Peter M. Lance, PhD
MEASURE Evaluation
University of North Carolina at
Chapel Hill
September 13 and 15, 2016
Selection on Observables
Global, five-year, $180M cooperative agreement
Strategic objective:
To strengthen health information systems – the
capacity to gather, interpret, and use data – so
countries can make better decisions and sustain good
health outcomes over time.
Project overview
Improved country capacity to manage health
information systems, resources, and staff
Strengthened collection, analysis, and use of
routine health data
Methods, tools, and approaches improved and
applied to address health information challenges
and gaps
Increased capacity for rigorous evaluation
Phase IV Results Framework
Global footprint (more than 25 countries)
• The program impact evaluation challenge
• Randomization
• Selection on observables
• Within estimators
• Instrumental variables
• The program impact evaluation challenge
• Randomization
• Selection on observables
• Within estimators
• Instrumental variables
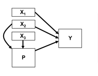
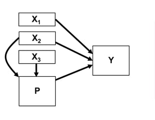
X
Y
P
X
Y
P
𝑌 = 𝑃 ∙ 𝑌1
+ 1 − 𝑃 ∙ 𝑌0
X
Y
P
X
Y
P
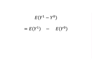
𝐸 𝑌1
− 𝑌0
= 𝐸 𝑌1 − 𝐸 𝑌0
Average Y
across sample
of participants
−
Average Y
across sample
of non−participants
𝐸 𝑌1
− 𝑌0
= 𝐸 𝑌1
− 𝐸 𝑌0
Average Y
across sample
of participants
−
Average Y
across sample
of non−participants
𝐸 𝑌1
− 𝑌0
= 𝐸 𝑌1
− 𝐸 𝑌0
Average Y
across sample
of participants
−
Average Y
across sample
of non−participants
𝐸 𝑌1
− 𝑌0
= 𝐸 𝑌1
− 𝐸 𝑌0
Average Y
across sample
of participants
−
Average Y
across sample
of non−participants
𝐸 𝑌1
− 𝑌0
= 𝐸 𝑌1
− 𝐸 𝑌0
Average Y
across sample
of participants
−
Average Y
across sample
of non−participants
𝐸 𝑌1
− 𝑌0
= 𝐸 𝑌1
− 𝐸 𝑌0
Average Y
across sample
of participants
−
Average Y
across sample
of non−participants
𝐸 𝑌1
− 𝑌0
= 𝐸 𝑌1
− 𝐸 𝑌0
Average Y
across sample
of participants
−
Average Y
across sample
of non−participants
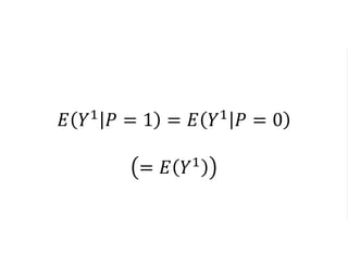
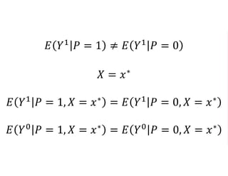
𝐸 𝑌1 𝑃 = 1 = 𝐸 𝑌1 𝑃 = 0
= 𝐸 𝑌1
X
Y
P
𝐸 𝑋 𝑃 = 1 ≠ 𝐸 𝑋 𝑃 = 0
X
Y
P
X
Y
P
𝐸 𝑋 𝑃 = 1 ≠ 𝐸 𝑋 𝑃 = 0
𝐸 𝑋 𝑃 = 1 ≠ 𝐸 𝑋 𝑃 = 0
𝐸 𝑌1 𝑃 = 1 ≠ 𝐸 𝑌1 𝑃 = 0
𝐸 𝑋 𝑃 = 1 ≠ 𝐸 𝑋 𝑃 = 0
𝐸 𝑌0 𝑃 = 1 ≠ 𝐸 𝑌0 𝑃 = 0
𝐸 𝑌1
− 𝑌0
= 𝐸 𝑌1
− 𝐸 𝑌0
Average Y
across sample
of participants
−
Average Y
across sample
of non−participants
𝐸 𝑌1
𝑃 = 1 ≠ 𝐸 𝑌1
𝑃 = 0
𝑋 = 𝑥∗
𝐸 𝑌1
𝑃 = 1, 𝑋 = 𝑥∗
= 𝐸 𝑌1
𝑃 = 0, 𝑋 = 𝑥∗
𝐸 𝑌0
𝑃 = 1, 𝑋 = 𝑥∗
= 𝐸 𝑌0
𝑃 = 0, 𝑋 = 𝑥∗
𝐸 𝑌1
𝑃 = 1 ≠ 𝐸 𝑌1
𝑃 = 0
𝑋 = 𝑥∗
𝐸 𝑌1
𝑃 = 1, 𝑋 = 𝑥∗
= 𝐸 𝑌1
𝑃 = 0, 𝑋 = 𝑥∗
𝐸 𝑌0
𝑃 = 1, 𝑋 = 𝑥∗
= 𝐸 𝑌0
𝑃 = 0, 𝑋 = 𝑥∗
X
Y
P
𝐸 𝑌1
𝑃 = 1 ≠ 𝐸 𝑌1
𝑃 = 0
𝑋 = 𝑥∗
𝐸 𝑌1
𝑃 = 1, 𝑋 = 𝑥∗
= 𝐸 𝑌1
𝑃 = 0, 𝑋 = 𝑥∗
𝐸 𝑌0
𝑃 = 1, 𝑋 = 𝑥∗
= 𝐸 𝑌0
𝑃 = 0, 𝑋 = 𝑥∗
𝐸 𝑌1
𝑃 = 1 ≠ 𝐸 𝑌1
𝑃 = 0
𝑋 = 𝑥∗
𝐸 𝑌1
𝑃 = 1, 𝑋 = 𝑥∗
= 𝐸 𝑌1
𝑃 = 0, 𝑋 = 𝑥∗
𝐸 𝑌0
𝑃 = 1, 𝑋 = 𝑥∗
= 𝐸 𝑌0
𝑃 = 0, 𝑋 = 𝑥∗
𝐸 𝑌1
𝑃 = 1 ≠ 𝐸 𝑌1
𝑃 = 0
𝑋 = 𝑥∗
𝐸 𝑌1
𝑃 = 1, 𝑋 = 𝑥∗
= 𝐸 𝑌1
𝑃 = 0, 𝑋 = 𝑥∗
𝐸 𝑌0
𝑃 = 1, 𝑋 = 𝑥∗
= 𝐸 𝑌0
𝑃 = 0, 𝑋 = 𝑥∗
𝐸 𝑌1
− 𝑌0
= 𝐸 𝑌1
− 𝐸 𝑌0
Average Y
across sample
of participants
−
Average Y
across sample
of non−participants
𝐸 𝑌1
− 𝑌0
|𝑋 = 𝑥∗
= 𝐸 𝑌1
|𝑋 = 𝑥∗
− 𝐸 𝑌0
|𝑋 = 𝑥∗
Average Y
across sample
of participants
for whom
𝑋 = 𝑥∗
−
Average Y
across sample
of participants
of non−participants
𝑋 = 𝑥∗
𝐸 𝑌1
− 𝑌0
= 𝐸 𝑌1 − 𝐸 𝑌0
Population Participation Rate
Poor .4 .7
Middle .5 .3
Rich .1 .1
𝐸 𝑌1
− 𝑌0
= 𝐸 𝑌1 − 𝐸 𝑌0
Population Participation
Rate
Poor .4 .7
Middle .5 .3
Rich .1 .1
𝐸 𝑌1
− 𝑌0
= 𝐸 𝑌1 − 𝐸 𝑌0
Population Participation
Rate
Poor .4 .7
Middle .5 .3
Rich .1 .1
𝐸 𝑌1
− 𝑌0
= 𝐸 𝑌1 − 𝐸 𝑌0
Participants
(𝑷 = 𝟏)
Non-
participants
(𝑷 = 𝟎)
Poor .64 .21
Middle .34 .63
Rich .02 .16
𝐸 𝑌1
− 𝑌0
= 𝐸 𝑌1 − 𝐸 𝑌0
Participants
(𝑷 = 𝟏)
Non-
participants
(𝑷 = 𝟎)
Poor .64 .21
Middle .34 .63
Rich .02 .16
𝐸 𝑌1
− 𝑌0
= 𝐸 𝑌1 − 𝐸 𝑌0
Participants
(𝑷 = 𝟏)
Non-
participants
(𝑷 = 𝟎)
Poor .64 .21
Middle .34 .63
Rich .02 .16
𝐸 𝑌1
− 𝑌0
= 𝐸 𝑌1 − 𝐸 𝑌0
Participants
(𝑷 = 𝟏) Weight
Poor .64 .63
Middle .34 1.47
Rich .02 4.4
𝐸 𝑌1
− 𝑌0
= 𝐸 𝑌1 − 𝐸 𝑌0
Participants
(𝑷 = 𝟏) Weight
Poor .64 .63
Middle .34 1.47
Rich .02 4.4
𝐸 𝑌1
− 𝑌0
= 𝐸 𝑌1 − 𝐸 𝑌0
Participants
(𝑷 = 𝟏) Weight
Poor .64 .63
Middle .34 1.47
Rich .02 4.4
𝐸 𝑌1
− 𝑌0
= 𝐸 𝑌1 − 𝐸 𝑌0
Participants
(𝑷 = 𝟏) Weight
Poor .64 .63
Middle .34 1.47
Rich .02 4.5
𝐸 𝑌1
− 𝑌0
= 𝐸 𝑌1
− 𝐸 𝑌0
Average of Y
across a sample
of participants
=
𝑖=1
𝑛 𝑃
𝑤𝑖 ∗ 𝑌𝑖
𝑛 𝑃
𝒘𝒊=.63 if individual i is poor
𝒘𝒊=1.47 if individual i is middle class
𝒘𝒊=4.4 if individual i is rich
𝐸 𝑌1
− 𝑌0
= 𝐸 𝑌1
− 𝐸 𝑌0
Average of Y
across a sample
of participants
=
𝑖=1
𝑛 𝑃
𝑌𝑖
𝑛 𝑃
𝒘𝒊=.63 if individual i is poor
𝒘𝒊=1.47 if individual i is middle class
𝒘𝒊=4.4 if individual i is rich
𝐸 𝑌1
− 𝑌0
= 𝐸 𝑌1
− 𝐸 𝑌0
Average of Y
across a sample
of participants
=
𝑖=1
𝑛 𝑃
𝑤𝑖 ∙ 𝑌𝑖
𝑖=1
𝑛 𝑃
𝑤𝑖
𝒘𝒊=.63 if individual i is poor
𝒘𝒊=1.47 if individual i is middle class
𝒘𝒊=4.4 if individual i is rich
𝐸 𝑌1
− 𝑌0
= 𝐸 𝑌1
− 𝐸 𝑌0
Average of Y
across a sample
of participants
=
𝑖=1
𝑛 𝑃
𝒘𝒊 ∙ 𝑌𝑖
𝑖=1
𝑛 𝑃
𝑤𝑖
𝒘𝒊=.63 if individual i is poor
𝒘𝒊=1.47 if individual i is middle class
𝒘𝒊=4.4 if individual i is rich
𝐸 𝑌1
− 𝑌0
= 𝐸 𝑌1 − 𝐸 𝑌0
Participants
(𝑷 = 𝟏) Weight
Poor .64 .63
Middle .34 1.47
Rich .02 4.5
𝐸 𝑌1
− 𝑌0
= 𝐸 𝑌1
− 𝐸 𝑌0
Average of Y
across a sample
of participants
=
𝑖=1
𝑛 𝑃
𝑤𝑖 ∙ 𝑌𝑖
𝑖=1
𝑛 𝑃
𝑤𝑖
𝒘𝒊=.63 if individual i is poor
𝒘𝒊=1.47 if individual i is middle
class
𝒘𝒊=4.5 if individual i is rich
𝐸 𝑌1
− 𝑌0
= 𝐸 𝑌1
− 𝐸 𝑌0
. 4 ∗
Average Y
across sample
of participants
who are poor
+ .5 ∗
Average Y
across sample
of non−participants
who are middle class
+.1 ∗
Average Y
across sample
of participants
who are rich
𝐸 𝑌1
− 𝑌0
= 𝐸 𝑌1
− 𝐸 𝑌0
Average of Y
across a sample
of participants
=
𝑖=1
𝑛 𝑃
𝑤𝑖 ∙ 𝑌𝑖
𝑖=1
𝑛 𝑃
𝑤𝑖
𝒘𝒊=.63 if individual i is poor
𝒘𝒊=1.47 if individual i is middle
class
𝒘𝒊=4.5 if individual i is rich
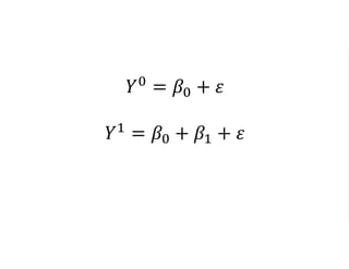
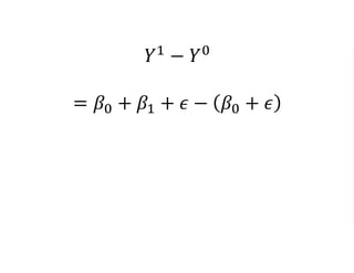
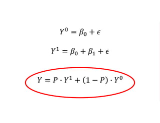
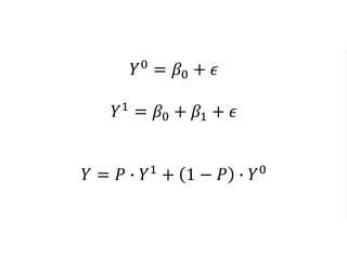
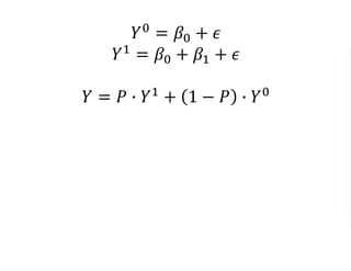
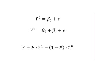
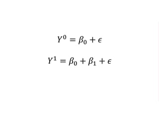
𝑌0 = 𝛽0 + 𝜖
𝑌1
= 𝛽0 + 𝛽1 + 𝜖
𝑌1 − 𝑌0
= 𝛽0 + 𝛽1 + 𝜖 − 𝛽0 + 𝜖
= 𝛽0 + 𝛽1 + 𝜖 − 𝛽0 − 𝜖
= 𝛽1
𝑌1 − 𝑌0
= 𝛽0 + 𝛽1 + 𝜖 − 𝛽0 + 𝜖
= 𝛽0 + 𝛽1 + 𝜖 − 𝛽0 − 𝜖
= 𝛽1
𝑌1 − 𝑌0
= 𝛽0 + 𝛽1 + 𝜖 − 𝛽0 + 𝜖
= 𝛽0 + 𝛽1 + 𝜖 − 𝛽0 − 𝜖
= 𝛽1
𝑌1 − 𝑌0
= 𝛽0 + 𝛽1 + 𝜖 − 𝛽0 + 𝜖
= 𝛽0 + 𝛽1 + 𝜖 − 𝛽0 − 𝜖
= 𝛽1
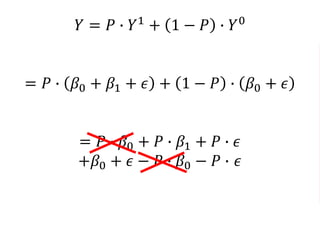
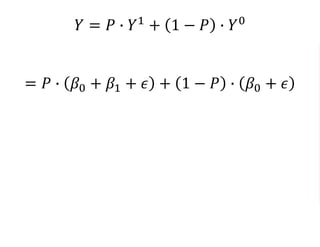
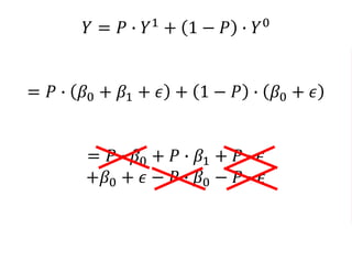
𝑌 = 𝑃 ∙ 𝑌1
+ 1 − 𝑃 ∙ 𝑌0
= 𝑃 ∗ 𝛽0 + 𝛽1 + 𝜖 + 1 − 𝑃 ∗ 𝛽0 + 𝜖
= 𝑃 ∗ 𝛽0 + 𝑃 ∗ 𝛽1 + 𝑃 ∗ 𝜖
+𝛽0 + 𝜖 − 𝑃 ∗ 𝛽0 − 𝑃 ∗ 𝜖
= 𝛽0 + 𝑃 ∗ 𝛽1 + 𝜖
𝑌 = 𝑃 ∙ 𝑌1
+ 1 − 𝑃 ∙ 𝑌0
= 𝑃 ∙ 𝛽0 + 𝛽1 + 𝜖 + 1 − 𝑃 ∙ 𝛽0 + 𝜖
= 𝑃 ∗ 𝛽0 + 𝑃 ∗ 𝛽1 + 𝑃 ∗ 𝜖
+𝛽0 + 𝜖 − 𝑃 ∗ 𝛽0 − 𝑃 ∗ 𝜖
= 𝛽0 + 𝑃 ∗ 𝛽1 + 𝜖
𝑌 = 𝑃 ∙ 𝑌1
+ 1 − 𝑃 ∙ 𝑌0
= 𝑃 ∙ 𝛽0 + 𝛽1 + 𝜖 + 1 − 𝑃 ∙ 𝛽0 + 𝜖
= 𝑃 ∙ 𝛽0 + 𝑃 ∙ 𝛽1 + 𝑃 ∙ 𝜖
+𝛽0 + 𝜖 − 𝑃 ∙ 𝛽0 − 𝑃 ∙ 𝜖
= 𝛽0 + 𝑃 ∗ 𝛽1 + 𝜖
𝑌 = 𝑃 ∙ 𝑌1
+ 1 − 𝑃 ∙ 𝑌0
= 𝑃 ∙ 𝛽0 + 𝛽1 + 𝜖 + 1 − 𝑃 ∙ 𝛽0 + 𝜖
= 𝑃 ∙ 𝛽0 + 𝑃 ∙ 𝛽1 + 𝑃 ∙ 𝜖
+𝛽0 + 𝜖 − 𝑃 ∙ 𝛽0 − 𝑃 ∙ 𝜖
= 𝛽0 + 𝑃 ∗ 𝛽1 + 𝜖
𝑌 = 𝑃 ∙ 𝑌1
+ 1 − 𝑃 ∙ 𝑌0
= 𝑃 ∙ 𝛽0 + 𝛽1 + 𝜖 + 1 − 𝑃 ∙ 𝛽0 + 𝜖
= 𝑃 ∙ 𝛽0 + 𝑃 ∙ 𝛽1 + 𝑃 ∙ 𝜖
+𝛽0 + 𝜖 − 𝑃 ∙ 𝛽0 − 𝑃 ∙ 𝜖
= 𝛽0 + 𝑃 ∗ 𝛽1 + 𝜖
𝑌 = 𝑃 ∙ 𝑌1
+ 1 − 𝑃 ∙ 𝑌0
= 𝑃 ∙ 𝛽0 + 𝛽1 + 𝜖 + 1 − 𝑃 ∙ 𝛽0 + 𝜖
= 𝑃 ∙ 𝛽0 + 𝑃 ∙ 𝛽1 + 𝑃 ∙ 𝜖
+𝛽0 + 𝜖 − 𝑃 ∙ 𝛽0 − 𝑃 ∙ 𝜖
= 𝛽0 + 𝑃 ∙ 𝛽1 + 𝜖
𝑌 = 𝛽0 + 𝑃 ∙ 𝛽1 + 𝜖
