Hari Sharan Makaju
M.Sc. Clinical Biochemistry
1st year
 Structure of phenylalanine and tyrosine
 Conversion of phenylalanine to tyrosine
 Metabolic fate of tyrosine
 Metabolic roles of tyrosine
 Related disorders
 Tyrosine possesses an extra –OH group at para position of
benzene ring.
PHENYLALANINE
 Aromatic & essential amino acid
 Both Glucogenic & Ketogenic.
 Phenylalanine is converted to tyrosine.
 The need for phenylalanine becomes minimal, if adequate
tyrosine is supplied in the food.
 This is called the sparing action of tyrosine on
phenylalanine.
 Predominant metabolism of phenylalanine occurs through
tyrosine and incorporated into various biologically
important compounds.
 Epinephrine, norepinephrine, dopamine, thyroid hormones &
the pigment melanin.
 Phenylalanine (Phe) is specified by the codons UUU and
UUC
Food and Nutrition Board (FNB) of the U.S. Institute of
Medicine set Recommended Dietary Allowances (RDA) :
For phenylalanine + tyrosine,
For adults 19 years and older - 33 mg/kg body weight/day
 Reaction involves hydroxylation of phenyl alanine at p-
position in benzene ring
 Enzyme: Phenyl alanine hydroxylase.
 Present in liver and the conversion occurs in Liver
 The reaction is complex and takes place in two activity -
 I. Reduction of O2 to H2O and conversion of phenylalanine to
tyrosine. Tertahydrobiopterin acts as H-donor to the
molecular O2
 II. Reduction of dihydrobiopterin, FH2 by NADPH,
catalysed by the enzyme Dihydrobiopterin reductase.
TYROSINE
 Aromatic amino acid
 synthesized from phenylalanine, and so is a non-
essential amino acid
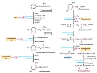
 Tyrosine is degraded to produce as end products
‘Fumarate’ and ‘acetoacetate’.
 Fumarate is glucogenic, whereas acetoacetate is
ketogenic
 Tyrosine is specified by the codons UAU and UAC,
 Degradation of tyrosine
 Occurs mostly in liver.
 Transamination
 Production of homogentisic
acid
 Cleavage of aromatic ring
 Isomeriozatioin
 Hyrolysis
 Tyrosine first undergoes transamination to P-hydroxyphenyl pyruvate,
catalyzed by tyrosine transaminase
 pyridoxal phosphate dependent.
 is induced by glucocorticoids.
 Reaction catalyzed by the enzyme p-Hydroxyphenylpyruvate oxidase,a
copper-containing enzyme.
 It catalyzes oxidative decarboxylation as well as hydroxylation of the
phenyl ring of p-hydroxyl phenyl pyruvate to produce
homogentisate.
 requires ascorbic acid (Vit. C) and Vit. B12
 Homogentisate oxidase (iron metallo- protein) cleaves the benzene
ring of homogentisate to form 4-maleylacetoacetate.
 Molecular oxygen is required for this reaction to break the
aromatic ring.
 Inhibitor : α-α’-dipyridil
 4-Maleylacetoacetate undergoes isomerization to form 4-
fumaryl acetoacetate.
 Catalyzed by maleylacetoacetate isomerase
 Fumaryl acetoacetase (fumaryl acetoacetate hydrolase) brings about
the hydrolysis of fumaryl acetoacetate to liberate fumarate(glucogenic
product ) & acetoacetate(ketone body ).
 Hence, phenylalanine and tyrosine are partly glucogenic and partly
ketogenic.
 Synthesis of thyroid hormones: Thyroxine (T4) and
triiodothyronine (T3)
 Synthesis of melanin pigment
 Synthesis of catecholamines
 Thyroid hormones – Thyroxine (T4) &
triiodothyronine(T3)
 are synthesized from the tyrosine residues of the protein
thyroglobulin & activated iodine.
