотооддоо аялах аялагчдыг нийтэд нь: a) Inbound tourism b) International tourism c) Outbound tourism d) National tourism гэнэ. 11. Аялал жуулчлалын психографийн судалгааны арга нь: a) Жуулчдын аяллын хугацаа, аяллын хугацаанд зарцуулсан зардал зэргийг судална. b) Тухайн хүмүүсийн үзэл бодол, зан төлөвийн харьцааг судална. c) Жуулчдын тоо, аяллын зорилтот цэгүүдийг судална. d) Нас, хүйс, нийгмийн давхарга, орлогын түвшин, мэргэжил, боловсрол, харьяалагдах улс орныг судална. 12. Аливаа улсын иргэн зөвхөн өөрийн улс дотроо аялах жуулчлал. a) Гадаад улс руу хийгдэх аялал жуулчлал (Outbound tourism) b) Дотоодын аялал жуулчлал (Domestic tourism) c) Гадаадаас ирэх аялал жуулчлал (Inbound tourism) d) Гадаадаас ирэх аялал жуулчлал (Outbound tourism 13. Аливаа улсын иргэн өөрийн улсаас гадагш өөр улс орон руу аялах жуулчлал. a) Дотоодын аялал жуулчлал (Domestic tourism) b) Гадаадаас ирэх аялал жуулчлал (Inbound tourism c) Гадаадаас ирэх аялал жуулчлал (Outbound tourism d) Гадаад улс руу хийгдэх аялал жуулчлал (Outbound tourism) 14. Тухайн улс оронд гадаадын орнуудаас хүрэлцэн ирэх аялах жуулчлал. a) Дотоодын аялал жуулчлал (Domestic tourism) b) Гадаадаас ирэх аялал жуулчлал (Inbound tourism c) Гадаадаас ирэх аялал жуулчлал (Outbound tourism d) Гадаад улс руу хийгдэх аялал жуулчлал (Outbound tourism) 15. Аялал жуулчлал өндөр хөгжсөн, жуулчдын олноор зорин очдог газруудад чиглэсэн, нэгэн хэвийн тогтмол үйлчилгээ бүхий байнгын давтамжтайгаараа онцлог бөгөөд тухайн аялалд оролцогчийн хүсэл сонирхлоос үл хамааралтайгаар аялал зохион байгуулагчид нь нэгэнт тогтсон аялалын масс буюу бөөн хэлбэрээр зардаг аялалыг ................................гэнэ. a) Ерөнхий сонирхлын аялал жуулчлал /General interest tourism/ b) Ижил сонирхлын аялал жуулчлал /Common interest tourism/ c) Тусгай сонирхлын аялал жуулчлал /Special interest tourism/ 16. Аялал зохион байгуулагчид болон аялалд оролцогчдын сонирхол, зорилго ижил байх аялалыг................................гэнэ. a) Ерөнхий сонирхлын аялал жуулчлал /General interest tourism/ b) Ижил сонирхлын аялал жуулчлал /Common interest tourism/ c) Тусгай сонирхлын аялал жуулчлал /Special interest tourism/ 17. Аялал жуулчлалын социологийн демографийн судалгааны обьект нь: a) Жуулчдын аяллын хугацаа, аяллын хугацаанд зарцуулсан зардал зэргийг судална. b) Тухайн хүмүүсийн үзэл бодол, зан төлөвийн харьцааг судална. c) Нас, хүйс, нийгмийн давхарга, орлогын түвшин, мэргэжил, боловсрол, харьяалагдах улс орныг судална. d) Жуулчдын тоо, аяллын зорилтот цэгүүдийг судална. 18. Тухайн оронд гадаадын жуулчид аялах a) Outbound 2
  • 3.
    Олон улсын аялалжуулчлал Хяналтын ажлын сан b) Domestic tourism c) Inbound d) Дээрх бүгд 19. Аялал жуулчлалын түүхийн 4-р үеийг сонго. a) Шинэ газар нутаг эзэмших үе b) Цагаачлалын үе c) Нүүдэлчдийн үе d) Орчин үеийн аялал жуулчлал 20. Тухайн аялалд оролцогчийн хүсэл сонирхолд тулгуурлан зохион байгуулагддаг, ихэвчлэн адалт явдал бүхий идэвхтэй үйл ажиллагаатай аялалыг......................гэнэ. a) Ерөнхий сонирхлын аялал жуулчлал /General interest tourism/ b) Ижил сонирхлын аялал жуулчлал /Common interest tourism/ c) Тусгай сонирхлын аялал жуулчлал /Special interest tourism/ 21. Нэг өдрийн гийчин гэж хэнийг хэлэх вэ? a) Тухайн орноор дайран өнгөрч буй жуулчин b) Байрлуулах хэрэгслүүдийн аль нэгэнд 1 хоногоос илүүгүй хугацаагаар байрлаж буй жуулчин c) Тухайн орон нутагт 24 цагаас бага хугацаагаар айлчилж буй хүн. d) Тээврийн хэрэгслээр 1 хоногоос илүүгүй хугацаагаар аялж буй хүн 22. Сүрэн БНСУ-д ажиллаж амьдраад 8 сар болж байна. Тэр 1 жил болоод ирэх бөгөөд гэр бүлийнхээ орлогын гол эх үүсвэрийг хангадаг. Сүрэн жуулчлалын ямар төрөлд хамаарагдах вэ? a) Аялагч b) Гийчин c) Жуулчин d) Ажилчин 23. Биеийн хүчний бэлтгэл, чадавхи шалгасан, энерги их шаардсан, аялалын төрөл a) Идэвхтэй аялал жуулчлал b) Идэвхгүй аялал жуулчлал c) Адал явдалт аялал жуулчлал d) Энгийн аялал жуулчлал 24. 1963 онд Дэлхийн Аялал Жуулчлалын Байгууллагаас гаргасан тодорхойлолтоор “Тухайн оронд өөрийн байнга оршин суух байртай эсвэл ямарваа нэгэн үйл ажиллагаанаас мөнгө олох зорилготойгоос бусад шалтгаанаар тухайн орон нутагт айлчилж буй хүнийг ........................гэнэ. a) Олон улсын аялагч b) Олон улсын жуулчин c) Олон улсын гийчин d) Экскурс хийгч 25. Хөлөг онгоцоор 24 цагаас дээш хугацаагаар аялж буй түр айлчлагч a) Олон улсын аялагч b) Экскурс хийгч c) Олон улсын жуулчин d) Олон улсын гийчин 26. Олон улсын жуулчны статистик дүн бүртгэлд дараах хүмүүсийг оруулдаггүй. a) Цагаачид түүнийг дагаж яваа хүмүүс b) Дипломат албан хаагчид, гэр бүл туслах албан ажилчид c) Групп аялагчид d) 6 түүнээс дээш сарын хугацаагаар суралцагсад 27. Вандерласт төрлийн жуулчдыг тодорхойл. a) Далайн эргийн наран шарлагын газарт очих дуртай хүмүүс b) Байгаль болон соёлын онцгой чухал ач холбогдолтой газар, үйл явдалд гол сонирхол нь чиглэсэн адал явдал хайгчид 3
  • 4.
    Олон улсын аялалжуулчлал Хяналтын ажлын сан c) Өөрсдийн дур сонирхолд нийцсэн нам тайван, өөртэйгөө адил анги, давхаргын хүмүүсийн дунд аялах сонирхолтой хүмүүс d) Гольф, теннис, бинго, казино г.м тоглоомын сонирхлоор гадаадад аялагчид 28. Аялагч жуулчдын сонирхол, аялал хийх шалтгаанаар нь аялал жуулчлалыг гурван том хэсэгт хуваан үздэг. Үүнд: ерөнхий сонирхлын аялал жуулчлал, ижил сонирхлын аялал жуулчлал...............................юм. a) Идэвхтэй аялал жуулчлал b) Тусгай сонирхлын аялал жуулчлал c) Идэвхгүй аялал жуулчлал d) Адал явдалт аялал жуулчлал 29. Аялал жуулчлалын түүхийг ихэнх судлаачид..........үе шаттайгаар хуваан тодорхойлсон байдаг. a) 3 b) 4 c) 5 d) 6 30. Тухайн оронд ирэх гадаадын жуулчид ба дотооддоо аялах аялагчдыг нийтэд нь: a) Inbound tourism b) International tourism c) Outbound tourism d) National tourism гэнэ. Б. Чадвар шалгах даалгавар 1. Доорх үгсийн ижил утгатайг нь сонгон тохируул. А. Excursionist 1. Same day visitor Б. Package tour 2. Tourism industry В. Tour operator 3. Inclusive tours Г. Tourism sector 4. Whole seller a) 1A 2Г 3Б 4В b) 1Г 2A 3Б 4В c) 1A 2Г 3В 4Б d) 1A 2В 3Б 4Г 2. Аялал жуулчлалын нэр томьёонуудын эсрэг утгатайг сонгон тохируул. a) А. International tourism 1. Inclusive tour b) Б. Individual travel 2. Business travel c) В. Independent tour 3. Domestic tourism d) Г. Leisure travel 4. Group travel a. a) b. b) c. c) d. d) 3. Доорх хүснэгтийг гүйцээн бөглөж аялал жуулчлалын бүтээгдэхүүний бөөний үнийн бүтцийг үзүүл. 4
  • 5.
    Олон улсын аялалжуулчлал Хяналтын ажлын сан 4. Олон улсын аялал жуулчлалын статистикт багтдаггүй хүмүүсийг гүйцээж бичнэ үү? 5. Аялагч, гийчин, жуулчин 3 тодорхойлолтыг бичнэ үү? 6. Дараах өгүүлбэрээс утгын алдааг олж илрүүлнэ үү? Check-in: Check-in буюу зорчигчдийг бүртгэх хэсэг нь тухайн онгоцоор зорчих хүмүүсийг бүртгэнэ.Энд зорчигчдийн тоо болон ачаа тээшний мэдээллийг оруулах боломжтой. (Check-in interface with load planning) 7. Дараах өгүүлбэрээс утгын алдааг олж илрүүлнэ үү? Flight scheduling: Энд нислэгийн төлөвлөх ба онгоцны болон нислэгтэй холбоотой бүх мэдээллийг оруулж өгнө.(Энд зөвхөн суудал захиалахад хэрэгтэй мэдээллүүдийг оруулдаг хэсэг байна) 8. Аялал жуулчлалын захиалгын системийн талаарх дараах тодорхойлолтын утгыг гүйцээж бичнэ үү? Load planning: Энэ нь нислэг төлөвлөлтөнд үндэслэн түүний даац, .................................. хуваарилалтыг төлөвлөнө. Мөн зорчигчдыг бүртгэх үеийн ачааны ............................бодит мэдээлийг авна. (Энд зөвхөн суудал захиалахад хэрэгтэй мэдээллүүдийг оруулдаг хэсэг байна. 9. Аялал жуулчлалын захиалгын системийн талаарх дараах тодорхойлолтын утгыг гүйцээж бичнэ үү? Reservation: Reservation буюу суудал захиалгын хэсэг нь хэрэглэгчдэд зориулсан ............................................... байна.Эндээс хэрэглэгчид нь онгоцны хуваарийн талаарх мэдээллийг авч болох ба урьдчилан суудал захиалах боломжтой. 10. Аялал жуулчлалын захиалгын системийн талаарх дараах тодорхойлолтын утгыг гүйцээж бичнэ үү? Airfare: Энэ нь хэрэглэгчдэд зориулсан web application байх ба тухайн үеийн үнийн бодлогийг тодорхойлно. Airfare хэсэг нь ............................................ хуудсанд оруулсан хэрэглэгчийн мэдээлэл дээр үндэслэн урамшуулал болон хөнгөлтийг үзүүлдэг. 5
  • 6.