𝑌 = 𝛽0 + 𝛽1 ∙ 𝑃 + 𝜖
𝑌0
= 𝛽0 + 𝜖
𝑌1
= 𝛽0 + 𝛽1 + 𝜖
𝑌 = 𝑃 ∙ 𝑌1
+ 1 − 𝑃 ∙ 𝑌0
𝑌0
= 𝛽0 + 𝜖
𝑌1
= 𝛽0 + 𝛽1 + 𝜖
𝑌 = 𝑃 ∙ 𝑌1
+ 1 − 𝑃 ∙ 𝑌0
𝑌0
= 𝛽0 + 𝜖
𝑌1
= 𝛽0 + 𝛽1 + 𝜖
𝑌 = 𝑃 ∙ 𝑌1
+ 1 − 𝑃 ∙ 𝑌0
𝑌 = 𝛽0 + 𝛽1 ∙ 𝑃 + 𝜖
𝑌0
= 𝛽0 + 𝜖
𝑌1
= 𝛽0 + 𝛽1 + 𝜖
𝑌 = 𝑃 ∙ 𝑌1
+ 1 − 𝑃 ∙ 𝑌0
𝑌 = 𝛽0 + 𝛽1 ∙ 𝑃 + 𝜖
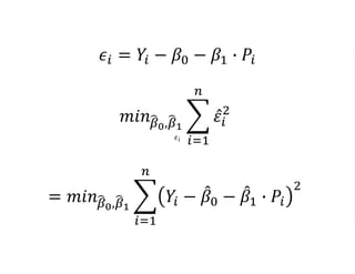
𝑌𝑖 = 𝛽0 + 𝛽1 ∙ 𝑃𝑖 + 𝜖𝑖
𝑖 = 1, … , 𝑛
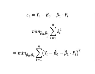
𝜖𝑖 = 𝑌𝑖 − 𝛽0 − 𝛽1 ∙ 𝑃𝑖
𝑚𝑖𝑛 𝛽0, 𝛽1
𝑖=1
𝑛
𝜀𝑖
2
= 𝑚𝑖𝑛 𝛽0, 𝛽1
𝑖=1
𝑛
𝑌𝑖 − 𝛽0 − 𝛽1 ∙ 𝑃𝑖
2
𝜖𝑖
𝑌 = 𝛽0 + 𝛽1 ∙ 𝑃 + 𝜖
𝑌 = 𝛽0 + 𝛽1 ∙ 𝑃 + 𝜖
𝜖𝑖 = 𝑌𝑖 − 𝛽0 − 𝛽1 ∙ 𝑃𝑖
𝑚𝑖𝑛 𝛽0, 𝛽1
𝑖=1
𝑛
𝜀𝑖
2
= 𝑚𝑖𝑛 𝛽0, 𝛽1
𝑖=1
𝑛
𝑌𝑖 − 𝛽0 − 𝛽1 ∙ 𝑃𝑖
2
𝜖𝑖
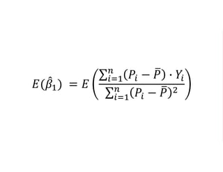
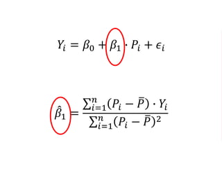
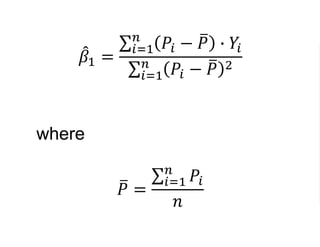
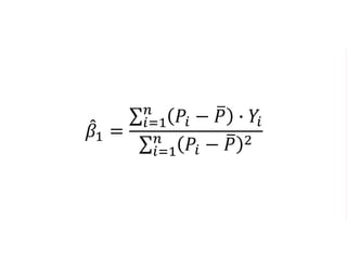
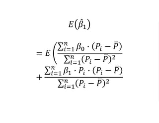
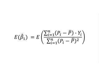
𝛽1 =
𝑖=1
𝑛
𝑃𝑖 − 𝑃 ∙ 𝑌𝑖
𝑖=1
𝑛
𝑃𝑖 − 𝑃 2
where
𝑃 =
𝑖=1
𝑛
𝑃𝑖
𝑛
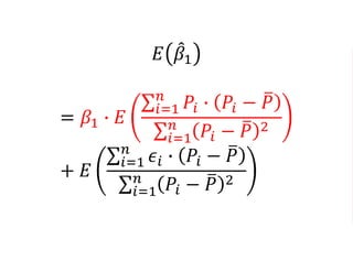
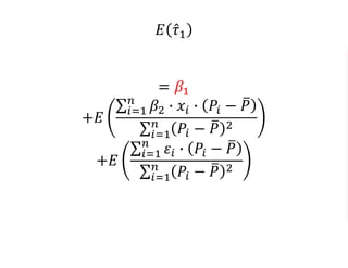
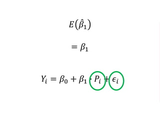
𝐸 𝛽1 = 𝛽1
An expected value for a random variable is the
average value from a large number of repetitions
of the experiment that random variable represents
An expected value is the true average of a random
variable across a population
Expected value
An expected value for a random variable is the
average value from a large number of repetitions
of the experiment that random variable represents
An expected value is the true average of a random
variable across a population
Expected value
An expected value is the true average of a random
variable across a population
𝐸 𝑋 = some true value
Expected value
𝑌 = 𝛽0 + 𝛽1 ∙ 𝑃 + 𝜖
𝐸 𝑐 = 𝑐
𝐸 𝑐 ∙ 𝑊 = 𝑐 ∙ 𝐸 𝑊
𝐸 𝑊 + 𝑍 = 𝐸 𝑊 + 𝐸 𝑍
𝐸 𝑊 − 𝑍 = 𝐸 𝑊 − 𝐸 𝑍
𝐸 𝑎 ∙ 𝑊 ± 𝑏 ∙ 𝑍 = 𝑎 ∙ 𝐸 𝑊 ± 𝑏 ∙ 𝐸 𝑍
Expectations: Properties
𝑬 𝒄 = 𝒄
𝐸 𝑐 ∙ 𝑊 = 𝑐 ∙ 𝐸 𝑊
𝐸 𝑊 + 𝑍 = 𝐸 𝑊 + 𝐸 𝑍
𝐸 𝑊 − 𝑍 = 𝐸 𝑊 − 𝐸 𝑍
𝐸 𝑎 ∙ 𝑊 ± 𝑏 ∙ 𝑍 = 𝑎 ∙ 𝐸 𝑊 ± 𝑏 ∙ 𝐸 𝑍
Expectations: Properties
𝐸 𝑐 = 𝑐
𝑬 𝒄 ∙ 𝑾 = 𝒄 ∙ 𝑬 𝑾
𝐸 𝑊 + 𝑍 = 𝐸 𝑊 + 𝐸 𝑍
𝐸 𝑊 − 𝑍 = 𝐸 𝑊 − 𝐸 𝑍
𝐸 𝑎 ∙ 𝑊 ± 𝑏 ∙ 𝑍 = 𝑎 ∙ 𝐸 𝑊 ± 𝑏 ∙ 𝐸 𝑍
Expectations: Properties
𝐸 𝑐 = 𝑐
𝐸 𝑐 ∙ 𝑊 = 𝑐 ∙ 𝐸 𝑊
𝑬 𝑾 + 𝒁 = 𝑬 𝑾 + 𝑬 𝒁
𝐸 𝑊 − 𝑍 = 𝐸 𝑊 − 𝐸 𝑍
𝐸 𝑎 ∙ 𝑊 ± 𝑏 ∙ 𝑍 = 𝑎 ∙ 𝐸 𝑊 ± 𝑏 ∙ 𝐸 𝑍
Expectations: Properties
𝐸 𝑐 = 𝑐
𝐸 𝑐 ∙ 𝑊 = 𝑐 ∙ 𝐸 𝑊
𝐸 𝑊 + 𝑍 = 𝐸 𝑊 + 𝐸 𝑍
𝑬 𝑾 − 𝒁 = 𝑬 𝑾 − 𝑬 𝒁
𝐸 𝑎 ∙ 𝑊 ± 𝑏 ∙ 𝑍 = 𝑎 ∙ 𝐸 𝑊 ± 𝑏 ∙ 𝐸 𝑍
Expectations: Properties
𝐸 𝑐 = 𝑐
𝐸 𝑐 ∙ 𝑊 = 𝑐 ∙ 𝐸 𝑊
𝐸 𝑊 + 𝑍 = 𝐸 𝑊 + 𝐸 𝑍
𝐸 𝑊 − 𝑍 = 𝐸 𝑊 − 𝐸 𝑍
𝑬 𝒂 ∙ 𝑾 ± 𝒃 ∙ 𝒁 = 𝒂 ∙ 𝑬 𝑾 ± 𝒃 ∙ 𝑬 𝒁
Expectations: Properties
𝐸 𝑊 ∙ 𝑍 ≠ 𝐸 𝑊 ∙ 𝐸 𝑍
𝐸
𝑊
𝑍
≠
𝐸 𝑊
𝐸 𝑍
𝐸 𝑓 𝑊 ≠ 𝑓 𝐸 𝑊
Expectations: Properties
𝑬 𝑾 ∙ 𝒁 ≠ 𝑬 𝑾 ∙ 𝑬 𝒁
𝐸
𝑊
𝑍
≠
𝐸 𝑊
𝐸 𝑍
𝐸 𝑓 𝑊 ≠ 𝑓 𝐸 𝑊
Expectations: Properties
𝐸 𝑊 ∙ 𝑍 ≠ 𝐸 𝑊 ∙ 𝐸 𝑍
𝑬
𝑾
𝒁
≠
𝑬 𝑾
𝑬 𝒁
𝐸 𝑓 𝑊 ≠ 𝑓 𝐸 𝑊
Expectations: Properties
𝐸 𝑊 ∙ 𝑍 ≠ 𝐸 𝑊 ∙ 𝐸 𝑍
𝐸
𝑊
𝑍
≠
𝐸 𝑊
𝐸 𝑍
𝑬 𝒇 𝑾 ≠ 𝒇 𝑬 𝑾
Expectations: Properties
𝑌𝑖 = 𝛽0 + 𝛽1 ∙ 𝑃𝑖 + 𝜖𝑖
𝛽1 =
𝑖=1
𝑛
𝑃𝑖 − 𝑃 ∙ 𝑌𝑖
𝑖=1
𝑛
𝑃𝑖 − 𝑃 2
𝑌𝑖 = 𝛽0 + 𝛽1 ∙ 𝑃𝑖 + 𝜖𝑖
𝛽1 =
𝑖=1
𝑛
𝑃𝑖 − 𝑃 ∙ 𝑌𝑖
𝑖=1
𝑛
𝑃𝑖 − 𝑃 2
𝑌𝑖 = 𝛽0 + 𝛽1 ∙ 𝑃𝑖 + 𝜖𝑖
𝛽1 =
𝑖=1
𝑛
𝑃𝑖 − 𝑃 ∙ 𝑌𝑖
𝑖=1
𝑛
𝑃𝑖 − 𝑃 2
𝐸 𝛽1 = 𝛽1
𝐸 𝛽1 = 𝛽1
𝛽1 =
𝑖=1
𝑛
𝑃𝑖 − 𝑃 ∙ 𝑌𝑖
𝑖=1
𝑛
𝑃𝑖 − 𝑃 2
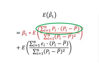
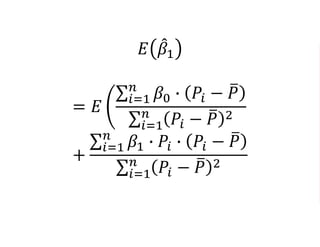
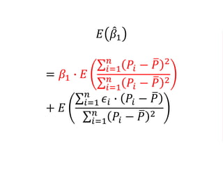
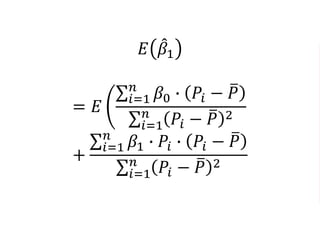
𝐸( 𝛽1) = 𝐸
𝑖=1
𝑛
𝑃𝑖 − 𝑃 ∙ 𝑌𝑖
𝑖=1
𝑛
𝑃𝑖 − 𝑃 2
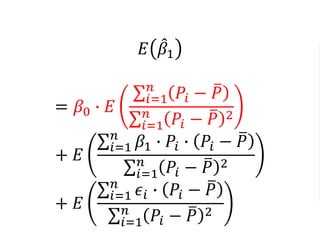
𝑌𝑖 = 𝛽0 + 𝛽1 ∙ 𝑃𝑖 + 𝜖𝑖
𝐸( 𝛽1) = 𝐸
𝑖=1
𝑛
𝑃𝑖 − 𝑃 ∙ 𝑌𝑖
𝑖=1
𝑛
𝑃𝑖 − 𝑃 2
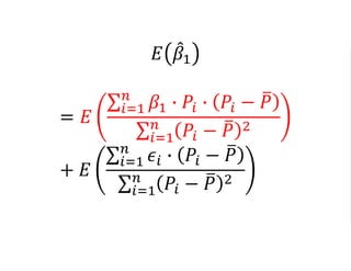
𝐸 𝛽1
= 𝐸
𝑖=1
𝑛
𝑃𝑖 − 𝑃 ∙ 𝛽0 + 𝛽1 ∙ 𝑃𝑖 + 𝜖𝑖
𝑖=1
𝑛
𝑃𝑖 − 𝑃 2
𝐸 𝛽1
= 𝐸
𝑖=1
𝑛
𝛽0 ∙ 𝑃𝑖 − 𝑃
𝑖=1
𝑛
𝑃𝑖 − 𝑃 2
+
𝑖=1
𝑛
𝛽1 ∙ 𝑃𝑖 ∙ 𝑃𝑖 − 𝑃
𝑖=1
𝑛
𝑃𝑖 − 𝑃 2
𝐸 𝑊 + 𝑍 = 𝐸 𝑊 + 𝐸 𝑍
𝐸 𝑊 + 𝑍 + 𝑄 = 𝐸 𝑊 + 𝐸 𝑍 + 𝐸 𝑄
𝐸 𝑊 + 𝑍 = 𝐸 𝑊 + 𝐸 𝑍
𝐸 𝑊 + 𝑍 + 𝑄 = 𝐸 𝑊 + 𝐸 𝑍 + 𝐸 𝑄
𝐸 𝛽1
= 𝐸
𝑖=1
𝑛
𝛽0 ∙ 𝑃𝑖 − 𝑃
𝑖=1
𝑛
𝑃𝑖 − 𝑃 2
+
𝑖=1
𝑛
𝛽1 ∙ 𝑃𝑖 ∙ 𝑃𝑖 − 𝑃
𝑖=1
𝑛
𝑃𝑖 − 𝑃 2
𝐸 𝛽1
= 𝐸
𝑖=1
𝑛
𝛽0 ∙ 𝑃𝑖 − 𝑃
𝑖=1
𝑛
𝑃𝑖 − 𝑃 2
+
𝑖=1
𝑛
𝛽1 ∙ 𝑃𝑖 ∙ 𝑃𝑖 − 𝑃
𝑖=1
𝑛
𝑃𝑖 − 𝑃 2
𝐸 𝛽1
= 𝐸
𝑖=1
𝑛
𝛽0 ∙ 𝑃𝑖 − 𝑃
𝑖=1
𝑛
𝑃𝑖 − 𝑃 2
+
𝑖=1
𝑛
𝛽1 ∙ 𝑃𝑖 ∙ 𝑃𝑖 − 𝑃
𝑖=1
𝑛
𝑃𝑖 − 𝑃 2
𝐸 𝛽1
= 𝐸
𝑖=1
𝑛
𝛽0 ∙ 𝑃𝑖 − 𝑃
𝑖=1
𝑛
𝑃𝑖 − 𝑃 2
+
𝑖=1
𝑛
𝛽1 ∙ 𝑃𝑖 ∙ 𝑃𝑖 − 𝑃
𝑖=1
𝑛
𝑃𝑖 − 𝑃 2
𝐸 𝛽1
= 𝐸
𝑖=1
𝑛
𝛽0 ∙ 𝑃𝑖 − 𝑃
𝑖=1
𝑛
𝑃𝑖 − 𝑃 2
+
𝑖=1
𝑛
𝛽1 ∙ 𝑃𝑖 ∙ 𝑃𝑖 − 𝑃
𝑖=1
𝑛
𝑃𝑖 − 𝑃 2
𝐸 𝛽1
= 𝐸
𝑖=1
𝑛
𝛽0 ∙ 𝑃𝑖 − 𝑃
𝑖=1
𝑛
𝑃𝑖 − 𝑃 2
+ 𝐸
𝑖=1
𝑛
𝛽1 ∙ 𝑃𝑖 ∙ 𝑃𝑖 − 𝑃
𝑖=1
𝑛
𝑃𝑖 − 𝑃 2
+ 𝐸
𝑖=1
𝑛
𝜖𝑖 ∙ 𝑃𝑖 − 𝑃
𝑖=1
𝑛
𝑃𝑖 − 𝑃 2
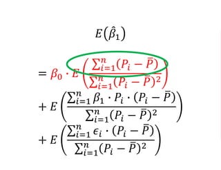
𝐸 𝛽1
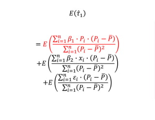
= 𝐸
𝑖=1
𝑛
𝛽0 ∙ 𝑃𝑖 − 𝑃
𝑖=1
𝑛
𝑃𝑖 − 𝑃 2
+ 𝐸
𝑖=1
𝑛
𝛽1 ∙ 𝑃𝑖 ∙ 𝑃𝑖 − 𝑃
𝑖=1
𝑛
𝑃𝑖 − 𝑃 2
+ 𝐸
𝑖=1
𝑛
𝜖𝑖 ∙ 𝑃𝑖 − 𝑃
𝑖=1
𝑛
𝑃𝑖 − 𝑃 2
𝐸 𝑐 ∙ 𝑊 = 𝑐 ∙ 𝐸 𝑊
𝐸 𝛽1
= 𝐸
𝑖=1
𝑛
𝛽0 ∙ 𝑃𝑖 − 𝑃
𝑖=1
𝑛
𝑃𝑖 − 𝑃 2
+ 𝐸
𝑖=1
𝑛
𝛽1 ∙ 𝑃𝑖 ∙ 𝑃𝑖 − 𝑃
𝑖=1
𝑛
𝑃𝑖 − 𝑃 2
+ 𝐸
𝑖=1
𝑛
𝜖𝑖 ∙ 𝑃𝑖 − 𝑃
𝑖=1
𝑛
𝑃𝑖 − 𝑃 2
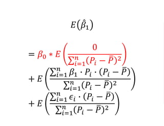
𝐸 𝛽1
= 𝛽0 ∙ 𝐸
𝑖=1
𝑛
𝑃𝑖 − 𝑃
𝑖=1
𝑛
𝑃𝑖 − 𝑃 2
+ 𝐸
𝑖=1
𝑛
𝛽1 ∙ 𝑃𝑖 ∙ 𝑃𝑖 − 𝑃
𝑖=1
𝑛
𝑃𝑖 − 𝑃 2
+ 𝐸
𝑖=1
𝑛
𝜖𝑖 ∙ 𝑃𝑖 − 𝑃
𝑖=1
𝑛
𝑃𝑖 − 𝑃 2
𝐸 𝛽1
= 𝛽0 ∙ 𝐸
𝑖=1
𝑛
𝑃𝑖 − 𝑃
𝑖=1
𝑛
𝑃𝑖 − 𝑃 2
+ 𝐸
𝑖=1
𝑛
𝛽1 ∙ 𝑃𝑖 ∙ 𝑃𝑖 − 𝑃
𝑖=1
𝑛
𝑃𝑖 − 𝑃 2
+ 𝐸
𝑖=1
𝑛
𝜖𝑖 ∙ 𝑃𝑖 − 𝑃
𝑖=1
𝑛
𝑃𝑖 − 𝑃 2
𝐸 𝛽1
= 𝛽0 ∗ 𝐸
0
𝑖=1
𝑛
𝑃𝑖 − 𝑃 2
+ 𝐸
𝑖=1
𝑛
𝛽1 ∙ 𝑃𝑖 ∙ 𝑃𝑖 − 𝑃
𝑖=1
𝑛
𝑃𝑖 − 𝑃 2
+ 𝐸
𝑖=1
𝑛
𝜖𝑖 ∙ 𝑃𝑖 − 𝑃
𝑖=1
𝑛
𝑃𝑖 − 𝑃 2
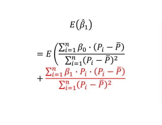
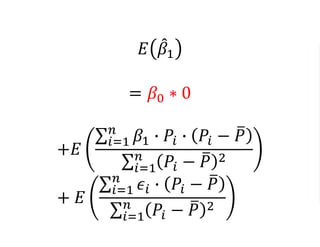
𝐸 𝛽1
= 𝛽0 ∗ 0
+𝐸
𝑖=1
𝑛
𝛽1 ∙ 𝑃𝑖 ∙ 𝑃𝑖 − 𝑃
𝑖=1
𝑛
𝑃𝑖 − 𝑃 2
+ 𝐸
𝑖=1
𝑛
𝜖𝑖 ∙ 𝑃𝑖 − 𝑃
𝑖=1
𝑛
𝑃𝑖 − 𝑃 2
𝐸 𝛽1
= 𝐸
𝑖=1
𝑛
𝛽1 ∙ 𝑃𝑖 ∙ 𝑃𝑖 − 𝑃
𝑖=1
𝑛
𝑃𝑖 − 𝑃 2
+ 𝐸
𝑖=1
𝑛
𝜖𝑖 ∙ 𝑃𝑖 − 𝑃
𝑖=1
𝑛
𝑃𝑖 − 𝑃 2
𝐸 𝛽1
= 𝐸
𝑖=1
𝑛
𝛽1 ∙ 𝑃𝑖 ∙ 𝑃𝑖 − 𝑃
𝑖=1
𝑛
𝑃𝑖 − 𝑃 2
+ 𝐸
𝑖=1
𝑛
𝜖𝑖 ∙ 𝑃𝑖 − 𝑃
𝑖=1
𝑛
𝑃𝑖 − 𝑃 2
𝐸 𝛽1
= 𝛽1 ∙ 𝐸
𝑖=1
𝑛
𝑃𝑖 ∙ 𝑃𝑖 − 𝑃
𝑖=1
𝑛
𝑃𝑖 − 𝑃 2
+ 𝐸
𝑖=1
𝑛
𝜖𝑖 ∙ 𝑃𝑖 − 𝑃
𝑖=1
𝑛
𝑃𝑖 − 𝑃 2
𝐸 𝛽1
= 𝛽1 ∙ 𝐸
𝑖=1
𝑛
𝑃𝑖 ∙ 𝑃𝑖 − 𝑃
𝑖=1
𝑛
𝑃𝑖 − 𝑃 2
+ 𝐸
𝑖=1
𝑛
𝜖𝑖 ∙ 𝑃𝑖 − 𝑃
𝑖=1
𝑛
𝑃𝑖 − 𝑃 2
𝑖=1
𝑛
𝑃𝑖 ∙ 𝑃𝑖 − 𝑃 =
𝑖=1
𝑛
𝑃𝑖 − 𝑃 2
𝐸 𝛽1
= 𝛽1 ∗ 𝐸
𝑖=1
𝑛
𝑃𝑖 ∙ 𝑃𝑖 − 𝑃
𝑖=1
𝑛
𝑃𝑖 − 𝑃 2
+ 𝐸
𝑖=1
𝑛
𝜖𝑖 ∙ 𝑃𝑖 − 𝑃
𝑖=1
𝑛
𝑃𝑖 − 𝑃 2
𝐸 𝛽1
= 𝛽1 ∙ 𝐸
𝑖=1
𝑛
𝑃𝑖 − 𝑃 2
𝑖=1
𝑛
𝑃𝑖 − 𝑃 2
+ 𝐸
𝑖=1
𝑛
𝜖𝑖 ∙ 𝑃𝑖 − 𝑃
𝑖=1
𝑛
𝑃𝑖 − 𝑃 2
𝐸 𝛽1
= 𝛽1 ∙ 𝐸 1
+𝐸
𝑖=1
𝑛
𝜖𝑖 ∙ 𝑃𝑖 − 𝑃
𝑖=1
𝑛
𝑃𝑖 − 𝑃 2
𝐸 𝛽1
= 𝛽1 ∙ 1
+𝐸
𝑖=1
𝑛
𝜖𝑖 ∙ 𝑃𝑖 − 𝑃
𝑖=1
𝑛
𝑃𝑖 − 𝑃 2
𝐸 𝛽1
= 𝛽1
+𝐸
𝑖=1
𝑛
𝜖𝑖 ∙ 𝑃𝑖 − 𝑃
𝑖=1
𝑛
𝑃𝑖 − 𝑃 2
𝐸 𝛽1
= 𝛽1
+𝐸
𝑖=1
𝑛
𝜖𝑖 ∙ 𝑃𝑖 − 𝑃
𝑖=1
𝑛
𝑃𝑖 − 𝑃 2
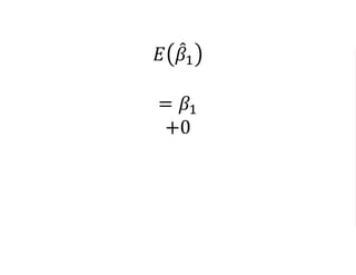
𝐸 𝛽1
= 𝛽1
+0
𝐸 𝛽1
= 𝛽1
𝐸 𝛽1
= 𝛽1
+𝐸
𝑖=1
𝑛
𝜖𝑖 ∙ 𝑃𝑖 − 𝑃
𝑖=1
𝑛
𝑃𝑖 − 𝑃 2
𝐸 𝑊 ∙ 𝑍 ≠ 𝐸 𝑊 ∙ 𝐸 𝑍
Expectations: Properties
𝐸 𝛽1
= 𝛽1
+𝐸
𝑖=1
𝑛
𝜖𝑖 ∙ 𝑃𝑖 − 𝑃
𝑖=1
𝑛
𝑃𝑖 − 𝑃 2
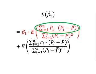
𝐸 𝛽1
= 𝛽1
+
𝑖=1
𝑛
𝐸
𝜖𝑖 ∙ 𝑃𝑖 − 𝑃
𝑖=1
𝑛
𝑃𝑖 − 𝑃 2
𝐸 𝛽1
= 𝛽1
+
𝑖=1
𝑛
𝐸
𝑖=1
𝑛
𝑃𝑖 − 𝑃
𝑖=1
𝑛
𝑃𝑖 − 𝑃 2
∙ 𝐸 𝜖𝑖
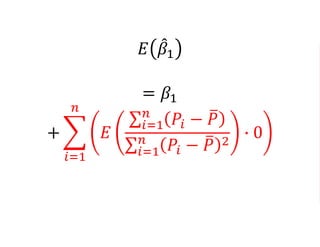
𝐸 𝛽1
= 𝛽1
+
𝑖=1
𝑛
𝐸
𝑖=1
𝑛
𝑃𝑖 − 𝑃
𝑖=1
𝑛
𝑃𝑖 − 𝑃 2
∙ 0
𝐸 𝛽1
= 𝛽1
+0
𝐸 𝛽1
= 𝛽1
𝐸 𝛽1
= 𝛽1
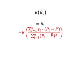
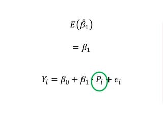
𝑌𝑖 = 𝛽0 + 𝛽1 ∙ 𝑃𝑖 + 𝜖𝑖
𝐸 𝛽1
= 𝛽1
𝑌𝑖 = 𝛽0 + 𝛽1 ∙ 𝑃𝑖 + 𝜖𝑖
𝐸 𝛽1
= 𝛽1
𝑌𝑖 = 𝛽0 + 𝛽1 ∙ 𝑃𝑖 + 𝜖𝑖
Peter M. Lance, PhD
MEASURE Evaluation
University of North Carolina at
Chapel Hill
September 13 and 15, 2016
Selection on Observables: Part
Deux
𝑌0
= 𝛽0 + 𝜖
𝑌1
= 𝛽0 + 𝛽1 + 𝜖
𝑌 = 𝑃 ∙ 𝑌1
+ 1 − 𝑃 ∙ 𝑌0
𝑌 = 𝛽0 + 𝛽1 ∙ 𝑃 + 𝜖
𝑌0
= 𝛽0 + 𝜖
𝑌1
= 𝛽0 + 𝛽1 + 𝜖
𝑌 = 𝑃 ∙ 𝑌1
+ 1 − 𝑃 ∙ 𝑌0
𝑌 = 𝛽0 + 𝛽1 ∙ 𝑃 + 𝜖
𝑌0
= 𝛽0 + 𝜖
𝑌1
= 𝛽0 + 𝛽1 + 𝜖
𝑌 = 𝑃 ∙ 𝑌1
+ 1 − 𝑃 ∙ 𝑌0
𝑌 = 𝛽0 + 𝛽1 ∙ 𝑃 + 𝜖
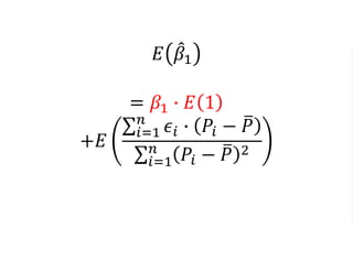
𝐸 𝛽1
= 𝛽1
+𝐸
𝑖=1
𝑛
𝜖𝑖 ∙ 𝑃𝑖 − 𝑃
𝑖=1
𝑛
𝑃𝑖 − 𝑃 2
𝐸 𝛽1
= 𝛽1
+𝐸
𝑖=1
𝑛
𝜖𝑖 ∙ 𝑃𝑖 − 𝑃
𝑖=1
𝑛
𝑃𝑖 − 𝑃 2
𝐸 𝛽1
= 𝛽1
𝑌𝑖 = 𝛽0 + 𝛽1 ∙ 𝑃𝑖 + 𝜖𝑖
𝐸 𝛽1
= 𝛽1
𝑌𝑖 = 𝛽0 + 𝛽1 ∙ 𝑃𝑖 + 𝜖𝑖
𝐸 𝛽1
= 𝛽1
𝑌𝑖 = 𝛽0 + 𝛽1 ∙ 𝑃𝑖 + 𝜖𝑖
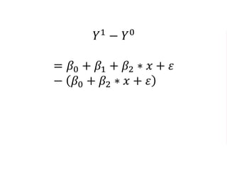
𝑌0 = 𝛽0 + 𝜀
𝑌1
= 𝛽0 + 𝛽1 + 𝜀
𝑌0 = 𝛽0 + 𝛽2 ∙ 𝑥 + 𝜀
𝑌1
= 𝛽0 + 𝛽1 + 𝛽2 ∙ 𝑥 + 𝜀
𝑌1 − 𝑌0
= 𝛽0 + 𝛽1 + 𝜖 − 𝛽0 + 𝜖
