DEPARTMENT OF MECHANICAL ENGINEERING
SKEWED PLATE PROBLEM
SONAM PALJOR PES1201702403
2
CONTENTS
 Introduction
 Principle of stationary total potential
 Ritz method
 Approximation function
 Steps for solving problems in Ritz method
 Discuss about the skewed plate problem
 Conclusion
 Reference
INTRODUCTION
 Skew plate problems by using a variety of approximate methods such as.
 The finite difference method
 The energy method
 Weighted residuals procedure
 Ritz method
 bending, vibration and buckling of skew plates are complicated due to the presence of
stress concentration at the obtuse corners and due to the presence of numerical
instability of the results with increase in the angle of skew.
 In this presentation, the main focus on Ritz method to solve the skewed plate problem
3
PRINCIPLE OF STATIONARY TOTAL POTENTIAL
(PSTP)
 Potential Energy is the capacity to do work.
 Total Potential Energy = Internal Potential Energy + External Potential Energy
 Principle of minimum potential energy
Equilibrium = Πtotal is stationary , Viz –
𝑥∂Πtotal
𝜕ᵶ
= 0
3
RITZ METHOD
The Ritz method is a direct method to find an approximate solution for boundary
value problems.
 It is an integral approach method
 Useful for solving Structural Mechanics Problems
 It is also known as Variational Approach
Potential Energy ( Π ) = 𝑥2
𝑥1
𝑓 𝑦′
, 𝑦′′
, 𝑦′′′
𝑑𝑥
Total Potential Energy Π = Strain Energy(U) – Work done by external forces (H)
5
APPROXIMATION FUNCTION
 It should satisfy the geometric boundary condition.
 It should have at least one Ritz parameter.
 It should represented as either polynomial or trigonometrical.
 Polynomial ( Bar Element )
y = 𝑎0 + 𝑎1 𝑥 + 𝑎2 𝑥2
+ 𝑎3 𝑥3
+ …
 Trignometric ( Beam Element)
y = 𝑎1 sin
Π 𝑥
𝑙
+sin
3Π 𝑥
𝑙
+ ….
6
Step 1 – Setting an approximation Function
STEPS FOR SOLVING PROBLEMS IN RITZ METHOD
Step 2 – Determine Strain Energy(U)
Step 3 – Determine Work Done by External Force(H)
Step 4 – Total Potential Energy, Π= U-H
Step 5 – To find Ritz Parameter by Partial Differentiation (step 4 result)
Step 6 – Determine deflection for beam element
– Determine displacement for bar element
Step 7 – Determine Bending Moment for beam element
– Determine Stress for bar element 7
let us discuss about the skewed plate problem
 We now consider the problem of a
skewed plate (see fig. A) fixed at the
left side B. Since this plate might
conceivably represent a swept wing
of a high speed aircraft,
 we have employed aeronautical nomenclature in the diagrams. Thus there is a
parabolic line load with a maximum value Γ0 lb/ft.(see fig. B) at the tip chord while
the root chord is clamped. We wish here to find the rotation of the tip chord relative to
the root chord.
Figure. A
8
 A Cartesian reference will be employed. However, it will be desirable to introduce
dimensionless variables involving the chord length C and the span length L.
Figure. B
ξ =
𝑥
𝐿 ⴖ =
𝑦
𝐶
( 1 )
9
 We have to used in the total potential energy functional in conjunction with the Ritz
method
 this purpose recall from elementary strength of materials that the deflection curve
for a simple straight cantilever beam is
w =
𝑃 𝐿3
6𝐸𝐿
2 − 3
𝑥
𝐿
+
𝑥
𝐿
3
 The above equation to give the variation in the x direction for the coordinate function.
 y direction, we assume that the variation is linear with y-that is, we assume the
deformation is chordwise linear.
10
𝑤1 = (𝐴 + 𝐵ⴖ)(2 − 3ξ + ξ3)
 The coordinate function having these properties is
( 2 )
where we have used dimensionless variables,
where A and B are undetermined coefficients.
