Beams and Frames
 beam theory can be used to solve simple
beams
complex beams with many cross section
changes are solvable but lengthy
many 2-d and 3-d frame structures are
better modeled by beam theory
One Dimensional Problems
px
StretchContract
u(x)
v(x)
kx + P(x=l)=0
du
dx
kx + P(x)=0
d4v
dx4
Variable can be scalar field like
temperature, or vector field like
displacement.
For dynamic loading, the variable can
be time dependent
The geometry of the problem is three dimensional, but the
variation of variable is one dimensional
Element Formulation
– assume the displacement w is a cubic polynomial in
L = Length
I = Moment of Inertia of
the cross sectional area
E = Modulus of Elsaticity
v = v(x) deflection of the
neutral axis
θ= dv/dx slope of the
elastic curve (rotation of
the section
F = F(x) = shear force
M= M(x) = Bending
moment about Z-axis
a1, a2, a3, a4 are the undetermined coefficients
2 3
1 2 3 4v(x) a a x a x a x= + + +
`
1 1
x 0
2 2
x L
dv
x 0, v(0) v ;
dx
dv
x L, v(L) v ;
dx
=
=
= = = θ
= = = θ
{ } { }
1 1
2 22 3 2
3 3
4 4
a a
a a
v(x) 1 x x x ; (x) 0 1 2x 3x
a a
a a
   
   
   
θ=   
   
      
i 1
i 2
2 3
j 3
2
j 4
v 1 0 0 0 a
0 1 0 0 a
v a1 L L L
a0 1 2L 3L
    
    θ    
=    
    
    θ    
 Applying these boundary conditions, we get
Substituting coefficients ai back into the original equation
for v(x) and rearranging terms gives
1
1 1 2 1
3 1 1 2 22
{d} [P(x)]{a}
{a} [P(x)] {d}
a v ; a
1
a ( 3v 2L 3v L )
L
−
=
=
= = θ
= − − θ + − θ
{ }
1
22 3
3
4
a
a
v(x) 1 x x x
a
a
 
 
 
=  
 
  
 The interpolation function or shape function is given by
2 3 2 3
1 12 3 2
2 3 2 3
2 22 3 2
3x 2x 2x x
v(x) (1 )v (x )
L L L L
3x 2x x x
( )v ( )
L L L L
= − + + − + θ
+ − + − + θ
[ ]
1
1
1 2 3 4
2
2
v
L
v N (x) N (x) N (x) N (x) [N]{d}
v
L
 
 θ 
= 
 
 θ 
strain for a beam in bending is defined by the curvature, so
 Hence
2 2
2 2
du d v d [N]
y {d} y[B]{d}
dx dx dx
ε= = = =
{ } { }
{ } [ ]{ }
{ } [ ]{ }
{ } [ ] { }
{ } [ ] [ ][ ]{ }
e
e
e
T
e
v
Te
v
T Te 2
v
Internal virtual energy U = dv
substitute E in above eqn.
U = E dv
= y B d
U = d B E B d y dv
δ δ ε σ
σ= ε
δ δ ε ε
δ ε δ
δ δ
∫
∫
∫
3 2 3 2 2 3 3 2
12x 6 6x 4 6 12x 6x 2
[B]
L L L L L L L h
 
= − − − −  
{ } [ ] [ ][ ] { } { } [ ] { } [ ] { } { }
{ } { }
[ ] [ ][ ]
{ } [ ] { } [ ] { } { }
e eFrom virtual work principle U W
T TT T T2 ed ( B E B y dv d d N b dv N p dv P
y y
e e sv v
eK U F
e e
where
T 2K B D B y dv Element stiffness matrix
e
ev
T T eF N b dv N p ds P Total nodal force vector
e y y
e sv
δ =δ
 
 δ =δ + +∫ ∫ ∫
 
 
 ⇒ =
 
  =∫ 
+ +=∫ ∫
{ } { } { } [ ] { }
{ } { } { } [ ] { }
{ } { } { }
e e
T T Te
b y
v v
T T Te
s y
s s
TTe e e
c
External virtual workdue to body force
w = d(x) b dv d N b dv
External virtual work due to surface force
w = d(x) p dv d N p ds
External virtual work due to nodal forces
w d P , P
δ δ =δ
δ δ =δ
δ =δ
∫ ∫
∫ ∫
{ }yi i yj= P , M ,P ,....
the stiffness matrix [k] is defined
To compute equivalent nodal force vector
for the loading shown
{ } [ ] { }
[ ]
T
e y
s
y
y
2 3 2 3 2 3 2 3
2 3 2 2 3 2
F N p ds
From similar triangles
p w w
; p x; ds = 1 dx
x L L
3x 2x 2x x 3x 2x x x
N (1 ) (x ) ( ) ( )
L L L L L L L L
=
= = ⋅
 
= − + − + − − + 
 
∫
w
x
py
L
( )
L
T 2 T
V
A 0
2 2
3
2 2
[k] [B] E[B]dV dAy E [B] [B]dx
12 6L 12 6L
6L 4L 6L 2LEI
12 6L 12 6LL
6L 2L 6L 4L
= =
− 
 −
 =
− − − 
 
