Diaconu Ruxandra – Mihaela
Anul IV, ECTS, Gr. I
PLAN DE AFACERI
HOTELUL „MONTSERRAT”
1. Introducere
1.1. Scopul şi obiectivele planului de afaceri
Prezentul plan de afaceri este acela de a se constitui într-un material documentat şi riguros,
în vederea prezentării hotelului „Montserrat”: se vor descrie natura afacerii, piaţa-ţintă,
obiectivele strategice, investiţia iniţială şi eşalonarea acesteia, instrumentele promoţionale,
precum şi resursele de care dispun proprietarii afacerii.
Planul de afaceri va servi şi pentru cristalizarea şi dezvoltarea ideilor privitoare la modul de
conducere a afacerii, la evaluarea noii idei de afacere, precum şi la obţinerea unor finanţări
suplimentare. Planul de afaceri va constitui de asemenea un ghid util pentru întreaga echipă de
management şi va fi controlat şi adaptat în funcţie de cerinţele mediului.
1.2. Prezentarea pe scurt a noii afaceri
Hotelul de 4 stele „MONTSERRAT” va fi amplasat în zona Vatra Dornei şi vine astfel în
sprijinul autoritǎţilor. în lupta acestora cu relansarea zonei ca zonǎ turisticǎ şi în reducerea
şomajului.
În calitate de hotel de 4 stele, „MONTSERRAT” va fi dotat cu un restaurant de înaltă clasă,
room service cu program prelungit, servicii de concierge, parking şi săli de conferinţă.
Materialele de înaltă calitate şi design-ul modern şi rafinat, împreună cu o suită largă de servicii
adiacente, garantează nivelul superior de satisfacere a clienţilor.
1.3. Sursele de documentare asupra mediului economic
Principalele obiective ale analizei mediului economic în care îşi va desfăşura activitatea
hotelul se referă la clientela acestuia, concurenţa, statul şi organizaţiile profesionale. Informaţii
despre acestea au fost obţinute consultând Anuarul Statistic al României 2003-2005, Buletinele
statistice de preţuri pe ultimii 3 ani, datele puse la dispoziţie de către Federaţia Industriei
Hoteliere din România (FIRH) şi de Asociaţia Naţională a Agenţiilor de Turism (ANAT). De
asemenea, a fost comandat un studiu de piaţă la firma Daedalus Consulting, companie
specializată în marketing şi cercetarea pieţei.
Studiul de piaţă a fost realizat pe un eşantion de 1000 de persoane dintre care 30% firme,
30% persoane cu venituri mai mari de 1000 lei, 20% persoane cu venituri medii, 20% persoane
cu venituri mici (pensionari şi tineret). În urma studiului, persoanele intervievate şi-au arǎtat
dorinţa de a vizita zona Vatra Dornei în inters personal sau de afaceri, 40% au recunoscut cǎ nu
au fost niciodatǎ în zona Vatra Dornei, 25 % au rǎspuns cǎ au fost în trecere, 25% au rǎspuns cǎ
au fost o singurǎ datǎ în zonǎ, 10% au fost fost de mai multe ori în zona Vatra Dornei. 75% dintre
subiecţi şi-au arǎtat dorinţa de a vizita această zonǎ.
1.4. Managementul şi obiectivele noii afaceri
1.4.1. Strategia activităţii viitoare
1.4.1.1. Obiectivele strategice
Misiunea hotelului MONTSERRAT este aceea de a asigura servicii complete de cazare şi
alimentaţie, flexibile, responsabile şi profesionale, atât pentru turismul de afaceri, precum şi
pentru petrecerea vacanţelor, prin creşterea calităţii operaţiunilor şi a performanţelor financiare.
Viziunea companiei este aceea de a oferi un raport avantajos preţ-calitate, în condiţiile unor
dotări de 4 stele.
Obiective strategice:
- crearea unui nume important în industria hotelierǎ, demn de luat în seamǎ
- obţinerea unui profit şi a unei cifre de afaceri considerabile
Obiective tactice:
- un termen de recuperare a investiţiei de maxim 5 ani
- o rentabilitate a investiţiei iniţiale de cel puţin 50%
- asigurarea unui grad mediu minim de ocupare a camerelor de 65% în primii 5 ani
1.4.1.2. Măsuri necesare îndeplinirii obiectivelor
Punerea în practică a strategiilor va ţine cont de balanţa între nevoile clienţilor, angajaţilor,
partenerilor şi investitorilor, respectând diversitatea lor. Se vor avea în vedere:
- asigurarea unei baze materiale şi umane adecvate din punctul de vedere al mărimii,
tipologiei, dotărilor, pentru a oferi turiştilor condiţii optime de înnoptare, precum şi alte
servicii, după caz
- organizarea raţională şi judicioasă a muncii personalului, stimularea şi motivarea acestuia,
precum şi o pregătire adecvată
- diversificarea serviciilor oferite şi ridicarea nivelului lor calitativ
- modernizarea permanentă a capacităţilor de cazare, în scopul îmbunătăţirii confortului
- eficientizarea activităţilor de servire a clienţilor, atât în cadrul serviciului de cazare cât şi
al aceluia de restaurant, prin eliminarea timpilor morţi
2
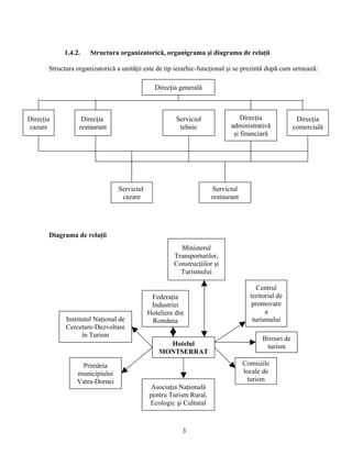
1.4.2. Structura organizatorică, organigrama şi diagrama de relaţii
Structura organizatorică a unităţii este de tip ierarhic-funcţional şi se prezintă după cum urmează:
Diagrama de relaţii
Hotelul
MONTSERRAT
Ministerul
Transporturilor,
Construcţiilor şi
Turismului
Institutul Naţional de
Cercetare-Dezvoltare
în Turism
Primăria
municipiului
Vatra-Dornei
Centrul
teritorial de
promovare
a
turismului
Birouri de
turism
Comisiile
locale de
turism
Federaţia
Industriei
Hoteliere din
România
Asociaţia Naţională
pentru Turism Rural,
Ecologic şi Cultural
3
Direcţia generală
Direcţia
administrativă
şi financiară
Direcţia
comercială
Direcţia
cazare
Direcţia
restaurant
Serviciul
tehnic
Serviciul
cazare
Serviciul
restaurant
Organigrama hotelului MONTSERRAT
Director general
Serviciul administrativ
şi financiar
Director executiv Serviciul comercial
Director cazare Director restaurant Serviciu tehnic
Şef recepţie - 1 Guvernantă - 1
Recepţionere–3
Portar-3
Bagajişti-2
Cameriste-6
Lenjerie-1
Bucătarşef
Coordonator
barmani
Departament
roomservice
Bucătari-3
Ospătari–5Şefsală–2
Barmani–2
4
1.4.3. Conducerea afacerii, structura şi calitatea echipei de
management
Directorul general al societăţii este de formaţie economist, cu o vechime de
peste 20 de ani în sectorul hotelier, o persoană care a parcurs toate treptele afirmării, de la
recepţioner stagiar la manager general. Este, deci, o persoană care cunoaşte în toate detaliile
problemele comerciale, tehnice, de producţie, economice şi sociale, cu care s-ar putea confrunta
în viitor hotelul „Montserrat”.
Directorul executiv a lucrat la hoteluri precum « Intercontinental » şi
« Hilton » şi a reuşit pe parcursul anilor să stăpânească temeinic mecanismele şi procesele
economice specifice industriei hoteliere.
1.4.4. Sistemul informaţional preconizat
Sistemul informaţional va fi realizat cu ajutorul sistemelor informatice computerizate de
gestiune hotelieră, cu ajutorul cărora toate compartimentele vor fi legate printr-o reţea de
computere, cu acces la o anumită secţiune a programului.
Sistemul Front Office va îndeplini funcţiile de:
- înregistrare a turiştilor: preluare a datelor turiştilor
- comercializare a produselor turistice: închiriere de autoturisme, comercializare ziare,
reviste, cosmetice, etc.
- gestiune a camerelor: informaţii privind nivelul de ocupare a camerelor, statutul (liber/
ocupat, curăţenia ş.a), situaţia financiară, preluarea mesajelor, precum şi diverse
informaţii statistice
- evidenţă a încasărilor: procesarea tranzacţiilor şi oferirea de informaţii despre debitele şi
creditele în relaţie cu clienţii.
Pentru rezervări se va folosi sistemul Worldspan, lider în industria turistică de e-
commerce, ce asigură o conexiune directă client – hotel în procesul rezervării, precum şi o
operativitate sporită în comercializarea prestaţiilor turistice.
1.5. Structura acţionarilor şi capitalul iniţial
Hotelul „Montserrat” este o societate cu capital privat 100%, unic acţionar fiind Directorul
General, dl. Cristian Mincă.
2. Prezentarea investiţiei
2.1. Proiectul de investiţii, prezentare şi costuri de realizare
Tabloul investiţiei iniţiale
Terenul 96 000 EUR
Construcţia [5 nivele a câte 450 mp + 300 mp
(restaurantul)] x 800 EUR
2 040 000 EUR
Mobilier 440 EUR (set complet mobilă) x 60
camere
Birou recepţie, scaune, canapele hol
26 400 EUR
2 000 EUR
5
recepţie, comode, fotolii palier
Mobilier restaurant (mese, scaune):
- 30 mese x 30 EUR
- 8 scaune / masă x 30 mese x 10 EUR
Mobilier pentru baie: 30 EUR x 60
900 EUR
2400 EUR
1800 EUR
Textile 112 EUR (lenjerie pat dublu) x 30 (nr.
camere)
70 EUR (lenjerie pat single x 30 (nr.
camere)
x 2 (pentru schimburi)
Pături: 50 EUR x 60
Perne: 8 EUR x 90
Draperii: 12 EUR x 60
Prosoape de baie: 6 x 30 + 3 x 30 = 270
x 3 EUR
Draperii duş: 60 x 5 EUR
Jaluzele: 60 x 10 EUR
Mochetă: 2250 mp x 10 EUR (preţ mediu
pentru tipuri diferite de mochetă pentru
paliere, recepţie, respectiv în camere)
Covoraşe de baie: 60 x 15 EUR
10 920 EUR
3 000 EUR
720 EUR
720 EUR
810 EUR
300 EUR
600 EUR
22 500 EUR
900 EUR
Echipamente
birotică
350 EUR x 10 calculatoare (inclusiv
monitor, tastatură, mouse)
3 500 EUR
Licenţe Licenţe utilizare sistem de operare
(Windows XP), pachetul Microsoft
Office, soft informaţional front-office 1 000 EUR
Autoturisme 30 000 EUR
Accesorii
camere
Televizor, lampă, veioză, telefon 10 000 EUR
Îmbrăcăminte Uniforme recepţionere, cameriste,
ospătari, valeţi
1 000 EUR
Accesorii
restaurant
Feţe de masă, veselă (tacâmuri, farfurii,
vaze de flori, castroane, platouri, supiere)
1 000 EUR
Instalaţii Instalaţii sanitare, instalaţii de încălzire,
de gaz, instalaţii electrice, branşamente şi
instalaţii apă-canal, sisteme de alarmă,
monitorizare şi supraveghere, finisaje
construcţie (gresie, parchet) – estimate la
o valoare de 200% din valoarea
construcţiei
1 020 000 EUR
Cheltuieli de
marketing
Studiul de piaţă comandat
Cheltuieli de publicitate (inserţii în ziare,
reviste, publicaţii de profil, spoturi radio-
tv, bannere pe internet)
1 000 EUR
10 000 EUR
6
Alte
cheltuieli
neprevăzute
200 000 EUR
TOTAL investiţie iniţială 3 500 000 EUR
2.2. Eşalonarea şi graficul de realizare a investiţiei
Perioada
Activitate
1 - 15
octombrie
2007
15 - 31
octombrie
2007
1 – 15
noiembrie
2007
1 – 30
noiembrie
2007
1 – 15
decembrie
2007
15 – 31
decembrie
2007
Achiziţie teren
Construcţie hotel
Construcţie
restaurant
Branşamente,
instalaţii apă-
canal, gaze,
electricitate,
finisaje
Instalarea
mobilierului,
amenajări finale
Instalare
echipamente
birotică
Probe
Punere în
funcţiune
2.3. Planul de finanţare a investiţiei
Valoarea totală a investiţiei iniţiale se apreciază la suma de 3 500 000 EUR, pe
lângă totalul cheltuielilor prevăzute în tablou alocându-se şi un procent de 0,05 % pentru
cheltuieli neprevăzute.