 Iodination of tyrosine ring occurs to produce mono &
diiodotyrosine from which triiodothyronine (T3) &
thyroxine (T4) are synthesized.
 The protein thyroglobulin undergoes proteolytic
breakdown to release the free hormones - T3 & T4.
 Greek word “Melan” means - black
 Melanin pigment gives the black color to the skin, hair
and eye.
 The synthesis of melanin occurs in melanosomes present
in melanocytes, the pigment producing cells.
 Tyrosine is precursor for melanin & only one enzyme,
namely tyrosinase (a copper containing oxygenase), is
involved in its formation.
 Eumelanins :
 Insoluble, heterogenous, high molecular weight, black to
brown heteropolymers of 5, 6-dihydroxy indole and several
of its biosynthetic precursors, viz.
 Leucodopachrome and Dopachrome.
 Pheomelanins :
 Yellow to reddish-brown polymers, though of high
molecular weight are soluble in dilute alkali. They contain
sulphur.
 Trichochromes :
 These low molecular weight
compounds, contains sulphur and are related to
pheomelanins
I. Formation of DOPA:
 Hydroxylation of tyrosine by
tyrosinase((a copper containing
oxygenase) , to form dihydroxyphenyl
alanine or DOPA
II. Formation of DOPA quinone:
 Tyrosinase again acts on DOPA to form
dopaquinone
III. Formation of indolequinone:
 DOPA quinone is converted to
indolequinone through a series of
reactions involving decarboxylation and
oxidation of the side chain.
 The indolequinone is polymerized to
form melanin.
 Another pathway:
 Cysteine condenses with dopaquinone
& in the next series of reactions results
the synthesis of red melanins.
 The skin color of the individual is
determined by the relative
concentrations of black & red melanins.
 This, in turn, is dependent on many
factors, both genetic & environmental.
 These include the activity of tyrosinase,
the density of melanocytes, availability
of tyrosine etc.
 The presence of moles on the body represents a localized
severe hyperpigmentation due to hyperactivity of melanocytes.
 Localized absence or degeneration of melanocytes results in
white patches on the skin commonly known as leucoderma.
 Albinism is an inborn error with generalized lack of melanin
synthesis.
 Tyrosinase is present in melanoblasts and produces DOPA (
useful in melanin synthesis)
Catecholamines
 Epinephrine
 Nor-epinephrine
 Dopamine
They are produced by the adrenal medulla
and sympathetic ganglia.
Catecholamines are derived from tyrosine.
Tyrosine is taken up actively by cells of
adrenal medulla pheochromocytes and
neuroglial cells
1. Conversion of tyrosine to DOPA (In
mitochondrion)
2. Conversion of DOPA to dopamine (In
cytoplasm)
3. Conversion of dopamine to
norepinephrine (In granules/vesicles)
4. Conversion of Nor-epinephrine to
epinephrine (In cytosol)
 Tyrosine hydroxylase:
 Tyrosine is hydroxylated to 3,4-
dihydroxyphenylalanine (DOPA)
by tyrosine hydroxylase.
 It is a rate limiting enzyme &
requires tetrahydrobiopterin as
coenzyme.
 DOPA-decarboxylase:
 DOPA undergoes PLP-dependent
decarboxylation to give dopamine.
 In Parkinsonism, the dopamine content
in brain is reduced.
 As dopamine will not enter into the brain
cells, the precursor, L-DOPA is used as a
drug in Parkinsonism.
 Alpha methyl DOPA will inhibit DOPA
decarboxylase & prevent production of
epinephrine; so it is an antihypertensive
drug
 Dopamine from cytosol enters Chromaffin
granules of Pheochromocytes or granulated
vesicles of brain cells or nerve endings.
 Dopamine is hydroxylated to
Norepinephrine by the enzyme Dopamine-
β-hydroxylase, a Copper-containing
enzyme.
 Vit C is required for the reaction.
 Nor-epinephrine comes out of the chromaffin
granules into cytosol, where it is methylated.