= 𝛽0 + 𝛽1 + 𝜖 − 𝛽0 − 𝜖
= 𝛽1
𝑌1 − 𝑌0
= 𝛽0 + 𝛽1 + 𝛽2 ∗ 𝑥 + 𝜀
− 𝛽0 + 𝛽2 ∗ 𝑥 + 𝜀
= 𝛽0 + 𝛽1 + 𝜖 − 𝛽0 − 𝜖
= 𝛽1
𝑌1 − 𝑌0
= 𝛽1
𝑌 = 𝑃 ∙ 𝑌1
+ 1 − 𝑃 ∙ 𝑌0
= 𝑃 ∗ 𝛽0 + 𝛽1 + 𝜖 + 1 − 𝑃 ∗ 𝛽0 + 𝜖
= 𝑃 ∗ 𝛽0 + 𝑃 ∗ 𝛽1 + 𝑃 ∗ 𝜖
+𝛽0 + 𝜖 − 𝑃 ∗ 𝛽0 − 𝑃 ∗ 𝜖
= 𝛽0 + 𝑃 ∗ 𝛽1 + 𝜖
𝑌 = 𝑃 ∙ 𝑌1
+ 1 − 𝑃 ∙ 𝑌0
= 𝑃 ∙ 𝛽0 + 𝛽1 + 𝛽2 ∙ 𝑥 + 𝜀
+ 1 − 𝑃 ∙ 𝛽0 + 𝛽2 ∙ 𝑥 + 𝜀
= 𝑃 ∗ 𝛽0 + 𝑃 ∗ 𝛽1 + 𝑃 ∗ 𝜖
+𝛽0 + 𝜖 − 𝑃 ∗ 𝛽0 − 𝑃 ∗ 𝜖
𝑌 = 𝛽0 + 𝛽1 ∙ 𝑃 + 𝛽2 ∙ 𝑥 + 𝜀
Cost of participation
𝐶 = 𝜌0 + 𝜌1 ∙ 𝑥
Cost of participation
𝐶 = 𝜌0 + 𝜌1 ∙ 𝑥
Benefit-Cost>0
𝑌1
− 𝑌0
− C > 0
𝛽1 − 𝐶 > 0
𝛽1 − 𝛾0 + 𝛾1 ∗ 𝑥 > 0
Benefit-Cost>0
𝑌1 − 𝑌0 − C > 0
𝛽1 − 𝐶 > 0
𝛽1 − 𝛾0 + 𝛾1 ∗ 𝑥 > 0
Benefit-Cost>0
𝑌1 − 𝑌0 − C > 0
𝛽1 − 𝐶 > 0
𝛽1 − 𝛾0 + 𝛾1 ∗ 𝑥 > 0
Benefit-Cost>0
𝑌1 − 𝑌0 − C > 0
𝛽1 − 𝐶 > 0
𝛽1 − 𝜌0 + 𝜌1 ∙ 𝑥 > 0
𝑥 𝑃
X
Y
P
Benefit-Cost>0
𝛽1 − 𝜌0 + 𝜌1 ∙ 𝑥 > 0
𝜀
Benefit-Cost>0
𝛽1 − 𝜌0 + 𝜌1 ∙ 𝑥 > 0
𝜀
Benefit-Cost>0
𝛽1 − 𝜌0 + 𝜌1 ∙ 𝑥 > 0
𝜀
P and 𝜺 are independent
True model:
𝑌 = 𝛽0 + 𝛽1 ∙ 𝑃 + 𝛽2 ∙ 𝑥 + 𝜀
We actually attempt to estimate:
𝑌 = 𝜏0 + 𝜏1 ∙ 𝑃 + 𝜖
Error term now contains:
𝛽2 ∙ 𝑥
True model:
𝑌 = 𝛽0 + 𝛽1 ∙ 𝑃 + 𝛽2 ∙ 𝑥 + 𝜀
We actually attempt to estimate:
𝑌 = 𝜏0 + 𝜏1 ∙ 𝑃 + 𝜖
Error term now contains:
𝛽2 ∙ 𝑥
True model:
𝑌 = 𝛽0 + 𝛽1 ∙ 𝑃 + 𝛽2 ∙ 𝑥 + 𝜀
We actually attempt to estimate:
𝑌 = 𝜏0 + 𝜏1 ∙ 𝑃 + 𝜖
Error term now contains:
𝛽2 ∙ 𝑥
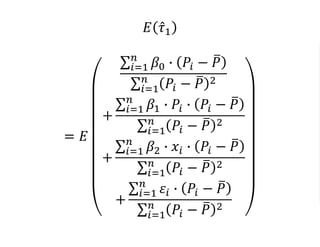
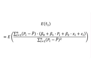
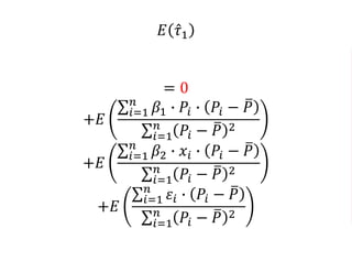
𝐸( 𝜏1) = 𝐸
𝑖=1
𝑛
𝑃𝑖 − 𝑃 ∙ 𝑌𝑖
𝑖=1
𝑛
𝑃𝑖 − 𝑃 2
𝐸 𝜏1
= 𝐸
𝑖=1
𝑛
𝑃𝑖 − 𝑃 ∙ 𝛽0 + 𝛽1 ∙ 𝑃𝑖 + 𝛽2 ∙ 𝑥𝑖 + 𝜀𝑖
𝑖=1
𝑛
𝑃𝑖 − 𝑃 2
𝐸 𝜏1
= 𝐸
𝑖=1
𝑛
𝛽0 ∙ 𝑃𝑖 − 𝑃
𝑖=1
𝑛
𝑃𝑖 − 𝑃 2
+
𝑖=1
𝑛
𝛽1 ∙ 𝑃𝑖 ∙ 𝑃𝑖 − 𝑃
𝑖=1
𝑛
𝑃𝑖 − 𝑃 2
+
𝑖=1
𝑛
𝛽2 ∙ 𝑥𝑖 ∙ 𝑃𝑖 − 𝑃
𝑖=1
𝑛
𝑃𝑖 − 𝑃 2
+
𝑖=1
𝑛
𝜀𝑖 ∙ 𝑃𝑖 − 𝑃
𝑖=1
𝑛
𝑃𝑖 − 𝑃 2
𝐸 𝜏1
= 𝐸
𝑖=1
𝑛
𝛽0 ∙ 𝑃𝑖 − 𝑃
𝑖=1
𝑛
𝑃𝑖 − 𝑃 2
+ 𝐸
𝑖=1
𝑛
𝛽1 ∙ 𝑃𝑖 ∙ 𝑃𝑖 − 𝑃
𝑖=1
𝑛
𝑃𝑖 − 𝑃 2
+𝐸
𝑖=1
𝑛
𝛽2 ∙ 𝑥𝑖 ∙ 𝑃𝑖 − 𝑃
𝑖=1
𝑛
𝑃𝑖 − 𝑃 2
+𝐸
𝑖=1
𝑛
𝜀𝑖 ∙ 𝑃𝑖 − 𝑃
𝑖=1
𝑛
𝑃𝑖 − 𝑃 2
𝐸 𝜏1
= 𝐸
𝑖=1
𝑛
𝛽0 ∙ 𝑃𝑖 − 𝑃
𝑖=1
𝑛
𝑃𝑖 − 𝑃 2
+ 𝐸
𝑖=1
𝑛
𝛽1 ∙ 𝑃𝑖 ∙ 𝑃𝑖 − 𝑃
𝑖=1
𝑛
𝑃𝑖 − 𝑃 2
+𝐸
𝑖=1
𝑛
𝛽2 ∙ 𝑥𝑖 ∙ 𝑃𝑖 − 𝑃
𝑖=1
𝑛
𝑃𝑖 − 𝑃 2
+𝐸
𝑖=1
𝑛
𝜀𝑖 ∙ 𝑃𝑖 − 𝑃
𝑖=1
𝑛
𝑃𝑖 − 𝑃 2
𝐸 𝜏1
= 0
+𝐸
𝑖=1
𝑛
𝛽1 ∙ 𝑃𝑖 ∙ 𝑃𝑖 − 𝑃
𝑖=1
𝑛
𝑃𝑖 − 𝑃 2
+𝐸
𝑖=1
𝑛
𝛽2 ∙ 𝑥𝑖 ∙ 𝑃𝑖 − 𝑃
𝑖=1
𝑛
𝑃𝑖 − 𝑃 2
+𝐸
𝑖=1
𝑛
𝜀𝑖 ∙ 𝑃𝑖 − 𝑃
𝑖=1
𝑛
𝑃𝑖 − 𝑃 2
𝐸 𝜏1
= 𝐸
𝑖=1
𝑛
𝛽1 ∙ 𝑃𝑖 ∙ 𝑃𝑖 − 𝑃
𝑖=1
𝑛
𝑃𝑖 − 𝑃 2
+𝐸
𝑖=1
𝑛
𝛽2 ∙ 𝑥𝑖 ∙ 𝑃𝑖 − 𝑃
𝑖=1
𝑛
𝑃𝑖 − 𝑃 2
+𝐸
𝑖=1
𝑛
𝜀𝑖 ∙ 𝑃𝑖 − 𝑃
𝑖=1
𝑛
𝑃𝑖 − 𝑃 2
𝐸 𝜏1
= 𝐸
𝑖=1
𝑛
𝛽1 ∙ 𝑃𝑖 ∙ 𝑃𝑖 − 𝑃
𝑖=1
𝑛
𝑃𝑖 − 𝑃 2
+𝐸
𝑖=1
𝑛
𝛽2 ∙ 𝑥𝑖 ∙ 𝑃𝑖 − 𝑃
𝑖=1
𝑛
𝑃𝑖 − 𝑃 2
+𝐸
𝑖=1
𝑛
𝜀𝑖 ∙ 𝑃𝑖 − 𝑃
𝑖=1
𝑛
𝑃𝑖 − 𝑃 2
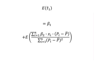
𝐸 𝜏1
= 𝛽1
+𝐸
𝑖=1
𝑛
𝛽2 ∙ 𝑥𝑖 ∙ 𝑃𝑖 − 𝑃
𝑖=1
𝑛
𝑃𝑖 − 𝑃 2
+𝐸
𝑖=1
𝑛
𝜀𝑖 ∙ 𝑃𝑖 − 𝑃
𝑖=1
𝑛
𝑃𝑖 − 𝑃 2
𝐸 𝜏1
= 𝛽1
+𝐸
𝑖=1
𝑛
𝛽2 ∙ 𝑥𝑖 ∙ 𝑃𝑖 − 𝑃
𝑖=1
𝑛
𝑃𝑖 − 𝑃 2
+𝐸
𝑖=1
𝑛
𝜀𝑖 ∙ 𝑃𝑖 − 𝑃
𝑖=1
𝑛
𝑃𝑖 − 𝑃 2
𝐸 𝜏1
= 𝛽1
+𝐸
𝑖=1
𝑛
𝛽2 ∙ 𝑥𝑖 ∙ 𝑃𝑖 − 𝑃
𝑖=1
𝑛
𝑃𝑖 − 𝑃 2
+0
𝐸 𝜏1
= 𝛽1
+𝐸
𝑖=1
𝑛
𝛽2 ∙ 𝑥𝑖 ∙ 𝑃𝑖 − 𝑃
𝑖=1
𝑛
𝑃𝑖 − 𝑃 2
𝐸 𝜏1
= 𝛽1
+𝐸
𝑖=1
𝑛
𝛽2 ∙ 𝑥𝑖 ∙ 𝑃𝑖 − 𝑃
𝑖=1
𝑛
𝑃𝑖 − 𝑃 2
𝐸 𝑐 ∙ 𝑊 = 𝑐 ∙ 𝐸 𝑊
𝐸 𝜏1
= 𝛽1
+𝛽2 ∙ 𝐸
𝑖=1
𝑛
𝑥𝑖 ∙ 𝑃𝑖 − 𝑃
𝑖=1
𝑛
𝑃𝑖 − 𝑃 2
𝐸 𝜏1
= 𝛽1
+𝛽2 ∙ 𝐸
𝑖=1
𝑛
𝑥𝑖 ∙ 𝑃𝑖 − 𝑃
𝑖=1
𝑛
𝑃𝑖 − 𝑃 2
𝐸 𝜏1
= 𝛽1
+𝛽2 ∙ 𝐸
𝑖=1
𝑛
𝑥𝑖 ∙ 𝑃𝑖 − 𝑃
𝑖=1
𝑛
𝑃𝑖 − 𝑃 2
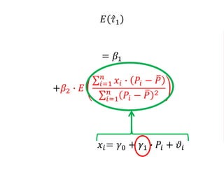
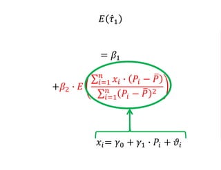
𝑥𝑖= 𝛾0 + 𝛾1 ∙ 𝑃𝑖 + 𝜗𝑖
𝐸 𝜏1
= 𝛽1
+𝛽2 ∙ 𝐸
𝑖=1
𝑛
𝑥𝑖 ∙ 𝑃𝑖 − 𝑃
𝑖=1
𝑛
𝑃𝑖 − 𝑃 2
𝑥𝑖= 𝛾0 + 𝛾1 ∙ 𝑃𝑖 + 𝜗𝑖
𝐸 𝜏1
= 𝛽1
+𝛽2 ∙ 𝐸
𝑖=1
𝑛
𝑥𝑖 ∙ 𝑃𝑖 − 𝑃
𝑖=1
𝑛
𝑃𝑖 − 𝑃 2
𝑥𝑖= 𝛾0 + 𝛾1 ∙ 𝑃𝑖 + 𝜗𝑖
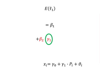
𝐸 𝜏1
= 𝛽1
+𝛽2 ∙ 𝛾1
𝑖=1
𝑛
𝑥
𝑖=1
𝑛
𝑥
𝑥𝑖= 𝛾0 + 𝛾1 ∙ 𝑃𝑖 + 𝜗𝑖
True model:
𝑌 = 𝛽0 + 𝛽1 ∙ 𝑃 + 𝛽2 ∙ 𝑥 + 𝜀
We actually attempt to estimate:
𝑌 = 𝜏0 + 𝜏1 ∙ 𝑃 + 𝜖
Error term now contains:
𝛽2 ∙ 𝑥
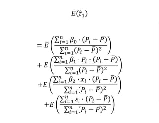
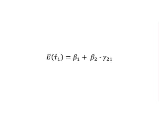
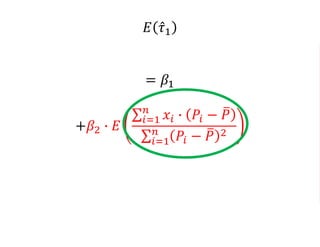
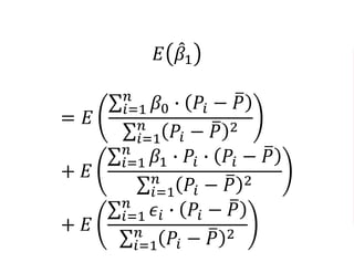
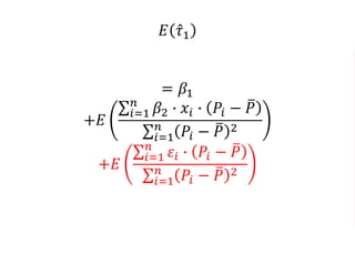
𝐸 𝜏1 = 𝛽1 + 𝛽2 ∙ 𝐸
𝑖=1
𝑛
𝑥𝑖 ∙ 𝑃𝑖 − 𝑃
𝑖=1
𝑛
𝑃𝑖 − 𝑃 2
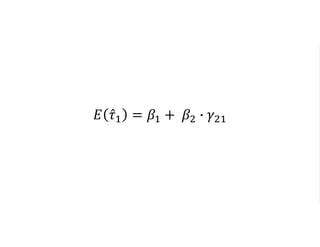
𝐸 𝜏1 = 𝛽1 + 𝛽2 ∙ 𝛾1
𝐸 𝜏1 = 𝛽1 + 𝛽2 ∙ 𝛾1
The Actual
Causal Effect of
P on y
𝐸 𝜏1 = 𝛽1 + 𝛽2 ∙ 𝛾1
The actual
causal effect of
P on y
The actual causal effect of
the omitted variable X on
Y
𝐸 𝜏1 = 𝛽1 + 𝛽2 ∙ 𝛾1
The actual
causal effect of
P on y
Th”Effect” of P on x:
𝑥𝑖= 𝛾0 + 𝛾1 ∙ 𝑃𝑖 + 𝜗𝑖
The actual causal effect of
the omitted variable X on
Y
True model:
𝑌 = 𝛽0 + 𝛽1 ∙ 𝑃 + 𝛽2 ∙ 𝑥 + 𝜀
We actually attempt to estimate:
𝑌 = 𝜏0 + 𝜏1 ∙ 𝑃 + 𝜖
Error term now contains:
𝛽2 ∙ 𝑥
True model:
𝑌 = 𝛽0 + 𝛽1 ∙ 𝑃 + 𝛽2 ∙ 𝑥 + 𝜀
We actually attempt to estimate:
𝑌 = 𝜏0 + 𝜏1 ∙ 𝑃 + 𝜖
Error term now contains:
𝛽2 ∙ 𝑥
True model:
𝑌 = 𝛽0 + 𝛽1 ∙ 𝑃 + 𝛽2 ∙ 𝑥 + 𝜀
We actually attempt to estimate:
𝑌 = 𝜏0 + 𝜏1 ∙ 𝑃 + 𝜖
Error term now contains:
𝛽2 ∙ 𝑥
True model:
𝑌 = 𝛽0 + 𝛽1 ∙ 𝑃 + 𝛽2 ∙ 𝑥 + 𝜀
We actually attempt to estimate:
𝑌 = 𝜏0 + 𝜏1 ∙ 𝑃 + 𝜖
Error term now contains:
𝛽2 ∙ 𝑥
True model:
𝑌 = 𝛽0 + 𝛽1 ∙ 𝑃 + 𝛽2 ∙ 𝑥 + 𝜀
We actually attempt to estimate:
𝑌 = 𝜏0 + 𝜏1 ∙ 𝑃 + 𝜖
𝑬 𝝉 𝟏 ≠ 𝜷
𝐸 𝜏1 = 𝛽1 + 𝛽2 ∙ 𝛾1
The actual
causal effect of
P on y
Th”Effect” of P on x:
𝑥𝑖= 𝛾0 + 𝛾1 ∙ 𝑃𝑖 + 𝜗𝑖
The actual causal effect of
the omitted variable X on
Y
𝐸 𝜏1 = 𝛽1 + 𝛽2 ∙ 𝛾1
The actual
causal effect of
P on y
Th”Effect” of P on x:
𝑥𝑖= 𝛾0 + 𝛾1 ∙ 𝑃𝑖 + 𝜗𝑖
The actual causal effect of
the omitted variable X on
Y
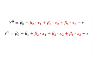
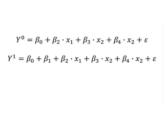
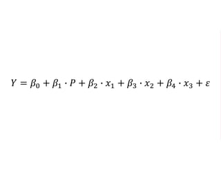
𝑌0
= 𝛽0 + 𝛽2 ∙ 𝑥1 + 𝛽3 ∙ 𝑥2 + 𝛽4 ∙ 𝑥2 + 𝜀
𝑌1
= 𝛽0 + 𝛽1 + 𝛽2 ∙ 𝑥1 + 𝛽3 ∙ 𝑥2 + 𝛽4 ∙ 𝑥2 + 𝜀
𝑌0
= 𝛽0 + 𝛽2 ∙ 𝑥1 + 𝛽3 ∙ 𝑥2 + 𝛽4 ∙ 𝑥2 + 𝜀
𝑌1
= 𝛽0 + 𝛽1 + 𝛽2 ∙ 𝑥1 + 𝛽3 ∙ 𝑥2 + 𝛽4 ∙ 𝑥3 + 𝜀
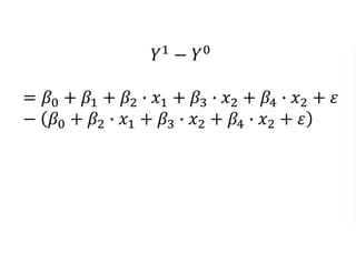
𝑌1 − 𝑌0
= 𝛽0 + 𝛽1 + 𝜖 − 𝛽0 + 𝜖
= 𝛽0 + 𝛽1 + 𝜖 − 𝛽0 − 𝜖
= 𝛽1
𝑌1
− 𝑌0
= 𝛽0 + 𝛽1 + 𝛽2 ∙ 𝑥1 + 𝛽3 ∙ 𝑥2 + 𝛽4 ∙ 𝑥2 + 𝜀
− 𝛽0 + 𝛽2 ∙ 𝑥1 + 𝛽3 ∙ 𝑥2 + 𝛽4 ∙ 𝑥2 + 𝜀
= 𝛽0 + 𝛽1 + 𝜖 − 𝛽0 − 𝜖
= 𝛽1
𝑌1 − 𝑌0
= 𝛽1
𝑌 = 𝑃 ∙ 𝑌1
+ 1 − 𝑃 ∙ 𝑌0
= 𝑃 ∗ 𝛽0 + 𝛽1 + 𝜖 + 1 − 𝑃 ∗ 𝛽0 + 𝜖
= 𝑃 ∗ 𝛽0 + 𝑃 ∗ 𝛽1 + 𝑃 ∗ 𝜖
+𝛽0 + 𝜖 − 𝑃 ∗ 𝛽0 − 𝑃 ∗ 𝜖
= 𝛽0 + 𝑃 ∗ 𝛽1 + 𝜖
𝑌 = 𝑃 ∙ 𝑌1
+ 1 − 𝑃 ∙ 𝑌0
= 𝑃 ∙ 𝛽0 + 𝛽1 + 𝛽2 ∙ 𝑥1 + 𝛽3 ∙ 𝑥2 + 𝛽4 ∙ 𝑥3 + 𝜀
+ 1 − 𝑃
∙ 𝛽0 + 𝛽2 ∙ 𝑥 + 𝛽2 ∙ 𝑥1 + 𝛽3 ∙ 𝑥2 + 𝛽4 ∙ 𝑥3 + 𝜀
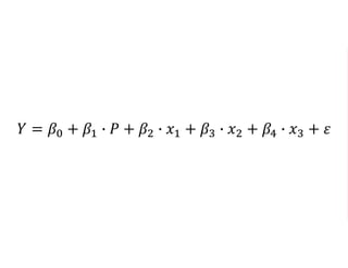
𝑌 = 𝛽0 + 𝛽1 ∙ 𝑃 + 𝛽2 ∙ 𝑥1 + 𝛽3 ∙ 𝑥2 + 𝛽4 ∙ 𝑥3 + 𝜀
Cost of participation
𝐶 = 𝜌0 + 𝜌1 ∙ 𝑥1 + 𝜌2 ∙ 𝑥2 + 𝜌3 ∙ 𝑥3
True model:
𝑌 = 𝛽0 + 𝛽1 ∙ 𝑃 + 𝛽2 ∙ 𝑥1 + 𝛽3 ∙ 𝑥2 + 𝛽4 ∙ 𝑥3 + 𝜀
We actually attempt to estimate:
𝑌 = 𝜏0 + 𝜏1 ∙ 𝑃 + 𝜖
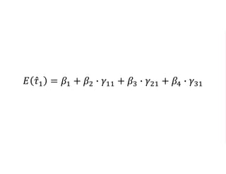
𝐸 𝜏1 = 𝛽1 + 𝛽2 ∙ 𝛾11 + 𝛽3 ∙ 𝛾21 + 𝛽4 ∙ 𝛾31
𝐸 𝜏1 = 𝛽1 + 𝛽2 ∙ 𝛾11 + 𝛽3 ∙ 𝛾21 + 𝛽4 ∙ 𝛾31
The actual
causal effect of
P on y
𝐸 𝜏1 = 𝛽1 + 𝛽2 ∙ 𝛾11 + 𝛽3 ∙ 𝛾21 + 𝛽4 ∙ 𝛾31
The actual
causal effect of
P on y
Th”Effect” of P on x1:
𝑥1𝑖= 𝛾10 + 𝛾11 ∙ 𝑃𝑖 + 𝜗1𝑖
The
actual
causal
effect of
the
omitted
variable
X1 on Y
𝐸 𝜏1 = 𝛽1 + 𝛽2 ∙ 𝛾11 + 𝛽3 ∙ 𝛾21 + 𝛽4 ∙ 𝛾31
The actual
causal effect of
P on y
”Effect” of P on x1:
𝑥1𝑖= 𝛾10 + 𝛾11 ∙ 𝑃𝑖 + 𝜗1𝑖
The
actual
causal
effect of
the
omitted
variable
X1 on Y
The actual causal effect
of the omitted variable
X2 on Y
Th”Effect” of P on x2:
𝑥2𝑖= 𝛾20 + 𝛾21 ∙ 𝑃𝑖 + 𝜗2𝑖
𝐸 𝜏1 = 𝛽1 + 𝛽2 ∙ 𝛾11 + 𝛽3 ∙ 𝛾21 + 𝛽4 ∙ 𝛾31
The actual
causal effect of
P on y
”Effect” of P on x1:
𝑥1𝑖= 𝛾10 + 𝛾11 ∙ 𝑃𝑖 + 𝜗1𝑖
The
actual
causal
effect of
the
omitted
variable
X1 on Y
The actual causal effect
of the omitted variable
X2 on Y
”Effect” of P on x2:
𝑥2𝑖= 𝛾20 + 𝛾21 ∙ 𝑃𝑖 + 𝜗2𝑖
Th”Effect” of P on x1:
𝑥3𝑖= 𝛾30 + 𝛾31 ∙ 𝑃𝑖 + 𝜗3𝑖
The actual causal effect of
the omitted variable X3 on Y
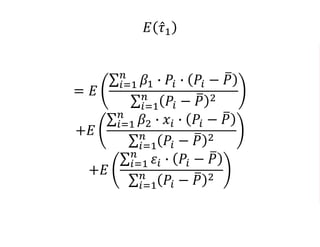
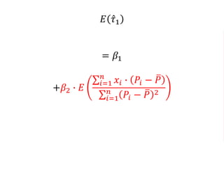