Din această sumă, acţionarii vor acoperi din resurse proprii 1 000 000 EUR, 1 000
000 EUR vor fi finanţaţi printr-un împrumut nerambursabil PHARE, iar 1 500 000 EUR vor fi
acoperiţi printr-un credit pentru investiţii de la Banca Transilvania (dobândă lunară 8%), acordat
pe 24 de luni, cu o perioadă de graţie de 3 luni (până la darea în funcţiune a hotelului). Solicitarea
pentru împrumutul PHARE a fost aprobată, iar banii vor fi viraţi în luna septembrie 2007.
Creditul bancar va fi acordat începând cu luna octombrie 2007, ratele (în valoare individuală de
62 500 EUR) începând să se achite în ianuarie 2008. Există posibilitatea rambursării integrale a
creditului la 12 luni după acordarea acestuia.
7
3. Analiza comercială
3.1. Produse şi servicii oferite
Cameră dublă 80 EURO
Cameră single 65 EURO
Cameră single (parter) 50 EURO
Nr. crt. Produs Caracteristici Sezonalitate
1.
Cazare Cazare în camere cu confort ridicat
Camere intime
Seriozitate
Discreţie
Tot timpul anului
2.
Salǎ de
conferinţe
Organizarea de conferinţe La cerere
3.
Bar Oferirea unor game variate de
bǎuturi
În cele douǎ
sezoane
4.
Restaurant Prepararea de feluri de mâncare atât din
bucǎtăria tradiţionalǎ cât şi din cea
internaţionalǎ
Prepararea în condiţii de maximǎ
igienǎ
Tot timpul anului
5.
Organizare
Mese festive
Competenţǎ
Seriozitate
Profesionalism
La cerere
6.
Servicii
curǎţǎtorie
La cerere
7.
Servicii
relaxare
În cele douǎ
sezoane
8. Parcare Seriozitate Tot timpul anului
Aceste produse se adreseazǎ atât persoanelor cu venituri mari cât şi celor cu venituri medii, elevi
şi studenţi organizate atât în grupuri sau individual. Pentru comercializarea produselor Hotelul
MONTSERRAT va apela la încheierea de contracte cu agenţii de turism din ţarǎ şi strǎinǎtate,
practicarea de tarife scǎzute pentru grupuri de elevi şi studenţi.
3.1.1. Prezentarea caracteristicilor produselor şi serviciilor oferite
Tarifele includ mic dejun.
Toate încăperile sunt dotate cu :
• TV + satelit, internet prin fibră optică
• linie telefonică directă
• minibar
• încălzire centrală, instalaţie de climatizare
• uscător de păr
• băile din apartamente au cadă cu hidromasaj
8
Hotelul MONTSERRAT dispune de un Centru de Conferinţe compus din 6 săli cu o
capacitate de până la 200 de persoane, dotate cu acces internet, cu posibilitate de utilizare pentru
banchete sau alte tipuri de reuniuni, precum şi de două spaţii expoziţionale. Centrul de Conferinţe
este dotat cu echipamente de ultimă generaţie dedicate acestui domeniu de activitate: scaune cu
măsuţă, desk-uri, flipchart-uri, retroproiectoare, ecrane proiectoare multimedia, table magnetice,
panouri afişaj, copiator, telefon, fax, calculatoare, sistem de amplificare sunet, microfoane fixe şi
mobile, servicii secretariat. La cererea clienţilor se pot asigura servicii de interpretariat simultan.
Departamentul restauraţie oferă 240 de locuri în Restaurantul MONTSERRAT, restaurant
clasic, care oferă preparate din bucătăria românească şi internaţională, precum şi posibilitatea
organizării de banchete, cocktail-uri, mese festive. Departamentul oferă la cererea clienţilor
servicii de catering pentru organizarea diferitelor tipuri de evenimente.
Spaţiul de recreere pune la dispoziţia clienţilor o varietate de modalităţi de relaxare: sală
de jocuri, piscină, sală de fitness, jacuzzi, saună, sală de masaj, precum şi un cabinet de cosmetică
(coafură, manichiură, pedichiură).
3.1.2. Nivelul de competitivitate pe piaţă
Managementul întreprinderii manifestă şi va manifesta o permanentă preocupare de
studiere a cerinţelor pieţei şi, în acelaşi timp, de adaptare a serviciilor oferite la aceste cerinţe.
Întreprinderea va răspunde cu promptitudine solicitărilor clienţilor interni şi externi, prestând
servicii competitive dn punct de vedere calitativ, dar şi din punct de vedere economic, preţurile
practicate fiind avantajoase şi pentru beneficiari. Competitivitatea mai poate fi evidenţiată şi prin
larga gamă sortimentală a serviciilor oferite.
Din punct de vedere al competitivităţii managementului, acesta este pus în evidenţă de
seriozitatea şi rigurozitatea abordării clienţilor şi a respectării cerinţelor acestora. Serviciile sunt
prestate cu respectarea standardelor ecologice interne şi internaţionale, precum şi a standardelor
de calitate ISO.
3.1.3. Sezonalitatea serviciilor oferite
Datorită climei zonei Vatra Dornei, se preconizează o afluenţă mare de turişti în perioada
de iarnă, de aceasta, în acest interval, trebuie asigurată funcţionarea hotelului la capacitate
maximă, fără ca acest lucru să influenţeze în vreun fel calitatea. Hotelul va fi însă deschis pe tot
parcursul anului, cu precădere pentru studenţi sau pentru turismul de afaceri.
3.2. Piaţa şi comercializarea
3.2.1. Analiza cererii şi ofertei pe piaţa internă a serviciilor turistice
3.2.1.1. Definirea segmentelor de piaţă ţintă
Piaţa ţintă a hotelului Montserrat este populaţia cu venituri medii şi ridicate, între 25 şi
50 de ani, care doreşte să-şi petreacă vacanţa de iarnă într-o ambianţă plăcută, cu confort ridicat.
Totodată, însă, hotelul se adresează şi grupurilor de elevi sau studenţi, acordând importante
reduceri pentru aceştia, dar şi turismului de afaceri, prin dotările sale deosebite.
3.2.1.2. Estimarea structurii şi volumului cererii pe piaţa internă de servicii
turistice
9
Conform studiilor ANAT (Asociaţia Naţională a Agenţiilor de Turism), în următorii ani
se vor dezvolta, în România, cu precădere, turismul de afaceri, incomingul şi turismul de
eveniment. Totodată, potrivit estimărilor, cea mai bună perioadă pentru turism este vara (mai-
septembrie), lunile octombrie, ianuarie şi februarie înregistrând o afluenţă mai mică de turişti. De
asemenea, aderarea României la Uniunea Europeană va stimula turismul.
3.2.1.3. Concurenţă şi avantaje competitive
În Vatra Dornei se aflǎ numeroase hoteluri şi restaurante datoritǎ potenţialului natural
diversificat. Fiecare dintre aceste hoteluri vin cu oferte diversificate ceea ce duce la o competiţie
acerbǎ, în atragerea clienţilor.
Hotel Carol *** este unul dintre concurenţii redutabili. Hotelul Carol*** este situat în staţiunea
balneo-climatericǎ Vatra Dornei, Amplasat într-un cadru natural deosebit şi uşor accesibil, având o
poziţie priveligiatǎ în centrul staţiunii balneo - climaterice Vatra Dornei, Construcţia este ridicatǎ într-
o zonǎ ce oferǎ o privelişte încântǎtoare a depresiunii Dornelor.
Complexul Bradul Călimani ** se aflǎ la baza pârtiei de pe Dealul Negru în apropierea
frumosului parc dendrologic al oraşului. Hotelul Bradul are o capaciate de 312 locuri dispuse în camere
cu 2 paturi, 6 apartamente, şi camere cu paturi matrimoniale. În urma unor ample lucrǎri de
modernizare, hotelul a fost clasificat la categoria *** . Camerele situate la etajele 1 şi 6 deşi sunt
modernizate au ramas la clasificarea de ** ( fǎrǎ frigider şi terasǎ). Hotelul Călimani are o capacitate
de 290 de locuri dispuse în 4 apartamente, camere cu 2 paturi şi camere cu pat matrimonial. Hotelul
Cǎlimani a fost de asemenea supus unor ample lucrǎri de investiţii, lucrǎri care au schimbat categoria
de confort de la ** la ***. Camerele situate la etajele 1 si 6 sunt modernizate, dar au ramas la
clasificarea de ** ( fǎrǎ balcon şi frigider).
Având capacitǎţi mari de cazare şi o gamǎ variatǎ de servicii oferite clienţilor, aceste douǎ
hoteluri reprezinţǎ adevǎraţii concurenţi ai Hotelului Montserrat ****. Avantajul acestor hoteluri ar fi
vechimea lor, având astfel clienţi fideli. Avantajul competitiv al Hotelului Montserrat este însă acela al
dotărilor de 4 stele, oferind clienţilor confort şi relaxare. Spre deosebire de cei doi competitori, Hotelul
Montserrat dispune şi de Restaurantul Montserrat situat lângǎ hotel, asigurând astfel alimentaţia
clienţilor hotelului şi nu numai.
3.2.2. Analiza cererii şi ofertei pe piaţa externă
3.2.2.1. Definirea segmentelor de piaţă ţintă
Clienţii străini ai hotelului Montserrat sunt în principal turişti care doresc să cunoască destinaţii
noi, să se relaxeze într-un loc ferit de poluare şi de dezvoltare excesivă. Este vorba de persoane cu
venituri medii şi ridicate între 30 şi 50 de ani, care îşi permit vacanţe în afara graniţelor ţării şi care
apreciază peisajele naturale, dar şi confortul.
3.2.2.2. Estimarea structurii şi volumului cererii pe piaţa externă
Hotelul şi restaurantul Montserrat nu se limiteazǎ doar la turismul intern, dorind sǎ facǎ parte şi
din circuitul extern. Administraţia doreşte sǎ încheie contracte cu agenţii turistice strǎine. Hotelul
Montserrat va fi pregǎtit sǎ primeascǎ oameni de afaceri şi grupuri de turişti strǎini, sǎ organizeze
conferinţe şi recepţii. Având în vedere faptul cǎ Vatra Dornei este supranumitǎ şi “Perla Bucovinei”,
administraţia doreşte sǎ exploateze potenţialul natural la maxim. În condiţiile aderării la Uniunea
10
Europeană, turismul în România va căpăta o dezvoltare deosebită, clienţii străini dorind să descopere
noi destinaţii, unde să le fie oferite, de asemenea, toate comodităţile.