 CH3 group is donated by “active” methionine
(S adenosyl methionine) and the enzyme
catalyzing the reaction is N-methyl
transferase.
 This reaction does not take place in nerve
cells, where synthesis stops at Norepinephrine
stage.
 Epinephrine after synthesis in cytosol moves
back to chromaffin granules, where it is stored
 Increases in blood pressure
 Adrenaline also increases the rate & force of myocardial
contraction.
 Epinephrine causes relaxation of smooth muscles of bronchi
 Adrenaline is anti-insulin in nature, it increases
glycogenolysis & stimulates lipolysis.
 Adrenaline is released from adrenal medulla in response to
flight, fight, exercise and hypoglycemia
 The half-life of epinephrine is 2-5 minutes.
 Epinephrine is catabolized in tissues, by catechol-O-methyl
transferase (COMT) to metanephrine.
 It is then acted upon by mono amine oxidase (MAO).
 MAO will oxidatively deaminate metanephrine.
 The major end product is 3-hydroxy-4- methoxy mandelic acid or
vanillyl mandelic acid (VMA).
 Normally VMA is excreated 2-6 mg/24 hrs
 VMA is Increased in pheochromocytoma and neuroblastoma
1.Phenylketonuria (PKU)
2.Tyrosinemia type II
3.Neonatal tyrosinemia (Tyrosinemia type III)
4.Alkaptonuria
5.Tyrosinemia type I
6.Albinism
 Most common metabolic disorder in amino acid metabolism
 Type I Hyper phenylalaninemia
 Autosomal recessive with Incidence of PKU is 1 in 10,000 births
 Due to deficiency of the hepatic enzymes, phenylalanine hydroxylase,
encoded by the PAH gene
 Defect in dihydrobiopterin reductase is also reported
 PKU primarily causes the accumulation of phenylalanine in tissues
and blood & excretion in urine
Pregnant mothers with untreated PKU can
give birth to children with severe defects
 congenital malformations
 microcephaly
 severe mental retardation
 Careful treatment with diet is compatible
with normal outcome for fetus
 Alternative pathway for
catabolism of phenylalnine in
phenylaketonuria.
phenypyruvate,
phenylacetate,
phenyllactate and
phenylglutamine
1.Effect on CNS
 Mental retardation, failure to walk or talk, failure of
growth, seizures and tremor
 Hypotyrosinemia:low[tyrosine],low neurotransmitters
 (loss of biogenic amines at critical stages in postnatal
brain maturation)
 Defective brain myelination (chronic and irreversible)
2. Effect on pigmentation
• Melanin is the pigment synthesized from tyrosine by
tyrosinase
• Accumulation of phenylalanine competitively inhibits
tyrosinase and impairs melanin formation
• The result is hypopigmentation that causes light skin
color, fair hair, blue eyes
3. Elevated levels of phenylalnine, phenylpyruvate,
phenylactate and phenylacetate are found in plasma
& urine giving mousey odor
 Normal level in newborns: 1 -2 mg/dl
 PKU: >20 mg/dl
 Guthrie test: performed after the baby is
fed with breast milk for a couple of days.
 Bacterial growth(Bacillus subtilis) is
proportional to the phenylalanine content
in the patient’s blood.
• Phenylpyruvate in urine can be detected by ferric chloride test (green color) –
non specific test
• Tandem mass spectrometry (MS/MS). Measurements done using MS/MS
determine the concentration of Phe and the ratio of Phe to tyrosine, the ratio
will be elevated in PKU.