− 
∫ ∫ ∫
{ } [ ] { }
{ }
T
e y
s
2 3
2 3
22 3
2
e 2 3
L
2 3
22 3
2
F N p ds
3wL3x 2x
(1 )
20L L
wL2x x
(x )
wx 30L L
F dx
7wLL3x 2x
( )
20L L
wLx x
( )
20L L
=
   
−− +   
   
   −− +       
−=    
    −−
   
   
   − +
     
∫
∫
+ve directions
vi vj
qi qj
w
Equivalent nodal force due to
Uniformly distributed load w
v1
v2
v3
θ1 θ2
θ3
v4
v3
Member end forces
1
1
2
2
1
1
2
2
For element 1
V 12 18 -12 18 0 70
M 18 36 -18 18 0 70
1555.6
V -12 -18 12 -18 0 70
18 18 -18 36 0.00249 139.6M
V
M
V
M
−      
       −      =     
      
      − −     
 
 
 
= 
 
  
12 18 -12 18 0 46.53
18 36 -18 18 0.00249 139.6
1555.6
-12 -18 12 -18 0.01744 46.53
18 18 -18 36 0.007475 0
−    
     −     =   
−     
     −    
70
70
70
139.6
46.53 46.53
139.6 0
v1 v2 v3
θ1 θ2
θ3
v1 θ1 v2 θ2
v2 θ2 v3 θ3
1
1
2 5
2
3
3
V 12 6 -12 6
M 6 4 -6 2
V -12 -6 12+12 -6+6 -12 6
8x10
M 6 2 -6+6 4+4 -6 2
-12 -6V
M
 
 
 
  
= 
 
 
 
  
1
1
2
2
3
3
1 1 2 3
2 3
5
v
v
12 -6 v
6 2 -6 4
Boundary condition
v , ,v ,v 0
Loading Condition
M 1000; M 1000
8 2
8x10
2
  
   θ
  
    
  
θ  
  
  
θ      
θ =
=− =
{ } [ ]{ }
2
3
4
2
5 4
3
1000
4 1000.0
4 -2 1000 2.679x101
-2 8 1000.028*8x10 4.464x10
Final member end forces
f k d {FEMS}
−
−
θ −    
=     θ     
 θ − −      
= =      θ        
= +
1
1 5
2
4
2
For element 1
0V 0 12 6 -12 6 1285.92
0M 0 6 4 -6 2 428.64
8X10
0V 0 -12 -6 12 -6 1285.92
0 6 2 -6 4 857.28M 2.679x10−
−      
       −       =+ =      
      
       −−      
1
4
1 5
2
4
2
0V 6000 12 6 -12 6 6856.8
M 1000 6 4 -6 2 2.679x10 856.96
8X10
V 6000 -12 -6 12 -6 0 51
1000 6 2 -6 4M 4.464x10
−
−




 
  
      
       −      =+ =     
      
      −      
43.2
0
 
 
 
 
 
  
1285.92
428.64
1285.92
857.28
6856.8 5143.2
856.96 0
Find slope at joint 2 and deflection at
joint 3. Also find member end forces
1
1
20 KN 20kN/m
10kN 10kN
10kN- m 10kN- m
60kN- m
60kN- m
60kN 60kN
v1
q1 q2 q3
v2
v3
EI EI
20 KN 20kN/m
Guided Support
2m 2m 6m
EI=2 x 104kN-m2
10kN- m
10kN
70kN
50kN- m
60kN- m
60kN
2
2
3
Global coordinates
Fixed end reactions (FERs)
Action/loads at global
coordinates
1 1
4
1 1
3
2 2
2 2
1 1 2 2
For element 1
f v12 24 -12 24
m 24 64 -24 321X10
f -12 -24 12 -24 v4
24 32 -24 64m
v v
For el
    
     θ    =   
    
    θ    
θ θ
1 1
4
1 1
3
2 2
2 2
2 2 3 3
ement 2
f v12 36 -12 36
m 36 144 -36 721X10
f -12 -36 12 -36 v6
36 72 -36 144m
v v
    
     θ    =   
    
    θ    
θ θ
7/15/2016 26
1
1
2
2
3
3
F 1875 3750 -1875 3750
M 3750 10000 -3750 5000
F -1875 -3750 1875+555.56 -3750+1666.67 -555.56 1666.67
M
F
M
 
 
 
  
= 
 
 
 
  
3750 5000 -3750+1666.67 10000+6666.67 -1666.67 3333.33
-555.56 -1666.67 555.56 -1666.67
1666.67
1
1
2
2
3
3
1 1 2 3
2 3
v
v
v
3333.332 -1666.67 6666.67
Boundary condition
v , ,v , 0
Loading Condition
M 50; F 60
16666.67 -1666.67
-1666.67 555.56
  
   θ
  
    
  
θ  
  
  
θ      
θ θ =
=− =−
 
 
 
{ } [ ]{ }
2
3
2
3
50
v 60
555.56 1666.67 50 0.0197141
v 1666.67 16666.67 60 0.167146481481.5
Final member end forces
f k d {FEMS}
θ −   
=   
−  
θ − −      
=       − −     
= +
1
4
1
3
2
2
For element 1
f 10 12 24 -12 24 0 63.93
m 10 24 64 -24 32 0 88.571X10
f 10 -12 -24 12 -24 0 83.934
10 24 32 -24 64 0.019714 207.1m
−      
       −      =+ =     
      
