1 
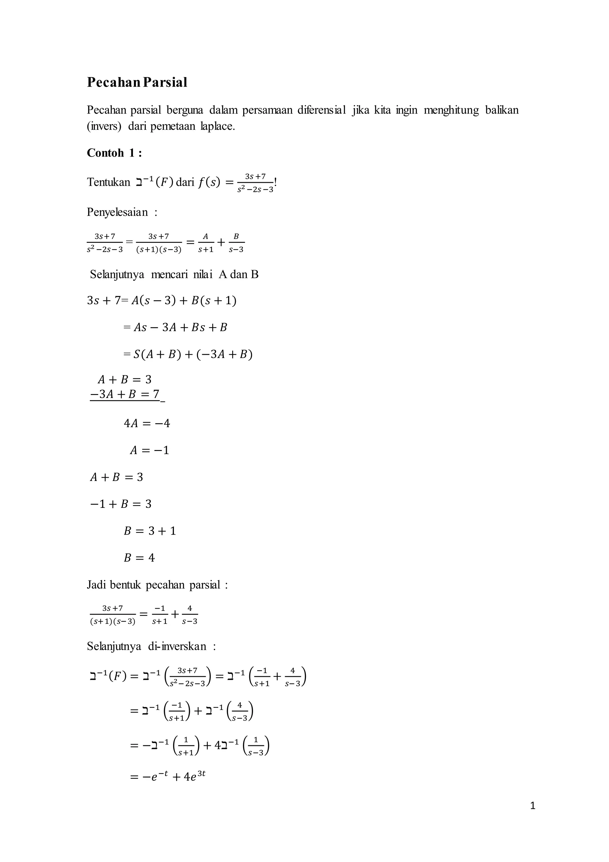
Pecahan Parsial 
Pecahan parsial berguna dalam persamaan diferensial jika kita ingin menghitung balikan 
(invers) dari pemetaan laplace. 
Contoh 1 : 
Tentukan ℶ−1 (퐹) dari 푓(푠) = 3푠 +7 
! 
푠2 −2푠 −3 
Penyelesaian : 
3푠+ 7 
푠2 −2푠−3 
= 
3푠 +7 
(푠+1)(푠−3) 
= 퐴 
푠+1 
+ 퐵 
푠−3 
Selanjutnya mencari nilai A dan B 
3푠 + 7= 퐴(푠 − 3) + 퐵(푠 + 1) 
= 퐴푠 − 3퐴 + 퐵푠 + 퐵 
= 푆(퐴 + 퐵) + (−3퐴 + 퐵) 
퐴 + 퐵 = 3 
−3퐴 + 퐵 = 7 
− 
4퐴 = −4 
퐴 = −1 
퐴 + 퐵 = 3 
−1 + 퐵 = 3 
퐵 = 3 + 1 
퐵 = 4 
Jadi bentuk pecahan parsial : 
3푠 +7 
(푠+1)(푠−3) 
= −1 
푠+1 
+ 4 
푠−3 
Selanjutnya di-inverskan : 
ℶ−1(퐹) = ℶ−1 ( 3푠+7 
푠2−2푠−3 
) = ℶ−1 ( −1 
푠+1 
+ 4 
푠− 3 
) 
= ℶ−1 ( −1 
푠+1 
) + ℶ−1 ( 4 
푠−3 
) 
= −ℶ−1 ( 1 
푠+1 
) + 4ℶ−1 ( 1 
푠−3 
) 
= −푒−푡 + 4푒3푡
2 
Contoh 2 : 
Tentukan ℶ−1 (퐹) dari 푓(푠) = 푠2 −푠+1 
푠3 (푠+1) 
! 
