Martensite (in steel)
Dr. Muhammad Ali Siddiqui
1
Martensite (in steel)
2
• Plate
• Lath
• Lenticular
• α‘ = Alpha Prime
Martensite
(bct-hard)
• ε = Epsilon
Martensite
(hcp-soft)
e.g Maraging Steel
(Zero Carbon)
Displacive decomposition of Austenite
3
Reconstructive
Displacive
•The “displacive transformation products” are very
important form engineering point of view, because
the volume fraction of these products directly affects
the mechanical properties of the steels.
•For example steels in bainite conditions show a
remarkable combination of strengthand toughness
[Nakasugi et al. 1983]
•and the large volume fraction of acicular ferrite
enhances the toughness [Garland and Kirkwood,
1975].
4
Introduction
• The name Martensite is after the German scientist
Martens.
• The quenching to room temperature of austenite in a
steel can lead to the formation of martensite, a very
hard phase in which the carbon, formerly in solid
solution in the austenite, remains in solution in the
new phase.
• Unlike ferrite or pearlite, martensite forms by a
deformation of the austenite lattice without any
diffusion of atoms.
• The deformation causes a change in the shape of the
transformed region, consisting of a large shear and a
volume expansion
5
• Martensite is, therefore, often referred to as a diffusionless, shear
transformation, which is highly crystallographic in character because
it is generated by a specific deformation of the austenite.
• Martensite remains of the greatest technological importance in steels
where it can confer an outstanding combination of strength (>
3500MPa) and toughness (> 200MPam1/2 )
• Martensite forms in many material, for example, nonferrous alloys,
pure metals, ceramics, minerals, inorganic compounds, solidified
gases and polymers (Table 1 slide No 8).
6
Characteristics Of
Martensite
7
Lenticular
1- Diffusionless Character: • Martensitic transformations
are diffusionless.
8
Evidence 1.
Martensite can form at very
low temperatures, where
diffusion, even of interstitial
atoms, is not conceivable over
the time period of the
experiment.
Analysis
Table 1 gives values of the highest
temperature at which martensite forms in
a variety of materials; It is obvious that
although martensite can form at low
temperatures, it need not do so.
but
Q: what evidence is there to support this?
9
1 K = -272.15 ℃
926 ℃
-190.15 ℃
-269.15 ℃
-219.85 ℃
-20.15 ℃
-43.15 ℃
1- Diffusionless Character: • Martensitic transformations
are diffusionless.
10
Evidence 1.
Martensite can form at very
low temperatures, where
diffusion, even of interstitial
atoms, is not conceivable over
the time period of the
experiment.
Rejection of the Evidence 1.
Table 1 gives values of the highest
temperature at which martensite forms in
a variety of materials; It is obvious that
although martensite can form at low
temperatures, it need not do so.
but
Q: what evidence is there to support this?
χ
Therefore, a low transformation temperature is
not sufficient evidence for diffusionless
transformation.
Evidence 2.
• Martensite can form
extremely rapidly.
• Martensite plates can grow
at speeds which approach
that of sound in the metal.
• Speed of Sound in metal =
1100ms−1 compare with
fastest solidification rate =
80ms−1 in pure nickel. (b/c
solidification involves
diffusion)
11
Rejection of the Evidence 2.
It can grow slowly as in case of
shape–memory alloys the interface
velocity is small enough to observe.
Where growing an un-growing the
Martensite at a slow rate.
Therefore, martensite need not
grow so rapidly.
χ
12
Evidence 3.
• The chemical composition
of martensite can be
measured and shown to be
identical to that of the
parent austenite.
Acceptance of the Evidence 3.
The entirety of these observations
demonstrate realistically that
martensitic transformations are
diffusionless.
√
2. The Habit Plane.
• This is the interface plane between austenite (γ) and martensite (α’)
as measured on a macroscopic scale.
• For unconstrained (free/unhindered) transformations this interface
plane is flat,
13
Single Crystal
Single Crystal in air
Supposing
Nothing
surrounding it
Habit Plane
• when the transformation is constrained (Forced) by its surroundings
the minimization of strain energy introduces some curvature.
