𝟔𝑪𝑶𝟐 + 𝟏𝟐𝑯𝟐𝑶 𝑪𝟔𝑯𝟏𝟐𝑶𝟔 + 𝟔𝑯𝟐𝑶 + 𝟔𝑶𝟐 ↑
𝑆𝑢𝑛𝑙𝑖𝑔ℎ𝑡
𝐶ℎ𝑙𝑜𝑟𝑜𝑝ℎ𝑦𝑙𝑙
• 2 − 𝑙𝑎𝑦𝑒𝑟𝑒𝑑 𝑚𝑒𝑚𝑏𝑟𝑎𝑛𝑒 𝑐𝑜𝑛𝑠𝑖𝑠𝑡𝑖𝑛𝑔 𝑜𝑓 𝒐𝒖𝒕𝒆𝒓 & 𝒊𝒏𝒏𝒆𝒓
𝒎𝒆𝒎𝒃𝒓𝒂𝒏𝒆𝒔.
• 𝐵𝑜𝑡ℎ 𝑠𝑒𝑝𝑎𝑟𝑎𝑡𝑒𝑑 𝑏𝑦 𝑎 𝑓𝑙𝑢𝑖𝑑 𝑓𝑖𝑙𝑙𝑒𝑑 𝑠𝑝𝑎𝑐𝑒 100 − 200 Å
𝑖. 𝑒. 𝒑𝒆𝒓𝒊 − 𝒑𝒍𝒂𝒔𝒕𝒊𝒅𝒊𝒂𝒍 𝒔𝒑𝒂𝒄𝒆.
• 𝐿𝑖𝑞𝑢𝑖𝑑, 𝑝𝑟𝑜𝑡𝑒𝑖𝑛𝑎𝑐𝑒𝑜𝑢𝑠 𝑚𝑎𝑡𝑟𝑖𝑥
• 𝐺𝑟𝑎𝑛𝑢𝑙𝑎𝑟; 𝑐𝑜𝑛𝑡𝑎𝑖𝑛𝑖𝑛𝑔 𝑒𝑛𝑧𝑦𝑚𝑒𝑠
• 𝑺𝒊𝒕𝒆 𝒐𝒇 𝑫𝒂𝒓𝒌 𝒓𝒆𝒂𝒄𝒕𝒊𝒐𝒏 𝑜𝑓 𝑝ℎ𝑜𝑡𝑜𝑠𝑦𝑛𝑡ℎ𝑒𝑠𝑖𝑠
• 𝐶𝑜𝑛𝑡𝑎𝑖𝑛𝑠 𝑐ℎ𝑙𝑜𝑟𝑜𝑝𝑙𝑎𝑠𝑡 𝑫𝑵𝑨, 𝑠𝑡𝑎𝑟𝑐ℎ 𝑔𝑟𝑎𝑛𝑢𝑙𝑒𝑠, 𝟕𝟎 𝑺
𝒓𝒊𝒃𝒐𝒔𝒐𝒎𝒆𝒔, 𝑡ℎ𝑦𝑙𝑎𝑘𝑜𝑖𝑑𝑠.
• 𝑇ℎ𝑦𝑙𝑎𝑘𝑜𝑖𝑑 ⟹ 𝑚𝑒𝑚𝑏𝑟𝑎𝑛𝑜𝑢𝑠 𝑠𝑎𝑐𝑘; 𝒄𝒐𝒏𝒕𝒂𝒊𝒏 𝒑𝒊𝒈𝒎𝒆𝒏𝒕𝒔
• 𝐺𝑟𝑎𝑛𝑢𝑚 ⟹ 𝑠𝑡𝑎𝑐𝑘 𝑜𝑓 𝑡ℎ𝑦𝑙𝑎𝑘𝑜𝑖𝑑𝑠
• 𝑺𝒊𝒕𝒆 𝒐𝒇 𝑳𝒊𝒈𝒉𝒕 𝒓𝒆𝒂𝒄𝒕𝒊𝒐𝒏 𝑜𝑓 𝑝ℎ𝑜𝑡𝑜𝑠𝑦𝑛𝑡ℎ𝑒𝑠𝑖𝑠
• 𝑆𝑡𝑟𝑜𝑚𝑎 𝑙𝑎𝑚𝑒𝑙𝑙𝑎𝑒 ⟹ 𝑐𝑜𝑛𝑛𝑒𝑐𝑡 𝑎𝑑𝑗𝑎𝑐𝑒𝑛𝑡 𝑡ℎ𝑦𝑙𝑎𝑘𝑜𝑖𝑑𝑠
𝑂𝑢𝑡𝑒𝑟 𝑚𝑒𝑚𝑏.
𝐼𝑛𝑛𝑒𝑟 𝑚𝑒𝑚𝑏.
𝑃𝑒𝑟𝑖𝑝𝑙𝑎𝑠𝑡𝑖𝑑𝑖𝑎𝑙
𝑠𝑝𝑎𝑐𝑒
𝐷𝑁𝐴
𝑅𝑖𝑏𝑜𝑠𝑜𝑚𝑒
𝑆𝑡𝑎𝑟𝑐ℎ
𝑔𝑟𝑎𝑛𝑢𝑙𝑒
𝑆𝑡𝑟𝑜𝑚𝑎
𝑆𝑡𝑟𝑜𝑚𝑎
𝑙𝑎𝑚𝑒𝑙𝑙𝑎𝑒
𝑇ℎ𝑦𝑙𝑎𝑘𝑜𝑖𝑑
𝐺𝑟𝑎𝑛𝑢𝑚
𝑺𝑻𝑹𝑼𝑪𝑻𝑼𝑹𝑬 𝑶𝑭 𝑪𝑯𝑳𝑶𝑹𝑶𝑷𝑳𝑨𝑺𝑻
• 𝐺𝑟𝑒𝑒𝑘: 𝒄𝒉𝒍𝒐𝒓𝒐𝒔 = 𝒈𝒓𝒆𝒆𝒏 ; 𝒑𝒉𝒚𝒍𝒍𝒐𝒏 = 𝒍𝒆𝒂𝒇
• 𝑂𝑐𝑐𝑢𝑟𝑠 𝑖𝑛 𝑝𝑙𝑎𝑛𝑡𝑠, 𝑎𝑙𝑔𝑎𝑒 & 𝑐𝑦𝑎𝑛𝑜𝑏𝑎𝑐𝑡𝑒𝑟𝑖𝑎
• 𝐹𝑜𝑟𝑚𝑒𝑑 𝑓𝑟𝑜𝑚 𝒑𝒓𝒐𝒕𝒐𝒄𝒉𝒍𝒐𝒓𝒐𝒑𝒉𝒚𝒍𝒍 𝑖𝑛 𝑝𝑟𝑒𝑠𝑒𝑛𝑐𝑒 𝑜𝑓 𝑙𝑖𝑔ℎ𝑡
• 𝑨𝒃𝒔𝒐𝒓𝒃𝒔 ⟹ 𝑹𝑬𝑫 & 𝑩𝑳𝑼𝑬 𝒍𝒊𝒈𝒉𝒕
• 𝑹𝒆𝒇𝒍𝒆𝒄𝒕𝒔 ⟹ 𝑮𝑹𝑬𝑬𝑵 𝒍𝒊𝒈𝒉𝒕 ; ℎ𝑒𝑛𝑐𝑒 𝑙𝑒𝑎𝑣𝑒𝑠 𝑎𝑝𝑝𝑒𝑎𝑟
𝑔𝑟𝑒𝑒𝑛 𝑖𝑛 𝑐𝑜𝑙𝑜𝑢𝑟.
• 𝑇𝑦𝑝𝑒𝑠 𝑜𝑓 𝐶ℎ𝑙𝑜𝑟𝑜𝑝ℎ𝑦𝑙𝑙:
𝑖 𝐼𝑛 ℎ𝑖𝑔ℎ𝑒𝑟 𝑝𝑙𝑎𝑛𝑡𝑠: 𝑪𝒉𝒍𝒐𝒓𝒐𝒑𝒉𝒚𝒍𝒍𝒔 𝒂 & 𝒃
𝑖𝑖 𝐼𝑛 𝑎𝑙𝑔𝑎𝑒: 𝑪𝒉𝒍𝒐𝒓𝒐𝒑𝒉𝒚𝒍𝒍𝒔 𝒄, 𝒅, 𝒆
𝑖𝑖𝑖 𝐼𝑛 𝑏𝑎𝑐𝑡𝑒𝑟𝑖𝑎: 𝑩𝒂𝒄𝒕𝒆𝒓𝒊𝒐 − 𝒄𝒉𝒍𝒐𝒓𝒐𝒑𝒉𝒚𝒍𝒍 &
𝒃𝒂𝒄𝒕𝒆𝒓𝒊𝒐 − 𝒗𝒊𝒓𝒊𝒅𝒊𝒏
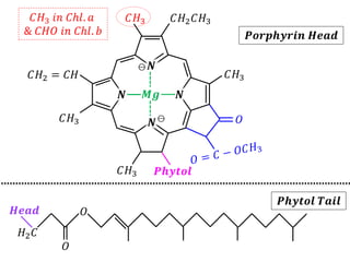
• 𝑇𝑎𝑑𝑝𝑜𝑙𝑒 − 𝑠ℎ𝑎𝑝𝑒𝑑 𝑠𝑡𝑟𝑢𝑐𝑡𝑢𝑟𝑒
• 𝑷𝒐𝒓𝒑𝒉𝒚𝒓𝒊𝒏 𝒉𝒆𝒂𝒅 ⟶ 4 𝑝𝑦𝑟𝑟𝑜𝑙𝑒 𝑟𝑖𝑛𝑔𝑠 𝑤𝑖𝑡ℎ 4 𝑁 − 𝑎𝑡𝑜𝑚𝑠
𝑡ℎ𝑎𝑡 𝑠𝑢𝑟𝑟𝑜𝑢𝑛𝑑 𝑐𝑒𝑛𝑡𝑟𝑎𝑙 𝑀𝑔 − 𝑎𝑡𝑜𝑚.
• 𝑷𝒉𝒚𝒕𝒐𝒍 𝒕𝒂𝒊𝒍 ⟶ 𝑙𝑜𝑛𝑔 ℎ𝑦𝑑𝑟𝑜𝑐𝑎𝑟𝑏𝑜𝑛 𝑐ℎ𝑎𝑖𝑛
• 𝐻𝑦𝑑𝑟𝑜𝑝ℎ𝑖𝑙𝑖𝑐 𝐻𝑒𝑎𝑑 ⟹ 𝐴𝑏𝑠𝑜𝑟𝑏𝑠 𝑙𝑖𝑔ℎ𝑡
• 𝐻𝑦𝑑𝑟𝑜𝑝ℎ𝑜𝑏𝑖𝑐 𝑡𝑎𝑖𝑙 ⟹ 𝐴𝑛𝑐ℎ𝑜𝑟𝑠 𝑡𝑜 𝑡ℎ𝑦𝑙𝑎𝑘𝑜𝑖𝑑 𝑚𝑒𝑚𝑏𝑟𝑎𝑛𝑒
• 𝐴𝑏𝑠𝑜𝑟𝑏𝑠 𝑤𝑎𝑣𝑒𝑙𝑒𝑛𝑔𝑡ℎ𝑠 𝑜𝑓 𝒗𝒊𝒐𝒍𝒆𝒕 − 𝒃𝒍𝒖𝒆 &
𝒐𝒓𝒂𝒏𝒈𝒆 − 𝒓𝒆𝒅 𝑙𝑖𝑔ℎ𝑡.
• 𝑃𝑟𝑖𝑚𝑎𝑟𝑦 𝑒𝑙𝑒𝑐𝑡𝑟𝑜𝑛 𝑑𝑜𝑛𝑜𝑟
• 𝐺𝑖𝑣𝑒𝑠 𝒈𝒓𝒆𝒆𝒏 𝑐𝑜𝑙𝑜𝑢𝑟 𝑡𝑜 𝒍𝒆𝒂𝒗𝒆𝒔
𝐶𝐻2𝐶𝐻3
𝐶𝐻3
𝐶𝐻3
𝐶𝐻3
𝐶𝐻2 = 𝐶𝐻 𝐶𝐻3
𝑂
𝐶𝐻3 𝑖𝑛 𝐶ℎ𝑙. 𝑎
& 𝐶𝐻𝑂 𝑖𝑛 𝐶ℎ𝑙. 𝑏
𝑵 𝑵
𝑵
𝑵
⊖
⊖
𝑴𝒈
𝑷𝒉𝒚𝒕𝒐𝒍
𝑷𝒐𝒓𝒑𝒉𝒚𝒓𝒊𝒏 𝑯𝒆𝒂𝒅
𝑷𝒉𝒚𝒕𝒐𝒍 𝑻𝒂𝒊𝒍
𝑂
𝑂
𝐻2𝐶
𝑯𝒆𝒂𝒅
• 𝑂𝑐𝑐𝑢𝑟𝑠 𝑖𝑛 𝑝𝑙𝑎𝑛𝑡𝑠, 𝑎𝑙𝑔𝑎𝑒 & 𝑝ℎ𝑜𝑡𝑜𝑠𝑦𝑛𝑡ℎ𝑒𝑡𝑖𝑐 𝑏𝑎𝑐𝑡𝑒𝑟𝑖𝑎
• 𝐵𝑟𝑖𝑔ℎ𝑡 𝒓𝒆𝒅, 𝒚𝒆𝒍𝒍𝒐𝒘 𝒐𝒓 𝒐𝒓𝒂𝒏𝒈𝒆 𝑖𝑛 𝑐𝑜𝑙𝑜𝑢𝑟
• 𝐴𝑐𝑐𝑒𝑠𝑠𝑜𝑟𝑦 𝑝𝑖𝑔𝑚𝑒𝑛𝑡𝑠
• 𝐴𝑏𝑠𝑜𝑟𝑏 𝑡ℎ𝑒 𝑙𝑖𝑔ℎ𝑡 𝑛𝑜𝑡 𝑎𝑏𝑠𝑜𝑟𝑏𝑒𝑑 𝑏𝑦 𝑐ℎ𝑙𝑜𝑟𝑜𝑝ℎ𝑦𝑙𝑙
𝑭𝑼𝑵𝑪𝑻𝑰𝑶𝑵𝑺:
𝑖 𝑨𝒃𝒔𝒐𝒓𝒑𝒕𝒊𝒐𝒏 𝒐𝒇 𝑩𝑳𝑼𝑬 𝒍𝒊𝒈𝒉𝒕
𝑖𝑖 𝑇𝑟𝑎𝑛𝑠𝑓𝑒𝑟 𝑒𝑛𝑒𝑟𝑔𝑦 𝑡𝑜 𝑐ℎ𝑙𝑜𝑟𝑜𝑝ℎ𝑦𝑙𝑙
𝑖𝑖𝑖 𝑃𝑟𝑜𝑡𝑒𝑐𝑡 𝑓𝑟𝑜𝑚 𝑜𝑥𝑖𝑑𝑎𝑡𝑖𝑜𝑛 & 𝑒𝑥𝑐𝑒𝑠𝑠 𝑙𝑖𝑔ℎ𝑡
𝑖𝑣 𝑉𝑖𝑡𝑎𝑚𝑖𝑛 𝐴 𝑝𝑟𝑜𝑑𝑢𝑐𝑡𝑖𝑜𝑛
𝑣 𝐺𝑖𝑣𝑒 𝒄𝒐𝒍𝒐𝒖𝒓 𝒕𝒐 𝒇𝒍𝒐𝒘𝒆𝒓𝒔 & 𝒇𝒓𝒖𝒊𝒕𝒔
𝑻𝒀𝑷𝑬𝑺:
1) 𝐶𝑎𝑟𝑜𝑡𝑒𝑛𝑒𝑠:
2) 𝑋𝑎𝑛𝑡ℎ𝑜𝑝ℎ𝑦𝑙𝑙𝑠 (𝐶𝑎𝑟𝑜𝑡𝑒𝑛𝑜𝑙𝑠):
• 𝑶𝒓𝒂𝒏𝒈𝒆 − 𝑹𝒆𝒅 𝑖𝑛 𝑐𝑜𝑙𝑜𝑢𝑟
• 𝐴𝑏𝑠𝑜𝑟𝑏 𝑼𝑽, 𝑽𝒊𝒐𝒍𝒆𝒕 & 𝑩𝒍𝒖𝒆 𝑙𝑖𝑔ℎ𝑡
• 𝑆𝑐𝑎𝑡𝑡𝑒𝑟 𝑶𝒓𝒂𝒏𝒈𝒆, 𝑹𝒆𝒅 & 𝒀𝒆𝒍𝒍𝒐𝒘 𝑙𝑖𝑔ℎ𝑡
• 𝐺𝑒𝑛. 𝑓𝑜𝑟𝑚𝑢𝑙𝑎 = 𝐶40𝐻56
• 𝐸𝑥. 𝑳𝒚𝒄𝒐𝒑𝒆𝒏𝒆𝒔 𝑅𝑒𝑑 𝑐𝑜𝑙𝑜𝑢𝑟 𝑖𝑛 𝑡𝑜𝑚𝑎𝑡𝑜 & 𝑐ℎ𝑖𝑙𝑙𝑖 ,
𝛼 − 𝑐𝑎𝑟𝑜𝑡𝑒𝑛𝑒 & 𝛽 − 𝑐𝑎𝑟𝑜𝑡𝑒𝑛𝑒.
