ΓΕΝΙΚΕΣ ΟΔΗΓΙΕΣ
 Προεργασία έκθεσης
 Τυπικά κειμένων
 Οδηγίες δομής
 Διαρθρωτικές λέξεις
 Οδηγίες έκφρασης
 Ευρετήριο επιχειρημάτων
 Τύποι θεμάτων / ερωτημάτων
Ν. ΧΑΒΑΛΕΣ
ΜΕΘΟΔΟΛΟΓΙΑ ΕΚΘΕΣΗΣ
 Προσεκτική ανάγνωση του θέματος (2-3 φορές) και κατανόησή του (αν
τυχόν υπάρχουν ασάφειες, ίσως μπορούν να αντιμετωπιστούν μέσω της
ανάγνωσης του κειμένου που δίδεται για περίληψη, καθώς το περιεχόμενό
του, άμεσα ή έμμεσα, σχετίζεται με το θέμα της έκθεσης).
 Εντοπισμός της κεντρικής έννοιας.
 Διαχωρισμός δεδομένων και ερωτημάτων.
 Αν δεν υπάρχουν ερωτήματα, τότε ο μαθητής θα πρέπει μόνος του να
εξάγει τα ζητούμενα από τα δεδομένα στοιχεία.
 Διαμόρφωση στο πρόχειρο ενός σχεδιαγράμματος, όπου θα
καταγραφούν τα σημαντικά στοιχεία που θα αποτελέσουν στη συνέχεια το
υλικό ανάπτυξης κατά τη γραφή της έκθεσης (το σχεδιάγραμμα οργανώνει το
διαθέσιμο υλικό και βοηθά στην ομαλή ταξινόμηση και ιεράρχησή του).
 Λαμβάνεται υπόψη το απαιτούμενο επικοινωνιακό πλαίσιο ανάλογα
με το κειμενικό είδος που ζητείται προς ανάλυση:
 εφόσον πρόκειται για άρθρο, απαιτείται τίτλος, ενώ ως προς το ύφος
γραφής επιτρεπτά είναι τα επικοινωνιακά γνωρίσματα, όπως η χρήση, πέραν
του γ΄ προσώπου, και του α΄ ή β΄ πληθυντικού, τα παραδείγματα, οι ρητορικές
ερωτήσεις (χωρίς να τις μετερχόμαστε συχνά), η στίξη…
 εφόσον ζητείται η εκφώνηση ομιλίας ή εισήγησης, θα πρέπει να
υπάρχει στην αρχή του γραπτού μια προσφώνηση (π.χ. Αγαπητοί
συμμαθητές και συμμαθήτριες) και στο τέλος μια αποφώνηση (π.χ.
Ευχαριστώ πολύ για την προσοχή σας), ενώ στο ύφος του κειμένου
προσιδιάζουν και πάλι τα επικοινωνιακά γνωρίσματα…
 αν το θέμα έχει τη μορφή της επιστολής, τότε στην πρώτη σειρά στα
δεξιά απαιτείται να γραφεί η ημερομηνία, στην επόμενη σειρά στα αριστερά
μια προσφώνηση (π.χ. Αξιότιμε κ. …) και στο τέλος του γραπτού στα δεξιά μια
αποφώνηση (Με σεβασμό / Με εκτίμηση), ενώ το ύφος γραφής θα πλαισιωθεί
από επικοινωνιακά γνωρίσματα…
 αν ζητηθεί ένα αποδεικτικό δοκίμιο (δοκίμιο πειθούς), τότε προαιρετικά
μπορεί να δοθεί ένας τίτλος, ενώ το κείμενο θα θυμίζει ως επί το πλείστον την
κλασική έκθεση με προτιμητέο το γ΄ πρόσωπο γραφής (αν το θέμα απαιτεί την
εκφώνησή του σε ένα ακροατήριο, τότε θα ακολουθηθεί το τυπικό της ομιλίας)
…
 Εκκίνηση της γραφής του θέματος.
2
ΜΕΘΟΔΟΛΟΓΙΑ ΣΤΗΝ ΕΚΘΕΣΗ
ΒΟΗΘΗΤΙΚΕΣ ΟΔΗΓΙΕΣ ΣΤΗ ΔΟΜΗΣΗ ΤΟΥ ΓΡΑΠΤΟΥ
ΠΡΟΕΡΓΑΣΙΑ
 Ύπάρξη των τριών βασικών δομικών μερών (πρόλογος, κύριο μέρος,
επίλογος).
 Ισομέρεια ζητημάτων (τα ερωτήματα θα απαντηθούν περίπου ισότιμα).
 Κάθε ζήτημα χωρίζεται σε επιμέρους παραγράφους και δεν
αναπτύσσεται μόνο σε μία.
 Μεταξύ των παραγράφων υπάρχει ισομέρεια (ή όλες θα είναι σχετικά
μεγάλες:9-14 σειρές, ή όλες θα είναι σχετικά μικρές:5-7 σειρές). Εξαίρεση
αποτελούν οι παράγραφοι του προλόγου και του επιλόγου, οι οποίες πρέπει
να έχουν μικρότερη έκταση από εκείνη των παραγράφων του κύριου μέρους.
 Ορθή ιεράρχηση των επιχειρημάτων, βάσει ενός σχεδιαγράμματος.
 Χρήση διαρθρωτικών λέξεων και φράσεων που θα βοηθούν στο
πέρασμα από τη μια παράγραφο στην άλλη και θα συμβάλλουν στη συνοχή
του εσωτερικού τους, καθώς επίσης ύπαρξη ομαλών μεταβάσεων από το ένα
ζήτημα στο επόμενο (αυτό μπορεί να επιτευχθεί με μια πρόταση στο τέλος
του ενός ζητήματος ή στην αρχή του επόμενου και όχι με ξεχωριστή
παράγραφο ανάμεσά τους, λόγω του περιορισμένου αριθμού λέξεων):
ΓΕΝΙΚΟΤΕΡΕΣ ΣΥΝΔΕΤΙΚΕΣ ΦΡΑΣΕΙΣ ΚΑΙ ΠΡΟΤΑΣΕΙΣ
Γενικότερα συνδετικά για αρχή παραγράφου:
 Υποστηρίζεται από πολλούς ότι..
 Δεν υπάρχει αμφιβολία ότι..
 Είναι σαφές ότι..
 Είναι γεγονός ότι..
 Είναι γενικά παραδεκτό ότι..
 Είναι περιττό να τονιστεί ότι..
 Περιττεύει να θυμίσουμε ότι..
Όταν πρόκειται να συνδεθούν όμοια νοήματα:
 Πέραν των άλλων, δε θα πρέπει να λησμονηθεί ότι..
 Σε μια τέτοια περίπτωση..
 Παράλληλα όμως με αυτό..
 Προχωρώντας πιο πέρα διαπιστώνουμε ότι..
 Κάτι ανάλογο ισχύει και σε..
 Εκτός απ αυτό..
 Το ίδιο συμβαίνει και..
 Αξίζει να σημειωθεί ιδιαίτερα..
 Το σημαντικότερο / χειρότερο απ όλα..
 Ένα άλλο εξίσου σημαντικό αίτιο / επακόλουθο..
 Δε φτάνει μόνο αυτό, αλλά χρειάζεται και..
 Ας προσθέσουμε ακόμη ότι..
Όταν πρόκειται να συνδεθεί η αιτία με το αποτέλεσμα και αντίστροφα:
 Αυτό έχει ως αποτέλεσμα..
 Προϋπόθεση όλων αυτών είναι..
 Αυτό δε θα γινόταν αν..
 Αυτό οφείλεται σε..
 Από τα παραπάνω προκύπτει το συμπέρασμα / συνάγεται..
 Για τους παραπάνω λόγους..
3
 Και αυτό συμβαίνει επειδή..
 Έτσι λοιπόν..
΄Όταν έχουμε διαφορετικά ή αντίθετα νοήματα:
 Προβάλλει όμως στο σημείο αυτό μια βασική αντίρρηση…
 Οι απόψεις που διατυπώνονται επί του θέματος είναι διαμετρικά αντίθετες..
 Δε συμβαίνει όμως το ίδιο..
 Στο άλλο άκρο βρίσκεται..
 Παρ όλα αυτά..
 Από την άλλη μεριά..
 Θα διατυπωθεί ίσως η αντίρρηση..
 Και όμως..
Συνδετικό ρόλο έχουν και ποικίλα επιρρήματα, αντωνυμίες, σύνδεσμοι:
 Αναμφίβολα, αναντίρρητα, αδιαμφισβήτητα, εξάλλου, άλλωστε, ωστόσο,
όμως, αλλά, εντούτοις, αντιθέτως, συνεπώς, επομένως, άρα, βέβαια,
ειδικότερα, αρχικά, τελικά, πράγματι, φυσικά, ταυτόχρονα, επιπρόσθετα, αυτό,
εκείνο (καλό είναι να αποφεύγεται η συχνή χρήση των: ένα άλλο, ακόμη,
επιπλέον, επίσης και η αριθμητική σύνδεση)…
Από αιτία σε αιτία:
 Τις αιτίες αυτού πρέπει να τις αναζητήσουμε σε..
 Αναμφίβολα, οι ρίζες του προβλήματος πρέπει να αναζητηθούν και..
 Εξίσου σημαντική παράμετρος για τη δημιουργία του φαινομένου είναι και..
 Πολύ σοβαρό ρόλο στη γένεση του προβλήματος διαδραμάτισε και..
 Δεν πρέπει ωστόσο ως αιτία να αγνοήσουμε και..
 Η ερμηνεία του φαινομένου μπορεί να επιτευχθεί και με αναφορά στο..
Από συνέπεια σε συνέπεια:
 Από όσα αναφέρθηκαν παραπάνω προκύπτει ότι..
 Οι σοβαρές συνέπειες του προβλήματος είναι αισθητές και..
 Οι σημαντικές διαστάσεις του φαινομένου γίνονται φανερές από την
επίδρασή τους στο..
 Πέραν των άλλων, όμως, ιδιαίτερα πλήττεται και..
 Επιπτώσεις του προβλήματος εντοπίζονται και..
Από τρόπο σε τρόπο:
 Μπροστά στη δυσοίωνη αυτή προοπτική χρέος όλων μας είναι..
 Η λύση του προβλήματος απαιτεί τη δραστηριοποίηση των..
 Αποτελεσματικά θα βοηθούσε και η συνδρομή των..
 Αναγκαία κρίνεται και η λήψη μέτρων από..
 Η ευθύνη των…για την εξάλειψη  ελαχιστοποίηση του προβλήματος δεν
είναι μικρή, καθώς..
 Δέον βήμα για την επίλυση του προβλήματος θα ήταν και..
 Αδήριτη ανάγκη αποτελεί και..
4
 Γενικότερα, σε μία έκθεση των 600 περίπου λέξεων λογικά θα υπάρχουν 5-6
παράγραφοι στο κύριο μέρος των 90 περίπου λέξεων, ενώ ο πρόλογος και ο
επίλογος θα περιέχουν από 50-60 λέξεις.
Εκφραστικά σφάλματα θεωρούνται:
 Έλλειψη ακρίβειας και σαφήνειας στο λόγο.
 Άσκοπη φλυαρία και πολυλογίες.
 Περιττολογίες και πλατυασμοί (η σύγχρονη εποχή μας, από ανέκαθεν..).
 Χυδαιολογίες, υπερβολές, υβριστικές και ακραίες εκφράσεις.