3.2.2.3. Concurenţă şi avantaje competitive
Concurenţa pe piaţa externă este una acerbă, datorită multitudinii de opţiuni pe care le au turiştii
străini atunci când doresc să îşi planifice vacanţa. Hotelul Montserrat va avea însă atuul situării într-un
cadru natural nepoluat, într-o ţară recent intrată în Uniunea Europeană şi nu foarte familiară turiştilor
străini, precum şi acela al dotărilor la nivel european.
3.3. Managementul comercial al serviciilor turistice
3.3.1. Promovarea şi distribuţia serviciilor turistice propuse
3.3.1.1. Metode de promovare utilizate
Promovarea produselor, atât pe piaţa internă, cât mai ales pe piaţa externă, se realizează prin
participarea consecventă la târguri şi expoziţii. Totodată, administraţia hotelului îşi propune
promovarea hotelului prin agenţii de turism din ţarǎ şi din strǎinǎtate încheind cu acestea contracte
avantajoase, practicând tarife scǎzute pentru grupuri de persoane, pentru elevi şi studenţi. Tot pentru
promovarea hotelului administraţia va utiliza ca mijloc de promovare spoturile publicitare la
televiziune şi radio, precum promovarea prin pliante şi broşuri.
3.3.1.2. Canale de distribuţie a produselor şi serviciilor
Pe piaţa internă produsele sunt distribuite în mod direct sau prin agenţii de turism. Pe piaţa
externă, produsele sunt distribuite exclusiv prin agenţii de turism specializate.
3.3.1.3. Cheltuieli pentru promovarea serviciilor
Cuantumul acestor cheltuieli se va regăsi în contul 623 şi este preconizat să crească anual, atât în
proporţie relevantă, cât şi în expresie absolută. Aceste creşteri importante se vor explica nu atât prin
dorinţa întreprinderii de a-şi face publicitate, cât mai mult prin adaptarea acestei activităţi la cerinţele
de ultimă oră (e-marketing). Administraţia a prevăzut un buget iniţial de 10 000 EURO pentru
publicitate.
3.3.2. Preţul de vânzare al produselor şi serviciilor, preţul de piaţă şi preţurile
practicate
Cameră dublă 80 EURO
Cameră single 65 EURO
Cameră single (parter) 50 EURO
11
4. Analiza operaţională
4.1. Capacitatea tehnică şi de producţie a hotelului
4.1.1. Amplasare şi facilităţi
Realizarea noului hotel în zona Vatra Dornei îsi propune relansarea zonei turistice existente,
reducerea şomajului, valorificarea factorului natural existent în zona precum şi îmbunǎtǎţirea
infrastructurii existente. Pentru o mai bună cunoaştere a zonei respective, vom prezenta în continuare o
analiză SWOT.
Factori pozitivi Factori negativi
Puncte tari:
Poziţia geografică, cadrul natural, clima zonei 
posibilitatea lansării turismului de iarnă
Clădirile cele mai reprezentative din oraş sunt
monumente arhitectonice din secolul XIX. Cel mai
important monument arhitectonic este “Cazinoul
Vatra Dornei”, construit în anul 1897 după un
proiect al curţii imperiale austriece. Existenţa
acestora constituie o premisă pentru o afluenţă
mare a turiştilor şi, implicit, pentru o bună
dezvoltare a turismului în această zonă;
Existenţa condiţiilor pentru turismul cultural şi
Puncte slabe:
Posibilităţi de agrement turistic nevalorificate;
Clima rece duce la costuri suplimentare pentru
asigurarea confortului termic
Starea precară a patrimoniului arhitectural şi
nevalorificarea lui economică;
Slaba informare a publicului despre potenţialul
turistic al zonei Vatra Dornei;
Starea nesatisfăcătoare a infrastructurii de
drumuri;
Uzura morală a reţelelor tehnico-edilitare (apă,
canal);
15 camere duble x 25 mp
= 400 mp
50 mp palier
50 mp palier
50 mp palier
50 mp palier
15 camere duble x 25 mp
= 400 mp
20 camere single x 20 mp
= 400 mp
10 camere
single x 20 mp
= 200 mp
250 mp recepţie, palier
400 mp spaţiu recreere,
sală jocuri, biliard, piscină
Parter
Etaj 1
Etaj 2
Etaj 3
Etaj 4
300 mp
restaurant (240 locuri)
12
istoric, cinegetic;
Reţele tehnico-edilitare dezvoltate (apă, canal,
energie electrică, energie termică, telefonie
digitală, cablu TV, internet), reţea comercială
dezvoltată;
Piaţa turistică încă nesaturată;
Încadrearea în cadrul zonelor defavorizate –
facilităţi acordate investitorilor;
Existenţa unui aeroport în vecinătate;
Forţă de muncă ieftină şi calificată;
Spaţii şi programe de agrement;
Disponibilitatea administraţiei locale de a
concesiona terenuri; existenţa terenurilor şi
spaţiilor neutilizate;
Potenţialul uman bine educat;
Slaba dezvoltare a serviciilor pentru populaţie;
infrastructură slab dezvoltată
Inexistenţa unor instituţii de învăţământ
preuniversitar şi superior în domeniul
turismului ce ar putea ridica gradul de
conştientizare a populaţiei;
Pista de aterizare pentru avioane mici necesită
investiţii pentru repunerea în circuitul turistic;
Necorelarea cerere – ofertă;
Oportunităţi:
Existenţa unor scheme de creditare şi granturi;
Existenţa unor facilităţi fiscale datorită caracterului
de zonă defavorizată;
Riscuri/Pericole:
Inexistenţa în planurile regionale a căilor de
transport rutier modern (autostrăzi, drumuri
rapide);
4.1.2. Program de activitate
4.1.2.1. Evoluţia activităţii în perioada următoare
Estimări
pentru
anul
Venituri
din
activitatea
hotelieră
Venituri
din
activitatea
de
restaurant
2008 500000 150000
2009 750000 200000
2010 1000000 300000
0 200000 400000 600000 800000 1000000 1200000
2008
2009
2010
Venituri din
activitatea
de
restaurant
Venituri din
activitatea
hotelieră
13
4.1.2.2. Capacităţi şi grad de ocupare
Hotelul dispune de 30 de camere duble a câte 25 mp şi 30 de camere single a câte 20 mp, iar
gradul de ocupare estimat pentru primul an este de 50%, acesta urmând să crească progresiv până la
vârfuri de 80% în medie şi 100% în perioada de sezon.
4.1.2.3. Prognoza activităţii pe termen mediu şi lung
Pe termen mediu, se prognozează o creştere considerabilă a nivelului activităţii pe durata
primilor 3 ani, după 2010 urmând să se ia măsuri pentru ca activitatea să crească în continuare, însă
acest lucru nu mai este posibil într-o proporţie la fel de mare. Dacă pe parcursul primilor ani activitatea
va creşte ca urmare a eforturilor promoţionale şi se va pune accentul pe atragerea noilor clienţi, ulterior
vor avea o importanţă mai mare fidelitatea şi fidelizarea, se vor dezvolta programe pentru readucerea
clienţilor la hotelul Montserrat, pentru a avea o clientelă relativ stabilă.
4.2. Activitatea operaţională a hotelului
4.2.1. Estimarea cheltuielilor cu forţa de muncă
4.2.1.1. Evoluţia structurii personalului şi previziuni legate de aceasta
Structura personalului (pe posturi) nu este prevăzută a se schimba foarte des, însă se
prevede un grad ridicat de mobilitate a personalului, datorită sezonalităţii ridicate specifice
activităţii.
4.2.1.2. Cheltuieli anuale cu forţa de muncă
Salarii
Postul Salariu
individual lunar
Salariu anual pe
categorie (RON)
Director general 6000 RON 72 000
Director comercial 5000 RON 60 000
Director administrativ-financiar 4500 RON 54 000
Director executiv 4500 RON 54 000
Director cazare 4000 RON 48 000
Director restaurant 4000 RON 48 000
Director tehnic 3500 RON 42 000
Şef recepţie 2000 RON 24 000
Guvernantă 1600 RON 19 200
Recepţionere – 3 1100 RON 39 600
Portari - 3 900 RON 32 400
Bagajişti – 2 800 RON 19 200
Cameriste - 6 900 RON 64 800
Lenjereasă 800 RON 9 600
Bucătar şef 1900 RON 22 800
Şef sală - 2 1200 RON 28 800
Coordonator barmani 1100 RON 13 200
Coordonator departament 1100 RON 13 200
14
room service
Bucătari - 3 1000 RON 36 000
Ospătari - 5 1000 RON 60 000
Barmani - 2 1000 RON 24 000
Alte cheltuieli salariale
(lucrători sezonieri, etc.)
100 000
TOTAL CHELTUIELI SALARIALE: 884 800 RON ≈ 253 000 EUR
Se estimează 50% în plus pentru totalul contribuţiilor la stat (CAS, CASS, şomaj, atât
cuvenite angajatorului, cât şi angajatului).
4.2.2. Estimarea cheltuielilor cu materiile prime, materialele şi mărfurile
aprovizionate
4.2.2.1. Nomenclatorul materialelor utilizate
Materiale pentru activitatea hotelieră:
- materiale utilizate: produse de curăţenie, dezinfectante, hârtie igienică, săpunuri
- obiecte de inventar: lenjerii, pături, perne, prosoape, perdele, draperii, umeraşe, etc.
Materii prime pentru activitatea de restaurant:
- ingrediente (carne, legume, zarzavaturi, zahăr, orez, etc.)
- produse de curăţenie
Mărfuri:
- băuturi
- reviste, ziare, diverse obiecte de igienă personală ce se pot achiziţiona în incinta hotelului
4.2.2.2. Surse de aprovizionare
Furnizorii de materii prime sunt furnizori locali, pentru a reduce la maxim costurile de
transport şi a eficientiza activitatea. Pentru materiile prime destinate activităţii de restaurant, se
vor prefera colaborările cu ferme agricole, pentru a asigura prospeţimea şi calitatea cărnii, a
legumelor, zarzavaturilor, etc.
Mobilierul şi diversele instalaţii necesare bunei funcţionări a hotelului şi restaurantului
(calculatoare, frigidere, boilere, maşini de gătit) vor fi de asemenea de provenienţă autohtonă.
15
4.2.2.3. Consumuri specifice şi politica de stocuri
Administraţia va avea grijă să existe în permanenţă stocuri de materiale şi materii prime,
atât pentru activitatea de restaurant, cât şi pentru activitatea hotelieră, pentru a nu pune în pericol
prestarea de servicii. Consumurile specifice vor fi definitivate de către responsabilul fiecărui
departament cu aproximativ 1 lună înainte de începerea efectivă a activităţii.
4.2.2.4. Cheltuieli anuale cu materii prime, materiale, mărfuri
Activitatea de restauraţie: cheltuieli materiale medii pe meniu = 15 RON ≈ 4,3 EUR
Activitatea hotelieră: o medie de 50 000 EUR
4.2.3. Estimarea costurilor cu utilităţile
Principalii furnizori:
- Pentru energia electrică: E.ON MOLDOVA
- Pentru gaz: S.C. ECOTERM GAZ S.A.
- Pentru apă curentă: Direcţia Locală de Apă-Canal
- Telefonie: S.C. ROMTELECOM S.A.