Peny : 
푠2−푠+ 1 
푠3 (푠+ 1) 
= 퐴푠2 +퐵푠+ 퐶 
푠3 + 퐷 
푠+1 
Selanjutnya mencari nilai A dan B 
푠2 − 푠 + 1= 퐴푠2 + 퐵푠 + 퐶(푠 + 1) + 퐷(푠3) 
= 퐴푠3 + 퐴푠2 + 퐵푠2 + 퐵푠 + 퐶푠 + 퐶 + 퐷푠3 
= (퐴 + 퐷)푠3 + (퐴 + 퐵)푠2 + (퐵 + 퐶 )푠 + 퐶 
퐶 = 1 
퐵 + 퐶 = −1 퐴 + 퐵 = 1 퐴 + 퐷 = 0 
퐵 + 1 = −1 퐴 + (−2) = 1 퐷 = −퐴 
퐵 = −1 − 1 퐴 = 1 + 2 퐷 = −3 
퐵 = −2 퐴 = 3 
Jadi bentuk pecahan parsial : 
푠2−푠+ 1 
푠3 (푠+ 1) 
= 3푠2 −2푠 +1 
푠3 + −3 
푠+1 
Selanjutnya di-inverskan : 
ℶ−1(퐹) = ℶ−1 (푠2 −푠+1 
푠3(푠+1) 
) = ℶ−1 (3푠2 −2푠 +1 
푠3 + − 3 
푠+1 
) 
= ℶ−1 (3푠2 −2푠+1 
푠3 ) + ℶ−1 ( −3 
푠+1 
) 
= 3 − 2푡 − 1 
2 
푡2 − 3푒−푡
3 
Penerapan Transform Laplace Pada MNA 
Pada penerapan transform Laplace ini kita menyelesaikan-nya dengan 
menggunakan transform Laplace turunan fungsi, pecahan parsial, dan Laplace invers. 
Yang perlu diingat ! 
ℶ(푓′ ) = 푆ℶ(푓) − 푓(0) ↔ ℶ(푦′ ) = 푆ℶ(푦) − 푦(0) 
ℶ(푓") = 푆 2ℶ(푓) − 푆푓(0) − 푓′ (0) ↔ ℶ(푦") = 푆 2ℶ(푦) − 푆푦(0) − 푦′ (0) 
ℶ(푦) = 푌 
Contoh 1: 
Pecahkan MNA : 푦" + 4푦′ + 3푦 = 0 dengan 푦(0) = 3 ; 푦′ (0) = 1 ! 
Peny : 
푦" + 4푦′ + 3푦 = 0 
푦" = −4푦′ − 3푦 
푦(0) = 3 
푦′ (0) = 1 
(Langkah 1) Menentukan Persamaan Pembantu. 
ℶ(푦") = 푆 2ℶ(푦) − 푆푦(0) − 푦′ (0) 
ℶ(푦") = 푆 2푌 − 3푆 − 1 
ℶ(−4푦′ − 3푦) = 푆 2푌 − 3푆 − 1 
Untuk menemukan nilai 푦′ kita harus melakukan transform Laplace turunan fungsi 
ℶ(푦′ ) = 푆ℶ(푦) − 푦(0) 
ℶ(푦′ ) = 푆푌 − 3 
Jadi, 
−4ℶ(푦′ ) − 3ℶ(푦) = 푆 2푌 − 3푆 − 1 
−4(푆푌 − 3) − 3푌 = 푆 2푌 − 3푆 − 1 
−4푆푌 + 12 − 3푌 = 푆 2푌 − 3푆 − 1 
푆 2푌 − 3푆 − 1 = −4푆푌 + 12 − 3푌
4 
푆 2푌 + 4푆푌 + 3푌 = 3푆 + 13 
푌(푆 2 + 4푆 + 3) = 3푆 + 13 
푌 = 3푆+13 
푆2 +4푆+3 
(Langkah 2) Mencari Pecahan Parsial. 
3푆+ 13 
푆2 +4푆+3 
= 
3푠 +13 
(푠+3)(푠+1) 
= 퐴 
푠+3 
+ 퐵 
푠+1 
Selanjutnya mencari nilai A dan B 
3푠 + 13= 퐴(푠 + 1) + 퐵(푠 + 3) 
= 퐴푠 + 퐴 + 퐵푠 + 3퐵 
= 푆(퐴 + 퐵) + (퐴 + 3퐵) 
퐴 + 퐵 = 3 
퐴 + 3퐵 = 13 
− 
−2퐵 = −10 
퐵 = −10 
−2 
퐵 = 5 
퐴 + 퐵 = 3 
퐴 + 5 = 3 
퐴 = 3 − 5 
퐴 = −2 
Jadi bentuk pecahan parsial : 
3푆+ 13 
푆2 +4푆+3 
= −2 
푠+ 3 
+ 5 
푠+1 
(Langkah 3) Laplace invers. 