 Λυρισμός, συναισθηματισμός, λογοτεχνικό και ποιητικό ύφος.
 Ακυρολεξία (χρήση λέξεων των οποίων άλλη είναι η σημασία και άλλη τους
αποδίδεται).
 Επανάληψη λέξεων και φράσεων.
 Μακροπερίοδος λόγος (συχνά οδηγεί σε ασάφειες και συντακτικά
σφάλματα).
 Γραμματικά (ατονικό σύστημα, σφάλματα στίξης και ορθογραφίας) και
συντακτικά λάθη (ασυμφωνία αριθμών, αδόκιμοι εμπρόθετοι προσδιορισμοί, η
κακή πλοκή των λέξεων μέσα στην περίοδο, ανακολουθίες χρόνων…).
Λάθη μορφής θεωρούνται:
 Συντομογραφίες.
 Αριθμήσεις.
 Υπογραμμίσεις.
 Κακογραφία και δυσανάγνωστο γραπτό.
Α. ΕΥΡΕΤΗΡΙΟ ΑΙΤΙΩΝ / ΕΥΡΕΣΗ ΥΛΙΚΟΥ ΠΟΥ ΑΦΟΡΑ
ΕΡΩΤΗΜΑΤΑ ΑΙΤΙΟΛΟΓΗΣΗΣ ΠΡΟΒΛΗΜΑΤΩΝ
α. Δυσανάλογη ανάπτυξη του υλικοτεχνικού πολιτισμού ως προς τον
πνευματικό: αποπνευματοποίηση, αδιαφορία καλλιέργειας του
εσωτερικού κόσμου, λανθασμένες προτεραιότητες, έκλειψη οραμάτων
και κοινών σκοπών, δυσπιστία σε παραδοσιακές αξίες, αντικατάσταση
αξιών από απαξίες, έκλυση ηθών, κλίμα πρακτικισμού, ιδεολογική
σύγχυση, αλλοτρίωση…
5
1. Χαρακτηριστικά της σύγχρονης εποχής:
ΒΟΗΘΗΤΙΚΕΣ ΟΔΗΓΙΕΣ ΣΤΗΝ ΕΥΡΕΣΗ ΕΠΙΧΕΙΡΗΜΑΤΩΝ
ΩΣ ΠΡΟΣ ΤΗΝ ΑΝΑΠΤΥΞΗ ΕΝΟΣ ΘΕΜΑΤΟΣ
ΒΟΗΘΗΤΙΚΕΣ ΟΔΗΓΙΕΣ ΩΣ ΠΡΟΣ ΤΗΝ ΕΚΦΡΑΣΗ
β. Θεοποίηση της τεχνολογίας: τεχνοκρατισμός, κυνήγι ευδαιμονίας μέσω
τεχνολογίας, ορθολογισμός, κυριαρχία της λογικής, απουσία συναισθήματος...
γ. Συνθήκες διαβίωσης αστικών κέντρων: πληθώρα ανθρώπων, έλλειψη
ζωτικού χώρου για προσωπική έκφραση, ανωνυμία, τυπικότητα στις σχέσεις,
ωφελιμισμός, καχυποψία και ανασφάλεια έναντι συνανθρώπων, … //
καλπάζοντες ρυθμοί, συνθετότητα ζωής, ο άνθρωπος υπεύθυνος πολλών
τομέων, ένταση και άγχος, μαζοποίηση, ανάγκη εκτόνωσης, επιθετικότητα,
αδυναμία βελτίωσης της κοινωνίας, … // προβλήματα δόμησης και
χωροταξίας, διαμερισματοποίηση, κυκλοφοριακή συμφόρηση, ρύποι,
ανθυγιεινές συνθήκες ζωής, έλλειψη αισθητικής, κακοποίηση φύσης, …
δ. Υλισμός, ατομικισμός, συμφέροντα: υλιστικά πρότυπα, θεοποίηση του
χρήματος, προβολή του ανθρώπου του «έχειν» και όχι του «είναι», συνεχές
κυνήγι του κέρδους και των υλικών αγαθών, υπερκαταναλωτισμός,
πλασματικές ανάγκες, ανταγωνισμός, ιδιοτέλεια, εγωκεντρισμός, «ο θάνατός
σου, η ζωή μου», αδιαφορία για τα κοινά, απώλεια κοινωνικής συνείδησης και
υποχρεώσεων, υιοθέτηση αθέμιτων μέσων, έλλειψη διάθεσης για
επικοινωνία…
ε. Κρίση ηθικών αξιών: έλλειψη σεβασμού στην προσωπικότητα των άλλων,
απουσία υπευθυνότητας / συνεργασίας / αλληλεγγύης / εντιμότητας…,
καταπάτηση δικαιωμάτων, εκφυλισμός υγιών ιδανικών…
ζ. Κρίση ανθρωπίνων σχέσεων: αποξένωση, απομόνωση, έλλειψη
επικοινωνίας και ανταλλαγής ιδεών, ατομικισμός, συμφεροντολογισμός,
καχυποψία, υποκρισία, μοναξιά…
η. Απομάκρυνση από τη φύση: αλλοτρίωση, εξάλειψη συναισθήματος /
ψυχικής ηρεμίας, άγχος, απουσία έμπνευσης και φαντασίας, διαμόρφωση
ατόμων με εσωτερικό κενό…
θ. Εκβιομηχάνιση ζωής, εργασίας, διασκέδασης: αυτοματοποίηση,
τυποποίηση, εξειδίκευση, υπερεργασία, μονομέρεια, περιορισμός των
πρωτοβουλιών, μετατροπή του εργαζόμενου σε όργανο παραγωγής, έλλειψη
ελεύθερου χρόνου, στείρα διασκέδαση, κατανάλωση προκατασκευασμένων
ψυχαγωγικών αγαθών, εκφυλισμός του πνευματικού δυναμισμού,
χειραγώγηση του ανθρώπου σε καθορισμένες κατευθύνσεις…
ι. Κοινωνικά προβλήματα: χάσμα μεταξύ των κοινωνικών ομάδων,
ανισότητες, αναξιοκρατία, ανεργία, βία, ρατσισμός, παθογενή φαινόμενα…
κ. Μιμητισμός, ξενομανία, παγκοσμιοποίηση: άκριτη υιοθέτηση και
παθητική αποδοχή ξένων προτύπων ζωής / συμπεριφοράς / ιδεών /
γλώσσας, μόδα (λόγω προβολής ανάλογων προτύπων από τα ΜΜΕ και κατ
επέκταση των διαμορφωμένων συμπλεγμάτων κατωτερότητας), πολιτιστική
διείσδυση των ισχυρών κρατών στα πιο αδύναμα, μαζοποίηση, ομοιομορφία,
αλλοτρίωση των ατόμων και αλλοίωση της εθνικής τους ταυτότητας…
6
α. Οικογένεια: πολύωρη απουσία γονέων από την οικογενειακή εστία,
παραμέληση των παιδιών, έλλειψη επαφής με αυτά και άγνοια των
προβλημάτων τους, αυταρχισμός / καταπίεση / υπερπροστασία /
υπερβολικές απαιτήσεις ή παροχή υπέρμετρης ελευθερίας / άκριτος
φιλελευθερισμός, μη διοχέτευση υγιών προτύπων και οραμάτων στους
μελλοντικούς καθοδηγητές της κοινωνίας, χαλάρωση των σχέσεων των
μελών, μετατροπή της εστίας σε κέντρο φιλοξενίας και απομάκρυνση
από οικογενειακές παραδόσεις, κρίση στις σχέσεις των δύο φύλων λόγω
χειραφέτησης της γυναίκας…
β. Εκπαίδευση: απουσία ηθικής και ανθρωπιστικής αγωγής, μη καλλιέργεια
ιδανικών, στείρα αποστήθιση γνώσεων, τεχνοκρατική αντίληψη,
επαγγελματικές και χρησιμοθηρικές γνώσεις, βαθμοθηρία, μη προώθηση
κριτικής ικανότητας και σκεπτόμενου ανθρώπου, ανταγωνιστικό σύστημα
εξετάσεων, δημιουργία απέχθειας προς το βιβλίο…
γ. Μέσα μαζικής επικοινωνίας: καταστρατήγηση της δημοσιογραφικής
δεοντολογίας, εξάρτηση από οικονομικά και πολιτικά συμφέροντα,
παραπληροφόρηση, αποπροσανατολισμός, φανατισμός, κιτρινισμός,
παραβίαση ιδιωτικών προβλημάτων στο όνομα της τηλεθέασης, προβολή του
ανθρώπινου πόνου, παρουσίαση υλιστικών προτύπων / βίας, ηρωοποίηση
αντικοινωνικών τύπων, συμβολή στην παθητικοποίηση και
αποπνευματοποίηση του ανθρώπου…
δ. Πνευματικοί άνθρωποι: εφησυχασμός, μη πρωτοβουλία αφύπνισης των
μαζών, περιχαράκωση στον κύκλο τους, ελιτισμός, αδράνεια…
ε. Πολιτεία: αναξιοκρατία, ευνοιοκρατία, νεποτισμός, δυσλειτουργία κρατικού
μηχανισμού, γραφειοκρατία, έλλειψη προγραμματισμού, αρνητικά πρότυπα
πολιτικών, σκάνδαλα, απομάκρυνση από τα κοινωνικοπολιτικά δρώμενα…
κοινωνικό – πολιτικό – φιλομαθές – μιμητικό – πνευματικό – ηθικό – έλλογο
(λόγος και σκέψη) – δημιουργικό – με τάσεις εξέλιξης (άνω θρώσκω =
ετυμολογία της λέξης άνθρωπος)…ον.
7
2. Ευθύνες φορέων αγωγής:
3. Χαρακτηριστικά ανθρώπινης φύσης:
επιρρέπεια, ευπιστία, επιπολαιότητα, έλλειψη αυτοκυριαρχίας, ανυπομονησία,
αστάθεια, μεταβλητότητα της συναισθηματικής και ψυχικής κατάστασης,
μιμητισμός, αμφισβήτηση των πάντων, αντιδραστικότητα, απολυτότητα,
αυθορμητισμός, ενθουσιασμός, απειρία, απαιτητικότητα,
προοδευτικότητα, ιδεαλισμός, οραματισμός, τάσεις αλλαγής του
κοινωνικού γίγνεσθαι και επίδειξης αυτονομίας, δυναμικότητα,
αγωνιστικότητα, αισιοδοξία, θάρρος, φιλοδοξία…
 Υποσημείωση: τα χαρακτηριστικά ανθρώπινης και νεανικής φύσης
μπορούν να χρησιμοποιηθούν κατά κύριο λόγο όταν ο μαθητής κληθεί να
αιτιολογήσει ένα διαχρονικό πρόβλημα.
α. ηθική του συμφέροντος, ατομικισμός, εκμαυλισμός / εκχυδαϊσμός..
β. απώλεια κοινωνικής συνείδησης, αδιαφορία για ό,τι διαδραματίζεται, αρχή
της ήσσονος προσπάθειας, φιλοθηρία της ευκολίας, απανθρωπισμός..
γ. χαμηλό πνευματικό επίπεδο, προκαταλήψεις και στερεότυπα, έλλειψη
κριτικής ικανότητας και καλλιέργειας, φανατισμός, μαζοποίηση, ανωριμότητα
και ενδοτικότητα, ανευθυνότητα (οι ευθύνες αποδίδονται στο κοινωνικό
σύστημα)..