• 𝐶𝑜𝑛𝑡𝑎𝑖𝑛 𝑜𝑥𝑦𝑔𝑒𝑛
• 𝐺𝑒𝑛. 𝑓𝑜𝑟𝑚𝑢𝑙𝑎 = 𝐶40𝐻56𝑂
• 𝐸𝑥. 𝐶𝑟𝑦𝑝𝑡𝑜𝑥𝑎𝑛𝑡ℎ𝑖𝑛, 𝑳𝒖𝒕𝒆𝒊𝒏 (𝑦𝑒𝑙𝑙𝑜𝑤𝑖𝑠ℎ 𝑐𝑜𝑙𝑜𝑢𝑟 𝑜𝑓
𝑎𝑢𝑡𝑢𝑚𝑛𝑎𝑙 𝑓𝑜𝑙𝑖𝑎𝑔𝑒), 𝑭𝒖𝒄𝒐𝒙𝒂𝒏𝒕𝒉𝒊𝒏 (𝐵𝑟𝑜𝑤𝑛 𝑎𝑙𝑔𝑎𝑒)
• 𝐺𝑟𝑒𝑒𝑘: 𝒑𝒉𝒚𝒌𝒐𝒔 = 𝒂𝒍𝒈𝒂 ; 𝒃𝒊𝒍𝒊𝒔 = 𝒃𝒊𝒍𝒆
• 𝑂𝑐𝑐𝑢𝑟𝑠 𝑖𝑛 𝑟𝑒𝑑 𝑎𝑙𝑔𝑎𝑒 & 𝑏𝑙𝑢𝑒 − 𝑔𝑟𝑒𝑒𝑛 𝑎𝑙𝑔𝑎𝑒
• 𝐴𝑏𝑠𝑜𝑟𝑏 𝑡ℎ𝑒 𝑙𝑖𝑔ℎ𝑡 𝑛𝑜𝑡 𝑎𝑏𝑠𝑜𝑟𝑏𝑒𝑑 𝑏𝑦 𝑐ℎ𝑙𝑜𝑟𝑜𝑝ℎ𝑦𝑙𝑙𝑠 &
𝑐𝑎𝑟𝑜𝑡𝑒𝑛𝑜𝑖𝑑𝑠
• 𝑊𝑎𝑡𝑒𝑟 𝑠𝑜𝑙𝑢𝑏𝑙𝑒
• 𝑻𝒀𝑷𝑬𝑺 −
𝑖 𝑃ℎ𝑦𝑐𝑜𝑒𝑟𝑦𝑡ℎ𝑟𝑖𝑛 (𝑹𝑬𝑫):
⟹ 𝑓𝑜𝑢𝑛𝑑 𝑖𝑛 𝑅ℎ𝑜𝑑𝑜𝑝ℎ𝑦𝑡𝑎 (𝑅𝑒𝑑 𝑎𝑙𝑔𝑎𝑒)
⟹ 𝐴𝑏𝑠𝑜𝑟𝑏 𝑩𝒍𝒖𝒆 & 𝑮𝒓𝒆𝒆𝒏 𝑙𝑖𝑔ℎ𝑡
𝑖𝑖 𝑃ℎ𝑦𝑐𝑜𝑐𝑦𝑎𝑛𝑖𝑛 𝑩𝑳𝑼𝑬 :
⟹ 𝑓𝑜𝑢𝑛𝑑 𝑖𝑛 𝐶𝑦𝑎𝑛𝑜𝑝ℎ𝑦𝑡𝑎 (𝐵𝐺𝐴)
⟹ 𝐴𝑏𝑠𝑜𝑟𝑏 𝑶𝒓𝒂𝒏𝒈𝒆 & 𝑹𝒆𝒅 𝑙𝑖𝑔ℎ𝑡
𝑫𝒊𝒓𝒆𝒄𝒕
𝒍𝒊𝒈𝒉𝒕
𝑚𝑎𝑑𝑒 𝑜𝑓
𝑝𝑟𝑜𝑡𝑒𝑖𝑛𝑠,
𝑝𝑖𝑔𝑚𝑒𝑛𝑡𝑠 &
𝑐𝑜 − 𝑓𝑎𝑐𝑡𝑜𝑟𝑠
𝑆𝑖𝑡𝑒 𝑜𝑓
𝑙𝑖𝑔ℎ𝑡
𝑟𝑒𝑎𝑐𝑛
𝑃𝑟𝑜𝑑𝑢𝑐𝑒
𝐴𝑇𝑃 &
𝑁𝐴𝐷𝑃𝐻
𝐶𝑎𝑝𝑡𝑢𝑟𝑒
𝑒𝑛𝑒𝑟𝑔𝑦
𝑓𝑟𝑜𝑚
𝑙𝑖𝑔ℎ𝑡
𝑃𝑟𝑜𝑚𝑜𝑡𝑒
𝑒− 𝑡𝑜
↑ 𝑒𝑛𝑒𝑟𝑔𝑦
𝑠𝑡𝑎𝑡𝑒
𝑃𝑟𝑜𝑡𝑒𝑖𝑛𝑠 &
𝐶ℎ𝑙𝑜𝑟𝑜𝑝ℎ𝑦𝑙𝑙
𝑚𝑜𝑙𝑒𝑐𝑢𝑙𝑒𝑠
𝑆𝑢𝑟𝑟𝑜𝑢𝑛𝑑 𝑡ℎ𝑒
𝑟𝑒𝑎𝑐𝑛
𝑐𝑒𝑛𝑡𝑟𝑒
𝑇𝑟𝑎𝑛𝑠𝑓𝑒𝑟 𝑙𝑖𝑔ℎ𝑡
𝑒𝑛𝑒𝑟𝑔𝑦 𝑡𝑜
𝑅𝑒𝑎𝑐𝑛 𝑐𝑒𝑛𝑡𝑟𝑒
• 𝐷𝑖𝑠𝑐𝑜𝑣𝑒𝑟𝑒𝑑 𝑏𝑒𝑓𝑜𝑟𝑒; ℎ𝑒𝑛𝑐𝑒 𝑐𝑎𝑙𝑙𝑒𝑑 𝑷𝑺 𝑰.
• 𝐿𝑜𝑐𝑎𝑡𝑒𝑑 𝑜𝑛: 𝑖 𝑶𝒖𝒕𝒆𝒓 𝒔𝒖𝒓𝒇𝒂𝒄𝒆 𝒐𝒇 𝒕𝒉𝒚𝒍𝒂𝒌𝒐𝒊𝒅 𝒎𝒆𝒎𝒃.
𝑖𝑖 𝑆𝑡𝑟𝑜𝑚𝑎 𝑙𝑎𝑚𝑒𝑙𝑙𝑎𝑒
• 𝑅𝑒𝑎𝑐𝑛 𝑐𝑒𝑛𝑡𝑟𝑒 ⟹ 𝑪𝒉𝒍. 𝒂 𝒎𝒐𝒍𝒆𝒄𝒖𝒍𝒆 𝑷 − 𝟕𝟎𝟎
𝐴𝑐𝑡𝑖𝑣𝑒 𝑖𝑛 𝑟𝑒𝑑
& 𝑓𝑎𝑟 𝑟𝑒𝑑 𝑙𝑖𝑔ℎ𝑡
𝐴𝑏𝑠𝑜𝑟𝑏𝑠 𝑙𝑖𝑔ℎ𝑡 𝑎𝑡
700 𝑛𝑚 𝑤𝑎𝑣𝑒𝑙𝑒𝑛𝑔ℎ𝑡
• 𝐿𝑖𝑔ℎ𝑡 𝐻𝑎𝑟𝑣. 𝐶𝑜𝑚𝑝𝑙𝑒𝑥 ⟹ 𝐶ℎ𝑙. 𝑏 + 𝐶ℎ𝑙. 𝑎 670, 680, 695
+ 𝐶𝑎𝑟𝑜𝑡𝑒𝑛𝑜𝑖𝑑𝑠
• 𝒆− 𝒅𝒐𝒏𝒐𝒓 ⟹ 𝑃𝑙𝑎𝑠𝑡𝑜𝑐𝑦𝑎𝑛𝑖𝑛
• 𝒆− 𝒂𝒄𝒄𝒆𝒑𝒕𝒐𝒓 ⟹ 𝐼𝑟𝑜𝑛 − 𝑠𝑢𝑙𝑝ℎ𝑢𝑟 𝐹𝑒𝑆 𝑐𝑒𝑛𝑡𝑒𝑟𝑠
• 𝐴𝑐𝑡𝑠 𝑓𝑖𝑟𝑠𝑡, 𝑏𝑢𝑡 𝑑𝑖𝑠𝑐𝑜𝑣𝑒𝑟𝑒𝑑 𝑙𝑎𝑡𝑒𝑟; ℎ𝑒𝑛𝑐𝑒 𝑐𝑎𝑙𝑙𝑒𝑑 𝑷𝑺 𝑰𝑰.
• 𝐿𝑜𝑐𝑎𝑡𝑒𝑑 𝑜𝑛: 𝑰𝒏𝒏𝒆𝒓 𝒔𝒖𝒓𝒇𝒂𝒄𝒆 𝒐𝒇 𝒕𝒉𝒚𝒍𝒂𝒌𝒐𝒊𝒅 𝒎𝒆𝒎𝒃.
• 𝑅𝑒𝑎𝑐𝑛 𝑐𝑒𝑛𝑡𝑟𝑒 ⟹ 𝑪𝒉𝒍. 𝒂 𝒎𝒐𝒍𝒆𝒄𝒖𝒍𝒆 𝑷 − 𝟔𝟖𝟎
𝐴𝑐𝑡𝑖𝑣𝑒 𝑖𝑛 𝑟𝑒𝑑 𝑙𝑖𝑔ℎ𝑡,
𝑛𝑜𝑡 𝑖𝑛 𝑓𝑎𝑟 𝑟𝑒𝑑 𝑙𝑖𝑔ℎ𝑡
𝐴𝑏𝑠𝑜𝑟𝑏𝑠 𝑙𝑖𝑔ℎ𝑡 𝑎𝑡
680 𝑛𝑚 𝑤𝑎𝑣𝑒𝑙𝑒𝑛𝑔ℎ𝑡
• 𝐿𝑖𝑔ℎ𝑡 𝐻𝑎𝑟𝑣. 𝐶𝑜𝑚𝑝𝑙𝑒𝑥 ⟹ 𝐶ℎ𝑙. 𝑎 660, 670, 680, 695, 700
+ 𝐶ℎ𝑙. 𝑏 + 𝑃ℎ𝑦𝑐𝑜𝑏𝑖𝑙𝑖𝑛𝑠 + 𝑋𝑎𝑛𝑡ℎ𝑜𝑝ℎ𝑦𝑙𝑙𝑠
• 𝒆−
𝒅𝒐𝒏𝒐𝒓 ⟹ 𝑊𝑎𝑡𝑒𝑟
• 𝒆− 𝒂𝒄𝒄𝒆𝒑𝒕𝒐𝒓 ⟹ 𝑃𝑖𝑔𝑚𝑒𝑛𝑡𝑠, 𝑞𝑢𝑖𝑛𝑜𝑛𝑒
𝐴𝑐𝑐𝑒𝑠𝑠𝑜𝑟𝑦
𝑃𝑖𝑔𝑚𝑒𝑛𝑡𝑠
𝑺𝒕𝒆𝒑 𝟏: 𝑳𝒊𝒈𝒉𝒕
𝒂𝒃𝒔𝒐𝒓𝒑𝒕𝒊𝒐𝒏
𝑺𝒕𝒆𝒑 𝟐: 𝑬𝒏𝒆𝒓𝒈𝒚 𝒕𝒓𝒂𝒏𝒔𝒇𝒆𝒓
𝑺𝒕𝒆𝒑 𝟑:
𝑬𝒙𝒄𝒊𝒕𝒂𝒕𝒊𝒐𝒏
𝒐𝒇 𝑪𝒉𝒍. 𝒂
𝑯𝟐𝑶
𝑺𝒕𝒆𝒑 𝟒:
𝑷𝒉𝒐𝒕𝒐𝒍𝒚𝒔𝒊𝒔
𝒐𝒇 𝒘𝒂𝒕𝒆𝒓
𝑶𝟐
+
-
-
𝑺𝒕𝒆𝒑 𝟓: 𝑭𝒐𝒓𝒎. 𝒐𝒇
𝒂𝒔𝒔𝒊𝒎𝒊𝒍𝒊𝒕𝒂𝒓𝒚
𝒑𝒐𝒘𝒆𝒓
𝑨𝑫𝑷 + 𝑷𝒊 ⟶ 𝑨𝑻𝑷
𝑵𝑨𝑫𝑷+ ⟶ 𝑵𝑨𝑫𝑷𝑯
• 𝑃ℎ𝑜𝑡𝑜𝑙𝑦𝑠𝑖𝑠 𝑜𝑓 𝑤𝑎𝑡𝑒𝑟 & 𝑂2 𝑒𝑣𝑜𝑙𝑢𝑡𝑖𝑜𝑛 𝑑𝑜𝑒𝑠 𝑛𝑜𝑡 𝑡𝑎𝑘𝑒
𝑝𝑙𝑎𝑐𝑒.
• 𝑁𝐴𝐷𝑃𝐻 𝑖𝑠 𝑛𝑜𝑡 𝑓𝑜𝑟𝑚𝑒𝑑.
• 𝑂𝑛𝑙𝑦 𝑃𝑆 − 𝐼 𝑖𝑠 𝑖𝑛𝑣𝑜𝑙𝑣𝑒𝑑.
• 𝐴𝑇𝑃 𝑖𝑠 𝑝𝑟𝑜𝑑𝑢𝑐𝑒𝑑 𝑎𝑡 2 𝑠𝑖𝑡𝑒𝑠.
• 𝐸𝑙𝑒𝑐𝑡𝑟𝑜𝑛𝑠 𝑟𝑒𝑡𝑢𝑟𝑛 𝑏𝑎𝑐𝑘 𝑡𝑜 𝑃𝑆 − 𝐼.
𝑪𝒀𝑪𝑳𝑰𝑪
𝑷𝒉𝒐𝒕𝒐𝒏
𝐹𝑒𝑟𝑟𝑖𝑑𝑜𝑥𝑖𝑛
𝑅𝑒𝑑𝑢𝑐𝑖𝑛𝑔
𝑆𝑢𝑏𝑠𝑡𝑎𝑛𝑐𝑒
𝑷𝒉𝒐𝒕𝒐𝒏𝒔
↖↖↖
𝑭𝒆𝒓𝒓𝒊𝒅𝒐𝒙𝒊𝒏
𝑷𝒍𝒂𝒔𝒕𝒐𝒄𝒚𝒂𝒏𝒊𝒏
𝟐𝒆−
𝟐𝒆−
𝟐𝒆−
𝟐𝒆−
𝟐𝒆−
𝟐𝒆−
𝑨𝑫𝑷
𝑷𝒊
𝑨𝑫𝑷
𝑷𝒊
𝑷𝑺 − 𝑰
(𝑷𝟕𝟎𝟎)
• 𝑃ℎ𝑜𝑡𝑜𝑙𝑦𝑠𝑖𝑠 𝑜𝑓 𝑤𝑎𝑡𝑒𝑟 & 𝑂2 𝑒𝑣𝑜𝑙𝑢𝑡𝑖𝑜𝑛 𝑡𝑎𝑘𝑒𝑠 𝑝𝑙𝑎𝑐𝑒.
• 𝑁𝐴𝐷𝑃𝐻 𝑓𝑜𝑟𝑚𝑎𝑡𝑖𝑜𝑛 𝑡𝑎𝑘𝑒𝑠 𝑝𝑙𝑎𝑐𝑒.
• 𝐵𝑜𝑡ℎ 𝑃𝑆 − 𝐼 & 𝑃𝑆 − 𝐼𝐼 𝑎𝑟𝑒 𝑖𝑛𝑣𝑜𝑙𝑣𝑒𝑑.