14
Habit Plane
Forced by its surroundings
Like polycrystalline (many grains)
• Steels of much different chemical composition can have martensite
with the same habit plane (Table 2), and indeed, other identical
crystallographic characteristics.
15
3. Orientation Relationships.
• Formation of martensite involves the coordinated movement of
atoms  it means the austenite and martensite lattices are closely
related.
• close–packed planes in the ferrite and austenite are parallel or nearly
parallel, and corresponding directions within these planes are roughly
parallel:
16
17
Note: The body–centred cubic lattice
does not have a close–packed plane but
{0 1 1}αis the most densely packed
plane.
• Note that; these have been stated approximately:
• the true relations are irrational, meaning that the indices of the parallel planes and
directions cannot be expressed using rational numbers (the square root of 2 is not a
rational number).
Close packed
Plane and
Direction are
approximately
parallel
4. Athermal Nature of Transformation
• Athermally, i.e. the fraction (portion) transformed depends on the
undercooling below a martensite-start temperature, Ms.
• The Koistenen and Marburger equation which describes the progress
of transformation below Ms:
• Vα′ is the fraction of martensite and Tq is a temperature below MS.
• This athermal character is a consequence of very rapid nucleation and
growth, so rapid that the time taken can be neglected.
18
19
the amount of reaction is found to be virtually independent of time.
1%
50%
95%
Volume fraction
of Martensite Vα’
is a function of
Temperature not
time.
no matter how
long hold you at
that temperature
20
What is To ?
Driving force for the nucleation
of Martensite at the Ms
temperature:
To is the temp. where
Gibbs free energy of
austenite and martensite
are same.
• From Equation; it is evident that some austenite
remains untransformed when Tq is set to room
temperature. This is referred to as retained
austenite.
21
Fig. - Ms temperatures as a function of carbon content in steels.
Composition ranges of lath and plate martensite in Fe-C alloys are also
shown.
Fig. – Retained austenite as a function of carbon content in Fe-C steels.
Retained
Austenite
increase
because the
Mf
temperatures
are below
from room
temperature
24
• The relative effect of other alloying elements is indicated in the
following empirical relationship due to Andrews (concentrations in
wt%): The equation applies to a limited class of steels
25
5. Structure of the Interface b/w γ & α’:
• What is Interface: is simple a set of dislocation that allow to connect
two crystals.
• The formation of martensite cannot depend on the thermal
activation. There must be a high level of continuity(link) across the
interface, which must (may) be coherent and semi–coherent.
26
• Ans is : It must be Glissile.
• But Fully coherent or semi
–coherent??????
27
Migration of atoms by
dislocation glide that
results in the shearing of
the parent lattice into
the product.
Migration of atoms by the
random jumps of
individual atom/atoms
across the interface.
(Climb)
Q: What kind of interface must be
present b/w austenite γ &
martensite α’?
Hint: It must be special interface
that allow rapid transformation
without any diffusion.
• Fully coherent interface is impossible for the γ → α′ transformation
because, the lattice deformation BR is an invariant–line strain.
28
Where
B = Bain Strain
R = Rigid Body Rotation
• Invariant-Line: there is
no distortion and
rotation b/w γ & α′
along that line.
• Means Austenite and
martensite match
perfectly along that
line.
• Therefore, the
interface b/w γ & α′
must be semi coherent
in a special way.
Fig: Fully Coherent
Fig: A semi-coherent interface
semi coherency in a special way that there is
one set of dislocation:
1. A semi– coherent interface must be such that the interfacial
dislocations can glide as the interface moves (climb is not
permitted)
2. There is an additional condition for a semi–coherent interface to be
glissile.
29
• Fig. Atomic matching across a
(lll)fcc /(ll0)bcc interface bearing
the NW orientation relationship
for lattice parameters closely
corresponding to the case of fcc
and bcc iron (M.G. Hall et al.,
Surface Science, 31 (1972) 257).
• K-S and N-W orientation can be
found approx. in this type of
semi-coherency.