δ. συμπλέγματα, ανασφάλειες, εγωκεντρισμός, αλαζονεία..
Β. ΕΥΡΕΣΗ ΑΙΤΙΩΝ ΘΕΤΙΚΩΝ ΚΑΤΑΣΤΑΣΕΩΝ
α. ανάπτυξη του πολιτισμού, των τεχνών και των επιστημών, άνοδος του
μορφωτικού επιπέδου..
β. καθολικότητα της εκπαίδευσης, καλύτερες μέθοδοι και τεχνικές, απαλλαγή
του ανθρώπου από προκαταλήψεις, δεισιδαιμονίες..
γ. ανάπτυξη της τεχνολογίας, βελτίωση του βιοτικού επιπέδου..
δ. εδραίωση της δημοκρατίας στις περισσότερες χώρες του κόσμου,
φιλελευθερισμός, κατοχύρωση ανθρωπίνων δικαιωμάτων, δυνατότητα των
πολιτών στη συμμετοχή στα κοινά και στον έλεγχο της εξουσίας..
ε. βελτίωση των μέσων μαζικής μεταφοράς, εκμηδένιση των αποστάσεων..
ζ. τελειοποίηση των μέσων μαζικής ενημέρωσης, έγκαιρη πληροφόρηση..
η. απλούστευση της ζωής, ελευθερίες, ελεύθερος χρόνος..
θ. γρήγορη κοινωνικοποίηση των νέων..
ι. ειρηνικό πνεύμα, διεθνοποίηση, διεθνείς οργανισμοί..
Γ. ΕΥΡΕΤΗΡΙΟ ΣΥΝΕΠΕΙΩΝ
Όταν ζητηθούν από το μαθητή οι συνέπειες ενός φαινομένου, καλό θα ήταν
να τις διαχωρίσει σε επίπεδα, μέσω των οποίων θα πετύχει σφαιρική
αντιμετώπιση του θέματος, θα αποφύγει τη γραφή παρόμοιων στοιχείων και
το γραπτό του θα έχει καλύτερη δόμηση. Το υλικό ωστόσο όλων των
8
4. Χαρακτηριστικά νέων:
5. Ευθύνη του ατόμου:
επιπέδων δεν είναι βέβαιο πως θα χρησιμοποιείται κάθε φορά. Αυτό
εξαρτάται από τις απαιτήσεις και τις ιδιαιτερότητες του θέματος. Σε αρκετές
περιπτώσεις είναι εφικτή η ομαδοποίηση δύο επιπέδων και η ανάπτυξή τους
σε μία παράγραφο. Γενικότερα, τα επίπεδα, πέραν των ερωτημάτων που
αφορούν επιδράσεις και αποτελέσματα, μπορούν να χρησιμοποιηθούν και σε
ποικίλες αιτιολογήσεις συσχετισμού εννοιών ή και για την εύρεση
προϋποθέσεων.
Θετικές: επαύξηση γνώσεων, πλούτος επιχειρημάτων, όξυνση πνευματικών
ικανοτήτων (κρίση, φαντασία, διορατικότητα, ευφυία, παρατηρητικότητα..),
διεύρυνση οριζόντων, σφαιρική θέαση των γεγονότων, πολυδιάστατη
αντίληψη, άρση της μονομέρειας, απαγκίστρωση από προκαταλήψεις /
στερεότυπα / δεισιδαιμονίες / δογματισμούς, ανεκτικότητα, διαλλακτικότητα,
πνευματική εγρήγορση, άσκηση γόνιμης αμφισβήτησης, αποφυγή
παθητικότητας, αυτενέργεια σκέψης, πρωτοβουλίες, αυτοβουλία και
απομάκρυνση από χειραγώγηση, απεξάρτηση από μηχανισμούς
ετεροκατεύθυνσης, αντίσταση στη μαζοποίηση…
Αρνητικές: τα αντίθετα των θετικών.
Θετικές: ηθικοποίηση, αξίες, ιδανικά, υγιή πρότυπα βίου, αυτοσεβασμός,
αξιοπρέπεια, εγκράτεια, κυριαρχία στα πάθη και στα κατώτερα ένστικτα,
υπευθυνότητα, πειθαρχία, σεβασμός στους συνανθρώπους, ειλικρίνεια,
τιμιότητα, ανιδιοτέλεια, αλτρουισμός, αλληλεγγύη, συνεργασία,
καταπολέμηση του εγωισμού και του ατομικισμού, άμιλλα, απουσία
αθέμιτων μέσων, άμβλυνση του αμοραλισμού, ελαχιστοποίηση των
φαινομένων εκμαυλισμού των συνειδήσεων, απαλλαγή από ηθικολογίες,
ανθρωπισμός..
Αρνητικές: τα αντίθετα των θετικών.
Θετικές: ψυχική ισορροπία και ηρεμία, όξυνση των ψυχικών δυνάμεων
(θάρρος, αγωνιστικότητα, επιμονή, υπομονή, αυτοπεποίθηση,
αισιοδοξία..), περιορισμός των συμπλεγμάτων (ανωτερότητας και
κατωτερότητας), άρση των ψυχολογικών προβλημάτων ( άγχη,
νευρώσεις, ανασφάλειες, φοβίες, μοναξιά, μελαγχολία..), απουσία
αισθημάτων εμπάθειας / μίσους / φθόνου / αντεκδίκησης, εξευγενισμός,
εκλέπτυνση του χαρακτήρα, πλούσιος συναισθηματικός κόσμος,
ευαισθησίες..
9
Πνευματικές συνέπειες
Ηθικές συνέπειες
Ψυχολογικές συνέπειες
Αρνητικές: τα αντίθετα των θετικών.
Θετικές: κοινωνική συνείδηση, ενδιαφέρον για τα κοινωνικά δρώμενα,
ευαισθησίες έναντι των κοινωνικών προβλημάτων και προσπάθεια
επίλυσης τους, συνεργασία και πνεύμα ομαδικότητας, καταστολή του
«εγώ» και ανάδειξη του «εμείς», νομιμοφροσύνη, μείωση των χασμάτων
μεταξύ των κοινωνικών τάξεων, άμβλυνση των κοινωνικών
συγκρούσεων / των ανισοτήτων / της αναξιοκρατίας / των αδικιών / των
ρατσισμών, ισότητα και δικαιοσύνη, περιστολή της παθογένειας (βία,
εγκληματικότητα, ναρκωτικά, περιθωριοποίηση..), προστασία των
δικαιωμάτων των πολιτών σε εργασία / παιδεία / υγεία.., τήρηση των
υποχρεώσεων, κοινωνική συνοχή, αρμονική συμβίωση, αποφυγή της
κοινωνικής τελμάτωσης και πρόοδος..
Αρνητικές: τα αντίθετα των θετικών.
Θετικές: πολιτικοποίηση και άρση του κομματισμού, υγιής συμμετοχή στα
κοινά και στις πολιτικές εξελίξεις, υπευθυνοποίηση των πολιτικών
εκπροσώπων και υπηρέτηση του κοινού καλού και όχι του προσωπικού
συμφέροντος, διακομματικές επιτροπές και συναινετικές αποφάσεις,
ισχυρή τοπική αυτοδιοίκηση (δυνατότητα επαφής του πολίτη με τα
κέντρα λήψης αποφάσεων και όχι αποκοπή του), πλουραλισμός
θέσεων, περιορισμός των παραπολιτικών φαινομένων / του λαϊκισμού /
της παραπληροφόρησης / της προπαγάνδας / της δημαγωγίας / του
αποπροσανατολισμού της κοινής γνώμης / των πελατειακών σχέσεων/
της ευνοιοκρατίας.., ενεργό ενδιαφέρον των πολιτών, άσκηση ελέγχου
στους πολιτικούς και αποτροπή τους από αυθαιρεσίες και καταχρήσεις
εξουσίας, άρση της δυσλειτουργίας του κρατικού μηχανισμού, διαφάνεια
πολιτικών θεσμών, εδραίωση της δημοκρατίας..
Αρνητικές: τα αντίθετα των θετικών.
10
Κοινωνικές συνέπειες
Πολιτικές συνέπειες
Θετικές: πολιτιστική ανάταση, εξέλιξη και εξανθρωπισμός των επιστημών και
των τεχνών (αποφυγή της στρατευμένης επιστήμης και τέχνης σε
συμφέροντα), ανύψωση της κουλτούρας, προστασία της πολιτιστικής
κληρονομιάς (τήρηση παραδόσεων, ηθών, εθίμων / φροντίδα
πολιτιστικών μνημείων και χώρων)) – επιλογή των γόνιμων στοιχείων
της – απαλοιφή των συντηρητικών και ζημιογόνων κομματιών της,
αντίσταση στην ξενομανία, εποικοδομητική αφομοίωση ξενικών
πολιτιστικών δεδομένων και όχι στείρα αντιγραφή τους, ποικιλία
ιδεολογικών ρευμάτων και ποιοτικές δημιουργίες (απόσταση από
εμπορικότητα, τυποποίηση, υποκουλτούρα), αισθητική αγωγή, αποφυγή
της καρικατούρας, επαφή των πολιτών με τον πνευματικό πολιτισμό,
πολιτιστικές εκδηλώσεις, σεβασμός στη γλώσσα, αθλητικό ιδεώδες και
όχι αμαύρωσή του, διατήρηση της πολιτιστικής ταυτότητας..
Αρνητικές: τα αντίθετα των θετικών.
Θετικές: εθνισμός, εθνική συνείδηση, εθνική ομοψυχία, ενδιαφέρον για τα
εθνικά ζητήματα και για τα κυριαρχικά δικαιώματα, προάσπιση εθνικών
συμφερόντων, γνώση της εθνικής ιστορίας και θέση φραγμών σε κάθε
προσπάθεια καπηλείας της, συνέχιση του προγονικού πολιτισμού, αποφυγή
φαινομένων εθνικισμού / σοβινισμού / προγονολατρίας, διατήρηση της
εθνικής ταυτότητας..
Αρνητικές: τα αντίθετα των θετικών.
Θετικές: διεθνισμός, κοσμοπολιτισμός, ειρηνική συνύπαρξη των λαών,
σεβασμός του διεθνούς δικαίου και των επιμέρους εθνικών δικαιωμάτων ή
πολιτιστικών ιδιαιτεροτήτων, κατοχύρωση της αυτοδιάθεσης των λαών και όχι
προσπάθειες διείσδυσης στα εσωτερικά ζητήματα από ισχυρότερες δυνάμεις
(παρεμπόδιση στην οικονομική και πολιτιστική διείσδυση των μεγάλων
δυνάμεων στις αδύναμες και τριτοκοσμικές χώρες), ανταλλαγή μεταξύ των
κρατών πολιτιστικών και επιστημονικών στοιχείων, διάλογος, συνεργασία,
περιορισμός πολεμικών συγκρούσεων, υπευθυνοποίηση και πρωτοβουλίες
από διεθνείς οργανισμούς, υγιής παγκοσμιοποίηση και καταπολέμηση της
παγκόσμιας ομοιομορφίας..
Αρνητικές: τα αντίθετα των θετικών.