• 𝐼𝑡 𝑖𝑠 𝑎𝑙𝑠𝑜 𝑐𝑎𝑙𝑙𝑒𝑑 𝒁 − 𝒔𝒄𝒉𝒆𝒎𝒆 𝑑𝑢𝑒 𝑡𝑜 𝑖𝑡𝑠 𝑧𝑖𝑔 − 𝑧𝑎𝑔 𝑟𝑜𝑢𝑡𝑒
𝑜𝑓 𝑒𝑙𝑒𝑐𝑡𝑟𝑜𝑛𝑠.
• 𝐸𝑙𝑒𝑐𝑡𝑟𝑜𝑛𝑠 𝑑𝑜 𝑛𝑜𝑡 𝑟𝑒𝑡𝑢𝑟𝑛 𝑡𝑜 𝑃𝑆 − 𝐼 𝑜𝑟 𝑃𝑆 − 𝐼𝐼.
𝑷𝒉𝒐𝒕𝒐𝒏𝒔
↖↖
𝑭𝒆𝒓𝒓𝒊𝒅𝒐𝒙𝒊𝒏
𝑷𝒍𝒂𝒔𝒕𝒐𝒒𝒖𝒊𝒏𝒐𝒏𝒆
𝟒𝒆−
𝑵𝑨𝑫𝑷+
𝑨𝑫𝑷
𝑷𝒊
𝑷𝑺 − 𝑰𝑰
(𝑷𝟔𝟖𝟎)
𝑷𝑺 − 𝑰
(𝑷𝟕𝟎𝟎)
↗↗
𝟒𝒆−
𝟒𝒆−
𝟒𝒆−
𝟒𝒆−
𝟒𝒆−
𝟒𝒆−
𝑯𝟐𝑶
𝟒 ×
𝟒𝑯+
𝟐𝑯𝟐𝑶
𝟒𝒆−
𝟒𝒆−
𝟑 𝑷𝒉𝒂𝒔𝒆𝒔
𝑭𝒊𝒙𝒂𝒕𝒊𝒐𝒏
𝒐𝒇 𝑪𝑶𝟐
𝑪𝒐𝒏𝒗𝒆𝒓𝒔𝒊𝒐𝒏 𝒐𝒇
𝑷𝑮𝑨 𝒕𝒐 𝑷𝑮𝑨𝑳
𝑹𝒆𝒈𝒆𝒏𝒆𝒓𝒂𝒕𝒊𝒐𝒏
𝒐𝒇 𝑹𝒖𝑩𝑷
𝐶 = 𝑂
𝐻𝐶 − 𝑂𝐻
𝐻𝐶 − 𝑂𝐻
𝐻2𝐶 − 𝑶𝑷𝑶𝟑
𝟐−
𝟏
𝟐
𝟑
𝟒
𝟓
𝐻2𝐶 − 𝑶𝑷𝑶𝟑
𝟐−
𝑹𝒊𝒃𝒖𝒍𝒐𝒔𝒆 𝟏, 𝟓 −
𝒃𝒊𝒔𝒑𝒉𝒐𝒔𝒑𝒉𝒂𝒕𝒆
(𝑹𝒖𝑩𝑷)
6 ×
𝑹𝒖𝑩𝒊𝒔𝑪𝑶
𝐻𝐶 − 𝑂𝐻
𝐶𝑂𝑂𝐻
𝐻2𝐶 − 𝑶𝑷𝑶𝟑
𝟐−
𝟏
𝟐
𝟑
12 ×
𝟑 − 𝑷𝒉𝒐𝒔𝒑𝒉𝒐 −
𝒈𝒍𝒚𝒄𝒆𝒓𝒊𝒄 𝒂𝒄𝒊𝒅
(𝟑 − 𝑷𝑮𝑨)
[𝟔 × 𝟓 𝑪 = 𝟑𝟎 𝑪] [𝟏𝟐 × 𝟑 𝑪 = 𝟑𝟔 𝑪]
+ 𝟔 𝑪𝑶𝟐
+ 𝟔 𝑯𝟐𝑶
𝑅𝑖𝑏𝑢𝑙𝑜𝑠𝑒
𝐵𝑖𝑠𝑝ℎ𝑜𝑠𝑝ℎ𝑎𝑡𝑒
𝐶𝑎𝑟𝑏𝑜𝑥𝑦𝑙𝑎𝑠𝑒
𝑂𝑥𝑖𝑑𝑎𝑠𝑒
𝐻 − 𝐶 − 𝑂𝐻
𝑂 = 𝐶 − 𝑂𝐻
𝐻2𝐶 − 𝑶𝑷𝑶𝟑
𝟐−
𝟏
𝟐
𝟑
𝐻 − 𝐶 − 𝑂𝐻
𝑂 = 𝐶 − 𝑶𝑷𝑶𝟑
𝟐−
𝐻2𝐶 − 𝑶𝑷𝑶𝟑
𝟐−
𝟏
𝟐
𝟑
𝐻 − 𝐶 − 𝑂𝐻
𝑂 = 𝐶 − 𝐻
𝐻2𝐶 − 𝑶𝑷𝑶𝟑
𝟐−
𝟏
𝟐
𝟑
𝟑 − 𝑷𝒉𝒐𝒔𝒑𝒉𝒐 −
𝒈𝒍𝒚𝒄𝒆𝒓𝒊𝒄 𝒂𝒄𝒊𝒅
(𝟑 − 𝑷𝑮𝑨)
𝟑 − 𝑷𝒉𝒐𝒔𝒑𝒉𝒐 −
𝒈𝒍𝒚𝒄𝒆𝒓𝒂𝒍𝒅𝒆𝒉𝒚𝒅𝒆
(𝟑 − 𝑷𝑮𝑨𝑳)
𝟏, 𝟑 − 𝑫𝒊𝒑𝒉𝒐𝒔𝒑𝒉𝒐𝒈𝒍𝒚𝒄𝒆𝒓𝒊𝒄 𝒂𝒄𝒊𝒅
𝑨𝑻𝑷 𝑨𝑫𝑷
𝑵𝑨𝑫𝑷+
𝑵𝑨𝑫𝑷𝑯 + 𝑯+
𝑷𝒊
𝟏𝟐 𝒎𝒐𝒍.
𝒆𝒂𝒄𝒉
𝑇ℎ𝑒 12 𝑃𝐺𝐴𝐿 𝑚𝑜𝑙𝑒𝑐𝑢𝑙𝑒𝑠 𝑐𝑎𝑛 𝑏𝑒 𝑢𝑡𝑖𝑙𝑖𝑠𝑒𝑑 𝑖𝑛 4 𝑤𝑎𝑦𝑠:
5 × [𝑷𝑮𝑨𝑳] 5 × [𝑫𝑯𝑨𝑷]
𝑇𝑟𝑖𝑜𝑠𝑒
𝑃ℎ𝑜𝑠𝑝ℎ𝑎𝑡𝑒
𝐼𝑠𝑜𝑚𝑒𝑟𝑎𝑠𝑒 ②
③
[𝟓 × 𝟑 𝑪 = 𝟏𝟓 𝑪] [𝟓 × 𝟑 𝑪 = 𝟏𝟓 𝑪]
[𝟓 × 𝑷] [𝟓 × 𝑷]
3 [𝑷𝑮𝑨𝑳] 3 [𝑫𝑯𝑨𝑷]
[𝟑 × 𝟑 𝑪 = 𝟗 𝑪] [𝟑 × 𝟑 𝑪 = 𝟗 𝑪]
+
[𝟑 × 𝑷] [𝟑 × 𝑷]
𝐴𝑙𝑑𝑜𝑙𝑎𝑠𝑒
3
𝑭𝒓𝒖𝒄𝒕𝒐𝒔𝒆
𝟏, 𝟔 − 𝒅𝒊𝒑𝒉𝒐𝒔.
[𝟑 × 𝟔 𝑪 = 𝟏𝟖 𝑪]
[𝟑 × 𝟐 𝑷]
𝑺𝒕𝒆𝒑 𝟏:
𝑺𝒕𝒆𝒑 𝟐:
3
𝑭𝒓𝒖𝒄𝒕𝒐𝒔𝒆
𝟏, 𝟔 − 𝒅𝒊𝒑𝒉𝒐𝒔.
3
𝑭𝒓𝒖𝒄𝒕𝒐𝒔𝒆 𝟔 −
𝒑𝒉𝒐𝒔𝒑𝒉𝒂𝒕𝒆
𝑃ℎ𝑜𝑠𝑝ℎ𝑎𝑡𝑎𝑠𝑒
𝟑 𝑷𝒊
① ②
𝑺𝒕𝒆𝒑 𝟑:
𝑺𝒕𝒆𝒑 𝟒:
𝑭𝒓𝒖𝒄𝒕𝒐𝒔𝒆
𝟔 − 𝒑𝒉𝒐𝒔𝒑𝒉𝒂𝒕𝒆
𝑮𝒍𝒖𝒄𝒐𝒔𝒆
𝟔 − 𝒑𝒉𝒐𝒔𝒑𝒉𝒂𝒕𝒆
𝑮𝑳𝑼𝑪𝑶𝑺𝑬
𝐼𝑠𝑜𝑚𝑒𝑟𝑎𝑠𝑒
𝑷𝒊
[𝟔 𝑪] [𝟔 𝑪]
[𝟔 𝑪]
2 [𝑷𝑮𝑨𝑳] 2 [𝑭𝒓𝒖𝒄𝒕𝒐𝒔𝒆 𝟔 − 𝒑𝒉𝒐𝒔𝒑𝒉𝒂𝒕𝒆]
+
[𝟐 × 𝟑 𝑪] [𝟐 × 𝟔 𝑪]
𝑇𝑟𝑎𝑛𝑠 − 𝑘𝑒𝑡𝑜𝑙𝑎𝑠𝑒
2
𝑿𝒚𝒍𝒖𝒍𝒐𝒔𝒆
𝟓 − 𝒑𝒉𝒐𝒔𝒑𝒉𝒂𝒕𝒆
2
𝑬𝒓𝒚𝒕𝒉𝒓𝒐𝒔𝒆
𝟒 − 𝒑𝒉𝒐𝒔𝒑𝒉𝒂𝒕𝒆
+
[𝟐 × 𝟓 𝑪] [𝟐 × 𝟒 𝑪]
𝑺𝒕𝒆𝒑 𝟓:
𝑺𝒕𝒆𝒑 𝟑
+
[𝟐 × 𝟒 𝑪] [𝟐 × 𝟑 𝑪]
𝑇𝑟𝑎𝑛𝑠 − 𝑎𝑙𝑑𝑜𝑙𝑎𝑠𝑒
2
𝑺𝒆𝒅𝒐𝒉𝒆𝒑𝒕𝒖𝒍𝒐𝒔𝒆
𝟏, 𝟕 − 𝒅𝒊𝒑𝒉𝒐𝒔𝒑𝒉𝒂𝒕𝒆
2
𝑬𝒓𝒚𝒕𝒉𝒓𝒐𝒔𝒆
𝟒 − 𝒑𝒉𝒐𝒔𝒑𝒉𝒂𝒕𝒆
[𝟐 × 𝟕 𝑪]
𝑺𝒕𝒆𝒑 𝟔: 𝑺𝒕𝒆𝒑 𝟏
2 [𝑫𝑯𝑨𝑷]
[𝟐 × 𝑷] [𝟐 × 𝑷]
[𝟐 × 𝟐 𝑷]
2
𝑺𝒆𝒅𝒐𝒉𝒆𝒑𝒕𝒖𝒍𝒐𝒔𝒆
𝟕 − 𝒑𝒉𝒐𝒔𝒑𝒉𝒂𝒕𝒆
𝑃ℎ𝑜𝑠𝑝ℎ𝑎𝑡𝑎𝑠𝑒
[𝟐 × 𝟕 𝑪]
[𝟐 × 𝑷]
𝑺𝒕𝒆𝒑 𝟕:
𝟐 𝑷𝒊
2 [𝑷𝑮𝑨𝑳] 2 [𝑺𝒆𝒅𝒐𝒉𝒆𝒑𝒕𝒖𝒍𝒐𝒔𝒆 𝟕 − 𝒑𝒉𝒐𝒔𝒑𝒉𝒂𝒕𝒆]
+
[𝟐 × 𝟑 𝑪] [𝟐 × 𝟕 𝑪]
𝑇𝑟𝑎𝑛𝑠 − 𝑘𝑒𝑡𝑜𝑙𝑎𝑠𝑒
2
𝑿𝒚𝒍𝒖𝒍𝒐𝒔𝒆
𝟓 − 𝒑𝒉𝒐𝒔𝒑𝒉𝒂𝒕𝒆
2
𝑹𝒊𝒃𝒐𝒔𝒆
𝟓 − 𝒑𝒉𝒐𝒔𝒑𝒉𝒂𝒕𝒆
+
[𝟐 × 𝟓 𝑪] [𝟐 × 𝟓 𝑪]
𝑺𝒕𝒆𝒑 𝟖:
𝑺𝒕𝒆𝒑 𝟗:
2 𝑿𝒚𝒍𝒖. 𝟓 − 𝑷
[𝟒 × 𝟓 𝑪]
2 𝑿𝒚𝒍𝒖. 𝟓 − 𝑷
𝑺𝒕𝒆𝒑 𝟓 𝑺𝒕𝒆𝒑 𝟖
4
𝑿𝒚𝒍𝒖𝒍𝒐𝒔𝒆
𝟓 − 𝒑𝒉𝒐𝒔𝒑𝒉𝒂𝒕𝒆
4
𝑹𝒊𝒃𝒖𝒍𝒐𝒔𝒆
𝟓 − 𝒑𝒉𝒐𝒔𝒑𝒉𝒂𝒕𝒆
𝐸𝑝𝑖𝑚𝑒𝑟𝑎𝑠𝑒
[𝟒 × 𝟓 𝑪]
𝑺𝒕𝒆𝒑 𝟏𝟎:
2
𝑹𝒊𝒃𝒐𝒔𝒆
𝟓 − 𝒑𝒉𝒐𝒔𝒑𝒉𝒂𝒕𝒆
[𝟐 × 𝟓 𝑪]
𝐼𝑠𝑜𝑚𝑒𝑟𝑎𝑠𝑒
2
𝑹𝒊𝒃𝒖𝒍𝒐𝒔𝒆
𝟓 − 𝒑𝒉𝒐𝒔𝒑𝒉𝒂𝒕𝒆
[𝟐 × 𝟓 𝑪]
𝑺𝒕𝒆𝒑 𝟖
𝑺𝒕𝒆𝒑 𝟏𝟏:
6
𝑹𝒊𝒃𝒖𝒍𝒐𝒔𝒆
𝟓 − 𝒑𝒉𝒐𝒔𝒑𝒉𝒂𝒕𝒆
[𝟔 × 𝟓 𝑪]
[𝟔 × 𝑷]
6
𝑹𝒊𝒃𝒖𝒍𝒐𝒔𝒆
𝟏, 𝟓 − 𝒃𝒊𝒔𝒑𝒉𝒐𝒔𝒑𝒉𝒂𝒕𝒆
[𝟔 × 𝟓 𝑪]
[𝟔 × 𝟐 𝑷]
𝑃ℎ𝑜𝑠𝑝ℎ𝑜𝑟𝑖𝑏𝑢𝑙𝑜𝑠𝑒
𝑘𝑖𝑛𝑎𝑠𝑒
𝟔 𝑨𝑫𝑷
𝟔 𝑨𝑻𝑷
𝟔 𝑹𝒖𝑩𝑷 + 6 𝐶𝑂2 + 6 𝐻2𝑂
𝟏𝟐 𝑷𝑮𝑨 + 12 𝐴𝑇𝑃 + 12 𝑁𝐴𝐷𝑃𝐻 + 12 𝐻+
𝟏𝟐 [𝑷𝑮𝑨]
𝟏𝟐 𝑷𝑮𝑨𝑳 + 12 𝐴𝐷𝑃 + 12 𝑃𝑖 + 12 𝑁𝐴𝐷𝑃+
𝟏𝟐 𝑷𝑮𝑨𝑳 + 6 𝐴𝑇𝑃
𝑯𝑬𝑿𝑶𝑺𝑬 (𝑭𝒓𝒖𝒄. 𝟔 − 𝑷) + 𝟔 𝑹𝒖𝑩𝑷 + 6 𝐴𝐷𝑃 + 6 𝑃𝑖
𝐶𝑜𝑚𝑏𝑖𝑛𝑖𝑛𝑔 𝑎𝑙𝑙 3 𝑟𝑒𝑎𝑐𝑡𝑖𝑜𝑛𝑠:
𝟔 𝑪𝑶𝟐 + 𝟔 𝑯𝟐𝑶 + 18 𝐴𝑇𝑃 + 12 [𝑁𝐴𝐷𝑃𝐻 + 𝐻+]
𝑯𝑬𝑿𝑶𝑺𝑬 + 18 [𝐴𝐷𝑃 + 𝑃𝑖] + 12 [𝑁𝐴𝐷𝑃+]
𝟑 − 𝑷𝑮𝑨𝑳 (𝟏𝟐)
𝟐 𝟐 𝟓 𝟑
𝑫𝑯𝑨𝑷
𝟐 𝟑
𝑭𝒓𝒖𝒄. 𝟏, 𝟔
−𝒅𝒊𝒑𝒉𝒐𝒔.
