PRML
14.5 5560 ota
Conditional Mixture Models
p14.5.1 Mixtures of linear regression models
p14.5.2 Mixtures of logistic models
p14.5.3 Mixtures of experts
Conditional Mixture Models
Decision trees
Positive
interpretability
Negative
hard assignment
Splits: axis-aligned of the input space.
Regression:
piecewise-constant predictions
discontinuities at the split boundaries.
<latexit sha1_base64="(null)">(null)</latexit>
<latexit sha1_base64="(null)">(null)</latexit>
Conditional Mixture Models
Positive
soft probabilistic splits of the input space
Splits : functions of all of the input variables
Negative
no interpretability
<latexit sha1_base64="(null)">(null)</latexit>
<latexit sha1_base64="(null)">(null)</latexit>
<latexit sha1_base64="(null)">(null)</latexit>
<latexit sha1_base64="(null)">(null)</latexit>
<latexit sha1_base64="(null)">(null)</latexit>
<latexit sha1_base64="(null)">(null)</latexit>
Fig.14.9
Model A
<latexit sha1_base64="(null)">(null)</latexit>
<latexit sha1_base64="(null)">(null)</latexit>
Model B
Model
Mixture of Experts Model (MoE)
<latexit sha1_base64="(null)">(null)</latexit>
n a fully probabilistic tree-based model
Hierarchical Mixture of Experts (HME)
<latexit sha1_base64="(null)">(null)</latexit>
Ex)
Mixtures of linear regression models
Gaussian Mixture Models
n Clustering (unsupervised Learning)
Fig. 9.5
<latexit sha1_base64="(null)">(null)</latexit>
Observed data
If k = 3
k
<latexit sha1_base64="(null)">(null)</latexit>
<latexit sha1_base64="(null)">(null)</latexit>
<latexit sha1_base64="(null)">(null)</latexit>
<latexit sha1_base64="(null)">(null)</latexit>
Mixtures of linear regression models
<latexit sha1_base64="(null)">(null)</latexit>
n A general of switching regression
, 9 3 79 7 97 3 9 8 7 70 7 A7 1 7 3 3 7 )93 . 7
) 1 (
Linear regression
Learning the parameters
EM algorithm
<latexit sha1_base64="(null)">(null)</latexit>
<latexit sha1_base64="(null)">(null)</latexit>
<latexit sha1_base64="(null)">(null)</latexit>
<latexit sha1_base64="(null)">(null)</latexit>
<latexit sha1_base64="(null)">(null)</latexit>
<latexit sha1_base64="(null)">(null)</latexit>
<latexit sha1_base64="(null)">(null)</latexit>
Parameters
Data set <latexit sha1_base64="(null)">(null)</latexit>
<latexit sha1_base64="(null)">(null)</latexit>
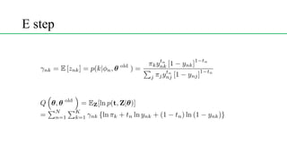
E step
responsibilities
initialized <latexit sha1_base64="(null)">(null)</latexit>
<latexit sha1_base64="(null)">(null)</latexit>
<latexit sha1_base64="(null)">(null)</latexit>
<latexit sha1_base64="(null)">(null)</latexit>
<latexit sha1_base64="(null)">(null)</latexit>
The expectation of the complete-data log likelihood
M step
Fixed <latexit sha1_base64="(null)">(null)</latexit>
<latexit sha1_base64="(null)">(null)</latexit> <latexit sha1_base64="(null)">(null)</latexit>
<latexit sha1_base64="(null)">(null)</latexit>
<latexit sha1_base64="(null)">(null)</latexit>
Maximize the function about
the constraint
1) <latexit sha1_base64="(null)">(null)</latexit>
the mixing coefficients
Using a Lagrange multiplier method,
M step
2) <latexit sha1_base64="(null)">(null)</latexit>
the parameter of the k-th linear regression model
<latexit sha1_base64="(null)">(null)</latexit>
Linear regression model (3.12)
<latexit sha1_base64="(null)">(null)</latexit>
weighted least squares problem
If k = 3
k
<latexit sha1_base64="(null)">(null)</latexit>
n = 1
<latexit sha1_base64="(null)">(null)</latexit>