    Олон улсын аялалжуулчлал Хяналтын ажлын сан 11. Дараах тодорхойлолтын үнэн худлыг ялгана уу? Ticketing: Энэ нь билет худалдаалах хэсэг юм.Энд хэрэглэгч өөрийн захиалсан суудлын төлбөрийг бүрэн барагдуулсан (бэлнээр болон бэлнээр бус) тохиолдолд тусгай бүртгэгдсэн дугаар бүхий хуудасыг хэрэглэгчдэд өгөх буюу и- мэйл хаягаар явуулна. a) Үнэн b) Худал 12. Аялал жуулчлалын захиалгын системийн бүрэлдэхүүн хэсгүүдийг тайлбарлана уу? 13. Олон улсын аялал жуулчлалд оролцогчдын зан төлөвт хамаарах хүчин зүйлсийг гүйцээж бичнэ үү? Ñî¸ëûí Íèéãìèéí Õóâèéí Ñýòãýë ç¿éí Õóäàëäàí àâàã÷ æóóë÷èí  Ñî¸ë  Äýä ñî¸ë  Íèéãìèéí àíãè   Íàñ  Àìüäðàëûí ìº÷ëºã  Ìýðãýæèë  Ýäèéí çàñãèéí áàéäàë  Àìâäðàëûí õýâ ìàÿã  Õóâèéí çàí òºëºâ  14. Олон улсын аялал жуулчлалын томоохон үзэсгэлэнгүүдийн мэдээлэл өгөгджээ. Дэлгэрэнгүй тайлбарлана уу? Îíöëîã Wt.n Vakkan FITUR BIT ITB TUR Áàéðëàë Ëîíäîí, Èõ áðèòàíè Ãîëëàíä Èñïàíè Ìàäðèä Èòàëè Ìèëàí Áåðëèí Ãåðìàí Ãîòåíá óðã Øâåéö àðü Áîëîõ õóãàöàà 11 ñàðûí 12-15-íû ºäºð 1 ñàðûí 8-13-íû ºäºð 1 ñàðûí 30-31-íû ºäºð 2 ñàðûí 20-24-íû ºäºð 3 ñàðûí 16-20-íû ºäºð 3 ñàðûí 21-24- íû ºäºð Îðîëöîã÷äûí òîî 5000 1700 8500 5000 10000 2300 Îðîëöîã÷ îðíû òîî 170 100 170 140 179 95 ¿éë÷ë¿¿ëýã÷äèéí òîî 0 150 ìÿíãà 108 ìÿíãà 55 ìÿíãà 63 ìÿíãà 30 ìÿíãà Òàëáàéí õýìæýý 59 ìÿíãà 65 ìÿíãà 100 ìÿíãà 140 ìÿíãà 152 ìÿíãà 40 ìÿíãà 6
  • 7.
    Олон улсын аялалжуулчлал Хяналтын ажлын сан Òàëáàéí ¿íý 466 $ 90 $ 98 $ 145$ 137 $ 145 $ Îðîëöîã÷äûí òàëáàéí áàéðëàëûã óãñðàõ 533 $ 147 $ 137 $ 85 $ 145 $ 192 $ 15. Олон улсын аялал жуулчлалын үе шатуудын тодорхойлолтыг гүйцээж бичнэ үү? ҮЕ ШАТУУД ТОДОРХОЙЛОЛТ Нээлтийн үе (Exploration) Адал явдал хайгчид тухайн газар нутгийг илрүүлж, мэдээллийг бусдад түгээнэ. Аялал жуулчлалын зах зээлд татагдах үе (Involvement) Хөгжилтийн үе (Development) Жуулчдын тоо эрчимтэй нэмэгдэж, аялал жуулчлалын үйлчилгээг мэргэжлийн байгууллагууд үзүүлнэ. Бэхжүүлэлтийн үе (Consolidation) Тогтонгиших үе (Stagnation) Аялал жуулчлалын хөгжил нь тоо ба чанарын хувьд дээд цэгтээ хүрнэ. Бууралтын үе (Decline) Эргэж сэргэх үе (Rejuvenation) Хэдийгээр аялал жуулчлалын өрсөлдөх чадвараа алдаж, жуулчдын сонирхолоос гарсан ч шинэ нөөцүүдийг илрүүлж, сурталчлах замаар аялал жуулчлалын шинэ имиджийг бүрдүүлж, эргэж хөгжих боломжтой. 16. .......................................... хүн нь адал явдалд дурладаг ихээхэн сониуч ганцаараа аялах дуртай хүмүүс байдаг. Тэд нээлт хийх, шинэ түнш олж авах, шинэ зүйл олж мэдэх, хүн өмнө нь очиж байгаагүй газрууд руу аялахыг хүсдэг. Энэ хэв шинжийн хүмүүс нь элдэв үйлчилгээ бага шаарддаг. Тухайн аялалны зорих газар нь өөрчлөгдөн хөгжиж нийтэд мэдэгдэх тусам өөр хаа нэг хүн очоогүй шинэ газрыг нээхийг хичээдэг. Эдгээр хүмүүс нь орлогынхоо ихэнхийг аялалд зарцуулж байн байн аялдаг. 17. ............................................ хүн нь аялал жуулчлалын өндөр хөгжсөн улс орнуудруу аялал хийх бөгөөд аялалынхаа аюулгүй байдал тав тухыг дээд зэргээр эрхэмлэдэг. Харьцангуй ахимаг насны хүмүүс байдаг. Энэ хүмүүс олноороо аяладаг тул орон нутгийн иргэдтэй шууд харилцах нь бага. Ихэвчлэн үзэх хэлбэрээр аялдаг хүмүүс байдаг. Тэдний аялаллын хөтөлбөрт идэвхитэй үйл ажиллагаа байхгүй тэрхүү аялалын хөтөлбөр нь нарийн төлөвлөгдөж урьдчилан бэлтгэгдсэн байх ёстой байдаг. 18. .............................................. хүн нь жуулчид нь адал явдал эрэлхийлэн бие даан аялагч Алоцентрик болон аялалын аюулгүй байдал тав тухыг эрхэмлэн группээрээ аяладаг Писихоцентрик хүмүүсийн дунд хэсэг бөгөөд тооны хувьд дээрх хоёроосоо олон ихэнхидээ сайн мэддэг газарлуугаа аялах сонирхолтой хүмүүс байдаг. Группээр аялах сонирхолтой байдаг. 19. Хүмүүс амьдралын хэв маяг хувийн зан чанар сонирхол үзэл баримтлал зэрэг сэтгэлзүйн онцлог шинжүүд дээр тулгуурлан аялах хэв маяг нь өөр өөрөөр гарч ирдэг. Энэхүү аялах өөр хэв маягийг эрдэмтэд 3 ангилжээ. a) Алоцентрик b) Писихоцентрик c) ............................ 20. Аялалын захиалгын системийн давуу талыг бичнэ үү? 7
  • 8.
    Олон улсын аялалжуулчлал Хяналтын ажлын сан .............................................................................................................................................. .............................................................................................................................................. ...... В. Хэрэглээ шалгах даалгавар 1. Онгоцны билет захиалгын системийн бүтцийг тайлбарлана уу? 2. Онгоцны билет захиалгын системийн төлбөрийн шилжүүлэг хэрхэн хийгдэх тохиргоог олно уу? 3. Зочид буудлын захиалгын системийн бүртгэлийн системийн талаарх алдаатай тодорхойлолтыг олно уу? a) Зочны өрөөний бүртгэл (Энэхүү бүртгэлийн цонх нь зочдын дэлгэрэнгүй бүртгэлийг хийх бөгөөд зочинтой болон сул байгаа өрөөний мэдээллийг чөлөөтэй харж болно b) Урьдчилсан захиалгын бүртгэл (Албан байгууллага болон хувь хүмүүсийн өрөөний урьдчилсан бүх захиалгууд бүртгэгдэнэ. Энэхүү бүртгэл хийгдсэнээр зочин ирэх , тухайн өдөр байгаа болон байсан бүх зочдын мэдээллийг тус бүрд нь дэлгэрэнгүй харах боломжтой 4. Дараах өгүүлбэрээс утгын алдааг олно уу? Зочин ямар нэгэн байдлаар өрөөгөө солих үед өрөө шилжилтийн цонхоор бүртгэгдэж зочид буудлын үйлчилгээ болон өрөөний тооцоо шилжигдэнэ. 5. Дараах өгүүлбэрээс утгын алдааг олно уу? 8
  • 9.
    Олон улсын аялалжуулчлал Хяналтын ажлын сан Тухайн буудлын үйлчилгээний төрлөөс хамааран зочдод үзүүлэх үйлчилгээний бүх бүртгэлүүд зочны үйлчилгээний бүртгэл цонхоор хийгдэнэ. Тухайлбал: Мини бар, билльярд, угаалга, машин түрээс, саун, массаж, бассейн гэх мэт 6. Дараах өгүүлбэрийг гүйцээж бичнэ үү? Аялал жуулчлалын захиалгын системд дараах бүртгэл, мэдээллүүд багтсан байдаг. Үүнд: Аяллын цэгүүдийн бүртгэл • Цэгүүд хоорондын маршрутуудын бүртгэл • Тээврийн хэрэгслүүдийн бүртгэл • Нислэг / нислэгийн хуваарь, үнэ тариф / • Галт тэрэг /галт тэрэгний хуваарь, үнэ тариф/ • Бусад тээврийн хэрэгсэл • Амрах газруудын бүртгэл • Ресторануудын бүртгэл ...................................................... ...................................................... 7. Дараах өгүүлбэрийг гүйцээж бичнэ үү? Зочид буудал бүрийн онцлогоос шалтгаалан үнийн бодлого өөр өөр зохиогддог.Жишээ нь ................................ гэх мэтчилэн боломжит бүх хувилбараар зохиож болно 8. Үйл ажиллагааны бүртгэлийг 2 хэлбэрээр хийнэ. 9. Дэлхийн томоохон сүлжээ зочид буудлууд үндэсний хэмжээний томоохон захиалгын систем болох Sabre, Galileo, Amadeus болон ......................зэргээр дамжуулан захиалга хийдэг байна. 10. Баталгаажсан аяллуудын хөтөлбөрийн бүртгэл нь аялахаар баталгаажсан аяллуудын хөтөлбөрийг захиалагч тус бүрээр уян хатан бүртгэж, нэг захиалагчийн хувьд үнийн санал, тухайн аяллын нийт төсөвт зардлыг тооцоолно a) Үнэн b) Худал 11. Аялалын захиалгын системийн давуу талыг гүйцээж бичнэ үү? – Аялалтай холбоотой орсон болон гарсан гүйлгээ бүрийг бүртгэн ашиг алдагдлыг тооцно. – Захиалагчийн төлбөрийг аяллын өмнө болон дараа дахин тооцоолно. Аялагчидтай холбоотой тооцоонд хяналт тавина. Нийт захиалгын цар хүрээ, төлөвлөлтийг хянах боломжтой. Санхүүгийн системтэй холбогдон ажиллах боломжтой – ................................................................................................................ 12. Төлөвлөгдсөн аяллуудад явах аяллын захиалагчдын бүрэн мэдээллийг бүртгэнэ a) Аялагчдын бүртгэл b) Аяллын ложистикийн бүртгэл 13. Дараах өгүүлбэрүүдийг зөв дараалалд оруулна уу? ....Аяллын хөтөлбөрүүд болон төсөвт зардлыг аялагчаар болон нэгж бүтээгдэхүүнээр тодорхойлно ....Захиалагчаас ирсэн саналуудын хувилбаруудыг бүртгэх боломжтой ....Захиалагчаас явуулсан санал бүрт үнийн санал илгээх боломжтой ....Аяллын хөтөлбөрүүдийн төлөвлөгөөг гаргана. ....Төлөвлөлтийг уян хатан хийх боломжтой. ....Ажилчдын хуваарилалтын төлөвлөгөөг гаргана. 9 Үйл ажиллагааны бүртгэл ? ?