30
Complex Semi-coherent Interfaces
6. The Shape Deformation:
31
• The shape deformation can be
observed by “Interference
Microscopy”
• Color represents “HIGHT”
• It shows real physical deformation
like plastic deformation by twining &
Slipping (shows only change in
shape)
• In Martensite : Deform (Shape
change) + Crystal structural change.
Austenite Sample transformed to Martensite.
It is not etched sample.
32
• Any scratch which is crossing the transformed region is
similarly deflected though the scratch remains connected at the
α′/γ interface.
Deflection of surface scratch
Figs. – Deflection of surface scratch in Fe-0.31C-
30.5%Ni steel due to Martensite formation
Surface Relief
Figs. - Surface relief due to
martensitic trasnformation
35
• (a, b) Step caused
by the passage of
a slip dislocation.
• (c, d) Many slip
dislocations,
causing a
macroscopic
shear.
Wrong Shape because there is only volume change not crystal structure
change.
It is like normal
deforamation
with the help
of dislocation
movement.
(a) Uniaxial dilatation: (Volume
change)
Suppose Beryllium-Crystal having
Possion ratio =Zero; if it is pulled
there is only change in length not
contraction i.e. volume change =
a3 of Square ≠ a3 of Rectangle.
(b) Simple shear:
If something is shear there is only
shear not volume change.
(c) If we add (a) + (b) = Volume +
Shear, we get  Martensitic
shape, which is actually form in
Martensite.
36
Fig: shape deformation is an invariant–plane strain
• The observations confirm that the measured shape
deformation is an invariant–plane strain with a large shear
component ( s ≃ 0.22) and a small dilatational strain ( δ ≃ 0.03)
directed normal to the habit plane.
37
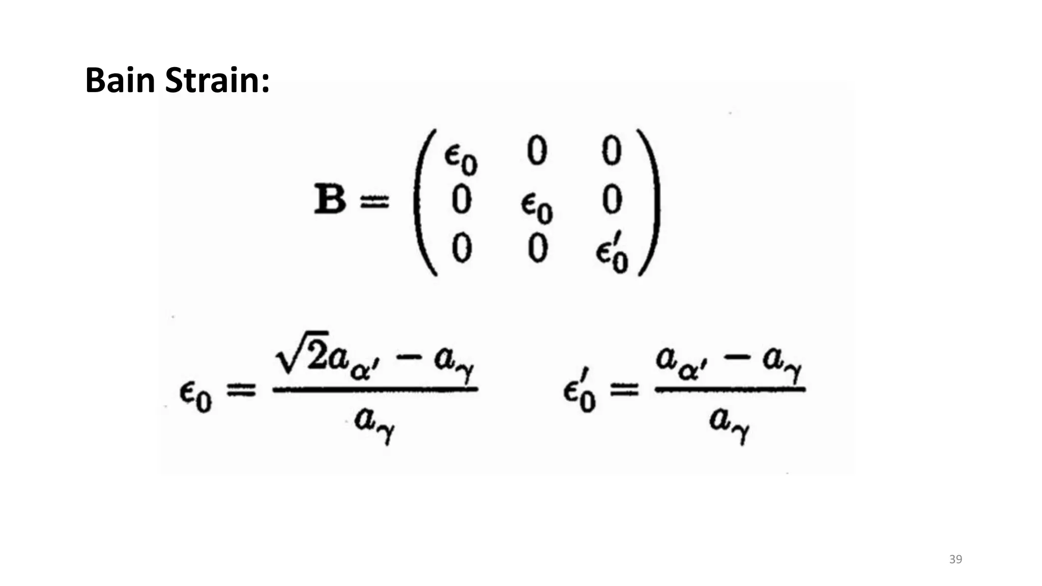
7. Bain Strain.
(Bain Distortion Model)
• Bain
deformation(Strain):
There is a compression
along the z axis and a
uniform expansion along
the x and y axes. 38
No deformation
just arrangement
of atoms in bct
but still fcc.