<latexit sha1_base64="(null)">(null)</latexit> <latexit sha1_base64="(null)">(null)</latexit>
M step
<latexit sha1_base64="(null)">(null)</latexit>
<latexit sha1_base64="(null)">(null)</latexit>
<latexit sha1_base64="(null)">(null)</latexit>
<latexit sha1_base64="(null)">(null)</latexit>
the parameter of the k-th linear regression model
<latexit sha1_base64="(null)">(null)</latexit>
matrix notation
<latexit sha1_base64="(null)">(null)</latexit>
n are learned the data of the high responsibility .<latexit sha1_base64="(null)">(null)</latexit>
<latexit sha1_base64="(null)">(null)</latexit>
<latexit sha1_base64="(null)">(null)</latexit>
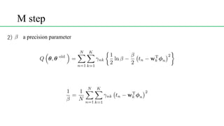
M step
a precision parameter<latexit sha1_base64="(null)">(null)</latexit>
<latexit sha1_base64="(null)">(null)</latexit>
<latexit sha1_base64="(null)">(null)</latexit>
Example Fig.14.8
<latexit sha1_base64="(null)">(null)</latexit>
<latexit sha1_base64="(null)">(null)</latexit>
<latexit sha1_base64="(null)">(null)</latexit>
<latexit sha1_base64="(null)">(null)</latexit>
<latexit sha1_base64="(null)">(null)</latexit>
<latexit sha1_base64="(null)">(null)</latexit>
The predictive conditional density
<latexit sha1_base64="(null)">(null)</latexit>
<latexit sha1_base64="(null)">(null)</latexit>
<latexit sha1_base64="(null)">(null)</latexit>
No independent of the input
Mixtures of logistic models
Mixtures of logistic models
<latexit sha1_base64="(null)">(null)</latexit>
<latexit sha1_base64="(null)">(null)</latexit>
logistic regression
Model
Learning the parameters
<latexit sha1_base64="(null)">(null)</latexit>
<latexit sha1_base64="(null)">(null)</latexit>
EM algorithm
Parameters
data set <latexit sha1_base64="(null)">(null)</latexit>
<latexit sha1_base64="(null)">(null)</latexit>
the complete-data log likelihood
<latexit sha1_base64="(null)">(null)</latexit>
<latexit sha1_base64="(null)">(null)</latexit>
<latexit sha1_base64="(null)">(null)</latexit>
<latexit sha1_base64="(null)">(null)</latexit>
<latexit sha1_base64="(null)">(null)</latexit>
<latexit sha1_base64="(null)">(null)</latexit>
}
E step
<latexit sha1_base64="(null)">(null)</latexit>
<latexit sha1_base64="(null)">(null)</latexit>
M step
<latexit sha1_base64="(null)">(null)</latexit>
Fixed <latexit sha1_base64="(null)">(null)</latexit>
<latexit sha1_base64="(null)">(null)</latexit>
<latexit sha1_base64="(null)">(null)</latexit>
Maximize the function about
<latexit sha1_base64="(null)">(null)</latexit>
the mixing coefficients
}
M step
<latexit sha1_base64="(null)">(null)</latexit>
the parameter of the k-th logistic regression model
does not have a closed-form solution.<latexit sha1_base64="(null)">(null)</latexit>
(IRLS) algorithm
<latexit sha1_base64="(null)">(null)</latexit>
n Need the gradient and Hessian
<latexit sha1_base64="(null)">(null)</latexit>
IRLS algorithm
<latexit sha1_base64="(null)">(null)</latexit>
<latexit sha1_base64="(null)">(null)</latexit>
Gradient
Hessian
<latexit sha1_base64="(null)">(null)</latexit>
While not convergence do
<latexit sha1_base64="(null)">(null)</latexit>
A mixture of logistic regression models
true probability of the class label single logistic regression mixture of two logistic regression
<latexit sha1_base64="(null)">(null)</latexit>
Model A
Model B
Mixtures of Experts
Mixtures of experts
<latexit sha1_base64="(null)">(null)</latexit>
Gating function:
determine which expert are dominant in which region.