𝑭𝒓𝒖𝒄. 𝟔 − 𝑷
(𝟑)
(𝟑)
𝑯𝑬𝑿𝑶𝑺𝑬
𝟏
𝟐
𝑿𝒚𝒍. 𝟓 − 𝑷
𝑬𝒓𝒚. 𝟒 − 𝑷
(𝟐)
𝑺𝒆𝒅. 𝟏, 𝟕 − 𝒅𝒊𝒑.
(𝟐)
𝑺𝒆𝒅. 𝟕 − 𝑷
(𝟐)
𝑹𝒊𝒃. 𝟓 − 𝑷
(𝟐) (𝟒)
𝑹𝒊𝒃𝒖. 𝟓 − 𝑷
(𝟔)
𝑹𝒖𝑩𝑷
𝟑 − 𝑷𝑮𝑨
(𝟔)
𝟏, 𝟑 − 𝒅𝒊𝑷𝑮𝑨
(𝟏𝟐) (𝟏𝟐)
⟵ 𝟔 𝑪𝑶𝟐
⟶ 𝟑𝑷𝒊
⟶ 𝟐𝑷𝒊
⟶ 𝟔 𝑨𝑫𝑷
⟵ 𝟔 𝑨𝑻𝑷
𝟏𝟐 𝑨𝑻𝑷 𝟏𝟐 𝑨𝑫𝑷
↓ ↑
𝟏𝟐 [𝑵𝑨𝑫𝑷𝑯 + 𝑯+] 𝟏𝟐 𝑵𝑨𝑫𝑷+
↓ ↑
𝟏𝟐 𝑷𝒊 ↘
𝑨𝒏𝒂𝒕𝒐𝒎𝒚 𝒐𝒇 𝑪𝟒 𝒍𝒆𝒂𝒗𝒆𝒔
2 𝑡𝑦𝑝𝑒𝑠 𝑜𝑓 𝑐𝑒𝑙𝑙𝑠/𝑐ℎ𝑙𝑜𝑟𝑜𝑝𝑙𝑎𝑠𝑡𝑠
𝑴𝒆𝒔𝒐𝒑𝒉𝒚𝒍𝒍 𝑪𝒆𝒍𝒍𝒔 𝑩𝒖𝒏𝒅𝒍𝒆 𝑺𝒉𝒆𝒂𝒕𝒉 𝑪𝒆𝒍𝒍𝒔
• 𝑆𝑚𝑎𝑙𝑙 𝑐𝑒𝑙𝑙𝑠
• 𝐿𝑎𝑟𝑔𝑒 𝑛𝑜. 𝑜𝑓 𝑛𝑜𝑟𝑚𝑎𝑙
𝑠𝑖𝑧𝑒 𝑐ℎ𝑙𝑜𝑟𝑜𝑝𝑙𝑎𝑠𝑡𝑠
• 𝐺𝑟𝑎𝑛𝑎 𝑝𝑟𝑒𝑠𝑒𝑛𝑡
• 𝑅𝑢𝐵𝑖𝑠𝐶𝑂 𝑎𝑏𝑠𝑒𝑛𝑡
• 𝑂𝑛𝑙𝑦 𝐿𝑖𝑔ℎ𝑡 𝑅𝑒𝑎𝑐𝑛
𝑜𝑐𝑐𝑢𝑟𝑠
• 𝐿𝑎𝑟𝑔𝑒 𝑐𝑒𝑙𝑙𝑠
• 𝑂𝑛𝑙𝑦 𝑓𝑒𝑤 𝑙𝑎𝑟𝑔𝑒 𝑠𝑖𝑧𝑒
𝑐ℎ𝑙𝑜𝑟𝑜𝑝𝑙𝑎𝑠𝑡𝑠
• 𝐺𝑟𝑎𝑛𝑎 𝑎𝑏𝑠𝑒𝑛𝑡
• 𝑅𝑢𝐵𝑖𝑠𝐶𝑂 𝑝𝑟𝑒𝑠𝑒𝑛𝑡
• 𝑂𝑛𝑙𝑦 𝐷𝑎𝑟𝑘 𝑅𝑒𝑎𝑐𝑛
𝑜𝑐𝑐𝑢𝑟𝑠
𝐶𝑂2
𝒊 𝑪𝒂𝒓𝒃𝒐𝒙𝒚𝒍𝒂𝒕𝒊𝒐𝒏 ∶
𝐻2𝐶𝑂3
𝐶𝑎𝑟𝑏𝑜𝑛𝑖𝑐 𝑎𝑛ℎ𝑦𝑑𝑟𝑎𝑠𝑒
−𝐶 − 𝐶𝑂𝑂𝐻
𝐻2𝐶
=
𝑂𝑃𝑂3
2− 𝑂 = 𝐶 − 𝐶𝑂𝑂𝐻
𝐻2𝐶 − 𝐶𝑂𝑂𝐻
−
+ 𝐻2𝑂
𝑪𝒂𝒓𝒃𝒐𝒏 𝒅𝒊𝒐𝒙𝒊𝒅𝒆 𝑪𝒂𝒓𝒃𝒐𝒏𝒊𝒄 𝒂𝒄𝒊𝒅
𝑷𝒉𝒐𝒔𝒑𝒉𝒐𝒆𝒏𝒐𝒍
𝒑𝒚𝒓𝒖𝒗𝒂𝒕𝒆
𝑶𝒙𝒂𝒍𝒐𝒂𝒄𝒆𝒕𝒊𝒄
𝒂𝒄𝒊𝒅
𝑷𝑬𝑷 𝑪𝒂𝒓𝒃𝒐𝒙𝒚𝒍𝒂𝒔𝒆
𝑷𝒊
𝑯𝟐𝑪𝑶𝟑
𝒊𝒊 𝑹𝒆𝒅𝒖𝒄𝒕𝒊𝒐𝒏 ∶
𝑂 = 𝐶 − 𝐶𝑂𝑂𝐻
𝐻2𝐶 − 𝐶𝑂𝑂𝐻
−
𝑶𝒙𝒂𝒍𝒐𝒂𝒄𝒆𝒕𝒊𝒄
𝒂𝒄𝒊𝒅
𝐻𝑂 − 𝐶𝐻 − 𝐶𝑂𝑂𝐻
𝐻2𝐶 − 𝐶𝑂𝑂𝐻
−
𝑴𝒂𝒍𝒊𝒄 𝒂𝒄𝒊𝒅
𝑀𝑎𝑙𝑖𝑐
𝐷𝑒ℎ𝑦𝑑𝑟𝑜𝑔𝑒𝑛𝑎𝑠𝑒
𝑵𝑨𝑫𝑷+
𝑵𝑨𝑫𝑷𝑯
+ 𝑯+
𝑇ℎ𝑒 𝑚𝑎𝑙𝑖𝑐 𝑎𝑐𝑖𝑑 𝑓𝑜𝑟𝑚𝑒𝑑 ℎ𝑒𝑟𝑒 𝑖𝑠 𝑠𝑒𝑛𝑡 𝑡𝑜 𝑡ℎ𝑒 𝑏𝑢𝑛𝑑𝑙𝑒
𝑠ℎ𝑒𝑎𝑡ℎ 𝑐𝑒𝑙𝑙𝑠.
𝑂 = 𝐶 − 𝐶𝑂𝑂𝐻
𝐻3𝐶
−
𝐻𝑂 − 𝐶𝐻 − 𝐶𝑂𝑂𝐻
𝐻2𝐶 − 𝐶𝑂𝑂𝐻
−
𝑴𝒂𝒍𝒊𝒄 𝒂𝒄𝒊𝒅
𝒊𝒊𝒊 𝑫𝒆𝒄𝒂𝒓𝒃𝒐𝒙𝒚𝒍𝒂𝒕𝒊𝒐𝒏 ∶
𝑀𝑎𝑙𝑖𝑐 𝑒𝑛𝑧𝑦𝑚𝑒
𝑵𝑨𝑫𝑷+ 𝑵𝑨𝑫𝑷𝑯
+ 𝑯+ 𝑷𝒚𝒓𝒖𝒗𝒂𝒕𝒆
+ 𝑪𝑶𝟐
𝑪𝒂𝒍𝒗𝒊𝒏
𝑪𝒚𝒄𝒍𝒆
𝒊𝒗 𝑹𝒆𝒈𝒆𝒏𝒆𝒓𝒂𝒕𝒊𝒐𝒏 𝒐𝒇 𝑷𝑬𝑷:
𝑂 = 𝐶 − 𝐶𝑂𝑂𝐻
𝐻3𝐶
−
𝑷𝒚𝒓𝒖𝒗𝒂𝒕𝒆
𝑇ℎ𝑒 𝑝𝑦𝑟𝑢𝑣𝑎𝑡𝑒 𝑖𝑠 𝑠𝑒𝑛𝑡 𝑏𝑎𝑐𝑘 𝑡𝑜 𝑚𝑒𝑠𝑜𝑝ℎ𝑦𝑙𝑙 𝑐𝑒𝑙𝑙𝑠 𝑓𝑜𝑟
𝑐𝑜𝑛𝑣𝑒𝑟𝑠𝑖𝑜𝑛 𝑖𝑛𝑡𝑜 𝑝ℎ𝑜𝑠𝑝ℎ𝑜𝑒𝑛𝑜𝑙 𝑝𝑦𝑟𝑢𝑣𝑎𝑡𝑒.
−𝐶 − 𝐶𝑂𝑂𝐻
𝐻2𝐶
=
𝑂𝑃𝑂3
2−
𝑷𝒉𝒐𝒔𝒑𝒉𝒐𝒆𝒏𝒐𝒍
𝒑𝒚𝒓𝒖𝒗𝒂𝒕𝒆
𝑃𝑦𝑟𝑢𝑣𝑎𝑡𝑒
𝑑𝑖𝑘𝑖𝑛𝑎𝑠𝑒
𝑨𝑫𝑷
𝑨𝑻𝑷
𝑃ℎ𝑜𝑠𝑝ℎ𝑜𝑒𝑛𝑜𝑙𝑝𝑦𝑟𝑢𝑣𝑎𝑡𝑒 𝑐𝑎𝑛 𝑛𝑜𝑤 𝑡𝑎𝑘𝑒 𝑝𝑎𝑟𝑡 𝑖𝑛 𝑡ℎ𝑒
𝑐𝑦𝑐𝑙𝑒 𝑎𝑔𝑎𝑖𝑛.
𝑴𝒆𝒔𝒐𝒑𝒉𝒚𝒍𝒍
𝑪𝒆𝒍𝒍
𝑩𝒖𝒏𝒅𝒍𝒆
𝑺𝒉𝒆𝒂𝒕𝒉 𝑪𝒆𝒍𝒍
𝑷𝒚𝒓𝒖𝒗𝒂𝒕𝒆
𝑷𝑬𝑷
𝑴𝒂𝒍𝒂𝒕𝒆
𝑶𝒙𝒂𝒍𝒐𝒂𝒄𝒆𝒕𝒂𝒕𝒆
𝑨𝑫𝑷 ⟵
𝑨𝑻𝑷 ⟶
⟵ 𝑵𝑨𝑫𝑷𝑯 + 𝑯+
⟶ 𝑵𝑨𝑫𝑷+
⟶ 𝑷𝒊
𝑪𝑶𝟐
+
𝑯𝟐𝑶
𝑯𝟐𝑪𝑶𝟑
𝑷𝒚𝒓𝒖𝒗𝒂𝒕𝒆 𝑴𝒂𝒍𝒂𝒕𝒆
⟵ 𝑵𝑨𝑫𝑷+
⟶ 𝑵𝑨𝑫𝑷𝑯 + 𝑯+
𝑪𝑶𝟐
𝑪𝒉𝒍𝒐𝒓𝒐𝒑𝒍𝒂𝒔𝒕
𝑪𝒉𝒍𝒐𝒓𝒐𝒑𝒍𝒂𝒔𝒕
𝑪𝒂𝒍𝒗𝒊𝒏
𝑪𝒚𝒄𝒍𝒆
𝑮𝒍𝒖𝒄𝒐𝒔𝒆
𝐴𝑡 𝑛𝑖𝑔ℎ𝑡, 𝑡ℎ𝑒 𝑠𝑡𝑜𝑚𝑎𝑡𝑎 𝑜𝑓 𝑝𝑙𝑎𝑛𝑡 𝑜𝑝𝑒𝑛 𝑎𝑙𝑙𝑜𝑤𝑖𝑛𝑔 𝐶𝑂2 𝑡𝑜
𝑑𝑖𝑓𝑓𝑢𝑠𝑒 𝑖𝑛𝑡𝑜 𝑡ℎ𝑒 𝑚𝑒𝑠𝑜𝑝ℎ𝑦𝑙𝑙 𝑐𝑒𝑙𝑙𝑠.
𝑪𝑶𝟐 𝑯𝑪𝑶𝟑
−
+ 𝑶𝑯 −
[𝑩𝒊𝒄𝒂𝒓𝒃𝒐𝒏𝒂𝒕𝒆]
𝑷𝑬𝑷
𝑷𝒉𝒐𝒔𝒑𝒉𝒐𝒆𝒏𝒐𝒍
𝒑𝒚𝒓𝒖𝒗𝒂𝒕𝒆
𝑯𝑪𝑶𝟑
−
𝑯𝟑𝑷𝑶𝟒
𝑶𝑨𝑨
𝑶𝒙𝒂𝒍𝒐𝒂𝒄𝒆𝒕𝒂𝒕𝒆
𝑶𝑨𝑨 𝑴𝒂𝒍𝒂𝒕𝒆
𝑀𝑎𝑙𝑎𝑡𝑒 𝐷𝑒ℎ𝑦𝑑𝑟𝑜𝑔𝑒𝑛𝑎𝑠𝑒
𝑵𝑨𝑫𝑷+
𝑵𝑨𝑫𝑷𝑯 + 𝑯+
𝑃𝐸𝑃 𝐶𝑎𝑟𝑏𝑜𝑥𝑦𝑙𝑎𝑠𝑒
𝑇ℎ𝑒 𝑚𝑎𝑙𝑎𝑡𝑒 𝑝𝑟𝑜𝑑𝑢𝑐𝑒𝑑 𝑖𝑠 𝑠𝑡𝑜𝑟𝑒𝑑 𝑖𝑛 𝑡ℎ𝑒 𝑣𝑎𝑐𝑢𝑜𝑙𝑒𝑠 𝑜𝑓 𝑝𝑙𝑎𝑛𝑡
𝑐𝑒𝑙𝑙𝑠. 𝑇ℎ𝑒 𝑎𝑐𝑐𝑢𝑚𝑢𝑙𝑎𝑡𝑖𝑜𝑛 𝑜𝑓 𝑜𝑟𝑔𝑎𝑛𝑖𝑐 𝑎𝑐𝑖𝑑𝑠 𝑐𝑎𝑢𝑠𝑒𝑠 𝑡ℎ𝑒
𝑎𝑐𝑖𝑑𝑖𝑓𝑖𝑐𝑎𝑡𝑖𝑜𝑛 𝑜𝑓 𝑐𝑒𝑙𝑙𝑠.