 Express the strain energy of the skewed plate in terms of the dimensionless variables
as follows:
U =
𝐿𝐶𝐷
2 0
1
𝑑ξ 𝐿
𝐶
ξ𝑡𝑎𝑛𝛽
1+
𝐿
𝐶
ξ𝑡𝑎𝑛𝛽 1
𝐿2
𝜕2 𝑤
𝜕ξ2 +
𝐿
𝐶2
𝜕2 𝑤
𝜕ⴖ2
2
+
2(1−𝑣)
𝐿2 𝐶2
𝜕2 𝑤
𝜕ξ𝜕ⴖ
2
−
𝜕2 𝑤
𝜕ξ2
𝜕2 𝑤
𝜕ⴖ2 d ⴖ ( 3 )
 Note that variable limits must be used for the first integration because of the skewed
geometry 11
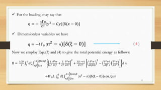
 For the loading, may say that
q = −
4Γ0
𝐶2 (𝑦2 − 𝐶𝑦)[δ(𝑥 − 0)]
 Dimensionless variables we have
q = −4Γ0 (ⴖ2
− ⴖ)[δ(ξ − 0)] ( 4 )
Now we employ Eqs.(3) and (4) to give the total potential energy as follows:
Π =
𝐿𝐶𝐷
2 0
1
𝑑ξ
𝑛𝛽
𝐿
𝐶
ξ𝑡𝑎
1+
𝐿
𝐶
ξ𝑡𝑎𝑛𝛽 1
𝐿2
𝜕2 𝑤
𝜕ξ2 +
𝐿
𝐶2
𝜕2 𝑤
𝜕ⴖ2
2
+
2(1−𝑣)
𝐿2 𝐶2
𝜕2 𝑤
𝜕ξ𝜕ⴖ
2
−
𝜕2 𝑤
𝜕ξ2
𝜕2 𝑤
𝜕ⴖ2 d ⴖ
+4Γ0 𝐿 0
1
𝑑ξ
𝑛𝛽
𝐿
𝐶
ξ𝑡𝑎
1+
𝐿
𝐶
ξ𝑡𝑎𝑛𝛽
(ⴖ2 − ⴖ)[δ(ξ − 0)]w(ⴖ, ξ)dⴖ
12
In considering the integration of the last expression above note from the properties
of delta functions that for a < d < b:
0
1
𝑔 𝑥 𝛿 𝑥 − 𝑑 𝑑𝑥 = 𝑔(𝑑) ( 5 )
Hence we have for the last expression
4Γ0 𝐿 0
1
𝐿
𝐶
ξ𝑡𝑎𝑛𝛽
1+
𝐿
𝐶
ξ𝑡𝑎𝑛𝛽
(ⴖ2 − ⴖ)[δ(ξ − 0)]w(ⴖ, ξ)dⴖ d ξ
= 4Γ0 𝐿 0
1
δ(ξ − 0) 𝐿
𝐶
ξ𝑡𝑎𝑛𝛽
1+
𝐿
𝐶
ξ𝑡𝑎𝑛𝛽
(ⴖ2
− ⴖ)[δ(ξ − 0)]w(ⴖ, ξ)dξ dξ
= 4𝐿Γ0
0
1
(ⴖ2
−ⴖ)𝑤(ⴖ, 0)𝑑ⴖ
13
Now substituting for w in the total potential energy expression using Eq. ( 2 )
we get, on using the above result:
Π = 𝐷 𝐵2 18
5
𝑡𝑎𝑛2 𝛽
𝐿𝐶
+
9𝑡𝑎𝑛𝛽
2𝐿2 +
2𝐶
𝐿3 +
24(1−𝑣)
5𝐿𝐶
+
6𝐴2 𝐶
𝐿3 + 𝐴𝐵
9𝑡𝑎𝑛𝛽
𝐿2 +
6𝐶
𝐿3 −
2
3
𝐿Γ0(2A+B)
By extremizing with respect to A and B we obtain a pair of algebraic equations which
when solved yield
A =
2𝐿2Г0λ
3𝐶𝐷
B =
4𝐿4Г0
9𝐷(3𝐿 𝑡𝑎𝑛𝛽+2𝐶)
(1 − 6λ)
14
λ =
72𝐿2 𝑡𝑎𝑛2 𝛽+45𝐶𝐿 𝑡𝑎𝑛𝛽+10𝐶2+96𝐿2(1−𝑣)
27𝐿2 𝑡𝑎𝑛2 𝛽+60𝐶2+576𝐿2(1−𝑣)
To obtain the chordwise rotation of the tip chord we proceed as follows:
( Rotation ) 𝑡𝑖𝑝 =
𝜕𝑤 ( 0, 𝑦 )
𝜕𝑦
=
1
𝐶
𝜕𝑤(0 ,ⴖ )
𝜕ⴖ
= 2
𝐵
𝐶
For the case where β =45˚ we get
Rotation = −
40𝐿5Г◦
𝐶𝐷(201𝐿2 + 20𝐶2 − 192𝐿2 𝑣)
15
CONCLUSION
 The calculation of the skewed plate is in the case of full uniform load, but
this can apply in the case of any load and any skew angle of the plate.
 this solution can not only to the other skewed plate with two opposite edges
simply supported and the other edges various conditions, but can apply to a
rectangular plate with any boundary condition
16
 "https://en.wikipedia.org/w/index.php? title=Ritz_method &oldid=740623660"