be represented by a linear softmax or sigmoid.
n a mixture of experts model
Expert:
can model in different regions of input space.
predict in their own region.
<latexit sha1_base64="(null)">(null)</latexit>
<latexit sha1_base64="(null)">(null)</latexit>
Gating function
<latexit sha1_base64="(null)">(null)</latexit>
<latexit sha1_base64="(null)">(null)</latexit>
<latexit sha1_base64="(null)">(null)</latexit>
<latexit sha1_base64="(null)">(null)</latexit>
<latexit sha1_base64="(null)">(null)</latexit>
<latexit sha1_base64="(null)">(null)</latexit>
<latexit sha1_base64="(null)">(null)</latexit>
<latexit sha1_base64="(null)">(null)</latexit>
<latexit sha1_base64="(null)">(null)</latexit>
<latexit sha1_base64="(null)">(null)</latexit>
softmaxsigmoid
<latexit sha1_base64="(null)">(null)</latexit>
MoE Linear regression model
<latexit sha1_base64="(null)">(null)</latexit>
<latexit sha1_base64="(null)">(null)</latexit>
<latexit sha1_base64="(null)">(null)</latexit>
<latexit sha1_base64="(null)">(null)</latexit>
<latexit sha1_base64="(null)">(null)</latexit>
sigmoid
<latexit sha1_base64="(null)">(null)</latexit>
<latexit sha1_base64="(null)">(null)</latexit>
MoE
<latexit sha1_base64="(null)">(null)</latexit>
<latexit sha1_base64="(null)">(null)</latexit>
Omg!
Hierarchical Mixture of Experts
<latexit sha1_base64="(null)">(null)</latexit>
<latexit sha1_base64="(null)">(null)</latexit>
<latexit sha1_base64="(null)">(null)</latexit>
<latexit sha1_base64="(null)">(null)</latexit>
<latexit sha1_base64="(null)">(null)</latexit>
<latexit sha1_base64="(null)">(null)</latexit>
<latexit sha1_base64="(null)">(null)</latexit>
<latexit sha1_base64="(null)">(null)</latexit>
<latexit sha1_base64="(null)">(null)</latexit>
<latexit sha1_base64="(null)">(null)</latexit>
HME
Negative
l large number of parameters =>Bayesian HMoE (2003)
5.6 mixture density network
<latexit sha1_base64="(null)">(null)</latexit>
<latexit sha1_base64="(null)">(null)</latexit>
<latexit sha1_base64="(null)">(null)</latexit>
<latexit sha1_base64="(null)">(null)</latexit>
output
<latexit sha1_base64="(null)">(null)</latexit>
<latexit sha1_base64="(null)">(null)</latexit>
<latexit sha1_base64="(null)">(null)</latexit>
<latexit sha1_base64="(null)">(null)</latexit>
n share the hidden units of the neural network.
n the splits of the input space are relaxed, can be nolinear!
<latexit sha1_base64="(null)">(null)</latexit>
<latexit sha1_base64="(null)">(null)</latexit>
<latexit sha1_base64="(null)">(null)</latexit>
Bayesian Hierarchical Mixtures of Experts
Bishop, C. M. and M. Svense ́n (2003). Bayesian hierarchical mixtures of experts. In U. Kjaerulff and C. Meek (Eds.),
Proceedings Nineteenth Conference on Uncertainty in Artificial Intelligence, pp. 57–64. Morgan Kaufmann.