      − − −     
1
4
1
3
2
2
4
For element 2
f 60 12 36 -12 36 0
m 60 36 144 -36 72 0.0197141X10
f 60 -12 -36 12 -36 0.167146
60 36 72 -36 144 0m
 
 
 
 
 
  
      
      −     = +     
−     
     −    
120
207.14
0
152.85
 
  
  
=  
  
    
{ } [ ]{ }
If f ' member end forces in local coordinates then
f' k' q'=
3 3 3 3
3 3 3 3
3 3 3 3
3 3 3 3
AE AE
0 0 0 0
L L
12EI 6EI 12EI 6EI
0 0
L L L L
6EI 4EI 6EI 2EI
0 0
L L L L[k]
AE AE
0 0 0 0
L L
12EI 6EI 12EI 6EI
0 0
L L L L
6EI 2EI 6EI 4EI
0 0
L L L L
 
− 
 
 −
 
 
 −
 =
 
− 
 
 
− − − 
 
 −
  
'
1 1 2
'
2 1 2
'
3 3
At node i
q q cos q sin
q q sin q cos
q q
l cos ; m sin
= θ + θ
= − θ + θ
=
= θ = θ
{ } 1 2 3 4 5 6q {q ,q ,q ,q ,q ,q }
are forces in global coordinate direction
=
{ } { }
[ ] [ ] [ ][ ]T
using conditions q' [L]{q}; and f' [L]{f}
Stiffness matrix for an arbitrarily oriented beam element is given by
k L k' L
= =
=
a
a’ q
f = GJ/l
qxi’ fi
qxj’ fj
Grid Elements
xi i
xj j
JG JG
q fL L
q fJG JG
L L
 
−     
=     
    −
  
{ } [ ]{ }
If f ' member end forces in local coordinates then
f' k' q'=
3 3 3 3
3 3 3 3
3 3 3 3
3 3 3 3
GJ GJ
0 0 0 0
L L
12EI 6EI 12EI 6EI
0 0
L L L L
6EI 4EI 6EI 2EI
0 0
L L L L
GJ GJ
0 0 0 0
L L
12EI 6EI 12EI 6EI
0 0
L L L L
6EI 2EI 6EI 4EI
0 0
L L L L
 
− 
 
 −
 
 
 −
 
 
− 
 
 
− − − 
 
 −
  
[ ]
C 0 -s 0 0 0
0 1 0 0 0 0
-s 0 c 0 0 0
L
0 0 0 c 0 -s
0 0 0 0 1 0
0 0 0 --s 0 c
 



= 




[ ] [ ] [ ][ ]T
k L k' L








=

Beam element for 3D analysis
if axial load is tensile, results from beam
elements are higher than actual ⇒ results
are conservative
if axial load is compressive, results are less
than actual
– size of error is small until load is about 25% of
Euler buckling load
for 2-d, can use rotation matrices to get
stiffness matrix for beams in any
orientation
to develop 3-d beam elements, must also
add capability for torsional loads about the
axis of the element, and flexural loading in
x-z plane
to derive the 3-d beam element, set up the
beam with the x axis along its length, and y
and z axes as lateral directions
torsion behavior is added by superposition
of simple strength of materials solution
JG
L
JG
L
JG
L
JG
L
T
T
xi
xj
i
j
−
−
















=






φ
φ
J = torsional moment about x axis
G = shear modulus
L = length
φxi, φxj are nodal degrees of freedom of
angle of twist at each end
Ti, Tj are torques about the x axis at each
end
flexure in x-z plane adds another stiffness
matrix like the first one derived
superposition of all these matrices gives a
12 × 12 stiffness matrix
to orient a beam element in 3-d, use 3-d
rotation matrices
for beams long compared to their cross
section, displacement is almost all due to
flexure of beam
for short beams there is an additional lateral
displacement due to transverse shear
some FE programs take this into account,
but you then need to input a shear
deformation constant (value associated with
geometry of cross section)
limitations:
– same assumptions as in conventional beam and
torsion theories
⇒no better than beam analysis
– axial load capability allows frame analysis, but
formulation does not couple axial and lateral
loading which are coupled nonlinearly
– analysis does not account for
» stress concentration at cross section changes
» where point loads are applied
» where the beam frame components are connected
Finite Element Model
Element formulation exact for beam spans
with no intermediate loads
– need only 1 element to model any such
member that has constant cross section
for distributed load, subdivide into several
elements
need a node everywhere a point load is
applied
need nodes where frame members connect,
where they change direction, or where the
cross section properties change
for each member at a common node, all
have the same linear and rotational
displacement
boundary conditions can be restraints on
linear displacements or rotation
simple supports restrain only linear
displacements
built in supports restrain rotation also
– restrain vertical and horizontal displacements
of nodes 1 and 3
– no restraint on rotation of nodes 1 and 3
– need a restraint in x direction to prevent rigid
body motion, even if all forces are in y
direction
 cantilever beam
– has x and y linear displacements and rotation of node 1
fixed
point loads are idealized loads
– structure away from area of application
behaves as though point loads are applied
only an exact formulation when there are no
loads along the span
– for distributed loads, can get exact solution
everywhere else by replacing the distributed
load by equivalent loads and moments at the
nodes
Computer Input Assistance
preprocessor will usually have the same
capabilities as for trusses
a beam element consists of two node
numbers and associated material and
physical properties
material properties:
– modulus of elasticity
– if dynamic or thermal analysis, mass density
and thermal coefficient of expansion
physical properties:
– cross sectional area
– 2 area moments of inertia
– torsion constant
– location of stress calculation point
boundary conditions:
– specify node numbers and displacement
components that are restrained
loads:
– specify by node number and load components
– most commercial FE programs allows
application of distributed loads but they use
and equivalent load/moment set internally
Analysis Step
small models and carefully planned element
and node numbering will save you from
bandwidth or wavefront minimization
potential for ill conditioned stiffness matrix
due to axial stiffness >> flexural stiffness
(case of long slender beams)
Output Processing and Evaluation
graphical output of deformed shape usually
uses only straight lines to represent
members
you do not see the effect of rotational
constraints on the deformed shape of each
member
to check these, subdivide each member and
redo the analysis
 most FE codes do not make graphical
presentations of beam stress results
– user must calculate some of these from the stress
values returned
 for 2-d beams, you get a normal stress normal to
the cross section and a transverse shear acting on
the face of the cross section
– normal stress has 2 components
» axial stress
» bending stress due to moment
– expect the maximum normal stress to be at the
top or bottom of the cross section
– transverse shear is usually the average
transverse load/area
» does not take into account any variation across the
section
3-d beams
– normal stress is combination of axial stress,
flexural stress from local y- and z- moments
– stress due to moment is linear across a section,
the combination is usually highest at the
extreme corners of the cross section
– may also have to include the effects of torsion
» get a 2-d stress state which must be evaluated
– also need to check for column buckling

