1


                              Winston-Salem State University
                            Department of Mass Communications

                                            Fall 2009


Course Syllabus:        MCM 3321 – Media Presentation            3 Semester Credit Hours

Instructor:             Dr. Brian Blount

Office:                 Hall-Patterson Room 114

Office Hours:           M 10:00 AM – 11:00 AM
                        W 10:00 AM - 1:00 PM
                        F 10:00 AM - 1:15 PM

Office Telephone:       336-750-3343

Email:                  blountb@wssu.edu


Required Textbook

Television and Radio Announcing, 11th Edition; Hyde, Stuart W.; Boston: Allyn & Bacon, 2009.

Technology Resources

1) Inexpensive headset with microphone. 2) Two to three CD-R /RW audio diskettes or a USB
storage device (2G or more portable disk drive). 3) One notepad of any size to log and document
all critiques from the coaching sessions.

Course Description

This course will cover the major aspects of radio, television, and new media delivery processes
through the effective use of relevant media and technology. Course highlights include usage of
broadcast terminology, writing for radio and television, and broadcast delivery through voicing
and announcing. A final production project will be assigned after the midterm period of the
course. Please refer to the course schedule for specific assignment dates and logistics. The
project will involve student teams which will produce audio and video public service products for
radio and new media. The Prerequisites are: MCM 2325. MCM 3315, and MCM 3365.

Rationale

Consolidation among broadcasting companies may lead to an increased use of syndicated
programming and programs originating outside a station's viewing or listening area. Digital
technology will increase the productivity of announcers, reducing the time spent on off-air
technical and production work.

Course Objectives

The course is intended to improve the students’ knowledge and skills in order to gain and
demonstrate proficiency in the area of announcing for the media. Only an earnest effort and
hours of practice outside of the classroom can bring about a significant improvement. After
completing the course successfully, the students should be able to:
2


Course Objectives (Cont.d)

    1. Demonstrate knowledge, skills, and concepts related to the terminology and techniques
       used by radio and television broadcasters to develop and deliver stories.
    2. Select the appropriate announcing techniques to become more comfortable in delivering
       reports in front of a traditional and/or new media audience.
    3. Use technology to improve performance in announcing radio, television, and new media
       programs.
    4. Produce relevant and meaningful media programs and become more effective
       communicators.

Materials and Equipment

Each student must have a computer (Windows based recommended) running
Windows2000/XP,Vista; Microsoft Office Word, and a Web browser such as Internet Explorer
(version 6.xx) or Netscape 7.xx.

In order to access some of the materials and software required for the course, the student must
have a valid WSSU network access account. You will also use the account to log onto computers
in the labs. Also, the student must have access to one working email address.

Each student will also need 2 to 3 CD-R /RW audio diskettes or a USB storage device with at
least 2G or more memory. You will also need an inexpensive headset with microphone. Please
note that storage devices are not 100% reliable and they fail many times. Therefore, it is strongly
suggested that you make multiple backups of your recordings.

Finally, students are required to obtain one notepad to log all critiques and comments from the
coaching sessions. The notepad will allow the students to record and maintain a list of their
deficiencies in an effort to improve on them. Each student will be requested to submit a copy
of his or her Coaching Evaluation Log to the Instructor after each coaching session.

Course Participation Policy

Consistent participation will play an important part in determining your final grade in this course.
Also, timely submission of projects and audio - video productions is very important.
Student Requirements

Students will be required to be active learners in classroom and participate in all assigned
exercises. To accomplish this objective, students must complete all assignments by their
deadlines and attend all class meetings. In the event a student is absence from class, it is the
student’s responsibility to find out about the required assignment for the purpose of submitting it
on its due date or at the time the instructor approves. Only excused absences will be given
consideration for extending the due date of the assignment. All students are required to check
his or her email prior to the beginning of the each class.

Several assignments require much thought and preparation. As a result, plan far ahead for these
projects. The instructions for most performance assignments are specific and are intended to
help you succeed in this course. Failure to consult the syllabus on a weekly basis is certain to
lead to problems. Success in this class requires regular preparation.

Code of Ethics

Media practitioners must be honest, fair and courageous in gathering, producing, reporting and
interpreting information. Never plagiarize. Avoid stereotyping by race, gender, age, religion,
ethnicity, geography, sexual orientation, disability, physical appearance or social status.
3


Disability Statement

Students with a documented disability must register with the WSSU Disability Services Office
each semester to receive consideration for any accommodations in this course. Accommodations
are not retroactive. You may reach the Disability Services Office by emailing
waddellm@wssu.edu.

Diversity Statement

The department seeks (1) to have a diverse student population where all students feel welcome
while obtaining a quality educational experience; (2) to maintain a level of faculty and staff
diversity that matches the student body; and (3) to create and maintain an environment where all
ethnicities and genders feel empowered and one that encourages their participation that is free of
discrimination.

Cell Phones, Text Messaging, and Excessive Talking

All cell phones must be turned off during the class time. The 2nd warning will result in the
confiscation of the electronic device for the class period. Throughout the remaining semester, on
the 3rd time the electronic device is confiscated, the student will be given an additional grade of
zero (0) for that class period assignment(s).

Also, on the 3rd issued request to the student to stop excessive talking during the class period,
the student will be requested to leave the classroom and he or she will be given an additional
grade of zero (0) for that class period assignment(s).

Course Assignments

Classwork involves a few lecture discussion sessions. Our chief activity is to record, play back,
and evaluate the student performances. The required readings will be discussed prior to the
requested performance activity or at the times designated by the Instructor. If you have questions
about anything you read in the text, please feel free to raise them at any appropriate time. It is
important to consult the Essential Resources (located at the end of this syllabus) to assist
with preparing any listed corresponding assignment.

All assignments must be completed on time and according to the guidelines provided for each
assignment. Late assignments will only be accepted in the case of excused emergencies. Each
student is expected to complete and submit the following requirements:

    1. Recording Skills Pre-assessment. Students recording skills will be pre-assessed by
       recording “William and His Friends” (page 55) and “The Diagnostic Center” (page 93).
       Each audio assignment should be no longer than 2 minutes in length and should be
       emailed to the Instructor prior to the selected class meeting as indicated by the
       corresponding Technology Requirement chart. "William and His Friends" was chosen
       because it includes a medial “l” sound, one of the most common sources of trouble for
       many American speakers. This story is a "speed trap." Students who tend to speak too
       rapidly, or who slur their words, will really have a challenge with this exercise. “The
       Diagnostic Center” is also chosen because it will enable students to work on poor
       articulation areas which may include mumbling or omitting syllables and certain words.
       Students should make a conscious effort to form every syllable of every sentence with
       this exercise.

    2. Articulation Exercise. Students will record a series of 3 out-of-class assignments that
       demonstrate their articulation skill levels. The audio recording should be emailed to the
       Instructor before the selected class meetings as indicated by the
4


    corresponding Technology Requirement chart. The nine speech sounds usually cause
    slurred, unpleasant, or unclear speech and should be corrected by anyone who intends
    to become a professional announcer or public speaker in any field of study. Nine of the
    twenty-five consonant sounds in the English language that cause the most problems will
    be focused on in order to assist the students to overcome any difficulties they may
    possess. These nine consonants are “T”, “Th”, “S”, “Sh”, “N”, “Ng”, “L”, “Hw”, and “R”
    (pages 94 – 99). Examples are: “T” – metal, “Th” – think, “S” – asserted, “Sh” – shortly,
    “N” – now, “Ng” – sing, “L” – willing, “Hw” – where, and “R” – runner.

3. Marking Copy Exercise. Students will write two 30 seconds radio spots of any type using
   the seven copy marks and record them in Voice Board via Black Board. The total time
   for both productions should be 1 minute in length. The audio recording should be
   emailed to the Instructor before the selected class meetings as indicated by the
   corresponding Technology Requirement chart. Punctuation is useful to announcers
   because it shows the writer’s intentions regarding mood and meaning of the script. On
   page 36, there are seven marking copy symbols that are used in announcing scripts.
   The seven marking copy symbols are: Slant lines, Two virgules, Underline, Question and
   exclamation marks, Upside-down exclamation point, and Crescendo.

4. Four Aspects of Speech Exercise. Students will record the two “Celebration”
   commercials (page 358) and utilize the four major aspects of speech such as: Pitch and
   Inflection, Volume, Tempo, and Vitality and Energy. The audio assignment should be
   recorded by the students as a 4 part series that builds on each individual aspect until all
   four aspects are used in the recording. In other words, each series introduces and
   stresses a new aspect in the 60 seconds commercial. The assignment should be emailed
   to the Instructor prior to the selected class meeting as indicated by the corresponding
   Technology Requirement chart. The exercise is designed to vitalize the students
   announcing skills, as well as to assist them to deliver the intended interpretations of the
   messages.

5. Interviewing Skills Pre-assessment. Students will interview their classmates about their
   backgrounds, professional and personal interests, professional objectives, achievements,
   and any other noteworthy information. The purpose of this exercise is to pre-assess the
   abilities of the students to interview, write and record interview scripts. The recorded
   audio presentation should be 3 minutes in length and should be emailed to the Instructor
   prior to the selected class meeting as indicated by the corresponding Technology
   Requirement chart.

6. Interviewing Professionals Exercise. Students will record one professional of any
   interesting discipline. The exercise will illustrate the techniques and skills learned from
   the pre-assessment interview. The audio recording should be should be emailed to the
   Instructor before the selected class meetings as indicated by the corresponding
   Technology Requirement chart. Chapter 9 on pages 170 – 199 is devoted to practices
   and techniques appropriate to in-studio television show and radio call-in shows that may
   not include studio guests, as well as to gather and edit interviews for inserting them into
   radio, television, and new media documentaries.

7. Public Service Announcements (PSAs) Project. Students will record three 30 seconds
   PSAs via audio podcast as the final project for the semester. The final project should be
   emailed to the Instructor prior to a selected class meeting as indicated by the
   corresponding Technology Requirement chart. Also, the students will be required to
   attend a class meeting where evaluations and feedback will be provided by the Instructor.
   The project should address three significant local public service issues that present a
   challenge or obstacle for the students on a regular basis. The Federal Communications
   Act of 1934 established the Federal Communications Commissions (FCC) and defined its
5



        areas of responsibility. One requirement was that station licensees broadcast “in the
        public interest, convenience, or necessity.” One of the most convenient and inexpensive
        ways of showing community service was by broadcasting, free of charge, brief messages
        promoting worthwhile nonprofit enterprises via PSAs.

Interviewing Expectations: Classmates Interview. The interview should focus on an unfamiliar
person. Spend a few minutes at the end of today’s class talking with the person to be
interviewed, exploring possible topics to be brought out in the interview. Make notes. Do not try
to cover a person’s entire life. Focus on one or two items of interest. Reverse the roles in an
effort to understand some nuances of each. Do not fully write-out any of the questions. Do not
pretend to interview a celebrity or a fictitious person.