 Richner-Hanhart syndrome
 Defect in enzyme tyrosine
transaminase
 Results in blockage in the
routine degradative pathway
of tyrosine
 Characterized by skin and
eye lesions as well as
neurologic problems
 Caused by absence of enzyme p-hydoxyphenyl pyruvate
dioxygenase
 Mostly temporary condition and usually responds to ascorbic
acid
 Substrate inhibition of the enzyme is overcome by the presence
of ascorbic acid
 First described by Lusitanus in 1649
 Autosomal recessive disorder with 1 in 25,000 births
 Defective enzyme: homogentisate oxidase in tyrosine metabolism
 Homogentisate accumulates in tissues and blood and is excreted into
urine
 On standing, Homogentisate gets oxidized to corresponding
quinones, which polymerize to give black or brown color
 Urine resembles coke in color
 Chromatography for quanitification of Homogentisate
 Homogentisate gets oxidized by polyphenol oxidase to
benzoquinone acetate which undergoes polymerization to
produce a pigment called alkapton
 Deposition occurs in connective tissue, bones and various
organs (nose, ear) resulting in a condition known as ochronosis
 Arthritis; due to deposition of pigment alkaptons in the joints
 Treatment by consumption of protein diet with relatively low
phenylalanine content
 Due to deficiency of the enzymes: fumarylacetoacetate hydroxylase
 Rare but serious disorder
 Causes liver failure, rickets, renal tubular dysfunction and
polyneuropathy
 Tyrosine and its metabolites are excreted in urine
 In acute tyrosinosis, the infant exhibits diarrhea, vomiting and
cabbage-like odor
 Death may seen due to liver failure within 1 year
 Fumarylacetoacetate on reductioin form succinylacetoacetate
 Decarboxylation of succinylacetoacetate to Succinylacetone
 Accumulation of 5-aminolevulinic acid (ALA) as the result of
inhibition of ALA dehydratase by Succinylacetone,
 High succinylacetone levels (diagnostic). tyrosine
levels: normal or slightly elevated.
 Methionine: high
 Delta-aminolevulinic acid: high
 Alfa-feto protein: very high (marker of
hepatocellular carcinoma)
 Albino – white
 Inborn error due to lack of synthesis of the melanin pigment
 Defect in tyrosinase enzyme
 Autosomal recessive disorder with 1 in 20,000
Biochemical basis:
1.Deficiency or lack of the enzyme tyrosinase
2.Decrease in melanosomes of melanocytes
3.Impairment in melanin polymerization
4.Limitation of substrate (tyrosine) availability
5.Lack of protein matrix in melanosomes
 Types of Albinism
a) Oculocutaneous albinism:
 Decreased pigmentation of skin and eyes.
 They can be differentiated by clinical
presentation and biochemical and other features.
 Such ‘albinos’ can be biochemically of two types:
(i) ‘Tyrosinase’ negative albinos
(ii) ‘Tyrosinase’ positive albinos
b) Ocular albinism:
 Affects only eye and not the skin.
 Occurs both as autosomal recessive and as an X-
linked trait
 Lack of melanin pigments makes skin sensitive to sunlight
 Increased susceptibility to skin cancer
 Photophobia with lack of pigment in the eyes
Ocular
albinism
Oculocutaneous albinism Oculocutaneous albinism
 David L. Nelson and Michel M. Cox: Lehninger’s Principles of
Biochemistry, (4th Ed.)
 Ferrier D. Lippincott’s Illustrated Review: Biochemistry. 7th ed.
 Robert k. Murray, D.K.Granner ,P.A.Mayes & Victor W.Rodwell
Harpers illustrated biochemistry 26th edition
 MN Chatterjea, Textbook of medical biochemistry , 8th edition
 Vasudevan DM, S S, Vaidyanathan K. Textbook of Biochemistry
for Medical Student. 8th ed.
 U Satyanarayana, Biochemistry 4th ed.
 Tietz Textbook of CLINICAL CHEMISTRY MOLECULAR
DIAGNOSTICS, Carl A. Burtis, Ph.D., Edward R. Ashwood,
M.D,David E. Bruns, M.D, Fifth edition

Phenylalanine and tyrosine for class

  • 1.
    Hari Sharan Makaju M.Sc.Clinical Biochemistry 1st year
  • 2.
