RECESSIVE CONDITIONS
 X-linked  female offspring are carrier & Male offspring inherit the disease from their mothers.
 Autosomal  Both parents are heterozygous; each of their children has a chance of 25% of
Expressing the trait of the recessive allele
 If both parents are homozygous; all of the children will express the trait.
Homozygous + heterozygous parents= none of the children will express the traits but
will be carriers.
X-linked Recessive Conditions
 DUCHENNE MUSCULAR DYSTROPHY
o A.k.a hypertrophic muscular dystrophy or progressive muscular dystrophy
o One of the most prevalent and severely disabling of the childhood myopathies
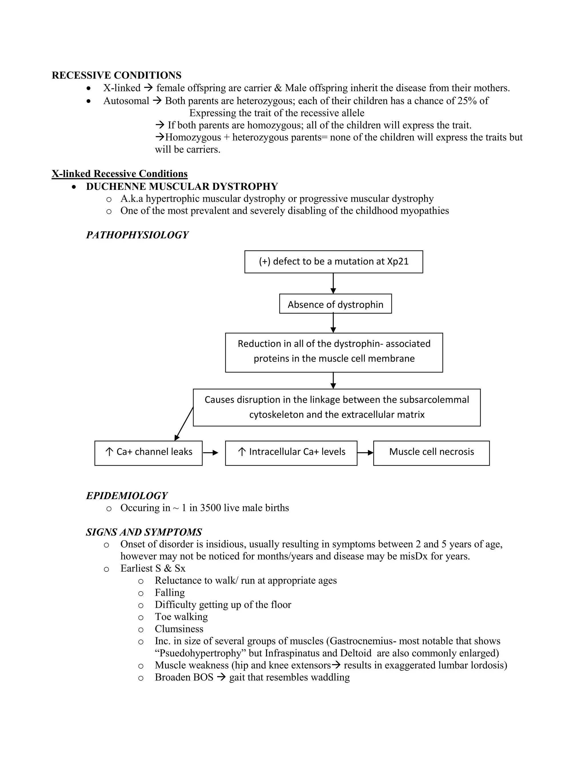
PATHOPHYSIOLOGY
(+) defect to be a mutation at Xp21

Absence of dystrophin

Reduction in all of the dystrophin- associated
proteins in the muscle cell membrane

Causes disruption in the linkage between the subsarcolemmal
cytoskeleton and the extracellular matrix

↑ Ca+ channel leaks

↑ Intracellular Ca+ levels

Muscle cell necrosis

EPIDEMIOLOGY
o Occuring in ~ 1 in 3500 live male births
SIGNS AND SYMPTOMS
o Onset of disorder is insidious, usually resulting in symptoms between 2 and 5 years of age,
however may not be noticed for months/years and disease may be misDx for years.
o Earliest S & Sx
o Reluctance to walk/ run at appropriate ages
o Falling
o Difficulty getting up of the floor
o Toe walking
o Clumsiness
o Inc. in size of several groups of muscles (Gastrocnemius- most notable that shows
“Psuedohypertrophy” but Infraspinatus and Deltoid are also commonly enlarged)
o Muscle weakness (hip and knee extensors results in exaggerated lumbar lordosis)
o Broaden BOS  gait that resembles waddling
o
o
o
o
o
o
o
o

(+) Gowers sign (climbing up the legs d/t proximal muscle weakness)
Cx of the PF @ ankle, inversion of the foot & flexion of both hips and knees
Early loss of ROM in hip flexors, ITB, & heel cords  limits stance and ambulation.
Scoliosis (after the age of 11 years)
Respiratory insufficiency
Acute gastric dilation,/ intestinal pseudo-obstruction
Cardiomyopathy, arrhythmias, CHF (Left ventricle is affected)
Intellectual involvement & emotional disturbance

CLINICAL TREATMENT
o Medical treatment
o No pharmaceutical treatment that will cure DMD
o Myoblast transplant (for replacing the missing protein)
o