𝐸 𝜏1 = 𝛽1 + 𝛽2 ∙ 𝛾11 + 𝛽3 ∙ 𝛾21 + 𝛽4 ∙ 𝛾31
The actual
causal effect of
P on y
”Effect” of P on x1:
𝑥1𝑖= 𝛾10 + 𝛾11 ∙ 𝑃𝑖 + 𝜗1𝑖
The
actual
causal
effect of
the
omitted
variable
X1 on Y
The actual causal effect
of the omitted variable
X2 on Y
”Effect” of P on x2:
𝑥2𝑖= 𝛾20 + 𝛾21 ∙ 𝑃𝑖 + 𝜗2𝑖
Th”Effect” of P on x3:
𝑥3𝑖= 𝛾30 + 𝛾31 ∙ 𝑃𝑖 + 𝜗3𝑖
The actual causal effect of
the omitted variable X3 on Y
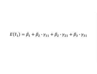
𝐸 𝜏1 = 𝛽1 + 𝛽2 ∙ 𝛾11 + 𝛽2 ∙ 𝛾21 + 𝛽3 ∙ 𝛾31
Potential outcomes
𝑌0
= 𝛽0 + 𝛽2 ∙ 𝑥1 + 𝛽3 ∙ 𝑥2 + 𝜀
𝑌1
= 𝛽0 + 𝛽1 + 𝛽2 ∙ 𝑥1 + 𝛽3 ∙ 𝑥2 + 𝜀
Costs of participation
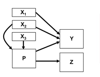
𝐶 = 𝜌0 + 𝜌2 ∙ 𝑥2 + 𝜌3 ∙ 𝑥3
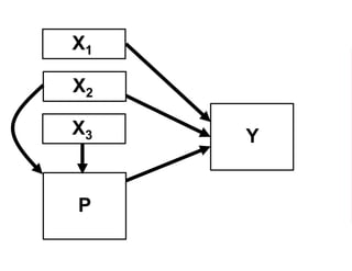
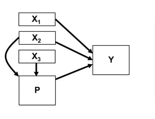
X2
Y
P
X1
X3
𝐸 𝜏1 = 𝛽1 + 𝛽2 ∙ 𝛾11 + 𝛽2 ∙ 𝛾21 + 𝛽3 ∙ 𝛾31
𝐸 𝜏1 = 𝛽1 + 𝛽2 ∙ 𝛾11 + 𝛽2 ∙ 𝛾21 + 𝛽3 ∙ 𝛾31
𝐸 𝜏1 = 𝛽1 + 𝛽2 ∙ 𝛾21 + 𝛽3 ∙ 𝛾31
X2
Y
P
X1
X3
𝐸 𝜏1 = 𝛽1 + 𝛽2 ∙ 𝛾21 + 𝛽3 ∙ 𝛾31
𝐸 𝜏1 = 𝛽1 + 𝛽2 ∙ 𝛾21
X2
Y
P
X1
X3
𝐸 𝜏1 = 𝛽1 + 𝛽2 ∙ 𝛾21
X2
Y
P
X1
X3
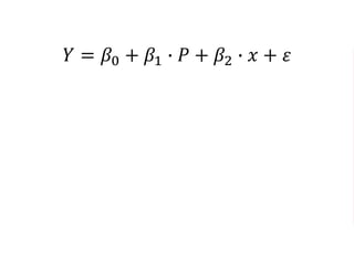
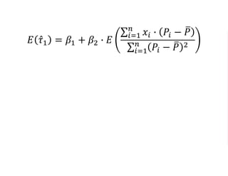
𝑌 = 𝛽0 + 𝛽1 ∙ 𝑃 + 𝛽2 ∙ 𝑥1 + 𝛽3 ∙ 𝑥2 + 𝛽4 ∙ 𝑥3 + 𝜀
𝑌 = 𝛽0 + 𝛽1 ∙ 𝑃 + 𝛽2 ∙ 𝑥 + 𝜀
𝐸 𝛽1 = 𝛽1
𝑌 = 𝛽0 + 𝛽1 ∙ 𝑃 + 𝛽2 ∙ 𝑥 + 𝜀
Regress 𝑌 on 𝑃 and 𝑥
𝐸 𝛽1 = 𝛽1
𝑌 = 𝛽0 + 𝛽1 ∙ 𝑃 + 𝛽2 ∙ 𝑥 + 𝜀
Regress 𝑌 on 𝑃 and 𝑥
𝐸 𝛽1 = 𝛽1
𝑌 = 𝛽0 + 𝛽1 ∙ 𝑃 + 𝛽2 ∙ 𝑥 + 𝜀
Regress 𝑌 on 𝑃 and 𝑥 and 𝑍
𝐸 𝛽1 ≠ 𝛽1
𝑌 = 𝛽0 + 𝛽1 ∙ 𝑃 + 𝛽2 ∙ 𝑥 + 𝜀
Regress 𝑌 on 𝑃 and 𝑥 and 𝑍
𝐸 𝛽1 ≠ 𝛽1
Bad controls
X2
Y
P
X1
X3
X2
Y
P
X1
X3
Z
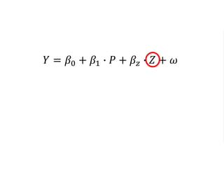
𝑌 = 𝛽0 + 𝛽1 ∙ 𝑃 + 𝛽𝑧 ∙ 𝑍 + 𝜔
1.Is correlated with the regressor of
interest
2.Is correlated with the error term
𝑌 = 𝛽0 + 𝛽1 ∙ 𝑃 + 𝛽𝑧 ∙ 𝑍 + 𝜔
1.Is correlated with the regressor of
interest
2.Is correlated with the error term
𝑌 = 𝛽0 + 𝛽1 ∙ 𝑃 + 𝛽𝑧 ∙ 𝑍 + 𝜔
1.Is correlated with the regressor of
interest
2.Is correlated with the error term
𝑌 = 𝛽0 + 𝛽1 ∙ 𝑃 + 𝛽𝑧 ∙ 𝑍 + 𝜔
1.Is correlated with the regressor of
interest
2.Is correlated with the error term
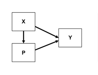
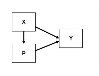
Matching
X
Y
P
1.
𝐸 𝑌1
|𝑋 = 𝑐 ≠ 𝐸 𝑌1
|𝑋 = 𝑘
𝐸 𝑌0
|𝑋 = 𝑐 ≠ 𝐸 𝑌0
|𝑋 = 𝑘
2.
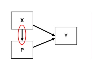
𝑃𝑟 𝑃 = 1|𝑋 = 𝑐 ≠ 𝑃𝑟 𝑃 = 1|𝑋 = 𝑘
𝐸 𝑋|𝑃 = 1 ≠ 𝐸 𝑋|𝑃 = 0
𝑋 =
0 if male
1 if female
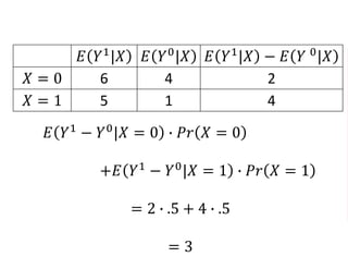
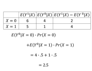
𝐸 𝑌1
|𝑋 𝐸 𝑌0
|𝑋 𝐸 𝑌1
|𝑋 − 𝐸 𝑌 0
|𝑋
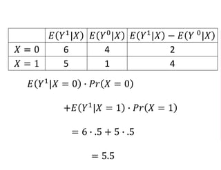
𝑋 = 0 6 4 2
𝑋 = 1 5 1 4
𝐸 𝑌1
|𝑋 𝐸 𝑌0
|𝑋 𝐸 𝑌1
|𝑋 − 𝐸 𝑌 0
|𝑋
𝑋 = 0 6 4 2
𝑋 = 1 5 1 4
𝐸 𝑌1
− 𝑌0
|𝑋 = 0 ∙ 𝑃𝑟 𝑋 = 0
+𝐸 𝑌1
− 𝑌0
|𝑋 = 1 ∙ 𝑃𝑟 𝑋 = 1
= 2 ∙ .5 + 4 ∙ .5
= 3
𝐸 𝑌1
|𝑋 𝐸 𝑌0
|𝑋 𝐸 𝑌1
|𝑋 − 𝐸 𝑌 0
|𝑋
𝑋 = 0 6 4 2
𝑋 = 1 5 1 4
𝐸 𝑌1
|𝑋 = 0 ∙ 𝑃𝑟 𝑋 = 0
+𝐸 𝑌1
|𝑋 = 1 ∙ 𝑃𝑟 𝑋 = 1
= 6 ∙ .5 + 5 ∙ .5
= 5.5
𝐸 𝑌1
|𝑋 𝐸 𝑌0
|𝑋 𝐸 𝑌1
|𝑋 − 𝐸 𝑌 0
|𝑋
𝑋 = 0 6 4 2
𝑋 = 1 5 1 4
𝐸 𝑌0
|𝑋 = 0 ∙ 𝑃𝑟 𝑋 = 0
+𝐸 𝑌0
|𝑋 = 1 ∙ 𝑃𝑟 𝑋 = 1
= 4 ∙ .5 + 1 ∙ .5
= 2.5
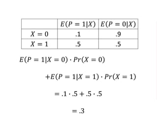
𝐸 𝑃 = 1|𝑋 𝐸 𝑃 = 0|𝑋
𝑋 = 0 .1 .9
𝑋 = 1 .5 .5
𝐸 𝑃 = 1|𝑋 = 0 ∙ 𝑃𝑟 𝑋 = 0
+𝐸 𝑃 = 1|𝑋 = 1 ∙ 𝑃𝑟 𝑋 = 1
= .1 ∙ .5 + .5 ∙ .5
= .3
𝐸 𝑃 = 1|𝑋 𝐸 𝑃 = 0|𝑋
𝑋 = 0 .1 .9
𝑋 = 1 .5 .5
𝐸 𝑃 = 1|𝑋 = 0 ∙ 𝑃𝑟 𝑋 = 0
+𝐸 𝑃 = 1|𝑋 = 1 ∙ 𝑃𝑟 𝑋 = 1
= .1 ∙ .5 + .5 ∙ .5
= .3
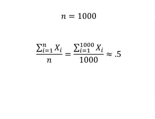
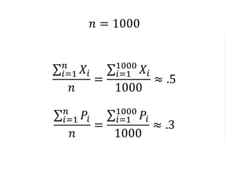
𝑛 = 1000
𝑖=1
𝑛
𝑋𝑖
𝑛
=
𝑖=1
1000
𝑋𝑖
1000
≈ 500
𝑖=1
𝑛
𝑃𝑖
𝑛
=
𝑖=1
1000
𝑃𝑖
1000
≈ 300
𝑛 = 1000
𝑖=1
𝑛
𝑋𝑖
𝑛
=
𝑖=1
1000
𝑋𝑖
1000
≈ .5
𝑖=1
𝑛
𝑃𝑖
𝑛
=
𝑖=1
1000
𝑃𝑖
1000
≈ 300
𝑛 = 1000
𝑖=1
𝑛
𝑋𝑖
𝑛
=
𝑖=1
1000
𝑋𝑖
1000
≈ .5
𝑖=1
𝑛
𝑃𝑖
𝑛
=
𝑖=1
1000
𝑃𝑖
1000
≈ .3
𝑗=1
300
𝑌𝑗
300
: 6 ∙ .16667 + 5 ∙ .8333 = 5.16652
𝑗=1
300
𝑌𝑗
300
: 6 ∙ .16667 + 5 ∙ .8333 = 5.16652
𝑗=1
700
𝑌𝑗
700
: 4 ∙ .6428 + 1 ∙ .3571 = 2.9286
?
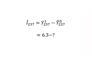
𝑖 = 237
𝑋237 = 0
𝑃237 = 1
𝑌237 = 𝑌237
1
= 5.3
𝑖 = 237
𝑋237 = 0
𝑃237 = 1
𝑌237 = 𝑌237
1
= 5.3
𝑖 = 237
𝑋237 = 0
𝑃237 = 1
𝑌237 = 𝑌237
1
= 5.3
𝑖 = 237
𝑋237 = 0
𝑃237 = 1
𝑌237 = 𝑌237
1
= 5.3
𝑖 = 237
𝑋237 = 0
𝑃237 = 1
𝑌237 = 𝑌237
1
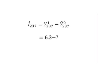
= 6.3
𝐼237 = 𝑌237
1
− 𝑌237
0
= 6.3−?
𝑌237
0
𝑌237
0
= 𝑌766
0
𝑌237
0
=
𝑌48
0
+ 𝑌109
0
+ 𝑌418
0
+ 𝑌505
0
+ 𝑌919
0
5
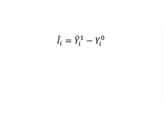
𝐼𝑖 = 𝑌𝑖
1
− 𝑌𝑖
0
𝐴𝑇𝐸 =
𝑖=1
𝑛
𝐼𝑖
𝑛
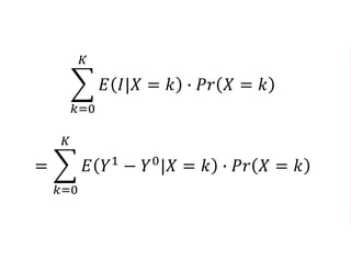
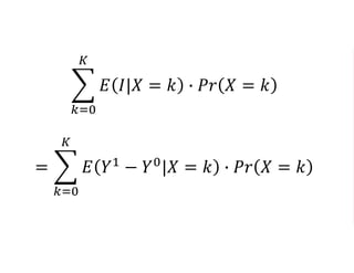
𝑘=0
𝐾
𝐸 𝐼|𝑋 = 𝑘 ∙ 𝑃𝑟 𝑋 = 𝑘
=
𝑘=0
𝐾
𝐸 𝑌1
− 𝑌0
|𝑋 = 𝑘 ∙ 𝑃𝑟 𝑋 = 𝑘
𝑘=0
𝐾
𝐸 𝐼|𝑋 = 𝑘, 𝑃 = 1 ∙ 𝑃𝑟 𝑋 = 𝑘|𝑃 = 1
=
𝑘=0
𝐾
𝐸 𝑌1
− 𝑌0
|𝑋 = 𝑘, 𝑃 = 1 ∙ 𝑃𝑟 𝑋 = 𝑘|𝑃 = 1
𝐼237 = 𝑌237
1
− 𝑌237
0
= 6.3−?
𝑘=0
𝐾
𝐸 𝐼|𝑋 = 𝑘 ∙ 𝑃𝑟 𝑋 = 𝑘
=
𝑘=0
𝐾
𝐸 𝑌1
− 𝑌0
|𝑋 = 𝑘 ∙ 𝑃𝑟 𝑋 = 𝑘
X
Y
P
2X Gender-male/female
5X SES-5 quintiles
4X Age-broken up into 4 categories
2X Sector-Urban/Rural
6X Religion-Christian, Muslim,
Hindu, Buddhist, Jewish,
Traditional.
6X Occupation-6 occupation types
2 Insurance-Insured/not insured
____
5,760 potential “types”
2X Gender-male/female
5X SES-5 quintiles
4X Age-broken up into 4 categories
2X Sector-Urban/Rural
6X Religion-Christian, Muslim,
Hindu, Buddhist, Jewish,
Traditional.
6X Occupation-6 occupation types
2 Insurance-Insured/not insured
____
2 potential “types”
2X Gender-male/female
5X SES-5 quintiles
4X Age-broken up into 4 categories
2X Sector-Urban/Rural
6X Religion-Christian, Muslim,
Hindu, Buddhist, Jewish,
Traditional.
6X Occupation-6 occupation types
2 Insurance-Insured/not insured
____
10 potential “types”
2X Gender-male/female
5X SES-5 quintiles
4X Age-broken up into 4 categories
2X Sector-Urban/Rural
6X Religion-Christian, Muslim,
Hindu, Buddhist, Jewish,
Traditional.
6X Occupation-6 occupation types
2 Insurance-Insured/not insured
____
40 potential “types”
2X Gender-male/female
5X SES-5 quintiles
4X Age-broken up into 4 categories
2X Sector-Urban/Rural
6X Religion-Christian, Muslim,
Hindu, Buddhist, Jewish,
Traditional.
6X Occupation-6 occupation types
2 Insurance-Insured/not insured
____
80 potential “types”
2X Gender-male/female
5X SES-5 quintiles
4X Age-broken up into 4 categories
2X Sector-Urban/Rural
6X Religion-Christian, Muslim,
Hindu, Buddhist, Jewish,
Traditional.
6X Occupation-6 occupation types
2 Insurance-Insured/not insured
____
480 potential “types”
2X Gender-male/female
5X SES-5 quintiles
4X Age-broken up into 4 categories
2X Sector-Urban/Rural
6X Religion-Christian, Muslim,
Hindu, Buddhist, Jewish,
Traditional.
6X Occupation-6 occupation types
2 Insurance-Insured/not insured
____
2,880 potential “types”
2X Gender-male/female
5X SES-5 quintiles
4X Age-broken up into 4 categories
2X Sector-Urban/Rural
6X Religion-Christian, Muslim,
Hindu, Buddhist, Jewish,
Traditional.
6X Occupation-6 occupation types
2 Insurance-Insured/not insured
____
5,760 potential “types”
2X Gender-male/female
5X SES-5 quintiles
4X Age-broken up into 4 categories
2X Sector-Urban/Rural
6X Religion-Christian, Muslim,
Hindu, Buddhist, Jewish,
Traditional.
6X Occupation-6 occupation types
2 Insurance-Insured/not insured
____
5,760 potential “types”
Pr(𝑃 = 1|𝑋)
𝐼237 = 𝑌237
1
− 𝑌237
0
= 6.3−?
𝐼237 = 𝑌237
1
− 𝑌237
0
= 6.3−?
Pr(𝑃 = 1|𝑋)
𝑃𝑟(𝑃 = 1|𝑋)
𝑃𝑟 𝑃 = 1 𝑋 =
𝑒𝑥𝑝 𝛽0 + 𝛽1 ∙ 𝑋
1 + 𝑒𝑥𝑝 𝛽0 + 𝛽1 ∙ 𝑋
The basics of the method
1. Pool your sample of participants and non-participants
and define various characteristics 𝑋.
2. Estimate the probability of program participation
conditional on
Pr 𝑃 = 1|𝑋
3. Compute the propensity score using the fitted binary
participation model.