ℶ−1(퐹) = ℶ−1 ( 3푆+13 
푆2+4푆 +3 
) = ℶ−1 ( −2 
푠+3 
+ 5 
푠+1 
) 
= ℶ−1 ( −2 
푠+3 
) + ℶ−1 ( 5 
푠+1 
) 
= −2ℶ−1 ( 1 
푠+3 
) + 5ℶ−1 ( 1 
푠+1 
) 
= −2푒−3푡 + 5푒−푡
5 
Contoh 2 : 
Selesaikan MNA untuk Persamaan Diferensial orde 2 berikut ini : 
푦" + 9푦 = 0 ; 푦(0) = 0 ; 푦′ (0) = 2 
Peny : 
푦" + 9푦 = 0 
푦" = −9푦 
푦(0) = 0 
푦′ (0) = 2 
(Langkah 1) Menentukan Persamaan Pembantu. 
ℶ(푦") = 푆 2ℶ(푦) − 푆푦(0) − 푦′ (0) 
ℶ(푦") = 푆 2푌 − 푆. 0 − 2 
ℶ(푦") = 푆 2푌 − 2 
ℶ(−9푦) = 푆 2푌 − 2 
−9ℶ(푦) = 푆 2푌 − 2 
−9푌 = 푆 2푌 − 2 
푆 2푌 + 9푌 = 2 
(Langkah 2) Solusi Persamaan Pembantu. 
푌(푆 2 + 9) = 2 
푌 = 2 
푆2 +9 
(Langkah 3) Laplace invers. 
ℶ−1(퐹) = ℶ−1 ( 2 
푆2+9 
) = ℶ−1 ( 2 
푆2 +32 ) 
= 2ℶ−1 ( 3 
푆2 +32 × 1 
3 
) 
= 2 
3 
ℶ−1 ( 3 
푆2 +32 ) 
= 2 
3 
sin 3푡
6 
Latihan Soal 
1. Tentukan Transform Laplace Invers dari 
2 
푠 
+ 1 
푠+2 
! 
2. Pecahkan Masalah Nilai Awal : 푦" − 4푦′ + 3푦 = 0 dengan 푦(0) = 3 dan 푦′ (0) = 
7 !
7 
Kunci Jawaban 
1. Penyelesaian : 
ℶ−1(퐹) = ℶ−1 (2 
푠 
+ 1 
푠+2 
) 
= ℶ−1 (2 
푠 
) + ℶ−1 ( 1 
푠+2 
) 
= 2ℶ−1 (1 
푠 