  • 10.
    Олон улсын аялалжуулчлал Хяналтын ажлын сан ....Аялагч бүрт ялгаатай нэмэлт үйлчилгээнүүдийг бүртгэн төсөвт зардлыг тооцно. 14. Олон улсын аялал жуулчлалын бүс нутаг, байршлын схемд хүн амын тоог зөв байршуул 15. Доорх улс орнуудын альных нь оршин суугчид 6-р сарын 22нд тэнгэрийн хойд хагаст мандах нарыг хамгийн түрүүнд харах вэ? Бельги, Канад, Парагвай , Хятад, Тунис, Афганистан, Орос, Украин, Нигер, Куба, Хойд Солонгос, Казакстан, Камерун 16. Зурагзүйн үндсэн тусгалаас аль нь байхгүй байна вэ? Зургийг хараад хариулна уу A. Азимут B. Цилиндр C. Конус D. Туйлын азимут E. Бүгд байна 17. Мали улс дараах улсуудаас ямар улстай хиллэдэггүй вэ? A. Мавритани B. Алжир C. Нигер 18. Дараах зургийг ажиглан уур амьсгалын зургийг газар нутгийн байршилттай тохируул. A. а-1 б-2 B. а-2 б-1 10
  • 11.
    Олон улсын аялалжуулчлал Хяналтын ажлын сан C. а-2 D. б-1 E. аль нь ч тохирохгүй à á 1 2 19. Монголд “ес эхэлж” байхад нар хаана эгц тусах вэ? A. Экватор дээр B. Матрын зам дээр C. Мэлхийн зам дээр D. Матар, мэлхийн замын хооронд E. Экватор, мэлхийн замын хооронд 20. Энэтхэгийн далайн эрэгт агаарын температур +280 С байсан бол Эверестийн оройд хэдэн хэм байх вэ? A. -250 B. -530 C. -880 D. 00 E. -1000 11
  • 12.
    Олон улсын аялалжуулчлал Хяналтын ажлын сан Бүлэг 2. Олон улсын аялал жуулчлалын үйлдвэрлэл А. Мэдлэг шалгах даалгавар 1. 1971 онд гаргасан тодорхойлолтоор “.......................гэдэг нь аялагчдын аялал хийх бүхий л хугацаанд тэдгээрийн хэрэгцээ, эрэлтэнд зориулан бүтээсэн үйлдвэрлэлийн болон үйлдвэрлэлийн бус үйл ажиллагааны цогц” хэмээн тодорхойлжээ. a) Аялал жуулчлалын бараа b) Аялал жуулчлалын систем c) аялал жуулчлалын гэрээ d) Аялал жуулчлалын бүтээгдэхүүн үйлчилгээ 2. 1851 онд Англи улсад ......................нэртэй анхны аялал жуулчлалын товчоо байгуулагджээ. a) Далайн аялагч b) Тойрон аялагч c) Томас Кук ба түүний хүүхдүүд d) Дэлхийн аялагч 3. ..........................тээврийн салбарын өөрчлөлт хөгжил нь аялал жуулчлалын тээврийн салбарын хөгжилд асар их өөрчлөлт хөгжлийг авчирсан. a) Агаарын b) Төмөр замын c) Усан замын d) Авто замын 4. Доорх хүснэгтийг гүйцээн бөглөж аялал жуулчлалын бүтээгдэхүүний бөөний үнийн бүтцэд багтах хүчин зүйлсийг нэрлэнэ үү? 5. Тур операторын хамгийн гол үүргийг бич. a) …………………………………………………………………… b) Ханган нийлүүлэгчдийг болгоомжтой хянуур сонгох c) Гэрээ хийгдэхээс өмнө брошюрын мэдээлэлд өөрчлөлт оруулсан тухай мэдээлнэ. d) Харилцан тохиролцсон үйлчилгээгээ зохих ёсоор нь үзүүлнэ. 6. Аялал жуулчлалын үйлдвэрлэлийн маркетингийн салбарыг тодорхойл. a) Хоол, ундааны үйлчилгээ, байршуулахтай холбоотой асуудлыг шийдвэрлэх үүрэг бүхий байгууллагууд b) Зугаа цэнгээний ямар нэг үйл ажиллагаагаар жуулчдыг хангах зорилго бүхий байгууллагууд c) Бөөний болон жижиглэнгийн худалдааны агентлагууд, үндэсний болон бүс нутгийн аялал жуулчлалын байгууллагууд d) Бүх төрлийн тээврийн хэрэгслийн байгууллагууд 7. Аялал жуулчлалын боломжит эрэлт аль нь болохыг сонго. a) Аялах жуулчлахыг хүсч буй хүмүүс b) Аялал жуулчлалд оролцож буй хүмүүс c) Аяллын бүтээгдэхүүнийг худалдан авах чадвар бүхий хүмүүс d) Аялах сонирхолтой төлбөрийн чадвар бүхий хүмүүс 8. Аялал жуулчлалын бүтээгдэхүүний үндсэн хэрэгцээг тодорхойл a) Хүмүүсийн хамгийн энгийн хэрэгцээ b) Байршуулах хэрэгсэл, хоол, ундааны үйлчилгээ, тээврийн хэрэгсэл, аюулгүй байдлын баталгаа c) Зочид буудал, рестораны бүх төрлийн үйлчилгээ d) Хөтөч-орчуулагчийн үйлчилгээ 9. Тур агентын орлого олох гол зарчим юу вэ? a) Тур оператороос шууд санхүүжилт авах b) Борлуулалтаас тодорхой хувийн ашиг авах 12
  • 13.
    Олон улсын аялалжуулчлал Хяналтын ажлын сан c) Жуулчдаас шууд орлого авах d) Борлуулалтанд ашиг нэмэх 10. Тур агентыг байгууллагын бүтэц хэмжээгээр нь a) Сүлжээний агент , Бие даасан агент b) Бие даасан агент, Олон улсын агент c) Олон улсын агент, Сүлжээний агент d) Олон улсын агент, Сүлжээний агент, Бие даасан агент гэж ангилна 11. Сүлжээний тур агентыг хэд ангилдаг вэ? a) 2 b) 3 c) 4 d) 5 12. On the spot буюу хэсэг газрын үйлчилгээг ямар сүлжээний агент үзүүлдэг вэ? a) Сүлжээний агент b) Бие даасан агент c) Олон улсын агент d) Олон улсын агент 13. Сүлжээний тур агентын үйл ажиллагааны гол зарчим юу вэ? a) Ижил үйлчилгээ үзүүлэх b) Ашиг олох c) Жуулчин илгээх d) Зуучлах 14. Тур агентыг эрхэлж буй бизнесийнх нь төрлөөр ........... ангилна. a)2 b)4 c)3 d)5 15. Зөвхөн багц аялалын зохион байгуулалтаар төрөлжин үйл ажиллагаагаа явуулдаг тур агент аль нь вэ? a) Ерөнхий тур агент b) Амралтын тур агент c) Бизнес тур агент d) Тусгай тур агент 16. Аялал жуулчлалын байгууллагыг …………………….ангилна. a) 2 b) 3 c) 4 d) 5 17. Аялал жуулчлалын зах зээл дээрх 3 субьектийг нэрлэнэ үү? a)............................................. b)............................................. c)............................................. 18. Аялал жуулчлалын системийн үндсэн 5 элементийн нэрийг нэрлэ a) b) c) d) 19. Аялал жуулчлалын үйлдвэрлэлийн 7 салбарыг нэрлэнэ үү? a) b) c) d) 20. Тур агентын тур оператороос ялгагдах гол онцлогыг нэрлэ a) b) 13
  • 14.
    Олон улсын аялалжуулчлал Хяналтын ажлын сан c) d) 21. Тур агентын эрхлэх үйл ажиллагаа a) b) c) d) 22. Аялал жуулчлалын үйлчилгээний байгууллагад хамаарах байгууллагуудыг нэрлэ. a) b) c) d) 23. Жуулчны үйлчилгээний байгууллага нь дараах үйл ажиллагаа явуулахыг хуулиар хориглодог. a) b) c) d) 24. Өндөр түвшинд бэлтгэгдсэн мэргэжлийн баг болон бусад шаардлагатай үйлчилгээгээр бусад тур агентуудаа хангаж байдаг байгууллага бол ……………….юм. a) b) c) d) 25. IATA –товчилсон нэр a) b) c) d) 26. Жуулчдын орлогын түвшин, нийгмийн байдал, эрхэлдэг ажил, боловсролын түвшинг харгалздаг сегментчилэл a) Нийгэм, эдийн засгийн сегментчлэл b) Хүн ам зүйн сегментчлэл c) Сэтгэл зүйн сегментчлэл d) Зан төлөвийн сегментчлэл 27. Тухайн хүний эрхэлж буй ажил, санхүүгийн боломжоос илүүтэйгээр амьдралын дүр нь ямар ангид хамаардаг, үнэт зүйлсийн чиг баримжаа хэрхэн өөрчлөгдөж буй, энэхүү өөрчлөлтийг дагаад хэрэглэгчийн зан төлөв хэрхэн яаж өөрчлөгдөж байгааг тодорхойлдог сегментчилэл. a) Нийгэм, эдийн засгийн сегментчлэл b) Хүн ам зүйн сегментчлэл c) Сэтгэл зүйн сегментчлэл d) Зан төлөвийн сегментчлэл 28. Нас, хүйс, гэр бүлийн байдал, гэр бүлээр сегментчилэх нь чухал асуудал ба тухайн бараа үйлчилгээг хэрэглэх, илүүд үзэх сегментчлэл a) Нийгэм, эдийн засгийн сегментчлэл b) Хүн ам зүйн сегментчлэл c) Сэтгэл зүйн сегментчлэл d) Зан төлөвийн сегментчлэл 29. Жуулчдын тухайн байгууллагын санал болгож байгаа үйлчилгээнд хандаж буй хандлага, ашиглах байдал зэргээр ангилах сегментчлэл a) Нийгэм, эдийн засгийн сегментчлэл b) Хүн ам зүйн сегментчлэл 14
  • 15.