- Internet, radio-tv: MAX TV, DIGISAT SYSTEMS
Cheltuieli cu încălzirea: pentru 450 Gcal estimat pe an: 13 820 EUR
Cheltuieli cu electricitatea: 7915 EUR
Cheltuieli cu apa curentă şi canalizare: 4000 EUR
Cheltuieli cu abonamentul la internet, telefonie, presă: 3000 EUR
4.2.4. Avize şi autorizaţii de funcţionare
4.2.4.1. Costuri cu avizele de funcţionare, costuri cu autorizaţiile de
funcţionare
De obţinerea autorizaţiilor şi avizelor necesare funcţionării hotelului se va ocupa o firmă
de specialitate, cu care se va încheia un contract în acest sens. Printre aceste tipuri de avize se
numără: Certificatul de urbanism, Autorizaţia de construire, Autorizaţia PSI pentru clădiri noi,
Autorizaţii pentru Protecţia Muncii, Autorizaţia Sanitară, Autorizaţia Sanitar-Veterinară,
Autorizaţia Sanitar-Veterinară pentru alte activităţi, Avizul pentru Protecţia Mediului.
5. Analiza financiară
5.1. Analiza patrimoniului
Pentru elementele patrimoniale se preconizează următoarele direcţii :
Se preconizează un nivel iniţial al activelor de aproximativ 2 000 000 EURO. Atât
activele imobilizate, cât şi cele circulante vor creşte în valoare absolută de la un an la altul, cu o
creştere semnificativă a ponderii activelor circulante în totalul activelor. În cadrul activelor
16
circulante, se preconizează o creştere a ponderii stocurilor şi creanţelor şi o scădere de structură a
disponibilităţilor băneşti.
Datoriile ce trebuie plătite într-o perioadă mai mare de 1 an vor înregistra reduceri ca
urmare a începerii rambursării creditelor. Se preconizează scăderea ponderii datoriilor în totalul
pasivelor.
Capitalurile întreprinderii vor creşte cu aproximativ 4-5%, această creştere datorându-se
în principal sporirii rezervelor, rezultatului reportat, dar în cea mai mare proporţie creşterii
profitului, care va înregistra un trend ascendent în următorii ani. Sub acest aspect, se poate
aprecia că activitatea întreprinderii va avea o evoluţie pozitivă.
5.2. Analiza veniturilor, cheltuielilor şi rezultatelor anuale
Veniturile
Veniturile totale ale întreprinderii exprimate în preţuri curente şi în preţuri
comparabile vor creşte de la un an la altul, atât ca urmare a modificării preţurilor în următorii ani,
dar şi a creşterii volumului de activitate. În cadrul veniturilor, ponderea cea mai însemnată o
deţin, cum este şi firesc, în fiecare an veniturile din exploatare. Studierea evoluţiei trimestriale a
veniturilor totale în perspectivă evidenţiază existenţa unor disproporţii, astfel în trimestrul al III-
lea înregistrându-se cele mai mari încasări, urmat de trimestrul al IV-lea, trimestrul I şi apoi
trimestrul al II-lea. Aceste disproporţii sunt date de sezonalitatea pronunţată a activităţii de
turism.
Cheltuielile
Cheltuielile vor înregistra şi ele, pe termen mediu şi lung, o creştere, datorită creşterii
volumului activităţii, însă într-un ritm mai rapid decât acela al veniturilor din două motive.
Astfel, deşi volumul activităţii imprimă atât o creştere a cheltuielilor cât şi a veniturilor, iar
cheltuielile financiare se reduc drastic începând cu cel de-al treilea an de funcţionare, pe măsura
trecerii timpului, instalaţiile şi activele imobilizate vor necesita cheltuieli mai mari de întreţinere.
Datorită uzurii pot apărea deficienţe de utilizare, care trebuie prevenite şi reparate.
În ceea ce priveşte structura cheltuielilor, în primii doi ani de funcţionare ponderea
cheltuielilor financiare în cadrul cheltuielilor totale va fi mult mai mare în comparaţie cu
ponderea deţinută de veniturile financiare în veniturile totale.
Rezultatele
Profitul va proveni aproape exclusiv din activitatea de exploatare, activitatea
financiară şi activităţile extraordinare având o importanţă redusă.
Valoarea adăugată:
Conform metodologiei Institutului Naţional de Statistică, indicatorul „valoarea adăugată
brută este soldul contului de producţie şi măsoară excedentul valorii bunurilor sau a serviciilor
produse peste valoarea bunurilor şi serviciilor consumate pentru producţie, reprezentând deci
valoarea nou creată în procesul de producţie”. În conţinutul său regăsim acele elemente ce au
caracter de valoare nou adăugată, adică: cheltuielile cu personalul – total; ajustarea valorii
imobilizărilor corporale şi necorporale; ajustarea valorii activelor circulante; alte cheltuieli de
exploatare; rezultate din exploatare (profit / pierdere).
17
O altă modalitate de calcul a valorii adăugate brute care conduce în final la obţinerea
aceluiaşi nivel al indicatorului ia în considerare următoarele elemente: salariile şi adaosurile la
salarii; cheltuieli pentru asigurările şi protecţia socială; cheltuieli către instituţii financiare de stat;
cheltuieli pentru rezultatele negative înregistrate în activitatea firmei; cheltuieli cu amortizarea
mijloacelor fixe.
Valoarea adăugată reprezintă un indicator important în activitatea de turism, şi în sectorul
terţiar în general.
5.3. Evaluarea activităţii viitoare
5.3.1. Proiecţia contului de rezultate (pe 10 ani) (mii EURO)
Indicatori 2008 2009 2010 2011 2012 2013 2014 2015 2016 2017
1. Venituri din
exploatare
650 950 1300 1300 1300 1350 1370 1380 1380 1380
2. Venituri
financiare
10 15 20 20 20 20 25 25 25 25
3. Venituri
extraordinare
5 10 10 10 5 5 5 5 5 5
4. TOTAL
VENITURI
665 975 1330 1330 1325 1375 1400 1410 1410 1410
5. Cheltuieli de
exploatare
430 550 650 670 700 730 750 780 820 840
6. Cheltuieli
financiare
60 60 10 10 20 20 20 25 25 25
7. Cheltuieli
extraordinare
10 10 10 10 10 10 10 10 10 10
8. TOTAL
CHELTUIELI
500 620 670 690 730 760 780 815 855 875
9. Rezultatul brut 165 355 660 640 595 615 620 595 555 535
10. Impozit pe
profit
26.4 56.8 105.6 102.4 95.2 98.4 99.2 95.2 88.8 85.6
11.
REZULTATUL
NET
138.6 298.2 554.4 537.6 499.8 516.6 520.8 499.8 466.2 449.4
5.3.1.1. Proiecţia veniturilor pe activităţi (mii EURO)
Indicatori 2008 2009 2010 2011 2012 2013 2014 2015 2016 2017
1. Venituri din
exploatare, din
care:
650 950 1300 1300 1300 1350 1370 1380 1380 1380
2. –Venituri
din activitatea
hotelieră
500 750 1000 1000 1000 1050 1070 1070 1070 1070
3. – Venituri
din activitatea
de restaurant
150 200 300 300 300 300 300 310 310 310
18
4. Venituri
financiare
10 15 20 20 20 20 25 25 25 25
5. Venituri
extraordinare
5 10 10 10 5 5 5 5 5 5
6. TOTAL
VENITURI
665 975 1330 1330 1325 1375 1400 1410 1410 1410
5.3.1.2. Proiecţia cheltuielilor pe activităţi (mii EURO)
Indicatori 2008 2009 2010 2011 2012 2013 2014 2015 2016 2017
1. Cheltuieli din
exploatare, din
care:
430 550 650 670 700 730 750 780 820 840
2- Cheltuieli
materiale şi
utilităţi
180 250 340 350 360 380 400 430 450 470
3 – Cheltuieli de
personal
250 300 310 320 340 350 350 350 370 370
4. Cheltuieli
financiare
60 60 10 10 20 20 20 25 25 25
5. Cheltuieli
extraordinare
10 10 10 10 10 10 10 10 10 10
6. TOTAL
CHELTUIELI
500 620 670 690 730 760 780 815 855 875
5.4. Calculul indicatorilor economico-financiari
Conform Ordinului Ministrului Finanţelor Publice nr. 94 / 2001 metodologia de calcul a
indicatorilor de solvabilitate şi lichiditate este următoarea:
19
5.4.1. Indicatori de solvabilitate şi lichiditate
Denumire indicator 2008 2009 2010
INDICATORI DE LICHIDITATE
Lichiditate generală (Active curente/Datorii
curente)
0,48 0,64 1,47
Lichiditate imediată (Disponibilităţi/Pasive
curente)
0,27 0,23 0,78
INDICATORI DE SOLVABILITATE
Solvabilitate generală (Active totale/Datorii totale) 1,33 2,5 3,2
Solvabilitatea patrimonială (Capital propriu/
Capital total)
0,35 0,45 0,55
5.4.2. Indicatori de echilibru financiar
În această secţiune vom determina şi analiza evoluţia indicatorilor „fond de rulment”,
„necesarul de fond de rulment” şi „trezoreria”.
„Fondul de rulment” se determină scăzând din activele circulante datoriile pe termen
scurt, „necesarul de fond de rulment” se determină adăugând la stocuri creanţele din care se scad
datoriile de exploatare, iar „trezoreria netă” se obţine scăzând din fondul de rulment necesarul de
fond de rulment.
Indicatori 2008 2009 2010
Active circulante 470 000 490 000 630 000
Datorii pe termen
scurt
868 000 1 030 000 1 280 000
Fond de rulment -398 000 -540 000 -650 000
Necesar de fond de
rulment
-890 000 -620 000 -850 000
Trezoreria 492 000 80 000 200 000
Conform acestor estimări în perspectivă, întreprinderea se află într-o situaţie de
echilibru financiar riscant, un tip clasic şi totodată sănătos de echilibru. Astfel, resursele de fond
de rulment de exploatare sunt considerate ca permanente, ceea ce permite asigurarea finanţării
deficitului de fond de rulment fără cea mai mică reţinere, iar insuficienţa resurselor permanente în
raport cu imobilizările este intenţionată. In consecinţă, decât să se împrumute sau să facă apel la
asociaţi sau acţionari, întreprinderea va prefera să-şi acopere această parte din imobilizări prin
resursele de fond de rulment generate de activitatea de exploatare, constituind un bun plasament
financiar.
20
5.4.3. Indicatori de rentabilitate
INDICATORI DE RENTABILITATE 2008 2009 2010
Marja profitului de exploatare
(Rezultat de exploatare x 100/ Cifra de
afaceri); %
33,8 42,1 50
Marja profitului net
(Rezultat net x 100/ Cifra de afaceri); %
21,2 31,3 42,6
Rentabilitatea capitalului propriu
(Rezultat net x 100/Capital propriu); %
105,52 111,72 61,52
Rentabilitatea activelor totale
(Rezultat brut + dobânzi) x 100/Total active; %
73,45 78,24 68,93
5.5. Analiza de sensibilitate şi risc
Pentru analiza de sensibilitate s-au identificat următoarele scenarii:
1. Situaţia tensionată dintre Guvern şi Patronatul Cărnii poate produce o creştere cu
25%, a preţului cărnii, măsură care generează o creştere a cheltuielilor variabile ale societăţii
pentru activitatea de restauraţie cu 15%.
În aceste condiţii se vor înregistra următoarele efecte:
- o creştere cu 4% a cheltuielilor totale şi o scădere implicită a profitului;
- scăderea marjei profitului din exploatare de la 33,8% la 30,7% şi a rentabilităţii
capitalului propriu cu aproximativ 2%.
2. Conform tendinţelor actuale, se anticipează introducerea unor taxe suplimentare pe
proprietatea imobiliară, măsură ce ar conduce la creşterea cheltuielilor fixe cu 15%.
În mod automat are loc o creştere a nivelului cheltuielilor totale şi totodată va creşte
şi riscul exploatării, însă cu un efect negativ mai scăzut decât cel determinat de creşterea
cheltuielilor variabile.