     Structure ofphenylalanine and tyrosine  Conversion of phenylalanine to tyrosine  Metabolic fate of tyrosine  Metabolic roles of tyrosine  Related disorders
  • 3.
     Tyrosine possessesan extra –OH group at para position of benzene ring.
  • 4.
    PHENYLALANINE  Aromatic &essential amino acid  Both Glucogenic & Ketogenic.  Phenylalanine is converted to tyrosine.  The need for phenylalanine becomes minimal, if adequate tyrosine is supplied in the food.  This is called the sparing action of tyrosine on phenylalanine.  Predominant metabolism of phenylalanine occurs through tyrosine and incorporated into various biologically important compounds.  Epinephrine, norepinephrine, dopamine, thyroid hormones & the pigment melanin.  Phenylalanine (Phe) is specified by the codons UUU and UUC
  • 5.
    Food and NutritionBoard (FNB) of the U.S. Institute of Medicine set Recommended Dietary Allowances (RDA) : For phenylalanine + tyrosine, For adults 19 years and older - 33 mg/kg body weight/day
  • 6.
     Reaction involveshydroxylation of phenyl alanine at p- position in benzene ring  Enzyme: Phenyl alanine hydroxylase.  Present in liver and the conversion occurs in Liver  The reaction is complex and takes place in two activity -  I. Reduction of O2 to H2O and conversion of phenylalanine to tyrosine. Tertahydrobiopterin acts as H-donor to the molecular O2  II. Reduction of dihydrobiopterin, FH2 by NADPH, catalysed by the enzyme Dihydrobiopterin reductase.
  • 8.
    TYROSINE  Aromatic aminoacid  synthesized from phenylalanine, and so is a non- essential amino acid  Tyrosine is degraded to produce as end products ‘Fumarate’ and ‘acetoacetate’.  Fumarate is glucogenic, whereas acetoacetate is ketogenic  Tyrosine is specified by the codons UAU and UAC,  Degradation of tyrosine  Occurs mostly in liver.
  • 9.
     Transamination  Productionof homogentisic acid  Cleavage of aromatic ring  Isomeriozatioin  Hyrolysis
  • 10.
     Tyrosine firstundergoes transamination to P-hydroxyphenyl pyruvate, catalyzed by tyrosine transaminase  pyridoxal phosphate dependent.  is induced by glucocorticoids.
  • 11.
     Reaction catalyzedby the enzyme p-Hydroxyphenylpyruvate oxidase,a copper-containing enzyme.  It catalyzes oxidative decarboxylation as well as hydroxylation of the phenyl ring of p-hydroxyl phenyl pyruvate to produce homogentisate.  requires ascorbic acid (Vit. C) and Vit. B12
  • 12.
     Homogentisate oxidase(iron metallo- protein) cleaves the benzene ring of homogentisate to form 4-maleylacetoacetate.  Molecular oxygen is required for this reaction to break the aromatic ring.  Inhibitor : α-α’-dipyridil
  • 13.
     4-Maleylacetoacetate undergoesisomerization to form 4- fumaryl acetoacetate.  Catalyzed by maleylacetoacetate isomerase
  • 14.
     Fumaryl acetoacetase(fumaryl acetoacetate hydrolase) brings about the hydrolysis of fumaryl acetoacetate to liberate fumarate(glucogenic product ) & acetoacetate(ketone body ).  Hence, phenylalanine and tyrosine are partly glucogenic and partly ketogenic.
  • 15.
     Synthesis ofthyroid hormones: Thyroxine (T4) and triiodothyronine (T3)  Synthesis of melanin pigment  Synthesis of catecholamines
  • 16.
     Thyroid hormones– Thyroxine (T4) & triiodothyronine(T3)  are synthesized from the tyrosine residues of the protein thyroglobulin & activated iodine.  Iodination of tyrosine ring occurs to produce mono & diiodotyrosine from which triiodothyronine (T3) & thyroxine (T4) are synthesized.  The protein thyroglobulin undergoes proteolytic breakdown to release the free hormones - T3 & T4.