𝑃𝑟 𝑃𝑖 = 1|𝑋𝑖
4. Find a counterfactual outcome for each individual by
identifying some individual who did experience the
counterfactual conditions and had a similar propensity score
Matching approaches
1. Nearest neighbor
2. Caliper
3. (Budget) Caliper
4. Weighting
Matching approaches
1. Nearest neighbor
2. Caliper
3. (Budget) Caliper
4. Weighting
Balancing property
Pr 𝑃 = 1|𝑋
Propensity score
0
1
P=0 P=1
Common
support
Propensity score
0
1
P=0 P=1
Failure of
common
support
Other applications of the
propensity score
1.Weighting
2.Regression
Other applications of the
propensity score
1.Weighting
2.Regression
𝐸 𝑃 = 1|𝑋 𝐸 𝑃 = 0|𝑋
𝑋 = 0 .1 .9
𝑋 = 1 .5 .5
𝐸 𝑃 = 1|𝑋 = 0 ∙ 𝑃𝑟 𝑋 = 0
+𝐸 𝑃 = 1|𝑋 = 1 ∙ 𝑃𝑟 𝑋 = 1
= .1 ∙ .5 + .5 ∙ .5
= .3
1,000 observations
𝐸 𝑃 = 1|𝑋 𝐸 𝑃 = 0|𝑋
𝑋 = 0 .1 .9
𝑋 = 1 .5 .5
𝐸 𝑃 = 1|𝑋 = 0 ∙ 𝑃𝑟 𝑋 = 0
+𝐸 𝑃 = 1|𝑋 = 1 ∙ 𝑃𝑟 𝑋 = 1
= .1 ∙ .5 + .5 ∙ .5
= .3
1,000 observations
300 participants
𝐸 𝑃 = 1|𝑋 𝐸 𝑃 = 0|𝑋
𝑋 = 0 .1 .9
𝑋 = 1 .5 .5
𝐸 𝑃 = 1|𝑋 = 0 ∙ 𝑃𝑟 𝑋 = 0
+𝐸 𝑃 = 1|𝑋 = 1 ∙ 𝑃𝑟 𝑋 = 1
= .1 ∙ .5 + .5 ∙ .5
= .3
1,000 observations
300 participants 700 non-participants
𝐸 𝑃 = 1|𝑋 𝐸 𝑃 = 0|𝑋
𝑋 = 0 .1 .9
𝑋 = 1 .5 .5
𝐸 𝑃 = 1|𝑋 = 0 ∙ 𝑃𝑟 𝑋 = 0
+𝐸 𝑃 = 1|𝑋 = 1 ∙ 𝑃𝑟 𝑋 = 1
= .1 ∙ .5 + .5 ∙ .5
= .3
1,000 observations
300 participants 700 non-participants
50 men 250 women
𝐸 𝑃 = 1|𝑋 𝐸 𝑃 = 0|𝑋
𝑋 = 0 .1 .9
𝑋 = 1 .5 .5
𝐸 𝑃 = 1|𝑋 = 0 ∙ 𝑃𝑟 𝑋 = 0
+𝐸 𝑃 = 1|𝑋 = 1 ∙ 𝑃𝑟 𝑋 = 1
= .1 ∙ .5 + .5 ∙ .5
= .3
1,000 observations
300 participants 700 non-participants
50 men 250 women 450 men 250 women
𝐸 𝑃 = 1|𝑋 𝐸 𝑃 = 0|𝑋
𝑋 = 0 .1 .9
𝑋 = 1 .5 .5
𝐸 𝑃 = 1|𝑋 = 0 ∙ 𝑃𝑟 𝑋 = 0
+𝐸 𝑃 = 1|𝑋 = 1 ∙ 𝑃𝑟 𝑋 = 1
= .1 ∙ .5 + .5 ∙ .5
= .3
1,000 observations
300 participants 700 non-participants
500 men 500 women 450 men 250 women
𝐸 𝑃 = 1|𝑋 𝐸 𝑃 = 0|𝑋
𝑋 = 0 .1 .9
𝑋 = 1 .5 .5
𝐸 𝑃 = 1|𝑋 = 0 ∙ 𝑃𝑟 𝑋 = 0
+𝐸 𝑃 = 1|𝑋 = 1 ∙ 𝑃𝑟 𝑋 = 1
= .1 ∙ .5 + .5 ∙ .5
= .3
1,000 observations
300 participants 700 non-participants
500 men 500 women 500 men 500 women
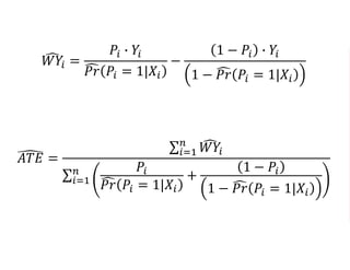
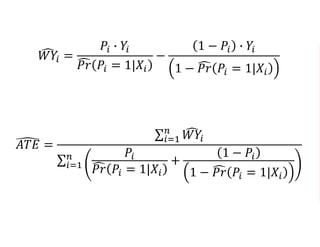
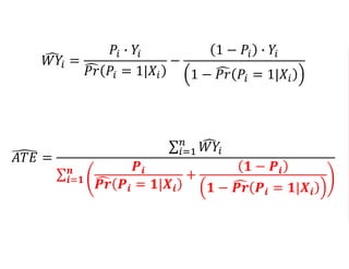
𝑊𝑌𝑖 =
𝑃𝑖 ∙ 𝑌𝑖
𝑃𝑟 𝑃𝑖 = 1|𝑋𝑖
−
1 − 𝑃𝑖 ∙ 𝑌𝑖
1 − 𝑃𝑟 𝑃𝑖 = 1|𝑋𝑖
𝐴𝑇𝐸 =
𝑖=1
𝑛
𝑊𝑌𝑖
𝑖=1
𝑛 𝑃𝑖
𝑃𝑟 𝑃𝑖 = 1|𝑋𝑖
+
1 − 𝑃𝑖
1 − 𝑃𝑟 𝑃𝑖 = 1|𝑋𝑖
𝑊𝑌𝑖 =
𝑃𝑖 ∙ 𝑌𝑖
𝑃𝑟 𝑃𝑖 = 1|𝑋𝑖
−
1 − 𝑃𝑖 ∙ 𝑌𝑖
1 − 𝑃𝑟 𝑃𝑖 = 1|𝑋𝑖
𝐴𝑇𝐸 =
𝑖=1
𝑛
𝑊𝑌𝑖
𝒊=𝟏
𝒏 𝑷𝒊
𝑷𝒓 𝑷𝒊 = 𝟏|𝑿𝒊
+
𝟏 − 𝑷𝒊
𝟏 − 𝑷𝒓 𝑷𝒊 = 𝟏|𝑿𝒊
𝑊𝑌𝑖 =
𝑃𝑖 ∙ 𝑌𝑖
𝑃𝑟 𝑃𝑖 = 1|𝑋𝑖
−
1 − 𝑃𝑖 ∙ 𝑌𝑖
1 − 𝑃𝑟 𝑃𝑖 = 1|𝑋𝑖
𝐴𝑇𝐸 =
𝑖=1
𝑛
𝑊𝑌𝑖
𝑖=1
𝑛 𝑃𝑖
𝑃𝑟 𝑃𝑖 = 1|𝑋𝑖
+
1 − 𝑃𝑖
1 − 𝑃𝑟 𝑃𝑖 = 1|𝑋𝑖
Other applications of the
propensity score
1.Weighting
2.Regression
Regress 𝑌𝑖 on 𝑃𝑖 and 𝑃𝑟 𝑃𝑖 = 1|𝑋𝑖
Regress 𝑌𝑖 on 𝑃𝑖 and 𝑃𝑟 𝑃𝑖 = 1|𝑋𝑖
Conclusion
Links:
The manual:
http://www.measureevaluation.org/resources/publications/ms-
14-87-en
The webinar introducing the manual:
http://www.measureevaluation.org/resources/webinars/metho
ds-for-program-impact-evaluation
My email:
pmlance@email.unc.edu
MEASURE Evaluation is funded by the U.S. Agency
for International Development (USAID) under terms
of Cooperative Agreement AID-OAA-L-14-00004 and
implemented by the Carolina Population Center, University
of North Carolina at Chapel Hill in partnership with ICF
International, John Snow, Inc., Management Sciences for
Health, Palladium Group, and Tulane University. The views
expressed in this presentation do not necessarily reflect
the views of USAID or the United States government.
www.measureevaluation.org

Selection on Observables

  • 1.
    Peter M. Lance,PhD MEASURE Evaluation University of North Carolina at Chapel Hill September 13 and 15, 2016 Selection on Observables
  • 2.
    Global, five-year, $180Mcooperative agreement Strategic objective: To strengthen health information systems – the capacity to gather, interpret, and use data – so countries can make better decisions and sustain good health outcomes over time. Project overview
  • 3.
    Improved country capacityto manage health information systems, resources, and staff Strengthened collection, analysis, and use of routine health data Methods, tools, and approaches improved and applied to address health information challenges and gaps Increased capacity for rigorous evaluation Phase IV Results Framework
  • 4.
    Global footprint (morethan 25 countries)
  • 5.
    • The programimpact evaluation challenge • Randomization • Selection on observables • Within estimators • Instrumental variables
  • 6.
    • The programimpact evaluation challenge • Randomization • Selection on observables • Within estimators • Instrumental variables
  • 9.
  • 10.
    X Y P 𝑌 = 𝑃∙ 𝑌1 + 1 − 𝑃 ∙ 𝑌0
  • 11.
  • 12.
  • 13.
    𝐸 𝑌1 − 𝑌0 =𝐸 𝑌1 − 𝐸 𝑌0 Average Y across sample of participants − Average Y across sample of non−participants
  • 14.
    𝐸 𝑌1 − 𝑌0 =𝐸 𝑌1 − 𝐸 𝑌0 Average Y across sample of participants − Average Y across sample of non−participants
  • 15.
    𝐸 𝑌1 − 𝑌0 =𝐸 𝑌1 − 𝐸 𝑌0 Average Y across sample of participants − Average Y across sample of non−participants
  • 16.
    𝐸 𝑌1 − 𝑌0 =𝐸 𝑌1 − 𝐸 𝑌0 Average Y across sample of participants − Average Y across sample of non−participants
  • 17.
    𝐸 𝑌1 − 𝑌0 =𝐸 𝑌1 − 𝐸 𝑌0 Average Y across sample of participants − Average Y across sample of non−participants
  • 18.
    𝐸 𝑌1 − 𝑌0 =𝐸 𝑌1 − 𝐸 𝑌0 Average Y across sample of participants − Average Y across sample of non−participants
  • 19.
    𝐸 𝑌1 − 𝑌0 =𝐸 𝑌1 − 𝐸 𝑌0 Average Y across sample of participants − Average Y across sample of non−participants
  • 20.
    𝐸 𝑌1 𝑃= 1 = 𝐸 𝑌1 𝑃 = 0 = 𝐸 𝑌1
  • 21.
  • 22.
    𝐸 𝑋 𝑃= 1 ≠ 𝐸 𝑋 𝑃 = 0
  • 23.
  • 24.
  • 25.
    𝐸 𝑋 𝑃= 1 ≠ 𝐸 𝑋 𝑃 = 0
  • 26.
    𝐸 𝑋 𝑃= 1 ≠ 𝐸 𝑋 𝑃 = 0 𝐸 𝑌1 𝑃 = 1 ≠ 𝐸 𝑌1 𝑃 = 0
  • 27.
    𝐸 𝑋 𝑃= 1 ≠ 𝐸 𝑋 𝑃 = 0 𝐸 𝑌0 𝑃 = 1 ≠ 𝐸 𝑌0 𝑃 = 0
  • 28.
    𝐸 𝑌1 − 𝑌0 =𝐸 𝑌1 − 𝐸 𝑌0 Average Y across sample of participants − Average Y across sample of non−participants
  • 29.
    𝐸 𝑌1 𝑃 =1 ≠ 𝐸 𝑌1 𝑃 = 0 𝑋 = 𝑥∗ 𝐸 𝑌1 𝑃 = 1, 𝑋 = 𝑥∗ = 𝐸 𝑌1 𝑃 = 0, 𝑋 = 𝑥∗ 𝐸 𝑌0 𝑃 = 1, 𝑋 = 𝑥∗ = 𝐸 𝑌0 𝑃 = 0, 𝑋 = 𝑥∗
  • 30.
    𝐸 𝑌1 𝑃 =1 ≠ 𝐸 𝑌1 𝑃 = 0 𝑋 = 𝑥∗ 𝐸 𝑌1 𝑃 = 1, 𝑋 = 𝑥∗ = 𝐸 𝑌1 𝑃 = 0, 𝑋 = 𝑥∗ 𝐸 𝑌0 𝑃 = 1, 𝑋 = 𝑥∗ = 𝐸 𝑌0 𝑃 = 0, 𝑋 = 𝑥∗
  • 31.
  • 32.
    𝐸 𝑌1 𝑃 =1 ≠ 𝐸 𝑌1 𝑃 = 0 𝑋 = 𝑥∗ 𝐸 𝑌1 𝑃 = 1, 𝑋 = 𝑥∗ = 𝐸 𝑌1 𝑃 = 0, 𝑋 = 𝑥∗ 𝐸 𝑌0 𝑃 = 1, 𝑋 = 𝑥∗ = 𝐸 𝑌0 𝑃 = 0, 𝑋 = 𝑥∗
  • 33.
    𝐸 𝑌1 𝑃 =1 ≠ 𝐸 𝑌1 𝑃 = 0 𝑋 = 𝑥∗ 𝐸 𝑌1 𝑃 = 1, 𝑋 = 𝑥∗ = 𝐸 𝑌1 𝑃 = 0, 𝑋 = 𝑥∗ 𝐸 𝑌0 𝑃 = 1, 𝑋 = 𝑥∗ = 𝐸 𝑌0 𝑃 = 0, 𝑋 = 𝑥∗
  • 34.
    𝐸 𝑌1 𝑃 =1 ≠ 𝐸 𝑌1 𝑃 = 0 𝑋 = 𝑥∗ 𝐸 𝑌1 𝑃 = 1, 𝑋 = 𝑥∗ = 𝐸 𝑌1 𝑃 = 0, 𝑋 = 𝑥∗ 𝐸 𝑌0 𝑃 = 1, 𝑋 = 𝑥∗ = 𝐸 𝑌0 𝑃 = 0, 𝑋 = 𝑥∗
  • 35.
    𝐸 𝑌1 − 𝑌0 =𝐸 𝑌1 − 𝐸 𝑌0 Average Y across sample of participants − Average Y across sample of non−participants
  • 36.
    𝐸 𝑌1 − 𝑌0 |𝑋= 𝑥∗ = 𝐸 𝑌1 |𝑋 = 𝑥∗ − 𝐸 𝑌0 |𝑋 = 𝑥∗ Average Y across sample of participants for whom 𝑋 = 𝑥∗ − Average Y across sample of participants of non−participants 𝑋 = 𝑥∗
  • 37.
    𝐸 𝑌1 − 𝑌0 =𝐸 𝑌1 − 𝐸 𝑌0 Population Participation Rate Poor .4 .7 Middle .5 .3 Rich .1 .1
  • 38.
    𝐸 𝑌1 − 𝑌0 =𝐸 𝑌1 − 𝐸 𝑌0 Population Participation Rate Poor .4 .7 Middle .5 .3 Rich .1 .1
  • 39.
    𝐸 𝑌1 − 𝑌0 =𝐸 𝑌1 − 𝐸 𝑌0 Population Participation Rate Poor .4 .7 Middle .5 .3 Rich .1 .1
  • 40.
    𝐸 𝑌1 − 𝑌0 =𝐸 𝑌1 − 𝐸 𝑌0 Participants (𝑷 = 𝟏) Non- participants (𝑷 = 𝟎) Poor .64 .21 Middle .34 .63 Rich .02 .16
  • 41.
    𝐸 𝑌1 − 𝑌0 =𝐸 𝑌1 − 𝐸 𝑌0 Participants (𝑷 = 𝟏) Non- participants (𝑷 = 𝟎) Poor .64 .21 Middle .34 .63 Rich .02 .16
  • 42.
    𝐸 𝑌1 − 𝑌0 =𝐸 𝑌1 − 𝐸 𝑌0 Participants (𝑷 = 𝟏) Non- participants (𝑷 = 𝟎) Poor .64 .21 Middle .34 .63 Rich .02 .16
  • 43.
    𝐸 𝑌1 − 𝑌0 =𝐸 𝑌1 − 𝐸 𝑌0 Participants (𝑷 = 𝟏) Weight Poor .64 .63 Middle .34 1.47 Rich .02 4.4
  • 44.
    𝐸 𝑌1 − 𝑌0 =𝐸 𝑌1 − 𝐸 𝑌0 Participants (𝑷 = 𝟏) Weight Poor .64 .63 Middle .34 1.47 Rich .02 4.4
  • 45.
    𝐸 𝑌1 − 𝑌0 =𝐸 𝑌1 − 𝐸 𝑌0 Participants (𝑷 = 𝟏) Weight Poor .64 .63 Middle .34 1.47 Rich .02 4.4
  • 46.
    𝐸 𝑌1 − 𝑌0 =𝐸 𝑌1 − 𝐸 𝑌0 Participants (𝑷 = 𝟏) Weight Poor .64 .63 Middle .34 1.47 Rich .02 4.5
  • 47.
    𝐸 𝑌1 − 𝑌0 =𝐸 𝑌1 − 𝐸 𝑌0 Average of Y across a sample of participants = 𝑖=1 𝑛 𝑃 𝑤𝑖 ∗ 𝑌𝑖 𝑛 𝑃 𝒘𝒊=.63 if individual i is poor 𝒘𝒊=1.47 if individual i is middle class 𝒘𝒊=4.4 if individual i is rich
  • 48.
    𝐸 𝑌1 − 𝑌0 =𝐸 𝑌1 − 𝐸 𝑌0 Average of Y across a sample of participants = 𝑖=1 𝑛 𝑃 𝑌𝑖 𝑛 𝑃 𝒘𝒊=.63 if individual i is poor 𝒘𝒊=1.47 if individual i is middle class 𝒘𝒊=4.4 if individual i is rich
  • 49.
    𝐸 𝑌1 − 𝑌0 =𝐸 𝑌1 − 𝐸 𝑌0 Average of Y across a sample of participants = 𝑖=1 𝑛 𝑃 𝑤𝑖 ∙ 𝑌𝑖 𝑖=1 𝑛 𝑃 𝑤𝑖 𝒘𝒊=.63 if individual i is poor 𝒘𝒊=1.47 if individual i is middle class 𝒘𝒊=4.4 if individual i is rich
  • 50.
    𝐸 𝑌1 − 𝑌0 =𝐸 𝑌1 − 𝐸 𝑌0 Average of Y across a sample of participants = 𝑖=1 𝑛 𝑃 𝒘𝒊 ∙ 𝑌𝑖 𝑖=1 𝑛 𝑃 𝑤𝑖 𝒘𝒊=.63 if individual i is poor 𝒘𝒊=1.47 if individual i is middle class 𝒘𝒊=4.4 if individual i is rich
  • 51.
    𝐸 𝑌1 − 𝑌0 =𝐸 𝑌1 − 𝐸 𝑌0 Participants (𝑷 = 𝟏) Weight Poor .64 .63 Middle .34 1.47 Rich .02 4.5
  • 52.
    𝐸 𝑌1 − 𝑌0 =𝐸 𝑌1 − 𝐸 𝑌0 Average of Y across a sample of participants = 𝑖=1 𝑛 𝑃 𝑤𝑖 ∙ 𝑌𝑖 𝑖=1 𝑛 𝑃 𝑤𝑖 𝒘𝒊=.63 if individual i is poor 𝒘𝒊=1.47 if individual i is middle class 𝒘𝒊=4.5 if individual i is rich
  • 53.
    𝐸 𝑌1 − 𝑌0 =𝐸 𝑌1 − 𝐸 𝑌0 . 4 ∗ Average Y across sample of participants who are poor + .5 ∗ Average Y across sample of non−participants who are middle class +.1 ∗ Average Y across sample of participants who are rich
  • 54.
    𝐸 𝑌1 − 𝑌0 =𝐸 𝑌1 − 𝐸 𝑌0 Average of Y across a sample of participants = 𝑖=1 𝑛 𝑃 𝑤𝑖 ∙ 𝑌𝑖 𝑖=1 𝑛 𝑃 𝑤𝑖 𝒘𝒊=.63 if individual i is poor 𝒘𝒊=1.47 if individual i is middle class 𝒘𝒊=4.5 if individual i is rich
  • 56.
    𝑌0 = 𝛽0+ 𝜖 𝑌1 = 𝛽0 + 𝛽1 + 𝜖
  • 57.
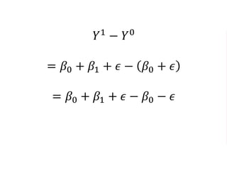
    𝑌1 − 𝑌0 =𝛽0 + 𝛽1 + 𝜖 − 𝛽0 + 𝜖 = 𝛽0 + 𝛽1 + 𝜖 − 𝛽0 − 𝜖 = 𝛽1
  • 58.
    𝑌1 − 𝑌0 =𝛽0 + 𝛽1 + 𝜖 − 𝛽0 + 𝜖 = 𝛽0 + 𝛽1 + 𝜖 − 𝛽0 − 𝜖 = 𝛽1
  • 59.
    𝑌1 − 𝑌0 =𝛽0 + 𝛽1 + 𝜖 − 𝛽0 + 𝜖 = 𝛽0 + 𝛽1 + 𝜖 − 𝛽0 − 𝜖 = 𝛽1
  • 60.
    𝑌1 − 𝑌0 =𝛽0 + 𝛽1 + 𝜖 − 𝛽0 + 𝜖 = 𝛽0 + 𝛽1 + 𝜖 − 𝛽0 − 𝜖 = 𝛽1
  • 61.
    𝑌 = 𝑃∙ 𝑌1 + 1 − 𝑃 ∙ 𝑌0 = 𝑃 ∗ 𝛽0 + 𝛽1 + 𝜖 + 1 − 𝑃 ∗ 𝛽0 + 𝜖 = 𝑃 ∗ 𝛽0 + 𝑃 ∗ 𝛽1 + 𝑃 ∗ 𝜖 +𝛽0 + 𝜖 − 𝑃 ∗ 𝛽0 − 𝑃 ∗ 𝜖 = 𝛽0 + 𝑃 ∗ 𝛽1 + 𝜖
  • 62.
    𝑌 = 𝑃∙ 𝑌1 + 1 − 𝑃 ∙ 𝑌0 = 𝑃 ∙ 𝛽0 + 𝛽1 + 𝜖 + 1 − 𝑃 ∙ 𝛽0 + 𝜖 = 𝑃 ∗ 𝛽0 + 𝑃 ∗ 𝛽1 + 𝑃 ∗ 𝜖 +𝛽0 + 𝜖 − 𝑃 ∗ 𝛽0 − 𝑃 ∗ 𝜖 = 𝛽0 + 𝑃 ∗ 𝛽1 + 𝜖
  • 63.
    𝑌 = 𝑃∙ 𝑌1 + 1 − 𝑃 ∙ 𝑌0 = 𝑃 ∙ 𝛽0 + 𝛽1 + 𝜖 + 1 − 𝑃 ∙ 𝛽0 + 𝜖 = 𝑃 ∙ 𝛽0 + 𝑃 ∙ 𝛽1 + 𝑃 ∙ 𝜖 +𝛽0 + 𝜖 − 𝑃 ∙ 𝛽0 − 𝑃 ∙ 𝜖 = 𝛽0 + 𝑃 ∗ 𝛽1 + 𝜖
  • 64.
    𝑌 = 𝑃∙ 𝑌1 + 1 − 𝑃 ∙ 𝑌0 = 𝑃 ∙ 𝛽0 + 𝛽1 + 𝜖 + 1 − 𝑃 ∙ 𝛽0 + 𝜖 = 𝑃 ∙ 𝛽0 + 𝑃 ∙ 𝛽1 + 𝑃 ∙ 𝜖 +𝛽0 + 𝜖 − 𝑃 ∙ 𝛽0 − 𝑃 ∙ 𝜖 = 𝛽0 + 𝑃 ∗ 𝛽1 + 𝜖
  • 65.
    𝑌 = 𝑃∙ 𝑌1 + 1 − 𝑃 ∙ 𝑌0 = 𝑃 ∙ 𝛽0 + 𝛽1 + 𝜖 + 1 − 𝑃 ∙ 𝛽0 + 𝜖 = 𝑃 ∙ 𝛽0 + 𝑃 ∙ 𝛽1 + 𝑃 ∙ 𝜖 +𝛽0 + 𝜖 − 𝑃 ∙ 𝛽0 − 𝑃 ∙ 𝜖 = 𝛽0 + 𝑃 ∗ 𝛽1 + 𝜖
  • 66.
    𝑌 = 𝑃∙ 𝑌1 + 1 − 𝑃 ∙ 𝑌0 = 𝑃 ∙ 𝛽0 + 𝛽1 + 𝜖 + 1 − 𝑃 ∙ 𝛽0 + 𝜖 = 𝑃 ∙ 𝛽0 + 𝑃 ∙ 𝛽1 + 𝑃 ∙ 𝜖 +𝛽0 + 𝜖 − 𝑃 ∙ 𝛽0 − 𝑃 ∙ 𝜖 = 𝛽0 + 𝑃 ∙ 𝛽1 + 𝜖
  • 67.
    𝑌 = 𝛽0+ 𝑃 ∙ 𝛽1 + 𝜖
  • 68.
    𝑌 = 𝛽0+ 𝛽1 ∙ 𝑃 + 𝜖
  • 69.
    𝑌0 = 𝛽0 +𝜖 𝑌1 = 𝛽0 + 𝛽1 + 𝜖 𝑌 = 𝑃 ∙ 𝑌1 + 1 − 𝑃 ∙ 𝑌0
  • 70.
    𝑌0 = 𝛽0 +𝜖 𝑌1 = 𝛽0 + 𝛽1 + 𝜖 𝑌 = 𝑃 ∙ 𝑌1 + 1 − 𝑃 ∙ 𝑌0
  • 71.
    𝑌0 = 𝛽0 +𝜖 𝑌1 = 𝛽0 + 𝛽1 + 𝜖 𝑌 = 𝑃 ∙ 𝑌1 + 1 − 𝑃 ∙ 𝑌0
  • 72.
    𝑌 = 𝛽0+ 𝛽1 ∙ 𝑃 + 𝜖
  • 73.
    𝑌0 = 𝛽0 +𝜖 𝑌1 = 𝛽0 + 𝛽1 + 𝜖 𝑌 = 𝑃 ∙ 𝑌1 + 1 − 𝑃 ∙ 𝑌0
  • 74.
    𝑌 = 𝛽0+ 𝛽1 ∙ 𝑃 + 𝜖
  • 75.