    Олон улсын аялалжуулчлал Хяналтын ажлын сан c) Сэтгэл зүйн сегментчлэл d) Зан төлөвийн сегментчлэл 30. Бүс нутаг, орон орноор нь гарал үүсэл нэгтэй гэж үзэн сегментчилдэг. Нэг бүлэгт хуваагдаж буй жуулчдад зан төлөвийн нэгдмэл стереотип заавал байдаг. Тэдний хүлээлт, сонголт, ашиг харах зэрэг нь төстэй байдаг. a) Нийгэм, эдийн засгийн сегментчлэл b) Хүн ам зүйн сегментчлэл c) Газар зүйн сегментчлэл d) Зан төлөвийн сегментчлэл Б. Чадвар шалгах даалгавар 1. Аялал жуулчлалын зорих газрын хөгжлийн шалгуур 5S, 5E -г тодорхойлно уу? 2. Олон улсын аялал жуулчлалын зорих газрын шалгууруудыг бичнэ үү? a) сэтгэл хөдөлгөх b) алжаал тайлах c) танин мэдэхүйн d) ........................... e) .......................... ач холбогдолтой байх 3. Олон улсын аялал жуулчлалын зорих газрын шалгууруудыг бичнэ үү? a) Аюулгүй b) цэвэр орчинтой c) сэтгэл ханамж төрүүлэхүйц d) ........................................ e) ....................................... байх. 4. Аялал жуулчлалын шүүрэлт дараах замаар явагддаг. a) Импортын бараа бүтээгдэхүүнээр дамжин b) ....................................................................... 5. Аялал жуулчлалд эерэг нөлөөлөх хүчин зүйлүүдээс буруу хариултыг олно уу? a) Бодит орлогын өсөлт b) Орлогын тэнцүү хуваарилалт c) Валютын тогтвортой бус байдал d) Валютын тогтмол ханш 6. Аялал жуулчлалд сөрөөр нөлөөлдөг хүчин зүйлүүдээс буруу хариултыг олно уу? a) Эдийн засгийн хямрал болох b) Учир байдлын(коньюнктур) ашигтай нөхцөл c) Аж үйлдвэрийн бууралт (ажилгүйчүүдийн тоо өсөх, ажлын хөлс багасах, түр зуурын ажил эрхлэлт) d) Учир байдлын ашигтай бус ситуаци 7. Аялал жуулчлалын эдийн засгийн үүргийг тайлбарлана уу 15 ? ? ? ? ? 5S ? ? ? ? ? 5E
  • 16.
    Олон улсын аялалжуулчлал Хяналтын ажлын сан 8. Аялагч жуулчдын урсгалын загварыг тайлбарлана уу? 9. Аялал жуулчлалын системийг тайлбарласан олон онол байдгаас дараах онолуудыг аялал жуулчлал судлалд өргөн ашиглаж байна. Үүнд: a) Судлаач Chau-ийн гаргасан аялал жуулчлалын системийн онол (1977) b) Техасийн их сургуулийн профессор Clare Gunn гаргасан загвар (1979) c) Судлаач Neil Leiper (1979)-ийн системийн онол d) …………………………………………………….зэрэг юм. 10. Судлаач Neil Leiper-ийн тодорхойлсон аялал жуулчлалын системийн онолоор нийгэм эдийн засаг, улс төр, технологийн орчин дотор үйл ажиллагаа явуулж байгаа үндсэн 5 элементээс бүрддэг гэж үзсэн. Үүнд: a) Аялалд явж буй жуулчид b) …………………………… c) Дамжин өнгөрөх бүс нутаг d) ……………………………….. e) Эргэн ирж буй жуулчид 11. Аялагч, гийчин, жуулчдын ялгааг хүснэгтэд нөхөж бичнэ үү. Traveller Аялагч Өөрийн оршин суудаг газраасаа өөр газар 12 цагаас илүү хугацаагаар аялаж буй хүн. Visitor Гийчин Тухайн орон нутагт 24 цагаас дээш хугацаагаар аялал, амралт, шашин , сурах зорилготой хүн. Tourist Жуулчин Тухайн оронд өөрийн байнга оршин суух байртай эсвэл ямар нэгэн шалтгаанаар тухайн орон нутагт айлчилж буй хүн. 16
  • 17.
    Олон улсын аялалжуулчлал Хяналтын ажлын сан 12. Аялал жуулчлалын хөгжлийн түүхийг зөв дараалалд оруулна уу. a) Аялал жуулчлалын хөгжилийн үе. b) Жуулчлалын тээвэр хөгжлийн үе. c) Дэлхийн 2 дайны хоорондох АЖ-ын хөгжлийн үе. d) Аялал жуулчлалын эртний үе a) d a c b b) d b c a c) a b c d d) d c b a 13. Аялал жуулчлалын хөгжлийн түүхэн дэхь алдарт аялагчдыг оны дарааллаар нь зөв байрлалд оруулна уу. a) Васко Де Гамо b) Марко Поло c) Америго Веспутимно d)Ибн Баттута a) a b c d b) d c b a c) c d b a d) b c d a 14. Дараахи аялалын төрлүүдийг олон улсын нэршилтэй нь зөв тохируул. a) General interest tourist 1- Ерөнхий сонирхолын АЖ b) Common interest tourist 2- Ижил сонирхолын АЖ c) Special interest tourist 3- Тусгай сонирхолын АЖ a) a-3 b) c-2 c) c-3 d) d-1 b-1 a-1 b-1 c-3 c-2 b-3 a-2 a-2 15. Доорхи олон улсын аялал жуулчлалын төрлүүдийг тодорхойлолтой нь зөв харгалзуулна уу a) Дотоодын АЖ 1- Аливаа улсын иргэн зөвхөн өөрийн улс дотроо хийх хийх аялал. b) Гадаад улс руу хийгдэх АЖ 2- Аливаа улсын иргэн өөрийн улсаас гадагш өөр улс руу хийх аялал. c) Гадаадаас ирэх АЖ 3- Тухайн улс оронд гадаадын орнуудаас хүрэлцэн ирэх аялал жуулчлал. a) a-1 b) a-1 c) a-3 d) a-1 b-3 c-3 b-1 b-2 c-2 b-2 c-3 c-3 16. Энэтхэгийн далайд гарч, Африк тивийн зүүнээс баруун тийш тойрсон далайчны нэр ........ a) Марко Поло c) Ибн Баттута b) Васко де Гамена d) Марко Поло 17. Аливаа улсын иргэн өөрийн улсаас гадагш өөр улс орон руу явах аялалыг . . . a) Domestic tourism b) In bound tourism c) Out bound tourism d) Internal tourism 18. Судлаач Жараф: Аялал жуулчлал гэдэг нь хүн өөрийн байнга оршин суугаа газар нутгаас 1-183 хүртлэх хонгийн хугацаагаар амралт, сувилал, танин мэдэхүйн зорилгоор болон ажил мэргэжлийн шугамаар өөр газар нутагт аялан явахын хэлнэ хэмээжээ. a) Үнэн b) Худал 19. Тухайн аялалд оролцож буй аялагчийн хүсэл сонирхолд нийцэн зохион байгуулагдаж буй аялалыг тусгай сонирхолын аялал гэнэ. a) Үнэн b) Худал 20. Доорхи хүснэгтийг гүйцээн бөглөж, жуулчдын ангиллыг бичнэ үү. 17 ЖуулчидЖуулчид харилцаанд орох байдлаар Зохион байгуулалтта й Жуулчид танин мэдэхүйн шинж чанараар Дундаж жуулчид Нийгмийн үнэлэмж
  • 18.
    Олон улсын аялалжуулчлал Хяналтын ажлын сан В. Хэрэглээ шалгах даалгавар 1. Зургийг ажиглаад салхины чиглэлийг тодорхойлон агаарын тээвэрт хэрхэн нөлөөлдгийг тодорхойл . A. далайгаас уул руу салхилж байна. B. уул давж далай руу салхилж байна. C. нуураас ууршсан усны уурыг салхи уул өөд түрж байна D. бүр алсаас наашилж байна. E. салхигүй байна. 2. Хаана ямар аялалын төрөл тархсаныг тохируулан сонго. A. 1â, 2à, 3á, 4ã B. 1à, 2á, 3ã, 4â C. 1à, 2â, 3ã, 4á D. 1â, 2à, 3ã, 4á E. 1à, 2á, 3â, 4ã 3. Дараах зурагт 2-ын тоо ямар нуурыг тэмдэглэсэн бэ? A. Хөвсгөл B. Тэрхийн цагаан нуур C. Улаан нуур D. Үүрэг нуур E. Ачит нуур 18 Äóãàà ð Олон улсын АЖ-ын á¿ñ èíäåêñ õýâ øèíæ 1 à 2 á 3 â 4 ã
  • 19.
    Олон улсын аялалжуулчлал Хяналтын ажлын сан 4. Хотгор гүдгэрийг дүрслэдэг аргуудыг санаад аялалын ямар төрөлд тохирохыг тэмдэглэ. A. а-уул б-тал B. а-уул б-хотгор C. а-уул б-уул D. а-хотгор б-тал E. а-хотгор б-уул 5. Агаарын температур нэмэгдэх тусам түүнд агуулагдах усны уурын хэмжээ ихэсдэг. +100 С –тай байсан агаар гэнэт хүйтэрвэл яах вэ? A. Хавар болно. B. Шүүдэр цан хяруу унана C. Намар болно D. Цас бороо орно E. Салхи шуурч тэнгэр муухайрна 6. Дараах үүлнүүдийн алинаас нь хур тунадас орох вэ? Агаарын температур аялал жуулчлалд ямар нөлөө үзүүлдэг вэ? 19 •1173.8 À • 1173.8 Á
  • 20.
    Олон улсын аялалжуулчлал Хяналтын ажлын сан A B C D E 7. Байрзүйн зурагны дээд талд буюу 1-р тэмдэглэгээнд У-33-65-А-б гэж бичжээ. Үүний олон улсын нэрийг юу гэдэг вэ? A. Топографи B. Картографи C. Номенклатур D. Легенд E. Зурагзүй 8. Дараах зураг дээр “Гурван тивийн дундах тэнгис”-ийг ямар үсгээр тэмдэглэсэн байна вэ? A. F B. P C. L D. D 20
  • 21.
    Олон улсын аялалжуулчлал Хяналтын ажлын сан E. R 9. Цаг агаарын (синоптик) зургийг ажиглаад энэ өдөр тэнгэр ерөнхийдөө ямар байгааг тодорхойл. A. Тэнгэр бүрхэг B. Тэнгэр цэлмэг C. Салхигүй D. Хүйтэн E. Цастай 10. Далайн хүйтэн урсгал, агаарын даралтын нөлөөнөөс болж үүсдэг уур амьсгал нь халуун ургамлын нөмрөг бараг үгүй байгалийн бүсийг олно уу? Уг бүс нутагт аялал жуулчлалын ямар төрөл голчлон явагддаг вэ? A D B C E 11. Дараах зурагт олон улсын аялал жуулчлалын бүс нутгуудыг тэмдэглэ 21
  • 22.
    Олон улсын аялалжуулчлал Хяналтын ажлын сан 12. Европын бүс нутгийн аялал жуулчлалын орлогоор тэргүүлэгч улсуудыг тэмдэглэ 13. Олон улсын жуулчдын тооны өсөлт % /1950-2005/ -г харуулсан байна. Үүнд үндэслэн бүс нутгуудын аялал жуулчлалын өсөлтийн хувийг 20 жилээр гаргана уу? Äýëõèé Àôðèê Àìåðèê Àçè Íîìõîí Äàëàéí îðíóóä Åâðîï Îéðõè Äîðíîä 1950-1960 10.6 3.7 8.4 14.1 11.6 12.3 1960-1970 9.1 12.4 9.7 21.6 8.4 11.5 1970-1980 5.3 11.6 4.0 13.9 4.7 14.3 1980-1990 4.7 7.8 4.1 9.3 4.1 3.1 22
  • 23.