Orthopaedic treatment
o Spinal Fixation (to provide a stable spine, correcting scoliosis & pelvic obliquity)
o Achilles Tendon lengthening
o Yount fasciotomies
Increase joint ROM for
o Tibialis posterior transpositions
prolongation of ambulation
o Percutaneous tenotomise

o

Physical Therapy Interventions
o Preventing deformity
o Daily stretching of Achilles Tendon, hamstrings, ITB, hip flexors, & foot
evertors (slow down Cx) 10-15 reps x 15 sh x once/twice daily.
o Use of night splints with heel cord stretching (preventing equinovarus
deformity)
o 2-3 hours of standing or walking (prevent Cx formation)
o

Minimizing spinal deformity
o Lateral support & gel/air cushions in wheelchairs (to provide appropriate
pressure relief and spinal positioning)
o Spinal fixaton

o

Active exercise
o Age-appropriate activities are recommended (allow rest when needed)

o

Strengthening
o avoidance of maximal resistive strength training and eccentric exercise
o Submaximal endurance training such as swimming or cycling

o

Prolong ambulation
o Passive stretching
o Lower extremity bracing
o Active joint stretching

o

Wheelchair use
o Power wheelchair (primary means of mobility & use d/t rapid decline in
function and fatigue)

o

Weight control
o

ADLs
o PTs should routinely asses the child’s ability to perform ADLs

o

Respiratory considerations
o Spontaneous periodic deep breaths ( re-inflate areas of atelectasis zones
and spread surfactant become absent)
o Bronchial drainage
o Chest percussion
o Assisted coughing
o Inspiratory muscle training (beneficial in early stage)

o

Facilitating family support
o PTs plays an important role in providing support, motivation, and
training of patient with DMD and his family members

o

Management of pain
o Routine methods of treatment and appropriate positioning techniques 
minimize the discomfort

 HEMOPHILIA
o A hereditary blood-clotting disorder
o Haemophilia A/ classic haemophilia lacks clotting factor VIII
o Haemophilia B/Christmas disease  lacks clotting factor IX/ Christmas factor
PATHOPHYSIOLOGY
Abnormality of functional plasma clotting proteins (factor VIII & IX)

Inability of blood to clot, or coagulate
Microsoft ® Encarta ® 2009. ©
1993-2008 Microsoft Corporation.
Haemorrhage /excessive bleeding
All rights reserved.
a
EPIDEMIOLOGY
o About 1 of every 10,000 males in the United States has classic haemophilia. In the other 15%
of haemophilia patients, the bleeding tendency is caused by deficiency of Factor IX.
SIGNS AND SYMPTOMS
o Bleeding usually does not occur except after trauma, but in some patients, the degree of
trauma required to cause severe and prolonged bleeding may be so mild that it is hardly
noticeable
o Acute hemarthrosis
o Aura, Tingling sensation or prickling sensation
o Stiffening into the position of comfort
o Decreased ROM
o Pain
o
o
o

Swelling
Tenderness
Heat

o

Muscle haemorrhage
o Gradually intensifying pain
o Protective spasm of the muscle
o Limitation of movement at the surrounding joints
o Muscle assume the position of comfort (usually shortened)
o Loss of sensation

o

Gastrointestinal Involvement
o Abdominal pain and distention
o Malena (blood in stool)
o Hematemesis (vomiting blood)
o Fever
o Low abdominal/groin pain (d/t bleeding into wall of large intestine/ iliopsoas
muscle)
o Flexion Cx of hip d/t spasm of iliopsoas muscle secondary to retroperitoneal
haemorrhage

CLINICAL TREATMENT
o Prevention of injury
o Bed rest (in as much extension the Pt. can tolerate)
o Analgesics (NSAID) and Local icing (to relieve pain)
o Synovectomy (open/arthoscopic reduce the number of hemarthroses and slow the
roentgenographic progression of hemophilic arthropathy)
o Total joint replacement (for severe joint destruction and incapacitating pain)
o Replacement therapy (administration of plasma extracts)
o Cloning of factor VIII by genetic engineering
o Only therapy that is truly effective is injection of purified Factor VIII