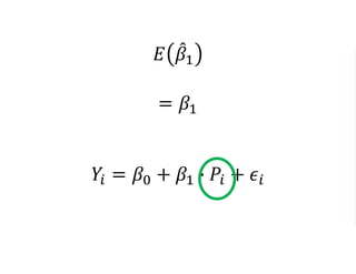
    𝑌𝑖 = 𝛽0+ 𝛽1 ∙ 𝑃𝑖 + 𝜖𝑖 𝑖 = 1, … , 𝑛
  • 76.
    𝜖𝑖 = 𝑌𝑖− 𝛽0 − 𝛽1 ∙ 𝑃𝑖 𝑚𝑖𝑛 𝛽0, 𝛽1 𝑖=1 𝑛 𝜀𝑖 2 = 𝑚𝑖𝑛 𝛽0, 𝛽1 𝑖=1 𝑛 𝑌𝑖 − 𝛽0 − 𝛽1 ∙ 𝑃𝑖 2 𝜖𝑖
  • 77.
    𝑌 = 𝛽0+ 𝛽1 ∙ 𝑃 + 𝜖
  • 78.
    𝑌 = 𝛽0+ 𝛽1 ∙ 𝑃 + 𝜖
  • 79.
    𝜖𝑖 = 𝑌𝑖− 𝛽0 − 𝛽1 ∙ 𝑃𝑖 𝑚𝑖𝑛 𝛽0, 𝛽1 𝑖=1 𝑛 𝜀𝑖 2 = 𝑚𝑖𝑛 𝛽0, 𝛽1 𝑖=1 𝑛 𝑌𝑖 − 𝛽0 − 𝛽1 ∙ 𝑃𝑖 2 𝜖𝑖
  • 80.
    𝛽1 = 𝑖=1 𝑛 𝑃𝑖 −𝑃 ∙ 𝑌𝑖 𝑖=1 𝑛 𝑃𝑖 − 𝑃 2 where 𝑃 = 𝑖=1 𝑛 𝑃𝑖 𝑛
  • 81.
  • 82.
    An expected valuefor a random variable is the average value from a large number of repetitions of the experiment that random variable represents An expected value is the true average of a random variable across a population Expected value
  • 83.
    An expected valuefor a random variable is the average value from a large number of repetitions of the experiment that random variable represents An expected value is the true average of a random variable across a population Expected value
  • 84.
    An expected valueis the true average of a random variable across a population 𝐸 𝑋 = some true value Expected value
  • 85.
    𝑌 = 𝛽0+ 𝛽1 ∙ 𝑃 + 𝜖
  • 86.
    𝐸 𝑐 =𝑐 𝐸 𝑐 ∙ 𝑊 = 𝑐 ∙ 𝐸 𝑊 𝐸 𝑊 + 𝑍 = 𝐸 𝑊 + 𝐸 𝑍 𝐸 𝑊 − 𝑍 = 𝐸 𝑊 − 𝐸 𝑍 𝐸 𝑎 ∙ 𝑊 ± 𝑏 ∙ 𝑍 = 𝑎 ∙ 𝐸 𝑊 ± 𝑏 ∙ 𝐸 𝑍 Expectations: Properties
  • 87.
    𝑬 𝒄 =𝒄 𝐸 𝑐 ∙ 𝑊 = 𝑐 ∙ 𝐸 𝑊 𝐸 𝑊 + 𝑍 = 𝐸 𝑊 + 𝐸 𝑍 𝐸 𝑊 − 𝑍 = 𝐸 𝑊 − 𝐸 𝑍 𝐸 𝑎 ∙ 𝑊 ± 𝑏 ∙ 𝑍 = 𝑎 ∙ 𝐸 𝑊 ± 𝑏 ∙ 𝐸 𝑍 Expectations: Properties
  • 88.
    𝐸 𝑐 =𝑐 𝑬 𝒄 ∙ 𝑾 = 𝒄 ∙ 𝑬 𝑾 𝐸 𝑊 + 𝑍 = 𝐸 𝑊 + 𝐸 𝑍 𝐸 𝑊 − 𝑍 = 𝐸 𝑊 − 𝐸 𝑍 𝐸 𝑎 ∙ 𝑊 ± 𝑏 ∙ 𝑍 = 𝑎 ∙ 𝐸 𝑊 ± 𝑏 ∙ 𝐸 𝑍 Expectations: Properties
  • 89.
    𝐸 𝑐 =𝑐 𝐸 𝑐 ∙ 𝑊 = 𝑐 ∙ 𝐸 𝑊 𝑬 𝑾 + 𝒁 = 𝑬 𝑾 + 𝑬 𝒁 𝐸 𝑊 − 𝑍 = 𝐸 𝑊 − 𝐸 𝑍 𝐸 𝑎 ∙ 𝑊 ± 𝑏 ∙ 𝑍 = 𝑎 ∙ 𝐸 𝑊 ± 𝑏 ∙ 𝐸 𝑍 Expectations: Properties
  • 90.
    𝐸 𝑐 =𝑐 𝐸 𝑐 ∙ 𝑊 = 𝑐 ∙ 𝐸 𝑊 𝐸 𝑊 + 𝑍 = 𝐸 𝑊 + 𝐸 𝑍 𝑬 𝑾 − 𝒁 = 𝑬 𝑾 − 𝑬 𝒁 𝐸 𝑎 ∙ 𝑊 ± 𝑏 ∙ 𝑍 = 𝑎 ∙ 𝐸 𝑊 ± 𝑏 ∙ 𝐸 𝑍 Expectations: Properties
  • 91.
    𝐸 𝑐 =𝑐 𝐸 𝑐 ∙ 𝑊 = 𝑐 ∙ 𝐸 𝑊 𝐸 𝑊 + 𝑍 = 𝐸 𝑊 + 𝐸 𝑍 𝐸 𝑊 − 𝑍 = 𝐸 𝑊 − 𝐸 𝑍 𝑬 𝒂 ∙ 𝑾 ± 𝒃 ∙ 𝒁 = 𝒂 ∙ 𝑬 𝑾 ± 𝒃 ∙ 𝑬 𝒁 Expectations: Properties
  • 92.
    𝐸 𝑊 ∙𝑍 ≠ 𝐸 𝑊 ∙ 𝐸 𝑍 𝐸 𝑊 𝑍 ≠ 𝐸 𝑊 𝐸 𝑍 𝐸 𝑓 𝑊 ≠ 𝑓 𝐸 𝑊 Expectations: Properties
  • 93.
    𝑬 𝑾 ∙𝒁 ≠ 𝑬 𝑾 ∙ 𝑬 𝒁 𝐸 𝑊 𝑍 ≠ 𝐸 𝑊 𝐸 𝑍 𝐸 𝑓 𝑊 ≠ 𝑓 𝐸 𝑊 Expectations: Properties
  • 94.
    𝐸 𝑊 ∙𝑍 ≠ 𝐸 𝑊 ∙ 𝐸 𝑍 𝑬 𝑾 𝒁 ≠ 𝑬 𝑾 𝑬 𝒁 𝐸 𝑓 𝑊 ≠ 𝑓 𝐸 𝑊 Expectations: Properties
  • 95.
    𝐸 𝑊 ∙𝑍 ≠ 𝐸 𝑊 ∙ 𝐸 𝑍 𝐸 𝑊 𝑍 ≠ 𝐸 𝑊 𝐸 𝑍 𝑬 𝒇 𝑾 ≠ 𝒇 𝑬 𝑾 Expectations: Properties
  • 96.
    𝑌𝑖 = 𝛽0+ 𝛽1 ∙ 𝑃𝑖 + 𝜖𝑖 𝛽1 = 𝑖=1 𝑛 𝑃𝑖 − 𝑃 ∙ 𝑌𝑖 𝑖=1 𝑛 𝑃𝑖 − 𝑃 2
  • 97.
    𝑌𝑖 = 𝛽0+ 𝛽1 ∙ 𝑃𝑖 + 𝜖𝑖 𝛽1 = 𝑖=1 𝑛 𝑃𝑖 − 𝑃 ∙ 𝑌𝑖 𝑖=1 𝑛 𝑃𝑖 − 𝑃 2
  • 98.
    𝑌𝑖 = 𝛽0+ 𝛽1 ∙ 𝑃𝑖 + 𝜖𝑖 𝛽1 = 𝑖=1 𝑛 𝑃𝑖 − 𝑃 ∙ 𝑌𝑖 𝑖=1 𝑛 𝑃𝑖 − 𝑃 2
  • 99.
  • 101.
  • 103.
    𝛽1 = 𝑖=1 𝑛 𝑃𝑖 −𝑃 ∙ 𝑌𝑖 𝑖=1 𝑛 𝑃𝑖 − 𝑃 2
  • 104.
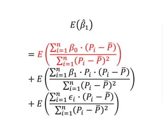
    𝐸( 𝛽1) =𝐸 𝑖=1 𝑛 𝑃𝑖 − 𝑃 ∙ 𝑌𝑖 𝑖=1 𝑛 𝑃𝑖 − 𝑃 2
  • 105.
    𝑌𝑖 = 𝛽0+ 𝛽1 ∙ 𝑃𝑖 + 𝜖𝑖
  • 106.
    𝐸( 𝛽1) =𝐸 𝑖=1 𝑛 𝑃𝑖 − 𝑃 ∙ 𝑌𝑖 𝑖=1 𝑛 𝑃𝑖 − 𝑃 2
  • 107.
    𝐸 𝛽1 = 𝐸 𝑖=1 𝑛 𝑃𝑖− 𝑃 ∙ 𝛽0 + 𝛽1 ∙ 𝑃𝑖 + 𝜖𝑖 𝑖=1 𝑛 𝑃𝑖 − 𝑃 2
  • 108.
    𝐸 𝛽1 = 𝐸 𝑖=1 𝑛 𝛽0∙ 𝑃𝑖 − 𝑃 𝑖=1 𝑛 𝑃𝑖 − 𝑃 2 + 𝑖=1 𝑛 𝛽1 ∙ 𝑃𝑖 ∙ 𝑃𝑖 − 𝑃 𝑖=1 𝑛 𝑃𝑖 − 𝑃 2
  • 109.
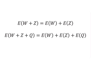
    𝐸 𝑊 +𝑍 = 𝐸 𝑊 + 𝐸 𝑍 𝐸 𝑊 + 𝑍 + 𝑄 = 𝐸 𝑊 + 𝐸 𝑍 + 𝐸 𝑄
  • 110.
    𝐸 𝑊 +𝑍 = 𝐸 𝑊 + 𝐸 𝑍 𝐸 𝑊 + 𝑍 + 𝑄 = 𝐸 𝑊 + 𝐸 𝑍 + 𝐸 𝑄
  • 111.
    𝐸 𝛽1 = 𝐸 𝑖=1 𝑛 𝛽0∙ 𝑃𝑖 − 𝑃 𝑖=1 𝑛 𝑃𝑖 − 𝑃 2 + 𝑖=1 𝑛 𝛽1 ∙ 𝑃𝑖 ∙ 𝑃𝑖 − 𝑃 𝑖=1 𝑛 𝑃𝑖 − 𝑃 2
  • 112.
    𝐸 𝛽1 = 𝐸 𝑖=1 𝑛 𝛽0∙ 𝑃𝑖 − 𝑃 𝑖=1 𝑛 𝑃𝑖 − 𝑃 2 + 𝑖=1 𝑛 𝛽1 ∙ 𝑃𝑖 ∙ 𝑃𝑖 − 𝑃 𝑖=1 𝑛 𝑃𝑖 − 𝑃 2
  • 113.
    𝐸 𝛽1 = 𝐸 𝑖=1 𝑛 𝛽0∙ 𝑃𝑖 − 𝑃 𝑖=1 𝑛 𝑃𝑖 − 𝑃 2 + 𝑖=1 𝑛 𝛽1 ∙ 𝑃𝑖 ∙ 𝑃𝑖 − 𝑃 𝑖=1 𝑛 𝑃𝑖 − 𝑃 2
  • 114.
    𝐸 𝛽1 = 𝐸 𝑖=1 𝑛 𝛽0∙ 𝑃𝑖 − 𝑃 𝑖=1 𝑛 𝑃𝑖 − 𝑃 2 + 𝑖=1 𝑛 𝛽1 ∙ 𝑃𝑖 ∙ 𝑃𝑖 − 𝑃 𝑖=1 𝑛 𝑃𝑖 − 𝑃 2
  • 115.
    𝐸 𝛽1 = 𝐸 𝑖=1 𝑛 𝛽0∙ 𝑃𝑖 − 𝑃 𝑖=1 𝑛 𝑃𝑖 − 𝑃 2 + 𝑖=1 𝑛 𝛽1 ∙ 𝑃𝑖 ∙ 𝑃𝑖 − 𝑃 𝑖=1 𝑛 𝑃𝑖 − 𝑃 2
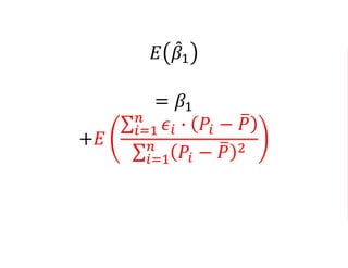
  • 116.
    𝐸 𝛽1 = 𝐸 𝑖=1 𝑛 𝛽0∙ 𝑃𝑖 − 𝑃 𝑖=1 𝑛 𝑃𝑖 − 𝑃 2 + 𝐸 𝑖=1 𝑛 𝛽1 ∙ 𝑃𝑖 ∙ 𝑃𝑖 − 𝑃 𝑖=1 𝑛 𝑃𝑖 − 𝑃 2 + 𝐸 𝑖=1 𝑛 𝜖𝑖 ∙ 𝑃𝑖 − 𝑃 𝑖=1 𝑛 𝑃𝑖 − 𝑃 2
  • 117.
    𝐸 𝛽1 = 𝐸 𝑖=1 𝑛 𝛽0∙ 𝑃𝑖 − 𝑃 𝑖=1 𝑛 𝑃𝑖 − 𝑃 2 + 𝐸 𝑖=1 𝑛 𝛽1 ∙ 𝑃𝑖 ∙ 𝑃𝑖 − 𝑃 𝑖=1 𝑛 𝑃𝑖 − 𝑃 2 + 𝐸 𝑖=1 𝑛 𝜖𝑖 ∙ 𝑃𝑖 − 𝑃 𝑖=1 𝑛 𝑃𝑖 − 𝑃 2
  • 118.
    𝐸 𝑐 ∙𝑊 = 𝑐 ∙ 𝐸 𝑊
  • 119.
    𝐸 𝛽1 = 𝐸 𝑖=1 𝑛 𝛽0∙ 𝑃𝑖 − 𝑃 𝑖=1 𝑛 𝑃𝑖 − 𝑃 2 + 𝐸 𝑖=1 𝑛 𝛽1 ∙ 𝑃𝑖 ∙ 𝑃𝑖 − 𝑃 𝑖=1 𝑛 𝑃𝑖 − 𝑃 2 + 𝐸 𝑖=1 𝑛 𝜖𝑖 ∙ 𝑃𝑖 − 𝑃 𝑖=1 𝑛 𝑃𝑖 − 𝑃 2
  • 120.
    𝐸 𝛽1 = 𝛽0∙ 𝐸 𝑖=1 𝑛 𝑃𝑖 − 𝑃 𝑖=1 𝑛 𝑃𝑖 − 𝑃 2 + 𝐸 𝑖=1 𝑛 𝛽1 ∙ 𝑃𝑖 ∙ 𝑃𝑖 − 𝑃 𝑖=1 𝑛 𝑃𝑖 − 𝑃 2 + 𝐸 𝑖=1 𝑛 𝜖𝑖 ∙ 𝑃𝑖 − 𝑃 𝑖=1 𝑛 𝑃𝑖 − 𝑃 2
  • 121.
    𝐸 𝛽1 = 𝛽0∙ 𝐸 𝑖=1 𝑛 𝑃𝑖 − 𝑃 𝑖=1 𝑛 𝑃𝑖 − 𝑃 2 + 𝐸 𝑖=1 𝑛 𝛽1 ∙ 𝑃𝑖 ∙ 𝑃𝑖 − 𝑃 𝑖=1 𝑛 𝑃𝑖 − 𝑃 2 + 𝐸 𝑖=1 𝑛 𝜖𝑖 ∙ 𝑃𝑖 − 𝑃 𝑖=1 𝑛 𝑃𝑖 − 𝑃 2
  • 122.
    𝐸 𝛽1 = 𝛽0∗ 𝐸 0 𝑖=1 𝑛 𝑃𝑖 − 𝑃 2 + 𝐸 𝑖=1 𝑛 𝛽1 ∙ 𝑃𝑖 ∙ 𝑃𝑖 − 𝑃 𝑖=1 𝑛 𝑃𝑖 − 𝑃 2 + 𝐸 𝑖=1 𝑛 𝜖𝑖 ∙ 𝑃𝑖 − 𝑃 𝑖=1 𝑛 𝑃𝑖 − 𝑃 2
  • 123.
    𝐸 𝛽1 = 𝛽0∗ 0 +𝐸 𝑖=1 𝑛 𝛽1 ∙ 𝑃𝑖 ∙ 𝑃𝑖 − 𝑃 𝑖=1 𝑛 𝑃𝑖 − 𝑃 2 + 𝐸 𝑖=1 𝑛 𝜖𝑖 ∙ 𝑃𝑖 − 𝑃 𝑖=1 𝑛 𝑃𝑖 − 𝑃 2
  • 124.
    𝐸 𝛽1 = 𝐸 𝑖=1 𝑛 𝛽1∙ 𝑃𝑖 ∙ 𝑃𝑖 − 𝑃 𝑖=1 𝑛 𝑃𝑖 − 𝑃 2 + 𝐸 𝑖=1 𝑛 𝜖𝑖 ∙ 𝑃𝑖 − 𝑃 𝑖=1 𝑛 𝑃𝑖 − 𝑃 2
  • 125.
    𝐸 𝛽1 = 𝐸 𝑖=1 𝑛 𝛽1∙ 𝑃𝑖 ∙ 𝑃𝑖 − 𝑃 𝑖=1 𝑛 𝑃𝑖 − 𝑃 2 + 𝐸 𝑖=1 𝑛 𝜖𝑖 ∙ 𝑃𝑖 − 𝑃 𝑖=1 𝑛 𝑃𝑖 − 𝑃 2
  • 126.
    𝐸 𝛽1 = 𝛽1∙ 𝐸 𝑖=1 𝑛 𝑃𝑖 ∙ 𝑃𝑖 − 𝑃 𝑖=1 𝑛 𝑃𝑖 − 𝑃 2 + 𝐸 𝑖=1 𝑛 𝜖𝑖 ∙ 𝑃𝑖 − 𝑃 𝑖=1 𝑛 𝑃𝑖 − 𝑃 2
  • 127.
    𝐸 𝛽1 = 𝛽1∙ 𝐸 𝑖=1 𝑛 𝑃𝑖 ∙ 𝑃𝑖 − 𝑃 𝑖=1 𝑛 𝑃𝑖 − 𝑃 2 + 𝐸 𝑖=1 𝑛 𝜖𝑖 ∙ 𝑃𝑖 − 𝑃 𝑖=1 𝑛 𝑃𝑖 − 𝑃 2
  • 128.
    𝑖=1 𝑛 𝑃𝑖 ∙ 𝑃𝑖− 𝑃 = 𝑖=1 𝑛 𝑃𝑖 − 𝑃 2
  • 129.
    𝐸 𝛽1 = 𝛽1∗ 𝐸 𝑖=1 𝑛 𝑃𝑖 ∙ 𝑃𝑖 − 𝑃 𝑖=1 𝑛 𝑃𝑖 − 𝑃 2 + 𝐸 𝑖=1 𝑛 𝜖𝑖 ∙ 𝑃𝑖 − 𝑃 𝑖=1 𝑛 𝑃𝑖 − 𝑃 2
  • 130.
    𝐸 𝛽1 = 𝛽1∙ 𝐸 𝑖=1 𝑛 𝑃𝑖 − 𝑃 2 𝑖=1 𝑛 𝑃𝑖 − 𝑃 2 + 𝐸 𝑖=1 𝑛 𝜖𝑖 ∙ 𝑃𝑖 − 𝑃 𝑖=1 𝑛 𝑃𝑖 − 𝑃 2
  • 131.
    𝐸 𝛽1 = 𝛽1∙ 𝐸 1 +𝐸 𝑖=1 𝑛 𝜖𝑖 ∙ 𝑃𝑖 − 𝑃 𝑖=1 𝑛 𝑃𝑖 − 𝑃 2
  • 132.
    𝐸 𝛽1 = 𝛽1∙ 1 +𝐸 𝑖=1 𝑛 𝜖𝑖 ∙ 𝑃𝑖 − 𝑃 𝑖=1 𝑛 𝑃𝑖 − 𝑃 2
  • 133.
    𝐸 𝛽1 = 𝛽1 +𝐸 𝑖=1 𝑛 𝜖𝑖∙ 𝑃𝑖 − 𝑃 𝑖=1 𝑛 𝑃𝑖 − 𝑃 2
  • 134.
    𝐸 𝛽1 = 𝛽1 +𝐸 𝑖=1 𝑛 𝜖𝑖∙ 𝑃𝑖 − 𝑃 𝑖=1 𝑛 𝑃𝑖 − 𝑃 2
  • 135.
  • 136.
  • 137.
    𝐸 𝛽1 = 𝛽1 +𝐸 𝑖=1 𝑛 𝜖𝑖∙ 𝑃𝑖 − 𝑃 𝑖=1 𝑛 𝑃𝑖 − 𝑃 2
  • 138.
    𝐸 𝑊 ∙𝑍 ≠ 𝐸 𝑊 ∙ 𝐸 𝑍 Expectations: Properties
  • 139.
    𝐸 𝛽1 = 𝛽1 +𝐸 𝑖=1 𝑛 𝜖𝑖∙ 𝑃𝑖 − 𝑃 𝑖=1 𝑛 𝑃𝑖 − 𝑃 2
  • 140.
    𝐸 𝛽1 = 𝛽1 + 𝑖=1 𝑛 𝐸 𝜖𝑖∙ 𝑃𝑖 − 𝑃 𝑖=1 𝑛 𝑃𝑖 − 𝑃 2
  • 141.
    𝐸 𝛽1 = 𝛽1 + 𝑖=1 𝑛 𝐸 𝑖=1 𝑛 𝑃𝑖− 𝑃 𝑖=1 𝑛 𝑃𝑖 − 𝑃 2 ∙ 𝐸 𝜖𝑖
  • 142.
    𝐸 𝛽1 = 𝛽1 + 𝑖=1 𝑛 𝐸 𝑖=1 𝑛 𝑃𝑖− 𝑃 𝑖=1 𝑛 𝑃𝑖 − 𝑃 2 ∙ 0
  • 143.
  • 144.
  • 145.
    𝐸 𝛽1 = 𝛽1 𝑌𝑖= 𝛽0 + 𝛽1 ∙ 𝑃𝑖 + 𝜖𝑖
  • 146.
    𝐸 𝛽1 = 𝛽1 𝑌𝑖= 𝛽0 + 𝛽1 ∙ 𝑃𝑖 + 𝜖𝑖
  • 147.
    𝐸 𝛽1 = 𝛽1 𝑌𝑖= 𝛽0 + 𝛽1 ∙ 𝑃𝑖 + 𝜖𝑖
  • 148.
    Peter M. Lance,PhD MEASURE Evaluation University of North Carolina at Chapel Hill September 13 and 15, 2016 Selection on Observables: Part Deux
  • 149.
    𝑌0 = 𝛽0 +𝜖 𝑌1 = 𝛽0 + 𝛽1 + 𝜖 𝑌 = 𝑃 ∙ 𝑌1 + 1 − 𝑃 ∙ 𝑌0 𝑌 = 𝛽0 + 𝛽1 ∙ 𝑃 + 𝜖
  • 150.
    𝑌0 = 𝛽0 +𝜖 𝑌1 = 𝛽0 + 𝛽1 + 𝜖 𝑌 = 𝑃 ∙ 𝑌1 + 1 − 𝑃 ∙ 𝑌0 𝑌 = 𝛽0 + 𝛽1 ∙ 𝑃 + 𝜖
  • 151.
    𝑌0 = 𝛽0 +𝜖 𝑌1 = 𝛽0 + 𝛽1 + 𝜖 𝑌 = 𝑃 ∙ 𝑌1 + 1 − 𝑃 ∙ 𝑌0 𝑌 = 𝛽0 + 𝛽1 ∙ 𝑃 + 𝜖
  • 152.
