Design and Analysis of Algorithms
Recurrence Relations
The Recursion Tree Method
Recursion Tree Method
• It is difficult to come up with good guess.
• Example of merge sort.
• In recursion tree
– Each node represents cost of single sub-problem
– We sum the cost with in each level of tree
– We sum all such level costs.
• Useful when the recurrence describes the running
time of divide and conquer algorithm.
• Use recursion trees to devise good guesses.
• Recursion Trees
– Show successive expansions of recurrences using
trees.
– Keep track of the time spent on the sub problems
of a divide and conquer algorithm.
– Help organize the algebraic bookkeeping
necessary to solve a recurrence.
Recursion Tree Method
Recursion Tree – Example
• Running time of Merge Sort:
T(n) = (1) if n = 1
T(n) = 2T(n/2) + (n) if n > 1
• Rewrite the recurrence as
T(n) = c if n = 1
T(n) = 2T(n/2) + cn if n > 1
c > 0: Running time for the base case and
time per array element for the divide and
combine steps.
Recursion Tree for Merge Sort
For the original problem,
we have a cost of cn,
plus two subproblems
each of size (n/2) and
running time T(n/2).
cn
T(n/2) T(n/2)
Each of the size n/2 problems
has a cost of cn/2 plus two
subproblems, each costing
T(n/4).
cn
cn/2 cn/2
T(n/4) T(n/4) T(n/4) T(n/4)
Cost of divide and
merge.
Cost of sorting
subproblems.
Recursion Tree for Merge Sort
Continue expanding until the problem size reduces to 1.
cn
cn/2 cn/2
cn/4 cn/4 cn/4 cn/4
c c c c
c c
lg n
cn
cn
cn
cn
Total : cnlgn+cn
Recursion Tree for Merge Sort
Continue expanding until the problem size reduces to 1.
cn
cn/2 cn/2
cn/4 cn/4 cn/4 cn/4
c c c c
c c
•Each level has total cost cn.
•Each time we go down one level,
the number of sub problems
doubles, but the cost per sub
problem halves  cost per level
remains the same.
Recursion Tree for Merge Sort
Continue expanding until the problem size reduces to 1.
cn
cn/2 cn/2
cn/4 cn/4 cn/4 cn/4
c c c c
c c
•There are lg n + 1 levels, height is
lg n. (Assuming n is a power of 2.)
•Can be proved by induction.
•Total cost = sum of costs at each
level = (lg n + 1)cn = cnlgn + cn =
(n lgn).
• Best used to generate good guess.
• Verified using substitution method.
• For example T (n) = 3T (n/4) + (n2).
• Rewrite it
– T (n) = 3T (n/4) + cn2.
• We assume that n is an exact power of 4
Recursion Tree Method
T (n) = 3T (n/4) + c(n2).
T (n) = 3T (n/4) + c(n2).
T (n) = 3T (n/4) + c(n2).
• Sub problem sizes decrease as we get further from
the root
• We eventually must reach a boundary condition.
• How far from the root do we reach one?
T (n) = 3T (n/4) + c(n2).
• The sub problem size for a node at depth i is n/4i.
• Thus, the sub problem size hits n = 1
when n/4i = 1 or
equivalently, when i = log4 n.
• Thus, the tree has log4n + 1 levels (0, 1, 2,..., log4n).
• Each level has three times more nodes than the level
above
• So the number of nodes at depth i is 3i.
• Because sub problem sizes reduce by a factor of 4 for
each level we go down from the root.
• Each node at depth i, for i = 0, 1, 2,..., log4 n - 1, has a
cost of c(n/4i)2.
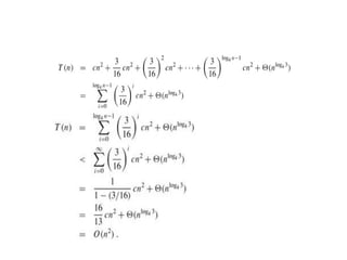
T (n) = 3T (n/4) + c(n2).
• Multiplying, we see that the total cost over all nodes
at depth i, for i = 0, 1, 2,..., log4 n - 1, is
3i c(n/4i)2 = (3/16)i cn2
• The last level, at depth log4 n, has 3log
4
n =nlog
4
3nodes,
each contributing cost T (1).
