fabiogiglietto
Fabio [.] Giglietto [@uniurb.it]
Department of Communication Studies and Humanities | Università di Urbino Carlo Bo
SE I MI PIACE FOSSERO VOTI
STRUMENTI PER MISURARE L’ENGAGEMENT
DELL’ELETTORE E DELLO SPETTATORE
14 MAGGIO 2013
CICLO DI SEMINARI SPAZI DI CONNESSIONE
DIPARTIMENTO DI SCIENZE POLITICHE
SCIENZE DELLA COMUNICAZIONE
INGEGNERIA DELL’INFORMAZIONE
UNIVERSITÀ DEGLI STUDI DI SASSARI
fabiogiglietto
Summary
• Definizione di Networked Publics
• Permanenza, ricercabilità, scalabilità e replicabilità
• Mezzi di comunicazione di massa per le masse
• Opportunità di ricerca per gli scienziati sociali
• Differenze fra piattaforme: Facebook, Twitter e YouTube
• Case Study 1: Se i Likes fossero voti
• Case Study 2: Modelli previsionali del voto
• Case Study 3: Modelli previsionali dell'audience con Twitter
• Case Study 4: Il "couch potato" partecipativo (esempio di
analisi qualitativa)
fabiogiglietto
Networked publics
fabiogiglietto
4 proprietà del networked space
• Permanenza;
• Replicabilità;
• Scalabilità;
• Cercabilità.
danah boyd
fabiogiglietto
NETWORKEDPUBLICS
invisible audiences
collapsed contexts
blurring of
public and private
Permanence
Replicabilty
Scalability
Searchability
www.nextmediaandsociety.org
fabiogiglietto
persistence scalability replicability searchability
few Writings Printing press, newspapers Digital media
(pc, video-
cameras)
World Wide
Web + Google
(Google Book
Search)
many Writings Personal online publishing /
Web 2.0 (Blogs, Flickr,
YouTube)
Digital media
(pc, video-
cameras)
World Wide
Web + Google
(Google Blog
Search)
Farsi Media:
mezzi di comunicazione di massa per le masse
fabiogiglietto
Simulation
• Models
Observation
• “Real” data
From simulation to observation (1/2)
fabiogiglietto
From simulation to observation (2/2)
https://www.facebook.com/notes/facebook-engineering/visualizing-friendships/469716398919
fabiogiglietto
Facebook, Twitter e YouTube
• Acquisire i dati con le API;
• Twitter Search, Streaming e Firehose;
• Facebook Privacy & App per la ricerca;
• YouTube Metadata & Commenti.
• Alcuni strumenti: YourTwapperKeeper,
DiscoverText, ContextMiner, InfoExtractor.
fabiogiglietto
Case 1: Se i Mi Piace fossero voti
• Elezioni amministrative Maggio 2011;
• 23 capoluoghi di provincia, 229 candidate, 102
pagine
• Uso della Facebook Api per la raccolta dati su
pagine;
• Nell’82% dei casi il candidato più popolare su
Facebook ha vinto o è arrivato secondo;
• Oltre i Like: gli zero-likers.
fabiogiglietto
Case 2: Modelli previsionali di voto
• Primarie PD 2012 ed Elezioni 2013;
• Raccolta dati con piattaforma Blogmeter;
• Non è stata trovata nessuna correlazione
significativa fra le diverse metriche ed il
successo elettorale;
• Un modello correttivo a partire da media
sondaggi;
fabiogiglietto
fabiogiglietto
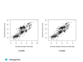
Case 3: Modelli previsionali
dell’audience con Twitter
• Hashtag ufficiale degli 11 talk-show politici
della stagione televisiva 2012/2013
• 1.703.064 (1.126.787 pubblicati durante la
messa in onda)*;
• Raccolta dati con DiscoverText + GNIP;
• Correlazione significativa fra TPM e audience
puntata;
*al 10 Marzo 2013
fabiogiglietto
show episodes total_tweet avg_audience avg_tweet AVG TPM
agorarai 109 58835 586764.9 539.77 3.97
Ballarò 24 211210 4295958.3 8800.41 53.33
In mezzora 14 4484 1294642.8 320.28 7.11
inonda 48 85495 846229.1 1781.14 12.81
L'infedele 14 6022 813877.6 430.14 2.53
omnibus 169 15114 242600.5 89.43 0.68
ottoemezzo 119 122763 1760786.2 1031.62 16.09
piazzapulita 16 145822 1458878.3 9113.87 53.08
portaaporta 57 81623 1647087.7 1431.98 11.01
ServizioPubblico 16 332930 3242717.7 20808.12 122.76
ultimaparola 21 62489 855285.7 2975.66 24.14
fabiogiglietto
r=0.805 r=0.863
fabiogiglietto
fabiogiglietto
Caso 4: il “couch potato” partecipativo
• Stesso dataset del Caso 3;
• Oltre l’analisi quantitativa;
• Talk-show: partecipazione, potere, cittadini e
spettatori;
• Scala della partecipazione (Reach, RT, Reply,
Original Tweet, etc.);
• In progress…