The success of the students’ interviews will be determined by how well the interesting facts and
opinions of the guests are brought out by the interviewers. Interviews will be 4 minutes in length.
Work for an appropriate beginning and ending. The audio recording should be emailed to the
Instructor before the selected class meetings as indicated by the corresponding Technology
Requirement chart. Record the interviews on recordable CDs or USB storage devices as backup
copies.

Interviewing Expectations: Professional Interview. The interview should focus on a
newsworthy individual. Explore possible topics to be brought out in the interview. Make notes.
Do not try to cover a person’s entire life. Focus on one or two items of interest. Reverse. The
success of interview will be determined by how well the interesting facts and opinions of the guest
are brought out by the interviewer.

For the purpose of obtaining additional techniques and facts about the interview process,
research the topic by using Google Search. Do not use any Wikipedia sources. Submit a
copy of all sources located to the Instructor for approval before they are used. Once you
have gathered the appropriate websites, compile it through the use of RSS Feeds. The
interview will be 4 minutes in length. The audio recording should be emailed to the Instructor
before the selected class meetings as indicated by the corresponding Technology Requirement
chart. Record the interview on podcast and recordable CDs or USB storage devices as backup
copy.

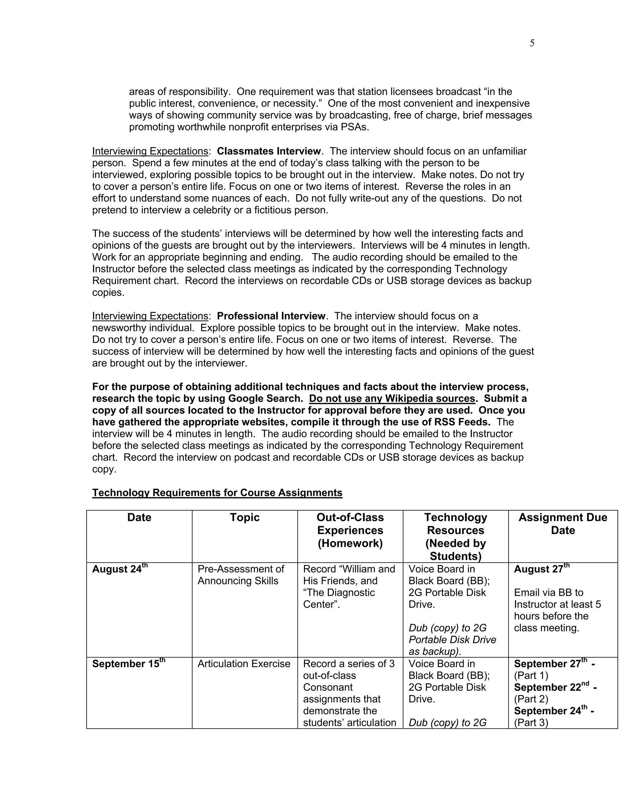
Technology Requirements for Course Assignments

       Date                    Topic              Out-of-Class             Technology           Assignment Due
                                                  Experiences              Resources                 Date
                                                  (Homework)               (Needed by
                                                                            Students)
August 24th            Pre-Assessment of       Record “William and      Voice Board in         August 27th
                       Announcing Skills       His Friends, and         Black Board (BB);
                                               “The Diagnostic          2G Portable Disk       Email via BB to
                                               Center”.                 Drive.                 Instructor at least 5
                                                                                               hours before the
                                                                        Dub (copy) to 2G       class meeting.
                                                                        Portable Disk Drive
                                                                        as backup).
September 15th         Articulation Exercise   Record a series of 3     Voice Board in         September 27th -
                                               out-of-class             Black Board (BB);      (Part 1)
                                               Consonant                2G Portable Disk       September 22nd -
                                               assignments that         Drive.                 (Part 2)
                                               demonstrate the                                 September 24th -
                                               students’ articulation   Dub (copy) to 2G       (Part 3)
6


                                       skill levels.           Portable Disk Drive
                                                               as backup.            All of the above parts
                                                                                     should be emailed
                                                                                     via BB to Instructor at
                                                                                     least 5 hours before
                                                                                     the class meeting.
September 24th   Marking Copy          Write and record        Voice Board in        September 29th
                 Exercise              two 30 seconds          Black Board (BB);
                                       radio script using      2G Portable Disk      Email via BB to
                                       the seven copy          Drive.                Instructor at least 5
                                       marks.                                        hours before the
                                                               Dub (copy) to 2G      class meeting.
                                                               Portable Disk Drive
                                                               as backup.
October 22nd     Interviewing Skills   Interview               Voice Board in        October 27th
                 Pre-assessment        classmates about        Black Board (BB);
                                       their backgrounds,      2G Portable Disk      Email via BB to
                                       professional and        Drive.                Instructor at least 5
                                       personal interests,                           hours before the
                                       professional            Dub (copy) to 2G      class meeting.
                                       objectives,             Portable Disk Drive
                                       achievements, and       as backup.
                                       any other
                                       noteworthy
                                       information.
September 29th   Four Aspects of       Record the              Voice Board in        October 1st -
                 Speech                “Celebration”           Black Board (BB);     (Part 1)
                 Effectiveness         commercial (page        2G Portable Disk      October 6th -
                 Exercise              358) and utilize the    Drive.                (Part 2)
                                       four major aspects                            October 8th -
                                       of speech               Dub (copy) to 2G      (Part 3)
                                       effectiveness. The      Portable Disk Drive   October 20th -
                                       audio assignment        as backup.            (Part 4)
                                       should be recorded
                                       by the students as a                          Email via BB to
                                       4 part series.                                Instructor at least 5
                                                                                     hours before the
                                                                                     class meeting.
October 29th     Interviewing          Write a brief 30        Black Board;          November 3rd
                 Professionals         seconds radio script    Google Search;
                 Exercise              using the seven         RSS Feed;             Email via BB to
                                       copy marks and          Podcast.              Instructor at least 5
                                       record it as a 1                              hours before the
                                       minute podcast.         Dub (copy) to 2G      class meeting.
                                                               Portable Disk Drive
                                                               as backup.
November 10th    Public Service        Record three 30         Black Board;          November 24th -
                 Announcements         seconds PSAs via        Google Search;        (1st Draft)
                 (PSAs) Project        audio podcast as        RSS Feed;             December 3rd -
                                       the final project for   Podcast.              (Final Submission)
                                       the semester.
                                                               Dub (copy) to 2G      Email via BB to
                                                               Portable Disk Drive   Instructor at least 5
                                                               as backup.            hours before the
                                                                                     class meeting.
November 12th    Post-Assessment of    Re-record “William      Voice Board in        November 17th
7


                      Announcing Skills          and His Friends,             Black Board (BB);
                                                 and “The Diagnostic          2G Portable Disk            Email via BB to
                                                 Center”.                     Drive.                      Instructor at least 5
                                                                                                          hours before the
                                                                              Dub (copy) to 2G            class meeting.
                                                                              Portable Disk Drive
                                                                              as backup.

Schedule of Class Lessons

Week 1:                Tuesday, August 24th

Objective(s):          Demonstrate knowledge, skills, and concepts related to the terminology
                       and techniques used by radio and television broadcasters to develop and
                       deliver stories

                       Use technology to improve performance in announcing radio, television,
                       and new media programs.

In-Class Experience: Introductions. Review of syllabus. Students will write one page about
                     themselves and their expectations from the course. Included in the
                     students’ information should be their classification, major, media
                     experience, and professional objectives, etc.

Home Assignment:       1) Bring to the next class meeting a new recordable CD or 2G or more
                       USB storage device. 2) As a pre-assessment of the student’s skill level,
                       practice and record “William and His Friends,” page 55 in the text, and
                       “The Diagnostic Center,” on page 93. Practice each exercise for a
                       minimal of 20 minutes before recording them. See the corresponding
                       Technology Requirements chart for additional details.

Assignment Due:        Thursday, August 27th


Week 1:                Thursday, August 27th

Objective(s):          Demonstrate knowledge, skills, and concepts related to the terminology
                       and techniques used by radio and television broadcasters to develop and
                       deliver stories

In-Class Experience: Playback and coaching session by the Instructor on "William and His
                     Friends" and “The Diagnostic Center” will occur in the class meeting.
                     During all coaching sessions, the strengths and weaknesses of each
                     student will be provided by the Instructor and classmates (peer
                     evaluation). Please note: A coaching session will be provided by the
                     Instructor during every appropriate class meeting throughout the
                     semester.

Home Assignment:       Read about the concept of the needed skills for announcing in
                       “Announcing for the Electronic Media” (Chapter 1). The specialization of
                       announcing will be analyzed. Be prepared for a quiz on the chapter at
                       the next meeting. Key Terms (Chapter 1): announcer, news anchors, ASNE,
                       corporate media, defamation, drugola, EAS, indecency, industrial media, NAB, obscenity,
                       payola, plugola, RTNDA, status-conferral function of the media.

Assignment Due:        Tuesday, September 1st
8


Week 2:                Tuesday, September 1st

Objective(s):          Demonstrate knowledge, skills, and concepts related to the terminology
                       and techniques used by radio and television broadcasters to develop and
                       deliver stories.

                       Use technology to improve performance in announcing radio, television,
                       and new media programs.

In-Class Experience: Quiz on “Announcing for the Electronic Media” (Chapter 1). Continue
                     playbacks and coaching session of "William and His Friends" and “The
                     Diagnostic Center”. Immediately or on a continuous basis throughout the
                     course the Instructor will assign additional exercises as needed to
                     improve the performance of the students. Some examples of the
                     additional exercises could be assigned are the Twelve Vowel Sounds
                     (page 83), Voice Quality (page 65), and Breathing and Breathing
                     Exercises (page 67).

Home Assignment:       Read about the concept of how announcers are viewed in the industry in
                       “The Announcer as Communicator”, Chapter 2. Place special emphasis
                       on Interpreting Copy and Ad-Lib Announcing. Duplicate and learn the
                       Checklist (Analyzing Broadcast Copy) on page 26 and submit a copy to
                       the Instructor via Black Board prior to the next class meeting. Be
                       prepared for a chapter quiz. Key Terms (Chapter 2): allusion, cold copy,
                       communication, crescendo, decrescendo, diacritical marks, ellipses, mood, reading ahead,
                       structure, virgule.

Assignment Due:        Thursday, September 3rd


Week 2:                Thursday, September 3rd

Objective(s):          Demonstrate knowledge, skills, and concepts related to the terminology
                       and techniques used by radio and television broadcasters to develop and
                       deliver stories.

                       Use technology to improve performance in announcing radio, television,
                       and new media programs.