39
Bain Strain:
Drawback (inconsistency) of Bain Model:
• Although Bain Model has been accepted but,
1. This model neither involve- shear transformation- an important
feature of martensitic transformation
2. It does not explain orientation relationship.
3. It does not explain a well established Habit Plan.
4. No undistorted plane is available in Bain Distortion Model.
5. It is not possible to explain IPS associated with martensitic
transformation.
40
• The Bain strain implies the following orientation relationship
between the parent and product lattices:
• but in fact, the experimentally observed orientation relationships are
irrational not exactly like that.
41
Q: Is Bain strain leaves at least one line invariant?
• Yellow sphere = Austenite
• If it is compressed = Elliposed is
formed (Expansion along x-axis)
• So, oa become oa’ and ob become
ob’ are all equal length, means
length of oa and ob did not change
by the BAIN STRAIN.
• Now, are these invariant line?
No, b/c they are undistorted but they
are rotated.
42
So, the problem with Bain Strain, B:
it does not leave any line invariant..
• Supposing Austenite (Yellow sphere) and
we apply Bain Strain and generated
(Ellipsoid) Martensite.
• And then we rotate Martensite with
respect to the austenite so one of these
lines are connected.
• So the combination of Bain strain (B) and
rigid body rotation (B) gives an Invariant-
line strain (ILS).
• Bain strain is one-part of the deformation
the other part is rotation which generates
this invariant line. But there is no rotation
which will give two invariant line b/c we
need two invariant line to define invariant
plane.
(still in-consistency with this)
43
But this extra rotation that we have
put it, that’s predicts the irrational
orientation relationship. (so as a
result one problem has been solved)
Phenomenological Theory of Martensite
44
45
• Single crystal of Austenite of particular
shape
• Transformed into Martensite.
• We get a shape change which is like a shear,
observed shape is correct but wrong crystal
structure b/c we can not form austenite into
Martensite by simple shear.
• The observed shape deformation is an
invariant-plane strain .
• If a second homogeneous shear P2 is
combined with P1 (step b to c), then the
correct structure is obtained but the
wrong shape since: P1P2 = RB.
• The Problem did not solve, we need to
correct shape without change crystal
structure.
Phenomenological Theory of Martensite
Two-shear theory of Martensite formation
46
• These discrepancies are all
resolved if the shape changing
effect of P2 is cancelled
macroscopically by an
inhomogeneous lattice-invariant
deformation, which may be slip or
twinning
• The theory predicts a substructure
in plates of martensite (either twins or
slip steps) as is observed
experimentally. 
• The transformation ensure that the
shape deformation is macroscopically
an invariant-plane strain because this
reduces the strain energy when
compared with the case where the
shape deformation might be an ILS.
Conclusion
• Figure 10a and 10b shows
schematically the two types of
lattice invariant deformation
occurring within a martensite
plate. (Slipping & Twining)
47
It should be noted that the block of martensite
formed has produced a surface tilt and that the
observed habit is preserved by the
accommodation provided by either slip
(Fig. 5.10a) or twinning (Fig. 5.10b)
(Fig. 5.10a)
(Fig. 5.10b)
48
Q: When do we get slipped Martensite and Twinned Martensite?
When steel deform at
normal strain rate-
When steel
blasted
produces lots of
mechanical
twin.-
• Martensite forms extremely rapidly will be
twinned.
• Martensite which has dislocated interface
and produces slip steps it tends to be
slipped.
• If both of these processes happen perfectly
no one can find dislocation in the
Martensite.
• Zero Dislocation density in the
Martensite.(If processes happen perfectly )
49
50
Fig. - Schematic of shear
and surface tilt associated
with formation of a
martensite plate.
Dislocation
density is due to
plastic relaxation
of shape change.
51
• For FCC to HCP
• B = P1
• Habit Plane is Rational {111}γ
52
Why ε-Martensite Forms exactly {111}γ ?
• Epsilon Martensite pass an a/6 to
(110) dislocation to every successive
(111) gamma plane changes stacking
sequence of gamma to ABCABC into
ABABAB.  this is just a shear.