) + ℶ−1 ( 1 
푠+2 
) 
= 2.1 + 푒−2푡 
= 2 + 푒−2푡 
2. Penyelesaian : 
푦" − 4푦′ + 3푦 = 0 
푦" = 4푦′ − 3푦 
푦(0) = 3 
푦′ (0) = 7 
(Langkah 1) Menentukan Persamaan Pembantu. 
ℶ(푦") = 푆 2ℶ(푦) − 푆푦(0) − 푦′ (0) 
ℶ(푦") = 푆 2푌 − 3푆 − 7 
ℶ(4푦′ − 3푦) = 푆 2푌 − 3푆 − 1 
Untuk menemukan nilai 푦′ kita harus melakukan transform Laplace turunan fungsi 
ℶ(푦′ ) = 푆ℶ(푦) − 푦(0) 
ℶ(푦′ ) = 푆푌 − 3 
4ℶ(푦′ ) − 3ℶ(푦) = 푆 2푌 − 3푆 − 7 
4(푆푌 − 3) − 3푌 = 푆 2푌 − 3푆 − 7 
4푆푌 − 12 − 3푌 = 푆 2푌 − 3푆 − 7 
푆 2푌 − 3푆 − 7 = 4푆푌 − 12 − 3푌
8 
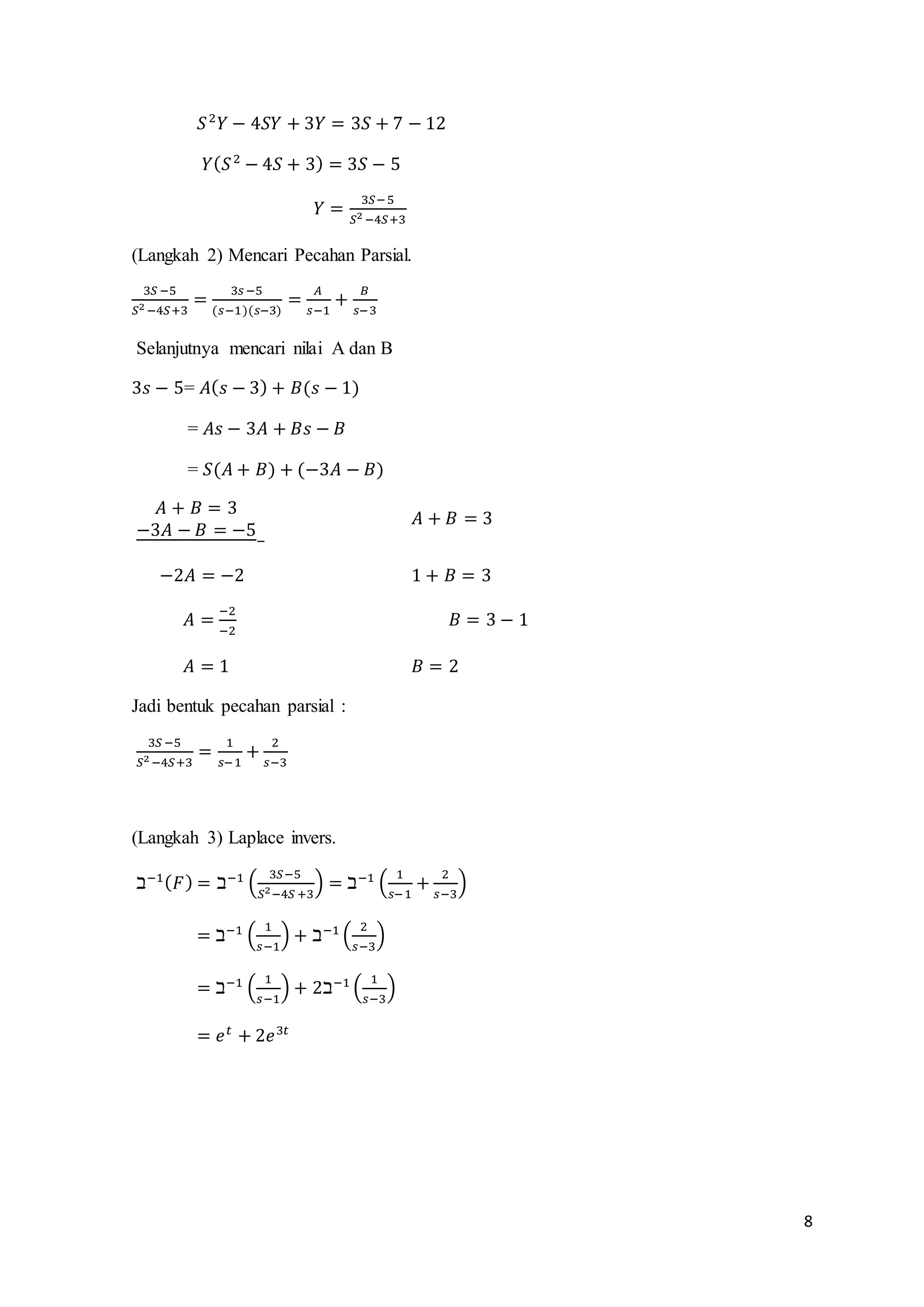
푆 2푌 − 4푆푌 + 3푌 = 3푆 + 7 − 12 
푌(푆 2 − 4푆 + 3) = 3푆 − 5 
푌 = 3푆− 5 
푆2 −4푆+3 
(Langkah 2) Mencari Pecahan Parsial. 
3푆 −5 
푆2 −4푆+3 
= 
3푠 −5 
(푠−1)(푠−3) 
= 퐴 
푠−1 
+ 퐵 
푠−3 
Selanjutnya mencari nilai A dan B 
3푠 − 5= 퐴(푠 − 3) + 퐵(푠 − 1) 
= 퐴푠 − 3퐴 + 퐵푠 − 퐵 
= 푆(퐴 + 퐵) + (−3퐴 − 퐵) 
퐴 + 퐵 = 3 
−3퐴 − 퐵 = −5 
− 
퐴 + 퐵 = 3 
−2퐴 = −2 1 + 퐵 = 3 
퐴 = −2 
−2 
퐵 = 3 − 1 
퐴 = 1 퐵 = 2 
Jadi bentuk pecahan parsial : 
3푆 −5 
푆2 −4푆+3 
= 1 
푠− 1 
+ 2 
푠−3 
(Langkah 3) Laplace invers. 