In-Class Experience: Quiz on “The Announcer as Communicator” (Chapter 2). Discuss the
                     Checklist (Analyzing Broadcast Copy). During the remainder of the
                     class, a powerpoint presentation on the “Capabilities and Skills Needed”
                     as an announcer will be shown. This information is necessary in order
                     for the student to appreciate the importance of developing confidence
                     which is necessary to become effective communicators.

Home Assignment:       Study the notes of the powerpoint and be prepared for a quiz on it at the
                       next class meeting.

Assignment Due:        Tuesday, September 8th
9


Week 3:                 Tuesday, September 8th

Objective(s):           Demonstrate knowledge, skills, and concepts related to the terminology
                        and techniques used by radio and television broadcasters to develop and
                        deliver stories

                        Use technology to improve performance in announcing radio, television,
                        and new media programs.

In-Class Experience: Quiz on the “Capabilities and Skills Needed” powerpoint presentation.
                     During the remainder of the class session a powerpoint presentation on
                     the “Roles of TV & Radio Announcers” will be shown. The information
                     describes the opportunities that are available for an announcer. As a
                     result, the student is able to think about his or her possibilities and take
                     advantage of the course offerings as preparation for his or her relevant
                     choices.

Home Assignment:        Study the powerpoint notes on the “Roles of TV & Radio Announcers”
                        and be prepared for a quiz on it at the next class meeting.

Assignment Due:         Thursday, September 10th


Week 3:                 Thursday, September 10th

Objective(s):           Demonstrate knowledge, skills, and concepts related to the terminology
                        and techniques used by radio and television broadcasters to develop and
                        deliver stories

                        Use technology to improve performance in announcing radio, television,
                        and new media programs.

In-Class Experience: Quiz on the “Roles of TV & Radio Announcers” powerpoint presentation.
                     During the remainder of the class meeting, a powerpoint presentation will
                     be shown about Voice Quality. The chief resonators of speech sounds
                     are bones of the chest and face the windpipe (trachea), larynx, pharynx,
                     mouth, nose, cheekbones, and sinuses. These items will be discussed in
                     the powerpoint.

Home Assignment:        Read about the concept of “Voice Analysis and Improvement” (Chapter
                        3). Provide special attention to the above corresponding information
                        about how the quality of the voice can be improved on pages 65 – 71.
                        Be prepared for a chapter quiz at next class meeting. Key Terms
                        (Chapter 3): ambient noise, articulation, articulators, aspirate, back vowels, consonants,
                        diaphragm, inflection, monotone, lavaliere mic, nasals, optimum pitch, nasality and
                        denasality, pitch and inflection, plosive, popping, pronounciation, sibilance, speech
                        personality, tempo, vitality, vocal folds, voice quality, volume.

Assignment Due:         Tuesday, September 15th
10


Week 4:                Tuesday, September 15th

Objective(s):          Demonstrate knowledge, skills, and concepts related to the terminology
                       and techniques used by radio and television broadcasters to develop and
                       deliver stories.

                       Select the appropriate announcing techniques to become more
                       comfortable in delivering reports in front of a traditional and/or new media
                       audience.

                       Use technology to improve performance in announcing radio, television,
                       and new media programs.

In-Class Experience: Quiz on “Voice Analysis and Improvement” (Chapter 3).

Home Assignment:       Record the first 3 part-series out-of-class exercise that demonstrates the
                       students’ articulation skill levels. Three of the twenty-five consonant
                       sounds in the English language that cause the most problems will be
                       focused on. The first 3 consonants exercise that will be recorded are the
                       “T”, “Th”, “S” sounds beginning on page 94. See the corresponding
                       Technology Requirements chart for additional details.

Assignment Due:        Thursday, September 17th


Week 4:                Thursday, September 17th

Objective(s):          Demonstrate knowledge, skills, and concepts related to the terminology
                       and techniques used by radio and television broadcasters to develop and
                       deliver stories.

                       Select the appropriate announcing techniques to become more
                       comfortable in delivering reports in front of a traditional and/or new media
                       audience.

                       Use technology to improve performance in announcing radio, television,
                       and new media programs.

In-Class Experience: Coaching session on the consonants “T”, “Th”, and “S” recording.

Home Assignment:       Record the second 3 part-series out-of-class exercise that demonstrates
                       the students’ articulation skill levels. Three of the twenty-five consonant
                       sounds in the English language that cause the most problems will be
                       focused on. The second 3 consonants exercise that will be recorded are
                       the “Sh”, “N”, and “Ng” sounds beginning on page 94. See the
                       corresponding Technology Requirements chart for additional details.
                       Submit the current Coaching Evaluation Log to the Instructor at the next
                       class meeting.

Assignment Due:        Tuesday, September 22nd
11



Week 5:               Tuesday, September 22nd

Objective(s):         Demonstrate knowledge, skills, and concepts related to the terminology
                      and techniques used by radio and television broadcasters to develop and
                      deliver stories.

                      Select the appropriate announcing techniques to become more
                      comfortable in delivering reports in front of a traditional and/or new media
                      audience.

                      Use technology to improve performance in announcing radio, television,
                      and new media programs.

In-Class Experience: Coaching session on the consonants “Sh”, “N”, and “Ng” recording.

Home Assignment:      Record the final 3 part-series out-of-class exercise that demonstrates the
                      students’ articulation skill levels. Three of the twenty-five consonant
                      sounds in the English language that cause the most problems will be
                      focused on. The final 3 consonants exercise that will be recorded are
                      the “L”, “Hw”, and “R” sounds beginning on page 94. See the
                      corresponding Technology Requirements chart for additional details.
                      Submit the current Coaching Evaluation Log to the Instructor at the next
                      class meeting.

Assignment Due:       Thursday, September 24th


Week 5 :              Thursday, September 24th

Objective(s):         Demonstrate knowledge, skills, and concepts related to the terminology
                      and techniques used by radio and television broadcasters to develop and
                      deliver stories.

                      Select the appropriate announcing techniques to become more
                      comfortable in delivering reports in front of a traditional and/or new media
                      audience.

                      Use technology to improve performance in announcing radio, television,
                      and new media programs.

In-Class Experience: Coaching session on the consonants “L”, “Hw”, and “R” recording.

Home Assignment:      Write two 30 seconds radio spots of any type using the seven copy
                      marks (found on page 36) and record the spots in Voice Board via Black
                      Board. Submit the two spots for the Instructor’s review. The total time
                      for both productions should be 1 minute in length. The audio recording
                      should be emailed to the Instructor before the selected class meetings as
                      indicated by the corresponding Technology Requirement chart. Submit
                      the current Coaching Evaluation Log to the Instructor at the next class
                      meeting.

Assignment Due:       Tuesday, September 29th
12



Week 6:                Tuesday, September 29th

Objective(s):          Select the appropriate announcing techniques to become more
                       comfortable in delivering reports in front of a traditional and/or new media
                       audience.

                       Use technology to improve performance in announcing radio, television,
                       and new media programs.

In-Class Experience: Review of the copy marks in the scripts and coaching session on the two
                     30 seconds recorded spots will occur during this class session.

Home Assignment:       Record the two “Celebration” commercials (page 358) and utilize the four
                       major aspects of speech effectiveness such as: Pitch and Inflection,
                       Volume, Tempo, and Vitality and Energy for each commercial. The
                       audio assignment should be recorded by the students as a 4 part series.
                       During this assignment (Part 1), Pitch and Inflection should be
                       emphasized in the recording. See the corresponding Technology
                       Requirements chart for additional details. Submit the current Coaching
                       Evaluation Log to the Instructor at the next class meeting.

Assignment Due:        Thursday, October 1st


Week 6:                Thursday, October 1st

Objective(s):          Select the appropriate announcing techniques to become more
                       comfortable in delivering reports in front of a traditional and/or new media
                       audience.

                       Use technology to improve performance in announcing radio, television,
                       and new media programs.

In-Class Experience: Coaching session on Pitch and Inflection recording.

Home Assignment:       Record the two “Celebration” commercials (page 358) and utilize the four
                       major aspects of speech effectiveness such as: Pitch and Inflection,
                       Volume, Tempo, and Vitality and Energy for each commercial. The
                       audio assignment should be recorded by the students as a 4 part series.
                       During this assignment (Part 2), Pitch and Inflection, and Volume should
                       be emphasized in the recording. See the corresponding Technology
                       Requirements chart for additional details. Submit the current Coaching
                       Evaluation Log to the Instructor at the next class meeting.

Assignment Due:        Tuesday, October 6th


Week 7:                Tuesday, October 6th

Objective(s):          Select the appropriate announcing techniques to become more
                       comfortable in delivering reports in front of a traditional and/or new media
                       audience.

                       Use technology to improve performance in announcing radio, television,
                       and new media programs.
13



Week 7:                Tuesday, October 6th (Cont.d)


In-Class Experience: Coaching session on Pitch and Inflection, and Volume recording.

Home Assignment:       Record the two “Celebration” commercials (page 358) and utilize the four
                       major aspects of speech effectiveness such as: Pitch and Inflection,
                       Volume, Tempo, and Vitality and Energy for each commercial. The
                       audio assignment should be recorded by the students as a 4 part series.
                       During this assignment (Part 3), Pitch and Inflection, Volume, and Tempo
                       should be emphasized in the recording. See the corresponding
                       Technology Requirements chart for additional details.
                       Submit the current Coaching Evaluation Log to the Instructor at the next
                       class meeting.

Assignment Due:        Thursday, October 8th


Week 7:                Thursday, October 8th

Objective(s):          Select the appropriate announcing techniques to become more
                       comfortable in delivering reports in front of a traditional and/or new media
                       audience.

                       Use technology to improve performance in announcing radio, television,
                       and new media programs.

In-Class Experience: Coaching session on Pitch and Inflection, Volume, and Tempo recording.

Home Assignment:       Record the two “Celebration” commercials (page 358) and utilize the four
                       major aspects of speech effectiveness such as: Pitch and Inflection,
                       Volume, Tempo, and Vitality and Energy for each commercial. The
                       audio assignment should be recorded by the students as a 4 part series.
                       During this assignment (Part 4), Pitch and Inflection, Volume, Tempo,
                       and Vitality and Energy should be emphasized in the recording. See the
                       corresponding Technology Requirements chart for additional details.
                       Submit the current Coaching Evaluation Log to the Instructor at the next
                       class meeting.

Assignment Due:        Tuesday, October 20th


Week 8:                Tuesday, October 13th (FALL BREAK)

Objective(s):          Demonstrate knowledge, skills, and concepts related to the terminology
                       and techniques used by radio and television broadcasters to develop and
                       deliver stories.

In-Class Experience: Out-of-class practice on prior weak performance(s).

Home Assignment:       Out-of-class practice on prior weak performance(s).

Assignment Due:        N/A
14



Week 8:                Thursday, October 15th (FALL BREAK)

Objective(s):          Demonstrate knowledge, skills, and concepts related to the terminology
                       and techniques used by radio and television broadcasters to develop and
                       deliver stories.