Application: the kinematics of robot arms
inverse problem
two pattern
Input: parameters and angles of the robot arm.
Output : the end effector of the robot arm .
Bayesian Hierarchical Mixtures of Experts
<latexit sha1_base64="(null)">(null)</latexit>
<latexit sha1_base64="(null)">(null)</latexit>
Expert <latexit sha1_base64="(null)">(null)</latexit>
<latexit sha1_base64="(null)">(null)</latexit>
<latexit sha1_base64="(null)">(null)</latexit>
<latexit sha1_base64="(null)">(null)</latexit>
<latexit sha1_base64="(null)">(null)</latexit>
<latexit sha1_base64="(null)">(null)</latexit>
<latexit sha1_base64="(null)">(null)</latexit>
<latexit sha1_base64="(null)">(null)</latexit>
Graphical Model
branch point
Probabilistic tree-based model
<latexit sha1_base64="(null)">(null)</latexit>
<latexit sha1_base64="(null)">(null)</latexit>
<latexit sha1_base64="(null)">(null)</latexit>
<latexit sha1_base64="(null)">(null)</latexit>
: The total number of experts <latexit sha1_base64="(null)">(null)</latexit>
<latexit sha1_base64="(null)">(null)</latexit>
<latexit sha1_base64="(null)">(null)</latexit>
<latexit sha1_base64="(null)">(null)</latexit>
HMoE Model
<latexit sha1_base64="(null)">(null)</latexit>
<latexit sha1_base64="(null)">(null)</latexit>
branch pointExpert
<latexit sha1_base64="(null)">(null)</latexit>
<latexit sha1_base64="(null)">(null)</latexit>
<latexit sha1_base64="(null)">(null)</latexit>
Data set
Likelihood
Joint probability
<latexit sha1_base64="(null)">(null)</latexit>
<latexit sha1_base64="(null)">(null)</latexit>
<latexit sha1_base64="(null)">(null)</latexit>
<latexit sha1_base64="(null)">(null)</latexit>
<latexit sha1_base64="(null)">(null)</latexit>
<latexit sha1_base64="(null)">(null)</latexit>
⇨ Variational Inference
fin.

PRML 条件付き混合モデル 14.5

  • 1.
  • 2.
    Conditional Mixture Models p14.5.1Mixtures of linear regression models p14.5.2 Mixtures of logistic models p14.5.3 Mixtures of experts
  • 3.
  • 4.
    Decision trees Positive interpretability Negative hard assignment Splits:axis-aligned of the input space. Regression: piecewise-constant predictions discontinuities at the split boundaries. <latexit sha1_base64="(null)">(null)</latexit> <latexit sha1_base64="(null)">(null)</latexit>
  • 5.
    Conditional Mixture Models Positive softprobabilistic splits of the input space Splits : functions of all of the input variables Negative no interpretability <latexit sha1_base64="(null)">(null)</latexit> <latexit sha1_base64="(null)">(null)</latexit> <latexit sha1_base64="(null)">(null)</latexit> <latexit sha1_base64="(null)">(null)</latexit> <latexit sha1_base64="(null)">(null)</latexit> <latexit sha1_base64="(null)">(null)</latexit> Fig.14.9 Model A <latexit sha1_base64="(null)">(null)</latexit> <latexit sha1_base64="(null)">(null)</latexit> Model B Model
  • 6.
    Mixture of ExpertsModel (MoE) <latexit sha1_base64="(null)">(null)</latexit> n a fully probabilistic tree-based model Hierarchical Mixture of Experts (HME) <latexit sha1_base64="(null)">(null)</latexit> Ex)
  • 7.
    Mixtures of linearregression models
  • 8.
    Gaussian Mixture Models nClustering (unsupervised Learning) Fig. 9.5 <latexit sha1_base64="(null)">(null)</latexit> Observed data If k = 3 k <latexit sha1_base64="(null)">(null)</latexit> <latexit sha1_base64="(null)">(null)</latexit> <latexit sha1_base64="(null)">(null)</latexit> <latexit sha1_base64="(null)">(null)</latexit>
  • 9.