Autosomal Recessive Conditions
 SPINAL MUSCULAR ATROPHY
o A severe neuromuscular disease characterized by degeneration of alpha motor neurons in the
spinal cord, resulting in progressive proximal muscle weakness and paralysis.
PATHOPHYSIOLOGY
Genetic defect on chromosome 5q13

Diminished Survival Motor Neurons (SMN1 only
one copy which produces most of the protein needed
by the body, SMN2  multiple copies most of the
protein produced is not functional)

α motor neurons
undergo apoptosis

Impair the maturation of the neuromuscular junction
EPIDEMIOLOGY
o SMA is the second most common fatal autosomal recessive disorder after cystic fibrosis, with an
estimated incidence of 1 in 6,000 to 1 in 10,000 live births, with a carrier frequency of 1/40-1/60
3

CATEGORIES of SMA OCCUR IN CHILDHOOD: Signs &Symptoms
o SMA type I (Werdnig-Hoffman disease)
o Almost always noted within the first 3 months of life.
o Mother may complain of ↓ fetal movement during her pregnancy
o @ birth (+) hypotonic
o Muscle wasting: severe
o Spontaneous movements: infrequent & small amplitude
o (+) head lag in pull-to-sit position
o (+) abducted & flexed legs if in supine position
o Head will not be maintained in midline (severe cases)
o Prone skills are limited
o (+) oral weakness (difficulty feeding)
o Limited respiratory function
o Children who are so weak that they never learn to sit
CLINICAL TREATMENT
o Supplemental feeding
o nasogastric feeding
o surgical placement of a gastrostomy tube
o Pulmonary management
o percussion & postural drainage (for =URI)
o mechanical insufflator-exsufflator (stimulates cough for airway clearance )
o mechanical ventilation
o tracheostomies
o ROM
o thera-band tubing & Velfoam cuffs (aid for anti-gravity shoulder movement)
o SMA type II
o more benign than SMA I
o Initial presentation: Later in the 1st year of life
o (+) weakness (distal muscle; quadriceps- most diminished) and wasting of the
extremities and trunk musculature
o (+) fasciculation of the tongue
o (+) fine tremor (when attempting to use limbs) aslo referred to as “minipolymyoclonus”
o Cx (UE: elbow & writs flexors, LE: knee extensors and ankle plantar flexors)
o Children who learn to sit but never learn to walk without an assistive device

CLINICAL TREATMENT
o Maintaining ROM
o Resting hand splints (for night use)
o Legs knee-ankle-foot orthotics
o Daily stretching (Flexibility)
o Standing (maintain joint mobility)
o

o

Pulmonary management
o Mechanical Ventilation
o Mechanical insufflator-exufflator
o Percussion
o Postural drainage

Airway clearance

Spine management
o Soft spinal orthosis (provide support for the trunk and allow improved tolerance
in sitting)
o Segmental spinal fusion (prevent progression of scoliosis)

o SMA type III (Kugelburg-Welander disease)
o Age of presentation: toddler adulthood
o Children that walk independently
o Progressive weakness, wasting and fasciculation (proximal muscles involved first)
o ↓DTR
CLINICAL TREATMENT
o All treatment focused on maintenance of function and flexibility (stretching, prolong standing
program)


CYSTIC FIBROSIS
o A generalized disorder of the exocrine glands primarily affecting the digestive and respiratory
system.
PATHOPHYSIOLOGY
Defect on the gene located on chromosome 7 that is responsible for manufacturing a protein
called cystic fibrosis trans-membrane conductance regulator (CFTR)