ℶ−1(퐹) = ℶ−1 ( 3푆−5 
푆2−4푆 +3 
) = ℶ−1 ( 1 
푠−1 
+ 2 
푠−3 
) 
= ℶ−1 ( 1 
푠−1 
) + ℶ−1 ( 2 
푠−3 
) 
= ℶ−1 ( 1 
푠−1 
) + 2ℶ−1 ( 1 
푠−3 
) 
= 푒푡 + 2푒3푡
9 
Daftar Pustaka 
Lestariningsih, Yunika, S.Si . 2013 . Bahan Ajar Masalah Nilai Awal Syarat Batas . 
Palembang : Universitas PGRI Palembang .

Pecahan Parsial dan Transform Laplace invers pada MNA

  • 1.
    1 Pecahan Parsial Pecahan parsial berguna dalam persamaan diferensial jika kita ingin menghitung balikan (invers) dari pemetaan laplace. Contoh 1 : Tentukan ℶ−1 (퐹) dari 푓(푠) = 3푠 +7 ! 푠2 −2푠 −3 Penyelesaian : 3푠+ 7 푠2 −2푠−3 = 3푠 +7 (푠+1)(푠−3) = 퐴 푠+1 + 퐵 푠−3 Selanjutnya mencari nilai A dan B 3푠 + 7= 퐴(푠 − 3) + 퐵(푠 + 1) = 퐴푠 − 3퐴 + 퐵푠 + 퐵 = 푆(퐴 + 퐵) + (−3퐴 + 퐵) 퐴 + 퐵 = 3 −3퐴 + 퐵 = 7 − 4퐴 = −4 퐴 = −1 퐴 + 퐵 = 3 −1 + 퐵 = 3 퐵 = 3 + 1 퐵 = 4 Jadi bentuk pecahan parsial : 3푠 +7 (푠+1)(푠−3) = −1 푠+1 + 4 푠−3 Selanjutnya di-inverskan : ℶ−1(퐹) = ℶ−1 ( 3푠+7 푠2−2푠−3 ) = ℶ−1 ( −1 푠+1 + 4 푠− 3 ) = ℶ−1 ( −1 푠+1 ) + ℶ−1 ( 4 푠−3 ) = −ℶ−1 ( 1 푠+1 ) + 4ℶ−1 ( 1 푠−3 ) = −푒−푡 + 4푒3푡
  • 2.
    2 Contoh 2: Tentukan ℶ−1 (퐹) dari 푓(푠) = 푠2 −푠+1 푠3 (푠+1) ! Peny : 푠2−푠+ 1 푠3 (푠+ 1) = 퐴푠2 +퐵푠+ 퐶 푠3 + 퐷 푠+1 Selanjutnya mencari nilai A dan B 푠2 − 푠 + 1= 퐴푠2 + 퐵푠 + 퐶(푠 + 1) + 퐷(푠3) = 퐴푠3 + 퐴푠2 + 퐵푠2 + 퐵푠 + 퐶푠 + 퐶 + 퐷푠3 = (퐴 + 퐷)푠3 + (퐴 + 퐵)푠2 + (퐵 + 퐶 )푠 + 퐶 퐶 = 1 퐵 + 퐶 = −1 퐴 + 퐵 = 1 퐴 + 퐷 = 0 퐵 + 1 = −1 퐴 + (−2) = 1 퐷 = −퐴 퐵 = −1 − 1 퐴 = 1 + 2 퐷 = −3 퐵 = −2 퐴 = 3 Jadi bentuk pecahan parsial : 푠2−푠+ 1 푠3 (푠+ 1) = 3푠2 −2푠 +1 푠3 + −3 푠+1 Selanjutnya di-inverskan : ℶ−1(퐹) = ℶ−1 (푠2 −푠+1 푠3(푠+1) ) = ℶ−1 (3푠2 −2푠 +1 푠3 + − 3 푠+1 ) = ℶ−1 (3푠2 −2푠+1 푠3 ) + ℶ−1 ( −3 푠+1 ) = 3 − 2푡 − 1 2 푡2 − 3푒−푡
  • 3.