Lath
(Fe-9%Ni-0.15%C)
Lenticular
(Fe-29%Ni-0.26%C)
Thin plate
(Fe-31%Ni-0.23%C)
Substructure
/Mechanism
Dislocation/
Slipped
Dislocation
Twin (midrib) /Both
Twin/
Twining
Habit plane
{111}A
{557}A
{259}A
{3 10 15}A
{3 10 15}A
Orientation
Relatioship K-S
N-W
G-T
G-T
Ms -
Temperature high low
8. Morphology and crystallography of a’ (bcc or bct)
Martensite in ferrous alloys
Lath Martensite
Fe-31%Ni-0.28%C (Ms=192K)
Lenticular Martensite (Optical micrograph)
Fe-29%Ni-0.26%C (Ms=203K)
Thin plate Martensite
57
End Of Martensite
58
59
Invariant-Plane Strain: If the operation of a strain, leaves one plane of the parent crystal
completely unrotated and undistorted; this is known as an invariant-plane strain (IPS).
60

Phase Transformation in Steel-Lecture Series- D (Displacive Transformation, Martensite).pdf

  • 1.
    Martensite (in steel) Dr.Muhammad Ali Siddiqui 1
  • 2.
    Martensite (in steel) 2 •Plate • Lath • Lenticular • α‘ = Alpha Prime Martensite (bct-hard) • ε = Epsilon Martensite (hcp-soft) e.g Maraging Steel (Zero Carbon)
  • 3.
    Displacive decomposition ofAustenite 3 Reconstructive Displacive
  • 4.
    •The “displacive transformationproducts” are very important form engineering point of view, because the volume fraction of these products directly affects the mechanical properties of the steels. •For example steels in bainite conditions show a remarkable combination of strengthand toughness [Nakasugi et al. 1983] •and the large volume fraction of acicular ferrite enhances the toughness [Garland and Kirkwood, 1975]. 4
  • 5.
    Introduction • The nameMartensite is after the German scientist Martens. • The quenching to room temperature of austenite in a steel can lead to the formation of martensite, a very hard phase in which the carbon, formerly in solid solution in the austenite, remains in solution in the new phase. • Unlike ferrite or pearlite, martensite forms by a deformation of the austenite lattice without any diffusion of atoms. • The deformation causes a change in the shape of the transformed region, consisting of a large shear and a volume expansion 5
  • 6.
    • Martensite is,therefore, often referred to as a diffusionless, shear transformation, which is highly crystallographic in character because it is generated by a specific deformation of the austenite. • Martensite remains of the greatest technological importance in steels where it can confer an outstanding combination of strength (> 3500MPa) and toughness (> 200MPam1/2 ) • Martensite forms in many material, for example, nonferrous alloys, pure metals, ceramics, minerals, inorganic compounds, solidified gases and polymers (Table 1 slide No 8). 6
  • 7.
  • 8.
    1- Diffusionless Character:• Martensitic transformations are diffusionless. 8 Evidence 1. Martensite can form at very low temperatures, where diffusion, even of interstitial atoms, is not conceivable over the time period of the experiment. Analysis Table 1 gives values of the highest temperature at which martensite forms in a variety of materials; It is obvious that although martensite can form at low temperatures, it need not do so. but Q: what evidence is there to support this?
  • 9.
    9 1 K =-272.15 ℃ 926 ℃ -190.15 ℃ -269.15 ℃ -219.85 ℃ -20.15 ℃ -43.15 ℃
  • 10.
    1- Diffusionless Character:• Martensitic transformations are diffusionless. 10 Evidence 1. Martensite can form at very low temperatures, where diffusion, even of interstitial atoms, is not conceivable over the time period of the experiment. Rejection of the Evidence 1. Table 1 gives values of the highest temperature at which martensite forms in a variety of materials; It is obvious that although martensite can form at low temperatures, it need not do so. but Q: what evidence is there to support this? χ Therefore, a low transformation temperature is not sufficient evidence for diffusionless transformation.
  • 11.
