Embed presentation
Downloaded 25 times



















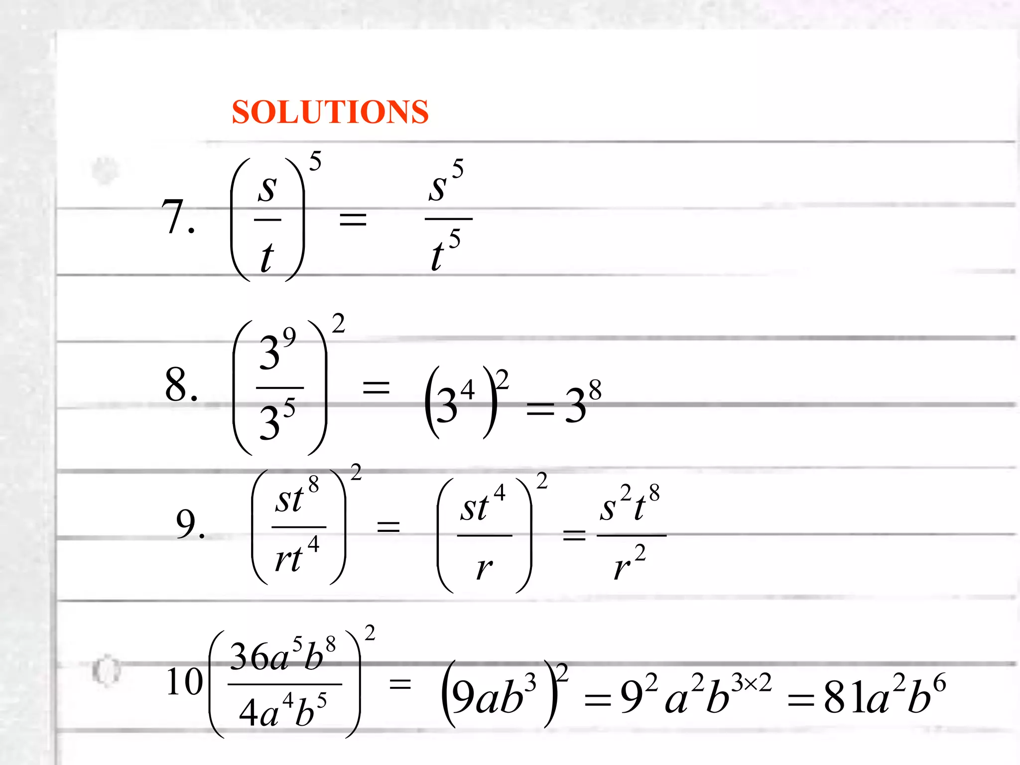
The document outlines the laws of exponents, including rules for multiplying, dividing, raising powers to a power, and handling negative and zero exponents. It provides examples and exercises to illustrate each law, emphasizing the relationship between base and exponent. The guide serves as a comprehensive reference for understanding and applying the properties of exponents in mathematical calculations.


