𝑴𝒂𝒍𝒂𝒕𝒆 𝑷𝒚𝒓𝒖𝒗𝒂𝒕𝒆 + 𝑪𝑶𝟐
𝑀𝑎𝑙𝑎𝑡𝑒 𝑒𝑛𝑧𝑦𝑚𝑒
𝑵𝑨𝑫𝑷+ 𝑵𝑨𝑫𝑷𝑯
+ 𝑯+
𝑪𝒂𝒍𝒗𝒊𝒏
𝑪𝒚𝒄𝒍𝒆
𝐷𝑢𝑟𝑖𝑛𝑔 𝑑𝑎𝑦𝑡𝑖𝑚𝑒, 𝑡ℎ𝑒 𝑠𝑡𝑜𝑚𝑎𝑡𝑎 𝑜𝑓 𝑝𝑙𝑎𝑛𝑡 𝑐𝑙𝑜𝑠𝑒 & 𝑝𝑟𝑒𝑣𝑒𝑛𝑡
𝑒𝑥𝑐𝑒𝑠𝑠𝑖𝑣𝑒 𝑤𝑎𝑡𝑒𝑟 𝑙𝑜𝑠𝑠. 𝑇ℎ𝑒 𝐶𝑂2 𝑙𝑖𝑏𝑒𝑟𝑎𝑡𝑒𝑑 𝑒𝑛𝑡𝑒𝑟𝑠 𝐶3 𝐶𝑦𝑐𝑙𝑒
𝑓𝑜𝑟 𝑐𝑎𝑟𝑏𝑜𝑛 − 𝑓𝑖𝑥𝑎𝑡𝑖𝑜𝑛 𝑢𝑠𝑖𝑛𝑔 𝑡ℎ𝑒 𝑒𝑛𝑒𝑟𝑔𝑦 𝑜𝑏𝑡𝑎𝑖𝑛𝑒𝑑 𝑓𝑟𝑜𝑚
𝐿𝑖𝑔ℎ𝑡 𝑟𝑒𝑎𝑐𝑡𝑖𝑜𝑛.
Photosynthesis

Photosynthesis

  • 1.
    𝟔𝑪𝑶𝟐 + 𝟏𝟐𝑯𝟐𝑶𝑪𝟔𝑯𝟏𝟐𝑶𝟔 + 𝟔𝑯𝟐𝑶 + 𝟔𝑶𝟐 ↑ 𝑆𝑢𝑛𝑙𝑖𝑔ℎ𝑡 𝐶ℎ𝑙𝑜𝑟𝑜𝑝ℎ𝑦𝑙𝑙
  • 3.
    • 2 −𝑙𝑎𝑦𝑒𝑟𝑒𝑑 𝑚𝑒𝑚𝑏𝑟𝑎𝑛𝑒 𝑐𝑜𝑛𝑠𝑖𝑠𝑡𝑖𝑛𝑔 𝑜𝑓 𝒐𝒖𝒕𝒆𝒓 & 𝒊𝒏𝒏𝒆𝒓 𝒎𝒆𝒎𝒃𝒓𝒂𝒏𝒆𝒔. • 𝐵𝑜𝑡ℎ 𝑠𝑒𝑝𝑎𝑟𝑎𝑡𝑒𝑑 𝑏𝑦 𝑎 𝑓𝑙𝑢𝑖𝑑 𝑓𝑖𝑙𝑙𝑒𝑑 𝑠𝑝𝑎𝑐𝑒 100 − 200 Å 𝑖. 𝑒. 𝒑𝒆𝒓𝒊 − 𝒑𝒍𝒂𝒔𝒕𝒊𝒅𝒊𝒂𝒍 𝒔𝒑𝒂𝒄𝒆. • 𝐿𝑖𝑞𝑢𝑖𝑑, 𝑝𝑟𝑜𝑡𝑒𝑖𝑛𝑎𝑐𝑒𝑜𝑢𝑠 𝑚𝑎𝑡𝑟𝑖𝑥 • 𝐺𝑟𝑎𝑛𝑢𝑙𝑎𝑟; 𝑐𝑜𝑛𝑡𝑎𝑖𝑛𝑖𝑛𝑔 𝑒𝑛𝑧𝑦𝑚𝑒𝑠 • 𝑺𝒊𝒕𝒆 𝒐𝒇 𝑫𝒂𝒓𝒌 𝒓𝒆𝒂𝒄𝒕𝒊𝒐𝒏 𝑜𝑓 𝑝ℎ𝑜𝑡𝑜𝑠𝑦𝑛𝑡ℎ𝑒𝑠𝑖𝑠 • 𝐶𝑜𝑛𝑡𝑎𝑖𝑛𝑠 𝑐ℎ𝑙𝑜𝑟𝑜𝑝𝑙𝑎𝑠𝑡 𝑫𝑵𝑨, 𝑠𝑡𝑎𝑟𝑐ℎ 𝑔𝑟𝑎𝑛𝑢𝑙𝑒𝑠, 𝟕𝟎 𝑺 𝒓𝒊𝒃𝒐𝒔𝒐𝒎𝒆𝒔, 𝑡ℎ𝑦𝑙𝑎𝑘𝑜𝑖𝑑𝑠.
  • 4.
    • 𝑇ℎ𝑦𝑙𝑎𝑘𝑜𝑖𝑑 ⟹𝑚𝑒𝑚𝑏𝑟𝑎𝑛𝑜𝑢𝑠 𝑠𝑎𝑐𝑘; 𝒄𝒐𝒏𝒕𝒂𝒊𝒏 𝒑𝒊𝒈𝒎𝒆𝒏𝒕𝒔 • 𝐺𝑟𝑎𝑛𝑢𝑚 ⟹ 𝑠𝑡𝑎𝑐𝑘 𝑜𝑓 𝑡ℎ𝑦𝑙𝑎𝑘𝑜𝑖𝑑𝑠 • 𝑺𝒊𝒕𝒆 𝒐𝒇 𝑳𝒊𝒈𝒉𝒕 𝒓𝒆𝒂𝒄𝒕𝒊𝒐𝒏 𝑜𝑓 𝑝ℎ𝑜𝑡𝑜𝑠𝑦𝑛𝑡ℎ𝑒𝑠𝑖𝑠 • 𝑆𝑡𝑟𝑜𝑚𝑎 𝑙𝑎𝑚𝑒𝑙𝑙𝑎𝑒 ⟹ 𝑐𝑜𝑛𝑛𝑒𝑐𝑡 𝑎𝑑𝑗𝑎𝑐𝑒𝑛𝑡 𝑡ℎ𝑦𝑙𝑎𝑘𝑜𝑖𝑑𝑠
  • 5.
  • 6.
    • 𝐺𝑟𝑒𝑒𝑘: 𝒄𝒉𝒍𝒐𝒓𝒐𝒔= 𝒈𝒓𝒆𝒆𝒏 ; 𝒑𝒉𝒚𝒍𝒍𝒐𝒏 = 𝒍𝒆𝒂𝒇 • 𝑂𝑐𝑐𝑢𝑟𝑠 𝑖𝑛 𝑝𝑙𝑎𝑛𝑡𝑠, 𝑎𝑙𝑔𝑎𝑒 & 𝑐𝑦𝑎𝑛𝑜𝑏𝑎𝑐𝑡𝑒𝑟𝑖𝑎 • 𝐹𝑜𝑟𝑚𝑒𝑑 𝑓𝑟𝑜𝑚 𝒑𝒓𝒐𝒕𝒐𝒄𝒉𝒍𝒐𝒓𝒐𝒑𝒉𝒚𝒍𝒍 𝑖𝑛 𝑝𝑟𝑒𝑠𝑒𝑛𝑐𝑒 𝑜𝑓 𝑙𝑖𝑔ℎ𝑡 • 𝑨𝒃𝒔𝒐𝒓𝒃𝒔 ⟹ 𝑹𝑬𝑫 & 𝑩𝑳𝑼𝑬 𝒍𝒊𝒈𝒉𝒕 • 𝑹𝒆𝒇𝒍𝒆𝒄𝒕𝒔 ⟹ 𝑮𝑹𝑬𝑬𝑵 𝒍𝒊𝒈𝒉𝒕 ; ℎ𝑒𝑛𝑐𝑒 𝑙𝑒𝑎𝑣𝑒𝑠 𝑎𝑝𝑝𝑒𝑎𝑟 𝑔𝑟𝑒𝑒𝑛 𝑖𝑛 𝑐𝑜𝑙𝑜𝑢𝑟. • 𝑇𝑦𝑝𝑒𝑠 𝑜𝑓 𝐶ℎ𝑙𝑜𝑟𝑜𝑝ℎ𝑦𝑙𝑙: 𝑖 𝐼𝑛 ℎ𝑖𝑔ℎ𝑒𝑟 𝑝𝑙𝑎𝑛𝑡𝑠: 𝑪𝒉𝒍𝒐𝒓𝒐𝒑𝒉𝒚𝒍𝒍𝒔 𝒂 & 𝒃 𝑖𝑖 𝐼𝑛 𝑎𝑙𝑔𝑎𝑒: 𝑪𝒉𝒍𝒐𝒓𝒐𝒑𝒉𝒚𝒍𝒍𝒔 𝒄, 𝒅, 𝒆 𝑖𝑖𝑖 𝐼𝑛 𝑏𝑎𝑐𝑡𝑒𝑟𝑖𝑎: 𝑩𝒂𝒄𝒕𝒆𝒓𝒊𝒐 − 𝒄𝒉𝒍𝒐𝒓𝒐𝒑𝒉𝒚𝒍𝒍 & 𝒃𝒂𝒄𝒕𝒆𝒓𝒊𝒐 − 𝒗𝒊𝒓𝒊𝒅𝒊𝒏
  • 7.
    • 𝑇𝑎𝑑𝑝𝑜𝑙𝑒 −𝑠ℎ𝑎𝑝𝑒𝑑 𝑠𝑡𝑟𝑢𝑐𝑡𝑢𝑟𝑒 • 𝑷𝒐𝒓𝒑𝒉𝒚𝒓𝒊𝒏 𝒉𝒆𝒂𝒅 ⟶ 4 𝑝𝑦𝑟𝑟𝑜𝑙𝑒 𝑟𝑖𝑛𝑔𝑠 𝑤𝑖𝑡ℎ 4 𝑁 − 𝑎𝑡𝑜𝑚𝑠 𝑡ℎ𝑎𝑡 𝑠𝑢𝑟𝑟𝑜𝑢𝑛𝑑 𝑐𝑒𝑛𝑡𝑟𝑎𝑙 𝑀𝑔 − 𝑎𝑡𝑜𝑚. • 𝑷𝒉𝒚𝒕𝒐𝒍 𝒕𝒂𝒊𝒍 ⟶ 𝑙𝑜𝑛𝑔 ℎ𝑦𝑑𝑟𝑜𝑐𝑎𝑟𝑏𝑜𝑛 𝑐ℎ𝑎𝑖𝑛 • 𝐻𝑦𝑑𝑟𝑜𝑝ℎ𝑖𝑙𝑖𝑐 𝐻𝑒𝑎𝑑 ⟹ 𝐴𝑏𝑠𝑜𝑟𝑏𝑠 𝑙𝑖𝑔ℎ𝑡 • 𝐻𝑦𝑑𝑟𝑜𝑝ℎ𝑜𝑏𝑖𝑐 𝑡𝑎𝑖𝑙 ⟹ 𝐴𝑛𝑐ℎ𝑜𝑟𝑠 𝑡𝑜 𝑡ℎ𝑦𝑙𝑎𝑘𝑜𝑖𝑑 𝑚𝑒𝑚𝑏𝑟𝑎𝑛𝑒 • 𝐴𝑏𝑠𝑜𝑟𝑏𝑠 𝑤𝑎𝑣𝑒𝑙𝑒𝑛𝑔𝑡ℎ𝑠 𝑜𝑓 𝒗𝒊𝒐𝒍𝒆𝒕 − 𝒃𝒍𝒖𝒆 & 𝒐𝒓𝒂𝒏𝒈𝒆 − 𝒓𝒆𝒅 𝑙𝑖𝑔ℎ𝑡. • 𝑃𝑟𝑖𝑚𝑎𝑟𝑦 𝑒𝑙𝑒𝑐𝑡𝑟𝑜𝑛 𝑑𝑜𝑛𝑜𝑟 • 𝐺𝑖𝑣𝑒𝑠 𝒈𝒓𝒆𝒆𝒏 𝑐𝑜𝑙𝑜𝑢𝑟 𝑡𝑜 𝒍𝒆𝒂𝒗𝒆𝒔
  • 8.
    𝐶𝐻2𝐶𝐻3 𝐶𝐻3 𝐶𝐻3 𝐶𝐻3 𝐶𝐻2 = 𝐶𝐻𝐶𝐻3 𝑂 𝐶𝐻3 𝑖𝑛 𝐶ℎ𝑙. 𝑎 & 𝐶𝐻𝑂 𝑖𝑛 𝐶ℎ𝑙. 𝑏 𝑵 𝑵 𝑵 𝑵 ⊖ ⊖ 𝑴𝒈 𝑷𝒉𝒚𝒕𝒐𝒍 𝑷𝒐𝒓𝒑𝒉𝒚𝒓𝒊𝒏 𝑯𝒆𝒂𝒅 𝑷𝒉𝒚𝒕𝒐𝒍 𝑻𝒂𝒊𝒍 𝑂 𝑂 𝐻2𝐶 𝑯𝒆𝒂𝒅
  • 9.
    • 𝑂𝑐𝑐𝑢𝑟𝑠 𝑖𝑛𝑝𝑙𝑎𝑛𝑡𝑠, 𝑎𝑙𝑔𝑎𝑒 & 𝑝ℎ𝑜𝑡𝑜𝑠𝑦𝑛𝑡ℎ𝑒𝑡𝑖𝑐 𝑏𝑎𝑐𝑡𝑒𝑟𝑖𝑎 • 𝐵𝑟𝑖𝑔ℎ𝑡 𝒓𝒆𝒅, 𝒚𝒆𝒍𝒍𝒐𝒘 𝒐𝒓 𝒐𝒓𝒂𝒏𝒈𝒆 𝑖𝑛 𝑐𝑜𝑙𝑜𝑢𝑟 • 𝐴𝑐𝑐𝑒𝑠𝑠𝑜𝑟𝑦 𝑝𝑖𝑔𝑚𝑒𝑛𝑡𝑠 • 𝐴𝑏𝑠𝑜𝑟𝑏 𝑡ℎ𝑒 𝑙𝑖𝑔ℎ𝑡 𝑛𝑜𝑡 𝑎𝑏𝑠𝑜𝑟𝑏𝑒𝑑 𝑏𝑦 𝑐ℎ𝑙𝑜𝑟𝑜𝑝ℎ𝑦𝑙𝑙 𝑭𝑼𝑵𝑪𝑻𝑰𝑶𝑵𝑺: 𝑖 𝑨𝒃𝒔𝒐𝒓𝒑𝒕𝒊𝒐𝒏 𝒐𝒇 𝑩𝑳𝑼𝑬 𝒍𝒊𝒈𝒉𝒕 𝑖𝑖 𝑇𝑟𝑎𝑛𝑠𝑓𝑒𝑟 𝑒𝑛𝑒𝑟𝑔𝑦 𝑡𝑜 𝑐ℎ𝑙𝑜𝑟𝑜𝑝ℎ𝑦𝑙𝑙 𝑖𝑖𝑖 𝑃𝑟𝑜𝑡𝑒𝑐𝑡 𝑓𝑟𝑜𝑚 𝑜𝑥𝑖𝑑𝑎𝑡𝑖𝑜𝑛 & 𝑒𝑥𝑐𝑒𝑠𝑠 𝑙𝑖𝑔ℎ𝑡 𝑖𝑣 𝑉𝑖𝑡𝑎𝑚𝑖𝑛 𝐴 𝑝𝑟𝑜𝑑𝑢𝑐𝑡𝑖𝑜𝑛 𝑣 𝐺𝑖𝑣𝑒 𝒄𝒐𝒍𝒐𝒖𝒓 𝒕𝒐 𝒇𝒍𝒐𝒘𝒆𝒓𝒔 & 𝒇𝒓𝒖𝒊𝒕𝒔
  • 10.