REFERENCE
 The solution of the skewed plate By Dr. Eng., Kitami Okamoto, C.E. Member
 Analysis of skew plate problems with various constraints By T. Mizusawa
Department of ‘ Construction Engineering, Daido Institute of Technology,
Hakusuicho-40, Minami-ku, Nagoya, 457, Japan
 Approximation of critical frequency Using the Ritz Method By Rian Rustvol
17
18
THANK YOU………!

Skewed plate problem

  • 1.
    DEPARTMENT OF MECHANICALENGINEERING SKEWED PLATE PROBLEM SONAM PALJOR PES1201702403
  • 2.
    2 CONTENTS  Introduction  Principleof stationary total potential  Ritz method  Approximation function  Steps for solving problems in Ritz method  Discuss about the skewed plate problem  Conclusion  Reference
  • 3.
    INTRODUCTION  Skew plateproblems by using a variety of approximate methods such as.  The finite difference method  The energy method  Weighted residuals procedure  Ritz method  bending, vibration and buckling of skew plates are complicated due to the presence of stress concentration at the obtuse corners and due to the presence of numerical instability of the results with increase in the angle of skew.  In this presentation, the main focus on Ritz method to solve the skewed plate problem 3
  • 4.
    PRINCIPLE OF STATIONARYTOTAL POTENTIAL (PSTP)  Potential Energy is the capacity to do work.  Total Potential Energy = Internal Potential Energy + External Potential Energy  Principle of minimum potential energy Equilibrium = Πtotal is stationary , Viz – 𝑥∂Πtotal 𝜕ᵶ = 0 3
  • 5.
    RITZ METHOD The Ritzmethod is a direct method to find an approximate solution for boundary value problems.  It is an integral approach method  Useful for solving Structural Mechanics Problems  It is also known as Variational Approach Potential Energy ( Π ) = 𝑥2 𝑥1 𝑓 𝑦′ , 𝑦′′ , 𝑦′′′ 𝑑𝑥 Total Potential Energy Π = Strain Energy(U) – Work done by external forces (H) 5
  • 6.
    APPROXIMATION FUNCTION  Itshould satisfy the geometric boundary condition.  It should have at least one Ritz parameter.  It should represented as either polynomial or trigonometrical.  Polynomial ( Bar Element ) y = 𝑎0 + 𝑎1 𝑥 + 𝑎2 𝑥2 + 𝑎3 𝑥3 + …  Trignometric ( Beam Element) y = 𝑎1 sin Π 𝑥 𝑙 +sin 3Π 𝑥 𝑙 + …. 6
  • 7.