    Mixtures of linearregression models <latexit sha1_base64="(null)">(null)</latexit> n A general of switching regression , 9 3 79 7 97 3 9 8 7 70 7 A7 1 7 3 3 7 )93 . 7 ) 1 ( Linear regression
  • 10.
    Learning the parameters EMalgorithm <latexit sha1_base64="(null)">(null)</latexit> <latexit sha1_base64="(null)">(null)</latexit> <latexit sha1_base64="(null)">(null)</latexit> <latexit sha1_base64="(null)">(null)</latexit> <latexit sha1_base64="(null)">(null)</latexit> <latexit sha1_base64="(null)">(null)</latexit> <latexit sha1_base64="(null)">(null)</latexit> Parameters Data set <latexit sha1_base64="(null)">(null)</latexit> <latexit sha1_base64="(null)">(null)</latexit>
  • 11.
    E step responsibilities initialized <latexitsha1_base64="(null)">(null)</latexit> <latexit sha1_base64="(null)">(null)</latexit> <latexit sha1_base64="(null)">(null)</latexit> <latexit sha1_base64="(null)">(null)</latexit> <latexit sha1_base64="(null)">(null)</latexit> The expectation of the complete-data log likelihood
  • 12.
    M step Fixed <latexitsha1_base64="(null)">(null)</latexit> <latexit sha1_base64="(null)">(null)</latexit> <latexit sha1_base64="(null)">(null)</latexit> <latexit sha1_base64="(null)">(null)</latexit> <latexit sha1_base64="(null)">(null)</latexit> Maximize the function about the constraint 1) <latexit sha1_base64="(null)">(null)</latexit> the mixing coefficients Using a Lagrange multiplier method,
  • 13.
    M step 2) <latexitsha1_base64="(null)">(null)</latexit> the parameter of the k-th linear regression model <latexit sha1_base64="(null)">(null)</latexit> Linear regression model (3.12) <latexit sha1_base64="(null)">(null)</latexit> weighted least squares problem If k = 3 k <latexit sha1_base64="(null)">(null)</latexit> n = 1 <latexit sha1_base64="(null)">(null)</latexit> <latexit sha1_base64="(null)">(null)</latexit> <latexit sha1_base64="(null)">(null)</latexit>
  • 14.
    M step <latexit sha1_base64="(null)">(null)</latexit> <latexitsha1_base64="(null)">(null)</latexit> <latexit sha1_base64="(null)">(null)</latexit> <latexit sha1_base64="(null)">(null)</latexit> the parameter of the k-th linear regression model <latexit sha1_base64="(null)">(null)</latexit> matrix notation <latexit sha1_base64="(null)">(null)</latexit> n are learned the data of the high responsibility .<latexit sha1_base64="(null)">(null)</latexit> <latexit sha1_base64="(null)">(null)</latexit> <latexit sha1_base64="(null)">(null)</latexit>
  • 15.
    M step a precisionparameter<latexit sha1_base64="(null)">(null)</latexit> <latexit sha1_base64="(null)">(null)</latexit> <latexit sha1_base64="(null)">(null)</latexit>
  • 16.
    Example Fig.14.8 <latexit sha1_base64="(null)">(null)</latexit> <latexitsha1_base64="(null)">(null)</latexit> <latexit sha1_base64="(null)">(null)</latexit> <latexit sha1_base64="(null)">(null)</latexit> <latexit sha1_base64="(null)">(null)</latexit> <latexit sha1_base64="(null)">(null)</latexit>
  • 17.
    The predictive conditionaldensity <latexit sha1_base64="(null)">(null)</latexit> <latexit sha1_base64="(null)">(null)</latexit> <latexit sha1_base64="(null)">(null)</latexit> No independent of the input
  • 18.