• Total Cost is nlog
4
3T(1), which is
(nlog
4
3T(1))
T (n) = 3T (n/4) + c(n2).
recursion tree method.pdf

recursion tree method.pdf

  • 1.
    Design and Analysisof Algorithms Recurrence Relations The Recursion Tree Method
  • 2.
    Recursion Tree Method •It is difficult to come up with good guess. • Example of merge sort. • In recursion tree – Each node represents cost of single sub-problem – We sum the cost with in each level of tree – We sum all such level costs. • Useful when the recurrence describes the running time of divide and conquer algorithm.
  • 3.
    • Use recursiontrees to devise good guesses. • Recursion Trees – Show successive expansions of recurrences using trees. – Keep track of the time spent on the sub problems of a divide and conquer algorithm. – Help organize the algebraic bookkeeping necessary to solve a recurrence. Recursion Tree Method
  • 4.
    Recursion Tree –Example • Running time of Merge Sort: T(n) = (1) if n = 1 T(n) = 2T(n/2) + (n) if n > 1 • Rewrite the recurrence as T(n) = c if n = 1 T(n) = 2T(n/2) + cn if n > 1 c > 0: Running time for the base case and time per array element for the divide and combine steps.
  • 5.
    Recursion Tree forMerge Sort For the original problem, we have a cost of cn, plus two subproblems each of size (n/2) and running time T(n/2). cn T(n/2) T(n/2) Each of the size n/2 problems has a cost of cn/2 plus two subproblems, each costing T(n/4). cn cn/2 cn/2 T(n/4) T(n/4) T(n/4) T(n/4) Cost of divide and merge. Cost of sorting subproblems.
  • 6.
    Recursion Tree forMerge Sort Continue expanding until the problem size reduces to 1. cn cn/2 cn/2 cn/4 cn/4 cn/4 cn/4 c c c c c c lg n cn cn cn cn Total : cnlgn+cn
  • 7.
    Recursion Tree forMerge Sort Continue expanding until the problem size reduces to 1. cn cn/2 cn/2 cn/4 cn/4 cn/4 cn/4 c c c c c c •Each level has total cost cn. •Each time we go down one level, the number of sub problems doubles, but the cost per sub problem halves  cost per level remains the same.
  • 8.
    Recursion Tree forMerge Sort Continue expanding until the problem size reduces to 1. cn cn/2 cn/2 cn/4 cn/4 cn/4 cn/4 c c c c c c •There are lg n + 1 levels, height is lg n. (Assuming n is a power of 2.) •Can be proved by induction. •Total cost = sum of costs at each level = (lg n + 1)cn = cnlgn + cn = (n lgn).
  • 9.
    • Best usedto generate good guess. • Verified using substitution method. • For example T (n) = 3T (n/4) + (n2). • Rewrite it – T (n) = 3T (n/4) + cn2. • We assume that n is an exact power of 4 Recursion Tree Method
  • 10.
    T (n) =3T (n/4) + c(n2).
  • 11.
    T (n) =3T (n/4) + c(n2).
  • 12.
    T (n) =3T (n/4) + c(n2). • Sub problem sizes decrease as we get further from the root • We eventually must reach a boundary condition. • How far from the root do we reach one?
  • 13.
    T (n) =3T (n/4) + c(n2). • The sub problem size for a node at depth i is n/4i. • Thus, the sub problem size hits n = 1 when n/4i = 1 or equivalently, when i = log4 n. • Thus, the tree has log4n + 1 levels (0, 1, 2,..., log4n).
  • 14.
    • Each levelhas three times more nodes than the level above • So the number of nodes at depth i is 3i. • Because sub problem sizes reduce by a factor of 4 for each level we go down from the root. • Each node at depth i, for i = 0, 1, 2,..., log4 n - 1, has a cost of c(n/4i)2. T (n) = 3T (n/4) + c(n2).
  • 15.
    • Multiplying, wesee that the total cost over all nodes at depth i, for i = 0, 1, 2,..., log4 n - 1, is 3i c(n/4i)2 = (3/16)i cn2 • The last level, at depth log4 n, has 3log 4 n =nlog 4 3nodes, each contributing cost T (1). • Total Cost is nlog 4 3T(1), which is (nlog 4 3T(1)) T (n) = 3T (n/4) + c(n2).