  • 17.
     Greek word“Melan” means - black  Melanin pigment gives the black color to the skin, hair and eye.  The synthesis of melanin occurs in melanosomes present in melanocytes, the pigment producing cells.  Tyrosine is precursor for melanin & only one enzyme, namely tyrosinase (a copper containing oxygenase), is involved in its formation.
  • 18.
     Eumelanins : Insoluble, heterogenous, high molecular weight, black to brown heteropolymers of 5, 6-dihydroxy indole and several of its biosynthetic precursors, viz.  Leucodopachrome and Dopachrome.  Pheomelanins :  Yellow to reddish-brown polymers, though of high molecular weight are soluble in dilute alkali. They contain sulphur.  Trichochromes :  These low molecular weight compounds, contains sulphur and are related to pheomelanins
  • 19.
    I. Formation ofDOPA:  Hydroxylation of tyrosine by tyrosinase((a copper containing oxygenase) , to form dihydroxyphenyl alanine or DOPA II. Formation of DOPA quinone:  Tyrosinase again acts on DOPA to form dopaquinone III. Formation of indolequinone:  DOPA quinone is converted to indolequinone through a series of reactions involving decarboxylation and oxidation of the side chain.  The indolequinone is polymerized to form melanin.
  • 20.
     Another pathway: Cysteine condenses with dopaquinone & in the next series of reactions results the synthesis of red melanins.  The skin color of the individual is determined by the relative concentrations of black & red melanins.  This, in turn, is dependent on many factors, both genetic & environmental.  These include the activity of tyrosinase, the density of melanocytes, availability of tyrosine etc.
  • 21.
     The presenceof moles on the body represents a localized severe hyperpigmentation due to hyperactivity of melanocytes.  Localized absence or degeneration of melanocytes results in white patches on the skin commonly known as leucoderma.  Albinism is an inborn error with generalized lack of melanin synthesis.  Tyrosinase is present in melanoblasts and produces DOPA ( useful in melanin synthesis)
  • 22.
    Catecholamines  Epinephrine  Nor-epinephrine Dopamine They are produced by the adrenal medulla and sympathetic ganglia. Catecholamines are derived from tyrosine.
  • 23.
    Tyrosine is takenup actively by cells of adrenal medulla pheochromocytes and neuroglial cells 1. Conversion of tyrosine to DOPA (In mitochondrion) 2. Conversion of DOPA to dopamine (In cytoplasm) 3. Conversion of dopamine to norepinephrine (In granules/vesicles) 4. Conversion of Nor-epinephrine to epinephrine (In cytosol)
  • 24.
     Tyrosine hydroxylase: Tyrosine is hydroxylated to 3,4- dihydroxyphenylalanine (DOPA) by tyrosine hydroxylase.  It is a rate limiting enzyme & requires tetrahydrobiopterin as coenzyme.
  • 25.
     DOPA-decarboxylase:  DOPAundergoes PLP-dependent decarboxylation to give dopamine.  In Parkinsonism, the dopamine content in brain is reduced.  As dopamine will not enter into the brain cells, the precursor, L-DOPA is used as a drug in Parkinsonism.  Alpha methyl DOPA will inhibit DOPA decarboxylase & prevent production of epinephrine; so it is an antihypertensive drug
  • 26.
     Dopamine fromcytosol enters Chromaffin granules of Pheochromocytes or granulated vesicles of brain cells or nerve endings.  Dopamine is hydroxylated to Norepinephrine by the enzyme Dopamine- β-hydroxylase, a Copper-containing enzyme.  Vit C is required for the reaction.
  • 27.
     Nor-epinephrine comesout of the chromaffin granules into cytosol, where it is methylated.  CH3 group is donated by “active” methionine (S adenosyl methionine) and the enzyme catalyzing the reaction is N-methyl transferase.  This reaction does not take place in nerve cells, where synthesis stops at Norepinephrine stage.  Epinephrine after synthesis in cytosol moves back to chromaffin granules, where it is stored
  • 28.