11
Πολιτιστικές συνέπειες
Εθνικές συνέπειες
Διακρατικές συνέπειες
Οικονομικές συνέπειες
Θετικές: οικονομικός φιλελευθερισμός, ελεύθερη οικονομική δράση,
επενδύσεις, αξιοποίηση φυσικών πόρων, κίνητρα επιχειρηματικής
δραστηριότητας, οικονομική αποκέντρωση, δίκαιη κατανομή του εθνικού
πλούτου και φορολόγηση των πολιτών, αύξηση του κατά κεφαλήν
εισόδημα, περιορισμός των δημοσίων ελλειμμάτων, μείωση του
πληθωρισμού, ορθή διαχείριση του δημόσιου χρήματος και όχι
διασπάθισή του, μέριμνα για όλους τους τομείς οικονομίας, πάταξη
παραοικονομίας και οικονομικών συμφερόντων..
Αρνητικές: τα αντίθετα των θετικών.
Θετικές: ορθός επαγγελματικός προσανατολισμός, επιλογή επαγγέλματος
βάσει προσωπικών κλίσεων, εργασιακή ευσυνειδησία και δεοντολογία,
τεχνογνωσία, νέες τεχνικές και μέθοδοι, υψηλή παραγωγικότητα, χαρά
της δημιουργίας, κατανόηση της κοινωνικής αποστολής της εργασίας,
καλλιέργεια υπευθυνότητας και συνεργασίας, εσωτερική πλήρωση,
βελτίωση του βιοτικού επιπέδου και της ποιότητας ζωής, ανάπτυξη της
εθνικής οικονομίας, αποφυγή εμπορευματοποίησης / μηχανοποίησης /
τυποποίησης του επαγγέλματος / αυστηρού προγραμματισμού,
περιορισμός του αθέμιτου ανταγωνισμού και των φαινομένων
εκμετάλλευσης ή παραβίασης εργασιακών δικαιωμάτων, προσπάθεια
υπέρβασης της υπερειδίκευσης και της μονομέρειας που επιφέρει, άρση
της υπερεργασίας, φραγμός στα εργασιακά αλλοτριωτικά δεδομένα,
μείωση της ανεργίας..
Αρνητικές: τα αντίθετα των θετικών.
Δ. ΕΥΡΕΤΗΡΙΟ ΛΥΣΕΩΝ
Οικογένεια: υπόδειγμα συμπεριφοράς οι γονείς προς τους νέους, χρόνος για
επικοινωνία, ορθή καθοδήγηση και μεταλαμπάδευση αξιών και υγιών
προτύπων..
Εκπαίδευση: παροχή ανθρωπιστικής παιδείας, προσπάθεια διαμόρφωσης
ολοκληρωμένων προσωπικοτήτων (ώριμων και ηθικών), υγιής
κοινωνικοποίηση των μαθητών..
ΜΜΕ: δεοντολογία, αντικειμενικότητα, προβολή εκπομπών με τις αρνητικές
συνέπειες του εκάστοτε προβλήματος για ευαισθητοποίηση και αποτροπή
των πολιτών..
Πνευματικοί άνθρωποι: δραστηριοποίηση, απομάκρυνση από ελιτίστικες
συμπεριφορές, αφύπνιση του λαού ως προς ένα θέμα και υγιής καθοδήγησή
12
Εργασιακές συνέπειες
Φορείς αγωγής
του, κοινωνική αγωνιστικότητα, άσκηση αυστηρής κριτικής στους υπαίτιους
ενός προβλήματος..
Πολιτεία: θεσμικό πλαίσιο, νόμοι – κυρώσεις, υπεύθυνη και διαφανής
λειτουργία των πολιτικών εκπροσώπων..
Υποσημείωση: για την αναλυτικότερη ανάπτυξη των ορθών τρόπων
λειτουργίας των φορέων αγωγής βλέπε τα αντίθετα από όσα αναφέρθηκαν για
τους φορείς στο ευρετήριο των αιτιών.
Αυτοκριτική, συνειδητοποίηση ενός προβλήματος, ιεράρχηση αξιών /
αναγκών (προς απαλλαγή από πάθη, αδυναμίες, υλισμό), καλλιέργεια
εσωτερικού και πνευματικού κόσμου, διά βίου παιδεία, κριτική
επεξεργασία των μηνυμάτων και όχι παθητική αποδοχή, ενδιαφέρον για
τα κοινά, δυναμική παρουσία στο κοινωνικό γίγνεσθαι, συμμετοχή στις
προσπάθειες επίλυσης ενός προβλήματος (είτε ατομικά, είτε μέσω
οργανωμένων ομάδων) και όχι επίδειξη παγερής αδιαφορίας –
ωχαδελφισμού, ορθή επιλογή επαγγέλματος, σωστός προγραμματισμός
ενεργειών και εύρεση ελεύθερου χρόνου για γόνιμη αξιοποίησή του..
 ισομερής ανάπτυξη του πολιτισμού, εξανθρωπισμός της τεχνολογίας,
θετική θεώρηση της παράδοσης, διαφύλαξη των γόνιμων στοιχείων της..
 δημοκρατικές διαδικασίες, ελευθερία πνεύματος, προβληματισμός
διάλογος,..
 αποκέντρωση, αναβάθμιση υπαίθρου, κίνητρα για επιστροφή στην
επαρχία..
 καταπολέμηση εκφυλιστικών φαινομένων της τέχνης και του αθλητισμού..
διαμόρφωση πολιτιστικών και αθλητικών κέντρων, ώθηση των πολιτών
προς ενασχόληση με αντίστοιχες εκδηλώσεις..
 καταπολέμηση ανισοτήτων, βίας, αντικοινωνικών φαινομένων..
 επαφή με τη φύση..
 κινητοποίηση διεθνών οργανισμών και μη κυβερνητικών οργανώσεων..
Υποσημείωση:
1. Οι τρόποι αντιμετώπισης ενός προβλήματος εντοπίζονται μέσω της
εύρεσης των αιτιών του και της αντιστροφής τους.
2. Οι λύσεις, αν δεν αποτελούν ερώτημα του θέματος, μπορούν να
αναφερθούν στον επίλογο του γραπτού, χωρίς όμως να υπάρχει
συσσώρευσή τους (επιλεκτικά αναφέρουμε 1-2 λύσεις και συνήθως την
ανθρωπιστική παιδεία).
3. Αποφεύγουμε την επανάληψη της λέξης «πρέπει». Αντί αυτής: απαιτείται,
επιβάλλεται, κρίνεται αναγκαίο / απαραίτητο, θα ήταν δέον, αποτελεί
επιτακτική ανάγκη, πρωταρχικής σημασίας είναι, προέχει, θα ήταν ωφέλιμο…
13
Ευθύνη ατόμου
Άλλοι τρόποι αντιμετώπισης προβλημάτων
Ε. ΑΛΛΟΙ ΤΥΠΟΙ ΕΡΩΤΗΣΕΩΝ / ΜΕΘΟΔΟΛΟΓΙΑ ΑΠΑΝΤΗΣΗΣ
ΤΟΥΣ
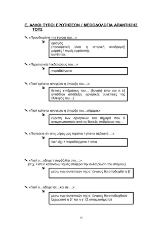
 «Προσδιορίστε την έννοια του…»

 «Περιστατικά / εκδηλώσεις του…»

 «Γιατί κρίνεται αναγκαία η ύπαρξη του…;»

 «Γιατί κρίνεται αναγκαία η ύπαρξη του…σήμερα;»

 «Πιστεύετε ότι στις μέρες μας τηρείται / γίνεται σεβαστό…;»

 «Γιατί ο…οδηγεί / συμβάλλει στο…;»
(π.χ. Γιατί ο καταναλωτισμός επιφέρει την αλλοτρίωση του ατόμου;)

 «Γιατί ο…οδηγεί σε…και σε…;»

14
εύρεση των αρνητικών του σήμερα που θ
αντιμετωπιστούν από τις θετικές επιδράσεις του…
θετικές επιδράσεις του… (δυνατή είναι και η εξ
αντιθέτου απόδειξη: αρνητικές συνέπειες της
έλλειψης του…)
παραδείγματα
ορισμός
(προαιρετική είναι η ιστορική αναδρομή)
μορφές / τομείς εμφάνισης
συνέπειες
ναι  όχι + παραδείγματα + αίτια
μέσω των συνεπειών της α΄ έννοιας θα αποδειχθεί η β΄
μέσω των συνεπειών της α΄ έννοιας θα αποδειχθούν
ξεχωριστά η β΄ και η γ΄ (2 υποερωτήματα)
 «Συνδέεται ο… με το…;»
(π.χ. Συνδέεται η ελευθερία με τους νόμους;)

 «Πότε λειτουργεί ορθά ο…;»

Ζ. ΤΥΠΟΙ ΘΕΜΑΤΩΝ ΜΕ ΚΡΥΦΑ ΕΡΩΤΗΜΑΤΑ
 «Με ποιους τρόπους μπορούν να αντιμετωπιστούν οι αρνητικές συνέπειες
του…;»
 «Με ποιους τρόπους θα επιτευχθεί το…. (π.χ. η αναβάθμιση του
εκπαιδευτικού συστήματος), ώστε να συνάδει προς…. (π.χ. τις σύγχρονες
απαιτήσεις);»
ή
«Τι πρέπει να γίνει / αλλάξει στο….(π.χ. να κάνουν οι πνευματικοί
άνθρωποι για να βοηθήσουν τους νέους), ώστε να ξεπεραστούν τα τάδε
ειδικά αρνητικά δεδομένα…(π.χ. τα προβλήματα των νέων);»
15
θα αποδειχθεί το αμφίδρομο της σχέσης: πώς η πρώτη
έννοια οδηγεί στη δεύτερη και πώς η δεύτερη στην
πρώτη
προϋποθέσεις (όταν, εφόσον, αν…): οι προϋποθέσεις
αντλούνται από τα επίπεδα (πνευματικές, ηθικές…...),
ενώ ως προϋπόθεση των προϋποθέσεων λογίζεται η
ορθή λειτουργία των φορέων αγωγής (ανθρωπιστική
παιδεία)
Κρυφό ερώτημα είναι το «ποιες είναι οι αρνητικές συνέπειες του…;» και η
ανάπτυξή του θα πρέπει να προηγηθεί του φανερού ζητήματος (τρόποι
αντιμετώπισης) και να ολοκληρωθεί σε 1-2 παραγράφους (αντιθέτως, το
φανερό θα αναπτυχθεί σε 4-5 παραγράφους).
 «Γιατί, όταν λειτουργεί ορθά το…., συντελεί σε….;»
16
Σ αυτές τις διατυπώσεις θεμάτων το κρυφό ερώτημα διαδραματίζει
σημαντικό ρόλο και καθορίζει την ανάπτυξη του φανερού ζητήματος, επειδή
θέτει ειδικές παραμέτρους βάσει των οποίων θα κινηθεί η απάντηση στο
φανερό ζήτημα (διαφορετικά, υπάρχει περίπτωση ο μαθητής να βρεθεί εκτός
θέματος). Απαιτείται μάλιστα παράλληλα ανάπτυξη κρυφού και φανερού
ερωτήματος προς ουσιαστική απάντησή τους (π.χ. στο πρώτο από τα
παραπάνω παραδείγματα θα πρέπει σε κάθε παράγραφο του κύριου μέρους
να δίνεται μια σύγχρονη απαίτηση και βάσει αυτής τι συγκεκριμένη ενέργεια
θα ληφθεί από την εκπαίδευση, ενώ στο δεύτερο παράδειγμα θα
αναγράφεται ένα πρόβλημα των νέων και τι συγκεκριμένο είναι αναγκαίο να
πράξουν οι πνευματικοί άνθρωποι ώστε να βοηθήσουν τους νέους).
