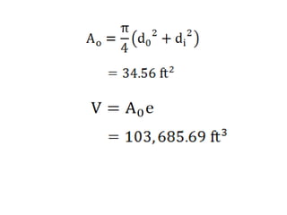
A circular concrete conduit, whose inside
diameter is 10 ft., is 1 ft. thick. It rises 16 ft.
per 1000 horizontal feet. The vertical plane
which contains the axis is perpendicular to
 the two vertical planes which contain the
 ends of the conduit. If the ends are 3000
ft. apart, find the amount of concrete used
     in the construction of the conduit.
a. 103,685.69 ft 3

b.104,675.69 ft 3

c. 105,655.69 ft3
d.106,665.69 ft3
Solution:
Find the area of the largest circle
  which can be cut from a square of
edge 4 inches. What is the area of the
          material wasted?

   a. 3.43 in2      c. 4.93 in2
   b.5.43 in2       d.2.43 in2
A pine log 40 ft long has a uniform
  circular cross section of radius 11 in.
 the ends lie in parallel planes which are
not perpendicular to the axis of the log.
How much paint will be required to give
the log (ends not include) two coats. If 1
 gal of paint covers 800 sq ft of surface?
  If pine weighs 31 lb per cu ft. find the
             weight of the log.
a. 3256.23 lb
b.3273.37 lb
c. 3569.23 lb
d.3965.12 lb
A cubic foot of water weighs about
 62.4 lb. what must be the diameter
of a cylindrical pail 1 ft high in order
for it to hold the water from 25 lb of
  ice? How many square inches of
 sheet tin are required to make the
                 pan?
a. 380.74 in2
b.379.74 in2
c. 381.74 in 2

d.382.74 in  2
Find the waste in making the largest
possible cylindrical rod from a bar of
  iron 3 ft long which has a square
cross section whose diagonal is 6 in.

a. 0.08048 ft3     c. 0.08566 ft3
b.0.09068 ft3      d.0.05698 ft3
If the edge of a cube is
increased by 30%, by how
 much is the surface area
         increased?
   a. 30%      c. 60%
   b.33%       d.69%
Solution:




        Thus, A2 is increased by 69%
How many times do the
  volume of a sphere
increases if the radius is
       doubled?
  a. 4 times   c. 6 times
  b.2 times    d.8 times
Solution:




     Thus, V2 is increased by 8 times
A conical vessel has a height of 24
cm and a base diameter of 12 cm.
it holds water to a depth of 18 cm
 above its vertex. Find the volume
       (in cm3) of its content

   a. 188.40       c. 381.70
   b. 298.40       d. 412.60
Solution:

            r = 4.5
Building blocks are closely stacked
in a pile 7 ft. high, 36 ft. long and
 12 ft. wide. If the bricks are 2 in.
by 4 in. by 9 in., how many bricks
           are in the pile?

   a. 73, 589       c. 74, 369
   b. 72, 576       d. 75, 345
Solution:
For pile:



For one brick:
A trench is 180 ft. long and 12 ft
deep, 7 ft wide at the top and 4 ft
 at the bottom. How many cubic
     yards of earth have been
             removed?

     a. 440          c. 443
     b. 442          d. 446
Solution:
A regular triangular pyramid
has an altitude of 9 m and a
  volume of 187.06 cu.m.
  what is the base edge in
           meters?
    a. 12        c. 14
    b. 13        d. 15
Solution:
What is the volume of frustum of a
cone whose upper base is 15 cm in
 diameter and lower base 10 cm in
diameter with an altitude of 25 cm.

a. 3018.87 cm3    c. 3108.87 cm3
b. 3180.87 cm3    d. 3081.87 cm3
Solution:
The volume of the frustum of a regular
 triangular pyramid is 135 cu. m. The
 lower base is an equilateral triangle
with an edge of 9 m. The upper base is
8 m above the lower base. What is the
     upper base edge in meters?