    Олон улсын аялалжуулчлал Хяналтын ажлын сан 1990-1995 4.2 6.1 3.3 8.0 3.5 7.3 1995-2000 4.9 6.7 3.3 6.0 4.7 12.0 2000-2001 0.0 3.0 -4.7 4.7 -0.2 1.4 2001-2002 2.9 2.8 -4.4 7.9 3.0 16.1 2002-2003 -1.7 5.3 -3.1 -9.3 0.0 3.7 2003-2004 10.1 9.1 11.1 27.3 4.3 22.8 2004-2005 5.5 8.3 6.2 7.8 4.0 7.6 2005-2006 5.4 9.9 1.9 8.0 5.0 7.8 2006-2007 6.1 7.9 4.7 10.2 4.2 13.4 14. Олон улсын аялал жуулчлалын орлогын 2020 он хүртлэх таамаглалыг жилийн дундаж өсөлттэй харьцуулан дүгнэлт хийнэ үү 1995 îí 2005 îí Çàõ çýýëä ýçëýõ õóâü Æèëèéí äóíäàæ ºñºëò 2010 îí 2020 îí Ñàÿ $ 1995 îí 2020 îí 1995- 2020 Äýëõèé 565 682.7 1006 1561 100 100 4.1 Àôðèê òèâ 20 21.5 47 77 3.6 5.0 5.5 Àìåðèê òèâ 110 144.6 190 282 19.3 18.1 3.8 Àçè Íîìõîí äàëàéí îðíóóä 85 140.8 206 416 15.1 26.6 6.3 Åâðîï òèâ 336 348.3 527 717 59.8 45.9 3.1 Îéðõè Äîðíîä 14 27.6 36 69 2.2 4.4 6.7 15. Олон улсын жуулчдын тооны прогноз, бүс нутгаар 2020 оны прогнозыг 2000 онтой харьцуулсан дүнгээс хамгийн их өсөлттэй байх бүс нутгийг олно уу 16. Олон улсын аялал жуулчлалын захиалгын системийн үйл явцыг тайлбарла. Үзэсгэлэн яармаг Хэрэглэгч 23 Ази, Номхон далай Африк тив Ойрхи Дорнод Европ тив Америк тив
  • 24.
    Олон улсын аялалжуулчлал Хяналтын ажлын сан 17. Олон улсын аялал жуулчлалын захиалгын системд оролцогчдыг нэрлэнэ үү 18. Олон улсын жуулдын мэдээллийн эх сурвалж (зах зээллийн ангиллаар)-ийг харуулжээ. Дүгнэлт гаргана уу Мэдээллийн эх үүсвэр Ази % АНУ % Герман Франц Англи Бусад баруун европ % Зүүн Бусад Нийт % % % Европ Орнууд % % % ННХС 34 41 45 28 24 35 31 33 36 Урьдны айлчлал 18 20 21 14 24 11 29 19 18 Травел агент/ тур оператор 11 23 10 23 12 19 3 12 16 Интернет Телевиз, радио, сонин 13 24 14 18 18 17 12 26 15 Аялалын лавлах ном 10 4 14 16 5 6 7 6 8 Тусгай сэтгүүл Бизес/ албан ёсны 32 41 42 47 49 43 16 44 40 Бусад эх үүсвэр 5 8 7 9 6 11 1 4 7 41 29 25 13 39 25 59 38 32 7 10 6 15 8 14 16 5 10 Нийт 171 200 184 183 185 181 174 187 185 24 Аялал жуучлалын байгууллага Гадаадын тур оператор Аялал жуучлалын байгууллага Интернет, вэб сайт Интернет, вэб сайт Гадаадын тур оператор
  • 25.
    Олон улсын аялалжуулчлал Хяналтын ажлын сан Дундаж 17.1 20 18.4 18.3 18.5 18.1 17.4 18.7 18.5 Ярилцлага авсан хүний тоо 291 386 165 139 102 247 68 108 1506 19. Аялал жуулчлалын эхний мэдээлэл түгээлтийн систем нь NET framework дээр ASP.NET-ийг ашиглан SQL Server2000 ийг хэрэглэж байна. Задаргааг тайлбарлана уу М э д э э л л и й н с и с т е м и й н з а х и р г а а Г и ш їїн б а й г у у л л а г а Х э р э г л э г ч IIS с е р в е р S Q L S e r v e r 2 0 0 0 Ø è í ý ý ð ãè ø ¿ ¿ í ý ë ñ ¿ ¿ ë ý õ Õ ý ð ý ãë ý ã÷ ä û í à ÿ ë à ë æ ó ó ë ÷ ë à ë û í ç à õ è à ë ãà ,ì ý ä ý ý ë ë è é í õ à é ë ò À ÿ ë à ë æ ó ó ë ÷ ë à ë û í ¿é ë ÷ è ë ãý ý , ø è í ý à ÿ ë à ë û í òó õ à é ì ý ä ý ý ë ý ë , ç à õ è à ë ãû í ì ý ä ý ý ë ë è é ã ÿ â ó ó ë à õ Ø à à ð ä ë à ãà òà é ì ý ä ý ý ë ë è é í õ à é ë ò õ è é õ ø è í ý ì ý ä ý ý ë ý ë í ý ì ý õ Ã è ø ¿ ¿í á à é ãó ó ë ë à ãó ó ä û í ¿ é ë à æ è ë ë à ãà à ã õ ÿ í à õ 25
  • 26.
    Олон улсын аялалжуулчлал Хяналтын ажлын сан Бүлэг 3. Олон улсын аялал жуулчлалын бүс нутгууд А. Мэдлэг шалгах даалгавар 1. Дэлхийн аялал жуулчлалын байгууллагаас дэлхийн улс орнуудыг газарзүйн байрлал, түүх, зан заншил, шашин болон эдийн засаг, нийгмийн хөгжлийн түвшин, аялал жуулчлалд татагдан орсон байдал зэргийг харгалзан олон улсын аялал жуулчлалын ....................бүс нутгийг ангилан тогтоосон байдаг. a)5 b)6 c)7 d)8 2. Дэлхийн аялал жуулчлалын байгууллагаас дэлхийн улс орнуудыг газарзүйн байрлал, түүх, зан заншил, шашин болон эдийн засаг, нийгмийн хөгжлийн түвшин, аялал жуулчлалд татагдан орсон байдал зэргийг харгалзан олон улсын аялал жуулчлалын 6 бүс нутгийг ангилан тогтоосон байдаг. Үүнд: 1. Европын бүс нутаг 2. Америкийн бүс нутаг 3. Африкийн бүс нутаг 4. Зүүн Ази болон Номхон далайн бүс нутаг 5. Өмнөд Азийн бүс нутаг 6. ......................бүс нутаг a)Австрали b)Төв Ази c)Ойрхи Дорнод d)Карибын 3. 2013 оны статистикаар олон улсын аялал жуулчлалын салбарын жилийн дундаж өсөлт........ хувьтай байна. a) 5.1 b) 4.1 c) 4.8 d) 4.9 4. Европын бүс нутгийн аялал жуулчлалын онцлог a) Түүх соёлын аялал жуулчлал өндөр хөгжсөн b) Ангийн аялал жуулчлал хөгжсөн c) .................................................. d) .................................................. 5. Америкийн бүс нутгийн аялал жуулчлалын онцлог a) b) c) d) 6. Африкийн бүс нутгийн аялал жуулчлалын онцлог a) b) c) d) 7. Зүүн Ази болон Номхон далайн бүс нутгийн аялал жуулчлалын онцлог a) b) c) d) 8. Өмнөд Азийн бүс нутгийн аялал жуулчлалын онцлог a) b) c) 26
  • 27.
    Олон улсын аялалжуулчлал Хяналтын ажлын сан d) 9. Ойрх Дорнодын бүс нутгийн аялал жуулчлалын онцлог a) b) c) d) 10. Жуулчдын урсгал 1995 онд 60% байсан бол урьдчилсан тооцоогоор 2020 онд багасч 46% болтол буурах төлөвтэй байгаа бүс нутаг a) Америкийн бүс нутаг b) Өмнөд Азийн бүс нутаг c) Европын бүс нутаг d) Африкийн бүс нутаг 11. Ойрхи Дорнод болон Африкийн бүс нутгийн аялал жуулчлалын өсөлт a) 1-2 b) 5-6%, c) 3-4 d)10-11 12. 2020 он хүртэл дэлхий даяар нийт жуулчлагчдын дийлэнх хувь дараах топ гурван бүс нутгаас жуулчлах хандлагатай байна. Үүнд: Европ -717 сая жуулчин, Номхон далай болон Зүүн Өмнөд Ази-397 сая жуулчин, .................................. a) Америк-282 сая жуулчин b) Африк 234 сая жуулчин c) Өмнөд Ази 256 сая жуулчин d) Ойрхи Дорнод 241 сая жуулчин 13. Дэлхийн аялал жуулчлалын байгууллагын тооцоолсноор 2020 онд жуулчид хамгийн ихээр хүлээн авах улсууд a) БНХАУ b) Испани c) АНУ d) Итали 14. Дэлхийн аялал жуулчлалын байгуллагын тооцоолсноор 2020 онд жуулчид хамгийн ихээр илгээх улсууд a) АНУ b) Хятад c) Хонгконг d) Герман 15. Аялал жуулчлалын ирээдүйн хөгжлийн хандлага бүс нутгуудаар болон аялагчдын нас, хүйс, орлого, аялалын зорилго, жуулчдын эрэлт хэрэгцээ зэрэг олон хүчин зүйлүүдээс хамааран өөрчлөгдөж байгаагаас гадна .................................. илт давамгайлах болсон байна. a) Нийтийг хамарсан зах зээлд зориулсан аялалын бүтээгдэхүүнээс тусгай зах зээл рүү чиглэсэн бүтээгдэхүүн b) Нийтийг хамарсан зах зээл рүү чиглэсэн бүтээгдэхүүн c) Тусгай зах зээл рүү чиглэсэн бүтээгдэхүүн d) Адал явдалт аялалын бүтээгдэхүүн 16. Олон улсын аялал жуулчлалын орчин үеийн чиг хандлага болж байсан 3S буюу аялал амралтын 3 чиг хандлагыг тодорхойл. a) Sun, sea, service b) Sun, sea, sand c) Sun, sand, service d) Service, sand sea 17. Олон улсын аялал жуулчлалын орчин үеийн шинэ чиг хандлага болж буй 3L буюу аялал амралтын 3 чиг хандлагыг тодорхойл. a) Lore, landscape, ........... 27
  • 28.