2d beam element with combined loading bending axial and torsion

  • 1.
  • 2.
     beam theorycan be used to solve simple beams complex beams with many cross section changes are solvable but lengthy many 2-d and 3-d frame structures are better modeled by beam theory
  • 3.
    One Dimensional Problems px StretchContract u(x) v(x) kx+ P(x=l)=0 du dx kx + P(x)=0 d4v dx4 Variable can be scalar field like temperature, or vector field like displacement. For dynamic loading, the variable can be time dependent The geometry of the problem is three dimensional, but the variation of variable is one dimensional
  • 4.
    Element Formulation – assumethe displacement w is a cubic polynomial in L = Length I = Moment of Inertia of the cross sectional area E = Modulus of Elsaticity v = v(x) deflection of the neutral axis θ= dv/dx slope of the elastic curve (rotation of the section F = F(x) = shear force M= M(x) = Bending moment about Z-axis a1, a2, a3, a4 are the undetermined coefficients 2 3 1 2 3 4v(x) a a x a x a x= + + +
  • 5.
    ` 1 1 x 0 22 x L dv x 0, v(0) v ; dx dv x L, v(L) v ; dx = = = = = θ = = = θ { } { } 1 1 2 22 3 2 3 3 4 4 a a a a v(x) 1 x x x ; (x) 0 1 2x 3x a a a a             θ=               i 1 i 2 2 3 j 3 2 j 4 v 1 0 0 0 a 0 1 0 0 a v a1 L L L a0 1 2L 3L          θ     =              θ    
  • 6.
     Applying theseboundary conditions, we get Substituting coefficients ai back into the original equation for v(x) and rearranging terms gives 1 1 1 2 1 3 1 1 2 22 {d} [P(x)]{a} {a} [P(x)] {d} a v ; a 1 a ( 3v 2L 3v L ) L − = = = = θ = − − θ + − θ { } 1 22 3 3 4 a a v(x) 1 x x x a a       =       
  • 7.
     The interpolationfunction or shape function is given by 2 3 2 3 1 12 3 2 2 3 2 3 2 22 3 2 3x 2x 2x x v(x) (1 )v (x ) L L L L 3x 2x x x ( )v ( ) L L L L = − + + − + θ + − + − + θ [ ] 1 1 1 2 3 4 2 2 v L v N (x) N (x) N (x) N (x) [N]{d} v L    θ  =     θ 
  • 8.
    strain for abeam in bending is defined by the curvature, so  Hence 2 2 2 2 du d v d [N] y {d} y[B]{d} dx dx dx ε= = = = { } { } { } [ ]{ } { } [ ]{ } { } [ ] { } { } [ ] [ ][ ]{ } e e e T e v Te v T Te 2 v Internal virtual energy U = dv substitute E in above eqn. U = E dv = y B d U = d B E B d y dv δ δ ε σ σ= ε δ δ ε ε δ ε δ δ δ ∫ ∫ ∫ 3 2 3 2 2 3 3 2 12x 6 6x 4 6 12x 6x 2 [B] L L L L L L L h   = − − − −  
  • 9.
    { } [] [ ][ ] { } { } [ ] { } [ ] { } { } { } { } [ ] [ ][ ] { } [ ] { } [ ] { } { } e eFrom virtual work principle U W T TT T T2 ed ( B E B y dv d d N b dv N p dv P y y e e sv v eK U F e e where T 2K B D B y dv Element stiffness matrix e ev T T eF N b dv N p ds P Total nodal force vector e y y e sv δ =δ    δ =δ + +∫ ∫ ∫      ⇒ =     =∫  + +=∫ ∫ { } { } { } [ ] { } { } { } { } [ ] { } { } { } { } e e T T Te b y v v T T Te s y s s TTe e e c External virtual workdue to body force w = d(x) b dv d N b dv External virtual work due to surface force w = d(x) p dv d N p ds External virtual work due to nodal forces w d P , P δ δ =δ δ δ =δ δ =δ ∫ ∫ ∫ ∫ { }yi i yj= P , M ,P ,....