    Evidence 2. • Martensitecan form extremely rapidly. • Martensite plates can grow at speeds which approach that of sound in the metal. • Speed of Sound in metal = 1100ms−1 compare with fastest solidification rate = 80ms−1 in pure nickel. (b/c solidification involves diffusion) 11 Rejection of the Evidence 2. It can grow slowly as in case of shape–memory alloys the interface velocity is small enough to observe. Where growing an un-growing the Martensite at a slow rate. Therefore, martensite need not grow so rapidly. χ
  • 12.
    12 Evidence 3. • Thechemical composition of martensite can be measured and shown to be identical to that of the parent austenite. Acceptance of the Evidence 3. The entirety of these observations demonstrate realistically that martensitic transformations are diffusionless. √
  • 13.
    2. The HabitPlane. • This is the interface plane between austenite (γ) and martensite (α’) as measured on a macroscopic scale. • For unconstrained (free/unhindered) transformations this interface plane is flat, 13 Single Crystal Single Crystal in air Supposing Nothing surrounding it Habit Plane
  • 14.
    • when thetransformation is constrained (Forced) by its surroundings the minimization of strain energy introduces some curvature. 14 Habit Plane Forced by its surroundings Like polycrystalline (many grains)
  • 15.
    • Steels ofmuch different chemical composition can have martensite with the same habit plane (Table 2), and indeed, other identical crystallographic characteristics. 15
  • 16.
    3. Orientation Relationships. •Formation of martensite involves the coordinated movement of atoms  it means the austenite and martensite lattices are closely related. • close–packed planes in the ferrite and austenite are parallel or nearly parallel, and corresponding directions within these planes are roughly parallel: 16
  • 17.
    17 Note: The body–centredcubic lattice does not have a close–packed plane but {0 1 1}αis the most densely packed plane. • Note that; these have been stated approximately: • the true relations are irrational, meaning that the indices of the parallel planes and directions cannot be expressed using rational numbers (the square root of 2 is not a rational number). Close packed Plane and Direction are approximately parallel
  • 18.
    4. Athermal Natureof Transformation • Athermally, i.e. the fraction (portion) transformed depends on the undercooling below a martensite-start temperature, Ms. • The Koistenen and Marburger equation which describes the progress of transformation below Ms: • Vα′ is the fraction of martensite and Tq is a temperature below MS. • This athermal character is a consequence of very rapid nucleation and growth, so rapid that the time taken can be neglected. 18
  • 19.
    19 the amount ofreaction is found to be virtually independent of time. 1% 50% 95% Volume fraction of Martensite Vα’ is a function of Temperature not time. no matter how long hold you at that temperature
  • 20.
    20 What is To? Driving force for the nucleation of Martensite at the Ms temperature: To is the temp. where Gibbs free energy of austenite and martensite are same.
  • 21.
    • From Equation;it is evident that some austenite remains untransformed when Tq is set to room temperature. This is referred to as retained austenite. 21
  • 22.
    Fig. - Mstemperatures as a function of carbon content in steels. Composition ranges of lath and plate martensite in Fe-C alloys are also shown.
  • 23.
    Fig. – Retainedaustenite as a function of carbon content in Fe-C steels. Retained Austenite increase because the Mf temperatures are below from room temperature
  • 24.
  • 25.
    • The relativeeffect of other alloying elements is indicated in the following empirical relationship due to Andrews (concentrations in wt%): The equation applies to a limited class of steels 25
  • 26.
    5. Structure ofthe Interface b/w γ & α’: • What is Interface: is simple a set of dislocation that allow to connect two crystals. • The formation of martensite cannot depend on the thermal activation. There must be a high level of continuity(link) across the interface, which must (may) be coherent and semi–coherent. 26
  • 27.
    • Ans is: It must be Glissile. • But Fully coherent or semi –coherent?????? 27 Migration of atoms by dislocation glide that results in the shearing of the parent lattice into the product. Migration of atoms by the random jumps of individual atom/atoms across the interface. (Climb) Q: What kind of interface must be present b/w austenite γ & martensite α’? Hint: It must be special interface that allow rapid transformation without any diffusion.