  • 19.
    Mixtures of logisticmodels <latexit sha1_base64="(null)">(null)</latexit> <latexit sha1_base64="(null)">(null)</latexit> logistic regression Model
  • 20.
    Learning the parameters <latexitsha1_base64="(null)">(null)</latexit> <latexit sha1_base64="(null)">(null)</latexit> EM algorithm Parameters data set <latexit sha1_base64="(null)">(null)</latexit> <latexit sha1_base64="(null)">(null)</latexit> the complete-data log likelihood <latexit sha1_base64="(null)">(null)</latexit> <latexit sha1_base64="(null)">(null)</latexit> <latexit sha1_base64="(null)">(null)</latexit> <latexit sha1_base64="(null)">(null)</latexit> <latexit sha1_base64="(null)">(null)</latexit> <latexit sha1_base64="(null)">(null)</latexit> }
  • 21.
  • 22.
    M step <latexit sha1_base64="(null)">(null)</latexit> Fixed<latexit sha1_base64="(null)">(null)</latexit> <latexit sha1_base64="(null)">(null)</latexit> <latexit sha1_base64="(null)">(null)</latexit> Maximize the function about <latexit sha1_base64="(null)">(null)</latexit> the mixing coefficients }
  • 23.
    M step <latexit sha1_base64="(null)">(null)</latexit> theparameter of the k-th logistic regression model does not have a closed-form solution.<latexit sha1_base64="(null)">(null)</latexit> (IRLS) algorithm <latexit sha1_base64="(null)">(null)</latexit> n Need the gradient and Hessian <latexit sha1_base64="(null)">(null)</latexit>
  • 24.
    IRLS algorithm <latexit sha1_base64="(null)">(null)</latexit> <latexitsha1_base64="(null)">(null)</latexit> Gradient Hessian <latexit sha1_base64="(null)">(null)</latexit> While not convergence do <latexit sha1_base64="(null)">(null)</latexit>
  • 25.
    A mixture oflogistic regression models true probability of the class label single logistic regression mixture of two logistic regression <latexit sha1_base64="(null)">(null)</latexit> Model A Model B
  • 26.
  • 27.
    Mixtures of experts <latexitsha1_base64="(null)">(null)</latexit> Gating function: determine which expert are dominant in which region. be represented by a linear softmax or sigmoid. n a mixture of experts model Expert: can model in different regions of input space. predict in their own region. <latexit sha1_base64="(null)">(null)</latexit> <latexit sha1_base64="(null)">(null)</latexit>
  • 28.
    Gating function <latexit sha1_base64="(null)">(null)</latexit> <latexitsha1_base64="(null)">(null)</latexit> <latexit sha1_base64="(null)">(null)</latexit> <latexit sha1_base64="(null)">(null)</latexit> <latexit sha1_base64="(null)">(null)</latexit> <latexit sha1_base64="(null)">(null)</latexit> <latexit sha1_base64="(null)">(null)</latexit> <latexit sha1_base64="(null)">(null)</latexit> <latexit sha1_base64="(null)">(null)</latexit> <latexit sha1_base64="(null)">(null)</latexit> softmaxsigmoid <latexit sha1_base64="(null)">(null)</latexit>
  • 29.
    MoE Linear regressionmodel <latexit sha1_base64="(null)">(null)</latexit> <latexit sha1_base64="(null)">(null)</latexit> <latexit sha1_base64="(null)">(null)</latexit> <latexit sha1_base64="(null)">(null)</latexit> <latexit sha1_base64="(null)">(null)</latexit> sigmoid <latexit sha1_base64="(null)">(null)</latexit> <latexit sha1_base64="(null)">(null)</latexit> MoE <latexit sha1_base64="(null)">(null)</latexit> <latexit sha1_base64="(null)">(null)</latexit> Omg!
  • 30.
