Embed presentation
Download to read offline















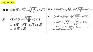
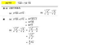
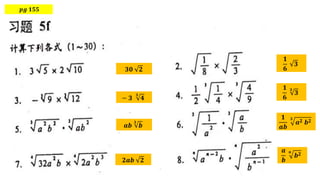
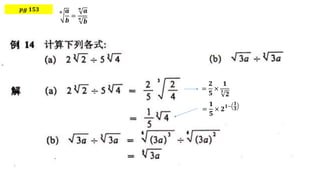
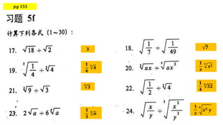
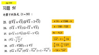
The document contains mathematical expressions and equations with variables like x, y, a, b. It explores properties of expressions involving exponents, like an, bn, anb. Several expressions are set equal to each other and multiplied out. Pages reference different steps in the working.














