introductio
n
• Concrete's mechanical and physical properties
are significantly influenced by the
environmental conditions during pouring and
curing. Extensive research shows that
extreme conditions—cold, dry, damp, humid,
hot—impact its curing process. Construction
may need to be delayed unless precautions
like heating or wetting surfaces are taken. The
main concern is how cured concrete behaves
under varying conditions. Studies indicate
that changes in temperature and moisture
affect concrete's compressive strength and
elasticity. For example, Lawson et al. [12]
found a 100°C rise in temperature causes a
50% loss in compressive strength. Proper
curing practices are essential for the
durability of concrete structures.
Procedure
Specimen preparation
• 137 specimen cylinders were
made
• 71 of them have diameter 0.15
m(6 in) and height of 0.305 m (12
in.)
• And others have diameter of 0.10
m (4 in.) and a height of 0.2 m (8
in.)
Enivronmental chamber
• environmental chamber was
designed to be capable of
producing temperatures between
-30C and 55 C to store the
concrete specimens to measure
the stress–strain relation of the
concrete under different
temperatures and moisture levels
Concrete Compressive and Tensile
Strength
• Standard concrete cylindrical specimens were tested at various
ages to measure strength gains over time, with tests conducted
at a constant 20°C. Three specimens were tested for each time
interval in both compression and tensile tests. Results show that
concrete strength increases rapidly at first and then slows down
by day 14, following the typical pattern of concrete strength
development.
• Compression and split tensile tests on day 28 showed that
concrete strength decreases as temperature rises. An 80°C
increase in temperature reduced compressive strength by 38%
and tensile strength by 26%. The strength-temperature data
followed linear relationships
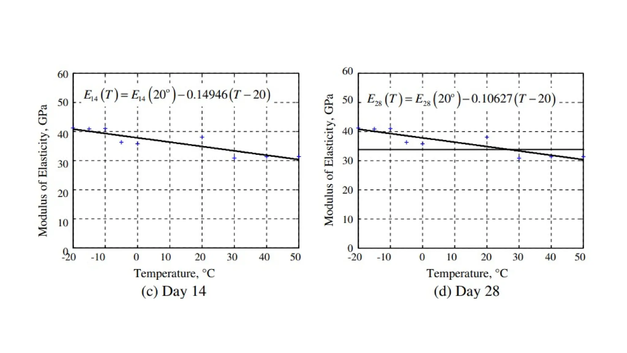
Modulus of elasticity and Poisson’s
ratio
• Instrumented concrete cylinders were tested in
compression at different ages to measure the modulus of
elasticity and Poisson’s ratio. To ensure even load
distribution, the cylinder ends were smoothed, aligned with
the machine axis, and covered with rubber pads. Load was
gradually applied and removed from 0 to 45 kN using a 225
kN capacity load cell. The stress-strain data obtained were
used to calculate the modulus of elasticity and Poisson’s
ratio.
RESULTS
CONCLUSION
• Temperature and moisture
significantly impact concrete
properties. In the study's range of -
20°C to +50°C, higher temperatures
and moisture levels degraded
concrete strength and modulus of
elasticity, though Poisson’s ratio was
unaffected. Concrete curing initially
reduced thermal expansion and
strength but eventually increased
compressive and tensile strength and
modulus of elasticity. These changes
should be considered in concrete
structure design due to their influence
on structural behavior, strength, and

reinforced concrete for diffrent temperature

  • 1.
    introductio n • Concrete's mechanicaland physical properties are significantly influenced by the environmental conditions during pouring and curing. Extensive research shows that extreme conditions—cold, dry, damp, humid, hot—impact its curing process. Construction may need to be delayed unless precautions like heating or wetting surfaces are taken. The main concern is how cured concrete behaves under varying conditions. Studies indicate that changes in temperature and moisture affect concrete's compressive strength and elasticity. For example, Lawson et al. [12] found a 100°C rise in temperature causes a 50% loss in compressive strength. Proper curing practices are essential for the durability of concrete structures.
  • 2.
    Procedure Specimen preparation • 137specimen cylinders were made • 71 of them have diameter 0.15 m(6 in) and height of 0.305 m (12 in.) • And others have diameter of 0.10 m (4 in.) and a height of 0.2 m (8 in.) Enivronmental chamber • environmental chamber was designed to be capable of producing temperatures between -30C and 55 C to store the concrete specimens to measure the stress–strain relation of the concrete under different temperatures and moisture levels
  • 4.
    Concrete Compressive andTensile Strength • Standard concrete cylindrical specimens were tested at various ages to measure strength gains over time, with tests conducted at a constant 20°C. Three specimens were tested for each time interval in both compression and tensile tests. Results show that concrete strength increases rapidly at first and then slows down by day 14, following the typical pattern of concrete strength development. • Compression and split tensile tests on day 28 showed that concrete strength decreases as temperature rises. An 80°C increase in temperature reduced compressive strength by 38% and tensile strength by 26%. The strength-temperature data followed linear relationships
  • 5.
    Modulus of elasticityand Poisson’s ratio • Instrumented concrete cylinders were tested in compression at different ages to measure the modulus of elasticity and Poisson’s ratio. To ensure even load distribution, the cylinder ends were smoothed, aligned with the machine axis, and covered with rubber pads. Load was gradually applied and removed from 0 to 45 kN using a 225 kN capacity load cell. The stress-strain data obtained were used to calculate the modulus of elasticity and Poisson’s ratio.
  • 7.
  • 11.
    CONCLUSION • Temperature andmoisture significantly impact concrete properties. In the study's range of - 20°C to +50°C, higher temperatures and moisture levels degraded concrete strength and modulus of elasticity, though Poisson’s ratio was unaffected. Concrete curing initially reduced thermal expansion and strength but eventually increased compressive and tensile strength and modulus of elasticity. These changes should be considered in concrete structure design due to their influence on structural behavior, strength, and