Το κρυφό ερώτημα είναι το «πότε λειτουργεί ορθά το…;» και μπορεί να
αναπτυχθεί ή ξεχωριστά ή παράλληλα με το φανερό (η μέθοδος της
ξεχωριστής και της παράλληλης ανάπτυξης επεξηγήθηκε στις προηγούμενες
περιπτώσεις θεμάτων με κρυφό ερώτημα).

Μεθοδολογία έκθεσης

  • 1.
    ΓΕΝΙΚΕΣ ΟΔΗΓΙΕΣ  Προεργασίαέκθεσης  Τυπικά κειμένων  Οδηγίες δομής  Διαρθρωτικές λέξεις  Οδηγίες έκφρασης  Ευρετήριο επιχειρημάτων  Τύποι θεμάτων / ερωτημάτων Ν. ΧΑΒΑΛΕΣ ΜΕΘΟΔΟΛΟΓΙΑ ΕΚΘΕΣΗΣ
  • 2.
     Προσεκτική ανάγνωσητου θέματος (2-3 φορές) και κατανόησή του (αν τυχόν υπάρχουν ασάφειες, ίσως μπορούν να αντιμετωπιστούν μέσω της ανάγνωσης του κειμένου που δίδεται για περίληψη, καθώς το περιεχόμενό του, άμεσα ή έμμεσα, σχετίζεται με το θέμα της έκθεσης).  Εντοπισμός της κεντρικής έννοιας.  Διαχωρισμός δεδομένων και ερωτημάτων.  Αν δεν υπάρχουν ερωτήματα, τότε ο μαθητής θα πρέπει μόνος του να εξάγει τα ζητούμενα από τα δεδομένα στοιχεία.  Διαμόρφωση στο πρόχειρο ενός σχεδιαγράμματος, όπου θα καταγραφούν τα σημαντικά στοιχεία που θα αποτελέσουν στη συνέχεια το υλικό ανάπτυξης κατά τη γραφή της έκθεσης (το σχεδιάγραμμα οργανώνει το διαθέσιμο υλικό και βοηθά στην ομαλή ταξινόμηση και ιεράρχησή του).  Λαμβάνεται υπόψη το απαιτούμενο επικοινωνιακό πλαίσιο ανάλογα με το κειμενικό είδος που ζητείται προς ανάλυση:  εφόσον πρόκειται για άρθρο, απαιτείται τίτλος, ενώ ως προς το ύφος γραφής επιτρεπτά είναι τα επικοινωνιακά γνωρίσματα, όπως η χρήση, πέραν του γ΄ προσώπου, και του α΄ ή β΄ πληθυντικού, τα παραδείγματα, οι ρητορικές ερωτήσεις (χωρίς να τις μετερχόμαστε συχνά), η στίξη…  εφόσον ζητείται η εκφώνηση ομιλίας ή εισήγησης, θα πρέπει να υπάρχει στην αρχή του γραπτού μια προσφώνηση (π.χ. Αγαπητοί συμμαθητές και συμμαθήτριες) και στο τέλος μια αποφώνηση (π.χ. Ευχαριστώ πολύ για την προσοχή σας), ενώ στο ύφος του κειμένου προσιδιάζουν και πάλι τα επικοινωνιακά γνωρίσματα…  αν το θέμα έχει τη μορφή της επιστολής, τότε στην πρώτη σειρά στα δεξιά απαιτείται να γραφεί η ημερομηνία, στην επόμενη σειρά στα αριστερά μια προσφώνηση (π.χ. Αξιότιμε κ. …) και στο τέλος του γραπτού στα δεξιά μια αποφώνηση (Με σεβασμό / Με εκτίμηση), ενώ το ύφος γραφής θα πλαισιωθεί από επικοινωνιακά γνωρίσματα…  αν ζητηθεί ένα αποδεικτικό δοκίμιο (δοκίμιο πειθούς), τότε προαιρετικά μπορεί να δοθεί ένας τίτλος, ενώ το κείμενο θα θυμίζει ως επί το πλείστον την κλασική έκθεση με προτιμητέο το γ΄ πρόσωπο γραφής (αν το θέμα απαιτεί την εκφώνησή του σε ένα ακροατήριο, τότε θα ακολουθηθεί το τυπικό της ομιλίας) …  Εκκίνηση της γραφής του θέματος. 2 ΜΕΘΟΔΟΛΟΓΙΑ ΣΤΗΝ ΕΚΘΕΣΗ ΒΟΗΘΗΤΙΚΕΣ ΟΔΗΓΙΕΣ ΣΤΗ ΔΟΜΗΣΗ ΤΟΥ ΓΡΑΠΤΟΥ ΠΡΟΕΡΓΑΣΙΑ
  • 3.
     Ύπάρξη τωντριών βασικών δομικών μερών (πρόλογος, κύριο μέρος, επίλογος).  Ισομέρεια ζητημάτων (τα ερωτήματα θα απαντηθούν περίπου ισότιμα).  Κάθε ζήτημα χωρίζεται σε επιμέρους παραγράφους και δεν αναπτύσσεται μόνο σε μία.  Μεταξύ των παραγράφων υπάρχει ισομέρεια (ή όλες θα είναι σχετικά μεγάλες:9-14 σειρές, ή όλες θα είναι σχετικά μικρές:5-7 σειρές). Εξαίρεση αποτελούν οι παράγραφοι του προλόγου και του επιλόγου, οι οποίες πρέπει να έχουν μικρότερη έκταση από εκείνη των παραγράφων του κύριου μέρους.  Ορθή ιεράρχηση των επιχειρημάτων, βάσει ενός σχεδιαγράμματος.  Χρήση διαρθρωτικών λέξεων και φράσεων που θα βοηθούν στο πέρασμα από τη μια παράγραφο στην άλλη και θα συμβάλλουν στη συνοχή του εσωτερικού τους, καθώς επίσης ύπαρξη ομαλών μεταβάσεων από το ένα ζήτημα στο επόμενο (αυτό μπορεί να επιτευχθεί με μια πρόταση στο τέλος του ενός ζητήματος ή στην αρχή του επόμενου και όχι με ξεχωριστή παράγραφο ανάμεσά τους, λόγω του περιορισμένου αριθμού λέξεων): ΓΕΝΙΚΟΤΕΡΕΣ ΣΥΝΔΕΤΙΚΕΣ ΦΡΑΣΕΙΣ ΚΑΙ ΠΡΟΤΑΣΕΙΣ Γενικότερα συνδετικά για αρχή παραγράφου:  Υποστηρίζεται από πολλούς ότι..  Δεν υπάρχει αμφιβολία ότι..  Είναι σαφές ότι..  Είναι γεγονός ότι..  Είναι γενικά παραδεκτό ότι..  Είναι περιττό να τονιστεί ότι..  Περιττεύει να θυμίσουμε ότι.. Όταν πρόκειται να συνδεθούν όμοια νοήματα:  Πέραν των άλλων, δε θα πρέπει να λησμονηθεί ότι..  Σε μια τέτοια περίπτωση..  Παράλληλα όμως με αυτό..  Προχωρώντας πιο πέρα διαπιστώνουμε ότι..  Κάτι ανάλογο ισχύει και σε..  Εκτός απ αυτό..  Το ίδιο συμβαίνει και..  Αξίζει να σημειωθεί ιδιαίτερα..  Το σημαντικότερο / χειρότερο απ όλα..  Ένα άλλο εξίσου σημαντικό αίτιο / επακόλουθο..  Δε φτάνει μόνο αυτό, αλλά χρειάζεται και..  Ας προσθέσουμε ακόμη ότι.. Όταν πρόκειται να συνδεθεί η αιτία με το αποτέλεσμα και αντίστροφα:  Αυτό έχει ως αποτέλεσμα..  Προϋπόθεση όλων αυτών είναι..  Αυτό δε θα γινόταν αν..  Αυτό οφείλεται σε..  Από τα παραπάνω προκύπτει το συμπέρασμα / συνάγεται..  Για τους παραπάνω λόγους.. 3
  • 4.
     Και αυτόσυμβαίνει επειδή..  Έτσι λοιπόν.. ΄Όταν έχουμε διαφορετικά ή αντίθετα νοήματα:  Προβάλλει όμως στο σημείο αυτό μια βασική αντίρρηση…  Οι απόψεις που διατυπώνονται επί του θέματος είναι διαμετρικά αντίθετες..  Δε συμβαίνει όμως το ίδιο..  Στο άλλο άκρο βρίσκεται..  Παρ όλα αυτά..  Από την άλλη μεριά..  Θα διατυπωθεί ίσως η αντίρρηση..  Και όμως.. Συνδετικό ρόλο έχουν και ποικίλα επιρρήματα, αντωνυμίες, σύνδεσμοι:  Αναμφίβολα, αναντίρρητα, αδιαμφισβήτητα, εξάλλου, άλλωστε, ωστόσο, όμως, αλλά, εντούτοις, αντιθέτως, συνεπώς, επομένως, άρα, βέβαια, ειδικότερα, αρχικά, τελικά, πράγματι, φυσικά, ταυτόχρονα, επιπρόσθετα, αυτό, εκείνο (καλό είναι να αποφεύγεται η συχνή χρήση των: ένα άλλο, ακόμη, επιπλέον, επίσης και η αριθμητική σύνδεση)… Από αιτία σε αιτία:  Τις αιτίες αυτού πρέπει να τις αναζητήσουμε σε..  Αναμφίβολα, οι ρίζες του προβλήματος πρέπει να αναζητηθούν και..  Εξίσου σημαντική παράμετρος για τη δημιουργία του φαινομένου είναι και..  Πολύ σοβαρό ρόλο στη γένεση του προβλήματος διαδραμάτισε και..  Δεν πρέπει ωστόσο ως αιτία να αγνοήσουμε και..  Η ερμηνεία του φαινομένου μπορεί να επιτευχθεί και με αναφορά στο.. Από συνέπεια σε συνέπεια:  Από όσα αναφέρθηκαν παραπάνω προκύπτει ότι..  Οι σοβαρές συνέπειες του προβλήματος είναι αισθητές και..  Οι σημαντικές διαστάσεις του φαινομένου γίνονται φανερές από την επίδρασή τους στο..  Πέραν των άλλων, όμως, ιδιαίτερα πλήττεται και..  Επιπτώσεις του προβλήματος εντοπίζονται και.. Από τρόπο σε τρόπο:  Μπροστά στη δυσοίωνη αυτή προοπτική χρέος όλων μας είναι..  Η λύση του προβλήματος απαιτεί τη δραστηριοποίηση των..  Αποτελεσματικά θα βοηθούσε και η συνδρομή των..  Αναγκαία κρίνεται και η λήψη μέτρων από..  Η ευθύνη των…για την εξάλειψη ελαχιστοποίηση του προβλήματος δεν είναι μικρή, καθώς..  Δέον βήμα για την επίλυση του προβλήματος θα ήταν και..  Αδήριτη ανάγκη αποτελεί και.. 4
  • 5.