Decrease in Chloride and water transport across airway epithelial cells

Salt accumulates in the cells lining the lungs and digestive tissues

Dehydrated mucus

Clogs/affects primarily the Lungs, Pancreas, sweat glands and small intestines
EPIDEMIOLOGY
o The most common life- limiting genetic disorders affecting Caucasians. It is estimated to occur in
1 of every 3500 live births in the United States, and has a carrier rate of ~ 1in 29 people, with an
estimated 900 to 1000 new cases every year. Less common in black population, it occurs in 1 in
15,000 births among African American. It is rare in the Asian population.
SIGNS AND SYMPTOMS
In Early or undiagnosed stages:
 Persistent coughing and wheezing
 Recurrent pneumonia
 Excessive appetite but poor weight gain
 Salty skin/sweat
 Bulky, foul smelling stools
In Older children and young adult
 Infertility
 Nasal polyps
 Periostitis
 Glucose Intolerance
Pulmonary involvement in CF
 Tachypnea
 Sustained chronic cough with mucus production and vomiting
 Barrel chest
 Use of accessory muscles for respiration and intercostal retraction
 Cyanosis and digital clubbing
 Exertional dyspnea with decrease exercise tolerance
Further complications
 Pneumothorax
 Hemoptysis
 Right-sided heart failure secondary to pulmonary hypertension
CLINICAL TREATMENT
o Medical management
o Sputum culture and sensitivity tests (to determine the appropriate antimicrobial drug)
o Lung transplantation (end-stage disease)
o Replacement of pancreatic enzymes
o Recommended diet: High protein, high calorie & high salt intake
o Nocturnal tube feeding and dietary supplements (for underweight children)
o

Physical therapy Intervention
o Airway clearance
 Traditional bronchial drainage
 Chest percussion
 Vibration (Chest Physical Therapy)
 Suctioning (if necessary)
 Forced expiratory technique
 Breathing control techniques
 Huffing

Active cycle
of breathing




o

Thoracic expansion exercise in various sequences
High frequency chest wall oscillation (HFCWO)
Directed coughing

Physical exercise *
 Aerobic exercises (walking, jogging, swimming cycling)
 Weight training

↑CV fitness,
endurance, & gen.
muscular strength

* Oxygen supplement must be provided and not recommended for those who have severe lung disease.
References:
Books






Pediatric Physical Therapy by Jan S. Tecklin
Differential diagnosis for Physical Therapists by Goodman & Snyder, 4th Edition
Textbook of Medical Physiology by Gyton & Hall, 11th Edition
Harrison’s Principles of Internal Medicine by Fauci et.al, 17th Edition
Mosby’s Pocket dictionary of Medicine, Nursing & Health professions, 5th Edition

Online Journals & Articles
 Spinal muscular atrophy by Adele D'Amico of Orphanet Journal of Rare Diseases ,retrieved from:
http://www.ojrd.com/content/6/1/71
 "Cystic Fibrosis." Microsoft® Encarta® 2009 [DVD]. Redmond, WA: Microsoft Corporation, 2008.
 Abramowicz, Mark. "Hemophilia." Microsoft® Encarta® 2009 [DVD]. Redmond, WA: Microsoft
Corporation, 2008.
A Written Report of