In-Class Experience: Out-of-class practice on prior weak performance(s).

Home Assignment:       Out-of-class practice on prior weak performance(s).

Assignment Due:        N/A


Week 9:                Tuesday, October 20th

Objective(s):          Demonstrate knowledge, skills, and concepts related to the terminology
                       and techniques used by radio and television broadcasters to develop and
                       deliver stories.

In-Class Experience: Coaching session on Pitch and Inflection, Volume, Tempo, and Vitality
                     and Energy recording.

Home Assignment:       Read about performing well in the announcing field in “Audio
                       Performance” (Chapter 5). Place emphasis on Performance Skill (page
                       112) and Achieving a Conversational Style (page 115). Duplicate and
                       learn the Checklist (Preparing to Perform) on page 114 and submit a
                       copy to the Instructor via email prior to the next class meeting. Be
                       prepared for a quiz on the chapter at the next class meeting. Key Terms
                       (Chapter 5): audience rapport, hand signals, hard copy, mic fright, microphone
                       consciousness, plosives, self-esteem, sibilance, time signals, vocal folds. Submit the
                       current Coaching Evaluation Log to the Instructor at the next class
                       meeting.

Assignment Due:        Thursday, October 22nd


Week 9:                Thursday, October 22nd

Objective(s):          Demonstrate knowledge, skills, and concepts related to the terminology
                       and techniques used by radio and television broadcasters to develop and
                       deliver stories.

                       Use technology to improve performance in announcing radio, television,
                       and new media programs.

In-Class Experience: Quiz on “Audio Performance” (Chapter 5). Discuss the Checklist
                     (Preparing to Perform).

Home Assignment:       Interview and record classmates about their backgrounds, professional
                       and personal interests, professional objectives, achievements, and any
                       other noteworthy information. The recorded audio presentation should
                       be 3 minutes in length. See the corresponding Technology
                       Requirements chart for additional details.

Assignment Due:        Tuesday, October 27th
15




Week 10:               Tuesday, October 27th

Objective(s):          Demonstrate knowledge, skills, and concepts related to the terminology
                       and techniques used by radio and television broadcasters to develop and
                       deliver stories.

                       Use technology to improve performance in announcing radio, television,
                       and new media programs.

In-Class Experience: Coaching session on the classmates interview recording.

Home Assignment:       Read about how to be an effective announcer in “Interviewer and Talk
                       Programs” (Chapter 8). Be prepared for a chapter quiz at the next class
                       meeting. Duplicate and learn the Checklist (Becoming a Skilled
                       Interviewer) on page 186 - 188 and submit a copy to the Instructor via
                       Black Board prior to the next class meeting. Key Terms (Chapter 8):
                       audience demographics, billing log, commercial cluster, debriefing log, equal time
                       provision, fairness doctrine, interview, vox pop, ladder of abstraction, MOS, panic button,
                       payola, personal attack, phone screener, plugola, program log. Submit the current
                       Coaching Evaluation Log to the Instructor at the next class meeting.

Assignment Due:        Thursday, October 29th


Week 10:               Thursday, October 29th

Objective(s):          Demonstrate knowledge, skills, and concepts related to the terminology
                       and techniques used by radio and television broadcasters to develop and
                       deliver stories.

                       Use technology to improve performance in announcing radio, television,
                       and new media programs.

In-Class Experience: Quiz on “Interviewer and Talk Programs” (Chapter 8). Discuss the
                     Checklist (Becoming a Skilled Interviewer).

Home Assignment:       Record one person in a professional position of any interesting discipline.
                       The exercise will illustrate the techniques and skills learned from the pre-
                       assessment interview (classmates). See the corresponding Technology
                       Requirements chart for additional details.

Assignment Due:        Tuesday, November 3rd


Week 11:               Tuesday, November 3rd

Objective(s):          Select the appropriate announcing techniques to become more
                       comfortable in delivering reports in front of a traditional and/or new media
                       audience

In-Class Experience: Coaching session on the interview recording of a person in a
                     professional position.
16


Week 11:               Tuesday, November 3rd (Cont.d)


Home Assignment:       Prepare questions about announcing techniques and experiences, future
                       trends, and career opportunities for the professional guest lecturer who
                       will appear at the next class meeting. Submit the current Coaching
                       Evaluation Log to the Instructor at the next class meeting.

Assignment Due:        Thursday, November 5th


Week 11:               Thursday, November 5th

Objective(s):          Select the appropriate announcing techniques to become more
                       comfortable in delivering reports in front of a traditional and/or new media
                       audience.

In-Class Experience: Professional media guest will lecture to the class about announcing
                     techniques and experiences, future trends, and career opportunities.

Home Assignment:       Prepare questions about announcing techniques and experiences, future
                       trends, and career opportunities for the professional guest lecturer who
                       will appear at the next class meeting.

Assignment Due:        Tuesday, November 10th


Week 12:               Tuesday, November 10th

Objective(s):          Produce relevant and meaningful media programs and become more
                       effective communicators.

                       Use technology to improve performance in announcing radio, television,
                       and new media programs.

In-Class Experience: Professional media guest will lecture to the class about announcing
                     techniques and experiences, future trends, and career opportunities.

Home Assignment:       Record three 30 seconds PSAs via audio podcast as the final project for
                       the semester. The final project should be emailed to the Instructor prior
                       to a selected class meeting as indicated by the corresponding
                       Technology Requirement chart. The project should address three
                       significant local public service issues that the students face on a regular
                       basis.

Assignment Due:        1st Draft:      Tuesday, November 24th
                       Final Draft:    Thursday, December 3rd


Week 12:               Thursday, November 12th

Objective(s):          Demonstrate knowledge, skills, and concepts related to the terminology
                       and techniques used by radio and television broadcasters to develop and
                       deliver stories.
17


Week 12:                Thursday, November 12th (Cont.d)

                        Use technology to improve performance in announcing radio, television,
                        and new media programs.

In-Class Experience: Analyze professional audio recordings of PSAs and Commercials to
                     provide examples of expected delivery standards for the final project.

Home Assignment:        As a post-assessment of the student’s skill level, practice and record
                        “William and His Friends,” page 55 in the text, and “The Diagnostic
                        Center,” on page 93. Practice each exercise for a minimal of 20 minutes
                        before recording them. See the corresponding Technology
                        Requirements chart for additional details.

Assignment Due:         Tuesday, November 17th


Week 13:                Tuesday, November 17th

Objective(s):           Produce relevant and meaningful media programs and become more
                        effective communicators.

In-Class Experience: Coaching session “William and His Friends” (page 55) and “The
                     Diagnostic Center (page 93).

Home Assignment:        Continue preparing the final project on three audio PSAs. Submit the
                        current Coaching Evaluation Log to the Instructor at the next class
                        meeting.

Assignment Due:         Thursday, December 3rd


Week 13:                Thursday, November 19th

Objective(s):           Produce relevant and meaningful media programs and become more
                        effective communicators.

In-Class Experience: Continue coaching session “William and His Friends” (page 55) and “The
                     Diagnostic Center (page 93).

Home Assignment:        Continue preparing the final project on three audio PSAs. Submit the
                        current Coaching Evaluation Log to the Instructor at the next class
                        meeting.

Assignment Due:         Thursday, December 3rd


Week 14:                Tuesday, November 24th

Objective(s):           Produce relevant and meaningful media programs and become more
                        effective communicators.

In-Class Experience: Coaching session on the 1st Draft of the final project on three audio
                     PSAs.
18



Week 14:                Tuesday, November 24th (Cont.d)


Home Assignment:        Continue preparing the final project on three audio PSAs. Submit the
                        current Coaching Evaluation Log to the Instructor at the next class
                        meeting.

Assignment Due:         Thursday, December 3rd


Week 14:                Thursday, November 26th (Thanksgiving Day)

Objective(s):           Demonstrate knowledge, skills, and concepts related to the terminology
                        and techniques used by radio and television broadcasters to develop and
                        deliver stories.

In-Class Experience: Out-of-class practice on prior weak performance(s).

Home Assignment:        Out-of-class practice on prior weak performance(s).

Assignment Due:         N/A


Week 15:                Tuesday, December 1st

Objective(s):           Produce relevant and meaningful media programs and become more
                        effective communicators.

In-Class Experience: Continue coaching session on the 1st Draft of the final project on three
                     audio PSAs.

Home Assignment:        Continue preparing the final project on three audio PSAs. Submit the
                        current Coaching Evaluation Log to the Instructor at the next class
                        meeting.

Assignment Due:         Thursday, December 3rd


Week 15:                Thursday, December 3rd (Last Day of Class)

Objective(s):           Produce relevant and meaningful media programs and become more
                        effective communicators.

In-Class Experience: Final coaching session on the final project on three audio PSAs.

Home Assignment:        Submit a copy of the current Coaching Evaluation Log to the Instructor

Assignment Due:         See final examination class session for final coaching session on the
                        final examination project (PSAs).


                        Happy Holiday Seasons!
19




Grading Scale

Participation                15 Points
Assignments                  20 Points
Presentation Skills          20 Points
Final Examination/Project    25 Points
Attendance                   20 Points
                            100 Points

Course Grading Procedure

100 – 90 Points = A
 80 - 89 Points = B
 70 - 79 Points = C
 60 - 69 Points = D
 59 & Below     =F
20



Rubric Samples:


                                       MCM 3321 – Media Presentation

                                    PSA Final Examination Audio Project

Production Title            ____________________________________________________

Student Producer            ____________________________________________________

Crew Members                ____________________________________________________

Genre                       ____________________________________________________

Length                      ____________________________________________________

Date                        ____________________________________________________

Rating Scale:

5=Excellent; 4=Very Good; 3=Good; 2=Fair; 1=Poor

Grading Scale: 60 Points – 49 Points = A; 48 Points – 37 Points = B; 36 Points – 25 Points = C;
               24 Points – 13 Points = D; 12 Points and Below = F

Content and Organization

1. The information or story is well paced and developed in a manner that keeps viewers interested (The
story has a beginning, middle, and end).