     Γενικότερα, σεμία έκθεση των 600 περίπου λέξεων λογικά θα υπάρχουν 5-6 παράγραφοι στο κύριο μέρος των 90 περίπου λέξεων, ενώ ο πρόλογος και ο επίλογος θα περιέχουν από 50-60 λέξεις. Εκφραστικά σφάλματα θεωρούνται:  Έλλειψη ακρίβειας και σαφήνειας στο λόγο.  Άσκοπη φλυαρία και πολυλογίες.  Περιττολογίες και πλατυασμοί (η σύγχρονη εποχή μας, από ανέκαθεν..).  Χυδαιολογίες, υπερβολές, υβριστικές και ακραίες εκφράσεις.  Λυρισμός, συναισθηματισμός, λογοτεχνικό και ποιητικό ύφος.  Ακυρολεξία (χρήση λέξεων των οποίων άλλη είναι η σημασία και άλλη τους αποδίδεται).  Επανάληψη λέξεων και φράσεων.  Μακροπερίοδος λόγος (συχνά οδηγεί σε ασάφειες και συντακτικά σφάλματα).  Γραμματικά (ατονικό σύστημα, σφάλματα στίξης και ορθογραφίας) και συντακτικά λάθη (ασυμφωνία αριθμών, αδόκιμοι εμπρόθετοι προσδιορισμοί, η κακή πλοκή των λέξεων μέσα στην περίοδο, ανακολουθίες χρόνων…). Λάθη μορφής θεωρούνται:  Συντομογραφίες.  Αριθμήσεις.  Υπογραμμίσεις.  Κακογραφία και δυσανάγνωστο γραπτό. Α. ΕΥΡΕΤΗΡΙΟ ΑΙΤΙΩΝ / ΕΥΡΕΣΗ ΥΛΙΚΟΥ ΠΟΥ ΑΦΟΡΑ ΕΡΩΤΗΜΑΤΑ ΑΙΤΙΟΛΟΓΗΣΗΣ ΠΡΟΒΛΗΜΑΤΩΝ α. Δυσανάλογη ανάπτυξη του υλικοτεχνικού πολιτισμού ως προς τον πνευματικό: αποπνευματοποίηση, αδιαφορία καλλιέργειας του εσωτερικού κόσμου, λανθασμένες προτεραιότητες, έκλειψη οραμάτων και κοινών σκοπών, δυσπιστία σε παραδοσιακές αξίες, αντικατάσταση αξιών από απαξίες, έκλυση ηθών, κλίμα πρακτικισμού, ιδεολογική σύγχυση, αλλοτρίωση… 5 1. Χαρακτηριστικά της σύγχρονης εποχής: ΒΟΗΘΗΤΙΚΕΣ ΟΔΗΓΙΕΣ ΣΤΗΝ ΕΥΡΕΣΗ ΕΠΙΧΕΙΡΗΜΑΤΩΝ ΩΣ ΠΡΟΣ ΤΗΝ ΑΝΑΠΤΥΞΗ ΕΝΟΣ ΘΕΜΑΤΟΣ ΒΟΗΘΗΤΙΚΕΣ ΟΔΗΓΙΕΣ ΩΣ ΠΡΟΣ ΤΗΝ ΕΚΦΡΑΣΗ
  • 6.
    β. Θεοποίηση τηςτεχνολογίας: τεχνοκρατισμός, κυνήγι ευδαιμονίας μέσω τεχνολογίας, ορθολογισμός, κυριαρχία της λογικής, απουσία συναισθήματος... γ. Συνθήκες διαβίωσης αστικών κέντρων: πληθώρα ανθρώπων, έλλειψη ζωτικού χώρου για προσωπική έκφραση, ανωνυμία, τυπικότητα στις σχέσεις, ωφελιμισμός, καχυποψία και ανασφάλεια έναντι συνανθρώπων, … // καλπάζοντες ρυθμοί, συνθετότητα ζωής, ο άνθρωπος υπεύθυνος πολλών τομέων, ένταση και άγχος, μαζοποίηση, ανάγκη εκτόνωσης, επιθετικότητα, αδυναμία βελτίωσης της κοινωνίας, … // προβλήματα δόμησης και χωροταξίας, διαμερισματοποίηση, κυκλοφοριακή συμφόρηση, ρύποι, ανθυγιεινές συνθήκες ζωής, έλλειψη αισθητικής, κακοποίηση φύσης, … δ. Υλισμός, ατομικισμός, συμφέροντα: υλιστικά πρότυπα, θεοποίηση του χρήματος, προβολή του ανθρώπου του «έχειν» και όχι του «είναι», συνεχές κυνήγι του κέρδους και των υλικών αγαθών, υπερκαταναλωτισμός, πλασματικές ανάγκες, ανταγωνισμός, ιδιοτέλεια, εγωκεντρισμός, «ο θάνατός σου, η ζωή μου», αδιαφορία για τα κοινά, απώλεια κοινωνικής συνείδησης και υποχρεώσεων, υιοθέτηση αθέμιτων μέσων, έλλειψη διάθεσης για επικοινωνία… ε. Κρίση ηθικών αξιών: έλλειψη σεβασμού στην προσωπικότητα των άλλων, απουσία υπευθυνότητας / συνεργασίας / αλληλεγγύης / εντιμότητας…, καταπάτηση δικαιωμάτων, εκφυλισμός υγιών ιδανικών… ζ. Κρίση ανθρωπίνων σχέσεων: αποξένωση, απομόνωση, έλλειψη επικοινωνίας και ανταλλαγής ιδεών, ατομικισμός, συμφεροντολογισμός, καχυποψία, υποκρισία, μοναξιά… η. Απομάκρυνση από τη φύση: αλλοτρίωση, εξάλειψη συναισθήματος / ψυχικής ηρεμίας, άγχος, απουσία έμπνευσης και φαντασίας, διαμόρφωση ατόμων με εσωτερικό κενό… θ. Εκβιομηχάνιση ζωής, εργασίας, διασκέδασης: αυτοματοποίηση, τυποποίηση, εξειδίκευση, υπερεργασία, μονομέρεια, περιορισμός των πρωτοβουλιών, μετατροπή του εργαζόμενου σε όργανο παραγωγής, έλλειψη ελεύθερου χρόνου, στείρα διασκέδαση, κατανάλωση προκατασκευασμένων ψυχαγωγικών αγαθών, εκφυλισμός του πνευματικού δυναμισμού, χειραγώγηση του ανθρώπου σε καθορισμένες κατευθύνσεις… ι. Κοινωνικά προβλήματα: χάσμα μεταξύ των κοινωνικών ομάδων, ανισότητες, αναξιοκρατία, ανεργία, βία, ρατσισμός, παθογενή φαινόμενα… κ. Μιμητισμός, ξενομανία, παγκοσμιοποίηση: άκριτη υιοθέτηση και παθητική αποδοχή ξένων προτύπων ζωής / συμπεριφοράς / ιδεών / γλώσσας, μόδα (λόγω προβολής ανάλογων προτύπων από τα ΜΜΕ και κατ επέκταση των διαμορφωμένων συμπλεγμάτων κατωτερότητας), πολιτιστική διείσδυση των ισχυρών κρατών στα πιο αδύναμα, μαζοποίηση, ομοιομορφία, αλλοτρίωση των ατόμων και αλλοίωση της εθνικής τους ταυτότητας… 6
  • 7.
    α. Οικογένεια: πολύωρηαπουσία γονέων από την οικογενειακή εστία, παραμέληση των παιδιών, έλλειψη επαφής με αυτά και άγνοια των προβλημάτων τους, αυταρχισμός / καταπίεση / υπερπροστασία / υπερβολικές απαιτήσεις ή παροχή υπέρμετρης ελευθερίας / άκριτος φιλελευθερισμός, μη διοχέτευση υγιών προτύπων και οραμάτων στους μελλοντικούς καθοδηγητές της κοινωνίας, χαλάρωση των σχέσεων των μελών, μετατροπή της εστίας σε κέντρο φιλοξενίας και απομάκρυνση από οικογενειακές παραδόσεις, κρίση στις σχέσεις των δύο φύλων λόγω χειραφέτησης της γυναίκας… β. Εκπαίδευση: απουσία ηθικής και ανθρωπιστικής αγωγής, μη καλλιέργεια ιδανικών, στείρα αποστήθιση γνώσεων, τεχνοκρατική αντίληψη, επαγγελματικές και χρησιμοθηρικές γνώσεις, βαθμοθηρία, μη προώθηση κριτικής ικανότητας και σκεπτόμενου ανθρώπου, ανταγωνιστικό σύστημα εξετάσεων, δημιουργία απέχθειας προς το βιβλίο… γ. Μέσα μαζικής επικοινωνίας: καταστρατήγηση της δημοσιογραφικής δεοντολογίας, εξάρτηση από οικονομικά και πολιτικά συμφέροντα, παραπληροφόρηση, αποπροσανατολισμός, φανατισμός, κιτρινισμός, παραβίαση ιδιωτικών προβλημάτων στο όνομα της τηλεθέασης, προβολή του ανθρώπινου πόνου, παρουσίαση υλιστικών προτύπων / βίας, ηρωοποίηση αντικοινωνικών τύπων, συμβολή στην παθητικοποίηση και αποπνευματοποίηση του ανθρώπου… δ. Πνευματικοί άνθρωποι: εφησυχασμός, μη πρωτοβουλία αφύπνισης των μαζών, περιχαράκωση στον κύκλο τους, ελιτισμός, αδράνεια… ε. Πολιτεία: αναξιοκρατία, ευνοιοκρατία, νεποτισμός, δυσλειτουργία κρατικού μηχανισμού, γραφειοκρατία, έλλειψη προγραμματισμού, αρνητικά πρότυπα πολιτικών, σκάνδαλα, απομάκρυνση από τα κοινωνικοπολιτικά δρώμενα… κοινωνικό – πολιτικό – φιλομαθές – μιμητικό – πνευματικό – ηθικό – έλλογο (λόγος και σκέψη) – δημιουργικό – με τάσεις εξέλιξης (άνω θρώσκω = ετυμολογία της λέξης άνθρωπος)…ον. 7 2. Ευθύνες φορέων αγωγής: 3. Χαρακτηριστικά ανθρώπινης φύσης:
  • 8.