    3 Penerapan TransformLaplace Pada MNA Pada penerapan transform Laplace ini kita menyelesaikan-nya dengan menggunakan transform Laplace turunan fungsi, pecahan parsial, dan Laplace invers. Yang perlu diingat ! ℶ(푓′ ) = 푆ℶ(푓) − 푓(0) ↔ ℶ(푦′ ) = 푆ℶ(푦) − 푦(0) ℶ(푓") = 푆 2ℶ(푓) − 푆푓(0) − 푓′ (0) ↔ ℶ(푦") = 푆 2ℶ(푦) − 푆푦(0) − 푦′ (0) ℶ(푦) = 푌 Contoh 1: Pecahkan MNA : 푦" + 4푦′ + 3푦 = 0 dengan 푦(0) = 3 ; 푦′ (0) = 1 ! Peny : 푦" + 4푦′ + 3푦 = 0 푦" = −4푦′ − 3푦 푦(0) = 3 푦′ (0) = 1 (Langkah 1) Menentukan Persamaan Pembantu. ℶ(푦") = 푆 2ℶ(푦) − 푆푦(0) − 푦′ (0) ℶ(푦") = 푆 2푌 − 3푆 − 1 ℶ(−4푦′ − 3푦) = 푆 2푌 − 3푆 − 1 Untuk menemukan nilai 푦′ kita harus melakukan transform Laplace turunan fungsi ℶ(푦′ ) = 푆ℶ(푦) − 푦(0) ℶ(푦′ ) = 푆푌 − 3 Jadi, −4ℶ(푦′ ) − 3ℶ(푦) = 푆 2푌 − 3푆 − 1 −4(푆푌 − 3) − 3푌 = 푆 2푌 − 3푆 − 1 −4푆푌 + 12 − 3푌 = 푆 2푌 − 3푆 − 1 푆 2푌 − 3푆 − 1 = −4푆푌 + 12 − 3푌
  • 4.
    4 푆 2푌+ 4푆푌 + 3푌 = 3푆 + 13 푌(푆 2 + 4푆 + 3) = 3푆 + 13 푌 = 3푆+13 푆2 +4푆+3 (Langkah 2) Mencari Pecahan Parsial. 3푆+ 13 푆2 +4푆+3 = 3푠 +13 (푠+3)(푠+1) = 퐴 푠+3 + 퐵 푠+1 Selanjutnya mencari nilai A dan B 3푠 + 13= 퐴(푠 + 1) + 퐵(푠 + 3) = 퐴푠 + 퐴 + 퐵푠 + 3퐵 = 푆(퐴 + 퐵) + (퐴 + 3퐵) 퐴 + 퐵 = 3 퐴 + 3퐵 = 13 − −2퐵 = −10 퐵 = −10 −2 퐵 = 5 퐴 + 퐵 = 3 퐴 + 5 = 3 퐴 = 3 − 5 퐴 = −2 Jadi bentuk pecahan parsial : 3푆+ 13 푆2 +4푆+3 = −2 푠+ 3 + 5 푠+1 (Langkah 3) Laplace invers. ℶ−1(퐹) = ℶ−1 ( 3푆+13 푆2+4푆 +3 ) = ℶ−1 ( −2 푠+3 + 5 푠+1 ) = ℶ−1 ( −2 푠+3 ) + ℶ−1 ( 5 푠+1 ) = −2ℶ−1 ( 1 푠+3 ) + 5ℶ−1 ( 1 푠+1 ) = −2푒−3푡 + 5푒−푡
  • 5.