    5           4          3           2          1


2. Demonstrated planning through all parts of the production.


    5           4          3           2          1


3. Provided fresh, interesting insights into the subject of the audio (The story is creative and original).


    5           4          3           2          1


4. Meets its purpose for intended audience; content accuracy and objectivity.


    5           4          3           2          1


5. Documentation: Complies with requirements. Script attached; copyright permission credited.


    5           4          3           2          1
21


Delivery Techniques

1. Demonstrated the effective use of Pitch and Inflection.


    5          4           3          2         1


2. Demonstrated the effective use of Volume.


    5          4           3          2         1


3. Demonstrated the effective use of Tempo.


    5          4           3          2         1


4. Demonstrated the effective use of Vitality and Energy.


    5          4           3          2         1




Technical Quality

1. Audio: Balanced background music; clarity; appropriateness of silence.


    5          4           3          2         1


2. Editing / Clean Transitions; Synchronization; Time.


    5          4           3          2         1


3. Use of Special Effects; Titles; Credits.


General Effectiveness

An overall evaluation of the production, based on the above points, combined with the considered judgment
of the evaluator


    5          4           3          2         1




TOTAL POINTS: _____________

COMMENTS:          _______________________________________________________________________

                   _______________________________________________________________________
22




                                     MCM 3321 – Media Presentation

                                  Four Aspects of Speech Effectiveness




Assignment Title           ______________________________________________________

Student                    ______________________________________________________

Date                       ______________________________________________________

Rating Scale:

5=Excellent; 4=Very Good; 3=Good; 2=Fair; 1=Poor

Grading Scale: 50 Points = A; 49 Points – 40 Points = B; 39 Points – 30 Points = C;
               29 Points – 20 Points = D; 19 Points and Below = F


Delivery Techniques

1. Demonstrated the effective use of Pitch and Inflection.


    5           4         3          2          1


2. Demonstrated the effective use of Volume.


    5           4         3          2          1


3. Demonstrated the effective use of Tempo.


    5           4         3          2          1


4. Demonstrated the effective use of Vitality and Energy.


    5           4         3          2          1

5. Demonstrated the effective use of Articulation.

    5           4         3          2          1


6. Demonstrated effective use of Voice Quality.

    5               4         3          2
23



7. Demonstrated effective use of Sibilance.

    5         4          3          2         1


8. Demonstrated effective use of Plosives

    5         4          3          2         1


9. Demonstrated effective use of the microphone.

    5         4          3          2         1


10. Demonstrated content accuracy and objectivity.

    5         4          3          2         1




General Effectiveness

An overall evaluation of the production, based on the above points, combined with the considered judgment
of the evaluator


    5         4          3          2         1




TOTAL POINTS: _____________

COMMENTS:         _______________________________________________________________________

                  _______________________________________________________________________
24




Essential Internet Resources


“Announcing for the Electronic Media” (Chapter 1):

www.bis.gov/oco/ocos087.htm - U.S. Bureau of Labor Statistics
www.futurecasting2000.com/agency.htm - Talent agency

www.pozproductions.com/agtmainp.htm - Talent agency
www.beaweb.org/directories.html - Talent agency


“The Announcer as Communicator” (Chapter 2):

www.ozvoxaudio.com - Professional audition performances
www.voiceprofessionals.com - Professional audition performances


“Voice Analysis and Improvement” (Chapter 3):

www.etext.lib.virginia.edu/britpo.html - The UVA Library’s major Bristish and American poets’ collection


“Audio Performance” (Chapter 5)

www.pbs.org/newshour/essays~dialogues.html - Commentary and radio essay scripts from NPR’s Jim Lehrer

“Interview and Talk Programs” (Chapter 8)