    𝑻𝒀𝑷𝑬𝑺: 1) 𝐶𝑎𝑟𝑜𝑡𝑒𝑛𝑒𝑠: 2) 𝑋𝑎𝑛𝑡ℎ𝑜𝑝ℎ𝑦𝑙𝑙𝑠(𝐶𝑎𝑟𝑜𝑡𝑒𝑛𝑜𝑙𝑠): • 𝑶𝒓𝒂𝒏𝒈𝒆 − 𝑹𝒆𝒅 𝑖𝑛 𝑐𝑜𝑙𝑜𝑢𝑟 • 𝐴𝑏𝑠𝑜𝑟𝑏 𝑼𝑽, 𝑽𝒊𝒐𝒍𝒆𝒕 & 𝑩𝒍𝒖𝒆 𝑙𝑖𝑔ℎ𝑡 • 𝑆𝑐𝑎𝑡𝑡𝑒𝑟 𝑶𝒓𝒂𝒏𝒈𝒆, 𝑹𝒆𝒅 & 𝒀𝒆𝒍𝒍𝒐𝒘 𝑙𝑖𝑔ℎ𝑡 • 𝐺𝑒𝑛. 𝑓𝑜𝑟𝑚𝑢𝑙𝑎 = 𝐶40𝐻56 • 𝐸𝑥. 𝑳𝒚𝒄𝒐𝒑𝒆𝒏𝒆𝒔 𝑅𝑒𝑑 𝑐𝑜𝑙𝑜𝑢𝑟 𝑖𝑛 𝑡𝑜𝑚𝑎𝑡𝑜 & 𝑐ℎ𝑖𝑙𝑙𝑖 , 𝛼 − 𝑐𝑎𝑟𝑜𝑡𝑒𝑛𝑒 & 𝛽 − 𝑐𝑎𝑟𝑜𝑡𝑒𝑛𝑒. • 𝐶𝑜𝑛𝑡𝑎𝑖𝑛 𝑜𝑥𝑦𝑔𝑒𝑛 • 𝐺𝑒𝑛. 𝑓𝑜𝑟𝑚𝑢𝑙𝑎 = 𝐶40𝐻56𝑂 • 𝐸𝑥. 𝐶𝑟𝑦𝑝𝑡𝑜𝑥𝑎𝑛𝑡ℎ𝑖𝑛, 𝑳𝒖𝒕𝒆𝒊𝒏 (𝑦𝑒𝑙𝑙𝑜𝑤𝑖𝑠ℎ 𝑐𝑜𝑙𝑜𝑢𝑟 𝑜𝑓 𝑎𝑢𝑡𝑢𝑚𝑛𝑎𝑙 𝑓𝑜𝑙𝑖𝑎𝑔𝑒), 𝑭𝒖𝒄𝒐𝒙𝒂𝒏𝒕𝒉𝒊𝒏 (𝐵𝑟𝑜𝑤𝑛 𝑎𝑙𝑔𝑎𝑒)
  • 11.
    • 𝐺𝑟𝑒𝑒𝑘: 𝒑𝒉𝒚𝒌𝒐𝒔= 𝒂𝒍𝒈𝒂 ; 𝒃𝒊𝒍𝒊𝒔 = 𝒃𝒊𝒍𝒆 • 𝑂𝑐𝑐𝑢𝑟𝑠 𝑖𝑛 𝑟𝑒𝑑 𝑎𝑙𝑔𝑎𝑒 & 𝑏𝑙𝑢𝑒 − 𝑔𝑟𝑒𝑒𝑛 𝑎𝑙𝑔𝑎𝑒 • 𝐴𝑏𝑠𝑜𝑟𝑏 𝑡ℎ𝑒 𝑙𝑖𝑔ℎ𝑡 𝑛𝑜𝑡 𝑎𝑏𝑠𝑜𝑟𝑏𝑒𝑑 𝑏𝑦 𝑐ℎ𝑙𝑜𝑟𝑜𝑝ℎ𝑦𝑙𝑙𝑠 & 𝑐𝑎𝑟𝑜𝑡𝑒𝑛𝑜𝑖𝑑𝑠 • 𝑊𝑎𝑡𝑒𝑟 𝑠𝑜𝑙𝑢𝑏𝑙𝑒 • 𝑻𝒀𝑷𝑬𝑺 − 𝑖 𝑃ℎ𝑦𝑐𝑜𝑒𝑟𝑦𝑡ℎ𝑟𝑖𝑛 (𝑹𝑬𝑫): ⟹ 𝑓𝑜𝑢𝑛𝑑 𝑖𝑛 𝑅ℎ𝑜𝑑𝑜𝑝ℎ𝑦𝑡𝑎 (𝑅𝑒𝑑 𝑎𝑙𝑔𝑎𝑒) ⟹ 𝐴𝑏𝑠𝑜𝑟𝑏 𝑩𝒍𝒖𝒆 & 𝑮𝒓𝒆𝒆𝒏 𝑙𝑖𝑔ℎ𝑡 𝑖𝑖 𝑃ℎ𝑦𝑐𝑜𝑐𝑦𝑎𝑛𝑖𝑛 𝑩𝑳𝑼𝑬 : ⟹ 𝑓𝑜𝑢𝑛𝑑 𝑖𝑛 𝐶𝑦𝑎𝑛𝑜𝑝ℎ𝑦𝑡𝑎 (𝐵𝐺𝐴) ⟹ 𝐴𝑏𝑠𝑜𝑟𝑏 𝑶𝒓𝒂𝒏𝒈𝒆 & 𝑹𝒆𝒅 𝑙𝑖𝑔ℎ𝑡
  • 12.
  • 14.
    𝑚𝑎𝑑𝑒 𝑜𝑓 𝑝𝑟𝑜𝑡𝑒𝑖𝑛𝑠, 𝑝𝑖𝑔𝑚𝑒𝑛𝑡𝑠 & 𝑐𝑜− 𝑓𝑎𝑐𝑡𝑜𝑟𝑠 𝑆𝑖𝑡𝑒 𝑜𝑓 𝑙𝑖𝑔ℎ𝑡 𝑟𝑒𝑎𝑐𝑛 𝑃𝑟𝑜𝑑𝑢𝑐𝑒 𝐴𝑇𝑃 & 𝑁𝐴𝐷𝑃𝐻 𝐶𝑎𝑝𝑡𝑢𝑟𝑒 𝑒𝑛𝑒𝑟𝑔𝑦 𝑓𝑟𝑜𝑚 𝑙𝑖𝑔ℎ𝑡 𝑃𝑟𝑜𝑚𝑜𝑡𝑒 𝑒− 𝑡𝑜 ↑ 𝑒𝑛𝑒𝑟𝑔𝑦 𝑠𝑡𝑎𝑡𝑒 𝑃𝑟𝑜𝑡𝑒𝑖𝑛𝑠 & 𝐶ℎ𝑙𝑜𝑟𝑜𝑝ℎ𝑦𝑙𝑙 𝑚𝑜𝑙𝑒𝑐𝑢𝑙𝑒𝑠 𝑆𝑢𝑟𝑟𝑜𝑢𝑛𝑑 𝑡ℎ𝑒 𝑟𝑒𝑎𝑐𝑛 𝑐𝑒𝑛𝑡𝑟𝑒 𝑇𝑟𝑎𝑛𝑠𝑓𝑒𝑟 𝑙𝑖𝑔ℎ𝑡 𝑒𝑛𝑒𝑟𝑔𝑦 𝑡𝑜 𝑅𝑒𝑎𝑐𝑛 𝑐𝑒𝑛𝑡𝑟𝑒
  • 15.
    • 𝐷𝑖𝑠𝑐𝑜𝑣𝑒𝑟𝑒𝑑 𝑏𝑒𝑓𝑜𝑟𝑒;ℎ𝑒𝑛𝑐𝑒 𝑐𝑎𝑙𝑙𝑒𝑑 𝑷𝑺 𝑰. • 𝐿𝑜𝑐𝑎𝑡𝑒𝑑 𝑜𝑛: 𝑖 𝑶𝒖𝒕𝒆𝒓 𝒔𝒖𝒓𝒇𝒂𝒄𝒆 𝒐𝒇 𝒕𝒉𝒚𝒍𝒂𝒌𝒐𝒊𝒅 𝒎𝒆𝒎𝒃. 𝑖𝑖 𝑆𝑡𝑟𝑜𝑚𝑎 𝑙𝑎𝑚𝑒𝑙𝑙𝑎𝑒 • 𝑅𝑒𝑎𝑐𝑛 𝑐𝑒𝑛𝑡𝑟𝑒 ⟹ 𝑪𝒉𝒍. 𝒂 𝒎𝒐𝒍𝒆𝒄𝒖𝒍𝒆 𝑷 − 𝟕𝟎𝟎 𝐴𝑐𝑡𝑖𝑣𝑒 𝑖𝑛 𝑟𝑒𝑑 & 𝑓𝑎𝑟 𝑟𝑒𝑑 𝑙𝑖𝑔ℎ𝑡 𝐴𝑏𝑠𝑜𝑟𝑏𝑠 𝑙𝑖𝑔ℎ𝑡 𝑎𝑡 700 𝑛𝑚 𝑤𝑎𝑣𝑒𝑙𝑒𝑛𝑔ℎ𝑡 • 𝐿𝑖𝑔ℎ𝑡 𝐻𝑎𝑟𝑣. 𝐶𝑜𝑚𝑝𝑙𝑒𝑥 ⟹ 𝐶ℎ𝑙. 𝑏 + 𝐶ℎ𝑙. 𝑎 670, 680, 695 + 𝐶𝑎𝑟𝑜𝑡𝑒𝑛𝑜𝑖𝑑𝑠 • 𝒆− 𝒅𝒐𝒏𝒐𝒓 ⟹ 𝑃𝑙𝑎𝑠𝑡𝑜𝑐𝑦𝑎𝑛𝑖𝑛 • 𝒆− 𝒂𝒄𝒄𝒆𝒑𝒕𝒐𝒓 ⟹ 𝐼𝑟𝑜𝑛 − 𝑠𝑢𝑙𝑝ℎ𝑢𝑟 𝐹𝑒𝑆 𝑐𝑒𝑛𝑡𝑒𝑟𝑠
  • 16.
    • 𝐴𝑐𝑡𝑠 𝑓𝑖𝑟𝑠𝑡,𝑏𝑢𝑡 𝑑𝑖𝑠𝑐𝑜𝑣𝑒𝑟𝑒𝑑 𝑙𝑎𝑡𝑒𝑟; ℎ𝑒𝑛𝑐𝑒 𝑐𝑎𝑙𝑙𝑒𝑑 𝑷𝑺 𝑰𝑰. • 𝐿𝑜𝑐𝑎𝑡𝑒𝑑 𝑜𝑛: 𝑰𝒏𝒏𝒆𝒓 𝒔𝒖𝒓𝒇𝒂𝒄𝒆 𝒐𝒇 𝒕𝒉𝒚𝒍𝒂𝒌𝒐𝒊𝒅 𝒎𝒆𝒎𝒃. • 𝑅𝑒𝑎𝑐𝑛 𝑐𝑒𝑛𝑡𝑟𝑒 ⟹ 𝑪𝒉𝒍. 𝒂 𝒎𝒐𝒍𝒆𝒄𝒖𝒍𝒆 𝑷 − 𝟔𝟖𝟎 𝐴𝑐𝑡𝑖𝑣𝑒 𝑖𝑛 𝑟𝑒𝑑 𝑙𝑖𝑔ℎ𝑡, 𝑛𝑜𝑡 𝑖𝑛 𝑓𝑎𝑟 𝑟𝑒𝑑 𝑙𝑖𝑔ℎ𝑡 𝐴𝑏𝑠𝑜𝑟𝑏𝑠 𝑙𝑖𝑔ℎ𝑡 𝑎𝑡 680 𝑛𝑚 𝑤𝑎𝑣𝑒𝑙𝑒𝑛𝑔ℎ𝑡 • 𝐿𝑖𝑔ℎ𝑡 𝐻𝑎𝑟𝑣. 𝐶𝑜𝑚𝑝𝑙𝑒𝑥 ⟹ 𝐶ℎ𝑙. 𝑎 660, 670, 680, 695, 700 + 𝐶ℎ𝑙. 𝑏 + 𝑃ℎ𝑦𝑐𝑜𝑏𝑖𝑙𝑖𝑛𝑠 + 𝑋𝑎𝑛𝑡ℎ𝑜𝑝ℎ𝑦𝑙𝑙𝑠 • 𝒆− 𝒅𝒐𝒏𝒐𝒓 ⟹ 𝑊𝑎𝑡𝑒𝑟 • 𝒆− 𝒂𝒄𝒄𝒆𝒑𝒕𝒐𝒓 ⟹ 𝑃𝑖𝑔𝑚𝑒𝑛𝑡𝑠, 𝑞𝑢𝑖𝑛𝑜𝑛𝑒
  • 18.
    𝐴𝑐𝑐𝑒𝑠𝑠𝑜𝑟𝑦 𝑃𝑖𝑔𝑚𝑒𝑛𝑡𝑠 𝑺𝒕𝒆𝒑 𝟏: 𝑳𝒊𝒈𝒉𝒕 𝒂𝒃𝒔𝒐𝒓𝒑𝒕𝒊𝒐𝒏 𝑺𝒕𝒆𝒑𝟐: 𝑬𝒏𝒆𝒓𝒈𝒚 𝒕𝒓𝒂𝒏𝒔𝒇𝒆𝒓 𝑺𝒕𝒆𝒑 𝟑: 𝑬𝒙𝒄𝒊𝒕𝒂𝒕𝒊𝒐𝒏 𝒐𝒇 𝑪𝒉𝒍. 𝒂 𝑯𝟐𝑶 𝑺𝒕𝒆𝒑 𝟒: 𝑷𝒉𝒐𝒕𝒐𝒍𝒚𝒔𝒊𝒔 𝒐𝒇 𝒘𝒂𝒕𝒆𝒓 𝑶𝟐 + - - 𝑺𝒕𝒆𝒑 𝟓: 𝑭𝒐𝒓𝒎. 𝒐𝒇 𝒂𝒔𝒔𝒊𝒎𝒊𝒍𝒊𝒕𝒂𝒓𝒚 𝒑𝒐𝒘𝒆𝒓 𝑨𝑫𝑷 + 𝑷𝒊 ⟶ 𝑨𝑻𝑷 𝑵𝑨𝑫𝑷+ ⟶ 𝑵𝑨𝑫𝑷𝑯
  • 19.
    • 𝑃ℎ𝑜𝑡𝑜𝑙𝑦𝑠𝑖𝑠 𝑜𝑓𝑤𝑎𝑡𝑒𝑟 & 𝑂2 𝑒𝑣𝑜𝑙𝑢𝑡𝑖𝑜𝑛 𝑑𝑜𝑒𝑠 𝑛𝑜𝑡 𝑡𝑎𝑘𝑒 𝑝𝑙𝑎𝑐𝑒. • 𝑁𝐴𝐷𝑃𝐻 𝑖𝑠 𝑛𝑜𝑡 𝑓𝑜𝑟𝑚𝑒𝑑. • 𝑂𝑛𝑙𝑦 𝑃𝑆 − 𝐼 𝑖𝑠 𝑖𝑛𝑣𝑜𝑙𝑣𝑒𝑑. • 𝐴𝑇𝑃 𝑖𝑠 𝑝𝑟𝑜𝑑𝑢𝑐𝑒𝑑 𝑎𝑡 2 𝑠𝑖𝑡𝑒𝑠. • 𝐸𝑙𝑒𝑐𝑡𝑟𝑜𝑛𝑠 𝑟𝑒𝑡𝑢𝑟𝑛 𝑏𝑎𝑐𝑘 𝑡𝑜 𝑃𝑆 − 𝐼.
  • 20.
  • 21.
    • 𝑃ℎ𝑜𝑡𝑜𝑙𝑦𝑠𝑖𝑠 𝑜𝑓𝑤𝑎𝑡𝑒𝑟 & 𝑂2 𝑒𝑣𝑜𝑙𝑢𝑡𝑖𝑜𝑛 𝑡𝑎𝑘𝑒𝑠 𝑝𝑙𝑎𝑐𝑒. • 𝑁𝐴𝐷𝑃𝐻 𝑓𝑜𝑟𝑚𝑎𝑡𝑖𝑜𝑛 𝑡𝑎𝑘𝑒𝑠 𝑝𝑙𝑎𝑐𝑒. • 𝐵𝑜𝑡ℎ 𝑃𝑆 − 𝐼 & 𝑃𝑆 − 𝐼𝐼 𝑎𝑟𝑒 𝑖𝑛𝑣𝑜𝑙𝑣𝑒𝑑. • 𝐼𝑡 𝑖𝑠 𝑎𝑙𝑠𝑜 𝑐𝑎𝑙𝑙𝑒𝑑 𝒁 − 𝒔𝒄𝒉𝒆𝒎𝒆 𝑑𝑢𝑒 𝑡𝑜 𝑖𝑡𝑠 𝑧𝑖𝑔 − 𝑧𝑎𝑔 𝑟𝑜𝑢𝑡𝑒 𝑜𝑓 𝑒𝑙𝑒𝑐𝑡𝑟𝑜𝑛𝑠. • 𝐸𝑙𝑒𝑐𝑡𝑟𝑜𝑛𝑠 𝑑𝑜 𝑛𝑜𝑡 𝑟𝑒𝑡𝑢𝑟𝑛 𝑡𝑜 𝑃𝑆 − 𝐼 𝑜𝑟 𝑃𝑆 − 𝐼𝐼.
  • 22.