    Step 1 –Setting an approximation Function STEPS FOR SOLVING PROBLEMS IN RITZ METHOD Step 2 – Determine Strain Energy(U) Step 3 – Determine Work Done by External Force(H) Step 4 – Total Potential Energy, Π= U-H Step 5 – To find Ritz Parameter by Partial Differentiation (step 4 result) Step 6 – Determine deflection for beam element – Determine displacement for bar element Step 7 – Determine Bending Moment for beam element – Determine Stress for bar element 7
  • 8.
    let us discussabout the skewed plate problem  We now consider the problem of a skewed plate (see fig. A) fixed at the left side B. Since this plate might conceivably represent a swept wing of a high speed aircraft,  we have employed aeronautical nomenclature in the diagrams. Thus there is a parabolic line load with a maximum value Γ0 lb/ft.(see fig. B) at the tip chord while the root chord is clamped. We wish here to find the rotation of the tip chord relative to the root chord. Figure. A 8
  • 9.
     A Cartesianreference will be employed. However, it will be desirable to introduce dimensionless variables involving the chord length C and the span length L. Figure. B ξ = 𝑥 𝐿 ⴖ = 𝑦 𝐶 ( 1 ) 9
  • 10.
     We haveto used in the total potential energy functional in conjunction with the Ritz method  this purpose recall from elementary strength of materials that the deflection curve for a simple straight cantilever beam is w = 𝑃 𝐿3 6𝐸𝐿 2 − 3 𝑥 𝐿 + 𝑥 𝐿 3  The above equation to give the variation in the x direction for the coordinate function.  y direction, we assume that the variation is linear with y-that is, we assume the deformation is chordwise linear. 10
  • 11.
    𝑤1 = (𝐴+ 𝐵ⴖ)(2 − 3ξ + ξ3)  The coordinate function having these properties is ( 2 ) where we have used dimensionless variables, where A and B are undetermined coefficients.  Express the strain energy of the skewed plate in terms of the dimensionless variables as follows: U = 𝐿𝐶𝐷 2 0 1 𝑑ξ 𝐿 𝐶 ξ𝑡𝑎𝑛𝛽 1+ 𝐿 𝐶 ξ𝑡𝑎𝑛𝛽 1 𝐿2 𝜕2 𝑤 𝜕ξ2 + 𝐿 𝐶2 𝜕2 𝑤 𝜕ⴖ2 2 + 2(1−𝑣) 𝐿2 𝐶2 𝜕2 𝑤 𝜕ξ𝜕ⴖ 2 − 𝜕2 𝑤 𝜕ξ2 𝜕2 𝑤 𝜕ⴖ2 d ⴖ ( 3 )  Note that variable limits must be used for the first integration because of the skewed geometry 11
  • 12.
     For theloading, may say that q = − 4Γ0 𝐶2 (𝑦2 − 𝐶𝑦)[δ(𝑥 − 0)]  Dimensionless variables we have q = −4Γ0 (ⴖ2 − ⴖ)[δ(ξ − 0)] ( 4 ) Now we employ Eqs.(3) and (4) to give the total potential energy as follows: Π = 𝐿𝐶𝐷 2 0 1 𝑑ξ 𝑛𝛽 𝐿 𝐶 ξ𝑡𝑎 1+ 𝐿 𝐶 ξ𝑡𝑎𝑛𝛽 1 𝐿2 𝜕2 𝑤 𝜕ξ2 + 𝐿 𝐶2 𝜕2 𝑤 𝜕ⴖ2 2 + 2(1−𝑣) 𝐿2 𝐶2 𝜕2 𝑤 𝜕ξ𝜕ⴖ 2 − 𝜕2 𝑤 𝜕ξ2 𝜕2 𝑤 𝜕ⴖ2 d ⴖ +4Γ0 𝐿 0 1 𝑑ξ 𝑛𝛽 𝐿 𝐶 ξ𝑡𝑎 1+ 𝐿 𝐶 ξ𝑡𝑎𝑛𝛽 (ⴖ2 − ⴖ)[δ(ξ − 0)]w(ⴖ, ξ)dⴖ 12
  • 13.