    𝐸 𝛽1 = 𝛽1 +𝐸 𝑖=1 𝑛 𝜖𝑖∙ 𝑃𝑖 − 𝑃 𝑖=1 𝑛 𝑃𝑖 − 𝑃 2
  • 153.
    𝐸 𝛽1 = 𝛽1 +𝐸 𝑖=1 𝑛 𝜖𝑖∙ 𝑃𝑖 − 𝑃 𝑖=1 𝑛 𝑃𝑖 − 𝑃 2
  • 154.
    𝐸 𝛽1 = 𝛽1 𝑌𝑖= 𝛽0 + 𝛽1 ∙ 𝑃𝑖 + 𝜖𝑖
  • 155.
    𝐸 𝛽1 = 𝛽1 𝑌𝑖= 𝛽0 + 𝛽1 ∙ 𝑃𝑖 + 𝜖𝑖
  • 156.
    𝐸 𝛽1 = 𝛽1 𝑌𝑖= 𝛽0 + 𝛽1 ∙ 𝑃𝑖 + 𝜖𝑖
  • 157.
    𝑌0 = 𝛽0+ 𝜀 𝑌1 = 𝛽0 + 𝛽1 + 𝜀
  • 158.
    𝑌0 = 𝛽0+ 𝛽2 ∙ 𝑥 + 𝜀 𝑌1 = 𝛽0 + 𝛽1 + 𝛽2 ∙ 𝑥 + 𝜀
  • 159.
    𝑌1 − 𝑌0 =𝛽0 + 𝛽1 + 𝜖 − 𝛽0 + 𝜖 = 𝛽0 + 𝛽1 + 𝜖 − 𝛽0 − 𝜖 = 𝛽1
  • 160.
    𝑌1 − 𝑌0 =𝛽0 + 𝛽1 + 𝛽2 ∗ 𝑥 + 𝜀 − 𝛽0 + 𝛽2 ∗ 𝑥 + 𝜀 = 𝛽0 + 𝛽1 + 𝜖 − 𝛽0 − 𝜖 = 𝛽1
  • 161.
  • 162.
    𝑌 = 𝑃∙ 𝑌1 + 1 − 𝑃 ∙ 𝑌0 = 𝑃 ∗ 𝛽0 + 𝛽1 + 𝜖 + 1 − 𝑃 ∗ 𝛽0 + 𝜖 = 𝑃 ∗ 𝛽0 + 𝑃 ∗ 𝛽1 + 𝑃 ∗ 𝜖 +𝛽0 + 𝜖 − 𝑃 ∗ 𝛽0 − 𝑃 ∗ 𝜖 = 𝛽0 + 𝑃 ∗ 𝛽1 + 𝜖
  • 163.
    𝑌 = 𝑃∙ 𝑌1 + 1 − 𝑃 ∙ 𝑌0 = 𝑃 ∙ 𝛽0 + 𝛽1 + 𝛽2 ∙ 𝑥 + 𝜀 + 1 − 𝑃 ∙ 𝛽0 + 𝛽2 ∙ 𝑥 + 𝜀 = 𝑃 ∗ 𝛽0 + 𝑃 ∗ 𝛽1 + 𝑃 ∗ 𝜖 +𝛽0 + 𝜖 − 𝑃 ∗ 𝛽0 − 𝑃 ∗ 𝜖
  • 164.
    𝑌 = 𝛽0+ 𝛽1 ∙ 𝑃 + 𝛽2 ∙ 𝑥 + 𝜀
  • 165.
    Cost of participation 𝐶= 𝜌0 + 𝜌1 ∙ 𝑥
  • 166.
    Cost of participation 𝐶= 𝜌0 + 𝜌1 ∙ 𝑥
  • 167.
    Benefit-Cost>0 𝑌1 − 𝑌0 − C> 0 𝛽1 − 𝐶 > 0 𝛽1 − 𝛾0 + 𝛾1 ∗ 𝑥 > 0
  • 168.
    Benefit-Cost>0 𝑌1 − 𝑌0− C > 0 𝛽1 − 𝐶 > 0 𝛽1 − 𝛾0 + 𝛾1 ∗ 𝑥 > 0
  • 169.
    Benefit-Cost>0 𝑌1 − 𝑌0− C > 0 𝛽1 − 𝐶 > 0 𝛽1 − 𝛾0 + 𝛾1 ∗ 𝑥 > 0
  • 170.
    Benefit-Cost>0 𝑌1 − 𝑌0− C > 0 𝛽1 − 𝐶 > 0 𝛽1 − 𝜌0 + 𝜌1 ∙ 𝑥 > 0
  • 171.
  • 172.
  • 173.
    Benefit-Cost>0 𝛽1 − 𝜌0+ 𝜌1 ∙ 𝑥 > 0 𝜀
  • 174.
    Benefit-Cost>0 𝛽1 − 𝜌0+ 𝜌1 ∙ 𝑥 > 0 𝜀
  • 175.
    Benefit-Cost>0 𝛽1 − 𝜌0+ 𝜌1 ∙ 𝑥 > 0 𝜀
  • 176.
    P and 𝜺are independent
  • 177.
    True model: 𝑌 =𝛽0 + 𝛽1 ∙ 𝑃 + 𝛽2 ∙ 𝑥 + 𝜀 We actually attempt to estimate: 𝑌 = 𝜏0 + 𝜏1 ∙ 𝑃 + 𝜖 Error term now contains: 𝛽2 ∙ 𝑥
  • 178.
    True model: 𝑌 =𝛽0 + 𝛽1 ∙ 𝑃 + 𝛽2 ∙ 𝑥 + 𝜀 We actually attempt to estimate: 𝑌 = 𝜏0 + 𝜏1 ∙ 𝑃 + 𝜖 Error term now contains: 𝛽2 ∙ 𝑥
  • 179.
    True model: 𝑌 =𝛽0 + 𝛽1 ∙ 𝑃 + 𝛽2 ∙ 𝑥 + 𝜀 We actually attempt to estimate: 𝑌 = 𝜏0 + 𝜏1 ∙ 𝑃 + 𝜖 Error term now contains: 𝛽2 ∙ 𝑥
  • 180.
    𝐸( 𝜏1) =𝐸 𝑖=1 𝑛 𝑃𝑖 − 𝑃 ∙ 𝑌𝑖 𝑖=1 𝑛 𝑃𝑖 − 𝑃 2
  • 181.
    𝐸 𝜏1 = 𝐸 𝑖=1 𝑛 𝑃𝑖− 𝑃 ∙ 𝛽0 + 𝛽1 ∙ 𝑃𝑖 + 𝛽2 ∙ 𝑥𝑖 + 𝜀𝑖 𝑖=1 𝑛 𝑃𝑖 − 𝑃 2
  • 182.
    𝐸 𝜏1 = 𝐸 𝑖=1 𝑛 𝛽0∙ 𝑃𝑖 − 𝑃 𝑖=1 𝑛 𝑃𝑖 − 𝑃 2 + 𝑖=1 𝑛 𝛽1 ∙ 𝑃𝑖 ∙ 𝑃𝑖 − 𝑃 𝑖=1 𝑛 𝑃𝑖 − 𝑃 2 + 𝑖=1 𝑛 𝛽2 ∙ 𝑥𝑖 ∙ 𝑃𝑖 − 𝑃 𝑖=1 𝑛 𝑃𝑖 − 𝑃 2 + 𝑖=1 𝑛 𝜀𝑖 ∙ 𝑃𝑖 − 𝑃 𝑖=1 𝑛 𝑃𝑖 − 𝑃 2
  • 183.
    𝐸 𝜏1 = 𝐸 𝑖=1 𝑛 𝛽0∙ 𝑃𝑖 − 𝑃 𝑖=1 𝑛 𝑃𝑖 − 𝑃 2 + 𝐸 𝑖=1 𝑛 𝛽1 ∙ 𝑃𝑖 ∙ 𝑃𝑖 − 𝑃 𝑖=1 𝑛 𝑃𝑖 − 𝑃 2 +𝐸 𝑖=1 𝑛 𝛽2 ∙ 𝑥𝑖 ∙ 𝑃𝑖 − 𝑃 𝑖=1 𝑛 𝑃𝑖 − 𝑃 2 +𝐸 𝑖=1 𝑛 𝜀𝑖 ∙ 𝑃𝑖 − 𝑃 𝑖=1 𝑛 𝑃𝑖 − 𝑃 2
  • 184.
    𝐸 𝜏1 = 𝐸 𝑖=1 𝑛 𝛽0∙ 𝑃𝑖 − 𝑃 𝑖=1 𝑛 𝑃𝑖 − 𝑃 2 + 𝐸 𝑖=1 𝑛 𝛽1 ∙ 𝑃𝑖 ∙ 𝑃𝑖 − 𝑃 𝑖=1 𝑛 𝑃𝑖 − 𝑃 2 +𝐸 𝑖=1 𝑛 𝛽2 ∙ 𝑥𝑖 ∙ 𝑃𝑖 − 𝑃 𝑖=1 𝑛 𝑃𝑖 − 𝑃 2 +𝐸 𝑖=1 𝑛 𝜀𝑖 ∙ 𝑃𝑖 − 𝑃 𝑖=1 𝑛 𝑃𝑖 − 𝑃 2
  • 185.
    𝐸 𝜏1 = 0 +𝐸 𝑖=1 𝑛 𝛽1∙ 𝑃𝑖 ∙ 𝑃𝑖 − 𝑃 𝑖=1 𝑛 𝑃𝑖 − 𝑃 2 +𝐸 𝑖=1 𝑛 𝛽2 ∙ 𝑥𝑖 ∙ 𝑃𝑖 − 𝑃 𝑖=1 𝑛 𝑃𝑖 − 𝑃 2 +𝐸 𝑖=1 𝑛 𝜀𝑖 ∙ 𝑃𝑖 − 𝑃 𝑖=1 𝑛 𝑃𝑖 − 𝑃 2
  • 186.
    𝐸 𝜏1 = 𝐸 𝑖=1 𝑛 𝛽1∙ 𝑃𝑖 ∙ 𝑃𝑖 − 𝑃 𝑖=1 𝑛 𝑃𝑖 − 𝑃 2 +𝐸 𝑖=1 𝑛 𝛽2 ∙ 𝑥𝑖 ∙ 𝑃𝑖 − 𝑃 𝑖=1 𝑛 𝑃𝑖 − 𝑃 2 +𝐸 𝑖=1 𝑛 𝜀𝑖 ∙ 𝑃𝑖 − 𝑃 𝑖=1 𝑛 𝑃𝑖 − 𝑃 2
  • 187.
    𝐸 𝜏1 = 𝐸 𝑖=1 𝑛 𝛽1∙ 𝑃𝑖 ∙ 𝑃𝑖 − 𝑃 𝑖=1 𝑛 𝑃𝑖 − 𝑃 2 +𝐸 𝑖=1 𝑛 𝛽2 ∙ 𝑥𝑖 ∙ 𝑃𝑖 − 𝑃 𝑖=1 𝑛 𝑃𝑖 − 𝑃 2 +𝐸 𝑖=1 𝑛 𝜀𝑖 ∙ 𝑃𝑖 − 𝑃 𝑖=1 𝑛 𝑃𝑖 − 𝑃 2
  • 188.
    𝐸 𝜏1 = 𝛽1 +𝐸 𝑖=1 𝑛 𝛽2∙ 𝑥𝑖 ∙ 𝑃𝑖 − 𝑃 𝑖=1 𝑛 𝑃𝑖 − 𝑃 2 +𝐸 𝑖=1 𝑛 𝜀𝑖 ∙ 𝑃𝑖 − 𝑃 𝑖=1 𝑛 𝑃𝑖 − 𝑃 2
  • 189.
    𝐸 𝜏1 = 𝛽1 +𝐸 𝑖=1 𝑛 𝛽2∙ 𝑥𝑖 ∙ 𝑃𝑖 − 𝑃 𝑖=1 𝑛 𝑃𝑖 − 𝑃 2 +𝐸 𝑖=1 𝑛 𝜀𝑖 ∙ 𝑃𝑖 − 𝑃 𝑖=1 𝑛 𝑃𝑖 − 𝑃 2
  • 190.
    𝐸 𝜏1 = 𝛽1 +𝐸 𝑖=1 𝑛 𝛽2∙ 𝑥𝑖 ∙ 𝑃𝑖 − 𝑃 𝑖=1 𝑛 𝑃𝑖 − 𝑃 2 +0
  • 191.
    𝐸 𝜏1 = 𝛽1 +𝐸 𝑖=1 𝑛 𝛽2∙ 𝑥𝑖 ∙ 𝑃𝑖 − 𝑃 𝑖=1 𝑛 𝑃𝑖 − 𝑃 2
  • 192.
    𝐸 𝜏1 = 𝛽1 +𝐸 𝑖=1 𝑛 𝛽2∙ 𝑥𝑖 ∙ 𝑃𝑖 − 𝑃 𝑖=1 𝑛 𝑃𝑖 − 𝑃 2
  • 193.
    𝐸 𝑐 ∙𝑊 = 𝑐 ∙ 𝐸 𝑊
  • 194.
    𝐸 𝜏1 = 𝛽1 +𝛽2∙ 𝐸 𝑖=1 𝑛 𝑥𝑖 ∙ 𝑃𝑖 − 𝑃 𝑖=1 𝑛 𝑃𝑖 − 𝑃 2
  • 195.
    𝐸 𝜏1 = 𝛽1 +𝛽2∙ 𝐸 𝑖=1 𝑛 𝑥𝑖 ∙ 𝑃𝑖 − 𝑃 𝑖=1 𝑛 𝑃𝑖 − 𝑃 2
  • 196.
    𝐸 𝜏1 = 𝛽1 +𝛽2∙ 𝐸 𝑖=1 𝑛 𝑥𝑖 ∙ 𝑃𝑖 − 𝑃 𝑖=1 𝑛 𝑃𝑖 − 𝑃 2 𝑥𝑖= 𝛾0 + 𝛾1 ∙ 𝑃𝑖 + 𝜗𝑖
  • 197.
    𝐸 𝜏1 = 𝛽1 +𝛽2∙ 𝐸 𝑖=1 𝑛 𝑥𝑖 ∙ 𝑃𝑖 − 𝑃 𝑖=1 𝑛 𝑃𝑖 − 𝑃 2 𝑥𝑖= 𝛾0 + 𝛾1 ∙ 𝑃𝑖 + 𝜗𝑖
  • 198.
    𝐸 𝜏1 = 𝛽1 +𝛽2∙ 𝐸 𝑖=1 𝑛 𝑥𝑖 ∙ 𝑃𝑖 − 𝑃 𝑖=1 𝑛 𝑃𝑖 − 𝑃 2 𝑥𝑖= 𝛾0 + 𝛾1 ∙ 𝑃𝑖 + 𝜗𝑖
  • 199.
    𝐸 𝜏1 = 𝛽1 +𝛽2∙ 𝛾1 𝑖=1 𝑛 𝑥 𝑖=1 𝑛 𝑥 𝑥𝑖= 𝛾0 + 𝛾1 ∙ 𝑃𝑖 + 𝜗𝑖
  • 200.
    True model: 𝑌 =𝛽0 + 𝛽1 ∙ 𝑃 + 𝛽2 ∙ 𝑥 + 𝜀 We actually attempt to estimate: 𝑌 = 𝜏0 + 𝜏1 ∙ 𝑃 + 𝜖 Error term now contains: 𝛽2 ∙ 𝑥
  • 201.
    𝐸 𝜏1 =𝛽1 + 𝛽2 ∙ 𝐸 𝑖=1 𝑛 𝑥𝑖 ∙ 𝑃𝑖 − 𝑃 𝑖=1 𝑛 𝑃𝑖 − 𝑃 2
  • 202.
    𝐸 𝜏1 =𝛽1 + 𝛽2 ∙ 𝛾1
  • 203.
    𝐸 𝜏1 =𝛽1 + 𝛽2 ∙ 𝛾1 The Actual Causal Effect of P on y
  • 204.
    𝐸 𝜏1 =𝛽1 + 𝛽2 ∙ 𝛾1 The actual causal effect of P on y The actual causal effect of the omitted variable X on Y
  • 205.
    𝐸 𝜏1 =𝛽1 + 𝛽2 ∙ 𝛾1 The actual causal effect of P on y Th”Effect” of P on x: 𝑥𝑖= 𝛾0 + 𝛾1 ∙ 𝑃𝑖 + 𝜗𝑖 The actual causal effect of the omitted variable X on Y
  • 206.
    True model: 𝑌 =𝛽0 + 𝛽1 ∙ 𝑃 + 𝛽2 ∙ 𝑥 + 𝜀 We actually attempt to estimate: 𝑌 = 𝜏0 + 𝜏1 ∙ 𝑃 + 𝜖 Error term now contains: 𝛽2 ∙ 𝑥
  • 207.
    True model: 𝑌 =𝛽0 + 𝛽1 ∙ 𝑃 + 𝛽2 ∙ 𝑥 + 𝜀 We actually attempt to estimate: 𝑌 = 𝜏0 + 𝜏1 ∙ 𝑃 + 𝜖 Error term now contains: 𝛽2 ∙ 𝑥
  • 208.
    True model: 𝑌 =𝛽0 + 𝛽1 ∙ 𝑃 + 𝛽2 ∙ 𝑥 + 𝜀 We actually attempt to estimate: 𝑌 = 𝜏0 + 𝜏1 ∙ 𝑃 + 𝜖 Error term now contains: 𝛽2 ∙ 𝑥
  • 209.
    True model: 𝑌 =𝛽0 + 𝛽1 ∙ 𝑃 + 𝛽2 ∙ 𝑥 + 𝜀 We actually attempt to estimate: 𝑌 = 𝜏0 + 𝜏1 ∙ 𝑃 + 𝜖 Error term now contains: 𝛽2 ∙ 𝑥
  • 210.
    True model: 𝑌 =𝛽0 + 𝛽1 ∙ 𝑃 + 𝛽2 ∙ 𝑥 + 𝜀 We actually attempt to estimate: 𝑌 = 𝜏0 + 𝜏1 ∙ 𝑃 + 𝜖 𝑬 𝝉 𝟏 ≠ 𝜷
  • 211.
    𝐸 𝜏1 =𝛽1 + 𝛽2 ∙ 𝛾1 The actual causal effect of P on y Th”Effect” of P on x: 𝑥𝑖= 𝛾0 + 𝛾1 ∙ 𝑃𝑖 + 𝜗𝑖 The actual causal effect of the omitted variable X on Y
  • 212.
    𝐸 𝜏1 =𝛽1 + 𝛽2 ∙ 𝛾1 The actual causal effect of P on y Th”Effect” of P on x: 𝑥𝑖= 𝛾0 + 𝛾1 ∙ 𝑃𝑖 + 𝜗𝑖 The actual causal effect of the omitted variable X on Y
  • 213.
    𝑌0 = 𝛽0 +𝛽2 ∙ 𝑥1 + 𝛽3 ∙ 𝑥2 + 𝛽4 ∙ 𝑥2 + 𝜀 𝑌1 = 𝛽0 + 𝛽1 + 𝛽2 ∙ 𝑥1 + 𝛽3 ∙ 𝑥2 + 𝛽4 ∙ 𝑥2 + 𝜀
  • 214.
    𝑌0 = 𝛽0 +𝛽2 ∙ 𝑥1 + 𝛽3 ∙ 𝑥2 + 𝛽4 ∙ 𝑥2 + 𝜀 𝑌1 = 𝛽0 + 𝛽1 + 𝛽2 ∙ 𝑥1 + 𝛽3 ∙ 𝑥2 + 𝛽4 ∙ 𝑥3 + 𝜀
  • 215.
    𝑌1 − 𝑌0 =𝛽0 + 𝛽1 + 𝜖 − 𝛽0 + 𝜖 = 𝛽0 + 𝛽1 + 𝜖 − 𝛽0 − 𝜖 = 𝛽1
  • 216.
    𝑌1 − 𝑌0 = 𝛽0+ 𝛽1 + 𝛽2 ∙ 𝑥1 + 𝛽3 ∙ 𝑥2 + 𝛽4 ∙ 𝑥2 + 𝜀 − 𝛽0 + 𝛽2 ∙ 𝑥1 + 𝛽3 ∙ 𝑥2 + 𝛽4 ∙ 𝑥2 + 𝜀 = 𝛽0 + 𝛽1 + 𝜖 − 𝛽0 − 𝜖 = 𝛽1
  • 217.
  • 218.
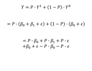
    𝑌 = 𝑃∙ 𝑌1 + 1 − 𝑃 ∙ 𝑌0 = 𝑃 ∗ 𝛽0 + 𝛽1 + 𝜖 + 1 − 𝑃 ∗ 𝛽0 + 𝜖 = 𝑃 ∗ 𝛽0 + 𝑃 ∗ 𝛽1 + 𝑃 ∗ 𝜖 +𝛽0 + 𝜖 − 𝑃 ∗ 𝛽0 − 𝑃 ∗ 𝜖 = 𝛽0 + 𝑃 ∗ 𝛽1 + 𝜖
  • 219.
    𝑌 = 𝑃∙ 𝑌1 + 1 − 𝑃 ∙ 𝑌0 = 𝑃 ∙ 𝛽0 + 𝛽1 + 𝛽2 ∙ 𝑥1 + 𝛽3 ∙ 𝑥2 + 𝛽4 ∙ 𝑥3 + 𝜀 + 1 − 𝑃 ∙ 𝛽0 + 𝛽2 ∙ 𝑥 + 𝛽2 ∙ 𝑥1 + 𝛽3 ∙ 𝑥2 + 𝛽4 ∙ 𝑥3 + 𝜀
  • 220.
    𝑌 = 𝛽0+ 𝛽1 ∙ 𝑃 + 𝛽2 ∙ 𝑥1 + 𝛽3 ∙ 𝑥2 + 𝛽4 ∙ 𝑥3 + 𝜀
  • 221.
    Cost of participation 𝐶= 𝜌0 + 𝜌1 ∙ 𝑥1 + 𝜌2 ∙ 𝑥2 + 𝜌3 ∙ 𝑥3
  • 222.
    True model: 𝑌 =𝛽0 + 𝛽1 ∙ 𝑃 + 𝛽2 ∙ 𝑥1 + 𝛽3 ∙ 𝑥2 + 𝛽4 ∙ 𝑥3 + 𝜀 We actually attempt to estimate: 𝑌 = 𝜏0 + 𝜏1 ∙ 𝑃 + 𝜖
  • 223.
    𝐸 𝜏1 =𝛽1 + 𝛽2 ∙ 𝛾11 + 𝛽3 ∙ 𝛾21 + 𝛽4 ∙ 𝛾31
  • 224.
    𝐸 𝜏1 =𝛽1 + 𝛽2 ∙ 𝛾11 + 𝛽3 ∙ 𝛾21 + 𝛽4 ∙ 𝛾31 The actual causal effect of P on y
  • 225.
    𝐸 𝜏1 =𝛽1 + 𝛽2 ∙ 𝛾11 + 𝛽3 ∙ 𝛾21 + 𝛽4 ∙ 𝛾31 The actual causal effect of P on y Th”Effect” of P on x1: 𝑥1𝑖= 𝛾10 + 𝛾11 ∙ 𝑃𝑖 + 𝜗1𝑖 The actual causal effect of the omitted variable X1 on Y
  • 226.
    𝐸 𝜏1 =𝛽1 + 𝛽2 ∙ 𝛾11 + 𝛽3 ∙ 𝛾21 + 𝛽4 ∙ 𝛾31 The actual causal effect of P on y ”Effect” of P on x1: 𝑥1𝑖= 𝛾10 + 𝛾11 ∙ 𝑃𝑖 + 𝜗1𝑖 The actual causal effect of the omitted variable X1 on Y The actual causal effect of the omitted variable X2 on Y Th”Effect” of P on x2: 𝑥2𝑖= 𝛾20 + 𝛾21 ∙ 𝑃𝑖 + 𝜗2𝑖
  • 227.
    𝐸 𝜏1 =𝛽1 + 𝛽2 ∙ 𝛾11 + 𝛽3 ∙ 𝛾21 + 𝛽4 ∙ 𝛾31 The actual causal effect of P on y ”Effect” of P on x1: 𝑥1𝑖= 𝛾10 + 𝛾11 ∙ 𝑃𝑖 + 𝜗1𝑖 The actual causal effect of the omitted variable X1 on Y The actual causal effect of the omitted variable X2 on Y ”Effect” of P on x2: 𝑥2𝑖= 𝛾20 + 𝛾21 ∙ 𝑃𝑖 + 𝜗2𝑖 Th”Effect” of P on x1: 𝑥3𝑖= 𝛾30 + 𝛾31 ∙ 𝑃𝑖 + 𝜗3𝑖 The actual causal effect of the omitted variable X3 on Y
  • 228.