RECESSIVE CONDITIONS

Submitted by: Karla Suzatte M. Dasargo, DDC PT –Intern’14

Submitted to: Dr. Ed Constancio D. Oliveros, DPT

September 23, 2013

Recessive conditions

  • 1.
    RECESSIVE CONDITIONS  X-linked female offspring are carrier & Male offspring inherit the disease from their mothers.  Autosomal  Both parents are heterozygous; each of their children has a chance of 25% of Expressing the trait of the recessive allele  If both parents are homozygous; all of the children will express the trait. Homozygous + heterozygous parents= none of the children will express the traits but will be carriers. X-linked Recessive Conditions  DUCHENNE MUSCULAR DYSTROPHY o A.k.a hypertrophic muscular dystrophy or progressive muscular dystrophy o One of the most prevalent and severely disabling of the childhood myopathies PATHOPHYSIOLOGY (+) defect to be a mutation at Xp21 Absence of dystrophin Reduction in all of the dystrophin- associated proteins in the muscle cell membrane Causes disruption in the linkage between the subsarcolemmal cytoskeleton and the extracellular matrix ↑ Ca+ channel leaks ↑ Intracellular Ca+ levels Muscle cell necrosis EPIDEMIOLOGY o Occuring in ~ 1 in 3500 live male births SIGNS AND SYMPTOMS o Onset of disorder is insidious, usually resulting in symptoms between 2 and 5 years of age, however may not be noticed for months/years and disease may be misDx for years. o Earliest S & Sx o Reluctance to walk/ run at appropriate ages o Falling o Difficulty getting up of the floor o Toe walking o Clumsiness o Inc. in size of several groups of muscles (Gastrocnemius- most notable that shows “Psuedohypertrophy” but Infraspinatus and Deltoid are also commonly enlarged) o Muscle weakness (hip and knee extensors results in exaggerated lumbar lordosis) o Broaden BOS  gait that resembles waddling
  • 2.
    o o o o o o o o (+) Gowers sign(climbing up the legs d/t proximal muscle weakness) Cx of the PF @ ankle, inversion of the foot & flexion of both hips and knees Early loss of ROM in hip flexors, ITB, & heel cords  limits stance and ambulation. Scoliosis (after the age of 11 years) Respiratory insufficiency Acute gastric dilation,/ intestinal pseudo-obstruction Cardiomyopathy, arrhythmias, CHF (Left ventricle is affected) Intellectual involvement & emotional disturbance CLINICAL TREATMENT o Medical treatment o No pharmaceutical treatment that will cure DMD o Myoblast transplant (for replacing the missing protein) o Orthopaedic treatment o Spinal Fixation (to provide a stable spine, correcting scoliosis & pelvic obliquity) o Achilles Tendon lengthening o Yount fasciotomies Increase joint ROM for o Tibialis posterior transpositions prolongation of ambulation o Percutaneous tenotomise o Physical Therapy Interventions o Preventing deformity o Daily stretching of Achilles Tendon, hamstrings, ITB, hip flexors, & foot evertors (slow down Cx) 10-15 reps x 15 sh x once/twice daily. o Use of night splints with heel cord stretching (preventing equinovarus deformity) o 2-3 hours of standing or walking (prevent Cx formation) o Minimizing spinal deformity o Lateral support & gel/air cushions in wheelchairs (to provide appropriate pressure relief and spinal positioning) o Spinal fixaton o Active exercise o Age-appropriate activities are recommended (allow rest when needed) o Strengthening o avoidance of maximal resistive strength training and eccentric exercise o Submaximal endurance training such as swimming or cycling o Prolong ambulation o Passive stretching o Lower extremity bracing o Active joint stretching o Wheelchair use o Power wheelchair (primary means of mobility & use d/t rapid decline in function and fatigue) o Weight control
  • 3.