  • 28.
    • Fully coherentinterface is impossible for the γ → α′ transformation because, the lattice deformation BR is an invariant–line strain. 28 Where B = Bain Strain R = Rigid Body Rotation • Invariant-Line: there is no distortion and rotation b/w γ & α′ along that line. • Means Austenite and martensite match perfectly along that line. • Therefore, the interface b/w γ & α′ must be semi coherent in a special way. Fig: Fully Coherent Fig: A semi-coherent interface
  • 29.
    semi coherency ina special way that there is one set of dislocation: 1. A semi– coherent interface must be such that the interfacial dislocations can glide as the interface moves (climb is not permitted) 2. There is an additional condition for a semi–coherent interface to be glissile. 29
  • 30.
    • Fig. Atomicmatching across a (lll)fcc /(ll0)bcc interface bearing the NW orientation relationship for lattice parameters closely corresponding to the case of fcc and bcc iron (M.G. Hall et al., Surface Science, 31 (1972) 257). • K-S and N-W orientation can be found approx. in this type of semi-coherency. 30 Complex Semi-coherent Interfaces
  • 31.
    6. The ShapeDeformation: 31 • The shape deformation can be observed by “Interference Microscopy” • Color represents “HIGHT” • It shows real physical deformation like plastic deformation by twining & Slipping (shows only change in shape) • In Martensite : Deform (Shape change) + Crystal structural change. Austenite Sample transformed to Martensite. It is not etched sample.
  • 32.
    32 • Any scratchwhich is crossing the transformed region is similarly deflected though the scratch remains connected at the α′/γ interface.
  • 33.
    Deflection of surfacescratch Figs. – Deflection of surface scratch in Fe-0.31C- 30.5%Ni steel due to Martensite formation
  • 34.
    Surface Relief Figs. -Surface relief due to martensitic trasnformation
  • 35.
    35 • (a, b)Step caused by the passage of a slip dislocation. • (c, d) Many slip dislocations, causing a macroscopic shear. Wrong Shape because there is only volume change not crystal structure change. It is like normal deforamation with the help of dislocation movement.
  • 36.
    (a) Uniaxial dilatation:(Volume change) Suppose Beryllium-Crystal having Possion ratio =Zero; if it is pulled there is only change in length not contraction i.e. volume change = a3 of Square ≠ a3 of Rectangle. (b) Simple shear: If something is shear there is only shear not volume change. (c) If we add (a) + (b) = Volume + Shear, we get  Martensitic shape, which is actually form in Martensite. 36 Fig: shape deformation is an invariant–plane strain
  • 37.
    • The observationsconfirm that the measured shape deformation is an invariant–plane strain with a large shear component ( s ≃ 0.22) and a small dilatational strain ( δ ≃ 0.03) directed normal to the habit plane. 37
  • 38.
    7. Bain Strain. (BainDistortion Model) • Bain deformation(Strain): There is a compression along the z axis and a uniform expansion along the x and y axes. 38 No deformation just arrangement of atoms in bct but still fcc.
  • 39.
  • 40.
    Drawback (inconsistency) ofBain Model: • Although Bain Model has been accepted but, 1. This model neither involve- shear transformation- an important feature of martensitic transformation 2. It does not explain orientation relationship. 3. It does not explain a well established Habit Plan. 4. No undistorted plane is available in Bain Distortion Model. 5. It is not possible to explain IPS associated with martensitic transformation. 40
  • 41.
    • The Bainstrain implies the following orientation relationship between the parent and product lattices: • but in fact, the experimentally observed orientation relationships are irrational not exactly like that. 41
  • 42.
    Q: Is Bainstrain leaves at least one line invariant? • Yellow sphere = Austenite • If it is compressed = Elliposed is formed (Expansion along x-axis) • So, oa become oa’ and ob become ob’ are all equal length, means length of oa and ob did not change by the BAIN STRAIN. • Now, are these invariant line? No, b/c they are undistorted but they are rotated. 42 So, the problem with Bain Strain, B: it does not leave any line invariant..