www.cnn.com/TRANSCRIPTS/ - CNN’s transcripts of interviews with newsmakers
25

Sample course syllabus MCM 3321 Media Presentation

  • 1.
    1 Winston-Salem State University Department of Mass Communications Fall 2009 Course Syllabus: MCM 3321 – Media Presentation 3 Semester Credit Hours Instructor: Dr. Brian Blount Office: Hall-Patterson Room 114 Office Hours: M 10:00 AM – 11:00 AM W 10:00 AM - 1:00 PM F 10:00 AM - 1:15 PM Office Telephone: 336-750-3343 Email: blountb@wssu.edu Required Textbook Television and Radio Announcing, 11th Edition; Hyde, Stuart W.; Boston: Allyn & Bacon, 2009. Technology Resources 1) Inexpensive headset with microphone. 2) Two to three CD-R /RW audio diskettes or a USB storage device (2G or more portable disk drive). 3) One notepad of any size to log and document all critiques from the coaching sessions. Course Description This course will cover the major aspects of radio, television, and new media delivery processes through the effective use of relevant media and technology. Course highlights include usage of broadcast terminology, writing for radio and television, and broadcast delivery through voicing and announcing. A final production project will be assigned after the midterm period of the course. Please refer to the course schedule for specific assignment dates and logistics. The project will involve student teams which will produce audio and video public service products for radio and new media. The Prerequisites are: MCM 2325. MCM 3315, and MCM 3365. Rationale Consolidation among broadcasting companies may lead to an increased use of syndicated programming and programs originating outside a station's viewing or listening area. Digital technology will increase the productivity of announcers, reducing the time spent on off-air technical and production work. Course Objectives The course is intended to improve the students’ knowledge and skills in order to gain and demonstrate proficiency in the area of announcing for the media. Only an earnest effort and hours of practice outside of the classroom can bring about a significant improvement. After completing the course successfully, the students should be able to:
  • 2.
    2 Course Objectives (Cont.d) 1. Demonstrate knowledge, skills, and concepts related to the terminology and techniques used by radio and television broadcasters to develop and deliver stories. 2. Select the appropriate announcing techniques to become more comfortable in delivering reports in front of a traditional and/or new media audience. 3. Use technology to improve performance in announcing radio, television, and new media programs. 4. Produce relevant and meaningful media programs and become more effective communicators. Materials and Equipment Each student must have a computer (Windows based recommended) running Windows2000/XP,Vista; Microsoft Office Word, and a Web browser such as Internet Explorer (version 6.xx) or Netscape 7.xx. In order to access some of the materials and software required for the course, the student must have a valid WSSU network access account. You will also use the account to log onto computers in the labs. Also, the student must have access to one working email address. Each student will also need 2 to 3 CD-R /RW audio diskettes or a USB storage device with at least 2G or more memory. You will also need an inexpensive headset with microphone. Please note that storage devices are not 100% reliable and they fail many times. Therefore, it is strongly suggested that you make multiple backups of your recordings. Finally, students are required to obtain one notepad to log all critiques and comments from the coaching sessions. The notepad will allow the students to record and maintain a list of their deficiencies in an effort to improve on them. Each student will be requested to submit a copy of his or her Coaching Evaluation Log to the Instructor after each coaching session. Course Participation Policy Consistent participation will play an important part in determining your final grade in this course. Also, timely submission of projects and audio - video productions is very important. Student Requirements Students will be required to be active learners in classroom and participate in all assigned exercises. To accomplish this objective, students must complete all assignments by their deadlines and attend all class meetings. In the event a student is absence from class, it is the student’s responsibility to find out about the required assignment for the purpose of submitting it on its due date or at the time the instructor approves. Only excused absences will be given consideration for extending the due date of the assignment. All students are required to check his or her email prior to the beginning of the each class. Several assignments require much thought and preparation. As a result, plan far ahead for these projects. The instructions for most performance assignments are specific and are intended to help you succeed in this course. Failure to consult the syllabus on a weekly basis is certain to lead to problems. Success in this class requires regular preparation. Code of Ethics Media practitioners must be honest, fair and courageous in gathering, producing, reporting and interpreting information. Never plagiarize. Avoid stereotyping by race, gender, age, religion, ethnicity, geography, sexual orientation, disability, physical appearance or social status.
  • 3.
    3 Disability Statement Students witha documented disability must register with the WSSU Disability Services Office each semester to receive consideration for any accommodations in this course. Accommodations are not retroactive. You may reach the Disability Services Office by emailing waddellm@wssu.edu. Diversity Statement The department seeks (1) to have a diverse student population where all students feel welcome while obtaining a quality educational experience; (2) to maintain a level of faculty and staff diversity that matches the student body; and (3) to create and maintain an environment where all ethnicities and genders feel empowered and one that encourages their participation that is free of discrimination. Cell Phones, Text Messaging, and Excessive Talking All cell phones must be turned off during the class time. The 2nd warning will result in the confiscation of the electronic device for the class period. Throughout the remaining semester, on the 3rd time the electronic device is confiscated, the student will be given an additional grade of zero (0) for that class period assignment(s). Also, on the 3rd issued request to the student to stop excessive talking during the class period, the student will be requested to leave the classroom and he or she will be given an additional grade of zero (0) for that class period assignment(s). Course Assignments Classwork involves a few lecture discussion sessions. Our chief activity is to record, play back, and evaluate the student performances. The required readings will be discussed prior to the requested performance activity or at the times designated by the Instructor. If you have questions about anything you read in the text, please feel free to raise them at any appropriate time. It is important to consult the Essential Resources (located at the end of this syllabus) to assist with preparing any listed corresponding assignment. All assignments must be completed on time and according to the guidelines provided for each assignment. Late assignments will only be accepted in the case of excused emergencies. Each student is expected to complete and submit the following requirements: 1. Recording Skills Pre-assessment. Students recording skills will be pre-assessed by recording “William and His Friends” (page 55) and “The Diagnostic Center” (page 93). Each audio assignment should be no longer than 2 minutes in length and should be emailed to the Instructor prior to the selected class meeting as indicated by the corresponding Technology Requirement chart. "William and His Friends" was chosen because it includes a medial “l” sound, one of the most common sources of trouble for many American speakers. This story is a "speed trap." Students who tend to speak too rapidly, or who slur their words, will really have a challenge with this exercise. “The Diagnostic Center” is also chosen because it will enable students to work on poor articulation areas which may include mumbling or omitting syllables and certain words. Students should make a conscious effort to form every syllable of every sentence with this exercise. 2. Articulation Exercise. Students will record a series of 3 out-of-class assignments that demonstrate their articulation skill levels. The audio recording should be emailed to the Instructor before the selected class meetings as indicated by the
  • 4.
    4 corresponding Technology Requirement chart. The nine speech sounds usually cause slurred, unpleasant, or unclear speech and should be corrected by anyone who intends to become a professional announcer or public speaker in any field of study. Nine of the twenty-five consonant sounds in the English language that cause the most problems will be focused on in order to assist the students to overcome any difficulties they may possess. These nine consonants are “T”, “Th”, “S”, “Sh”, “N”, “Ng”, “L”, “Hw”, and “R” (pages 94 – 99). Examples are: “T” – metal, “Th” – think, “S” – asserted, “Sh” – shortly, “N” – now, “Ng” – sing, “L” – willing, “Hw” – where, and “R” – runner. 3. Marking Copy Exercise. Students will write two 30 seconds radio spots of any type using the seven copy marks and record them in Voice Board via Black Board. The total time for both productions should be 1 minute in length. The audio recording should be emailed to the Instructor before the selected class meetings as indicated by the corresponding Technology Requirement chart. Punctuation is useful to announcers because it shows the writer’s intentions regarding mood and meaning of the script. On page 36, there are seven marking copy symbols that are used in announcing scripts. The seven marking copy symbols are: Slant lines, Two virgules, Underline, Question and exclamation marks, Upside-down exclamation point, and Crescendo. 4. Four Aspects of Speech Exercise. Students will record the two “Celebration” commercials (page 358) and utilize the four major aspects of speech such as: Pitch and Inflection, Volume, Tempo, and Vitality and Energy. The audio assignment should be recorded by the students as a 4 part series that builds on each individual aspect until all four aspects are used in the recording. In other words, each series introduces and stresses a new aspect in the 60 seconds commercial. The assignment should be emailed to the Instructor prior to the selected class meeting as indicated by the corresponding Technology Requirement chart. The exercise is designed to vitalize the students announcing skills, as well as to assist them to deliver the intended interpretations of the messages. 5. Interviewing Skills Pre-assessment. Students will interview their classmates about their backgrounds, professional and personal interests, professional objectives, achievements, and any other noteworthy information. The purpose of this exercise is to pre-assess the abilities of the students to interview, write and record interview scripts. The recorded audio presentation should be 3 minutes in length and should be emailed to the Instructor prior to the selected class meeting as indicated by the corresponding Technology Requirement chart. 6. Interviewing Professionals Exercise. Students will record one professional of any interesting discipline. The exercise will illustrate the techniques and skills learned from the pre-assessment interview. The audio recording should be should be emailed to the Instructor before the selected class meetings as indicated by the corresponding Technology Requirement chart. Chapter 9 on pages 170 – 199 is devoted to practices and techniques appropriate to in-studio television show and radio call-in shows that may not include studio guests, as well as to gather and edit interviews for inserting them into radio, television, and new media documentaries. 7. Public Service Announcements (PSAs) Project. Students will record three 30 seconds PSAs via audio podcast as the final project for the semester. The final project should be emailed to the Instructor prior to a selected class meeting as indicated by the corresponding Technology Requirement chart. Also, the students will be required to attend a class meeting where evaluations and feedback will be provided by the Instructor. The project should address three significant local public service issues that present a challenge or obstacle for the students on a regular basis. The Federal Communications Act of 1934 established the Federal Communications Commissions (FCC) and defined its
  • 5.
    5 areas of responsibility. One requirement was that station licensees broadcast “in the public interest, convenience, or necessity.” One of the most convenient and inexpensive ways of showing community service was by broadcasting, free of charge, brief messages promoting worthwhile nonprofit enterprises via PSAs. Interviewing Expectations: Classmates Interview. The interview should focus on an unfamiliar person. Spend a few minutes at the end of today’s class talking with the person to be interviewed, exploring possible topics to be brought out in the interview. Make notes. Do not try to cover a person’s entire life. Focus on one or two items of interest. Reverse the roles in an effort to understand some nuances of each. Do not fully write-out any of the questions. Do not pretend to interview a celebrity or a fictitious person. The success of the students’ interviews will be determined by how well the interesting facts and opinions of the guests are brought out by the interviewers. Interviews will be 4 minutes in length. Work for an appropriate beginning and ending. The audio recording should be emailed to the Instructor before the selected class meetings as indicated by the corresponding Technology Requirement chart. Record the interviews on recordable CDs or USB storage devices as backup copies. Interviewing Expectations: Professional Interview. The interview should focus on a newsworthy individual. Explore possible topics to be brought out in the interview. Make notes. Do not try to cover a person’s entire life. Focus on one or two items of interest. Reverse. The success of interview will be determined by how well the interesting facts and opinions of the guest are brought out by the interviewer. For the purpose of obtaining additional techniques and facts about the interview process, research the topic by using Google Search. Do not use any Wikipedia sources. Submit a copy of all sources located to the Instructor for approval before they are used. Once you have gathered the appropriate websites, compile it through the use of RSS Feeds. The interview will be 4 minutes in length. The audio recording should be emailed to the Instructor before the selected class meetings as indicated by the corresponding Technology Requirement chart. Record the interview on podcast and recordable CDs or USB storage devices as backup copy. Technology Requirements for Course Assignments Date Topic Out-of-Class Technology Assignment Due Experiences Resources Date (Homework) (Needed by Students) August 24th Pre-Assessment of Record “William and Voice Board in August 27th Announcing Skills His Friends, and Black Board (BB); “The Diagnostic 2G Portable Disk Email via BB to Center”. Drive. Instructor at least 5 hours before the Dub (copy) to 2G class meeting. Portable Disk Drive as backup). September 15th Articulation Exercise Record a series of 3 Voice Board in September 27th - out-of-class Black Board (BB); (Part 1) Consonant 2G Portable Disk September 22nd - assignments that Drive. (Part 2) demonstrate the September 24th - students’ articulation Dub (copy) to 2G (Part 3)
  • 6.