     Increases inblood pressure  Adrenaline also increases the rate & force of myocardial contraction.  Epinephrine causes relaxation of smooth muscles of bronchi  Adrenaline is anti-insulin in nature, it increases glycogenolysis & stimulates lipolysis.  Adrenaline is released from adrenal medulla in response to flight, fight, exercise and hypoglycemia
  • 29.
     The half-lifeof epinephrine is 2-5 minutes.  Epinephrine is catabolized in tissues, by catechol-O-methyl transferase (COMT) to metanephrine.  It is then acted upon by mono amine oxidase (MAO).  MAO will oxidatively deaminate metanephrine.  The major end product is 3-hydroxy-4- methoxy mandelic acid or vanillyl mandelic acid (VMA).  Normally VMA is excreated 2-6 mg/24 hrs  VMA is Increased in pheochromocytoma and neuroblastoma
  • 31.
    1.Phenylketonuria (PKU) 2.Tyrosinemia typeII 3.Neonatal tyrosinemia (Tyrosinemia type III) 4.Alkaptonuria 5.Tyrosinemia type I 6.Albinism
  • 33.
     Most commonmetabolic disorder in amino acid metabolism  Type I Hyper phenylalaninemia  Autosomal recessive with Incidence of PKU is 1 in 10,000 births  Due to deficiency of the hepatic enzymes, phenylalanine hydroxylase, encoded by the PAH gene  Defect in dihydrobiopterin reductase is also reported  PKU primarily causes the accumulation of phenylalanine in tissues and blood & excretion in urine
  • 34.
    Pregnant mothers withuntreated PKU can give birth to children with severe defects  congenital malformations  microcephaly  severe mental retardation  Careful treatment with diet is compatible with normal outcome for fetus
  • 35.
     Alternative pathwayfor catabolism of phenylalnine in phenylaketonuria. phenypyruvate, phenylacetate, phenyllactate and phenylglutamine
  • 36.
    1.Effect on CNS Mental retardation, failure to walk or talk, failure of growth, seizures and tremor  Hypotyrosinemia:low[tyrosine],low neurotransmitters  (loss of biogenic amines at critical stages in postnatal brain maturation)  Defective brain myelination (chronic and irreversible)
  • 37.
    2. Effect onpigmentation • Melanin is the pigment synthesized from tyrosine by tyrosinase • Accumulation of phenylalanine competitively inhibits tyrosinase and impairs melanin formation • The result is hypopigmentation that causes light skin color, fair hair, blue eyes 3. Elevated levels of phenylalnine, phenylpyruvate, phenylactate and phenylacetate are found in plasma & urine giving mousey odor
  • 38.
     Normal levelin newborns: 1 -2 mg/dl  PKU: >20 mg/dl  Guthrie test: performed after the baby is fed with breast milk for a couple of days.  Bacterial growth(Bacillus subtilis) is proportional to the phenylalanine content in the patient’s blood. • Phenylpyruvate in urine can be detected by ferric chloride test (green color) – non specific test • Tandem mass spectrometry (MS/MS). Measurements done using MS/MS determine the concentration of Phe and the ratio of Phe to tyrosine, the ratio will be elevated in PKU.
  • 39.
     Richner-Hanhart syndrome Defect in enzyme tyrosine transaminase  Results in blockage in the routine degradative pathway of tyrosine  Characterized by skin and eye lesions as well as neurologic problems
  • 41.
     Caused byabsence of enzyme p-hydoxyphenyl pyruvate dioxygenase  Mostly temporary condition and usually responds to ascorbic acid  Substrate inhibition of the enzyme is overcome by the presence of ascorbic acid
  • 42.