    o ADLs o PTs shouldroutinely asses the child’s ability to perform ADLs o Respiratory considerations o Spontaneous periodic deep breaths ( re-inflate areas of atelectasis zones and spread surfactant become absent) o Bronchial drainage o Chest percussion o Assisted coughing o Inspiratory muscle training (beneficial in early stage) o Facilitating family support o PTs plays an important role in providing support, motivation, and training of patient with DMD and his family members o Management of pain o Routine methods of treatment and appropriate positioning techniques  minimize the discomfort  HEMOPHILIA o A hereditary blood-clotting disorder o Haemophilia A/ classic haemophilia lacks clotting factor VIII o Haemophilia B/Christmas disease  lacks clotting factor IX/ Christmas factor PATHOPHYSIOLOGY Abnormality of functional plasma clotting proteins (factor VIII & IX) Inability of blood to clot, or coagulate Microsoft ® Encarta ® 2009. © 1993-2008 Microsoft Corporation. Haemorrhage /excessive bleeding All rights reserved. a EPIDEMIOLOGY o About 1 of every 10,000 males in the United States has classic haemophilia. In the other 15% of haemophilia patients, the bleeding tendency is caused by deficiency of Factor IX. SIGNS AND SYMPTOMS o Bleeding usually does not occur except after trauma, but in some patients, the degree of trauma required to cause severe and prolonged bleeding may be so mild that it is hardly noticeable o Acute hemarthrosis o Aura, Tingling sensation or prickling sensation o Stiffening into the position of comfort o Decreased ROM o Pain
  • 4.
    o o o Swelling Tenderness Heat o Muscle haemorrhage o Graduallyintensifying pain o Protective spasm of the muscle o Limitation of movement at the surrounding joints o Muscle assume the position of comfort (usually shortened) o Loss of sensation o Gastrointestinal Involvement o Abdominal pain and distention o Malena (blood in stool) o Hematemesis (vomiting blood) o Fever o Low abdominal/groin pain (d/t bleeding into wall of large intestine/ iliopsoas muscle) o Flexion Cx of hip d/t spasm of iliopsoas muscle secondary to retroperitoneal haemorrhage CLINICAL TREATMENT o Prevention of injury o Bed rest (in as much extension the Pt. can tolerate) o Analgesics (NSAID) and Local icing (to relieve pain) o Synovectomy (open/arthoscopic reduce the number of hemarthroses and slow the roentgenographic progression of hemophilic arthropathy) o Total joint replacement (for severe joint destruction and incapacitating pain) o Replacement therapy (administration of plasma extracts) o Cloning of factor VIII by genetic engineering o Only therapy that is truly effective is injection of purified Factor VIII Autosomal Recessive Conditions  SPINAL MUSCULAR ATROPHY o A severe neuromuscular disease characterized by degeneration of alpha motor neurons in the spinal cord, resulting in progressive proximal muscle weakness and paralysis. PATHOPHYSIOLOGY Genetic defect on chromosome 5q13 Diminished Survival Motor Neurons (SMN1 only one copy which produces most of the protein needed by the body, SMN2  multiple copies most of the protein produced is not functional) α motor neurons undergo apoptosis Impair the maturation of the neuromuscular junction
  • 5.
    EPIDEMIOLOGY o SMA isthe second most common fatal autosomal recessive disorder after cystic fibrosis, with an estimated incidence of 1 in 6,000 to 1 in 10,000 live births, with a carrier frequency of 1/40-1/60 3 CATEGORIES of SMA OCCUR IN CHILDHOOD: Signs &Symptoms o SMA type I (Werdnig-Hoffman disease) o Almost always noted within the first 3 months of life. o Mother may complain of ↓ fetal movement during her pregnancy o @ birth (+) hypotonic o Muscle wasting: severe o Spontaneous movements: infrequent & small amplitude o (+) head lag in pull-to-sit position o (+) abducted & flexed legs if in supine position o Head will not be maintained in midline (severe cases) o Prone skills are limited o (+) oral weakness (difficulty feeding) o Limited respiratory function o Children who are so weak that they never learn to sit CLINICAL TREATMENT o Supplemental feeding o nasogastric feeding o surgical placement of a gastrostomy tube o Pulmonary management o percussion & postural drainage (for =URI) o mechanical insufflator-exsufflator (stimulates cough for airway clearance ) o mechanical ventilation o tracheostomies o ROM o thera-band tubing & Velfoam cuffs (aid for anti-gravity shoulder movement) o SMA type II o more benign than SMA I o Initial presentation: Later in the 1st year of life o (+) weakness (distal muscle; quadriceps- most diminished) and wasting of the extremities and trunk musculature o (+) fasciculation of the tongue o (+) fine tremor (when attempting to use limbs) aslo referred to as “minipolymyoclonus” o Cx (UE: elbow & writs flexors, LE: knee extensors and ankle plantar flexors) o Children who learn to sit but never learn to walk without an assistive device CLINICAL TREATMENT o Maintaining ROM o Resting hand splints (for night use) o Legs knee-ankle-foot orthotics o Daily stretching (Flexibility) o Standing (maintain joint mobility)
