Embed presentation
Download to read offline














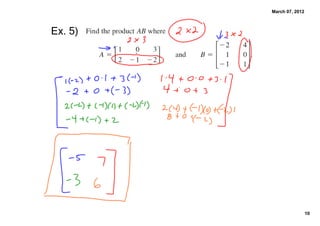
The document discusses matrix operations including addition, scalar multiplication, and multiplication. Matrix addition involves adding the corresponding elements of matrices of the same size. Scalar multiplication multiplies each element of a matrix by a scalar value. Matrix multiplication involves multiplying the rows of the first matrix by the columns of the second, with the result being a matrix where the number of columns in the first equals the number of rows in the second. Examples are provided to demonstrate each operation.