    6 skill levels. Portable Disk Drive as backup. All of the above parts should be emailed via BB to Instructor at least 5 hours before the class meeting. September 24th Marking Copy Write and record Voice Board in September 29th Exercise two 30 seconds Black Board (BB); radio script using 2G Portable Disk Email via BB to the seven copy Drive. Instructor at least 5 marks. hours before the Dub (copy) to 2G class meeting. Portable Disk Drive as backup. October 22nd Interviewing Skills Interview Voice Board in October 27th Pre-assessment classmates about Black Board (BB); their backgrounds, 2G Portable Disk Email via BB to professional and Drive. Instructor at least 5 personal interests, hours before the professional Dub (copy) to 2G class meeting. objectives, Portable Disk Drive achievements, and as backup. any other noteworthy information. September 29th Four Aspects of Record the Voice Board in October 1st - Speech “Celebration” Black Board (BB); (Part 1) Effectiveness commercial (page 2G Portable Disk October 6th - Exercise 358) and utilize the Drive. (Part 2) four major aspects October 8th - of speech Dub (copy) to 2G (Part 3) effectiveness. The Portable Disk Drive October 20th - audio assignment as backup. (Part 4) should be recorded by the students as a Email via BB to 4 part series. Instructor at least 5 hours before the class meeting. October 29th Interviewing Write a brief 30 Black Board; November 3rd Professionals seconds radio script Google Search; Exercise using the seven RSS Feed; Email via BB to copy marks and Podcast. Instructor at least 5 record it as a 1 hours before the minute podcast. Dub (copy) to 2G class meeting. Portable Disk Drive as backup. November 10th Public Service Record three 30 Black Board; November 24th - Announcements seconds PSAs via Google Search; (1st Draft) (PSAs) Project audio podcast as RSS Feed; December 3rd - the final project for Podcast. (Final Submission) the semester. Dub (copy) to 2G Email via BB to Portable Disk Drive Instructor at least 5 as backup. hours before the class meeting. November 12th Post-Assessment of Re-record “William Voice Board in November 17th
  • 7.
    7 Announcing Skills and His Friends, Black Board (BB); and “The Diagnostic 2G Portable Disk Email via BB to Center”. Drive. Instructor at least 5 hours before the Dub (copy) to 2G class meeting. Portable Disk Drive as backup. Schedule of Class Lessons Week 1: Tuesday, August 24th Objective(s): Demonstrate knowledge, skills, and concepts related to the terminology and techniques used by radio and television broadcasters to develop and deliver stories Use technology to improve performance in announcing radio, television, and new media programs. In-Class Experience: Introductions. Review of syllabus. Students will write one page about themselves and their expectations from the course. Included in the students’ information should be their classification, major, media experience, and professional objectives, etc. Home Assignment: 1) Bring to the next class meeting a new recordable CD or 2G or more USB storage device. 2) As a pre-assessment of the student’s skill level, practice and record “William and His Friends,” page 55 in the text, and “The Diagnostic Center,” on page 93. Practice each exercise for a minimal of 20 minutes before recording them. See the corresponding Technology Requirements chart for additional details. Assignment Due: Thursday, August 27th Week 1: Thursday, August 27th Objective(s): Demonstrate knowledge, skills, and concepts related to the terminology and techniques used by radio and television broadcasters to develop and deliver stories In-Class Experience: Playback and coaching session by the Instructor on "William and His Friends" and “The Diagnostic Center” will occur in the class meeting. During all coaching sessions, the strengths and weaknesses of each student will be provided by the Instructor and classmates (peer evaluation). Please note: A coaching session will be provided by the Instructor during every appropriate class meeting throughout the semester. Home Assignment: Read about the concept of the needed skills for announcing in “Announcing for the Electronic Media” (Chapter 1). The specialization of announcing will be analyzed. Be prepared for a quiz on the chapter at the next meeting. Key Terms (Chapter 1): announcer, news anchors, ASNE, corporate media, defamation, drugola, EAS, indecency, industrial media, NAB, obscenity, payola, plugola, RTNDA, status-conferral function of the media. Assignment Due: Tuesday, September 1st
  • 8.
    8 Week 2: Tuesday, September 1st Objective(s): Demonstrate knowledge, skills, and concepts related to the terminology and techniques used by radio and television broadcasters to develop and deliver stories. Use technology to improve performance in announcing radio, television, and new media programs. In-Class Experience: Quiz on “Announcing for the Electronic Media” (Chapter 1). Continue playbacks and coaching session of "William and His Friends" and “The Diagnostic Center”. Immediately or on a continuous basis throughout the course the Instructor will assign additional exercises as needed to improve the performance of the students. Some examples of the additional exercises could be assigned are the Twelve Vowel Sounds (page 83), Voice Quality (page 65), and Breathing and Breathing Exercises (page 67). Home Assignment: Read about the concept of how announcers are viewed in the industry in “The Announcer as Communicator”, Chapter 2. Place special emphasis on Interpreting Copy and Ad-Lib Announcing. Duplicate and learn the Checklist (Analyzing Broadcast Copy) on page 26 and submit a copy to the Instructor via Black Board prior to the next class meeting. Be prepared for a chapter quiz. Key Terms (Chapter 2): allusion, cold copy, communication, crescendo, decrescendo, diacritical marks, ellipses, mood, reading ahead, structure, virgule. Assignment Due: Thursday, September 3rd Week 2: Thursday, September 3rd Objective(s): Demonstrate knowledge, skills, and concepts related to the terminology and techniques used by radio and television broadcasters to develop and deliver stories. Use technology to improve performance in announcing radio, television, and new media programs. In-Class Experience: Quiz on “The Announcer as Communicator” (Chapter 2). Discuss the Checklist (Analyzing Broadcast Copy). During the remainder of the class, a powerpoint presentation on the “Capabilities and Skills Needed” as an announcer will be shown. This information is necessary in order for the student to appreciate the importance of developing confidence which is necessary to become effective communicators. Home Assignment: Study the notes of the powerpoint and be prepared for a quiz on it at the next class meeting. Assignment Due: Tuesday, September 8th
  • 9.
    9 Week 3: Tuesday, September 8th Objective(s): Demonstrate knowledge, skills, and concepts related to the terminology and techniques used by radio and television broadcasters to develop and deliver stories Use technology to improve performance in announcing radio, television, and new media programs. In-Class Experience: Quiz on the “Capabilities and Skills Needed” powerpoint presentation. During the remainder of the class session a powerpoint presentation on the “Roles of TV & Radio Announcers” will be shown. The information describes the opportunities that are available for an announcer. As a result, the student is able to think about his or her possibilities and take advantage of the course offerings as preparation for his or her relevant choices. Home Assignment: Study the powerpoint notes on the “Roles of TV & Radio Announcers” and be prepared for a quiz on it at the next class meeting. Assignment Due: Thursday, September 10th Week 3: Thursday, September 10th Objective(s): Demonstrate knowledge, skills, and concepts related to the terminology and techniques used by radio and television broadcasters to develop and deliver stories Use technology to improve performance in announcing radio, television, and new media programs. In-Class Experience: Quiz on the “Roles of TV & Radio Announcers” powerpoint presentation. During the remainder of the class meeting, a powerpoint presentation will be shown about Voice Quality. The chief resonators of speech sounds are bones of the chest and face the windpipe (trachea), larynx, pharynx, mouth, nose, cheekbones, and sinuses. These items will be discussed in the powerpoint. Home Assignment: Read about the concept of “Voice Analysis and Improvement” (Chapter 3). Provide special attention to the above corresponding information about how the quality of the voice can be improved on pages 65 – 71. Be prepared for a chapter quiz at next class meeting. Key Terms (Chapter 3): ambient noise, articulation, articulators, aspirate, back vowels, consonants, diaphragm, inflection, monotone, lavaliere mic, nasals, optimum pitch, nasality and denasality, pitch and inflection, plosive, popping, pronounciation, sibilance, speech personality, tempo, vitality, vocal folds, voice quality, volume. Assignment Due: Tuesday, September 15th
  • 10.
    10 Week 4: Tuesday, September 15th Objective(s): Demonstrate knowledge, skills, and concepts related to the terminology and techniques used by radio and television broadcasters to develop and deliver stories. Select the appropriate announcing techniques to become more comfortable in delivering reports in front of a traditional and/or new media audience. Use technology to improve performance in announcing radio, television, and new media programs. In-Class Experience: Quiz on “Voice Analysis and Improvement” (Chapter 3). Home Assignment: Record the first 3 part-series out-of-class exercise that demonstrates the students’ articulation skill levels. Three of the twenty-five consonant sounds in the English language that cause the most problems will be focused on. The first 3 consonants exercise that will be recorded are the “T”, “Th”, “S” sounds beginning on page 94. See the corresponding Technology Requirements chart for additional details. Assignment Due: Thursday, September 17th Week 4: Thursday, September 17th Objective(s): Demonstrate knowledge, skills, and concepts related to the terminology and techniques used by radio and television broadcasters to develop and deliver stories. Select the appropriate announcing techniques to become more comfortable in delivering reports in front of a traditional and/or new media audience. Use technology to improve performance in announcing radio, television, and new media programs. In-Class Experience: Coaching session on the consonants “T”, “Th”, and “S” recording. Home Assignment: Record the second 3 part-series out-of-class exercise that demonstrates the students’ articulation skill levels. Three of the twenty-five consonant sounds in the English language that cause the most problems will be focused on. The second 3 consonants exercise that will be recorded are the “Sh”, “N”, and “Ng” sounds beginning on page 94. See the corresponding Technology Requirements chart for additional details. Submit the current Coaching Evaluation Log to the Instructor at the next class meeting. Assignment Due: Tuesday, September 22nd
  • 11.
    11 Week 5: Tuesday, September 22nd Objective(s): Demonstrate knowledge, skills, and concepts related to the terminology and techniques used by radio and television broadcasters to develop and deliver stories. Select the appropriate announcing techniques to become more comfortable in delivering reports in front of a traditional and/or new media audience. Use technology to improve performance in announcing radio, television, and new media programs. In-Class Experience: Coaching session on the consonants “Sh”, “N”, and “Ng” recording. Home Assignment: Record the final 3 part-series out-of-class exercise that demonstrates the students’ articulation skill levels. Three of the twenty-five consonant sounds in the English language that cause the most problems will be focused on. The final 3 consonants exercise that will be recorded are the “L”, “Hw”, and “R” sounds beginning on page 94. See the corresponding Technology Requirements chart for additional details. Submit the current Coaching Evaluation Log to the Instructor at the next class meeting. Assignment Due: Thursday, September 24th Week 5 : Thursday, September 24th Objective(s): Demonstrate knowledge, skills, and concepts related to the terminology and techniques used by radio and television broadcasters to develop and deliver stories. Select the appropriate announcing techniques to become more comfortable in delivering reports in front of a traditional and/or new media audience. Use technology to improve performance in announcing radio, television, and new media programs. In-Class Experience: Coaching session on the consonants “L”, “Hw”, and “R” recording. Home Assignment: Write two 30 seconds radio spots of any type using the seven copy marks (found on page 36) and record the spots in Voice Board via Black Board. Submit the two spots for the Instructor’s review. The total time for both productions should be 1 minute in length. The audio recording should be emailed to the Instructor before the selected class meetings as indicated by the corresponding Technology Requirement chart. Submit the current Coaching Evaluation Log to the Instructor at the next class meeting. Assignment Due: Tuesday, September 29th
  • 12.
    12 Week 6: Tuesday, September 29th Objective(s): Select the appropriate announcing techniques to become more comfortable in delivering reports in front of a traditional and/or new media audience. Use technology to improve performance in announcing radio, television, and new media programs. In-Class Experience: Review of the copy marks in the scripts and coaching session on the two 30 seconds recorded spots will occur during this class session. Home Assignment: Record the two “Celebration” commercials (page 358) and utilize the four major aspects of speech effectiveness such as: Pitch and Inflection, Volume, Tempo, and Vitality and Energy for each commercial. The audio assignment should be recorded by the students as a 4 part series. During this assignment (Part 1), Pitch and Inflection should be emphasized in the recording. See the corresponding Technology Requirements chart for additional details. Submit the current Coaching Evaluation Log to the Instructor at the next class meeting. Assignment Due: Thursday, October 1st Week 6: Thursday, October 1st Objective(s): Select the appropriate announcing techniques to become more comfortable in delivering reports in front of a traditional and/or new media audience. Use technology to improve performance in announcing radio, television, and new media programs. In-Class Experience: Coaching session on Pitch and Inflection recording. Home Assignment: Record the two “Celebration” commercials (page 358) and utilize the four major aspects of speech effectiveness such as: Pitch and Inflection, Volume, Tempo, and Vitality and Energy for each commercial. The audio assignment should be recorded by the students as a 4 part series. During this assignment (Part 2), Pitch and Inflection, and Volume should be emphasized in the recording. See the corresponding Technology Requirements chart for additional details. Submit the current Coaching Evaluation Log to the Instructor at the next class meeting. Assignment Due: Tuesday, October 6th Week 7: Tuesday, October 6th Objective(s): Select the appropriate announcing techniques to become more comfortable in delivering reports in front of a traditional and/or new media audience. Use technology to improve performance in announcing radio, television, and new media programs.
  • 13.