  • 6.
    o o Pulmonary management o MechanicalVentilation o Mechanical insufflator-exufflator o Percussion o Postural drainage Airway clearance Spine management o Soft spinal orthosis (provide support for the trunk and allow improved tolerance in sitting) o Segmental spinal fusion (prevent progression of scoliosis) o SMA type III (Kugelburg-Welander disease) o Age of presentation: toddler adulthood o Children that walk independently o Progressive weakness, wasting and fasciculation (proximal muscles involved first) o ↓DTR CLINICAL TREATMENT o All treatment focused on maintenance of function and flexibility (stretching, prolong standing program)  CYSTIC FIBROSIS o A generalized disorder of the exocrine glands primarily affecting the digestive and respiratory system. PATHOPHYSIOLOGY Defect on the gene located on chromosome 7 that is responsible for manufacturing a protein called cystic fibrosis trans-membrane conductance regulator (CFTR) Decrease in Chloride and water transport across airway epithelial cells Salt accumulates in the cells lining the lungs and digestive tissues Dehydrated mucus Clogs/affects primarily the Lungs, Pancreas, sweat glands and small intestines
  • 7.
    EPIDEMIOLOGY o The mostcommon life- limiting genetic disorders affecting Caucasians. It is estimated to occur in 1 of every 3500 live births in the United States, and has a carrier rate of ~ 1in 29 people, with an estimated 900 to 1000 new cases every year. Less common in black population, it occurs in 1 in 15,000 births among African American. It is rare in the Asian population. SIGNS AND SYMPTOMS In Early or undiagnosed stages:  Persistent coughing and wheezing  Recurrent pneumonia  Excessive appetite but poor weight gain  Salty skin/sweat  Bulky, foul smelling stools In Older children and young adult  Infertility  Nasal polyps  Periostitis  Glucose Intolerance Pulmonary involvement in CF  Tachypnea  Sustained chronic cough with mucus production and vomiting  Barrel chest  Use of accessory muscles for respiration and intercostal retraction  Cyanosis and digital clubbing  Exertional dyspnea with decrease exercise tolerance Further complications  Pneumothorax  Hemoptysis  Right-sided heart failure secondary to pulmonary hypertension CLINICAL TREATMENT o Medical management o Sputum culture and sensitivity tests (to determine the appropriate antimicrobial drug) o Lung transplantation (end-stage disease) o Replacement of pancreatic enzymes o Recommended diet: High protein, high calorie & high salt intake o Nocturnal tube feeding and dietary supplements (for underweight children) o Physical therapy Intervention o Airway clearance  Traditional bronchial drainage  Chest percussion  Vibration (Chest Physical Therapy)  Suctioning (if necessary)  Forced expiratory technique  Breathing control techniques  Huffing Active cycle of breathing
  • 8.
       o Thoracic expansion exercisein various sequences High frequency chest wall oscillation (HFCWO) Directed coughing Physical exercise *  Aerobic exercises (walking, jogging, swimming cycling)  Weight training ↑CV fitness, endurance, & gen. muscular strength * Oxygen supplement must be provided and not recommended for those who have severe lung disease.
  • 9.
    References: Books      Pediatric Physical Therapyby Jan S. Tecklin Differential diagnosis for Physical Therapists by Goodman & Snyder, 4th Edition Textbook of Medical Physiology by Gyton & Hall, 11th Edition Harrison’s Principles of Internal Medicine by Fauci et.al, 17th Edition Mosby’s Pocket dictionary of Medicine, Nursing & Health professions, 5th Edition Online Journals & Articles  Spinal muscular atrophy by Adele D'Amico of Orphanet Journal of Rare Diseases ,retrieved from: http://www.ojrd.com/content/6/1/71  "Cystic Fibrosis." Microsoft® Encarta® 2009 [DVD]. Redmond, WA: Microsoft Corporation, 2008.  Abramowicz, Mark. "Hemophilia." Microsoft® Encarta® 2009 [DVD]. Redmond, WA: Microsoft Corporation, 2008.
  • 10.
    A Written Reportof RECESSIVE CONDITIONS Submitted by: Karla Suzatte M. Dasargo, DDC PT –Intern’14 Submitted to: Dr. Ed Constancio D. Oliveros, DPT September 23, 2013