    Олон улсын аялалжуулчлал Хяналтын ажлын сан 18. Хүлээн авч үйлчлэх жуулчдын тоогоор дэлхийд тэргүүлдэг 3 улс аялал жуулчлалын ямар бүсэд хамаарах вэ? a) Европ b) Африк c) Америк d) Ази, Номхон далайн бүс 19. Доорх олон улсын аялал жуулчлалын байгууллагуудаас Засгийн Газар хоорондын бус / NGO/ байгууллагуудыг нь нэрлэ. 1. Европын Аялал жуулчлалын Комисс / ETC/ 2. ОУ-ын Иргэний Агаарын Тээврийн Холбоо /IATA/ 3. ОУ-ын Иргэний Нисэхийн байгууллага / ICAO/ 4. Ази, Номхон далайн АЖ-ын Холбоо /PATA/ 5. Дэлхийн АЖ-ын байгуулллага / WTO/ 6. Японы АЖ-ын Агентуудын Холбоо /JATA/ a) b) c) d) 20. Дэлхий дахины хэмжээнд аялал жуулчлалын бодлого, түүний хөгжлийн асуудлууд, аялал жуулчлалын бүхий л салбарыг хамарсан үйл ажиллагаа явуулдаг засгийн газар хоорондын байгууллага a) Дэлхийн аялал жуулчлалын газар b) Дэлхийн аялал жуулчлалын байгууллага c) Олон улсын жуулчны байгууллага d) Олон улсын аялал жуулчлалын төв 21. Дэлхийн аялал жуулчлалын байгууллагын төв нь .......................... хотод байрладаг. a) Италийн Малин b) АНУ-н Вашингтон c) Испанийн Мадрид d) Бельгийн Бруселль 22. Дэлхийн аялал жуулчлалын байгууллага...................... нд 51 гишүүн байгууллагатайгаар байгуулагдсан. a) 1975 b) 1945 c) 1976 d) 1970 23. Дэлхийн аялал жуулчлалын байгууллагын гол зорилго нь a) Олон улсын хэмжээнд аялал жуулчлалын үйл ажиллагаагаар улс орнуудын хүн амын боловсролыг дэмжихэд оршино. b) Жуулчдын сонирхолыг татах байгалийн болон соёлын онцлог зүйлүүд, газар нутгийн тогтоц, унаган болон ховор ургамал, амьтан, соёл урлагийн арга хэмжээ, түүхийн хөшөө дурсгалуудыг хайрлан хамгаалахад оршино. c) Аялал жуулчлалын хөгжил нь эдийн засгийн өсөлтөд хувь нэмэр оруулах, олон улсын харилцан ойлголцол, энх тайван байдал, хөгжил цэцэглэлтийг дэмжих, хөгжүүлэхэд чухал хэрэгсэл болгон ашиглахад оршино. d)Аялал жуулчлалын мэргэжлийн байгууллагаар дамжуулан зохион байгуулагдаж байгаа үйл ажиллагаа, нөөц бололцоо, үйлчилгээний нэгдэлийг хангахад оршино. 24. Дэлхийн аялал жуулчлалын байгууллагын гишүүнчлэлийг ..............ангилдаг. a)3 b)4 c)5 d)6 28
  • 29.
    Олон улсын аялалжуулчлал Хяналтын ажлын сан 25. Дэлхийн аялал жуулчлалын байгууллагын гишүүнчлэл a) Жинхэнэ гишүүн ( Full member), холбоотон гишүүн (Associate member), харгалзагч гишүүн (Affiliate membership) b) Жинхэнэ гишүүн ( Full member), хам гишүүн (Associate member), дэмжигч гишүүн (Affiliate membership) c) Идэвхтэй гишүүн ( Full member), холбоотон гишүүн (Associate member), дэмжигч гишүүн (Affiliate membership) d) Жинхэнэ гишүүн ( Full member), холбоотон гишүүн (Associate member), дэмжигч гишүүн (Affiliate membership) 26. Жинхэнэ гишүүн болох эрх нь ........................... улс орнуудын өмнө нээлттэй байдаг. a) Тусгаар тогтносон b) Колони c) Арал d) Холбоотон 27. .............................болох эрх аялал жуулчлалын бүхий л салбарт үйл ажиллагаа явуулж буй байгууллагуудад нээлттэй байдаг. a) Холбоотон гишүүд b) Жинхэнэ гишүүд c) Дэмжигч гишүүд d) Идэвхтэй гишүүд 28. Холбоотон гишүүн орнууд дотроо бизнесийн зөвлөл, боловсролын зөвлөл.............................гэж 3 хуваагдана. a) Аялалын асуудал эрхэлсэн зөвлөл b) Гишүүнчлэл эрхэлсэн зөвлөл c) Зорих газрын менежментийн асуудлууд эрхэлсэн зөвлөл d) .......................................................... 29. Дэлхийн аялал жуулчлалын байгууллагын үндсэн бүтэц a) b) c) d) 30. Дэлхийн аялал жуулчлалын байгууллага нь анх 1925 онд .......................аялал жуулчлалуудын байгууллагуудын олон улсын нэгдэл нэртэйгээр байгуулагдсан. a) Италийн Малин b) Нидерландын Гаага c) АНУ-н Вашингтон d) Испанийн Мадрид Б. Чадвар шалгах даалгавар 1. Дэлхийн аялал жуулчлалын байгууллагын эрх барих дээд байгууллага нь....................... гэсэн бүтэцтэй a) Ерөнхий ассамблей, удирдах зөвлөл, тамгын газар b) Ерөнхий ассамблей, удирдах зөвлөл c) Ерөнхий ассамблей, тамгын газар d) Удирдах зөвлөл, тамгын газар 2. Дэлхийн аялал жуулчлалын байгууллагын эрх барих дээд байгууллага нь ........................юм. бөгөөд жинхэнэ болон холбоотон гишүүн орнуудаас төлөөлөл оролцуулж 2 жилд 1 удаа хуралддаг. a) Ерөнхий Ассамблей b) Удирдах зөвлөл c) Тамгын газар d) Холбооны газар 29
  • 30.
    Олон улсын аялагчдын тооны өсөлт Аялалжуулчлалын даац Зорих газрын менежмент ? Олон улсын аялал жуулчлал Хяналтын ажлын сан 3. Дэлхийн аялал жуулчлалын байгууллагын эрх барих дээд байгууллага нь жинхэнэ болон холбоотон гишүүн орнуудаас төлөөлөл оролцуулж ............... жилд 1 удаа хуралддаг. a)1 b)2 c)3 d)4 4. ................................Ерөнхий Ассамблейг удирдах бөгөөд 4 жилд 1 удаа сонгогддог. a) Ерөнхий нарийн бичгийн дарга b) Ерөнхийлөгч c) Ерөнхий сайд d) Удирдах зөвлөлийн дарга 5. ДАЖБ-ын засаглагч байгууллага бол.............................. юм. a) Тамгын газар b) Гvйцэтгэх зөвлөл c) Ерөнхий Ассамблей d) Холбооны газар 6. ДАЖБ-ын засаглагч байгууллага болох Гvйцэтгэх Зөвлөл нь ерөнхий ассамблейгээс баталсан vйл ажиллагааны төлөвлөгөөг хэрэгжvvлэх, гишvvн орнууддаа vйлчлэх зорилготой байдаг. 2 жил тутамд шинэчлэгддэг ерөнхий ассамблейгээс сонгогдсон 29 гишvvнээс Гvйцэтгэх Зөвлөл бvрддэг. a) Үнэн b) Худал 7. Хүснэгтийг ажиглаад асуултын тэмдгийн оронд ямар ухагдахуун байхыг нөхөж бич. 8. Дараах схемийг ажиглаад тулгамдаж буй асуудлыг бөглөнө үү? 30 Аялал жуулчлалын үржүүлэгч Аялал жуулчлалын нэмүү өртөг ? ? Хүчин зүйлс
  • 31.
    Олон улсын аялалжуулчлал Хяналтын ажлын сан 9. Найз нь захиа илгээв. Чи манайд ирэхдээ Өлзийт өртөөнд буугаад урагшаа доворхог газраар явж, бургасан дундуур явсаар ойн захад ирнэ. Тус ой нь нарсан ой байх бөгөөд ойгоос гарч жалга дайран манай ирнэ. Дараахь томьёололоос сонго. 10. Дараах бүтцийг орчуулан тайлбарлана уу? Front Office Manager Reservations Manager Reception Manager Reservations Staff Shift Leader Receptionists Keys & Enquiries Supervisor Parcels Telex Switchboard Mail Head Cashier Cashiers Head Porter Luggage Porters Lift Attendants Doorman Cloakroom Attendants 11. Доорх олон улсын аялал жуулчлалын тээврийн системийн бүтцийг тайлбарлана уу? Capacity Terminal Route Bottleneck Transfer Reliability Integration Hub / Gateway 31
  • 32.
    Олон улсын аялалжуулчлал Хяналтын ажлын сан 12. Дараах зурагт үндэслэн олон улсын аялал жуулчлалын тээврийн системын бүтэц, оролцогчдын хамаарлыг тайлбарлана уу? Infrastructures Passengers Freight Information 13. Олон улсын аялал жуулчлалын тур операторын салбарын оролцогчдын гол yйл ажиллагааг тайлбарлана уу? 14. Олон улсын аялал жуулчлалын орчин нөхөж бичнэ үү? 32 Òóð îïåðàòîð, òóð àãåíò Áàíê ñàíõ¿¿ãèéí áàéãóóëëàãóóä Çàñãèéí ãàçàð àÿëàë æóóë÷ëàëûí óäèðäàõ áàéãóóëëàãóóä ¯éë÷ë¿¿ëýã÷èä Àÿëëûí àãåíòóóä áóñàä ò¿íø, çóó÷ëàã÷èä ªðñºëäºã÷èä Õóâü íèéë¿¿ëýã÷èä Óóð àìüñãàë Õýâëýë ìýäýýëýë, çàð ñóðòàë÷èëãààíû àãåíòëàã Õàíãàí íèéë¿¿ëýã÷èä Õóóëü ýðõ ç¿é ªðñºëäºã÷ á¿òýýãäýõ¿¿¿ä Õ¿í àì ç¿éí ººð÷ëºëò Ìàêðî îð÷èí Óëñ òºðèéí Ýäèéí çàñãèéí Áàéãàëü ýêîëîãèéí
  • 33.
    Олон улсын аялалжуулчлал Хяналтын ажлын сан Бүлэг 4. Олон улсын аялал жуулчлалын асуудлууд А.Мэдлэг шалгах даалгавар 1. Хэдэн жилийн дотор дэлхийн хүн ам 2 дахин өсөх болсон вэ? a) 20 жил b) 30 жил c) 40 жил d) 50 жил 2. Хөгжингүй орнуудын 1000 хүн ам тутамд ногдох төрөлт, нас баралт, ердийн өсөлтийг зөв тодорхойлсон мөрийг ол. a) 24-9 =15 b) 26-9 =17 c) 13-10=3 d) 15-5=10 3. 100 саяаас олон хүн амтай улсуудыг сонго. a) Герман, Хятад, Швед, Афганистан b) Хятад, Энэтхэг, АНУ, Индониз, Бразил c) Хятад, Кени, Пакистан, Энэтхэг d) Энэтхэг,Хятад, Никрагуа, Итали 4.Дэлхийн II дайны дараа дэлхийн хүн амын шилжих хөдөлгөөний гол төв болсон орнуудыг сонго. a) АНУ,Канад, b) Австрали, Шинэ Зеланд c) Баруун Европийн орнууд d) Баруун өмнөд Ази 5. Хотжилтийн түвшинг юугаар тодорхойлох вэ? a) Шинэ шинэ хотууд байгуулагдан хотын хүн амын тоо, хувь өсч, хот маягийн амьдралын хүрээ тэлэх b) Хотын хүн амын тоо өсч, боловсролын түвшин өндөр болсон c) Шинэ хотууд байгуулагдаж хөдөө аж ахуй эрчимжсэн d) Зам сүлжээ сайжирч, шинэ хотууд байгуулагдах 6. Хотын төвлөрөл буюу агломерацийг зөв тодорхойлсныг ол. a) Хотын хүн ам ихээхэн төвлөрсөн хэсгийг b) Хотууд их хэмжээний талбайг эзлэн бие биетэйгээ нийлж тэнгэрийн заадас маягийн хот суурингийн төвлөрлийг бий болгохыг c) Олон сая хүн амтай том хотыг d) Байгалийн баялагт түшиглэн хот үүсэхийг 7. Алийг нь хүн амын ердийн хөдөлгөөн гэдэг вэ? a) Төрөлтөөс нас барсан хүний тоог хассаныг b) 1000 хүн тутмаас төрсөн, нас барсан хүний тоог c) 1000 хүн тутамд ногдох төрөлт, нас баралтын ялгаврыг d) 1000 хүн тутамд ногдох хүн амын өсөлтийг 8. Хүн амын төрөлтийн хэтийн төлөвийг хамгийн нарийвчлалтай үзүүлэх коэффициент аль нь вэ? a) Төрөлтийн тусгай коэффициент b) Төрөлтийн ерөнхий коэффициент c) Төрөлтийн насны үечлэлийн коэффициент d) Нөхөн үржихүйн коэффициент 9. Доорхи хувилбарын дундаас зөвийг нь ол. a) Өнөөгийн байдлаар дэлхий дээр хотын хүн ам 30%-иас хэтрэхгүй b) 45 орчим хувь нь хотод суудаг. c) 50 гаруй хувь нь хотод байна. d) 60 гаруй хувь нь хотод төвлөрч байна. 10. Хүн амын 52%-ыг Пүштүүн, 20%-Тажик, 9%-Хазаар бас 9%-Үзбек, 33
  • 34.