    In considering theintegration of the last expression above note from the properties of delta functions that for a < d < b: 0 1 𝑔 𝑥 𝛿 𝑥 − 𝑑 𝑑𝑥 = 𝑔(𝑑) ( 5 ) Hence we have for the last expression 4Γ0 𝐿 0 1 𝐿 𝐶 ξ𝑡𝑎𝑛𝛽 1+ 𝐿 𝐶 ξ𝑡𝑎𝑛𝛽 (ⴖ2 − ⴖ)[δ(ξ − 0)]w(ⴖ, ξ)dⴖ d ξ = 4Γ0 𝐿 0 1 δ(ξ − 0) 𝐿 𝐶 ξ𝑡𝑎𝑛𝛽 1+ 𝐿 𝐶 ξ𝑡𝑎𝑛𝛽 (ⴖ2 − ⴖ)[δ(ξ − 0)]w(ⴖ, ξ)dξ dξ = 4𝐿Γ0 0 1 (ⴖ2 −ⴖ)𝑤(ⴖ, 0)𝑑ⴖ 13
  • 14.
    Now substituting forw in the total potential energy expression using Eq. ( 2 ) we get, on using the above result: Π = 𝐷 𝐵2 18 5 𝑡𝑎𝑛2 𝛽 𝐿𝐶 + 9𝑡𝑎𝑛𝛽 2𝐿2 + 2𝐶 𝐿3 + 24(1−𝑣) 5𝐿𝐶 + 6𝐴2 𝐶 𝐿3 + 𝐴𝐵 9𝑡𝑎𝑛𝛽 𝐿2 + 6𝐶 𝐿3 − 2 3 𝐿Γ0(2A+B) By extremizing with respect to A and B we obtain a pair of algebraic equations which when solved yield A = 2𝐿2Г0λ 3𝐶𝐷 B = 4𝐿4Г0 9𝐷(3𝐿 𝑡𝑎𝑛𝛽+2𝐶) (1 − 6λ) 14
  • 15.
    λ = 72𝐿2 𝑡𝑎𝑛2𝛽+45𝐶𝐿 𝑡𝑎𝑛𝛽+10𝐶2+96𝐿2(1−𝑣) 27𝐿2 𝑡𝑎𝑛2 𝛽+60𝐶2+576𝐿2(1−𝑣) To obtain the chordwise rotation of the tip chord we proceed as follows: ( Rotation ) 𝑡𝑖𝑝 = 𝜕𝑤 ( 0, 𝑦 ) 𝜕𝑦 = 1 𝐶 𝜕𝑤(0 ,ⴖ ) 𝜕ⴖ = 2 𝐵 𝐶 For the case where β =45˚ we get Rotation = − 40𝐿5Г◦ 𝐶𝐷(201𝐿2 + 20𝐶2 − 192𝐿2 𝑣) 15
  • 16.
    CONCLUSION  The calculationof the skewed plate is in the case of full uniform load, but this can apply in the case of any load and any skew angle of the plate.  this solution can not only to the other skewed plate with two opposite edges simply supported and the other edges various conditions, but can apply to a rectangular plate with any boundary condition 16
  • 17.
     "https://en.wikipedia.org/w/index.php? title=Ritz_method&oldid=740623660" REFERENCE  The solution of the skewed plate By Dr. Eng., Kitami Okamoto, C.E. Member  Analysis of skew plate problems with various constraints By T. Mizusawa Department of ‘ Construction Engineering, Daido Institute of Technology, Hakusuicho-40, Minami-ku, Nagoya, 457, Japan  Approximation of critical frequency Using the Ritz Method By Rian Rustvol 17
  • 18.