6. Sinteza şi concluziile planului de afaceri
Din analiza detaliată efectuată pe parcursul următorului studiu se desprind
următoarele concluzii:
- Hotelul Montserrat va funcţiona cu o echipă de management capabilă şi competentă, pe
baza unui plan iniţial de afaceri bine pus la punct, într-o zonă cu capacitate ridicată de
absorbţie a turiştilor, cu dotări de ultimă generaţie, şi cu capabilitatea de a satisface cele
mai ridicate exigenţe ale clienţilor;
21
- Preţurile practicate de administraţie, metodele şi canalele de promovare şi de distribuţie
alese, precum şi situaţia curentă a turismului, atât în ţară cât şi în străinătate, asigură o
recuperare rapidă a investiţiei iniţiale, precum şi o rentabilitate ridicată a activităţii;
- Estimarea evoluţiei cererii, a preţurilor şi a cheltuielilor este una realistă;
- În concluzie, viitorul hotel MONTSERRAT va prezenta un risc infim pentru eventualii
investitori.
22

Plan de afaceri hotel

  • 1.
    Diaconu Ruxandra –Mihaela Anul IV, ECTS, Gr. I PLAN DE AFACERI HOTELUL „MONTSERRAT” 1. Introducere 1.1. Scopul şi obiectivele planului de afaceri Prezentul plan de afaceri este acela de a se constitui într-un material documentat şi riguros, în vederea prezentării hotelului „Montserrat”: se vor descrie natura afacerii, piaţa-ţintă, obiectivele strategice, investiţia iniţială şi eşalonarea acesteia, instrumentele promoţionale, precum şi resursele de care dispun proprietarii afacerii. Planul de afaceri va servi şi pentru cristalizarea şi dezvoltarea ideilor privitoare la modul de conducere a afacerii, la evaluarea noii idei de afacere, precum şi la obţinerea unor finanţări suplimentare. Planul de afaceri va constitui de asemenea un ghid util pentru întreaga echipă de management şi va fi controlat şi adaptat în funcţie de cerinţele mediului. 1.2. Prezentarea pe scurt a noii afaceri Hotelul de 4 stele „MONTSERRAT” va fi amplasat în zona Vatra Dornei şi vine astfel în sprijinul autoritǎţilor. în lupta acestora cu relansarea zonei ca zonǎ turisticǎ şi în reducerea şomajului. În calitate de hotel de 4 stele, „MONTSERRAT” va fi dotat cu un restaurant de înaltă clasă, room service cu program prelungit, servicii de concierge, parking şi săli de conferinţă. Materialele de înaltă calitate şi design-ul modern şi rafinat, împreună cu o suită largă de servicii adiacente, garantează nivelul superior de satisfacere a clienţilor. 1.3. Sursele de documentare asupra mediului economic Principalele obiective ale analizei mediului economic în care îşi va desfăşura activitatea hotelul se referă la clientela acestuia, concurenţa, statul şi organizaţiile profesionale. Informaţii despre acestea au fost obţinute consultând Anuarul Statistic al României 2003-2005, Buletinele statistice de preţuri pe ultimii 3 ani, datele puse la dispoziţie de către Federaţia Industriei Hoteliere din România (FIRH) şi de Asociaţia Naţională a Agenţiilor de Turism (ANAT). De asemenea, a fost comandat un studiu de piaţă la firma Daedalus Consulting, companie specializată în marketing şi cercetarea pieţei.
  • 2.
    Studiul de piaţăa fost realizat pe un eşantion de 1000 de persoane dintre care 30% firme, 30% persoane cu venituri mai mari de 1000 lei, 20% persoane cu venituri medii, 20% persoane cu venituri mici (pensionari şi tineret). În urma studiului, persoanele intervievate şi-au arǎtat dorinţa de a vizita zona Vatra Dornei în inters personal sau de afaceri, 40% au recunoscut cǎ nu au fost niciodatǎ în zona Vatra Dornei, 25 % au rǎspuns cǎ au fost în trecere, 25% au rǎspuns cǎ au fost o singurǎ datǎ în zonǎ, 10% au fost fost de mai multe ori în zona Vatra Dornei. 75% dintre subiecţi şi-au arǎtat dorinţa de a vizita această zonǎ. 1.4. Managementul şi obiectivele noii afaceri 1.4.1. Strategia activităţii viitoare 1.4.1.1. Obiectivele strategice Misiunea hotelului MONTSERRAT este aceea de a asigura servicii complete de cazare şi alimentaţie, flexibile, responsabile şi profesionale, atât pentru turismul de afaceri, precum şi pentru petrecerea vacanţelor, prin creşterea calităţii operaţiunilor şi a performanţelor financiare. Viziunea companiei este aceea de a oferi un raport avantajos preţ-calitate, în condiţiile unor dotări de 4 stele. Obiective strategice: - crearea unui nume important în industria hotelierǎ, demn de luat în seamǎ - obţinerea unui profit şi a unei cifre de afaceri considerabile Obiective tactice: - un termen de recuperare a investiţiei de maxim 5 ani - o rentabilitate a investiţiei iniţiale de cel puţin 50% - asigurarea unui grad mediu minim de ocupare a camerelor de 65% în primii 5 ani 1.4.1.2. Măsuri necesare îndeplinirii obiectivelor Punerea în practică a strategiilor va ţine cont de balanţa între nevoile clienţilor, angajaţilor, partenerilor şi investitorilor, respectând diversitatea lor. Se vor avea în vedere: - asigurarea unei baze materiale şi umane adecvate din punctul de vedere al mărimii, tipologiei, dotărilor, pentru a oferi turiştilor condiţii optime de înnoptare, precum şi alte servicii, după caz - organizarea raţională şi judicioasă a muncii personalului, stimularea şi motivarea acestuia, precum şi o pregătire adecvată - diversificarea serviciilor oferite şi ridicarea nivelului lor calitativ - modernizarea permanentă a capacităţilor de cazare, în scopul îmbunătăţirii confortului - eficientizarea activităţilor de servire a clienţilor, atât în cadrul serviciului de cazare cât şi al aceluia de restaurant, prin eliminarea timpilor morţi 2
  • 3.
    1.4.2. Structura organizatorică,organigrama şi diagrama de relaţii Structura organizatorică a unităţii este de tip ierarhic-funcţional şi se prezintă după cum urmează: Diagrama de relaţii Hotelul MONTSERRAT Ministerul Transporturilor, Construcţiilor şi Turismului Institutul Naţional de Cercetare-Dezvoltare în Turism Primăria municipiului Vatra-Dornei Centrul teritorial de promovare a turismului Birouri de turism Comisiile locale de turism Federaţia Industriei Hoteliere din România Asociaţia Naţională pentru Turism Rural, Ecologic şi Cultural 3 Direcţia generală Direcţia administrativă şi financiară Direcţia comercială Direcţia cazare Direcţia restaurant Serviciul tehnic Serviciul cazare Serviciul restaurant
  • 4.
    Organigrama hotelului MONTSERRAT Directorgeneral Serviciul administrativ şi financiar Director executiv Serviciul comercial Director cazare Director restaurant Serviciu tehnic Şef recepţie - 1 Guvernantă - 1 Recepţionere–3 Portar-3 Bagajişti-2 Cameriste-6 Lenjerie-1 Bucătarşef Coordonator barmani Departament roomservice Bucătari-3 Ospătari–5Şefsală–2 Barmani–2 4
  • 5.
    1.4.3. Conducerea afacerii,structura şi calitatea echipei de management Directorul general al societăţii este de formaţie economist, cu o vechime de peste 20 de ani în sectorul hotelier, o persoană care a parcurs toate treptele afirmării, de la recepţioner stagiar la manager general. Este, deci, o persoană care cunoaşte în toate detaliile problemele comerciale, tehnice, de producţie, economice şi sociale, cu care s-ar putea confrunta în viitor hotelul „Montserrat”. Directorul executiv a lucrat la hoteluri precum « Intercontinental » şi « Hilton » şi a reuşit pe parcursul anilor să stăpânească temeinic mecanismele şi procesele economice specifice industriei hoteliere. 1.4.4. Sistemul informaţional preconizat Sistemul informaţional va fi realizat cu ajutorul sistemelor informatice computerizate de gestiune hotelieră, cu ajutorul cărora toate compartimentele vor fi legate printr-o reţea de computere, cu acces la o anumită secţiune a programului. Sistemul Front Office va îndeplini funcţiile de: - înregistrare a turiştilor: preluare a datelor turiştilor - comercializare a produselor turistice: închiriere de autoturisme, comercializare ziare, reviste, cosmetice, etc. - gestiune a camerelor: informaţii privind nivelul de ocupare a camerelor, statutul (liber/ ocupat, curăţenia ş.a), situaţia financiară, preluarea mesajelor, precum şi diverse informaţii statistice - evidenţă a încasărilor: procesarea tranzacţiilor şi oferirea de informaţii despre debitele şi creditele în relaţie cu clienţii. Pentru rezervări se va folosi sistemul Worldspan, lider în industria turistică de e- commerce, ce asigură o conexiune directă client – hotel în procesul rezervării, precum şi o operativitate sporită în comercializarea prestaţiilor turistice. 1.5. Structura acţionarilor şi capitalul iniţial Hotelul „Montserrat” este o societate cu capital privat 100%, unic acţionar fiind Directorul General, dl. Cristian Mincă. 2. Prezentarea investiţiei 2.1. Proiectul de investiţii, prezentare şi costuri de realizare Tabloul investiţiei iniţiale Terenul 96 000 EUR Construcţia [5 nivele a câte 450 mp + 300 mp (restaurantul)] x 800 EUR 2 040 000 EUR Mobilier 440 EUR (set complet mobilă) x 60 camere Birou recepţie, scaune, canapele hol 26 400 EUR 2 000 EUR 5
  • 6.
    recepţie, comode, fotoliipalier Mobilier restaurant (mese, scaune): - 30 mese x 30 EUR - 8 scaune / masă x 30 mese x 10 EUR Mobilier pentru baie: 30 EUR x 60 900 EUR 2400 EUR 1800 EUR Textile 112 EUR (lenjerie pat dublu) x 30 (nr. camere) 70 EUR (lenjerie pat single x 30 (nr. camere) x 2 (pentru schimburi) Pături: 50 EUR x 60 Perne: 8 EUR x 90 Draperii: 12 EUR x 60 Prosoape de baie: 6 x 30 + 3 x 30 = 270 x 3 EUR Draperii duş: 60 x 5 EUR Jaluzele: 60 x 10 EUR Mochetă: 2250 mp x 10 EUR (preţ mediu pentru tipuri diferite de mochetă pentru paliere, recepţie, respectiv în camere) Covoraşe de baie: 60 x 15 EUR 10 920 EUR 3 000 EUR 720 EUR 720 EUR 810 EUR 300 EUR 600 EUR 22 500 EUR 900 EUR Echipamente birotică 350 EUR x 10 calculatoare (inclusiv monitor, tastatură, mouse) 3 500 EUR Licenţe Licenţe utilizare sistem de operare (Windows XP), pachetul Microsoft Office, soft informaţional front-office 1 000 EUR Autoturisme 30 000 EUR Accesorii camere Televizor, lampă, veioză, telefon 10 000 EUR Îmbrăcăminte Uniforme recepţionere, cameriste, ospătari, valeţi 1 000 EUR Accesorii restaurant Feţe de masă, veselă (tacâmuri, farfurii, vaze de flori, castroane, platouri, supiere) 1 000 EUR Instalaţii Instalaţii sanitare, instalaţii de încălzire, de gaz, instalaţii electrice, branşamente şi instalaţii apă-canal, sisteme de alarmă, monitorizare şi supraveghere, finisaje construcţie (gresie, parchet) – estimate la o valoare de 200% din valoarea construcţiei 1 020 000 EUR Cheltuieli de marketing Studiul de piaţă comandat Cheltuieli de publicitate (inserţii în ziare, reviste, publicaţii de profil, spoturi radio- tv, bannere pe internet) 1 000 EUR 10 000 EUR 6
  • 7.