    επιρρέπεια, ευπιστία, επιπολαιότητα,έλλειψη αυτοκυριαρχίας, ανυπομονησία, αστάθεια, μεταβλητότητα της συναισθηματικής και ψυχικής κατάστασης, μιμητισμός, αμφισβήτηση των πάντων, αντιδραστικότητα, απολυτότητα, αυθορμητισμός, ενθουσιασμός, απειρία, απαιτητικότητα, προοδευτικότητα, ιδεαλισμός, οραματισμός, τάσεις αλλαγής του κοινωνικού γίγνεσθαι και επίδειξης αυτονομίας, δυναμικότητα, αγωνιστικότητα, αισιοδοξία, θάρρος, φιλοδοξία…  Υποσημείωση: τα χαρακτηριστικά ανθρώπινης και νεανικής φύσης μπορούν να χρησιμοποιηθούν κατά κύριο λόγο όταν ο μαθητής κληθεί να αιτιολογήσει ένα διαχρονικό πρόβλημα. α. ηθική του συμφέροντος, ατομικισμός, εκμαυλισμός / εκχυδαϊσμός.. β. απώλεια κοινωνικής συνείδησης, αδιαφορία για ό,τι διαδραματίζεται, αρχή της ήσσονος προσπάθειας, φιλοθηρία της ευκολίας, απανθρωπισμός.. γ. χαμηλό πνευματικό επίπεδο, προκαταλήψεις και στερεότυπα, έλλειψη κριτικής ικανότητας και καλλιέργειας, φανατισμός, μαζοποίηση, ανωριμότητα και ενδοτικότητα, ανευθυνότητα (οι ευθύνες αποδίδονται στο κοινωνικό σύστημα).. δ. συμπλέγματα, ανασφάλειες, εγωκεντρισμός, αλαζονεία.. Β. ΕΥΡΕΣΗ ΑΙΤΙΩΝ ΘΕΤΙΚΩΝ ΚΑΤΑΣΤΑΣΕΩΝ α. ανάπτυξη του πολιτισμού, των τεχνών και των επιστημών, άνοδος του μορφωτικού επιπέδου.. β. καθολικότητα της εκπαίδευσης, καλύτερες μέθοδοι και τεχνικές, απαλλαγή του ανθρώπου από προκαταλήψεις, δεισιδαιμονίες.. γ. ανάπτυξη της τεχνολογίας, βελτίωση του βιοτικού επιπέδου.. δ. εδραίωση της δημοκρατίας στις περισσότερες χώρες του κόσμου, φιλελευθερισμός, κατοχύρωση ανθρωπίνων δικαιωμάτων, δυνατότητα των πολιτών στη συμμετοχή στα κοινά και στον έλεγχο της εξουσίας.. ε. βελτίωση των μέσων μαζικής μεταφοράς, εκμηδένιση των αποστάσεων.. ζ. τελειοποίηση των μέσων μαζικής ενημέρωσης, έγκαιρη πληροφόρηση.. η. απλούστευση της ζωής, ελευθερίες, ελεύθερος χρόνος.. θ. γρήγορη κοινωνικοποίηση των νέων.. ι. ειρηνικό πνεύμα, διεθνοποίηση, διεθνείς οργανισμοί.. Γ. ΕΥΡΕΤΗΡΙΟ ΣΥΝΕΠΕΙΩΝ Όταν ζητηθούν από το μαθητή οι συνέπειες ενός φαινομένου, καλό θα ήταν να τις διαχωρίσει σε επίπεδα, μέσω των οποίων θα πετύχει σφαιρική αντιμετώπιση του θέματος, θα αποφύγει τη γραφή παρόμοιων στοιχείων και το γραπτό του θα έχει καλύτερη δόμηση. Το υλικό ωστόσο όλων των 8 4. Χαρακτηριστικά νέων: 5. Ευθύνη του ατόμου:
  • 9.
    επιπέδων δεν είναιβέβαιο πως θα χρησιμοποιείται κάθε φορά. Αυτό εξαρτάται από τις απαιτήσεις και τις ιδιαιτερότητες του θέματος. Σε αρκετές περιπτώσεις είναι εφικτή η ομαδοποίηση δύο επιπέδων και η ανάπτυξή τους σε μία παράγραφο. Γενικότερα, τα επίπεδα, πέραν των ερωτημάτων που αφορούν επιδράσεις και αποτελέσματα, μπορούν να χρησιμοποιηθούν και σε ποικίλες αιτιολογήσεις συσχετισμού εννοιών ή και για την εύρεση προϋποθέσεων. Θετικές: επαύξηση γνώσεων, πλούτος επιχειρημάτων, όξυνση πνευματικών ικανοτήτων (κρίση, φαντασία, διορατικότητα, ευφυία, παρατηρητικότητα..), διεύρυνση οριζόντων, σφαιρική θέαση των γεγονότων, πολυδιάστατη αντίληψη, άρση της μονομέρειας, απαγκίστρωση από προκαταλήψεις / στερεότυπα / δεισιδαιμονίες / δογματισμούς, ανεκτικότητα, διαλλακτικότητα, πνευματική εγρήγορση, άσκηση γόνιμης αμφισβήτησης, αποφυγή παθητικότητας, αυτενέργεια σκέψης, πρωτοβουλίες, αυτοβουλία και απομάκρυνση από χειραγώγηση, απεξάρτηση από μηχανισμούς ετεροκατεύθυνσης, αντίσταση στη μαζοποίηση… Αρνητικές: τα αντίθετα των θετικών. Θετικές: ηθικοποίηση, αξίες, ιδανικά, υγιή πρότυπα βίου, αυτοσεβασμός, αξιοπρέπεια, εγκράτεια, κυριαρχία στα πάθη και στα κατώτερα ένστικτα, υπευθυνότητα, πειθαρχία, σεβασμός στους συνανθρώπους, ειλικρίνεια, τιμιότητα, ανιδιοτέλεια, αλτρουισμός, αλληλεγγύη, συνεργασία, καταπολέμηση του εγωισμού και του ατομικισμού, άμιλλα, απουσία αθέμιτων μέσων, άμβλυνση του αμοραλισμού, ελαχιστοποίηση των φαινομένων εκμαυλισμού των συνειδήσεων, απαλλαγή από ηθικολογίες, ανθρωπισμός.. Αρνητικές: τα αντίθετα των θετικών. Θετικές: ψυχική ισορροπία και ηρεμία, όξυνση των ψυχικών δυνάμεων (θάρρος, αγωνιστικότητα, επιμονή, υπομονή, αυτοπεποίθηση, αισιοδοξία..), περιορισμός των συμπλεγμάτων (ανωτερότητας και κατωτερότητας), άρση των ψυχολογικών προβλημάτων ( άγχη, νευρώσεις, ανασφάλειες, φοβίες, μοναξιά, μελαγχολία..), απουσία αισθημάτων εμπάθειας / μίσους / φθόνου / αντεκδίκησης, εξευγενισμός, εκλέπτυνση του χαρακτήρα, πλούσιος συναισθηματικός κόσμος, ευαισθησίες.. 9 Πνευματικές συνέπειες Ηθικές συνέπειες Ψυχολογικές συνέπειες
  • 10.
    Αρνητικές: τα αντίθετατων θετικών. Θετικές: κοινωνική συνείδηση, ενδιαφέρον για τα κοινωνικά δρώμενα, ευαισθησίες έναντι των κοινωνικών προβλημάτων και προσπάθεια επίλυσης τους, συνεργασία και πνεύμα ομαδικότητας, καταστολή του «εγώ» και ανάδειξη του «εμείς», νομιμοφροσύνη, μείωση των χασμάτων μεταξύ των κοινωνικών τάξεων, άμβλυνση των κοινωνικών συγκρούσεων / των ανισοτήτων / της αναξιοκρατίας / των αδικιών / των ρατσισμών, ισότητα και δικαιοσύνη, περιστολή της παθογένειας (βία, εγκληματικότητα, ναρκωτικά, περιθωριοποίηση..), προστασία των δικαιωμάτων των πολιτών σε εργασία / παιδεία / υγεία.., τήρηση των υποχρεώσεων, κοινωνική συνοχή, αρμονική συμβίωση, αποφυγή της κοινωνικής τελμάτωσης και πρόοδος.. Αρνητικές: τα αντίθετα των θετικών. Θετικές: πολιτικοποίηση και άρση του κομματισμού, υγιής συμμετοχή στα κοινά και στις πολιτικές εξελίξεις, υπευθυνοποίηση των πολιτικών εκπροσώπων και υπηρέτηση του κοινού καλού και όχι του προσωπικού συμφέροντος, διακομματικές επιτροπές και συναινετικές αποφάσεις, ισχυρή τοπική αυτοδιοίκηση (δυνατότητα επαφής του πολίτη με τα κέντρα λήψης αποφάσεων και όχι αποκοπή του), πλουραλισμός θέσεων, περιορισμός των παραπολιτικών φαινομένων / του λαϊκισμού / της παραπληροφόρησης / της προπαγάνδας / της δημαγωγίας / του αποπροσανατολισμού της κοινής γνώμης / των πελατειακών σχέσεων/ της ευνοιοκρατίας.., ενεργό ενδιαφέρον των πολιτών, άσκηση ελέγχου στους πολιτικούς και αποτροπή τους από αυθαιρεσίες και καταχρήσεις εξουσίας, άρση της δυσλειτουργίας του κρατικού μηχανισμού, διαφάνεια πολιτικών θεσμών, εδραίωση της δημοκρατίας.. Αρνητικές: τα αντίθετα των θετικών. 10 Κοινωνικές συνέπειες Πολιτικές συνέπειες
  • 11.
    Θετικές: πολιτιστική ανάταση,εξέλιξη και εξανθρωπισμός των επιστημών και των τεχνών (αποφυγή της στρατευμένης επιστήμης και τέχνης σε συμφέροντα), ανύψωση της κουλτούρας, προστασία της πολιτιστικής κληρονομιάς (τήρηση παραδόσεων, ηθών, εθίμων / φροντίδα πολιτιστικών μνημείων και χώρων)) – επιλογή των γόνιμων στοιχείων της – απαλοιφή των συντηρητικών και ζημιογόνων κομματιών της, αντίσταση στην ξενομανία, εποικοδομητική αφομοίωση ξενικών πολιτιστικών δεδομένων και όχι στείρα αντιγραφή τους, ποικιλία ιδεολογικών ρευμάτων και ποιοτικές δημιουργίες (απόσταση από εμπορικότητα, τυποποίηση, υποκουλτούρα), αισθητική αγωγή, αποφυγή της καρικατούρας, επαφή των πολιτών με τον πνευματικό πολιτισμό, πολιτιστικές εκδηλώσεις, σεβασμός στη γλώσσα, αθλητικό ιδεώδες και όχι αμαύρωσή του, διατήρηση της πολιτιστικής ταυτότητας.. Αρνητικές: τα αντίθετα των θετικών. Θετικές: εθνισμός, εθνική συνείδηση, εθνική ομοψυχία, ενδιαφέρον για τα εθνικά ζητήματα και για τα κυριαρχικά δικαιώματα, προάσπιση εθνικών συμφερόντων, γνώση της εθνικής ιστορίας και θέση φραγμών σε κάθε προσπάθεια καπηλείας της, συνέχιση του προγονικού πολιτισμού, αποφυγή φαινομένων εθνικισμού / σοβινισμού / προγονολατρίας, διατήρηση της εθνικής ταυτότητας.. Αρνητικές: τα αντίθετα των θετικών. Θετικές: διεθνισμός, κοσμοπολιτισμός, ειρηνική συνύπαρξη των λαών, σεβασμός του διεθνούς δικαίου και των επιμέρους εθνικών δικαιωμάτων ή πολιτιστικών ιδιαιτεροτήτων, κατοχύρωση της αυτοδιάθεσης των λαών και όχι προσπάθειες διείσδυσης στα εσωτερικά ζητήματα από ισχυρότερες δυνάμεις (παρεμπόδιση στην οικονομική και πολιτιστική διείσδυση των μεγάλων δυνάμεων στις αδύναμες και τριτοκοσμικές χώρες), ανταλλαγή μεταξύ των κρατών πολιτιστικών και επιστημονικών στοιχείων, διάλογος, συνεργασία, περιορισμός πολεμικών συγκρούσεων, υπευθυνοποίηση και πρωτοβουλίες από διεθνείς οργανισμούς, υγιής παγκοσμιοποίηση και καταπολέμηση της παγκόσμιας ομοιομορφίας.. Αρνητικές: τα αντίθετα των θετικών. 11 Πολιτιστικές συνέπειες Εθνικές συνέπειες Διακρατικές συνέπειες Οικονομικές συνέπειες
  • 12.