    𝐸 𝜏1 =𝛽1 + 𝛽2 ∙ 𝛾11 + 𝛽3 ∙ 𝛾21 + 𝛽4 ∙ 𝛾31 The actual causal effect of P on y ”Effect” of P on x1: 𝑥1𝑖= 𝛾10 + 𝛾11 ∙ 𝑃𝑖 + 𝜗1𝑖 The actual causal effect of the omitted variable X1 on Y The actual causal effect of the omitted variable X2 on Y ”Effect” of P on x2: 𝑥2𝑖= 𝛾20 + 𝛾21 ∙ 𝑃𝑖 + 𝜗2𝑖 Th”Effect” of P on x3: 𝑥3𝑖= 𝛾30 + 𝛾31 ∙ 𝑃𝑖 + 𝜗3𝑖 The actual causal effect of the omitted variable X3 on Y
  • 229.
    𝐸 𝜏1 =𝛽1 + 𝛽2 ∙ 𝛾11 + 𝛽2 ∙ 𝛾21 + 𝛽3 ∙ 𝛾31
  • 230.
    Potential outcomes 𝑌0 = 𝛽0+ 𝛽2 ∙ 𝑥1 + 𝛽3 ∙ 𝑥2 + 𝜀 𝑌1 = 𝛽0 + 𝛽1 + 𝛽2 ∙ 𝑥1 + 𝛽3 ∙ 𝑥2 + 𝜀 Costs of participation 𝐶 = 𝜌0 + 𝜌2 ∙ 𝑥2 + 𝜌3 ∙ 𝑥3
  • 231.
  • 232.
    𝐸 𝜏1 =𝛽1 + 𝛽2 ∙ 𝛾11 + 𝛽2 ∙ 𝛾21 + 𝛽3 ∙ 𝛾31
  • 233.
    𝐸 𝜏1 =𝛽1 + 𝛽2 ∙ 𝛾11 + 𝛽2 ∙ 𝛾21 + 𝛽3 ∙ 𝛾31
  • 234.
    𝐸 𝜏1 =𝛽1 + 𝛽2 ∙ 𝛾21 + 𝛽3 ∙ 𝛾31
  • 235.
  • 236.
    𝐸 𝜏1 =𝛽1 + 𝛽2 ∙ 𝛾21 + 𝛽3 ∙ 𝛾31
  • 237.
    𝐸 𝜏1 =𝛽1 + 𝛽2 ∙ 𝛾21
  • 238.
  • 239.
    𝐸 𝜏1 =𝛽1 + 𝛽2 ∙ 𝛾21
  • 240.
  • 241.
    𝑌 = 𝛽0+ 𝛽1 ∙ 𝑃 + 𝛽2 ∙ 𝑥1 + 𝛽3 ∙ 𝑥2 + 𝛽4 ∙ 𝑥3 + 𝜀
  • 243.
    𝑌 = 𝛽0+ 𝛽1 ∙ 𝑃 + 𝛽2 ∙ 𝑥 + 𝜀 𝐸 𝛽1 = 𝛽1
  • 244.
    𝑌 = 𝛽0+ 𝛽1 ∙ 𝑃 + 𝛽2 ∙ 𝑥 + 𝜀 Regress 𝑌 on 𝑃 and 𝑥 𝐸 𝛽1 = 𝛽1
  • 245.
    𝑌 = 𝛽0+ 𝛽1 ∙ 𝑃 + 𝛽2 ∙ 𝑥 + 𝜀 Regress 𝑌 on 𝑃 and 𝑥 𝐸 𝛽1 = 𝛽1
  • 246.
    𝑌 = 𝛽0+ 𝛽1 ∙ 𝑃 + 𝛽2 ∙ 𝑥 + 𝜀 Regress 𝑌 on 𝑃 and 𝑥 and 𝑍 𝐸 𝛽1 ≠ 𝛽1
  • 247.
    𝑌 = 𝛽0+ 𝛽1 ∙ 𝑃 + 𝛽2 ∙ 𝑥 + 𝜀 Regress 𝑌 on 𝑃 and 𝑥 and 𝑍 𝐸 𝛽1 ≠ 𝛽1
  • 248.
  • 249.
  • 250.
  • 251.
    𝑌 = 𝛽0+ 𝛽1 ∙ 𝑃 + 𝛽𝑧 ∙ 𝑍 + 𝜔 1.Is correlated with the regressor of interest 2.Is correlated with the error term
  • 252.
    𝑌 = 𝛽0+ 𝛽1 ∙ 𝑃 + 𝛽𝑧 ∙ 𝑍 + 𝜔 1.Is correlated with the regressor of interest 2.Is correlated with the error term
  • 253.
    𝑌 = 𝛽0+ 𝛽1 ∙ 𝑃 + 𝛽𝑧 ∙ 𝑍 + 𝜔 1.Is correlated with the regressor of interest 2.Is correlated with the error term
  • 254.
    𝑌 = 𝛽0+ 𝛽1 ∙ 𝑃 + 𝛽𝑧 ∙ 𝑍 + 𝜔 1.Is correlated with the regressor of interest 2.Is correlated with the error term
  • 255.
  • 256.
  • 257.
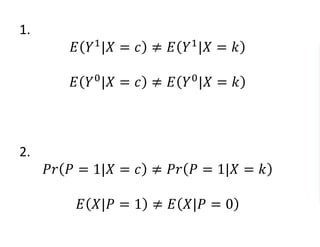
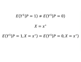
    1. 𝐸 𝑌1 |𝑋 =𝑐 ≠ 𝐸 𝑌1 |𝑋 = 𝑘 𝐸 𝑌0 |𝑋 = 𝑐 ≠ 𝐸 𝑌0 |𝑋 = 𝑘 2. 𝑃𝑟 𝑃 = 1|𝑋 = 𝑐 ≠ 𝑃𝑟 𝑃 = 1|𝑋 = 𝑘 𝐸 𝑋|𝑃 = 1 ≠ 𝐸 𝑋|𝑃 = 0
  • 258.
    𝑋 = 0 ifmale 1 if female
  • 259.
    𝐸 𝑌1 |𝑋 𝐸𝑌0 |𝑋 𝐸 𝑌1 |𝑋 − 𝐸 𝑌 0 |𝑋 𝑋 = 0 6 4 2 𝑋 = 1 5 1 4
  • 260.
    𝐸 𝑌1 |𝑋 𝐸𝑌0 |𝑋 𝐸 𝑌1 |𝑋 − 𝐸 𝑌 0 |𝑋 𝑋 = 0 6 4 2 𝑋 = 1 5 1 4 𝐸 𝑌1 − 𝑌0 |𝑋 = 0 ∙ 𝑃𝑟 𝑋 = 0 +𝐸 𝑌1 − 𝑌0 |𝑋 = 1 ∙ 𝑃𝑟 𝑋 = 1 = 2 ∙ .5 + 4 ∙ .5 = 3
  • 261.
    𝐸 𝑌1 |𝑋 𝐸𝑌0 |𝑋 𝐸 𝑌1 |𝑋 − 𝐸 𝑌 0 |𝑋 𝑋 = 0 6 4 2 𝑋 = 1 5 1 4 𝐸 𝑌1 |𝑋 = 0 ∙ 𝑃𝑟 𝑋 = 0 +𝐸 𝑌1 |𝑋 = 1 ∙ 𝑃𝑟 𝑋 = 1 = 6 ∙ .5 + 5 ∙ .5 = 5.5
  • 262.
    𝐸 𝑌1 |𝑋 𝐸𝑌0 |𝑋 𝐸 𝑌1 |𝑋 − 𝐸 𝑌 0 |𝑋 𝑋 = 0 6 4 2 𝑋 = 1 5 1 4 𝐸 𝑌0 |𝑋 = 0 ∙ 𝑃𝑟 𝑋 = 0 +𝐸 𝑌0 |𝑋 = 1 ∙ 𝑃𝑟 𝑋 = 1 = 4 ∙ .5 + 1 ∙ .5 = 2.5
  • 263.
    𝐸 𝑃 =1|𝑋 𝐸 𝑃 = 0|𝑋 𝑋 = 0 .1 .9 𝑋 = 1 .5 .5 𝐸 𝑃 = 1|𝑋 = 0 ∙ 𝑃𝑟 𝑋 = 0 +𝐸 𝑃 = 1|𝑋 = 1 ∙ 𝑃𝑟 𝑋 = 1 = .1 ∙ .5 + .5 ∙ .5 = .3
  • 264.
    𝐸 𝑃 =1|𝑋 𝐸 𝑃 = 0|𝑋 𝑋 = 0 .1 .9 𝑋 = 1 .5 .5 𝐸 𝑃 = 1|𝑋 = 0 ∙ 𝑃𝑟 𝑋 = 0 +𝐸 𝑃 = 1|𝑋 = 1 ∙ 𝑃𝑟 𝑋 = 1 = .1 ∙ .5 + .5 ∙ .5 = .3
  • 265.
    𝑛 = 1000 𝑖=1 𝑛 𝑋𝑖 𝑛 = 𝑖=1 1000 𝑋𝑖 1000 ≈500 𝑖=1 𝑛 𝑃𝑖 𝑛 = 𝑖=1 1000 𝑃𝑖 1000 ≈ 300
  • 266.
    𝑛 = 1000 𝑖=1 𝑛 𝑋𝑖 𝑛 = 𝑖=1 1000 𝑋𝑖 1000 ≈.5 𝑖=1 𝑛 𝑃𝑖 𝑛 = 𝑖=1 1000 𝑃𝑖 1000 ≈ 300
  • 267.
    𝑛 = 1000 𝑖=1 𝑛 𝑋𝑖 𝑛 = 𝑖=1 1000 𝑋𝑖 1000 ≈.5 𝑖=1 𝑛 𝑃𝑖 𝑛 = 𝑖=1 1000 𝑃𝑖 1000 ≈ .3
  • 268.
    𝑗=1 300 𝑌𝑗 300 : 6 ∙.16667 + 5 ∙ .8333 = 5.16652
  • 269.
    𝑗=1 300 𝑌𝑗 300 : 6 ∙.16667 + 5 ∙ .8333 = 5.16652 𝑗=1 700 𝑌𝑗 700 : 4 ∙ .6428 + 1 ∙ .3571 = 2.9286
  • 270.
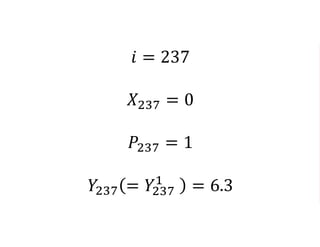
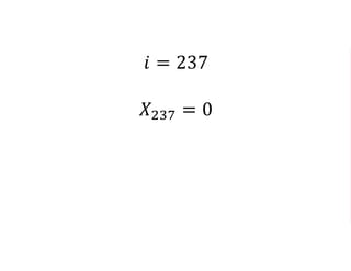
  • 271.
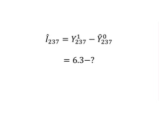
    𝑖 = 237 𝑋237= 0 𝑃237 = 1 𝑌237 = 𝑌237 1 = 5.3
  • 272.
    𝑖 = 237 𝑋237= 0 𝑃237 = 1 𝑌237 = 𝑌237 1 = 5.3
  • 273.
    𝑖 = 237 𝑋237= 0 𝑃237 = 1 𝑌237 = 𝑌237 1 = 5.3
  • 274.
    𝑖 = 237 𝑋237= 0 𝑃237 = 1 𝑌237 = 𝑌237 1 = 5.3
  • 275.
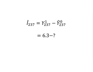
    𝑖 = 237 𝑋237= 0 𝑃237 = 1 𝑌237 = 𝑌237 1 = 6.3
  • 276.
    𝐼237 = 𝑌237 1 −𝑌237 0 = 6.3−?
  • 277.
  • 278.
  • 279.
  • 280.
  • 281.
  • 282.
    𝑘=0 𝐾 𝐸 𝐼|𝑋 =𝑘 ∙ 𝑃𝑟 𝑋 = 𝑘 = 𝑘=0 𝐾 𝐸 𝑌1 − 𝑌0 |𝑋 = 𝑘 ∙ 𝑃𝑟 𝑋 = 𝑘
  • 283.
    𝑘=0 𝐾 𝐸 𝐼|𝑋 =𝑘, 𝑃 = 1 ∙ 𝑃𝑟 𝑋 = 𝑘|𝑃 = 1 = 𝑘=0 𝐾 𝐸 𝑌1 − 𝑌0 |𝑋 = 𝑘, 𝑃 = 1 ∙ 𝑃𝑟 𝑋 = 𝑘|𝑃 = 1
  • 284.
    𝐼237 = 𝑌237 1 −𝑌237 0 = 6.3−?
  • 285.
    𝑘=0 𝐾 𝐸 𝐼|𝑋 =𝑘 ∙ 𝑃𝑟 𝑋 = 𝑘 = 𝑘=0 𝐾 𝐸 𝑌1 − 𝑌0 |𝑋 = 𝑘 ∙ 𝑃𝑟 𝑋 = 𝑘
  • 286.
  • 288.
    2X Gender-male/female 5X SES-5quintiles 4X Age-broken up into 4 categories 2X Sector-Urban/Rural 6X Religion-Christian, Muslim, Hindu, Buddhist, Jewish, Traditional. 6X Occupation-6 occupation types 2 Insurance-Insured/not insured ____ 5,760 potential “types”
  • 289.
    2X Gender-male/female 5X SES-5quintiles 4X Age-broken up into 4 categories 2X Sector-Urban/Rural 6X Religion-Christian, Muslim, Hindu, Buddhist, Jewish, Traditional. 6X Occupation-6 occupation types 2 Insurance-Insured/not insured ____ 2 potential “types”
  • 290.
    2X Gender-male/female 5X SES-5quintiles 4X Age-broken up into 4 categories 2X Sector-Urban/Rural 6X Religion-Christian, Muslim, Hindu, Buddhist, Jewish, Traditional. 6X Occupation-6 occupation types 2 Insurance-Insured/not insured ____ 10 potential “types”
  • 291.
    2X Gender-male/female 5X SES-5quintiles 4X Age-broken up into 4 categories 2X Sector-Urban/Rural 6X Religion-Christian, Muslim, Hindu, Buddhist, Jewish, Traditional. 6X Occupation-6 occupation types 2 Insurance-Insured/not insured ____ 40 potential “types”
  • 292.
    2X Gender-male/female 5X SES-5quintiles 4X Age-broken up into 4 categories 2X Sector-Urban/Rural 6X Religion-Christian, Muslim, Hindu, Buddhist, Jewish, Traditional. 6X Occupation-6 occupation types 2 Insurance-Insured/not insured ____ 80 potential “types”
  • 293.
    2X Gender-male/female 5X SES-5quintiles 4X Age-broken up into 4 categories 2X Sector-Urban/Rural 6X Religion-Christian, Muslim, Hindu, Buddhist, Jewish, Traditional. 6X Occupation-6 occupation types 2 Insurance-Insured/not insured ____ 480 potential “types”
  • 294.
    2X Gender-male/female 5X SES-5quintiles 4X Age-broken up into 4 categories 2X Sector-Urban/Rural 6X Religion-Christian, Muslim, Hindu, Buddhist, Jewish, Traditional. 6X Occupation-6 occupation types 2 Insurance-Insured/not insured ____ 2,880 potential “types”
  • 295.
    2X Gender-male/female 5X SES-5quintiles 4X Age-broken up into 4 categories 2X Sector-Urban/Rural 6X Religion-Christian, Muslim, Hindu, Buddhist, Jewish, Traditional. 6X Occupation-6 occupation types 2 Insurance-Insured/not insured ____ 5,760 potential “types”
  • 296.
    2X Gender-male/female 5X SES-5quintiles 4X Age-broken up into 4 categories 2X Sector-Urban/Rural 6X Religion-Christian, Muslim, Hindu, Buddhist, Jewish, Traditional. 6X Occupation-6 occupation types 2 Insurance-Insured/not insured ____ 5,760 potential “types”
  • 297.
  • 298.
    𝐼237 = 𝑌237 1 −𝑌237 0 = 6.3−?
  • 299.
    𝐼237 = 𝑌237 1 −𝑌237 0 = 6.3−?
  • 300.
  • 301.
  • 302.
    𝑃𝑟 𝑃 =1 𝑋 = 𝑒𝑥𝑝 𝛽0 + 𝛽1 ∙ 𝑋 1 + 𝑒𝑥𝑝 𝛽0 + 𝛽1 ∙ 𝑋
  • 303.
    The basics ofthe method 1. Pool your sample of participants and non-participants and define various characteristics 𝑋. 2. Estimate the probability of program participation conditional on Pr 𝑃 = 1|𝑋 3. Compute the propensity score using the fitted binary participation model. 𝑃𝑟 𝑃𝑖 = 1|𝑋𝑖 4. Find a counterfactual outcome for each individual by identifying some individual who did experience the counterfactual conditions and had a similar propensity score
  • 304.
    Matching approaches 1. Nearestneighbor 2. Caliper 3. (Budget) Caliper 4. Weighting
  • 305.
    Matching approaches 1. Nearestneighbor 2. Caliper 3. (Budget) Caliper 4. Weighting
  • 306.
  • 307.
  • 308.
  • 309.
    Other applications ofthe propensity score 1.Weighting 2.Regression
  • 310.
    Other applications ofthe propensity score 1.Weighting 2.Regression
  • 311.
    𝐸 𝑃 =1|𝑋 𝐸 𝑃 = 0|𝑋 𝑋 = 0 .1 .9 𝑋 = 1 .5 .5 𝐸 𝑃 = 1|𝑋 = 0 ∙ 𝑃𝑟 𝑋 = 0 +𝐸 𝑃 = 1|𝑋 = 1 ∙ 𝑃𝑟 𝑋 = 1 = .1 ∙ .5 + .5 ∙ .5 = .3 1,000 observations
  • 312.
    𝐸 𝑃 =1|𝑋 𝐸 𝑃 = 0|𝑋 𝑋 = 0 .1 .9 𝑋 = 1 .5 .5 𝐸 𝑃 = 1|𝑋 = 0 ∙ 𝑃𝑟 𝑋 = 0 +𝐸 𝑃 = 1|𝑋 = 1 ∙ 𝑃𝑟 𝑋 = 1 = .1 ∙ .5 + .5 ∙ .5 = .3 1,000 observations 300 participants
  • 313.
    𝐸 𝑃 =1|𝑋 𝐸 𝑃 = 0|𝑋 𝑋 = 0 .1 .9 𝑋 = 1 .5 .5 𝐸 𝑃 = 1|𝑋 = 0 ∙ 𝑃𝑟 𝑋 = 0 +𝐸 𝑃 = 1|𝑋 = 1 ∙ 𝑃𝑟 𝑋 = 1 = .1 ∙ .5 + .5 ∙ .5 = .3 1,000 observations 300 participants 700 non-participants
  • 314.
    𝐸 𝑃 =1|𝑋 𝐸 𝑃 = 0|𝑋 𝑋 = 0 .1 .9 𝑋 = 1 .5 .5 𝐸 𝑃 = 1|𝑋 = 0 ∙ 𝑃𝑟 𝑋 = 0 +𝐸 𝑃 = 1|𝑋 = 1 ∙ 𝑃𝑟 𝑋 = 1 = .1 ∙ .5 + .5 ∙ .5 = .3 1,000 observations 300 participants 700 non-participants 50 men 250 women
  • 315.
    𝐸 𝑃 =1|𝑋 𝐸 𝑃 = 0|𝑋 𝑋 = 0 .1 .9 𝑋 = 1 .5 .5 𝐸 𝑃 = 1|𝑋 = 0 ∙ 𝑃𝑟 𝑋 = 0 +𝐸 𝑃 = 1|𝑋 = 1 ∙ 𝑃𝑟 𝑋 = 1 = .1 ∙ .5 + .5 ∙ .5 = .3 1,000 observations 300 participants 700 non-participants 50 men 250 women 450 men 250 women
  • 316.
    𝐸 𝑃 =1|𝑋 𝐸 𝑃 = 0|𝑋 𝑋 = 0 .1 .9 𝑋 = 1 .5 .5 𝐸 𝑃 = 1|𝑋 = 0 ∙ 𝑃𝑟 𝑋 = 0 +𝐸 𝑃 = 1|𝑋 = 1 ∙ 𝑃𝑟 𝑋 = 1 = .1 ∙ .5 + .5 ∙ .5 = .3 1,000 observations 300 participants 700 non-participants 500 men 500 women 450 men 250 women
  • 317.
    𝐸 𝑃 =1|𝑋 𝐸 𝑃 = 0|𝑋 𝑋 = 0 .1 .9 𝑋 = 1 .5 .5 𝐸 𝑃 = 1|𝑋 = 0 ∙ 𝑃𝑟 𝑋 = 0 +𝐸 𝑃 = 1|𝑋 = 1 ∙ 𝑃𝑟 𝑋 = 1 = .1 ∙ .5 + .5 ∙ .5 = .3 1,000 observations 300 participants 700 non-participants 500 men 500 women 500 men 500 women
  • 318.
    𝑊𝑌𝑖 = 𝑃𝑖 ∙𝑌𝑖 𝑃𝑟 𝑃𝑖 = 1|𝑋𝑖 − 1 − 𝑃𝑖 ∙ 𝑌𝑖 1 − 𝑃𝑟 𝑃𝑖 = 1|𝑋𝑖 𝐴𝑇𝐸 = 𝑖=1 𝑛 𝑊𝑌𝑖 𝑖=1 𝑛 𝑃𝑖 𝑃𝑟 𝑃𝑖 = 1|𝑋𝑖 + 1 − 𝑃𝑖 1 − 𝑃𝑟 𝑃𝑖 = 1|𝑋𝑖
  • 319.
    𝑊𝑌𝑖 = 𝑃𝑖 ∙𝑌𝑖 𝑃𝑟 𝑃𝑖 = 1|𝑋𝑖 − 1 − 𝑃𝑖 ∙ 𝑌𝑖 1 − 𝑃𝑟 𝑃𝑖 = 1|𝑋𝑖 𝐴𝑇𝐸 = 𝑖=1 𝑛 𝑊𝑌𝑖 𝒊=𝟏 𝒏 𝑷𝒊 𝑷𝒓 𝑷𝒊 = 𝟏|𝑿𝒊 + 𝟏 − 𝑷𝒊 𝟏 − 𝑷𝒓 𝑷𝒊 = 𝟏|𝑿𝒊
  • 320.
    𝑊𝑌𝑖 = 𝑃𝑖 ∙𝑌𝑖 𝑃𝑟 𝑃𝑖 = 1|𝑋𝑖 − 1 − 𝑃𝑖 ∙ 𝑌𝑖 1 − 𝑃𝑟 𝑃𝑖 = 1|𝑋𝑖 𝐴𝑇𝐸 = 𝑖=1 𝑛 𝑊𝑌𝑖 𝑖=1 𝑛 𝑃𝑖 𝑃𝑟 𝑃𝑖 = 1|𝑋𝑖 + 1 − 𝑃𝑖 1 − 𝑃𝑟 𝑃𝑖 = 1|𝑋𝑖
  • 321.
    Other applications ofthe propensity score 1.Weighting 2.Regression
  • 322.
    Regress 𝑌𝑖 on𝑃𝑖 and 𝑃𝑟 𝑃𝑖 = 1|𝑋𝑖
  • 323.
    Regress 𝑌𝑖 on𝑃𝑖 and 𝑃𝑟 𝑃𝑖 = 1|𝑋𝑖
  • 324.
  • 325.
    Links: The manual: http://www.measureevaluation.org/resources/publications/ms- 14-87-en The webinarintroducing the manual: http://www.measureevaluation.org/resources/webinars/metho ds-for-program-impact-evaluation My email: pmlance@email.unc.edu
  • 326.
    MEASURE Evaluation isfunded by the U.S. Agency for International Development (USAID) under terms of Cooperative Agreement AID-OAA-L-14-00004 and implemented by the Carolina Population Center, University of North Carolina at Chapel Hill in partnership with ICF International, John Snow, Inc., Management Sciences for Health, Palladium Group, and Tulane University. The views expressed in this presentation do not necessarily reflect the views of USAID or the United States government. www.measureevaluation.org