    Alte cheltuieli neprevăzute 200 000 EUR TOTALinvestiţie iniţială 3 500 000 EUR 2.2. Eşalonarea şi graficul de realizare a investiţiei Perioada Activitate 1 - 15 octombrie 2007 15 - 31 octombrie 2007 1 – 15 noiembrie 2007 1 – 30 noiembrie 2007 1 – 15 decembrie 2007 15 – 31 decembrie 2007 Achiziţie teren Construcţie hotel Construcţie restaurant Branşamente, instalaţii apă- canal, gaze, electricitate, finisaje Instalarea mobilierului, amenajări finale Instalare echipamente birotică Probe Punere în funcţiune 2.3. Planul de finanţare a investiţiei Valoarea totală a investiţiei iniţiale se apreciază la suma de 3 500 000 EUR, pe lângă totalul cheltuielilor prevăzute în tablou alocându-se şi un procent de 0,05 % pentru cheltuieli neprevăzute. Din această sumă, acţionarii vor acoperi din resurse proprii 1 000 000 EUR, 1 000 000 EUR vor fi finanţaţi printr-un împrumut nerambursabil PHARE, iar 1 500 000 EUR vor fi acoperiţi printr-un credit pentru investiţii de la Banca Transilvania (dobândă lunară 8%), acordat pe 24 de luni, cu o perioadă de graţie de 3 luni (până la darea în funcţiune a hotelului). Solicitarea pentru împrumutul PHARE a fost aprobată, iar banii vor fi viraţi în luna septembrie 2007. Creditul bancar va fi acordat începând cu luna octombrie 2007, ratele (în valoare individuală de 62 500 EUR) începând să se achite în ianuarie 2008. Există posibilitatea rambursării integrale a creditului la 12 luni după acordarea acestuia. 7
  • 8.
    3. Analiza comercială 3.1.Produse şi servicii oferite Cameră dublă 80 EURO Cameră single 65 EURO Cameră single (parter) 50 EURO Nr. crt. Produs Caracteristici Sezonalitate 1. Cazare Cazare în camere cu confort ridicat Camere intime Seriozitate Discreţie Tot timpul anului 2. Salǎ de conferinţe Organizarea de conferinţe La cerere 3. Bar Oferirea unor game variate de bǎuturi În cele douǎ sezoane 4. Restaurant Prepararea de feluri de mâncare atât din bucǎtăria tradiţionalǎ cât şi din cea internaţionalǎ Prepararea în condiţii de maximǎ igienǎ Tot timpul anului 5. Organizare Mese festive Competenţǎ Seriozitate Profesionalism La cerere 6. Servicii curǎţǎtorie La cerere 7. Servicii relaxare În cele douǎ sezoane 8. Parcare Seriozitate Tot timpul anului Aceste produse se adreseazǎ atât persoanelor cu venituri mari cât şi celor cu venituri medii, elevi şi studenţi organizate atât în grupuri sau individual. Pentru comercializarea produselor Hotelul MONTSERRAT va apela la încheierea de contracte cu agenţii de turism din ţarǎ şi strǎinǎtate, practicarea de tarife scǎzute pentru grupuri de elevi şi studenţi. 3.1.1. Prezentarea caracteristicilor produselor şi serviciilor oferite Tarifele includ mic dejun. Toate încăperile sunt dotate cu : • TV + satelit, internet prin fibră optică • linie telefonică directă • minibar • încălzire centrală, instalaţie de climatizare • uscător de păr • băile din apartamente au cadă cu hidromasaj 8
  • 9.
    Hotelul MONTSERRAT dispunede un Centru de Conferinţe compus din 6 săli cu o capacitate de până la 200 de persoane, dotate cu acces internet, cu posibilitate de utilizare pentru banchete sau alte tipuri de reuniuni, precum şi de două spaţii expoziţionale. Centrul de Conferinţe este dotat cu echipamente de ultimă generaţie dedicate acestui domeniu de activitate: scaune cu măsuţă, desk-uri, flipchart-uri, retroproiectoare, ecrane proiectoare multimedia, table magnetice, panouri afişaj, copiator, telefon, fax, calculatoare, sistem de amplificare sunet, microfoane fixe şi mobile, servicii secretariat. La cererea clienţilor se pot asigura servicii de interpretariat simultan. Departamentul restauraţie oferă 240 de locuri în Restaurantul MONTSERRAT, restaurant clasic, care oferă preparate din bucătăria românească şi internaţională, precum şi posibilitatea organizării de banchete, cocktail-uri, mese festive. Departamentul oferă la cererea clienţilor servicii de catering pentru organizarea diferitelor tipuri de evenimente. Spaţiul de recreere pune la dispoziţia clienţilor o varietate de modalităţi de relaxare: sală de jocuri, piscină, sală de fitness, jacuzzi, saună, sală de masaj, precum şi un cabinet de cosmetică (coafură, manichiură, pedichiură). 3.1.2. Nivelul de competitivitate pe piaţă Managementul întreprinderii manifestă şi va manifesta o permanentă preocupare de studiere a cerinţelor pieţei şi, în acelaşi timp, de adaptare a serviciilor oferite la aceste cerinţe. Întreprinderea va răspunde cu promptitudine solicitărilor clienţilor interni şi externi, prestând servicii competitive dn punct de vedere calitativ, dar şi din punct de vedere economic, preţurile practicate fiind avantajoase şi pentru beneficiari. Competitivitatea mai poate fi evidenţiată şi prin larga gamă sortimentală a serviciilor oferite. Din punct de vedere al competitivităţii managementului, acesta este pus în evidenţă de seriozitatea şi rigurozitatea abordării clienţilor şi a respectării cerinţelor acestora. Serviciile sunt prestate cu respectarea standardelor ecologice interne şi internaţionale, precum şi a standardelor de calitate ISO. 3.1.3. Sezonalitatea serviciilor oferite Datorită climei zonei Vatra Dornei, se preconizează o afluenţă mare de turişti în perioada de iarnă, de aceasta, în acest interval, trebuie asigurată funcţionarea hotelului la capacitate maximă, fără ca acest lucru să influenţeze în vreun fel calitatea. Hotelul va fi însă deschis pe tot parcursul anului, cu precădere pentru studenţi sau pentru turismul de afaceri. 3.2. Piaţa şi comercializarea 3.2.1. Analiza cererii şi ofertei pe piaţa internă a serviciilor turistice 3.2.1.1. Definirea segmentelor de piaţă ţintă Piaţa ţintă a hotelului Montserrat este populaţia cu venituri medii şi ridicate, între 25 şi 50 de ani, care doreşte să-şi petreacă vacanţa de iarnă într-o ambianţă plăcută, cu confort ridicat. Totodată, însă, hotelul se adresează şi grupurilor de elevi sau studenţi, acordând importante reduceri pentru aceştia, dar şi turismului de afaceri, prin dotările sale deosebite. 3.2.1.2. Estimarea structurii şi volumului cererii pe piaţa internă de servicii turistice 9
  • 10.
    Conform studiilor ANAT(Asociaţia Naţională a Agenţiilor de Turism), în următorii ani se vor dezvolta, în România, cu precădere, turismul de afaceri, incomingul şi turismul de eveniment. Totodată, potrivit estimărilor, cea mai bună perioadă pentru turism este vara (mai- septembrie), lunile octombrie, ianuarie şi februarie înregistrând o afluenţă mai mică de turişti. De asemenea, aderarea României la Uniunea Europeană va stimula turismul. 3.2.1.3. Concurenţă şi avantaje competitive În Vatra Dornei se aflǎ numeroase hoteluri şi restaurante datoritǎ potenţialului natural diversificat. Fiecare dintre aceste hoteluri vin cu oferte diversificate ceea ce duce la o competiţie acerbǎ, în atragerea clienţilor. Hotel Carol *** este unul dintre concurenţii redutabili. Hotelul Carol*** este situat în staţiunea balneo-climatericǎ Vatra Dornei, Amplasat într-un cadru natural deosebit şi uşor accesibil, având o poziţie priveligiatǎ în centrul staţiunii balneo - climaterice Vatra Dornei, Construcţia este ridicatǎ într- o zonǎ ce oferǎ o privelişte încântǎtoare a depresiunii Dornelor. Complexul Bradul Călimani ** se aflǎ la baza pârtiei de pe Dealul Negru în apropierea frumosului parc dendrologic al oraşului. Hotelul Bradul are o capaciate de 312 locuri dispuse în camere cu 2 paturi, 6 apartamente, şi camere cu paturi matrimoniale. În urma unor ample lucrǎri de modernizare, hotelul a fost clasificat la categoria *** . Camerele situate la etajele 1 şi 6 deşi sunt modernizate au ramas la clasificarea de ** ( fǎrǎ frigider şi terasǎ). Hotelul Călimani are o capacitate de 290 de locuri dispuse în 4 apartamente, camere cu 2 paturi şi camere cu pat matrimonial. Hotelul Cǎlimani a fost de asemenea supus unor ample lucrǎri de investiţii, lucrǎri care au schimbat categoria de confort de la ** la ***. Camerele situate la etajele 1 si 6 sunt modernizate, dar au ramas la clasificarea de ** ( fǎrǎ balcon şi frigider). Având capacitǎţi mari de cazare şi o gamǎ variatǎ de servicii oferite clienţilor, aceste douǎ hoteluri reprezinţǎ adevǎraţii concurenţi ai Hotelului Montserrat ****. Avantajul acestor hoteluri ar fi vechimea lor, având astfel clienţi fideli. Avantajul competitiv al Hotelului Montserrat este însă acela al dotărilor de 4 stele, oferind clienţilor confort şi relaxare. Spre deosebire de cei doi competitori, Hotelul Montserrat dispune şi de Restaurantul Montserrat situat lângǎ hotel, asigurând astfel alimentaţia clienţilor hotelului şi nu numai. 3.2.2. Analiza cererii şi ofertei pe piaţa externă 3.2.2.1. Definirea segmentelor de piaţă ţintă Clienţii străini ai hotelului Montserrat sunt în principal turişti care doresc să cunoască destinaţii noi, să se relaxeze într-un loc ferit de poluare şi de dezvoltare excesivă. Este vorba de persoane cu venituri medii şi ridicate între 30 şi 50 de ani, care îşi permit vacanţe în afara graniţelor ţării şi care apreciază peisajele naturale, dar şi confortul. 3.2.2.2. Estimarea structurii şi volumului cererii pe piaţa externă Hotelul şi restaurantul Montserrat nu se limiteazǎ doar la turismul intern, dorind sǎ facǎ parte şi din circuitul extern. Administraţia doreşte sǎ încheie contracte cu agenţii turistice strǎine. Hotelul Montserrat va fi pregǎtit sǎ primeascǎ oameni de afaceri şi grupuri de turişti strǎini, sǎ organizeze conferinţe şi recepţii. Având în vedere faptul cǎ Vatra Dornei este supranumitǎ şi “Perla Bucovinei”, administraţia doreşte sǎ exploateze potenţialul natural la maxim. În condiţiile aderării la Uniunea 10
  • 11.