  • 10.
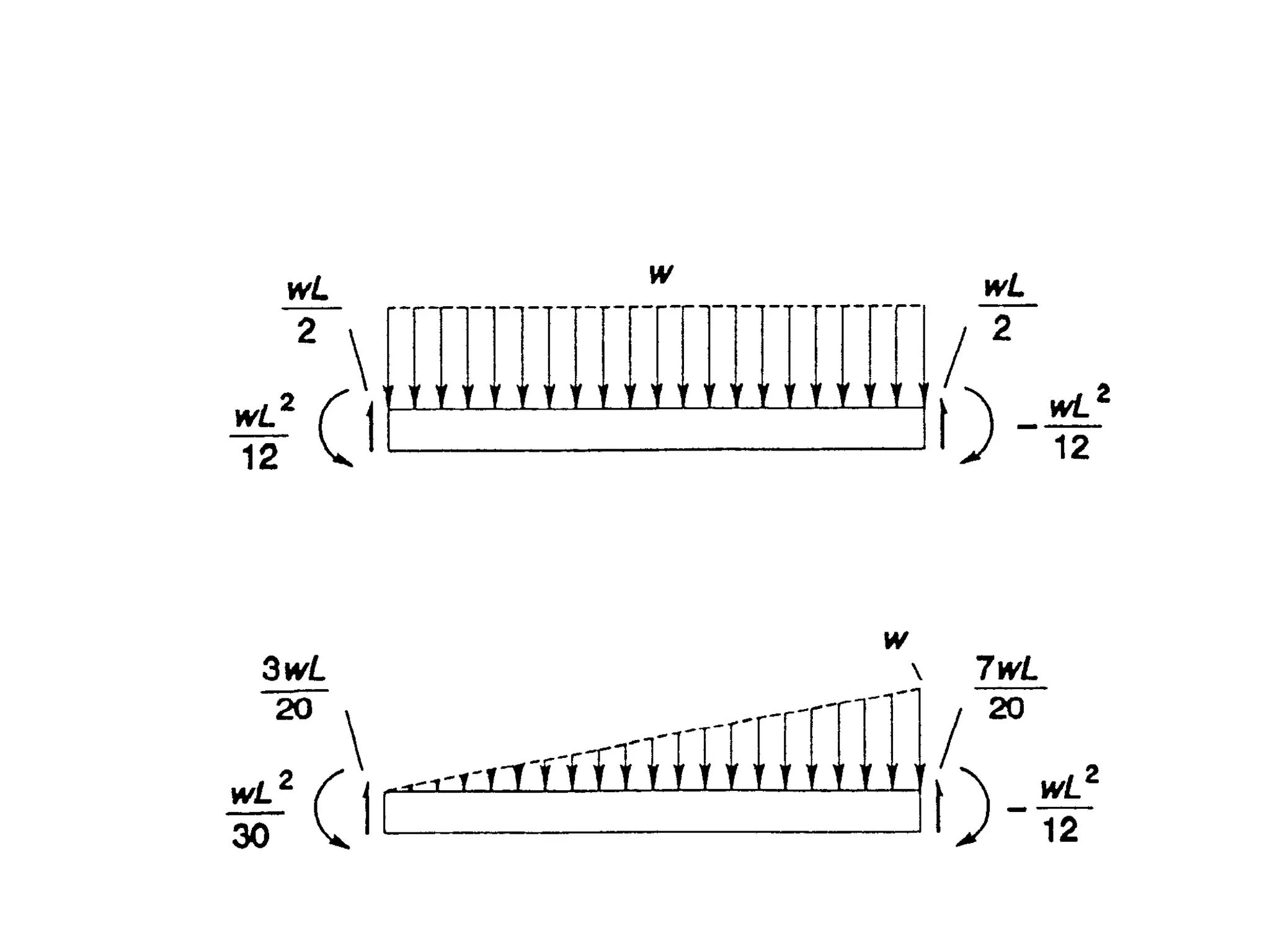
    the stiffness matrix[k] is defined To compute equivalent nodal force vector for the loading shown { } [ ] { } [ ] T e y s y y 2 3 2 3 2 3 2 3 2 3 2 2 3 2 F N p ds From similar triangles p w w ; p x; ds = 1 dx x L L 3x 2x 2x x 3x 2x x x N (1 ) (x ) ( ) ( ) L L L L L L L L = = = ⋅   = − + − + − − +    ∫ w x py L ( ) L T 2 T V A 0 2 2 3 2 2 [k] [B] E[B]dV dAy E [B] [B]dx 12 6L 12 6L 6L 4L 6L 2LEI 12 6L 12 6LL 6L 2L 6L 4L = = −   −  = − − −    −  ∫ ∫ ∫
  • 11.
    { } [] { } { } T e y s 2 3 2 3 22 3 2 e 2 3 L 2 3 22 3 2 F N p ds 3wL3x 2x (1 ) 20L L wL2x x (x ) wx 30L L F dx 7wLL3x 2x ( ) 20L L wLx x ( ) 20L L =     −− +           −− +        −=         −−            − +       ∫ ∫ +ve directions vi vj qi qj w Equivalent nodal force due to Uniformly distributed load w
  • 12.
  • 19.
    Member end forces 1 1 2 2 1 1 2 2 Forelement 1 V 12 18 -12 18 0 70 M 18 36 -18 18 0 70 1555.6 V -12 -18 12 -18 0 70 18 18 -18 36 0.00249 139.6M V M V M −              −      =                   − −            =       12 18 -12 18 0 46.53 18 36 -18 18 0.00249 139.6 1555.6 -12 -18 12 -18 0.01744 46.53 18 18 -18 36 0.007475 0 −          −     =    −           −     70 70 70 139.6 46.53 46.53 139.6 0
  • 21.
    v1 v2 v3 θ1θ2 θ3 v1 θ1 v2 θ2 v2 θ2 v3 θ3
  • 22.
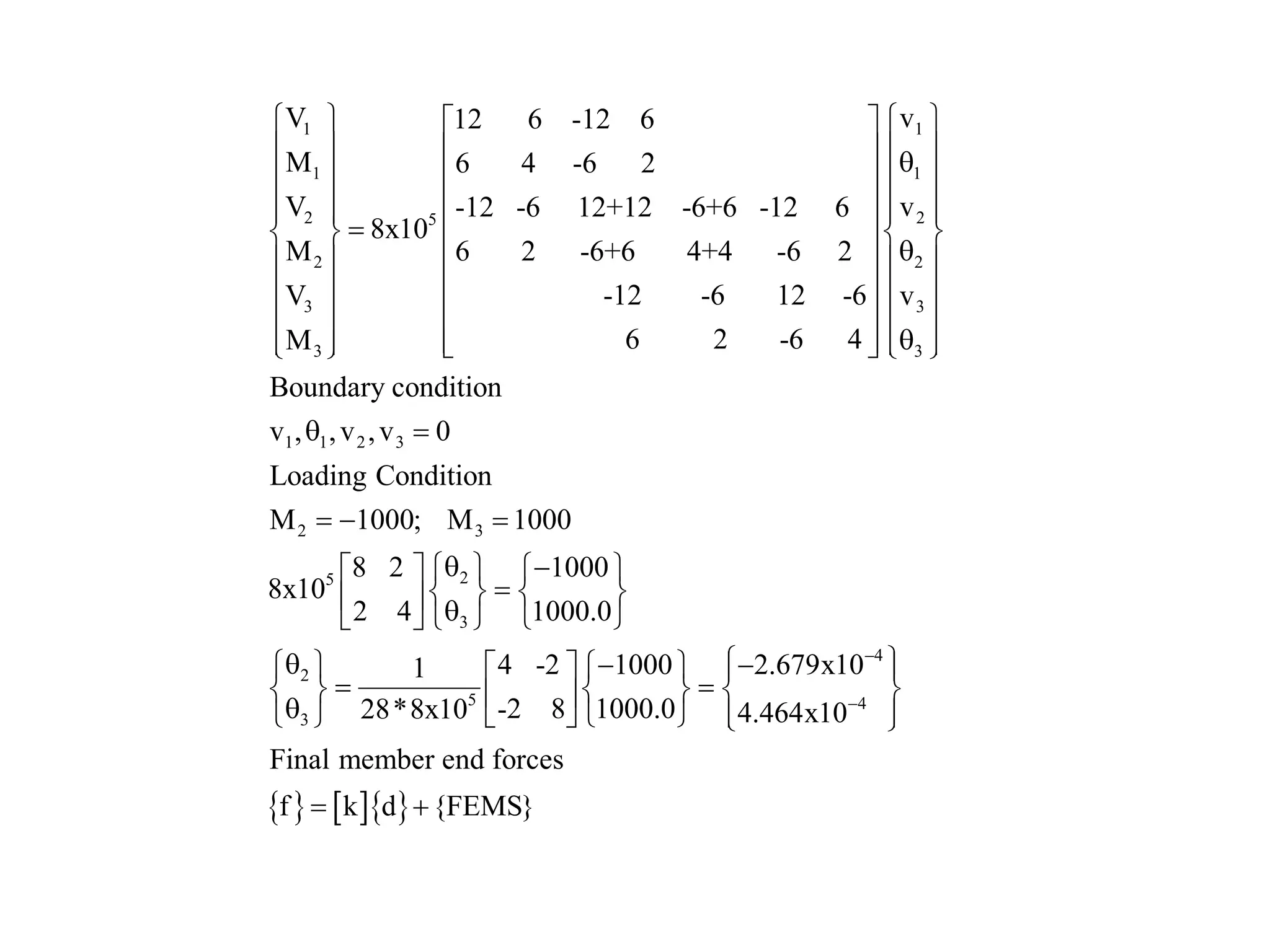
    1 1 2 5 2 3 3 V 126 -12 6 M 6 4 -6 2 V -12 -6 12+12 -6+6 -12 6 8x10 M 6 2 -6+6 4+4 -6 2 -12 -6V M          =           1 1 2 2 3 3 1 1 2 3 2 3 5 v v 12 -6 v 6 2 -6 4 Boundary condition v , ,v ,v 0 Loading Condition M 1000; M 1000 8 2 8x10 2       θ            θ         θ       θ = =− = { } [ ]{ } 2 3 4 2 5 4 3 1000 4 1000.0 4 -2 1000 2.679x101 -2 8 1000.028*8x10 4.464x10 Final member end forces f k d {FEMS} − − θ −     =     θ       θ − −       = =      θ         = +
  • 23.
    1 1 5 2 4 2 For element1 0V 0 12 6 -12 6 1285.92 0M 0 6 4 -6 2 428.64 8X10 0V 0 -12 -6 12 -6 1285.92 0 6 2 -6 4 857.28M 2.679x10− −              −       =+ =                     −−       1 4 1 5 2 4 2 0V 6000 12 6 -12 6 6856.8 M 1000 6 4 -6 2 2.679x10 856.96 8X10 V 6000 -12 -6 12 -6 0 51 1000 6 2 -6 4M 4.464x10 − −                        −      =+ =                   −       43.2 0              1285.92 428.64 1285.92 857.28 6856.8 5143.2 856.96 0
  • 24.
    Find slope atjoint 2 and deflection at joint 3. Also find member end forces 1 1 20 KN 20kN/m 10kN 10kN 10kN- m 10kN- m 60kN- m 60kN- m 60kN 60kN v1 q1 q2 q3 v2 v3 EI EI 20 KN 20kN/m Guided Support 2m 2m 6m EI=2 x 104kN-m2 10kN- m 10kN 70kN 50kN- m 60kN- m 60kN 2 2 3 Global coordinates Fixed end reactions (FERs) Action/loads at global coordinates
