Embed presentation
Download as PDF, PPTX












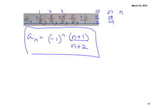
The document discusses representing series of numbers through summation notation. It explains that a series can be either finite, with a set number of terms, or infinite, with an unlimited number of terms. Examples are provided to demonstrate calculating partial sums and full sums of series. Properties of series are outlined. Students are assigned problems from the textbook to practice finding sums of different finite and infinite series.