  • 43.
    • Supposing Austenite(Yellow sphere) and we apply Bain Strain and generated (Ellipsoid) Martensite. • And then we rotate Martensite with respect to the austenite so one of these lines are connected. • So the combination of Bain strain (B) and rigid body rotation (B) gives an Invariant- line strain (ILS). • Bain strain is one-part of the deformation the other part is rotation which generates this invariant line. But there is no rotation which will give two invariant line b/c we need two invariant line to define invariant plane. (still in-consistency with this) 43 But this extra rotation that we have put it, that’s predicts the irrational orientation relationship. (so as a result one problem has been solved)
  • 44.
  • 45.
    45 • Single crystalof Austenite of particular shape • Transformed into Martensite. • We get a shape change which is like a shear, observed shape is correct but wrong crystal structure b/c we can not form austenite into Martensite by simple shear. • The observed shape deformation is an invariant-plane strain . • If a second homogeneous shear P2 is combined with P1 (step b to c), then the correct structure is obtained but the wrong shape since: P1P2 = RB. • The Problem did not solve, we need to correct shape without change crystal structure. Phenomenological Theory of Martensite Two-shear theory of Martensite formation
  • 46.
    46 • These discrepanciesare all resolved if the shape changing effect of P2 is cancelled macroscopically by an inhomogeneous lattice-invariant deformation, which may be slip or twinning • The theory predicts a substructure in plates of martensite (either twins or slip steps) as is observed experimentally.  • The transformation ensure that the shape deformation is macroscopically an invariant-plane strain because this reduces the strain energy when compared with the case where the shape deformation might be an ILS. Conclusion
  • 47.
    • Figure 10aand 10b shows schematically the two types of lattice invariant deformation occurring within a martensite plate. (Slipping & Twining) 47 It should be noted that the block of martensite formed has produced a surface tilt and that the observed habit is preserved by the accommodation provided by either slip (Fig. 5.10a) or twinning (Fig. 5.10b) (Fig. 5.10a) (Fig. 5.10b)
  • 48.
    48 Q: When dowe get slipped Martensite and Twinned Martensite? When steel deform at normal strain rate- When steel blasted produces lots of mechanical twin.- • Martensite forms extremely rapidly will be twinned. • Martensite which has dislocated interface and produces slip steps it tends to be slipped. • If both of these processes happen perfectly no one can find dislocation in the Martensite. • Zero Dislocation density in the Martensite.(If processes happen perfectly )
  • 49.
  • 50.
    50 Fig. - Schematicof shear and surface tilt associated with formation of a martensite plate. Dislocation density is due to plastic relaxation of shape change.
  • 51.
  • 52.
    • For FCCto HCP • B = P1 • Habit Plane is Rational {111}γ 52 Why ε-Martensite Forms exactly {111}γ ? • Epsilon Martensite pass an a/6 to (110) dislocation to every successive (111) gamma plane changes stacking sequence of gamma to ABCABC into ABABAB.  this is just a shear.
  • 53.
    Lath (Fe-9%Ni-0.15%C) Lenticular (Fe-29%Ni-0.26%C) Thin plate (Fe-31%Ni-0.23%C) Substructure /Mechanism Dislocation/ Slipped Dislocation Twin (midrib)/Both Twin/ Twining Habit plane {111}A {557}A {259}A {3 10 15}A {3 10 15}A Orientation Relatioship K-S N-W G-T G-T Ms - Temperature high low 8. Morphology and crystallography of a’ (bcc or bct) Martensite in ferrous alloys
  • 54.
  • 55.
    Fe-31%Ni-0.28%C (Ms=192K) Lenticular Martensite(Optical micrograph) Fe-29%Ni-0.26%C (Ms=203K)
  • 56.
  • 57.
  • 58.
  • 59.
    59 Invariant-Plane Strain: Ifthe operation of a strain, leaves one plane of the parent crystal completely unrotated and undistorted; this is known as an invariant-plane strain (IPS).
  • 60.