  • 25.
    1 1 4 1 1 3 22 2 2 1 1 2 2 For element 1 f v12 24 -12 24 m 24 64 -24 321X10 f -12 -24 12 -24 v4 24 32 -24 64m v v For el           θ    =             θ     θ θ 1 1 4 1 1 3 2 2 2 2 2 2 3 3 ement 2 f v12 36 -12 36 m 36 144 -36 721X10 f -12 -36 12 -36 v6 36 72 -36 144m v v           θ    =             θ     θ θ
  • 26.
    7/15/2016 26 1 1 2 2 3 3 F 18753750 -1875 3750 M 3750 10000 -3750 5000 F -1875 -3750 1875+555.56 -3750+1666.67 -555.56 1666.67 M F M          =           3750 5000 -3750+1666.67 10000+6666.67 -1666.67 3333.33 -555.56 -1666.67 555.56 -1666.67 1666.67 1 1 2 2 3 3 1 1 2 3 2 3 v v v 3333.332 -1666.67 6666.67 Boundary condition v , ,v , 0 Loading Condition M 50; F 60 16666.67 -1666.67 -1666.67 555.56       θ            θ         θ       θ θ = =− =−       { } [ ]{ } 2 3 2 3 50 v 60 555.56 1666.67 50 0.0197141 v 1666.67 16666.67 60 0.167146481481.5 Final member end forces f k d {FEMS} θ −    =    −   θ − −       =       − −      = +
  • 27.
    1 4 1 3 2 2 For element 1 f10 12 24 -12 24 0 63.93 m 10 24 64 -24 32 0 88.571X10 f 10 -12 -24 12 -24 0 83.934 10 24 32 -24 64 0.019714 207.1m −              −      =+ =                   − − −      1 4 1 3 2 2 4 For element 2 f 60 12 36 -12 36 0 m 60 36 144 -36 72 0.0197141X10 f 60 -12 -36 12 -36 0.167146 60 36 72 -36 144 0m                           −     = +      −           −     120 207.14 0 152.85         =          
  • 29.
    { } []{ } If f ' member end forces in local coordinates then f' k' q'= 3 3 3 3 3 3 3 3 3 3 3 3 3 3 3 3 AE AE 0 0 0 0 L L 12EI 6EI 12EI 6EI 0 0 L L L L 6EI 4EI 6EI 2EI 0 0 L L L L[k] AE AE 0 0 0 0 L L 12EI 6EI 12EI 6EI 0 0 L L L L 6EI 2EI 6EI 4EI 0 0 L L L L   −     −      −  =   −      − − −     −   
  • 30.
    ' 1 1 2 ' 21 2 ' 3 3 At node i q q cos q sin q q sin q cos q q l cos ; m sin = θ + θ = − θ + θ = = θ = θ { } 1 2 3 4 5 6q {q ,q ,q ,q ,q ,q } are forces in global coordinate direction =
  • 31.
    { } {} [ ] [ ] [ ][ ]T using conditions q' [L]{q}; and f' [L]{f} Stiffness matrix for an arbitrarily oriented beam element is given by k L k' L = = =
  • 32.
    a a’ q f =GJ/l qxi’ fi qxj’ fj Grid Elements xi i xj j JG JG q fL L q fJG JG L L   −      =          −   
  • 34.
    { } []{ } If f ' member end forces in local coordinates then f' k' q'= 3 3 3 3 3 3 3 3 3 3 3 3 3 3 3 3 GJ GJ 0 0 0 0 L L 12EI 6EI 12EI 6EI 0 0 L L L L 6EI 4EI 6EI 2EI 0 0 L L L L GJ GJ 0 0 0 0 L L 12EI 6EI 12EI 6EI 0 0 L L L L 6EI 2EI 6EI 4EI 0 0 L L L L   −     −      −     −      − − −     −   
  • 35.
    [ ] C 0-s 0 0 0 0 1 0 0 0 0 -s 0 c 0 0 0 L 0 0 0 c 0 -s 0 0 0 0 1 0 0 0 0 --s 0 c      =      [ ] [ ] [ ][ ]T k L k' L         = 
  • 36.