    Europeană, turismul înRomânia va căpăta o dezvoltare deosebită, clienţii străini dorind să descopere noi destinaţii, unde să le fie oferite, de asemenea, toate comodităţile. 3.2.2.3. Concurenţă şi avantaje competitive Concurenţa pe piaţa externă este una acerbă, datorită multitudinii de opţiuni pe care le au turiştii străini atunci când doresc să îşi planifice vacanţa. Hotelul Montserrat va avea însă atuul situării într-un cadru natural nepoluat, într-o ţară recent intrată în Uniunea Europeană şi nu foarte familiară turiştilor străini, precum şi acela al dotărilor la nivel european. 3.3. Managementul comercial al serviciilor turistice 3.3.1. Promovarea şi distribuţia serviciilor turistice propuse 3.3.1.1. Metode de promovare utilizate Promovarea produselor, atât pe piaţa internă, cât mai ales pe piaţa externă, se realizează prin participarea consecventă la târguri şi expoziţii. Totodată, administraţia hotelului îşi propune promovarea hotelului prin agenţii de turism din ţarǎ şi din strǎinǎtate încheind cu acestea contracte avantajoase, practicând tarife scǎzute pentru grupuri de persoane, pentru elevi şi studenţi. Tot pentru promovarea hotelului administraţia va utiliza ca mijloc de promovare spoturile publicitare la televiziune şi radio, precum promovarea prin pliante şi broşuri. 3.3.1.2. Canale de distribuţie a produselor şi serviciilor Pe piaţa internă produsele sunt distribuite în mod direct sau prin agenţii de turism. Pe piaţa externă, produsele sunt distribuite exclusiv prin agenţii de turism specializate. 3.3.1.3. Cheltuieli pentru promovarea serviciilor Cuantumul acestor cheltuieli se va regăsi în contul 623 şi este preconizat să crească anual, atât în proporţie relevantă, cât şi în expresie absolută. Aceste creşteri importante se vor explica nu atât prin dorinţa întreprinderii de a-şi face publicitate, cât mai mult prin adaptarea acestei activităţi la cerinţele de ultimă oră (e-marketing). Administraţia a prevăzut un buget iniţial de 10 000 EURO pentru publicitate. 3.3.2. Preţul de vânzare al produselor şi serviciilor, preţul de piaţă şi preţurile practicate Cameră dublă 80 EURO Cameră single 65 EURO Cameră single (parter) 50 EURO 11
  • 12.
    4. Analiza operaţională 4.1.Capacitatea tehnică şi de producţie a hotelului 4.1.1. Amplasare şi facilităţi Realizarea noului hotel în zona Vatra Dornei îsi propune relansarea zonei turistice existente, reducerea şomajului, valorificarea factorului natural existent în zona precum şi îmbunǎtǎţirea infrastructurii existente. Pentru o mai bună cunoaştere a zonei respective, vom prezenta în continuare o analiză SWOT. Factori pozitivi Factori negativi Puncte tari: Poziţia geografică, cadrul natural, clima zonei  posibilitatea lansării turismului de iarnă Clădirile cele mai reprezentative din oraş sunt monumente arhitectonice din secolul XIX. Cel mai important monument arhitectonic este “Cazinoul Vatra Dornei”, construit în anul 1897 după un proiect al curţii imperiale austriece. Existenţa acestora constituie o premisă pentru o afluenţă mare a turiştilor şi, implicit, pentru o bună dezvoltare a turismului în această zonă; Existenţa condiţiilor pentru turismul cultural şi Puncte slabe: Posibilităţi de agrement turistic nevalorificate; Clima rece duce la costuri suplimentare pentru asigurarea confortului termic Starea precară a patrimoniului arhitectural şi nevalorificarea lui economică; Slaba informare a publicului despre potenţialul turistic al zonei Vatra Dornei; Starea nesatisfăcătoare a infrastructurii de drumuri; Uzura morală a reţelelor tehnico-edilitare (apă, canal); 15 camere duble x 25 mp = 400 mp 50 mp palier 50 mp palier 50 mp palier 50 mp palier 15 camere duble x 25 mp = 400 mp 20 camere single x 20 mp = 400 mp 10 camere single x 20 mp = 200 mp 250 mp recepţie, palier 400 mp spaţiu recreere, sală jocuri, biliard, piscină Parter Etaj 1 Etaj 2 Etaj 3 Etaj 4 300 mp restaurant (240 locuri) 12
  • 13.
    istoric, cinegetic; Reţele tehnico-edilitaredezvoltate (apă, canal, energie electrică, energie termică, telefonie digitală, cablu TV, internet), reţea comercială dezvoltată; Piaţa turistică încă nesaturată; Încadrearea în cadrul zonelor defavorizate – facilităţi acordate investitorilor; Existenţa unui aeroport în vecinătate; Forţă de muncă ieftină şi calificată; Spaţii şi programe de agrement; Disponibilitatea administraţiei locale de a concesiona terenuri; existenţa terenurilor şi spaţiilor neutilizate; Potenţialul uman bine educat; Slaba dezvoltare a serviciilor pentru populaţie; infrastructură slab dezvoltată Inexistenţa unor instituţii de învăţământ preuniversitar şi superior în domeniul turismului ce ar putea ridica gradul de conştientizare a populaţiei; Pista de aterizare pentru avioane mici necesită investiţii pentru repunerea în circuitul turistic; Necorelarea cerere – ofertă; Oportunităţi: Existenţa unor scheme de creditare şi granturi; Existenţa unor facilităţi fiscale datorită caracterului de zonă defavorizată; Riscuri/Pericole: Inexistenţa în planurile regionale a căilor de transport rutier modern (autostrăzi, drumuri rapide); 4.1.2. Program de activitate 4.1.2.1. Evoluţia activităţii în perioada următoare Estimări pentru anul Venituri din activitatea hotelieră Venituri din activitatea de restaurant 2008 500000 150000 2009 750000 200000 2010 1000000 300000 0 200000 400000 600000 800000 1000000 1200000 2008 2009 2010 Venituri din activitatea de restaurant Venituri din activitatea hotelieră 13
  • 14.
    4.1.2.2. Capacităţi şigrad de ocupare Hotelul dispune de 30 de camere duble a câte 25 mp şi 30 de camere single a câte 20 mp, iar gradul de ocupare estimat pentru primul an este de 50%, acesta urmând să crească progresiv până la vârfuri de 80% în medie şi 100% în perioada de sezon. 4.1.2.3. Prognoza activităţii pe termen mediu şi lung Pe termen mediu, se prognozează o creştere considerabilă a nivelului activităţii pe durata primilor 3 ani, după 2010 urmând să se ia măsuri pentru ca activitatea să crească în continuare, însă acest lucru nu mai este posibil într-o proporţie la fel de mare. Dacă pe parcursul primilor ani activitatea va creşte ca urmare a eforturilor promoţionale şi se va pune accentul pe atragerea noilor clienţi, ulterior vor avea o importanţă mai mare fidelitatea şi fidelizarea, se vor dezvolta programe pentru readucerea clienţilor la hotelul Montserrat, pentru a avea o clientelă relativ stabilă. 4.2. Activitatea operaţională a hotelului 4.2.1. Estimarea cheltuielilor cu forţa de muncă 4.2.1.1. Evoluţia structurii personalului şi previziuni legate de aceasta Structura personalului (pe posturi) nu este prevăzută a se schimba foarte des, însă se prevede un grad ridicat de mobilitate a personalului, datorită sezonalităţii ridicate specifice activităţii. 4.2.1.2. Cheltuieli anuale cu forţa de muncă Salarii Postul Salariu individual lunar Salariu anual pe categorie (RON) Director general 6000 RON 72 000 Director comercial 5000 RON 60 000 Director administrativ-financiar 4500 RON 54 000 Director executiv 4500 RON 54 000 Director cazare 4000 RON 48 000 Director restaurant 4000 RON 48 000 Director tehnic 3500 RON 42 000 Şef recepţie 2000 RON 24 000 Guvernantă 1600 RON 19 200 Recepţionere – 3 1100 RON 39 600 Portari - 3 900 RON 32 400 Bagajişti – 2 800 RON 19 200 Cameriste - 6 900 RON 64 800 Lenjereasă 800 RON 9 600 Bucătar şef 1900 RON 22 800 Şef sală - 2 1200 RON 28 800 Coordonator barmani 1100 RON 13 200 Coordonator departament 1100 RON 13 200 14
  • 15.
    room service Bucătari -3 1000 RON 36 000 Ospătari - 5 1000 RON 60 000 Barmani - 2 1000 RON 24 000 Alte cheltuieli salariale (lucrători sezonieri, etc.) 100 000 TOTAL CHELTUIELI SALARIALE: 884 800 RON ≈ 253 000 EUR Se estimează 50% în plus pentru totalul contribuţiilor la stat (CAS, CASS, şomaj, atât cuvenite angajatorului, cât şi angajatului). 4.2.2. Estimarea cheltuielilor cu materiile prime, materialele şi mărfurile aprovizionate 4.2.2.1. Nomenclatorul materialelor utilizate Materiale pentru activitatea hotelieră: - materiale utilizate: produse de curăţenie, dezinfectante, hârtie igienică, săpunuri - obiecte de inventar: lenjerii, pături, perne, prosoape, perdele, draperii, umeraşe, etc. Materii prime pentru activitatea de restaurant: - ingrediente (carne, legume, zarzavaturi, zahăr, orez, etc.) - produse de curăţenie Mărfuri: - băuturi - reviste, ziare, diverse obiecte de igienă personală ce se pot achiziţiona în incinta hotelului 4.2.2.2. Surse de aprovizionare Furnizorii de materii prime sunt furnizori locali, pentru a reduce la maxim costurile de transport şi a eficientiza activitatea. Pentru materiile prime destinate activităţii de restaurant, se vor prefera colaborările cu ferme agricole, pentru a asigura prospeţimea şi calitatea cărnii, a legumelor, zarzavaturilor, etc. Mobilierul şi diversele instalaţii necesare bunei funcţionări a hotelului şi restaurantului (calculatoare, frigidere, boilere, maşini de gătit) vor fi de asemenea de provenienţă autohtonă. 15
  • 16.
    4.2.2.3. Consumuri specificeşi politica de stocuri Administraţia va avea grijă să existe în permanenţă stocuri de materiale şi materii prime, atât pentru activitatea de restaurant, cât şi pentru activitatea hotelieră, pentru a nu pune în pericol prestarea de servicii. Consumurile specifice vor fi definitivate de către responsabilul fiecărui departament cu aproximativ 1 lună înainte de începerea efectivă a activităţii. 4.2.2.4. Cheltuieli anuale cu materii prime, materiale, mărfuri Activitatea de restauraţie: cheltuieli materiale medii pe meniu = 15 RON ≈ 4,3 EUR Activitatea hotelieră: o medie de 50 000 EUR 4.2.3. Estimarea costurilor cu utilităţile Principalii furnizori: - Pentru energia electrică: E.ON MOLDOVA - Pentru gaz: S.C. ECOTERM GAZ S.A. - Pentru apă curentă: Direcţia Locală de Apă-Canal - Telefonie: S.C. ROMTELECOM S.A. - Internet, radio-tv: MAX TV, DIGISAT SYSTEMS Cheltuieli cu încălzirea: pentru 450 Gcal estimat pe an: 13 820 EUR Cheltuieli cu electricitatea: 7915 EUR Cheltuieli cu apa curentă şi canalizare: 4000 EUR Cheltuieli cu abonamentul la internet, telefonie, presă: 3000 EUR 4.2.4. Avize şi autorizaţii de funcţionare 4.2.4.1. Costuri cu avizele de funcţionare, costuri cu autorizaţiile de funcţionare De obţinerea autorizaţiilor şi avizelor necesare funcţionării hotelului se va ocupa o firmă de specialitate, cu care se va încheia un contract în acest sens. Printre aceste tipuri de avize se numără: Certificatul de urbanism, Autorizaţia de construire, Autorizaţia PSI pentru clădiri noi, Autorizaţii pentru Protecţia Muncii, Autorizaţia Sanitară, Autorizaţia Sanitar-Veterinară, Autorizaţia Sanitar-Veterinară pentru alte activităţi, Avizul pentru Protecţia Mediului. 5. Analiza financiară 5.1. Analiza patrimoniului Pentru elementele patrimoniale se preconizează următoarele direcţii : Se preconizează un nivel iniţial al activelor de aproximativ 2 000 000 EURO. Atât activele imobilizate, cât şi cele circulante vor creşte în valoare absolută de la un an la altul, cu o creştere semnificativă a ponderii activelor circulante în totalul activelor. În cadrul activelor 16
  • 17.