    13 Week 7: Tuesday, October 6th (Cont.d) In-Class Experience: Coaching session on Pitch and Inflection, and Volume recording. Home Assignment: Record the two “Celebration” commercials (page 358) and utilize the four major aspects of speech effectiveness such as: Pitch and Inflection, Volume, Tempo, and Vitality and Energy for each commercial. The audio assignment should be recorded by the students as a 4 part series. During this assignment (Part 3), Pitch and Inflection, Volume, and Tempo should be emphasized in the recording. See the corresponding Technology Requirements chart for additional details. Submit the current Coaching Evaluation Log to the Instructor at the next class meeting. Assignment Due: Thursday, October 8th Week 7: Thursday, October 8th Objective(s): Select the appropriate announcing techniques to become more comfortable in delivering reports in front of a traditional and/or new media audience. Use technology to improve performance in announcing radio, television, and new media programs. In-Class Experience: Coaching session on Pitch and Inflection, Volume, and Tempo recording. Home Assignment: Record the two “Celebration” commercials (page 358) and utilize the four major aspects of speech effectiveness such as: Pitch and Inflection, Volume, Tempo, and Vitality and Energy for each commercial. The audio assignment should be recorded by the students as a 4 part series. During this assignment (Part 4), Pitch and Inflection, Volume, Tempo, and Vitality and Energy should be emphasized in the recording. See the corresponding Technology Requirements chart for additional details. Submit the current Coaching Evaluation Log to the Instructor at the next class meeting. Assignment Due: Tuesday, October 20th Week 8: Tuesday, October 13th (FALL BREAK) Objective(s): Demonstrate knowledge, skills, and concepts related to the terminology and techniques used by radio and television broadcasters to develop and deliver stories. In-Class Experience: Out-of-class practice on prior weak performance(s). Home Assignment: Out-of-class practice on prior weak performance(s). Assignment Due: N/A
  • 14.
    14 Week 8: Thursday, October 15th (FALL BREAK) Objective(s): Demonstrate knowledge, skills, and concepts related to the terminology and techniques used by radio and television broadcasters to develop and deliver stories. In-Class Experience: Out-of-class practice on prior weak performance(s). Home Assignment: Out-of-class practice on prior weak performance(s). Assignment Due: N/A Week 9: Tuesday, October 20th Objective(s): Demonstrate knowledge, skills, and concepts related to the terminology and techniques used by radio and television broadcasters to develop and deliver stories. In-Class Experience: Coaching session on Pitch and Inflection, Volume, Tempo, and Vitality and Energy recording. Home Assignment: Read about performing well in the announcing field in “Audio Performance” (Chapter 5). Place emphasis on Performance Skill (page 112) and Achieving a Conversational Style (page 115). Duplicate and learn the Checklist (Preparing to Perform) on page 114 and submit a copy to the Instructor via email prior to the next class meeting. Be prepared for a quiz on the chapter at the next class meeting. Key Terms (Chapter 5): audience rapport, hand signals, hard copy, mic fright, microphone consciousness, plosives, self-esteem, sibilance, time signals, vocal folds. Submit the current Coaching Evaluation Log to the Instructor at the next class meeting. Assignment Due: Thursday, October 22nd Week 9: Thursday, October 22nd Objective(s): Demonstrate knowledge, skills, and concepts related to the terminology and techniques used by radio and television broadcasters to develop and deliver stories. Use technology to improve performance in announcing radio, television, and new media programs. In-Class Experience: Quiz on “Audio Performance” (Chapter 5). Discuss the Checklist (Preparing to Perform). Home Assignment: Interview and record classmates about their backgrounds, professional and personal interests, professional objectives, achievements, and any other noteworthy information. The recorded audio presentation should be 3 minutes in length. See the corresponding Technology Requirements chart for additional details. Assignment Due: Tuesday, October 27th
  • 15.
    15 Week 10: Tuesday, October 27th Objective(s): Demonstrate knowledge, skills, and concepts related to the terminology and techniques used by radio and television broadcasters to develop and deliver stories. Use technology to improve performance in announcing radio, television, and new media programs. In-Class Experience: Coaching session on the classmates interview recording. Home Assignment: Read about how to be an effective announcer in “Interviewer and Talk Programs” (Chapter 8). Be prepared for a chapter quiz at the next class meeting. Duplicate and learn the Checklist (Becoming a Skilled Interviewer) on page 186 - 188 and submit a copy to the Instructor via Black Board prior to the next class meeting. Key Terms (Chapter 8): audience demographics, billing log, commercial cluster, debriefing log, equal time provision, fairness doctrine, interview, vox pop, ladder of abstraction, MOS, panic button, payola, personal attack, phone screener, plugola, program log. Submit the current Coaching Evaluation Log to the Instructor at the next class meeting. Assignment Due: Thursday, October 29th Week 10: Thursday, October 29th Objective(s): Demonstrate knowledge, skills, and concepts related to the terminology and techniques used by radio and television broadcasters to develop and deliver stories. Use technology to improve performance in announcing radio, television, and new media programs. In-Class Experience: Quiz on “Interviewer and Talk Programs” (Chapter 8). Discuss the Checklist (Becoming a Skilled Interviewer). Home Assignment: Record one person in a professional position of any interesting discipline. The exercise will illustrate the techniques and skills learned from the pre- assessment interview (classmates). See the corresponding Technology Requirements chart for additional details. Assignment Due: Tuesday, November 3rd Week 11: Tuesday, November 3rd Objective(s): Select the appropriate announcing techniques to become more comfortable in delivering reports in front of a traditional and/or new media audience In-Class Experience: Coaching session on the interview recording of a person in a professional position.
  • 16.
    16 Week 11: Tuesday, November 3rd (Cont.d) Home Assignment: Prepare questions about announcing techniques and experiences, future trends, and career opportunities for the professional guest lecturer who will appear at the next class meeting. Submit the current Coaching Evaluation Log to the Instructor at the next class meeting. Assignment Due: Thursday, November 5th Week 11: Thursday, November 5th Objective(s): Select the appropriate announcing techniques to become more comfortable in delivering reports in front of a traditional and/or new media audience. In-Class Experience: Professional media guest will lecture to the class about announcing techniques and experiences, future trends, and career opportunities. Home Assignment: Prepare questions about announcing techniques and experiences, future trends, and career opportunities for the professional guest lecturer who will appear at the next class meeting. Assignment Due: Tuesday, November 10th Week 12: Tuesday, November 10th Objective(s): Produce relevant and meaningful media programs and become more effective communicators. Use technology to improve performance in announcing radio, television, and new media programs. In-Class Experience: Professional media guest will lecture to the class about announcing techniques and experiences, future trends, and career opportunities. Home Assignment: Record three 30 seconds PSAs via audio podcast as the final project for the semester. The final project should be emailed to the Instructor prior to a selected class meeting as indicated by the corresponding Technology Requirement chart. The project should address three significant local public service issues that the students face on a regular basis. Assignment Due: 1st Draft: Tuesday, November 24th Final Draft: Thursday, December 3rd Week 12: Thursday, November 12th Objective(s): Demonstrate knowledge, skills, and concepts related to the terminology and techniques used by radio and television broadcasters to develop and deliver stories.
  • 17.
    17 Week 12: Thursday, November 12th (Cont.d) Use technology to improve performance in announcing radio, television, and new media programs. In-Class Experience: Analyze professional audio recordings of PSAs and Commercials to provide examples of expected delivery standards for the final project. Home Assignment: As a post-assessment of the student’s skill level, practice and record “William and His Friends,” page 55 in the text, and “The Diagnostic Center,” on page 93. Practice each exercise for a minimal of 20 minutes before recording them. See the corresponding Technology Requirements chart for additional details. Assignment Due: Tuesday, November 17th Week 13: Tuesday, November 17th Objective(s): Produce relevant and meaningful media programs and become more effective communicators. In-Class Experience: Coaching session “William and His Friends” (page 55) and “The Diagnostic Center (page 93). Home Assignment: Continue preparing the final project on three audio PSAs. Submit the current Coaching Evaluation Log to the Instructor at the next class meeting. Assignment Due: Thursday, December 3rd Week 13: Thursday, November 19th Objective(s): Produce relevant and meaningful media programs and become more effective communicators. In-Class Experience: Continue coaching session “William and His Friends” (page 55) and “The Diagnostic Center (page 93). Home Assignment: Continue preparing the final project on three audio PSAs. Submit the current Coaching Evaluation Log to the Instructor at the next class meeting. Assignment Due: Thursday, December 3rd Week 14: Tuesday, November 24th Objective(s): Produce relevant and meaningful media programs and become more effective communicators. In-Class Experience: Coaching session on the 1st Draft of the final project on three audio PSAs.
  • 18.
    18 Week 14: Tuesday, November 24th (Cont.d) Home Assignment: Continue preparing the final project on three audio PSAs. Submit the current Coaching Evaluation Log to the Instructor at the next class meeting. Assignment Due: Thursday, December 3rd Week 14: Thursday, November 26th (Thanksgiving Day) Objective(s): Demonstrate knowledge, skills, and concepts related to the terminology and techniques used by radio and television broadcasters to develop and deliver stories. In-Class Experience: Out-of-class practice on prior weak performance(s). Home Assignment: Out-of-class practice on prior weak performance(s). Assignment Due: N/A Week 15: Tuesday, December 1st Objective(s): Produce relevant and meaningful media programs and become more effective communicators. In-Class Experience: Continue coaching session on the 1st Draft of the final project on three audio PSAs. Home Assignment: Continue preparing the final project on three audio PSAs. Submit the current Coaching Evaluation Log to the Instructor at the next class meeting. Assignment Due: Thursday, December 3rd Week 15: Thursday, December 3rd (Last Day of Class) Objective(s): Produce relevant and meaningful media programs and become more effective communicators. In-Class Experience: Final coaching session on the final project on three audio PSAs. Home Assignment: Submit a copy of the current Coaching Evaluation Log to the Instructor Assignment Due: See final examination class session for final coaching session on the final examination project (PSAs). Happy Holiday Seasons!
  • 19.
    19 Grading Scale Participation 15 Points Assignments 20 Points Presentation Skills 20 Points Final Examination/Project 25 Points Attendance 20 Points 100 Points Course Grading Procedure 100 – 90 Points = A 80 - 89 Points = B 70 - 79 Points = C 60 - 69 Points = D 59 & Below =F
  • 20.
    20 Rubric Samples: MCM 3321 – Media Presentation PSA Final Examination Audio Project Production Title ____________________________________________________ Student Producer ____________________________________________________ Crew Members ____________________________________________________ Genre ____________________________________________________ Length ____________________________________________________ Date ____________________________________________________ Rating Scale: 5=Excellent; 4=Very Good; 3=Good; 2=Fair; 1=Poor Grading Scale: 60 Points – 49 Points = A; 48 Points – 37 Points = B; 36 Points – 25 Points = C; 24 Points – 13 Points = D; 12 Points and Below = F Content and Organization 1. The information or story is well paced and developed in a manner that keeps viewers interested (The story has a beginning, middle, and end). 5 4 3 2 1 2. Demonstrated planning through all parts of the production. 5 4 3 2 1 3. Provided fresh, interesting insights into the subject of the audio (The story is creative and original). 5 4 3 2 1 4. Meets its purpose for intended audience; content accuracy and objectivity. 5 4 3 2 1 5. Documentation: Complies with requirements. Script attached; copyright permission credited. 5 4 3 2 1
  • 21.
    21 Delivery Techniques 1. Demonstratedthe effective use of Pitch and Inflection. 5 4 3 2 1 2. Demonstrated the effective use of Volume. 5 4 3 2 1 3. Demonstrated the effective use of Tempo. 5 4 3 2 1 4. Demonstrated the effective use of Vitality and Energy. 5 4 3 2 1 Technical Quality 1. Audio: Balanced background music; clarity; appropriateness of silence. 5 4 3 2 1 2. Editing / Clean Transitions; Synchronization; Time. 5 4 3 2 1 3. Use of Special Effects; Titles; Credits. General Effectiveness An overall evaluation of the production, based on the above points, combined with the considered judgment of the evaluator 5 4 3 2 1 TOTAL POINTS: _____________ COMMENTS: _______________________________________________________________________ _______________________________________________________________________
  • 22.
    22 MCM 3321 – Media Presentation Four Aspects of Speech Effectiveness Assignment Title ______________________________________________________ Student ______________________________________________________ Date ______________________________________________________ Rating Scale: 5=Excellent; 4=Very Good; 3=Good; 2=Fair; 1=Poor Grading Scale: 50 Points = A; 49 Points – 40 Points = B; 39 Points – 30 Points = C; 29 Points – 20 Points = D; 19 Points and Below = F Delivery Techniques 1. Demonstrated the effective use of Pitch and Inflection. 5 4 3 2 1 2. Demonstrated the effective use of Volume. 5 4 3 2 1 3. Demonstrated the effective use of Tempo. 5 4 3 2 1 4. Demonstrated the effective use of Vitality and Energy. 5 4 3 2 1 5. Demonstrated the effective use of Articulation. 5 4 3 2 1 6. Demonstrated effective use of Voice Quality. 5 4 3 2
  • 23.
    23 7. Demonstrated effectiveuse of Sibilance. 5 4 3 2 1 8. Demonstrated effective use of Plosives 5 4 3 2 1 9. Demonstrated effective use of the microphone. 5 4 3 2 1 10. Demonstrated content accuracy and objectivity. 5 4 3 2 1 General Effectiveness An overall evaluation of the production, based on the above points, combined with the considered judgment of the evaluator 5 4 3 2 1 TOTAL POINTS: _____________ COMMENTS: _______________________________________________________________________ _______________________________________________________________________
  • 24.
    24 Essential Internet Resources “Announcingfor the Electronic Media” (Chapter 1): www.bis.gov/oco/ocos087.htm - U.S. Bureau of Labor Statistics www.futurecasting2000.com/agency.htm - Talent agency www.pozproductions.com/agtmainp.htm - Talent agency www.beaweb.org/directories.html - Talent agency “The Announcer as Communicator” (Chapter 2): www.ozvoxaudio.com - Professional audition performances www.voiceprofessionals.com - Professional audition performances “Voice Analysis and Improvement” (Chapter 3): www.etext.lib.virginia.edu/britpo.html - The UVA Library’s major Bristish and American poets’ collection “Audio Performance” (Chapter 5) www.pbs.org/newshour/essays~dialogues.html - Commentary and radio essay scripts from NPR’s Jim Lehrer “Interview and Talk Programs” (Chapter 8) www.cnn.com/TRANSCRIPTS/ - CNN’s transcripts of interviews with newsmakers
  • 25.