        a. 2            c. 4
        b. 3            d. 5
Solution:
Solid Mensuration [QEE-R 2012]

Solid Mensuration [QEE-R 2012]

  • 1.
    A circular concreteconduit, whose inside diameter is 10 ft., is 1 ft. thick. It rises 16 ft. per 1000 horizontal feet. The vertical plane which contains the axis is perpendicular to the two vertical planes which contain the ends of the conduit. If the ends are 3000 ft. apart, find the amount of concrete used in the construction of the conduit.
  • 2.
    a. 103,685.69 ft3 b.104,675.69 ft 3 c. 105,655.69 ft3 d.106,665.69 ft3
  • 3.
  • 5.
    Find the areaof the largest circle which can be cut from a square of edge 4 inches. What is the area of the material wasted? a. 3.43 in2 c. 4.93 in2 b.5.43 in2 d.2.43 in2
  • 6.
    A pine log40 ft long has a uniform circular cross section of radius 11 in. the ends lie in parallel planes which are not perpendicular to the axis of the log. How much paint will be required to give the log (ends not include) two coats. If 1 gal of paint covers 800 sq ft of surface? If pine weighs 31 lb per cu ft. find the weight of the log.
  • 7.
    a. 3256.23 lb b.3273.37lb c. 3569.23 lb d.3965.12 lb
  • 8.
    A cubic footof water weighs about 62.4 lb. what must be the diameter of a cylindrical pail 1 ft high in order for it to hold the water from 25 lb of ice? How many square inches of sheet tin are required to make the pan?
  • 9.
    a. 380.74 in2 b.379.74in2 c. 381.74 in 2 d.382.74 in 2
  • 10.
    Find the wastein making the largest possible cylindrical rod from a bar of iron 3 ft long which has a square cross section whose diagonal is 6 in. a. 0.08048 ft3 c. 0.08566 ft3 b.0.09068 ft3 d.0.05698 ft3
  • 11.
    If the edgeof a cube is increased by 30%, by how much is the surface area increased? a. 30% c. 60% b.33% d.69%
  • 12.
    Solution: Thus, A2 is increased by 69%
  • 13.
    How many timesdo the volume of a sphere increases if the radius is doubled? a. 4 times c. 6 times b.2 times d.8 times
  • 14.
    Solution: Thus, V2 is increased by 8 times
  • 15.
    A conical vesselhas a height of 24 cm and a base diameter of 12 cm. it holds water to a depth of 18 cm above its vertex. Find the volume (in cm3) of its content a. 188.40 c. 381.70 b. 298.40 d. 412.60
  • 16.
    Solution: r = 4.5
  • 17.
    Building blocks areclosely stacked in a pile 7 ft. high, 36 ft. long and 12 ft. wide. If the bricks are 2 in. by 4 in. by 9 in., how many bricks are in the pile? a. 73, 589 c. 74, 369 b. 72, 576 d. 75, 345
  • 18.
  • 20.
    A trench is180 ft. long and 12 ft deep, 7 ft wide at the top and 4 ft at the bottom. How many cubic yards of earth have been removed? a. 440 c. 443 b. 442 d. 446
  • 21.
  • 22.
    A regular triangularpyramid has an altitude of 9 m and a volume of 187.06 cu.m. what is the base edge in meters? a. 12 c. 14 b. 13 d. 15
  • 23.
  • 24.
    What is thevolume of frustum of a cone whose upper base is 15 cm in diameter and lower base 10 cm in diameter with an altitude of 25 cm. a. 3018.87 cm3 c. 3108.87 cm3 b. 3180.87 cm3 d. 3081.87 cm3
  • 25.
  • 26.
    The volume ofthe frustum of a regular triangular pyramid is 135 cu. m. The lower base is an equilateral triangle with an edge of 9 m. The upper base is 8 m above the lower base. What is the upper base edge in meters? a. 2 c. 4 b. 3 d. 5
  • 27.