    circulante, se preconizeazăo creştere a ponderii stocurilor şi creanţelor şi o scădere de structură a disponibilităţilor băneşti. Datoriile ce trebuie plătite într-o perioadă mai mare de 1 an vor înregistra reduceri ca urmare a începerii rambursării creditelor. Se preconizează scăderea ponderii datoriilor în totalul pasivelor. Capitalurile întreprinderii vor creşte cu aproximativ 4-5%, această creştere datorându-se în principal sporirii rezervelor, rezultatului reportat, dar în cea mai mare proporţie creşterii profitului, care va înregistra un trend ascendent în următorii ani. Sub acest aspect, se poate aprecia că activitatea întreprinderii va avea o evoluţie pozitivă. 5.2. Analiza veniturilor, cheltuielilor şi rezultatelor anuale Veniturile Veniturile totale ale întreprinderii exprimate în preţuri curente şi în preţuri comparabile vor creşte de la un an la altul, atât ca urmare a modificării preţurilor în următorii ani, dar şi a creşterii volumului de activitate. În cadrul veniturilor, ponderea cea mai însemnată o deţin, cum este şi firesc, în fiecare an veniturile din exploatare. Studierea evoluţiei trimestriale a veniturilor totale în perspectivă evidenţiază existenţa unor disproporţii, astfel în trimestrul al III- lea înregistrându-se cele mai mari încasări, urmat de trimestrul al IV-lea, trimestrul I şi apoi trimestrul al II-lea. Aceste disproporţii sunt date de sezonalitatea pronunţată a activităţii de turism. Cheltuielile Cheltuielile vor înregistra şi ele, pe termen mediu şi lung, o creştere, datorită creşterii volumului activităţii, însă într-un ritm mai rapid decât acela al veniturilor din două motive. Astfel, deşi volumul activităţii imprimă atât o creştere a cheltuielilor cât şi a veniturilor, iar cheltuielile financiare se reduc drastic începând cu cel de-al treilea an de funcţionare, pe măsura trecerii timpului, instalaţiile şi activele imobilizate vor necesita cheltuieli mai mari de întreţinere. Datorită uzurii pot apărea deficienţe de utilizare, care trebuie prevenite şi reparate. În ceea ce priveşte structura cheltuielilor, în primii doi ani de funcţionare ponderea cheltuielilor financiare în cadrul cheltuielilor totale va fi mult mai mare în comparaţie cu ponderea deţinută de veniturile financiare în veniturile totale. Rezultatele Profitul va proveni aproape exclusiv din activitatea de exploatare, activitatea financiară şi activităţile extraordinare având o importanţă redusă. Valoarea adăugată: Conform metodologiei Institutului Naţional de Statistică, indicatorul „valoarea adăugată brută este soldul contului de producţie şi măsoară excedentul valorii bunurilor sau a serviciilor produse peste valoarea bunurilor şi serviciilor consumate pentru producţie, reprezentând deci valoarea nou creată în procesul de producţie”. În conţinutul său regăsim acele elemente ce au caracter de valoare nou adăugată, adică: cheltuielile cu personalul – total; ajustarea valorii imobilizărilor corporale şi necorporale; ajustarea valorii activelor circulante; alte cheltuieli de exploatare; rezultate din exploatare (profit / pierdere). 17
  • 18.
    O altă modalitatede calcul a valorii adăugate brute care conduce în final la obţinerea aceluiaşi nivel al indicatorului ia în considerare următoarele elemente: salariile şi adaosurile la salarii; cheltuieli pentru asigurările şi protecţia socială; cheltuieli către instituţii financiare de stat; cheltuieli pentru rezultatele negative înregistrate în activitatea firmei; cheltuieli cu amortizarea mijloacelor fixe. Valoarea adăugată reprezintă un indicator important în activitatea de turism, şi în sectorul terţiar în general. 5.3. Evaluarea activităţii viitoare 5.3.1. Proiecţia contului de rezultate (pe 10 ani) (mii EURO) Indicatori 2008 2009 2010 2011 2012 2013 2014 2015 2016 2017 1. Venituri din exploatare 650 950 1300 1300 1300 1350 1370 1380 1380 1380 2. Venituri financiare 10 15 20 20 20 20 25 25 25 25 3. Venituri extraordinare 5 10 10 10 5 5 5 5 5 5 4. TOTAL VENITURI 665 975 1330 1330 1325 1375 1400 1410 1410 1410 5. Cheltuieli de exploatare 430 550 650 670 700 730 750 780 820 840 6. Cheltuieli financiare 60 60 10 10 20 20 20 25 25 25 7. Cheltuieli extraordinare 10 10 10 10 10 10 10 10 10 10 8. TOTAL CHELTUIELI 500 620 670 690 730 760 780 815 855 875 9. Rezultatul brut 165 355 660 640 595 615 620 595 555 535 10. Impozit pe profit 26.4 56.8 105.6 102.4 95.2 98.4 99.2 95.2 88.8 85.6 11. REZULTATUL NET 138.6 298.2 554.4 537.6 499.8 516.6 520.8 499.8 466.2 449.4 5.3.1.1. Proiecţia veniturilor pe activităţi (mii EURO) Indicatori 2008 2009 2010 2011 2012 2013 2014 2015 2016 2017 1. Venituri din exploatare, din care: 650 950 1300 1300 1300 1350 1370 1380 1380 1380 2. –Venituri din activitatea hotelieră 500 750 1000 1000 1000 1050 1070 1070 1070 1070 3. – Venituri din activitatea de restaurant 150 200 300 300 300 300 300 310 310 310 18
  • 19.
    4. Venituri financiare 10 1520 20 20 20 25 25 25 25 5. Venituri extraordinare 5 10 10 10 5 5 5 5 5 5 6. TOTAL VENITURI 665 975 1330 1330 1325 1375 1400 1410 1410 1410 5.3.1.2. Proiecţia cheltuielilor pe activităţi (mii EURO) Indicatori 2008 2009 2010 2011 2012 2013 2014 2015 2016 2017 1. Cheltuieli din exploatare, din care: 430 550 650 670 700 730 750 780 820 840 2- Cheltuieli materiale şi utilităţi 180 250 340 350 360 380 400 430 450 470 3 – Cheltuieli de personal 250 300 310 320 340 350 350 350 370 370 4. Cheltuieli financiare 60 60 10 10 20 20 20 25 25 25 5. Cheltuieli extraordinare 10 10 10 10 10 10 10 10 10 10 6. TOTAL CHELTUIELI 500 620 670 690 730 760 780 815 855 875 5.4. Calculul indicatorilor economico-financiari Conform Ordinului Ministrului Finanţelor Publice nr. 94 / 2001 metodologia de calcul a indicatorilor de solvabilitate şi lichiditate este următoarea: 19
  • 20.
    5.4.1. Indicatori desolvabilitate şi lichiditate Denumire indicator 2008 2009 2010 INDICATORI DE LICHIDITATE Lichiditate generală (Active curente/Datorii curente) 0,48 0,64 1,47 Lichiditate imediată (Disponibilităţi/Pasive curente) 0,27 0,23 0,78 INDICATORI DE SOLVABILITATE Solvabilitate generală (Active totale/Datorii totale) 1,33 2,5 3,2 Solvabilitatea patrimonială (Capital propriu/ Capital total) 0,35 0,45 0,55 5.4.2. Indicatori de echilibru financiar În această secţiune vom determina şi analiza evoluţia indicatorilor „fond de rulment”, „necesarul de fond de rulment” şi „trezoreria”. „Fondul de rulment” se determină scăzând din activele circulante datoriile pe termen scurt, „necesarul de fond de rulment” se determină adăugând la stocuri creanţele din care se scad datoriile de exploatare, iar „trezoreria netă” se obţine scăzând din fondul de rulment necesarul de fond de rulment. Indicatori 2008 2009 2010 Active circulante 470 000 490 000 630 000 Datorii pe termen scurt 868 000 1 030 000 1 280 000 Fond de rulment -398 000 -540 000 -650 000 Necesar de fond de rulment -890 000 -620 000 -850 000 Trezoreria 492 000 80 000 200 000 Conform acestor estimări în perspectivă, întreprinderea se află într-o situaţie de echilibru financiar riscant, un tip clasic şi totodată sănătos de echilibru. Astfel, resursele de fond de rulment de exploatare sunt considerate ca permanente, ceea ce permite asigurarea finanţării deficitului de fond de rulment fără cea mai mică reţinere, iar insuficienţa resurselor permanente în raport cu imobilizările este intenţionată. In consecinţă, decât să se împrumute sau să facă apel la asociaţi sau acţionari, întreprinderea va prefera să-şi acopere această parte din imobilizări prin resursele de fond de rulment generate de activitatea de exploatare, constituind un bun plasament financiar. 20
  • 21.
    5.4.3. Indicatori derentabilitate INDICATORI DE RENTABILITATE 2008 2009 2010 Marja profitului de exploatare (Rezultat de exploatare x 100/ Cifra de afaceri); % 33,8 42,1 50 Marja profitului net (Rezultat net x 100/ Cifra de afaceri); % 21,2 31,3 42,6 Rentabilitatea capitalului propriu (Rezultat net x 100/Capital propriu); % 105,52 111,72 61,52 Rentabilitatea activelor totale (Rezultat brut + dobânzi) x 100/Total active; % 73,45 78,24 68,93 5.5. Analiza de sensibilitate şi risc Pentru analiza de sensibilitate s-au identificat următoarele scenarii: 1. Situaţia tensionată dintre Guvern şi Patronatul Cărnii poate produce o creştere cu 25%, a preţului cărnii, măsură care generează o creştere a cheltuielilor variabile ale societăţii pentru activitatea de restauraţie cu 15%. În aceste condiţii se vor înregistra următoarele efecte: - o creştere cu 4% a cheltuielilor totale şi o scădere implicită a profitului; - scăderea marjei profitului din exploatare de la 33,8% la 30,7% şi a rentabilităţii capitalului propriu cu aproximativ 2%. 2. Conform tendinţelor actuale, se anticipează introducerea unor taxe suplimentare pe proprietatea imobiliară, măsură ce ar conduce la creşterea cheltuielilor fixe cu 15%. În mod automat are loc o creştere a nivelului cheltuielilor totale şi totodată va creşte şi riscul exploatării, însă cu un efect negativ mai scăzut decât cel determinat de creşterea cheltuielilor variabile. 6. Sinteza şi concluziile planului de afaceri Din analiza detaliată efectuată pe parcursul următorului studiu se desprind următoarele concluzii: - Hotelul Montserrat va funcţiona cu o echipă de management capabilă şi competentă, pe baza unui plan iniţial de afaceri bine pus la punct, într-o zonă cu capacitate ridicată de absorbţie a turiştilor, cu dotări de ultimă generaţie, şi cu capabilitatea de a satisface cele mai ridicate exigenţe ale clienţilor; 21
  • 22.
    - Preţurile practicatede administraţie, metodele şi canalele de promovare şi de distribuţie alese, precum şi situaţia curentă a turismului, atât în ţară cât şi în străinătate, asigură o recuperare rapidă a investiţiei iniţiale, precum şi o rentabilitate ridicată a activităţii; - Estimarea evoluţiei cererii, a preţurilor şi a cheltuielilor este una realistă; - În concluzie, viitorul hotel MONTSERRAT va prezenta un risc infim pentru eventualii investitori. 22