    𝑷𝒉𝒐𝒕𝒐𝒏𝒔 ↖↖ 𝑭𝒆𝒓𝒓𝒊𝒅𝒐𝒙𝒊𝒏 𝑷𝒍𝒂𝒔𝒕𝒐𝒒𝒖𝒊𝒏𝒐𝒏𝒆 𝟒𝒆− 𝑵𝑨𝑫𝑷+ 𝑨𝑫𝑷 𝑷𝒊 𝑷𝑺 − 𝑰𝑰 (𝑷𝟔𝟖𝟎) 𝑷𝑺− 𝑰 (𝑷𝟕𝟎𝟎) ↗↗ 𝟒𝒆− 𝟒𝒆− 𝟒𝒆− 𝟒𝒆− 𝟒𝒆− 𝟒𝒆− 𝑯𝟐𝑶 𝟒 × 𝟒𝑯+ 𝟐𝑯𝟐𝑶 𝟒𝒆− 𝟒𝒆−
  • 24.
    𝟑 𝑷𝒉𝒂𝒔𝒆𝒔 𝑭𝒊𝒙𝒂𝒕𝒊𝒐𝒏 𝒐𝒇 𝑪𝑶𝟐 𝑪𝒐𝒏𝒗𝒆𝒓𝒔𝒊𝒐𝒏𝒐𝒇 𝑷𝑮𝑨 𝒕𝒐 𝑷𝑮𝑨𝑳 𝑹𝒆𝒈𝒆𝒏𝒆𝒓𝒂𝒕𝒊𝒐𝒏 𝒐𝒇 𝑹𝒖𝑩𝑷
  • 25.
    𝐶 = 𝑂 𝐻𝐶− 𝑂𝐻 𝐻𝐶 − 𝑂𝐻 𝐻2𝐶 − 𝑶𝑷𝑶𝟑 𝟐− 𝟏 𝟐 𝟑 𝟒 𝟓 𝐻2𝐶 − 𝑶𝑷𝑶𝟑 𝟐− 𝑹𝒊𝒃𝒖𝒍𝒐𝒔𝒆 𝟏, 𝟓 − 𝒃𝒊𝒔𝒑𝒉𝒐𝒔𝒑𝒉𝒂𝒕𝒆 (𝑹𝒖𝑩𝑷) 6 × 𝑹𝒖𝑩𝒊𝒔𝑪𝑶 𝐻𝐶 − 𝑂𝐻 𝐶𝑂𝑂𝐻 𝐻2𝐶 − 𝑶𝑷𝑶𝟑 𝟐− 𝟏 𝟐 𝟑 12 × 𝟑 − 𝑷𝒉𝒐𝒔𝒑𝒉𝒐 − 𝒈𝒍𝒚𝒄𝒆𝒓𝒊𝒄 𝒂𝒄𝒊𝒅 (𝟑 − 𝑷𝑮𝑨) [𝟔 × 𝟓 𝑪 = 𝟑𝟎 𝑪] [𝟏𝟐 × 𝟑 𝑪 = 𝟑𝟔 𝑪] + 𝟔 𝑪𝑶𝟐 + 𝟔 𝑯𝟐𝑶 𝑅𝑖𝑏𝑢𝑙𝑜𝑠𝑒 𝐵𝑖𝑠𝑝ℎ𝑜𝑠𝑝ℎ𝑎𝑡𝑒 𝐶𝑎𝑟𝑏𝑜𝑥𝑦𝑙𝑎𝑠𝑒 𝑂𝑥𝑖𝑑𝑎𝑠𝑒
  • 26.
    𝐻 − 𝐶− 𝑂𝐻 𝑂 = 𝐶 − 𝑂𝐻 𝐻2𝐶 − 𝑶𝑷𝑶𝟑 𝟐− 𝟏 𝟐 𝟑 𝐻 − 𝐶 − 𝑂𝐻 𝑂 = 𝐶 − 𝑶𝑷𝑶𝟑 𝟐− 𝐻2𝐶 − 𝑶𝑷𝑶𝟑 𝟐− 𝟏 𝟐 𝟑 𝐻 − 𝐶 − 𝑂𝐻 𝑂 = 𝐶 − 𝐻 𝐻2𝐶 − 𝑶𝑷𝑶𝟑 𝟐− 𝟏 𝟐 𝟑 𝟑 − 𝑷𝒉𝒐𝒔𝒑𝒉𝒐 − 𝒈𝒍𝒚𝒄𝒆𝒓𝒊𝒄 𝒂𝒄𝒊𝒅 (𝟑 − 𝑷𝑮𝑨) 𝟑 − 𝑷𝒉𝒐𝒔𝒑𝒉𝒐 − 𝒈𝒍𝒚𝒄𝒆𝒓𝒂𝒍𝒅𝒆𝒉𝒚𝒅𝒆 (𝟑 − 𝑷𝑮𝑨𝑳) 𝟏, 𝟑 − 𝑫𝒊𝒑𝒉𝒐𝒔𝒑𝒉𝒐𝒈𝒍𝒚𝒄𝒆𝒓𝒊𝒄 𝒂𝒄𝒊𝒅 𝑨𝑻𝑷 𝑨𝑫𝑷 𝑵𝑨𝑫𝑷+ 𝑵𝑨𝑫𝑷𝑯 + 𝑯+ 𝑷𝒊 𝟏𝟐 𝒎𝒐𝒍. 𝒆𝒂𝒄𝒉
  • 27.
    𝑇ℎ𝑒 12 𝑃𝐺𝐴𝐿𝑚𝑜𝑙𝑒𝑐𝑢𝑙𝑒𝑠 𝑐𝑎𝑛 𝑏𝑒 𝑢𝑡𝑖𝑙𝑖𝑠𝑒𝑑 𝑖𝑛 4 𝑤𝑎𝑦𝑠: 5 × [𝑷𝑮𝑨𝑳] 5 × [𝑫𝑯𝑨𝑷] 𝑇𝑟𝑖𝑜𝑠𝑒 𝑃ℎ𝑜𝑠𝑝ℎ𝑎𝑡𝑒 𝐼𝑠𝑜𝑚𝑒𝑟𝑎𝑠𝑒 ② ③ [𝟓 × 𝟑 𝑪 = 𝟏𝟓 𝑪] [𝟓 × 𝟑 𝑪 = 𝟏𝟓 𝑪] [𝟓 × 𝑷] [𝟓 × 𝑷] 3 [𝑷𝑮𝑨𝑳] 3 [𝑫𝑯𝑨𝑷] [𝟑 × 𝟑 𝑪 = 𝟗 𝑪] [𝟑 × 𝟑 𝑪 = 𝟗 𝑪] + [𝟑 × 𝑷] [𝟑 × 𝑷] 𝐴𝑙𝑑𝑜𝑙𝑎𝑠𝑒 3 𝑭𝒓𝒖𝒄𝒕𝒐𝒔𝒆 𝟏, 𝟔 − 𝒅𝒊𝒑𝒉𝒐𝒔. [𝟑 × 𝟔 𝑪 = 𝟏𝟖 𝑪] [𝟑 × 𝟐 𝑷] 𝑺𝒕𝒆𝒑 𝟏: 𝑺𝒕𝒆𝒑 𝟐:
  • 28.
    3 𝑭𝒓𝒖𝒄𝒕𝒐𝒔𝒆 𝟏, 𝟔 −𝒅𝒊𝒑𝒉𝒐𝒔. 3 𝑭𝒓𝒖𝒄𝒕𝒐𝒔𝒆 𝟔 − 𝒑𝒉𝒐𝒔𝒑𝒉𝒂𝒕𝒆 𝑃ℎ𝑜𝑠𝑝ℎ𝑎𝑡𝑎𝑠𝑒 𝟑 𝑷𝒊 ① ② 𝑺𝒕𝒆𝒑 𝟑: 𝑺𝒕𝒆𝒑 𝟒: 𝑭𝒓𝒖𝒄𝒕𝒐𝒔𝒆 𝟔 − 𝒑𝒉𝒐𝒔𝒑𝒉𝒂𝒕𝒆 𝑮𝒍𝒖𝒄𝒐𝒔𝒆 𝟔 − 𝒑𝒉𝒐𝒔𝒑𝒉𝒂𝒕𝒆 𝑮𝑳𝑼𝑪𝑶𝑺𝑬 𝐼𝑠𝑜𝑚𝑒𝑟𝑎𝑠𝑒 𝑷𝒊 [𝟔 𝑪] [𝟔 𝑪] [𝟔 𝑪]
  • 29.
    2 [𝑷𝑮𝑨𝑳] 2[𝑭𝒓𝒖𝒄𝒕𝒐𝒔𝒆 𝟔 − 𝒑𝒉𝒐𝒔𝒑𝒉𝒂𝒕𝒆] + [𝟐 × 𝟑 𝑪] [𝟐 × 𝟔 𝑪] 𝑇𝑟𝑎𝑛𝑠 − 𝑘𝑒𝑡𝑜𝑙𝑎𝑠𝑒 2 𝑿𝒚𝒍𝒖𝒍𝒐𝒔𝒆 𝟓 − 𝒑𝒉𝒐𝒔𝒑𝒉𝒂𝒕𝒆 2 𝑬𝒓𝒚𝒕𝒉𝒓𝒐𝒔𝒆 𝟒 − 𝒑𝒉𝒐𝒔𝒑𝒉𝒂𝒕𝒆 + [𝟐 × 𝟓 𝑪] [𝟐 × 𝟒 𝑪] 𝑺𝒕𝒆𝒑 𝟓: 𝑺𝒕𝒆𝒑 𝟑
  • 30.
    + [𝟐 × 𝟒𝑪] [𝟐 × 𝟑 𝑪] 𝑇𝑟𝑎𝑛𝑠 − 𝑎𝑙𝑑𝑜𝑙𝑎𝑠𝑒 2 𝑺𝒆𝒅𝒐𝒉𝒆𝒑𝒕𝒖𝒍𝒐𝒔𝒆 𝟏, 𝟕 − 𝒅𝒊𝒑𝒉𝒐𝒔𝒑𝒉𝒂𝒕𝒆 2 𝑬𝒓𝒚𝒕𝒉𝒓𝒐𝒔𝒆 𝟒 − 𝒑𝒉𝒐𝒔𝒑𝒉𝒂𝒕𝒆 [𝟐 × 𝟕 𝑪] 𝑺𝒕𝒆𝒑 𝟔: 𝑺𝒕𝒆𝒑 𝟏 2 [𝑫𝑯𝑨𝑷] [𝟐 × 𝑷] [𝟐 × 𝑷] [𝟐 × 𝟐 𝑷] 2 𝑺𝒆𝒅𝒐𝒉𝒆𝒑𝒕𝒖𝒍𝒐𝒔𝒆 𝟕 − 𝒑𝒉𝒐𝒔𝒑𝒉𝒂𝒕𝒆 𝑃ℎ𝑜𝑠𝑝ℎ𝑎𝑡𝑎𝑠𝑒 [𝟐 × 𝟕 𝑪] [𝟐 × 𝑷] 𝑺𝒕𝒆𝒑 𝟕: 𝟐 𝑷𝒊
  • 31.
    2 [𝑷𝑮𝑨𝑳] 2[𝑺𝒆𝒅𝒐𝒉𝒆𝒑𝒕𝒖𝒍𝒐𝒔𝒆 𝟕 − 𝒑𝒉𝒐𝒔𝒑𝒉𝒂𝒕𝒆] + [𝟐 × 𝟑 𝑪] [𝟐 × 𝟕 𝑪] 𝑇𝑟𝑎𝑛𝑠 − 𝑘𝑒𝑡𝑜𝑙𝑎𝑠𝑒 2 𝑿𝒚𝒍𝒖𝒍𝒐𝒔𝒆 𝟓 − 𝒑𝒉𝒐𝒔𝒑𝒉𝒂𝒕𝒆 2 𝑹𝒊𝒃𝒐𝒔𝒆 𝟓 − 𝒑𝒉𝒐𝒔𝒑𝒉𝒂𝒕𝒆 + [𝟐 × 𝟓 𝑪] [𝟐 × 𝟓 𝑪] 𝑺𝒕𝒆𝒑 𝟖:
  • 32.
    𝑺𝒕𝒆𝒑 𝟗: 2 𝑿𝒚𝒍𝒖.𝟓 − 𝑷 [𝟒 × 𝟓 𝑪] 2 𝑿𝒚𝒍𝒖. 𝟓 − 𝑷 𝑺𝒕𝒆𝒑 𝟓 𝑺𝒕𝒆𝒑 𝟖 4 𝑿𝒚𝒍𝒖𝒍𝒐𝒔𝒆 𝟓 − 𝒑𝒉𝒐𝒔𝒑𝒉𝒂𝒕𝒆 4 𝑹𝒊𝒃𝒖𝒍𝒐𝒔𝒆 𝟓 − 𝒑𝒉𝒐𝒔𝒑𝒉𝒂𝒕𝒆 𝐸𝑝𝑖𝑚𝑒𝑟𝑎𝑠𝑒 [𝟒 × 𝟓 𝑪] 𝑺𝒕𝒆𝒑 𝟏𝟎: 2 𝑹𝒊𝒃𝒐𝒔𝒆 𝟓 − 𝒑𝒉𝒐𝒔𝒑𝒉𝒂𝒕𝒆 [𝟐 × 𝟓 𝑪] 𝐼𝑠𝑜𝑚𝑒𝑟𝑎𝑠𝑒 2 𝑹𝒊𝒃𝒖𝒍𝒐𝒔𝒆 𝟓 − 𝒑𝒉𝒐𝒔𝒑𝒉𝒂𝒕𝒆 [𝟐 × 𝟓 𝑪] 𝑺𝒕𝒆𝒑 𝟖
  • 33.
    𝑺𝒕𝒆𝒑 𝟏𝟏: 6 𝑹𝒊𝒃𝒖𝒍𝒐𝒔𝒆 𝟓 −𝒑𝒉𝒐𝒔𝒑𝒉𝒂𝒕𝒆 [𝟔 × 𝟓 𝑪] [𝟔 × 𝑷] 6 𝑹𝒊𝒃𝒖𝒍𝒐𝒔𝒆 𝟏, 𝟓 − 𝒃𝒊𝒔𝒑𝒉𝒐𝒔𝒑𝒉𝒂𝒕𝒆 [𝟔 × 𝟓 𝑪] [𝟔 × 𝟐 𝑷] 𝑃ℎ𝑜𝑠𝑝ℎ𝑜𝑟𝑖𝑏𝑢𝑙𝑜𝑠𝑒 𝑘𝑖𝑛𝑎𝑠𝑒 𝟔 𝑨𝑫𝑷 𝟔 𝑨𝑻𝑷
  • 34.
    𝟔 𝑹𝒖𝑩𝑷 +6 𝐶𝑂2 + 6 𝐻2𝑂 𝟏𝟐 𝑷𝑮𝑨 + 12 𝐴𝑇𝑃 + 12 𝑁𝐴𝐷𝑃𝐻 + 12 𝐻+ 𝟏𝟐 [𝑷𝑮𝑨] 𝟏𝟐 𝑷𝑮𝑨𝑳 + 12 𝐴𝐷𝑃 + 12 𝑃𝑖 + 12 𝑁𝐴𝐷𝑃+ 𝟏𝟐 𝑷𝑮𝑨𝑳 + 6 𝐴𝑇𝑃 𝑯𝑬𝑿𝑶𝑺𝑬 (𝑭𝒓𝒖𝒄. 𝟔 − 𝑷) + 𝟔 𝑹𝒖𝑩𝑷 + 6 𝐴𝐷𝑃 + 6 𝑃𝑖
  • 35.
    𝐶𝑜𝑚𝑏𝑖𝑛𝑖𝑛𝑔 𝑎𝑙𝑙 3𝑟𝑒𝑎𝑐𝑡𝑖𝑜𝑛𝑠: 𝟔 𝑪𝑶𝟐 + 𝟔 𝑯𝟐𝑶 + 18 𝐴𝑇𝑃 + 12 [𝑁𝐴𝐷𝑃𝐻 + 𝐻+] 𝑯𝑬𝑿𝑶𝑺𝑬 + 18 [𝐴𝐷𝑃 + 𝑃𝑖] + 12 [𝑁𝐴𝐷𝑃+]
  • 36.