     First describedby Lusitanus in 1649  Autosomal recessive disorder with 1 in 25,000 births  Defective enzyme: homogentisate oxidase in tyrosine metabolism  Homogentisate accumulates in tissues and blood and is excreted into urine  On standing, Homogentisate gets oxidized to corresponding quinones, which polymerize to give black or brown color  Urine resembles coke in color  Chromatography for quanitification of Homogentisate
  • 43.
     Homogentisate getsoxidized by polyphenol oxidase to benzoquinone acetate which undergoes polymerization to produce a pigment called alkapton  Deposition occurs in connective tissue, bones and various organs (nose, ear) resulting in a condition known as ochronosis  Arthritis; due to deposition of pigment alkaptons in the joints  Treatment by consumption of protein diet with relatively low phenylalanine content
  • 45.
     Due todeficiency of the enzymes: fumarylacetoacetate hydroxylase  Rare but serious disorder  Causes liver failure, rickets, renal tubular dysfunction and polyneuropathy  Tyrosine and its metabolites are excreted in urine  In acute tyrosinosis, the infant exhibits diarrhea, vomiting and cabbage-like odor  Death may seen due to liver failure within 1 year
  • 46.
     Fumarylacetoacetate onreductioin form succinylacetoacetate  Decarboxylation of succinylacetoacetate to Succinylacetone  Accumulation of 5-aminolevulinic acid (ALA) as the result of inhibition of ALA dehydratase by Succinylacetone,
  • 47.
     High succinylacetonelevels (diagnostic). tyrosine levels: normal or slightly elevated.  Methionine: high  Delta-aminolevulinic acid: high  Alfa-feto protein: very high (marker of hepatocellular carcinoma)
  • 48.
     Albino –white  Inborn error due to lack of synthesis of the melanin pigment  Defect in tyrosinase enzyme  Autosomal recessive disorder with 1 in 20,000 Biochemical basis: 1.Deficiency or lack of the enzyme tyrosinase 2.Decrease in melanosomes of melanocytes 3.Impairment in melanin polymerization 4.Limitation of substrate (tyrosine) availability 5.Lack of protein matrix in melanosomes
  • 49.
     Types ofAlbinism a) Oculocutaneous albinism:  Decreased pigmentation of skin and eyes.  They can be differentiated by clinical presentation and biochemical and other features.  Such ‘albinos’ can be biochemically of two types: (i) ‘Tyrosinase’ negative albinos (ii) ‘Tyrosinase’ positive albinos b) Ocular albinism:  Affects only eye and not the skin.  Occurs both as autosomal recessive and as an X- linked trait
  • 50.
     Lack ofmelanin pigments makes skin sensitive to sunlight  Increased susceptibility to skin cancer  Photophobia with lack of pigment in the eyes Ocular albinism Oculocutaneous albinism Oculocutaneous albinism
  • 53.
     David L.Nelson and Michel M. Cox: Lehninger’s Principles of Biochemistry, (4th Ed.)  Ferrier D. Lippincott’s Illustrated Review: Biochemistry. 7th ed.  Robert k. Murray, D.K.Granner ,P.A.Mayes & Victor W.Rodwell Harpers illustrated biochemistry 26th edition  MN Chatterjea, Textbook of medical biochemistry , 8th edition  Vasudevan DM, S S, Vaidyanathan K. Textbook of Biochemistry for Medical Student. 8th ed.  U Satyanarayana, Biochemistry 4th ed.  Tietz Textbook of CLINICAL CHEMISTRY MOLECULAR DIAGNOSTICS, Carl A. Burtis, Ph.D., Edward R. Ashwood, M.D,David E. Bruns, M.D, Fifth edition

Editor's Notes

  • #39 A spot of blood on a filter paper disc is placed on the surface of an agar plate containing a substance that inhibits the growth of bacteria. However, the inhibition can be overcome by high phe. After incubating the agar plate overnight, the diameter of the growth zone around the test disc is compared to that of a control disc of blood serum to which a known quantity of phe has been added. This permits one to estimate the amount of phe in the test disc
  • #40 Disturbed self-coordination is seen in these patients