    Олон улсын аялалжуулчлал Хяналтын ажлын сан 3%-Түркмен, 1%-Белүж бас тийм хувийг Нүристанчууд эзэлдэг ямар улс байгааг ол. a) Иран b) Сомали c) Филиппин d) Афганистан 11. Австрали тивийн талбай, хүн амын тоог зөв харьцуулсан нь аль вэ? a) 8 сая ам км-28 сая хүн b) 44 сая ам км-3.2 тэрбум хүн c) 10.4 сая ам км-692.1 сая хүн d) 30.0 сая ам км-682 сая хүн 12. Хүн амын ердийн хөдөлгөөн 13-10=3 гэсэн үзүүлэлт аль хэв шинжийн оронд зонхилох вэ? a) Хөгжингүй орнуудад b) Хөгжиж байгаа орнуудад c) Дунд зэргийн хөгжилтэй орнуудад d) Түргэн хөгжиж байгаа орнуудад 13. Зөв мөрийг сонгон авч тодорхойлолтыг гүйцээ. Үүнд: Хүн ам зүйн бодлого ……………………………..ийг хэлнэ. a) Хүн амын дундаж наслалтыг зохицуулах b) Нийгэм, эдийн засгийн хөгжлийн дагуу хүн амынхаа төрөлт, нас баралт ба ердийн өсөлтийн өөрчлөлтийг дэс дараатай зохицуулах c) Хүн амынхаа ердийн хөлдөлгөөнд нөлөөлөх зорилгоор төрөөс хэрэгжүүлж буй арга хэмжээний цогцолборыг d) Хүн амын шилжин явах, гаднаас шилжин ирэх хөдөлгөөнийг зохицуулахыг 14. Дэлхийн зарим оронд хүн ам өлсгөлөнд нэрвэгдэж байгаагийн шалтгаан юунд оршиж байна вэ? a) Хүн ам их өсөж, өвчин эмгэг дэлгэрсэн, ажилгүйдэл b) Байгалийн нөөц хомсдож хотын хүн ам ихэссэн c) Хүн ам хэт өсч, байгалийн нөөц хязгаарлагдмал болж ажилгүйдэл ихэссэн d) Үйлдвэрлэх хүчний хөгжил сул дорой, байгалийн нөөцийн ашиглалт хангалтгүй болсон. 15. Хүн амын өсөлтөнд хамгийн шийдвэрлэх үүрэгтэй хүчин зүйлийг сонго. a) Хүн амын тоо их, бага байх b) Нас, хүйсний тэнцвэр, хүн ам зүйн бодлого c) Төрөх насны эмэгтэйчүүдийн тоо, гэрлэлт d) Боловсролын түвшин хөдөлмөр эрхлэлт 16. Нэг хүнд ногдох цахилгааны хэмжээгээр дэлхийд эхний 5-д ордог улсуудыг сонго. a) АНУ, Хятад, Орос, Итали, Герман b) Норвеги, Канад, Исланд, Швеци, Күвейт c) Австрали,АНУ, ОХУ, Япон, Бразил d) АНУ, Польш,Болгар, Япон, Канад 17. Австрали тивийн уугуул хүн ам аль нь вэ? a) Тай b) Хан c) Аброген d) Папау 18. Хүн амын ердийн өсөлт өндөртэй байдаг бүс нутгийг ол. a) Филиппиний ольтрог b) Төв Африк c) Амазонкийн сав d) Японы арлууд 34
  • 35.
    Олон улсын аялалжуулчлал Хяналтын ажлын сан 19. Дор нэр дурьдсан улсуудаас төрөлт ихтэй, аажмаар багасаж буй нас баралттай, ердийн өсөлт ихтэй, нөхөн үйлдвэрлэлтийн хэвшинд багтах улсуудыг жагсаасан мөрийг олж тэмдэглэ. a) Гаити, Австрали, Күвейт b) Орос, Хятад, Грек c) Дани, Израиль, Ливи d) Чад, Иемен, Мьянма 20. Дэлхийн хүн амын дундаж наслалтыг зөв тодорхойлсон мөрийг олж тэмдэглэ. a) Хүн амын дундаж наслалт 60, эрэгтэй 62, эмэгтэй 65 жил байна. b) Хүн амын дундаж наслалт 60, эрэгтэй 71, эмэгтэй 78 жил байна. c) Хүн амын дундаж наслалт 66, эрэгтэй 63, эмэгтэй 68 жил байна. d) Хүн амын дундаж наслалт 65, эрэгтэй 67, эмэгтэй 70 жил байна. 21. Өмнөд Азийн хүн амын үндэстний нэр, тоог зөв тодорхойлсон нь аль вэ? 1. Хинди а. 70 сая 2. Бенгаль б. 100 сая 3. Бахар в. 160 сая a) 1г, 2в, 3б, 4а b) 1в, 2г, 3а, 4б c) 1г, 2а, 3в, 4б 22.Хамгийн өргөн дэлгэрсэн язгуур хэл аль нь вэ? a) Хятад-Төвд b) Энэтхэг-Европ c) Алтайн d) Уралын 23.Баруун-өмнөд Ази нь дэлхийн эртний соёлжилтын нэг төв, хамгийн өргөн дэлгэрсэн дөрвөн шашны гурвынх нь эх нутаг тухайлбал…………………./өгүүлбэрийг гүйцээ/ a) Иуда, Ислам, Будда b) Христ, Ислам, Будда c) Иуда, Христ, Ислам d) Бусад 24.Дэлхий дээр хамгийн өргөн дэлгэрсэн шашныг нэрлэ. a) Христос, Лал, Будда b) Христос, Күнз, Будда c) Будда, Индус, Лал d) Лал, Синто, Христос 25.Доор нэр дурьдсан Азийн орнуудаас лал /ислам/ -ын шашныг хүн амын олонхи нь шүтдэг ямар улс байна вэ? a) Энэтхэг b) Индонез c) Филиппин d) Тайланд 26.Оросын олон ястан үндэстний Буддын шашныг шүтдэгийг нь тодорхойл. a) Молдаван, Мордва b) Татар, Чували, Башкир c) Коли, Карели, Удмурты d) Буриад, Тува, Кальмык 27.Үндэстний нийтлэг шинжийн хамгийн голлох нь юу вэ? a) Тодорхой нутаг дэвсгэр, хил хязгаар b) Үндэсний бичиг үсэг, хэл соёл, мэдрэмж c) Ард түмний сэтгэлгээний түвшин, оюуны чадавхи d) Эдийн засгийн бие даасан байдал 28. Дараах өгүүлбэрээс зөвийг олно уу? a) Соёл иргэншлийг төрүүлдэг, иргэншил соёлыг агуулдаг 35
  • 36.
    Олон улсын аялалжуулчлал Хяналтын ажлын сан b) Иргэншил соёл хоёр ижил ойлголт c) Иргэншил соёлыг агуулдаг бөгөөд нэгдмэл ойлголт d) Соёл иргэншилгүйгээр байх боломжтой 29. Соёл судлаач А.Тойнбийн тодорхойлсноор хөгжил нь нэгэнт зогсчихсон хэдэн иргэншил байдаг гэж үзсэн бэ? a) 2 b) 3 c) 4 d) 5 30.Хүн амыг нас болон хүйсийн бүтцээр нь зураглан харуулсан дүрслэл. a) Нас хүйсийн суварга b) Нас хүйсийн зураглал c) Хүн амын суварга d) Ердийн өсөлтийн загвар Б. Чадвар шалгах даалгавар 1. Доорх хүн төрөлхтний соёлын өвд бүртгэгдсэн бүтээлүүд аль улсад оршдгийг нэрлэ. a) Acropolis - b) Coleseum - c) Great Wall - d) Statue of Liberty - e) Taj Mahal – 2. Сүүлийн 3 жил дараалан аялал жуулчлалын салбар хамгийн хурдан хөгжиж буй бүс нутаг a) Африк b) Европ c) Ази, Номхон далайн бүс нутаг d) Америк 3. Доорх үндэсний паркууд аль улсынх болохыг нь тохируул. 1. Yosimate a. Австрали 2. Serengeti б. Шинэ Зеланд 3. Mount Cook в. АНУ 4. Kakadu г. Танзани 4. ...........................-гийн үндэсний хүрээлэн нь 14,763 кв.км газар нутагтай бөгөөд Танзаньд оршдог байна. Энэ хүрээлэн нь 3500 гаруй арслангуудын орон гэр болж өгдөг аж. a) Серенгети (Serengeti b) Танзаний үндэсний парк c) 5. Ютландын хойг, Датийн арлууд болон Скандиновын хойгийн баруун ба өмнөд хэсэгт амьдарч байсан тухайн үеийн хүчирхэг Германы овог аймаг a) Кавказчууд b) Ютландчууд c) Нормандчууд d) Даничууд 6. 983-984 онд Гренландын эрэг орчмыг нээж, “Гренланд” гэж нэрлэсэн Нормандын далайчин a) Томас Андерсон b) Эйрил Тури c) Эйрик Рауди d) Томас Хейдик 7. Ираны уулт өндөрлөг,Туркменстан, Месопотамын нам дор газар, Армяны өндөрлөг, Кавказын хэсэг, Сири, Палестин , Хойд Африкийг бүхэлд нь эзлэн 36
  • 37.
    Олон улсын аялалжуулчлал Хяналтын ажлын сан дагуулж, өөрийн засаглалаа тогтоож лалын шашныг дэлгэрүүлж байсан ард түмэн a) Казакууд b) Арабчууд c) Туркменистанууд d) Туркууд 8. Атлантын далайг гатлан Америк тивийн зүүн эргийн арлуудад анх хүрсэн бөгөөд шинэ эх газар нээж олсоноо хэзээ ч мэдээгүй Италийн далайчин a) Õ.Êîëóìá b) Васко Да Гама c) Ф.Магеллан d) А.Веспуччи 9. Х.Колумб анхны экспедицээ хэдэн онд эхэлсэн бэ? a) 1452 b) 1592 c) 1482 d) 1492 10. Х.Колумб анхныхаа аялалаар дараах газруудыг нээжээ. a) Багамын арал, Куба арал, Гайти арал b) Япон арал, Гуамын арал c) Гондурас, Никарагуа, Коста-Рика d) Өмнөд Америк тив 11. 1497-1504 онуудад Өмнөд Америкийн хойд ба зүүн эргээр аялж “Миний аялал нь экватораас өмнөд талд хуурай эх газар байдаг гэдгийг нотолж өглөө” гэж бичиж үлдээсэн Итали гаралтай далайчин a) Ф.Магеллан b) Васко Да Гама c) Х.Колумб d) Америго Веспуччи 12. 1498 онд анх удаа усан замаар Энэтхэгт очих замыг нээсэн Португалийн далайчин a) Ф.Магеллан b) Х.Колумб c) Эрик Андерсон d) Васко Да Гама 13. Дэлхийг анх удаа хөлөг онгоцоор тойрч дэлхий бөмбөрцөг хэлбэртэй болохыг нотлосон Испанийн далайчин a) Васко Да Гама b) Ô.Ìàãåëëàí c) Христофер Колумб d) Америго Веспуччи 14. ...............................Х.Колумбын анхны экспедицээс алдарт жуулчин Ф.Магелландын дэлхийг тойрсон аялал хүртэлх хугацаа хамрагддаг. a) Шинэ үеийн нээлтийн эринд b) Газарзүйн их нээлтийн эринд c) Орчин үеийн нээлтийн эринд d) Эртний нээлтийн эринд 15. Энэтхэг хүрэх усан замын хайгуулыг ......................... анх удаа хийснээр газарзүйн аугаа их нээлт тэднээс эхэлсэн гэж түүхэнд тэмдэглэсэн байдаг. a) Португалчууд b) Испаничууд c) Италичууд d) Арабууд 16. Их нээлтийн урьдчилсан нөхцөл нь ...................явдал гэж судлаачид үздэг байна. a) Энэтхэг хамгийн баян орон гэсэн яриа тархсан 37
  • 38.