    Hierarchical Mixture ofExperts <latexit sha1_base64="(null)">(null)</latexit> <latexit sha1_base64="(null)">(null)</latexit> <latexit sha1_base64="(null)">(null)</latexit> <latexit sha1_base64="(null)">(null)</latexit> <latexit sha1_base64="(null)">(null)</latexit> <latexit sha1_base64="(null)">(null)</latexit> <latexit sha1_base64="(null)">(null)</latexit> <latexit sha1_base64="(null)">(null)</latexit> <latexit sha1_base64="(null)">(null)</latexit> <latexit sha1_base64="(null)">(null)</latexit> HME Negative l large number of parameters =>Bayesian HMoE (2003)
  • 31.
    5.6 mixture densitynetwork <latexit sha1_base64="(null)">(null)</latexit> <latexit sha1_base64="(null)">(null)</latexit> <latexit sha1_base64="(null)">(null)</latexit> <latexit sha1_base64="(null)">(null)</latexit> output <latexit sha1_base64="(null)">(null)</latexit> <latexit sha1_base64="(null)">(null)</latexit> <latexit sha1_base64="(null)">(null)</latexit> <latexit sha1_base64="(null)">(null)</latexit> n share the hidden units of the neural network. n the splits of the input space are relaxed, can be nolinear! <latexit sha1_base64="(null)">(null)</latexit> <latexit sha1_base64="(null)">(null)</latexit> <latexit sha1_base64="(null)">(null)</latexit>
  • 32.
    Bayesian Hierarchical Mixturesof Experts Bishop, C. M. and M. Svense ́n (2003). Bayesian hierarchical mixtures of experts. In U. Kjaerulff and C. Meek (Eds.), Proceedings Nineteenth Conference on Uncertainty in Artificial Intelligence, pp. 57–64. Morgan Kaufmann. Application: the kinematics of robot arms inverse problem two pattern Input: parameters and angles of the robot arm. Output : the end effector of the robot arm .
  • 33.
    Bayesian Hierarchical Mixturesof Experts <latexit sha1_base64="(null)">(null)</latexit> <latexit sha1_base64="(null)">(null)</latexit> Expert <latexit sha1_base64="(null)">(null)</latexit> <latexit sha1_base64="(null)">(null)</latexit> <latexit sha1_base64="(null)">(null)</latexit> <latexit sha1_base64="(null)">(null)</latexit> <latexit sha1_base64="(null)">(null)</latexit> <latexit sha1_base64="(null)">(null)</latexit> <latexit sha1_base64="(null)">(null)</latexit> <latexit sha1_base64="(null)">(null)</latexit> Graphical Model branch point
  • 34.
    Probabilistic tree-based model <latexitsha1_base64="(null)">(null)</latexit> <latexit sha1_base64="(null)">(null)</latexit> <latexit sha1_base64="(null)">(null)</latexit> <latexit sha1_base64="(null)">(null)</latexit> : The total number of experts <latexit sha1_base64="(null)">(null)</latexit> <latexit sha1_base64="(null)">(null)</latexit> <latexit sha1_base64="(null)">(null)</latexit> <latexit sha1_base64="(null)">(null)</latexit>
  • 35.
    HMoE Model <latexit sha1_base64="(null)">(null)</latexit> <latexitsha1_base64="(null)">(null)</latexit> branch pointExpert <latexit sha1_base64="(null)">(null)</latexit> <latexit sha1_base64="(null)">(null)</latexit> <latexit sha1_base64="(null)">(null)</latexit> Data set Likelihood
  • 36.
    Joint probability <latexit sha1_base64="(null)">(null)</latexit> <latexitsha1_base64="(null)">(null)</latexit> <latexit sha1_base64="(null)">(null)</latexit> <latexit sha1_base64="(null)">(null)</latexit> <latexit sha1_base64="(null)">(null)</latexit> <latexit sha1_base64="(null)">(null)</latexit> ⇨ Variational Inference
  • 37.