    Beam element for3D analysis
  • 40.
    if axial loadis tensile, results from beam elements are higher than actual ⇒ results are conservative if axial load is compressive, results are less than actual – size of error is small until load is about 25% of Euler buckling load
  • 41.
    for 2-d, canuse rotation matrices to get stiffness matrix for beams in any orientation to develop 3-d beam elements, must also add capability for torsional loads about the axis of the element, and flexural loading in x-z plane
  • 42.
    to derive the3-d beam element, set up the beam with the x axis along its length, and y and z axes as lateral directions torsion behavior is added by superposition of simple strength of materials solution JG L JG L JG L JG L T T xi xj i j − −                 =       φ φ
  • 43.
    J = torsionalmoment about x axis G = shear modulus L = length φxi, φxj are nodal degrees of freedom of angle of twist at each end Ti, Tj are torques about the x axis at each end
  • 44.
    flexure in x-zplane adds another stiffness matrix like the first one derived superposition of all these matrices gives a 12 × 12 stiffness matrix to orient a beam element in 3-d, use 3-d rotation matrices
  • 45.
    for beams longcompared to their cross section, displacement is almost all due to flexure of beam for short beams there is an additional lateral displacement due to transverse shear some FE programs take this into account, but you then need to input a shear deformation constant (value associated with geometry of cross section)
  • 46.
    limitations: – same assumptionsas in conventional beam and torsion theories ⇒no better than beam analysis – axial load capability allows frame analysis, but formulation does not couple axial and lateral loading which are coupled nonlinearly
  • 47.
    – analysis doesnot account for » stress concentration at cross section changes » where point loads are applied » where the beam frame components are connected
  • 48.
    Finite Element Model Elementformulation exact for beam spans with no intermediate loads – need only 1 element to model any such member that has constant cross section for distributed load, subdivide into several elements need a node everywhere a point load is applied
  • 49.
    need nodes whereframe members connect, where they change direction, or where the cross section properties change for each member at a common node, all have the same linear and rotational displacement boundary conditions can be restraints on linear displacements or rotation
  • 50.
    simple supports restrainonly linear displacements built in supports restrain rotation also
  • 52.
    – restrain verticaland horizontal displacements of nodes 1 and 3 – no restraint on rotation of nodes 1 and 3 – need a restraint in x direction to prevent rigid body motion, even if all forces are in y direction