    Θετικές: οικονομικός φιλελευθερισμός,ελεύθερη οικονομική δράση, επενδύσεις, αξιοποίηση φυσικών πόρων, κίνητρα επιχειρηματικής δραστηριότητας, οικονομική αποκέντρωση, δίκαιη κατανομή του εθνικού πλούτου και φορολόγηση των πολιτών, αύξηση του κατά κεφαλήν εισόδημα, περιορισμός των δημοσίων ελλειμμάτων, μείωση του πληθωρισμού, ορθή διαχείριση του δημόσιου χρήματος και όχι διασπάθισή του, μέριμνα για όλους τους τομείς οικονομίας, πάταξη παραοικονομίας και οικονομικών συμφερόντων.. Αρνητικές: τα αντίθετα των θετικών. Θετικές: ορθός επαγγελματικός προσανατολισμός, επιλογή επαγγέλματος βάσει προσωπικών κλίσεων, εργασιακή ευσυνειδησία και δεοντολογία, τεχνογνωσία, νέες τεχνικές και μέθοδοι, υψηλή παραγωγικότητα, χαρά της δημιουργίας, κατανόηση της κοινωνικής αποστολής της εργασίας, καλλιέργεια υπευθυνότητας και συνεργασίας, εσωτερική πλήρωση, βελτίωση του βιοτικού επιπέδου και της ποιότητας ζωής, ανάπτυξη της εθνικής οικονομίας, αποφυγή εμπορευματοποίησης / μηχανοποίησης / τυποποίησης του επαγγέλματος / αυστηρού προγραμματισμού, περιορισμός του αθέμιτου ανταγωνισμού και των φαινομένων εκμετάλλευσης ή παραβίασης εργασιακών δικαιωμάτων, προσπάθεια υπέρβασης της υπερειδίκευσης και της μονομέρειας που επιφέρει, άρση της υπερεργασίας, φραγμός στα εργασιακά αλλοτριωτικά δεδομένα, μείωση της ανεργίας.. Αρνητικές: τα αντίθετα των θετικών. Δ. ΕΥΡΕΤΗΡΙΟ ΛΥΣΕΩΝ Οικογένεια: υπόδειγμα συμπεριφοράς οι γονείς προς τους νέους, χρόνος για επικοινωνία, ορθή καθοδήγηση και μεταλαμπάδευση αξιών και υγιών προτύπων.. Εκπαίδευση: παροχή ανθρωπιστικής παιδείας, προσπάθεια διαμόρφωσης ολοκληρωμένων προσωπικοτήτων (ώριμων και ηθικών), υγιής κοινωνικοποίηση των μαθητών.. ΜΜΕ: δεοντολογία, αντικειμενικότητα, προβολή εκπομπών με τις αρνητικές συνέπειες του εκάστοτε προβλήματος για ευαισθητοποίηση και αποτροπή των πολιτών.. Πνευματικοί άνθρωποι: δραστηριοποίηση, απομάκρυνση από ελιτίστικες συμπεριφορές, αφύπνιση του λαού ως προς ένα θέμα και υγιής καθοδήγησή 12 Εργασιακές συνέπειες Φορείς αγωγής
  • 13.
    του, κοινωνική αγωνιστικότητα,άσκηση αυστηρής κριτικής στους υπαίτιους ενός προβλήματος.. Πολιτεία: θεσμικό πλαίσιο, νόμοι – κυρώσεις, υπεύθυνη και διαφανής λειτουργία των πολιτικών εκπροσώπων.. Υποσημείωση: για την αναλυτικότερη ανάπτυξη των ορθών τρόπων λειτουργίας των φορέων αγωγής βλέπε τα αντίθετα από όσα αναφέρθηκαν για τους φορείς στο ευρετήριο των αιτιών. Αυτοκριτική, συνειδητοποίηση ενός προβλήματος, ιεράρχηση αξιών / αναγκών (προς απαλλαγή από πάθη, αδυναμίες, υλισμό), καλλιέργεια εσωτερικού και πνευματικού κόσμου, διά βίου παιδεία, κριτική επεξεργασία των μηνυμάτων και όχι παθητική αποδοχή, ενδιαφέρον για τα κοινά, δυναμική παρουσία στο κοινωνικό γίγνεσθαι, συμμετοχή στις προσπάθειες επίλυσης ενός προβλήματος (είτε ατομικά, είτε μέσω οργανωμένων ομάδων) και όχι επίδειξη παγερής αδιαφορίας – ωχαδελφισμού, ορθή επιλογή επαγγέλματος, σωστός προγραμματισμός ενεργειών και εύρεση ελεύθερου χρόνου για γόνιμη αξιοποίησή του..  ισομερής ανάπτυξη του πολιτισμού, εξανθρωπισμός της τεχνολογίας, θετική θεώρηση της παράδοσης, διαφύλαξη των γόνιμων στοιχείων της..  δημοκρατικές διαδικασίες, ελευθερία πνεύματος, προβληματισμός διάλογος,..  αποκέντρωση, αναβάθμιση υπαίθρου, κίνητρα για επιστροφή στην επαρχία..  καταπολέμηση εκφυλιστικών φαινομένων της τέχνης και του αθλητισμού.. διαμόρφωση πολιτιστικών και αθλητικών κέντρων, ώθηση των πολιτών προς ενασχόληση με αντίστοιχες εκδηλώσεις..  καταπολέμηση ανισοτήτων, βίας, αντικοινωνικών φαινομένων..  επαφή με τη φύση..  κινητοποίηση διεθνών οργανισμών και μη κυβερνητικών οργανώσεων.. Υποσημείωση: 1. Οι τρόποι αντιμετώπισης ενός προβλήματος εντοπίζονται μέσω της εύρεσης των αιτιών του και της αντιστροφής τους. 2. Οι λύσεις, αν δεν αποτελούν ερώτημα του θέματος, μπορούν να αναφερθούν στον επίλογο του γραπτού, χωρίς όμως να υπάρχει συσσώρευσή τους (επιλεκτικά αναφέρουμε 1-2 λύσεις και συνήθως την ανθρωπιστική παιδεία). 3. Αποφεύγουμε την επανάληψη της λέξης «πρέπει». Αντί αυτής: απαιτείται, επιβάλλεται, κρίνεται αναγκαίο / απαραίτητο, θα ήταν δέον, αποτελεί επιτακτική ανάγκη, πρωταρχικής σημασίας είναι, προέχει, θα ήταν ωφέλιμο… 13 Ευθύνη ατόμου Άλλοι τρόποι αντιμετώπισης προβλημάτων
  • 14.
    Ε. ΑΛΛΟΙ ΤΥΠΟΙΕΡΩΤΗΣΕΩΝ / ΜΕΘΟΔΟΛΟΓΙΑ ΑΠΑΝΤΗΣΗΣ ΤΟΥΣ  «Προσδιορίστε την έννοια του…»   «Περιστατικά / εκδηλώσεις του…»   «Γιατί κρίνεται αναγκαία η ύπαρξη του…;»   «Γιατί κρίνεται αναγκαία η ύπαρξη του…σήμερα;»   «Πιστεύετε ότι στις μέρες μας τηρείται / γίνεται σεβαστό…;»   «Γιατί ο…οδηγεί / συμβάλλει στο…;» (π.χ. Γιατί ο καταναλωτισμός επιφέρει την αλλοτρίωση του ατόμου;)   «Γιατί ο…οδηγεί σε…και σε…;»  14 εύρεση των αρνητικών του σήμερα που θ αντιμετωπιστούν από τις θετικές επιδράσεις του… θετικές επιδράσεις του… (δυνατή είναι και η εξ αντιθέτου απόδειξη: αρνητικές συνέπειες της έλλειψης του…) παραδείγματα ορισμός (προαιρετική είναι η ιστορική αναδρομή) μορφές / τομείς εμφάνισης συνέπειες ναι όχι + παραδείγματα + αίτια μέσω των συνεπειών της α΄ έννοιας θα αποδειχθεί η β΄ μέσω των συνεπειών της α΄ έννοιας θα αποδειχθούν ξεχωριστά η β΄ και η γ΄ (2 υποερωτήματα)
  • 15.
     «Συνδέεται ο…με το…;» (π.χ. Συνδέεται η ελευθερία με τους νόμους;)   «Πότε λειτουργεί ορθά ο…;»  Ζ. ΤΥΠΟΙ ΘΕΜΑΤΩΝ ΜΕ ΚΡΥΦΑ ΕΡΩΤΗΜΑΤΑ  «Με ποιους τρόπους μπορούν να αντιμετωπιστούν οι αρνητικές συνέπειες του…;»  «Με ποιους τρόπους θα επιτευχθεί το…. (π.χ. η αναβάθμιση του εκπαιδευτικού συστήματος), ώστε να συνάδει προς…. (π.χ. τις σύγχρονες απαιτήσεις);» ή «Τι πρέπει να γίνει / αλλάξει στο….(π.χ. να κάνουν οι πνευματικοί άνθρωποι για να βοηθήσουν τους νέους), ώστε να ξεπεραστούν τα τάδε ειδικά αρνητικά δεδομένα…(π.χ. τα προβλήματα των νέων);» 15 θα αποδειχθεί το αμφίδρομο της σχέσης: πώς η πρώτη έννοια οδηγεί στη δεύτερη και πώς η δεύτερη στην πρώτη προϋποθέσεις (όταν, εφόσον, αν…): οι προϋποθέσεις αντλούνται από τα επίπεδα (πνευματικές, ηθικές…...), ενώ ως προϋπόθεση των προϋποθέσεων λογίζεται η ορθή λειτουργία των φορέων αγωγής (ανθρωπιστική παιδεία) Κρυφό ερώτημα είναι το «ποιες είναι οι αρνητικές συνέπειες του…;» και η ανάπτυξή του θα πρέπει να προηγηθεί του φανερού ζητήματος (τρόποι αντιμετώπισης) και να ολοκληρωθεί σε 1-2 παραγράφους (αντιθέτως, το φανερό θα αναπτυχθεί σε 4-5 παραγράφους).
  • 16.
     «Γιατί, ότανλειτουργεί ορθά το…., συντελεί σε….;» 16 Σ αυτές τις διατυπώσεις θεμάτων το κρυφό ερώτημα διαδραματίζει σημαντικό ρόλο και καθορίζει την ανάπτυξη του φανερού ζητήματος, επειδή θέτει ειδικές παραμέτρους βάσει των οποίων θα κινηθεί η απάντηση στο φανερό ζήτημα (διαφορετικά, υπάρχει περίπτωση ο μαθητής να βρεθεί εκτός θέματος). Απαιτείται μάλιστα παράλληλα ανάπτυξη κρυφού και φανερού ερωτήματος προς ουσιαστική απάντησή τους (π.χ. στο πρώτο από τα παραπάνω παραδείγματα θα πρέπει σε κάθε παράγραφο του κύριου μέρους να δίνεται μια σύγχρονη απαίτηση και βάσει αυτής τι συγκεκριμένη ενέργεια θα ληφθεί από την εκπαίδευση, ενώ στο δεύτερο παράδειγμα θα αναγράφεται ένα πρόβλημα των νέων και τι συγκεκριμένο είναι αναγκαίο να πράξουν οι πνευματικοί άνθρωποι ώστε να βοηθήσουν τους νέους). Το κρυφό ερώτημα είναι το «πότε λειτουργεί ορθά το…;» και μπορεί να αναπτυχθεί ή ξεχωριστά ή παράλληλα με το φανερό (η μέθοδος της ξεχωριστής και της παράλληλης ανάπτυξης επεξηγήθηκε στις προηγούμενες περιπτώσεις θεμάτων με κρυφό ερώτημα).