Se i Like fossero voti. Strumenti per misurare l'engagement dell'elettore e dello spettatore

  • 1.
    fabiogiglietto Fabio [.] Giglietto[@uniurb.it] Department of Communication Studies and Humanities | Università di Urbino Carlo Bo SE I MI PIACE FOSSERO VOTI STRUMENTI PER MISURARE L’ENGAGEMENT DELL’ELETTORE E DELLO SPETTATORE 14 MAGGIO 2013 CICLO DI SEMINARI SPAZI DI CONNESSIONE DIPARTIMENTO DI SCIENZE POLITICHE SCIENZE DELLA COMUNICAZIONE INGEGNERIA DELL’INFORMAZIONE UNIVERSITÀ DEGLI STUDI DI SASSARI
  • 2.
    fabiogiglietto Summary • Definizione diNetworked Publics • Permanenza, ricercabilità, scalabilità e replicabilità • Mezzi di comunicazione di massa per le masse • Opportunità di ricerca per gli scienziati sociali • Differenze fra piattaforme: Facebook, Twitter e YouTube • Case Study 1: Se i Likes fossero voti • Case Study 2: Modelli previsionali del voto • Case Study 3: Modelli previsionali dell'audience con Twitter • Case Study 4: Il "couch potato" partecipativo (esempio di analisi qualitativa)
  • 3.
  • 4.
    fabiogiglietto 4 proprietà delnetworked space • Permanenza; • Replicabilità; • Scalabilità; • Cercabilità. danah boyd
  • 5.
    fabiogiglietto NETWORKEDPUBLICS invisible audiences collapsed contexts blurringof public and private Permanence Replicabilty Scalability Searchability www.nextmediaandsociety.org
  • 6.
    fabiogiglietto persistence scalability replicabilitysearchability few Writings Printing press, newspapers Digital media (pc, video- cameras) World Wide Web + Google (Google Book Search) many Writings Personal online publishing / Web 2.0 (Blogs, Flickr, YouTube) Digital media (pc, video- cameras) World Wide Web + Google (Google Blog Search) Farsi Media: mezzi di comunicazione di massa per le masse
  • 7.
    fabiogiglietto Simulation • Models Observation • “Real”data From simulation to observation (1/2)
  • 8.
    fabiogiglietto From simulation toobservation (2/2) https://www.facebook.com/notes/facebook-engineering/visualizing-friendships/469716398919
  • 9.
    fabiogiglietto Facebook, Twitter eYouTube • Acquisire i dati con le API; • Twitter Search, Streaming e Firehose; • Facebook Privacy & App per la ricerca; • YouTube Metadata & Commenti. • Alcuni strumenti: YourTwapperKeeper, DiscoverText, ContextMiner, InfoExtractor.
  • 10.
    fabiogiglietto Case 1: Sei Mi Piace fossero voti • Elezioni amministrative Maggio 2011; • 23 capoluoghi di provincia, 229 candidate, 102 pagine • Uso della Facebook Api per la raccolta dati su pagine; • Nell’82% dei casi il candidato più popolare su Facebook ha vinto o è arrivato secondo; • Oltre i Like: gli zero-likers.
  • 11.
    fabiogiglietto Case 2: Modelliprevisionali di voto • Primarie PD 2012 ed Elezioni 2013; • Raccolta dati con piattaforma Blogmeter; • Non è stata trovata nessuna correlazione significativa fra le diverse metriche ed il successo elettorale; • Un modello correttivo a partire da media sondaggi;
  • 12.
  • 13.
    fabiogiglietto Case 3: Modelliprevisionali dell’audience con Twitter • Hashtag ufficiale degli 11 talk-show politici della stagione televisiva 2012/2013 • 1.703.064 (1.126.787 pubblicati durante la messa in onda)*; • Raccolta dati con DiscoverText + GNIP; • Correlazione significativa fra TPM e audience puntata; *al 10 Marzo 2013
  • 14.
    fabiogiglietto show episodes total_tweetavg_audience avg_tweet AVG TPM agorarai 109 58835 586764.9 539.77 3.97 Ballarò 24 211210 4295958.3 8800.41 53.33 In mezzora 14 4484 1294642.8 320.28 7.11 inonda 48 85495 846229.1 1781.14 12.81 L'infedele 14 6022 813877.6 430.14 2.53 omnibus 169 15114 242600.5 89.43 0.68 ottoemezzo 119 122763 1760786.2 1031.62 16.09 piazzapulita 16 145822 1458878.3 9113.87 53.08 portaaporta 57 81623 1647087.7 1431.98 11.01 ServizioPubblico 16 332930 3242717.7 20808.12 122.76 ultimaparola 21 62489 855285.7 2975.66 24.14
  • 15.
  • 16.
  • 17.
    fabiogiglietto Caso 4: il“couch potato” partecipativo • Stesso dataset del Caso 3; • Oltre l’analisi quantitativa; • Talk-show: partecipazione, potere, cittadini e spettatori; • Scala della partecipazione (Reach, RT, Reply, Original Tweet, etc.); • In progress…

Editor's Notes

  • #3 But, at the same time, TV has never been as social as it is today