    5 Contoh 2: Selesaikan MNA untuk Persamaan Diferensial orde 2 berikut ini : 푦" + 9푦 = 0 ; 푦(0) = 0 ; 푦′ (0) = 2 Peny : 푦" + 9푦 = 0 푦" = −9푦 푦(0) = 0 푦′ (0) = 2 (Langkah 1) Menentukan Persamaan Pembantu. ℶ(푦") = 푆 2ℶ(푦) − 푆푦(0) − 푦′ (0) ℶ(푦") = 푆 2푌 − 푆. 0 − 2 ℶ(푦") = 푆 2푌 − 2 ℶ(−9푦) = 푆 2푌 − 2 −9ℶ(푦) = 푆 2푌 − 2 −9푌 = 푆 2푌 − 2 푆 2푌 + 9푌 = 2 (Langkah 2) Solusi Persamaan Pembantu. 푌(푆 2 + 9) = 2 푌 = 2 푆2 +9 (Langkah 3) Laplace invers. ℶ−1(퐹) = ℶ−1 ( 2 푆2+9 ) = ℶ−1 ( 2 푆2 +32 ) = 2ℶ−1 ( 3 푆2 +32 × 1 3 ) = 2 3 ℶ−1 ( 3 푆2 +32 ) = 2 3 sin 3푡
  • 6.
    6 Latihan Soal 1. Tentukan Transform Laplace Invers dari 2 푠 + 1 푠+2 ! 2. Pecahkan Masalah Nilai Awal : 푦" − 4푦′ + 3푦 = 0 dengan 푦(0) = 3 dan 푦′ (0) = 7 !
  • 7.
    7 Kunci Jawaban 1. Penyelesaian : ℶ−1(퐹) = ℶ−1 (2 푠 + 1 푠+2 ) = ℶ−1 (2 푠 ) + ℶ−1 ( 1 푠+2 ) = 2ℶ−1 (1 푠 ) + ℶ−1 ( 1 푠+2 ) = 2.1 + 푒−2푡 = 2 + 푒−2푡 2. Penyelesaian : 푦" − 4푦′ + 3푦 = 0 푦" = 4푦′ − 3푦 푦(0) = 3 푦′ (0) = 7 (Langkah 1) Menentukan Persamaan Pembantu. ℶ(푦") = 푆 2ℶ(푦) − 푆푦(0) − 푦′ (0) ℶ(푦") = 푆 2푌 − 3푆 − 7 ℶ(4푦′ − 3푦) = 푆 2푌 − 3푆 − 1 Untuk menemukan nilai 푦′ kita harus melakukan transform Laplace turunan fungsi ℶ(푦′ ) = 푆ℶ(푦) − 푦(0) ℶ(푦′ ) = 푆푌 − 3 4ℶ(푦′ ) − 3ℶ(푦) = 푆 2푌 − 3푆 − 7 4(푆푌 − 3) − 3푌 = 푆 2푌 − 3푆 − 7 4푆푌 − 12 − 3푌 = 푆 2푌 − 3푆 − 7 푆 2푌 − 3푆 − 7 = 4푆푌 − 12 − 3푌
  • 8.
    8 푆 2푌− 4푆푌 + 3푌 = 3푆 + 7 − 12 푌(푆 2 − 4푆 + 3) = 3푆 − 5 푌 = 3푆− 5 푆2 −4푆+3 (Langkah 2) Mencari Pecahan Parsial. 3푆 −5 푆2 −4푆+3 = 3푠 −5 (푠−1)(푠−3) = 퐴 푠−1 + 퐵 푠−3 Selanjutnya mencari nilai A dan B 3푠 − 5= 퐴(푠 − 3) + 퐵(푠 − 1) = 퐴푠 − 3퐴 + 퐵푠 − 퐵 = 푆(퐴 + 퐵) + (−3퐴 − 퐵) 퐴 + 퐵 = 3 −3퐴 − 퐵 = −5 − 퐴 + 퐵 = 3 −2퐴 = −2 1 + 퐵 = 3 퐴 = −2 −2 퐵 = 3 − 1 퐴 = 1 퐵 = 2 Jadi bentuk pecahan parsial : 3푆 −5 푆2 −4푆+3 = 1 푠− 1 + 2 푠−3 (Langkah 3) Laplace invers. ℶ−1(퐹) = ℶ−1 ( 3푆−5 푆2−4푆 +3 ) = ℶ−1 ( 1 푠−1 + 2 푠−3 ) = ℶ−1 ( 1 푠−1 ) + ℶ−1 ( 2 푠−3 ) = ℶ−1 ( 1 푠−1 ) + 2ℶ−1 ( 1 푠−3 ) = 푒푡 + 2푒3푡
  • 9.
    9 Daftar Pustaka Lestariningsih, Yunika, S.Si . 2013 . Bahan Ajar Masalah Nilai Awal Syarat Batas . Palembang : Universitas PGRI Palembang .