  • 53.
     cantilever beam –has x and y linear displacements and rotation of node 1 fixed
  • 54.
    point loads areidealized loads – structure away from area of application behaves as though point loads are applied
  • 55.
    only an exactformulation when there are no loads along the span – for distributed loads, can get exact solution everywhere else by replacing the distributed load by equivalent loads and moments at the nodes
  • 57.
    Computer Input Assistance preprocessorwill usually have the same capabilities as for trusses a beam element consists of two node numbers and associated material and physical properties
  • 58.
    material properties: – modulusof elasticity – if dynamic or thermal analysis, mass density and thermal coefficient of expansion physical properties: – cross sectional area – 2 area moments of inertia – torsion constant – location of stress calculation point
  • 59.
    boundary conditions: – specifynode numbers and displacement components that are restrained loads: – specify by node number and load components – most commercial FE programs allows application of distributed loads but they use and equivalent load/moment set internally
  • 60.
    Analysis Step small modelsand carefully planned element and node numbering will save you from bandwidth or wavefront minimization potential for ill conditioned stiffness matrix due to axial stiffness >> flexural stiffness (case of long slender beams)
  • 61.
    Output Processing andEvaluation graphical output of deformed shape usually uses only straight lines to represent members you do not see the effect of rotational constraints on the deformed shape of each member to check these, subdivide each member and redo the analysis
  • 62.
     most FEcodes do not make graphical presentations of beam stress results – user must calculate some of these from the stress values returned  for 2-d beams, you get a normal stress normal to the cross section and a transverse shear acting on the face of the cross section – normal stress has 2 components » axial stress » bending stress due to moment
  • 63.
    – expect themaximum normal stress to be at the top or bottom of the cross section – transverse shear is usually the average transverse load/area » does not take into account any variation across the section
  • 64.
    3-d beams – normalstress is combination of axial stress, flexural stress from local y- and z- moments – stress due to moment is linear across a section, the combination is usually highest at the extreme corners of the cross section – may also have to include the effects of torsion » get a 2-d stress state which must be evaluated – also need to check for column buckling