    𝟑 − 𝑷𝑮𝑨𝑳(𝟏𝟐) 𝟐 𝟐 𝟓 𝟑 𝑫𝑯𝑨𝑷 𝟐 𝟑 𝑭𝒓𝒖𝒄. 𝟏, 𝟔 −𝒅𝒊𝒑𝒉𝒐𝒔. 𝑭𝒓𝒖𝒄. 𝟔 − 𝑷 (𝟑) (𝟑) 𝑯𝑬𝑿𝑶𝑺𝑬 𝟏 𝟐 𝑿𝒚𝒍. 𝟓 − 𝑷 𝑬𝒓𝒚. 𝟒 − 𝑷 (𝟐) 𝑺𝒆𝒅. 𝟏, 𝟕 − 𝒅𝒊𝒑. (𝟐) 𝑺𝒆𝒅. 𝟕 − 𝑷 (𝟐) 𝑹𝒊𝒃. 𝟓 − 𝑷 (𝟐) (𝟒) 𝑹𝒊𝒃𝒖. 𝟓 − 𝑷 (𝟔) 𝑹𝒖𝑩𝑷 𝟑 − 𝑷𝑮𝑨 (𝟔) 𝟏, 𝟑 − 𝒅𝒊𝑷𝑮𝑨 (𝟏𝟐) (𝟏𝟐) ⟵ 𝟔 𝑪𝑶𝟐 ⟶ 𝟑𝑷𝒊 ⟶ 𝟐𝑷𝒊 ⟶ 𝟔 𝑨𝑫𝑷 ⟵ 𝟔 𝑨𝑻𝑷 𝟏𝟐 𝑨𝑻𝑷 𝟏𝟐 𝑨𝑫𝑷 ↓ ↑ 𝟏𝟐 [𝑵𝑨𝑫𝑷𝑯 + 𝑯+] 𝟏𝟐 𝑵𝑨𝑫𝑷+ ↓ ↑ 𝟏𝟐 𝑷𝒊 ↘
  • 38.
    𝑨𝒏𝒂𝒕𝒐𝒎𝒚 𝒐𝒇 𝑪𝟒𝒍𝒆𝒂𝒗𝒆𝒔 2 𝑡𝑦𝑝𝑒𝑠 𝑜𝑓 𝑐𝑒𝑙𝑙𝑠/𝑐ℎ𝑙𝑜𝑟𝑜𝑝𝑙𝑎𝑠𝑡𝑠 𝑴𝒆𝒔𝒐𝒑𝒉𝒚𝒍𝒍 𝑪𝒆𝒍𝒍𝒔 𝑩𝒖𝒏𝒅𝒍𝒆 𝑺𝒉𝒆𝒂𝒕𝒉 𝑪𝒆𝒍𝒍𝒔 • 𝑆𝑚𝑎𝑙𝑙 𝑐𝑒𝑙𝑙𝑠 • 𝐿𝑎𝑟𝑔𝑒 𝑛𝑜. 𝑜𝑓 𝑛𝑜𝑟𝑚𝑎𝑙 𝑠𝑖𝑧𝑒 𝑐ℎ𝑙𝑜𝑟𝑜𝑝𝑙𝑎𝑠𝑡𝑠 • 𝐺𝑟𝑎𝑛𝑎 𝑝𝑟𝑒𝑠𝑒𝑛𝑡 • 𝑅𝑢𝐵𝑖𝑠𝐶𝑂 𝑎𝑏𝑠𝑒𝑛𝑡 • 𝑂𝑛𝑙𝑦 𝐿𝑖𝑔ℎ𝑡 𝑅𝑒𝑎𝑐𝑛 𝑜𝑐𝑐𝑢𝑟𝑠 • 𝐿𝑎𝑟𝑔𝑒 𝑐𝑒𝑙𝑙𝑠 • 𝑂𝑛𝑙𝑦 𝑓𝑒𝑤 𝑙𝑎𝑟𝑔𝑒 𝑠𝑖𝑧𝑒 𝑐ℎ𝑙𝑜𝑟𝑜𝑝𝑙𝑎𝑠𝑡𝑠 • 𝐺𝑟𝑎𝑛𝑎 𝑎𝑏𝑠𝑒𝑛𝑡 • 𝑅𝑢𝐵𝑖𝑠𝐶𝑂 𝑝𝑟𝑒𝑠𝑒𝑛𝑡 • 𝑂𝑛𝑙𝑦 𝐷𝑎𝑟𝑘 𝑅𝑒𝑎𝑐𝑛 𝑜𝑐𝑐𝑢𝑟𝑠
  • 39.
    𝐶𝑂2 𝒊 𝑪𝒂𝒓𝒃𝒐𝒙𝒚𝒍𝒂𝒕𝒊𝒐𝒏 ∶ 𝐻2𝐶𝑂3 𝐶𝑎𝑟𝑏𝑜𝑛𝑖𝑐𝑎𝑛ℎ𝑦𝑑𝑟𝑎𝑠𝑒 −𝐶 − 𝐶𝑂𝑂𝐻 𝐻2𝐶 = 𝑂𝑃𝑂3 2− 𝑂 = 𝐶 − 𝐶𝑂𝑂𝐻 𝐻2𝐶 − 𝐶𝑂𝑂𝐻 − + 𝐻2𝑂 𝑪𝒂𝒓𝒃𝒐𝒏 𝒅𝒊𝒐𝒙𝒊𝒅𝒆 𝑪𝒂𝒓𝒃𝒐𝒏𝒊𝒄 𝒂𝒄𝒊𝒅 𝑷𝒉𝒐𝒔𝒑𝒉𝒐𝒆𝒏𝒐𝒍 𝒑𝒚𝒓𝒖𝒗𝒂𝒕𝒆 𝑶𝒙𝒂𝒍𝒐𝒂𝒄𝒆𝒕𝒊𝒄 𝒂𝒄𝒊𝒅 𝑷𝑬𝑷 𝑪𝒂𝒓𝒃𝒐𝒙𝒚𝒍𝒂𝒔𝒆 𝑷𝒊 𝑯𝟐𝑪𝑶𝟑
  • 40.
    𝒊𝒊 𝑹𝒆𝒅𝒖𝒄𝒕𝒊𝒐𝒏 ∶ 𝑂= 𝐶 − 𝐶𝑂𝑂𝐻 𝐻2𝐶 − 𝐶𝑂𝑂𝐻 − 𝑶𝒙𝒂𝒍𝒐𝒂𝒄𝒆𝒕𝒊𝒄 𝒂𝒄𝒊𝒅 𝐻𝑂 − 𝐶𝐻 − 𝐶𝑂𝑂𝐻 𝐻2𝐶 − 𝐶𝑂𝑂𝐻 − 𝑴𝒂𝒍𝒊𝒄 𝒂𝒄𝒊𝒅 𝑀𝑎𝑙𝑖𝑐 𝐷𝑒ℎ𝑦𝑑𝑟𝑜𝑔𝑒𝑛𝑎𝑠𝑒 𝑵𝑨𝑫𝑷+ 𝑵𝑨𝑫𝑷𝑯 + 𝑯+ 𝑇ℎ𝑒 𝑚𝑎𝑙𝑖𝑐 𝑎𝑐𝑖𝑑 𝑓𝑜𝑟𝑚𝑒𝑑 ℎ𝑒𝑟𝑒 𝑖𝑠 𝑠𝑒𝑛𝑡 𝑡𝑜 𝑡ℎ𝑒 𝑏𝑢𝑛𝑑𝑙𝑒 𝑠ℎ𝑒𝑎𝑡ℎ 𝑐𝑒𝑙𝑙𝑠.
  • 41.
    𝑂 = 𝐶− 𝐶𝑂𝑂𝐻 𝐻3𝐶 − 𝐻𝑂 − 𝐶𝐻 − 𝐶𝑂𝑂𝐻 𝐻2𝐶 − 𝐶𝑂𝑂𝐻 − 𝑴𝒂𝒍𝒊𝒄 𝒂𝒄𝒊𝒅 𝒊𝒊𝒊 𝑫𝒆𝒄𝒂𝒓𝒃𝒐𝒙𝒚𝒍𝒂𝒕𝒊𝒐𝒏 ∶ 𝑀𝑎𝑙𝑖𝑐 𝑒𝑛𝑧𝑦𝑚𝑒 𝑵𝑨𝑫𝑷+ 𝑵𝑨𝑫𝑷𝑯 + 𝑯+ 𝑷𝒚𝒓𝒖𝒗𝒂𝒕𝒆 + 𝑪𝑶𝟐 𝑪𝒂𝒍𝒗𝒊𝒏 𝑪𝒚𝒄𝒍𝒆
  • 42.
    𝒊𝒗 𝑹𝒆𝒈𝒆𝒏𝒆𝒓𝒂𝒕𝒊𝒐𝒏 𝒐𝒇𝑷𝑬𝑷: 𝑂 = 𝐶 − 𝐶𝑂𝑂𝐻 𝐻3𝐶 − 𝑷𝒚𝒓𝒖𝒗𝒂𝒕𝒆 𝑇ℎ𝑒 𝑝𝑦𝑟𝑢𝑣𝑎𝑡𝑒 𝑖𝑠 𝑠𝑒𝑛𝑡 𝑏𝑎𝑐𝑘 𝑡𝑜 𝑚𝑒𝑠𝑜𝑝ℎ𝑦𝑙𝑙 𝑐𝑒𝑙𝑙𝑠 𝑓𝑜𝑟 𝑐𝑜𝑛𝑣𝑒𝑟𝑠𝑖𝑜𝑛 𝑖𝑛𝑡𝑜 𝑝ℎ𝑜𝑠𝑝ℎ𝑜𝑒𝑛𝑜𝑙 𝑝𝑦𝑟𝑢𝑣𝑎𝑡𝑒. −𝐶 − 𝐶𝑂𝑂𝐻 𝐻2𝐶 = 𝑂𝑃𝑂3 2− 𝑷𝒉𝒐𝒔𝒑𝒉𝒐𝒆𝒏𝒐𝒍 𝒑𝒚𝒓𝒖𝒗𝒂𝒕𝒆 𝑃𝑦𝑟𝑢𝑣𝑎𝑡𝑒 𝑑𝑖𝑘𝑖𝑛𝑎𝑠𝑒 𝑨𝑫𝑷 𝑨𝑻𝑷 𝑃ℎ𝑜𝑠𝑝ℎ𝑜𝑒𝑛𝑜𝑙𝑝𝑦𝑟𝑢𝑣𝑎𝑡𝑒 𝑐𝑎𝑛 𝑛𝑜𝑤 𝑡𝑎𝑘𝑒 𝑝𝑎𝑟𝑡 𝑖𝑛 𝑡ℎ𝑒 𝑐𝑦𝑐𝑙𝑒 𝑎𝑔𝑎𝑖𝑛.
  • 43.
    𝑴𝒆𝒔𝒐𝒑𝒉𝒚𝒍𝒍 𝑪𝒆𝒍𝒍 𝑩𝒖𝒏𝒅𝒍𝒆 𝑺𝒉𝒆𝒂𝒕𝒉 𝑪𝒆𝒍𝒍 𝑷𝒚𝒓𝒖𝒗𝒂𝒕𝒆 𝑷𝑬𝑷 𝑴𝒂𝒍𝒂𝒕𝒆 𝑶𝒙𝒂𝒍𝒐𝒂𝒄𝒆𝒕𝒂𝒕𝒆 𝑨𝑫𝑷 ⟵ 𝑨𝑻𝑷⟶ ⟵ 𝑵𝑨𝑫𝑷𝑯 + 𝑯+ ⟶ 𝑵𝑨𝑫𝑷+ ⟶ 𝑷𝒊 𝑪𝑶𝟐 + 𝑯𝟐𝑶 𝑯𝟐𝑪𝑶𝟑 𝑷𝒚𝒓𝒖𝒗𝒂𝒕𝒆 𝑴𝒂𝒍𝒂𝒕𝒆 ⟵ 𝑵𝑨𝑫𝑷+ ⟶ 𝑵𝑨𝑫𝑷𝑯 + 𝑯+ 𝑪𝑶𝟐 𝑪𝒉𝒍𝒐𝒓𝒐𝒑𝒍𝒂𝒔𝒕 𝑪𝒉𝒍𝒐𝒓𝒐𝒑𝒍𝒂𝒔𝒕 𝑪𝒂𝒍𝒗𝒊𝒏 𝑪𝒚𝒄𝒍𝒆 𝑮𝒍𝒖𝒄𝒐𝒔𝒆
  • 45.
    𝐴𝑡 𝑛𝑖𝑔ℎ𝑡, 𝑡ℎ𝑒𝑠𝑡𝑜𝑚𝑎𝑡𝑎 𝑜𝑓 𝑝𝑙𝑎𝑛𝑡 𝑜𝑝𝑒𝑛 𝑎𝑙𝑙𝑜𝑤𝑖𝑛𝑔 𝐶𝑂2 𝑡𝑜 𝑑𝑖𝑓𝑓𝑢𝑠𝑒 𝑖𝑛𝑡𝑜 𝑡ℎ𝑒 𝑚𝑒𝑠𝑜𝑝ℎ𝑦𝑙𝑙 𝑐𝑒𝑙𝑙𝑠. 𝑪𝑶𝟐 𝑯𝑪𝑶𝟑 − + 𝑶𝑯 − [𝑩𝒊𝒄𝒂𝒓𝒃𝒐𝒏𝒂𝒕𝒆] 𝑷𝑬𝑷 𝑷𝒉𝒐𝒔𝒑𝒉𝒐𝒆𝒏𝒐𝒍 𝒑𝒚𝒓𝒖𝒗𝒂𝒕𝒆 𝑯𝑪𝑶𝟑 − 𝑯𝟑𝑷𝑶𝟒 𝑶𝑨𝑨 𝑶𝒙𝒂𝒍𝒐𝒂𝒄𝒆𝒕𝒂𝒕𝒆 𝑶𝑨𝑨 𝑴𝒂𝒍𝒂𝒕𝒆 𝑀𝑎𝑙𝑎𝑡𝑒 𝐷𝑒ℎ𝑦𝑑𝑟𝑜𝑔𝑒𝑛𝑎𝑠𝑒 𝑵𝑨𝑫𝑷+ 𝑵𝑨𝑫𝑷𝑯 + 𝑯+ 𝑃𝐸𝑃 𝐶𝑎𝑟𝑏𝑜𝑥𝑦𝑙𝑎𝑠𝑒
  • 46.
    𝑇ℎ𝑒 𝑚𝑎𝑙𝑎𝑡𝑒 𝑝𝑟𝑜𝑑𝑢𝑐𝑒𝑑𝑖𝑠 𝑠𝑡𝑜𝑟𝑒𝑑 𝑖𝑛 𝑡ℎ𝑒 𝑣𝑎𝑐𝑢𝑜𝑙𝑒𝑠 𝑜𝑓 𝑝𝑙𝑎𝑛𝑡 𝑐𝑒𝑙𝑙𝑠. 𝑇ℎ𝑒 𝑎𝑐𝑐𝑢𝑚𝑢𝑙𝑎𝑡𝑖𝑜𝑛 𝑜𝑓 𝑜𝑟𝑔𝑎𝑛𝑖𝑐 𝑎𝑐𝑖𝑑𝑠 𝑐𝑎𝑢𝑠𝑒𝑠 𝑡ℎ𝑒 𝑎𝑐𝑖𝑑𝑖𝑓𝑖𝑐𝑎𝑡𝑖𝑜𝑛 𝑜𝑓 𝑐𝑒𝑙𝑙𝑠. 𝑴𝒂𝒍𝒂𝒕𝒆 𝑷𝒚𝒓𝒖𝒗𝒂𝒕𝒆 + 𝑪𝑶𝟐 𝑀𝑎𝑙𝑎𝑡𝑒 𝑒𝑛𝑧𝑦𝑚𝑒 𝑵𝑨𝑫𝑷+ 𝑵𝑨𝑫𝑷𝑯 + 𝑯+ 𝑪𝒂𝒍𝒗𝒊𝒏 𝑪𝒚𝒄𝒍𝒆 𝐷𝑢𝑟𝑖𝑛𝑔 𝑑𝑎𝑦𝑡𝑖𝑚𝑒, 𝑡ℎ𝑒 𝑠𝑡𝑜𝑚𝑎𝑡𝑎 𝑜𝑓 𝑝𝑙𝑎𝑛𝑡 𝑐𝑙𝑜𝑠𝑒 & 𝑝𝑟𝑒𝑣𝑒𝑛𝑡 𝑒𝑥𝑐𝑒𝑠𝑠𝑖𝑣𝑒 𝑤𝑎𝑡𝑒𝑟 𝑙𝑜𝑠𝑠. 𝑇ℎ𝑒 𝐶𝑂2 𝑙𝑖𝑏𝑒𝑟𝑎𝑡𝑒𝑑 𝑒𝑛𝑡𝑒𝑟𝑠 𝐶3 𝐶𝑦𝑐𝑙𝑒 𝑓𝑜𝑟 𝑐𝑎𝑟𝑏𝑜𝑛 − 𝑓𝑖𝑥𝑎𝑡𝑖𝑜𝑛 𝑢𝑠𝑖𝑛𝑔 𝑡ℎ𝑒 𝑒𝑛𝑒𝑟𝑔𝑦 𝑜𝑏𝑡𝑎𝑖𝑛𝑒𝑑 𝑓𝑟𝑜𝑚 𝐿𝑖𝑔ℎ𝑡 𝑟𝑒𝑎𝑐𝑡𝑖𝑜𝑛.