    Олон улсын аялалжуулчлал Хяналтын ажлын сан b) Усан замын хөгжил дээшилсэн c) Европын улсуудын хөгжил дээшилсэн d) Пифагор, Аристотель нарын дэлхий бөмбөлөг хэлбэртэй гэж үзсэн 17. Судлаачид газарзүйн аугаа их нээлт нь Африкийн өмнүүр тойрсон замнал, баруун тийшээ Атлантын далайд гарсан.................................гэсэн гурван замаар хийгдсэн гэж үздэг. a) Өмнөд Америкийг нээсэн аялал b) Карибын арлуудыг нээсэн аялал c) Евразийн туйлын орчмын нутгаар аялсан d) Гринланд арлыг нээсэн аялал С. Хэрэглээ шалгах даалгавар 1. Дэлхийн өвд бүртгэх үйл явцыг гүйцээж бичнэ үү? Бүртгэлд хамруулах газрын орон нутгийн засаг захиргаанаас Дэлхийн өвд бүртгүүлэх хүсэлт, тодорхойлолт гаргана ↓ ЮНЕСКО-гийн Дэлхийн өвийн хороо тус газрыг үзэж танилцан, үнэлэлт өгөх хүсэлт гаргана ↓ ↓ ............................................................. ............................................................. ........................ Байгалийн өвд нэр дэвшигч бол Олон улсын байгаль орчныг хамгаалах холбоо (IUCN) тухайн газарт очиж судалгаа хийн, үр дүнг танилцуулна ↓ ↓ ....................................................................................................................................... ....................................................................................................................................... ..................................................... ↓ Тус хорооноос шийдвэр гаргана ↓ Албан ёсоор бүртгэнэ 2. ..................................... гэдэг нь 1972 оны ЮНЕСКО-гийн чуулганаар батлагдсан "Дэлхийн соёлын болон байгалийн өвийг хамгаалах тунхаглал" (Дэлхийн өвийн тунхаглал)-д үндэслэн Дэлхийн өвийн жагсаалтад бүртгэгдсэн археологийн дурсгал, байгаль, соёлын дурсгал зэрэг хүн төрөлхтөн үеэс үед өвлүүлэн үлдээх үнэт зүйлсийг хэлнэ. 3. ............................................. нь Дэлхийн Өвийн хорооны нарийн бичгийн дарга нарын газрын үүрэг гүйцэтгэж түүний өдөр дутмын ажлыг хангаж, хорооны жил бүрийн хурлыг зохион байгуулаж, шийдвэрийг хэрэгжүүлэх хурал семинар зохион байгуулах, дэлхийн өвийн өмч болон газруудын талаарх мэдээлэлийг түгээж, олон нийтийн ухамсарт нөлөөлөх зорилгоор бүх нийтийг хамарсан үйл ажиллагааа явуулах зэрэг үүргийг гүйцэтгэнэ. 4. ........................................... нь засгийн газар хоорондын байгууллага бөгөөд түүний нарийн бичгийн дарга нарын газар нь ЮНЕСКО-гийн нэг хэсэг болно. Тус хороо нь конвенцийн зүйл заалтыг хэрэгжүүлэх үндсэн үүрэгтэй. Энэ нь дэлхийн өвийн жагсаалтыг батлах, ба шинэчлэх аюулд учираад буй өвийн жагсалтыг боловсруулах, эдгээр жагсаалтанд хамарагдах газруудыг сонгох шалгуурыг 38
  • 39.
    Олон улсын аялалжуулчлал Хяналтын ажлын сан тодорхойлох, дэмжлэг хүссэн талуудын хүсэлтийг хүлээн авч судлах болон дурсгалт газруудын төлөв байдлын тайланд үнэлэлт дүгнэлт өгөх зэрэг ажлыг гүйцэтгэнэ. 5. ................................................. нь конвенцийн талуудын заавал өгөх (улс орнуудын ЮНЕСКО-д өгч буй татварын 1 хувьтай тэнцэх) болон сайн дурын хандиваас бүрдэх конвенцийг санхүүгийн нөөцөөс бүрдэнэ. 6. Ховор гэдэг нь дэлхий дээрх цор ганц байгаа бөгөөд зөвхөн тухайн газартаа байх дурсгалууд юм. a) Үнэн b) Худал 7. Нөхөгдөшгүй гэдэг нь тухайн дурсгал, дурсгалт газар эвдрэл сүйрэлд өртсөнөөр тэдгээрийг дахин сэргээх боломжгүй болохыг тодорхойлно. a) Үнэн b) Худал 8. 2002 оноос Дэлхийн Өвийн Жагсаалт хэмээн нэрлэгдэх болсон “дэлхийн гайхамшиг”-ийн жагсаалтанд ......... гишүүн орны нутаг дэвсгэрт байрлах нийт .......... соёлын, байгалийн ба хосолсон дурсгалууд багтдаг. 9. Соёлын өвийг дараах гурван төрөлд хуваан авч үздэг. a) ............................... эдгээр нь дэлхий дахины хосгүй гайхамшигт үнэ цэнэ уран барилга байгууламж, уран баримал, уран зураг, хүн амьдарч байсан агуу, хад чулуун дээрх бичээсүүд, хиргэсүүр зэрэг археологийн гаралтай бүтцүүдийг өөрт багтаана. b) .............................. түүх, урлаг, шинжлэх ухааны үүднээс авч үзэхэд ур хийц, загвар, үзэсгэлэнт байгаль дэлхийтэйгээ ижилдэн зохицолдож байршсан хот суурин, дүүрэг зэргийг өөрт хамруулна. c) ............................... эдгээр нь хүний оюун ухаан, гараар бүтсэн бүтээл, эсвэл хотын болон хөдөөгийн ландшафт зэрэг хүн болон байгалийн харилцан үйлчлэлийн дунд бий болсон гайхамшигт бүтээлүүд, археологийн дурсаглт газар болон байгалийн бусад газрууд багтана. 10. Байгалийн өвийн тодорхойлолтыг бичнэ үү? ........................................................................................................................................ ........................................................................................................................................ ................................................................................................................................. 11. Хүн төрөлөхтний байгалийн өвийг Конвенци дараах байдлаар ангилжээ. a) Физик ба Биологийн тогтцууд: ой, мөнх цас мөс, арал, нуур, агуй, уул, гэх мэт b) Ховор ховордсон ургамал, амьтны төрөл зүйлийн амьдрах орчин: шүрэн арал, ширэнгэн ой, ус намаг, чийглэг газар гэх мэт c) ............................................................................................................................ ............................................................................................................................ . 12. Аав нь АНУ-ын Нью-Йорк хотод байдаг охиндоо төрсөн өдрийн мэнд хүргэхээр залгах шаардлагатай болов. Охин нь 1700 цагт завтай байдаг бол аав нь эндээс хэдэн цагт залгах вэ? Жич: Нью-Йорк цагийн 19-р бүсэд байрладаг. A. 06 цаг B.07 цаг C.08 цаг D. 04 цаг E. 05 цаг 13. Таних тэмдэгийг зөв тохируулсаныг ол. 1. Оршуулгын газар 39
  • 40.
    Олон улсын аялалжуулчлал Хяналтын ажлын сан 2. Овоо 3.Радио, телевизийн цамхаг 4. Шатахуун түгээх станц 5. Ил уурхай A. A-3 B-4 C-2 D-1 E-5 B. A-2 B-1 C-3 D-4 E-5 C. A-5 B-4 C-3 D-1 E-2 D. A-3 B-4 C-1 D-5 E-2 E. A-4 B-1 C-2 D-3 E-5 14. Хамгийн олон цагийн бүстэй ОХУ нийт хэдэн цагийн бүстэй вэ? А.10 Б.11 В.12 Д.9 15. Нью-Йорк, Улаанбаатар хоёр 12 цагийн зөрүүтэй байдаг. Улаанбаатараас Нью- Йоркт нисэж очиод цагаа тааруулахдаа зүүг нь урагшаа гүйлгэх үү эсвэл ухраах уу? 16. Дүрст тааврыг ашиглан олон улсын аялал жуулчлалын бүсийг тодорхойл 1 2 3 4 5 ò ý à ë ã í õ ó ê ç ñ î é ð ¿ 1............................................. 2............................................. 3............................................. 4. ……………………………… 17. Дэлхийн Өвийн Жагсаалтанд нийт ........................ газрын “Байгалийн Дурсгалт газар” ангилалаар бүртгэгдсэн байдаг. 18. Дурсгалт газрын ангилалыг нөхөж бичнэ үү a) Экосистемийн хөгжил ба хувьсалийн голлох үйл явцыг илтгэх гол жишээ болсон дурсгалт газар. b) Байгалийн өвөрмөц тогтоц эсвэл байгалийн үзэсгэлэн бүрдсэн дурсгалт газрууд c) ............................................................................................................................ ............................................................................................................................ ...... 40 2 2 5 3 5 3 4 4 3 5 2 3 3 4 3 3 1 4 2 1 1 2 1 2 4 5 5 1
  • 41.
    Олон улсын аялалжуулчлал Хяналтын ажлын сан 19. Биет бус өвд үлгэр домог, дуу хөгжим, бүжиг, бие хамгаалах урлаг, баяр наадам, ардын эмнэлэг ба уламжлалт эм, хоолны урлаг болон гар урлал барилга байгууламж, багаж хэрэглэл хийх арга ухаан ........................................................................................................зэрэг багтана. 20. Дэлхийн аюулд өртсөн өвд a) Иерусалим хот, түүний хэрэм цөл нутгийн эртний нөөлтөд өртөөд буй Мали улсын Тимбукту a) Пакистаны Лахоре дахь Шаламар цэцэрлэг, түүний хэрмэн цайз суурь b) Перу дахь Колумбийн өмнөх үеийн түүхэн хот болох Чан-чаны археолгийн дурсгалт бүс c) ....................................... нутаг зэргийг устах аюулд өртсөн өвийн жагсаалтанд оруулсан байна. № Даалгаварын ангилал Бүлэг 1 Бүлэг 2 Бүлэг 3 Бүлэг 4 НИЙТ 1 Мэдлэг шалгах даалгавар 30 30 30 30 120 2 Чадвар шалгах даалгавар 20 20 20 20 80 3 Хэрэглээ шалгах даалгавар 30 25 25 20 105 НИЙТ 80 75 75 70 305 41